Совершенствование производства ООО 'Норд-Строй'
Содержание
Введение
1. Анализ деятельности ООО "Норд - Строй"
.1 Характеристика деятельности ООО "Норд - Строй"
.2 Анализ внешней среды организации
.3 Анализ внутренней среды организации
.4 SNW- анализ деятельности ООО "Норд - Строй"
.5 SWOT-анализ деятельности ООО "Норд - Строй"
. Теоритические основы организации производства на
предприятии
.1 Системная концепция организации производства
.2 Типы, формы и методы организации производства
.3 Экономический эффект организации производства
. Разработка проекта по производству сендвич-панелей на базе
ООО "Норд Строй"
.1 Обоснование мероприятий по совершенствованию производства
на предприятии
.2 Разработка организационно-экономических мероприятий
.3 Анализ и оценка рисков, связанных с совершенствование
производства предприятия
. Расчет показателей экономической эффективности проектного
мероприятия по совершенствованию производства на ООО "Норд - Строй"
.1 Финансовый план проекта
.2 Расчет показателей экономической эффективности
Заключение
Список использованных источников
Введение
Современный хозяйственный механизм деятельности
строительных предприятий предусматривает расширение границ самостоятельности с
одновременным повышением ответственности за конечные результаты, выполнение
обязательств перед потребителем, установление прямой зависимости уровня доходов
коллектива от эффективности его работы. Предусматривает, и это главное,
кардинальную реформу планирования, ценообразования, финансово-кредитного
механизма, перестройку материально-технического обеспечения. При растущих
темпах развития экономики и, соответственно, возрастающих объемах
строительно-монтажных работ, ввода жилых домов, школ, детских учреждений,
объектов здравоохранения, культуры, образования, прирост потребности в
строительных материалах, конструкциях, изделиях в основном должен быть
обеспечен за счет крупномасштабных мероприятий по ресурсосбережению и
дальнейшему развитию материально-технической базы строительства, коренному
совершенствованию организационных форм и экономических методов обеспечения строек
материальными ресурсами.
Ускоренное развитие материально-технической базы
капитального строительства, наращивание производства строительных материалов
должны занять первостепенное место в деятельности всех центральных и местных
органов. Несоблюдение сроков поставки продукции на любом этапе становится
причиной нарушения сроков изготовления промежуточной или конечной готовой
продукции в последующих звеньях цепи. При этом несоблюдение требований к
заказываемым и поставляемым материальным ресурсам по качеству, размерам и
габаритам приводит к увеличению себестоимости выпускаемой продукции. В свою
очередь, своевременная поставка производству материальных ресурсов необходимого
качества, комплектности и ассортимента позволяет сократить затраты труда на
изготовление продукции и потери времени в связи с простоем оборудования при
отсутствии материальных ресурсов. Поэтому тема совершенствования производства
на предприятиях строительной отрасли особенно актуальная в настоящее время.
Целью дипломного проекта является разработка
мероприятий по совершенствованию производства ООО "Норд - Строй".
Для достижения цели были поставлены следующие задачи:
- провести анализ деятельности ООО
"Норд - Строй";
- рассмотреть теоретические аспекты
совершенствования производства в современных условиях;
- разработать мероприятия по
совершенствованию производства ООО "Норд - Строй";
- рассчитать экономическую
эффективность проектных мероприятий.
Объектом исследования является ООО "Норд -
Строй".
Предметом - возможность совершенствования производства
на предприятии.
Теоретической основой исследования служат достижения
научной мысли отечественных и зарубежных ученых в области экономики, управления
и планирования материально-технического снабжения строительного производства.
В процессе проведения исследования были использованы
методы анализа и синтеза, логического, системного, экономико-статистического
анализа и другие общенаучные методы.
Дипломный проект состоит из введения, 4 разделов,
заключения и списка использованных источников.
В первом разделе проводится анализ деятельности ООО "Норд -
Строй". Анализируется внешняя и внутренняя среда предприятия с
использование методик SNW-анализа
и SWOT-анализ, выявляются перспективные
направления совершенствования производства предприятия.
Во втором разделе рассматриваются и обобщаются теоретические аспекты
совершенствования производства в современных условиях. Основной акцент на
правлен на современную концепцию производства, типы, виды и формы производства,
а также на эффективность совершенствования производства на современных
предприятиях.
В третьем разделе предлагаются проектные мероприятия по совершенствованию
производства ООО "Норд - Строй".
В четвертом разделе проводится анализ экономической эффективности
проектных мероприятий.
1. Анализ
деятельности ООО "Норд - Строй"
.1
Характеристика деятельности ООО "Норд - Строй"
Полное наименование: Общество с ограниченной ответственностью
"Норд-Строй".
Сокращенное наименование: ООО "Норд-Строй".
Располагается предприятие на территории арендуемого помещения, состоящего
из 2-х комнат. Имеются складские помещения по адресу: ул. Седова 7, подвал
школы № 56 площадью около 2000 кв.м. и теплица - 200 кв.м., а также автопарк из
6-ти машин (3 л/а и 3 г/а). Арендная плата, складские помещения и автопарк - по
договору безвозмездного пользования, на балансе предприятия не состоят.
Организации принадлежит 2-я в городе
Размер уставного капитала 12 000 руб.
Основные виды деятельности: выполнение общестроительных работ,
торгово-закупочная деятельность, транспортные услуги (грузоперевозки, доставка
и т.д.).
У предприятия зарегистрированы лицензии на следующие виды деятельности:
- Строительство зданий и сооружений I и II
уровней ответственности в соответствии с государственным стандартом.
- Эксплуатация электрических сетей. Использование собственной
электролаборатории с правом выполнения измерений и испытаний
электрооборудования и электроустановок до 1000 В.
- Проектирование зданий и сооружений I и II
уровней ответственности в соответствии с государственным стандартом. Организационно-правовая
форма - общество с ограниченной ответственностью.
- Общестроительные работы
- Каменные работы
- Устройство бетонных и железобетонных конструкций
- Монтаж легких ограждающих конструкций
- Изоляционные работы
- Кровельные работы
- Благоустройство территорий
- Отделочные работы
- Устройство полов
- Санитарно-технические работы
- Работы по устройству внутренних инженерных систем и
оборудования
- Возведение специальных сооружений межотраслевого хозяйства
- Защита конструкций, технологического оборудования и
трубопроводов.
Форма собственности - частная.
Свою деятельность фирма начала вести с 03.08.2004 в результате заключения
договора о проведении строительно-монтажных работ на рынке строительных услуг
г. Мурманска.
1.2 Анализ
внешней среды организации
.2.1 Анализ
макроокружения
Экономико-географическое положение Мурманской области.
Мурманская область - один из наиболее крупных и экономически развитых
регионов европейского Севера России. Область расположена на Кольском
полуострове, омываемом Баренцевым и Белым морями и имеет площадь 144,9 тыс. кв.
км. Почти вся её территория находится за Полярным кругом. Максимальная
протяженность с севера на юг составляет 400 км, с запада на восток - 500 км.
Население - 988,5 тыс. человек. Городское - 91,7%, сельское - 8,3%.
Средний возраст жителей - 33 года.
Экономика Мурманской области ориентирована в основном на использование
природных ресурсов.
Промышленность области имеет сырьевую направленность. Основу ее
составляет горнопромышленный комплекс, в состав которого входят предприятия
горно-химической промышленности, цветной, черной металлургии, промышленности
строительных материалов.
Ведущими промышленными предприятиями региона являются:
- Кольская горно-металлургическая компания (в нее входят комбинаты
"Североникель" и "Печенганикель");
- ОАО "Апатит";
- Кандалакшский алюминиевый завод (входит в Сибирско-Уральскую
алюминиевую компанию);
- ОАО "Ковдорский ГОК";
- ОАО "Олкон";
- Кольская атомная электростанция;
- ОАО "Колэнерго";
- Три рыбодобывающих флота, включая крупнейший в отрасли АО
"Мурманский траловый флот".
Мурманская область располагает собственным сельскохозяйственным
производством, решающим частично проблему снабжения северян свежими продуктами
питания. Однако природно-климатические условия Заполярья весьма ограничивают
потенциальные возможности местного сельского хозяйства.
Благоприятное географическое положение региона и крупная промышленность
обусловили развитие всех видов транспорта и сети дорог на территории области.
Имеющиеся наземные, воздушные, морские транспортные коммуникации обеспечивают
традиционные хозяйственные связи региона с центром России и создают хорошие
условия для расширения сотрудничества с зарубежными странами.
Мурманский морской торговый порт - крупнейший незамерзающий порт России,
расположенный за Полярным кругом. Он является базовым по обеспечению перевозки
грузов в районы Крайнего Севера, Арктики и дальнего зарубежья. Производственная
мощность порта - 12 млн. т грузов в год.
Грузовые и пассажирские морские перевозки осуществляет ОАО
"Мурманское морское пароходство". Оно же эксплуатирует принадлежащие
государству уникальные по своим возможностям атомные ледоколы, все из которых
базируются в Мурманске.
Открытие Северного морского пути для иностранных судов и перспективы
развития транзитных перевозок грузов между западно-европейскими портами и
портами стран Юго-Восточной Азии и Японии могут стать важными факторами,
усиливающими притягательность региона для потенциальных инвесторов.
Мурманская область располагает 2 крупными аэропортами:
"Мурманск" (в пос. Мурмаши) и "Хибины" (в г. Апатиты).
Через Мурманский аэропорт проходят международные авиалинии: Мурманск - Киркенес
и Мурманск - Тромсе (Норвегия), Мурманск - Рованиеми (Финляндия) - Лулео
(Швеция). В ближайшей перспективе предполагается создание на базе Мурманского
авиапредприятия международного транспортного аэроузла.
Область входит в число 20 субъектов Российской Федерации - крупнейших
экспортеров товарной продукции. Переход к рыночным преобразованиям позволил
предприятиям области активно использовать возможности, предоставляемые мировым
рынком.
Администрацией области отрабатывается механизм региональных гарантий для
привлечения инвестиций в экономику области. Приоритетными сферами для
инвестиций остаются по-прежнему объекты, связанные с перспективами освоения
запасов углеводородного сырья шельфа Арктических морей. Новой привлекательной
сферой для инвестиция становится туризм, в том числе экстремальный.
Анализ экономической компоненты.
В структуре валового регионального продукта строительство стоит на
девятой (из восемнадцати) позиции со следующими показателями, представленными в
таблице 1.
Таблица 1 Место строительства в структуре валового регионального
продукта.
По данным таблице видно, что строительство занимает низкую долю в общей
структуре валового регионального продукта мурманской области в 2012 году.
Динамика объёма работ и услуг, выполненных собственными силами по виду
экономической деятельности "Строительство", представлено в таблице 2.
Таблица 2 Динамика объёма работ и услуг, выполненных собственными силами
по виду экономической деятельности "Строительство"
Рассматривая данные таблицы 2, видно, что за 11 месяцев (с января по
ноябрь) 2012 года по сравнению с тем же периодом 2011 года наблюдается снижение
объёма работ и услуг в строительстве на 11,6%.
Динамика общего объёма заключённых договоров строительного подряда и
прочих заказов (контрактов) организациями (без субъектов малого
предпринимательства), средняя численность работников которых превышает 15
человек, вида экономической деятельности "Строительство" представлена
в таблице 3.
Таблица 3 Динамика общего объёма заключённых договоров строительного
подряда и прочих заказов (контрактов) организациями в строительстве.
По данным таблицы видно, что общий объем заключенных заказом в ноябре
2012 года по сравнению с ноябрем 2011 года снизился на 2 млн. рублей, а общая
обеспеченность заказами строительных организаций на ноябрь 2012 года составляет
в среднем 4,2 месяца, что на 2,7 месяцев меньше чем в ноябре 2011 года.
Рассматривая деловую активность в строительстве (по данным выборочного
обследования территориального органа государственной статистики по Мурманской
области), можно сказать, что в IV квартале 2012 года 89% руководителей строительных
организаций охарактеризовали экономическую ситуацию как
"благоприятную" и "удовлетворительную" против 92% в III квартале 2012 года.
Индекс предпринимательского доверия (то есть среднее арифметическое
баланса оценок уровня производственной программы (портфеля заказов) и ожидаемых
изменений численности занятых) в строительстве составил -12% (в
предыдущем квартале - -6%), средний уровень использования производственных
мощностей - соответственно 68% и 69%, средняя обеспеченность заказами и
финансированием - 5 и 3 месяца (как и в предыдущем квартале).
Оценка изменения основных показателей деятельности строительных
организаций представлено в таблице 4.
Таблица 4 Оценка изменения основных показателей деятельности строительных
организаций
Основными факторами, ограничивающими деятельность в строительстве в IV квартале 2012 года, руководители
организаций назвали высокий уровень налогов - 55% опрошенных, высокую
конкуренцию со стороны других строительных организаций (41%), недостаток
квалифицированных рабочих (57%), неплатёжеспособность заказчиков (50%), высокую
стоимость материалов, конструкций, изделий (28%).
Демографическая компонента
По оценке, численность постоянного населения Мурманской области на 1
ноября 2012 года составила 781,8 тыс. человек и уменьшилась с начала года на
6,2 тыс. человек (на 0,8%). Показатели естественного движения населения
представлены в таблице 5.
Таблица 5 Показатели естественного движения населения Мурманской области
Рассматривая данные таблицы, можно сделать вывод о том, что наблюдается
естественный прирост населения на 417 человек, число родившихся увеличилось на
213 человек (3,5%), число умерших снизилось на 204 человека или на 2%.
Реальные располагаемые денежные доходы (доходы за вычетом обязательных
платежей, скорректированные на индекс потребительских цен) в январе - октябре
2012 года по сравнению с соответствующим периодом 2011 года, по оценке
Территориального органа государственной статистики по Мурманской области,
увеличились на 1,9% (в январе - октябре 2011 года по сравнению с январём -
октябрём 2010 года уменьшились на 2,1%).
Динамика реальных располагаемых денежных доходов населения представлена в
таблице 6.
Таблица 6 Динамика реальных располагаемых денежных доходов населения
Мурманской области
По данным таблицы видно, что за 10 месяцев 2012 года (с января по
октябрь) реальные располагаемые денежные доходы населения Мурманской области
выросли на 4% по сравнению с соответствующим периодом 2011 года.
Динамика среднемесячной номинальной и реальной начисленной заработной
платы представлена в таблице 7.
Таблица 7 Динамика среднемесячной номинальной и реальной начисленной
заработной платы по Мурманской области
Из представленных в таблице данных видно, что за 10 месяцев 2012 года (с
января по октябрь) начисленная заработная плата увеличилась на 3664 рубля или
на 12,4%. В этот же период реальная заработная плата также увеличилась, и ее
прирост составил 8,2% по сравнению с соответствующим периодом 2011 года.
Рассматривая данные о среднемесячной номинальной начисленной заработной плате
работников по видам экономической деятельности, можно сказать, что заработная
плата в строительстве выше, чем средняя заработная плата по всем видам
экономической деятельности. Об этом свидетельствуют данные таблицы 8.
Таблица 8 Сравнение данных о среднемесячной номинальной начисленной
заработной плате работников по видам экономической деятельности и в
строительстве
В ноябре 2012 года, по сведениям обследованных организаций, было принято
на работу 2,5% списочной численности работников, выбыло по различным причинам
2,3% списочной численности работников. В общей численности принятых работников
доля принятых на дополнительно введённые рабочие места составила 10,4%, в
организациях по добыче полезных ископаемых - 35,7%, в организациях
строительства - 21,0%. Существенно ниже этот показатель в организациях по
производству и распределению электроэнергии, газа и горячей воды - 1,1%.
В конце ноября 2012 года в организациях численность требуемых работников
на вакантные рабочие места составила 2,4% от списочной численности работников.
По видам экономической деятельности этот показатель варьирует от 0,5% в
организациях по добыче полезных ископаемых до 4,9% в организациях,
осуществляющих финансовую деятельность.
В общей численности выбывших работников 71,7% составляют уволившиеся по
собственному желанию, 7,2% - по соглашению сторон, 5,9% - в связи с сокращением
численности.
По сравнению с октябрём 2012 года доля уволившихся по собственному
желанию уменьшилась, доля уволившихся в связи с сокращением численности
увеличилась. Наиболее высокие удельные веса уволенных по собственному желанию
среди выбывших работников отмечаются в организациях оптовой и розничной
торговли, по ремонту автотранспортных средств, мотоциклов, бытовых изделий и
предметов личного пользования (91,2%) и в организациях по производству и
распределению электроэнергии, газа и воды (83,4%). Самые высокие доли уволенных
по взаимному согласию работодателей и работников (11,1%) и уволенных в связи с
сокращением численности (20,0%) наблюдаются в организациях транспорта и связи.
Политико-правовая компонента.
Анализ правового регулирования, предполагающий изучение законов и других
нормативных актов, устанавливающих правовые нормы и рамки отношений, дает
организации возможность определить для себя допустимые границы действий во
взаимоотношениях с другими субъектами права и приемлемые методы отстаивания
своих интересов. Изучение правового регулирования не должно сводиться только к
изучению содержания правовых актов. Важно обращать внимание на такие аспекты
правовой среды, как действенность правовой системы, сложившиеся традиции в этой
области и процессуальная сторона практической реализации законодательства.
Ни одна фирма не может осуществлять свою предпринимательскую деятельность
без учета сложившейся в государстве политико-правовой среды. Эта среда
определяется:
- законами по регулированию предпринимательской деятельности;
- установленной системой контроля с стороны государственный
учреждений за соблюдением имеющихся законов;
- наличием различных общественных организаций и объединений по
защите прав потребителей.
Знание законов позволяет организации правильно построить свою
деятельность, изыскать пути повышения ее эффективности в рамках существующего
законодательства. Контроль за выполнением законов развивает необходимость их
соблюдать.
Основными законами, правилами, несомненно влияющими на деятельность
предприятия, являются :
- Закон РФ "О сертификации продукции и услуг";
- "Правила продажи отдельных видов товаров" -
утверждены постановлением правительства РФ от 19.01.1998г. №55;
- Закон РФ "О защите прав потребителей"; В соответствии
со статьей 1 Закона "О защите прав потребителей" отношения в области
защиты прав потребителей регулируются Гражданским кодексом Российской
Федерации, Законом "О защите прав потребителей", а также принимаемыми
в соответствии с ним иными федеральными законами и правовыми актами Российской
Федерации;
- Закон РФ "О стандартизации". Необходимо иметь в
виду, что не все требования государственных стандартов являются обязательными.
В соответствии с пунктом 2 статьи 7 Закона Российской Федерации от 10 июня 1993
г. N 5154-1 "О стандартизации" к обязательным требованиям
государственных стандартов относятся требования, устанавливаемые для
обеспечения безопасности продукции, работ и услуг для окружающей среды, жизни,
здоровья и имущества, для обеспечения технической и информационной
совместимости, взаимозаменяемости продукции, единства методов их контроля и
единства маркировки;
- Трудовой Кодекс РФ;
- Налоговый Кодекс РФ.
Основными законами, постановлениями по Мурманской области, оказывающих
влияние на деятельность ООО "Норд - Строй", являются:
- Решение городского совета от 30.12.1997 № 11-104 "О правилах
внешнего благоустройства г. Мурманска";
- правила, устанавливаемые непосредственно местными органами
контроля;
- правила ведения строительных работ;
- правила вступления в СРО и осуществление деятельности в
области строительства.
После принятия федерального закона "О государственных закупках"
№ 94 - ФЗ в 2005 году правила проведения государственных закупок полностью
изменились. С тех пор процедура выбора поставщика осуществляется только на
состязательной основе. Каждый этап проведения закупок жестко регламентируется №
94 - ФЗ. И самое главное то, что № 94 - ФЗ работает и дает возможность стать
поставщиком для государственных нужд практически каждому предпринимателю и
почти любой организации. Многие уже долгие годы пользуются возможностью
зарабатывать деньги на поставке товаров для государства, многие приоритетным
направлением своей работы делают борьбу за выгодный тендер, но ещё больше тех,
кто благополучно упускает эту возможность, теряя свои деньги.
Цель проведения государственных закупок на конкурсной основе: выбор
наиболее выгодного для государства в финансовом и других планах поставщика
товаров или услуг, исполнителя работ; стимулирование конкуренции; равномерное
распределение государственных инвестиций среди представителей бизнеса; борьба с
коррупцией и т.д. Все этапы проведения и организации тендеров, участия в них
регламентируются федеральным законом №94 - ФЗ и сопутствующими постановлениями.
Федеральным законом от 1 декабря 2007 г. N 315-Ф3 "О
саморегулируемых организациях" установлены правовые основы для
деятельности саморегулируемых организаций, представляющих собой специальный
институт профессионального общественного регулирования, объединяющий лиц,
занимающихся предпринимательской или иной профессиональной деятельностью.
Федеральный закон содержит определение и квалифицирующие признаки
саморегулируемой организации, устанавливает порядок ее создания и деятельности,
порядок взаимоотношений между саморегулируемой организацией и ее членами, а
также между саморегулируемой организацией и органами государственной власти и
местного самоуправления. Предметом саморегулирования является
предпринимательская или профессиональная деятельность субъектов, объединенных в
саморегулируемые организации.
Саморегулируемая организация создается по отраслевому признаку и
относится к некоммерческим организациям. Саморегулируемая организация призвана
создать отраслевые стандарты деятельности, не только полностью соответствующие
законодательным императивам, но и, зачастую, превышающие их. Таким образом,
саморегулируемые организации выполняют рыночно-регулятивную функцию,
способствуют повышению качества деятельности лиц, являющихся членами таких
организаций.
Важнейшей функцией саморегулируемой организации определена защита
интересов предпринимателей в их отношениях с государством. При возникновении
любых конфликтов и споров между федеральным (региональным) органом
исполнительной власти и участником саморегулируемой организации, противостоять
государству от имени данного участника будет сама такая организация, что
автоматически переводит весь процесс разбирательства конфликта в качественно
иную плоскость. Индивидуальное противостояние предпринимателей государству
заменяется коллективным противостоянием. Кроме того, одной из важных функций
саморегулируемой организации является функция посредника при разрешении споров
между членами данной организации, а также между ними и потребителями их
продукции и услуг.
Законы, постановления, правила, несомненно оказывают положительную роль
для потребителей, следовательно, соблюдая их ООО "Норд - Строй"
повышает свой имидж в глазах потребителей, которые будут относиться к фирме как
надежному предприятию, которому можно доверять.
Информационная компонента.
В настоящее время роль информационных систем возрастает, так как с их
помощью упрощается и ускоряется работа: отчетность, регистрация кадров, обмен
информацией.
На предприятии ООО "Норд - Строй" также используются
информационные системы. В первую очередь это программное обеспечение,
используемое в бухгалтерской отчетности. Для регистрации работников была
создана специальная база данных, где на каждого работника заводится карта с
личными данными. Так как данный вид деятельности является специфическим, была разработана
программа для заказа продукции. С помощью программных обеспечений,
информационных технологий значительно сокращается время для осуществления той
или иной операции.
Технологическая компонента.
Данная компонента позволяет организации использовать новые
технологические решения при проведении строительных работ, что оказывает
влияние на качество предоставляемых услуг.
Бетонные работы.
Часто при реконструкции сооружений существует
необходимость проведения бетонных работ. При этом, есть два пути получения
бетона: первый - это заказ с ближайшего бетонного узла, в соответствии с
определенными проектом, техническими требованиями к бетону; второй -
изготовление или модификация бетона в построечных условиях. В первом случае,
несмотря на кажущееся соблюдение технических требований производителем бетона,
существует вероятность получения бетона с некачественным заполнителем,
нарушенным В/Ц отношением (особенно в жаркую погоду), несбалансированностью
модифицирующих добавок и их невысоким качеством. Все эти факторы могут быть
причиной появления дефектов бетонных конструкций в период эксплуатации. При
производстве бетона в построечных условиях можно значительно эффективнее
наладить контроль качества и намного улучшить те или иные технические
показатели.
Например, для конструкций I категории ответственности
при числе циклов попеременного замораживания и оттаивания - 100-150 в год,
следует использовать бетон по морозостойкости не ниже F300, для суровых условий
эксплуатации (СНиП 2.06.08-87). Марку по водонепроницаемости следует брать в
зависимости от градиента напора. Для температуры водной среды свыше плюс 10 оС
до плюс 30 оС и при градиенте напора свыше 10 до 20, марка бетона по
водонепроницаемости должна быть не ниже W8 (СНиП 2.06.08-87). Указанные
требования далеко не самые критические, но даже для соблюдения этих требований
требуется изготовить специальный бетон. Такие требования достаточно легко
выполнить, изготавливая бетон по собственной рецептуре непосредственно на
объекте. Однако для этого следует точно знать особенности применения тех или
иных добавок и технологию производства бетона в целом.
Например, известно, что для увеличения морозостойкости
и водонепроницаемости рекомендуется использовать воздухововлекающие добавки,
однако не всегда учитывается, что такие добавки влияют на уменьшение
прочностных характеристик, а в случае превышения дозировки, происходит
формирование нерегулярной структуры частично открытых пор, в результате чего
резко увеличивается водопроницаемость бетона. Поэтому для рассматриваемого случая
необходимо применить комплексную добавку, в состав которой, помимо
воздухововлекающего компонента, будет входить уплотняющий, пластифицирующий и
суперпластифицирующий. Также можно внести неактивные добавки типа
микрокремнезема, армирующих полимерных волокон. Применяя армирующие волокна,
опять же, следует учитывать, что для гидротехнических сооружений не следует
применять волокна на основе целлюлозы по причине их биоразлогаемости. При
использовании некоторых гидроизолирующих и гидрофобизирующих добавок (при их
передозировке) могут проявиться процессы миграции растворимых солей к
испаряющим поверхностям, в результате образуются высолы. Иногда процессы
образования высолов настолько интенсивны, что приводят к отрыву, практически,
любых защитных покрытий с поверхности бетона. Приведенные примеры показывают,
насколько важно знать об особенностях свойств тех или иных материалов, особенно
новых зарубежных, которые относительно недавно появились на отечественном
рынке.
Технические решения по устройству технологических швов
и стыков.
В большинстве случаев дефекты сооружений локализуются
в зоне швов и стыков. Поэтому как при новом строительстве, так и при ремонтных
работах технологическим швам необходимо уделять особое внимание. В настоящее
время существует много технических решений ремонта и устройства различных швов.
Отдельно хотелось бы рассмотреть гидроизоляцию "холодных" швов. При
организации собственных работ мы чаще всего применяем гидрофильный резиновый
профиль (не надо путать с бентонитовыми шнурами и матами). При его закладке в
проекцию будущего холодного шва, после бетонирования он частично увеличивается
в объеме и стабилизируется, тем самым уплотняя зону шва. В случае нарушения
гидроизоляции в зоне шва и проникновения водной среды профиль продолжает
"впитывать" воду при этом еще больше уплотняя межшовное пространство.
В результате разбухший профиль полностью повторяет рельеф соседних поверхностей
шва и изолирует данную зону.
Другой интересной технологией устройства швов являются
"ижекто-системы". Суть таких систем сводится к предварительной
закладке инжекто-шнура в зону бетонирования, после бетонирования, через
специально выведенные штуцера производится прокачка шва под давлением заранее
определенной инъекционной композицией.
Защита сооружений от воздействия грунтовых вод.
Часто, при разработке проекта реконструкции
заглубленных емкостных сооружений детально рассматривается внутренняя
гидроизоляция, а внешняя гидроизоляция считается не столь важной и планируется,
например, из недорогого битума, который давно не отвечает требованиям по
качеству к современным изолирующим материалам. А ведь на заглубленное
сооружение помимо технологической среды изнутри, снаружи действуют грунтовые
воды, явления пучения грунта, внешних статических нагрузок и т.п. И порой,
снаружи сооружение подвергается не меньшему воздействию различных факторов, чем
изнутри. Указанные факторы можно свести к минимуму, просто организовав по
периметру сооружения пристенный дренаж, из полимерной профильной мембраны с
геотекстильным слоем, с выводом его в кольцевой трубчатый дренаж и отводом в
приемный колодец, далее ливневую или дренажную канализацию. Но почему-то такое
решение применяется редко. Зато можно часто наблюдать, когда после слива
технологической среды из заглубленного емкостного сооружения, по стенам,
особенно в нижней части, происходит прямая фильтрация влаги из прилегающего
грунта. Часто это сопровождается локальными разрушениями внутреннего
гидроизоляционного покрытия и (или) стенок сооружения.
Технологии восстановления, защиты и гидроизоляции
железобетонных сооружений.
В настоящее время на отечественном рынке представлено
достаточно много компаний-производителей специальных материалов для ремонта и
гидроизоляции железобетонных сооружений.
Например, применяя материалы проникающего действия надо
знать, что движущей силой процесса проникновения является градиент концентраций
порового раствора и его низкие показатели поверхностного натяжения, при этом
уплотнение и гидроизоляция пор бетона происходит в результате сложных реакций
образования сульфоаллюминатов кристаллогидратов солей кальция. Понятно, что для
эффективного протекания такой реакции необходимо наличие свободных ионов Са2+
в поровом растворе. Это свойственно для относительно нового бетона. В
"старом" бетоне гидротехнических сооружений свободных ионов Са2+
на порядки меньше, чем в новом, а значит и процесс проникновения и
уплотнения поровой структуры, в таком случае, будет иметь поверхностный
характер. То есть для гидроизоляции "старых" бетонных поверхностей
применение проникающей изоляции малоэффективно.
Технологии инъектирования при ремонте и восстановлении
железобетонных конструкций.
Эти технологии можно отнести к достаточно редким
технологиям, особенно в том контексте, в котором мы это понимаем. За рубежом
указанные технологии распространены значительно шире, чем у нас. Однако за
последние годы на отечественном рынке появилось достаточно много различных
материалов и оборудования для инъекционных работ. По нашему мнению это одни из
самых эффективных и надежных технологий укрепления и гидроизоляции бетонных
(каменных) сооружений. Ведь подбирая инъекционный состав, технические
приспособления и оборудование можно решить большинство проблем бетонных
структур, при этом, не выводя сооружение из эксплуатации. А затраты времени на
устранение определенных дефектов могут быть на порядок меньше по сравнению с
применением традиционных технологий. Если рассматривать технологии
инъектирования подробно, то это может занять отдельную объемную монографию.
Поэтому коснемся лишь основных материалов по принципу их действия и применения.
Цементные инъекционные материалы.
В основном предназначены для укрепления каменных,
кирпичных, реже бетонных сооружений. Также эти материалы весьма эффективны при
бетонировании мелких элементов со сложной пространственной конфигурацией,
бетонировании труднодоступных мест, бетонированию анкерных элементов. По
сравнению с обычными растворами их отличает высокая дисперсность, реологические
свойства, отсутствие усадочных дефектов, высокая прочность.
Вспенивающиеся гидроактивные полимерные композиции.
Особенностью этих материалов является процесс их
отвердения, который, в присутствии влаги происходит с увеличением объема и
формированием ячеистой структуры полимера с замкнутыми порами. В результате
образуется полимер, объем твердой фазы которого, в 3-10 раз больше объема
жидкой фазы исходных реагентов. Т.е. происходит заполнение и уплотнение
порового пространства в структуре материала. Общим результатом применения таких
материалов является увеличение прочностных характеристик и уменьшение
влагопроницаемости. Эти результаты обуславливают целевое применение таких
материалов - восстановление прочностных показателей сооружения и
гидроизоляционная защита.
Инъекционные смолы.
Обычно являются двух и более компонентными составами и
предназначены для укрепления и изоляции пористых структур бетона (камня),
устройства гидроизоляционных отсечек и склеивании трещин. Часто применяются в
комплексе с гидроактивными вспенивающимися композициями.
Гидрофильные гели.
В отвердевшем состоянии представляют собой эластичные
полимеры, при наличии воды увеличиваются в объеме. Применяются в основном для
изоляции швов и трещин в сооружениях с влажным режимом эксплуатации.
Кремнийорганические высокоподвижные жидкости.
Существует достаточно много инъекционных материалов на
кремнийорганической и силикатной основе. Применяются для гидроизоляции
мелкопористых структур, в сочетании с другими материалами, для устройства
противофильтрационных завес (силикатные материалы) и т.п.
В заключение хочется отметить, что современная строительная
химия и технология не стоит на месте. И, при желании эффективно эксплуатировать
гидротехнические сооружения, необходимо иметь максимально полную и объективную
информацию о существующих и новых материалах и технологиях применяемых при
ремонте и строительстве подобных объектов.
1.2.2 Анализ микроокружения
Анализ потребителей
Анализ потребителей как компоненты непосредственного окружения
организации в первую очередь имеет своей задачей составление профиля тех, кто
покупает продукт, реализуемый организацией. Изучение потребителей позволяет
организации лучше уяснить то, какая услуга в наибольшей мере будет приниматься
покупателями, на какой объем заказов может рассчитывать организация, в какой
мере покупатели привержены услуге именно данной организации, насколько можно
расширить круг потенциальных покупателей.
Профиль покупателя может быть составлен по следующим характеристикам:
географическое местоположение;
демографические характеристики (возраст, образование, сфера
деятельности и т.п.);
социально-психологические характеристики (положение в
обществе, стиль поведения, вкусы, привычки и т.п.);
отношение покупателя к продукту или услуге (почему он
покупает данный продукт, является ли он сам пользователем продукта, как
оценивает продукт и т.п.).
Изучая покупателя, фирма также уясняет для себя, насколько сильны его
позиции по отношению к ней в процессе торга.
Анализ потребителя - анализ, направленный на изучение вкусов,
дифференциацию структуры потребностей по группам потребителей, выявление неудовлетворительных
потребностей, мотивов предпочтения потребителем тех или иных товаров.
ООО "Норд- Строй" предоставляет следующие услуги для
потребителей:
- Строительство зданий и сооружений 2 категории ответственности
- Общестроительные работы
- Каменные работы
- Устройство бетонных и железобетонных конструкций
- Монтаж легких ограждающих конструкций
- Изоляционные работы
- Кровельные работы
- Благоустройство территорий
- Отделочные работы
- Устройство полов
- Санитарно-технические работы
- Работы по устройству внутренних инженерных систем и
оборудования
- Возведение специальных сооружений межотраслевого хозяйства
- Защита конструкций, технологического оборудования и
трубопроводов.
Исходя из вышеперечисленного, можно сделать вывод, что потребителями
предприятия являются юридические лица и физические лица.
К юридическим лицам относятся государственные и муниципальные
предприятия, размещающие заказы на проведение строительных работ в соответствии
с Федеральным законом №94-ФЗ.
Действие данного закона сильно влияет на структуру потребителей
предприятия, поскольку каждый государственный заказ обусловлен участием
предприятия в открытых электронных торгах и получить данный заказ, при
сложившемся уровне конкуренции в строительной отрасли достаточно сложно.
Для компенсации снижения доли государственных и муниципальных заказов,
ООО "Норд - Строй" оказывает строительные услуги коммерческим
предприятиям и частным лицам. Изменение доли потребителей ООО "Норд -
Строй" представлено в таблице 9.
Таблица 9 Изменение доли потребителей ООО "Норд - Строй" в 2011
- 2012 гг.
По данным таблицы видно, что в 2012 году по сравнению с 2011 годом, доля
государственных и муниципальных заказчиков снизилось на 33,3%. Данный факт
оказывает отрицательное влияние на деятельность организации, поскольку данная
категория заказчиков позволяет обеспечить организацию работой на длительный
срок и стабильной выплатой финансовых средств с минимальными финансовыми
рисками для предприятия.
Анализ поставщиков.
Поставщики - это фирмы и отдельные лица, которые обеспечивают предприятия
материальными ресурсами, необходимыми для производства товаров и услуг.
Объектами поставки являются: сырье, материалы, оборудование, запасные части к
нему, комплектующие.
Стратегией поведения с поставщиками является стратегическое партнерство.
При выборе поставщиков компания руководствуется такими факторами как:
- высокий уровень специализированности поставщика;
- высокая степень специализированности покупателя в приобретении данных
ресурсов;
- высокая степень концентрированности поставщика на работе с
конкретными клиентами;
- важность для поставщика объема продаж;
- гарантия качества поставляемого товара;
- пунктуальность и обязательность выполнения условий поставок
товара;
- наличие склада готовой продукции, что способствует выполнению
внеплановых срочных поставок.
Основными поставщиками ООО "Норд - Строй" являются:
- ООО "Сейд", г. Мурманск - данное предприятие работает на рынке
оптовой продажи строительных материалов около 8 лет, зарекомендовало себя как
выгодного поставщика, работает с 270 предприятиями;
- ООО "Рекома" г. Мурманск - одно из ведущих оптовых
предприятий на рынке строительных материалов, предлагает широкий ассортимент
изделий и выгодные условия поставки;
- ООО "Снабсервис" г. Мурманск - оптовая продажа
строительными материалами и комплектующими;
- ООО "Бавария плюс" г. Мурманск - входит в тройку
ведущих дистрибьюторов известных марок стройматериалов.
Таблица 10 Анализ поставщиков ООО "Норд - Строй".
Исходя из проведенного анализа, можно сделать вывод, что у предприятия
отношения с поставщиками являются давно отлаженным механизмом и работа с
данными компаниями являются достаточно выгодными для ООО "Норд -
Строй".
Анализ конкурентов.
Особенно существенное влияние на деятельность любой фирмы оказывает
наличие конкуренции. Конкурент - важный элемент системы маркетинга, оказывающий
влияние на стратегию маркетинга предприятия в отношении товара, поставщиков,
посредников и потребителей.
Кратчайший путь к формированию конкурентного преимущества проходит через
те виды деятельности, в которых предприятие зарекомендовало себя лучше всего, а
соперники не обладают достаточным опытом и не смогут развиться иначе как за
счет высоких затрат или в течение длительного времени. Даже если предприятие не
обладает никакими преимуществами, оно должно разрабатывать свою конкурентную
стратегию на основе имеющихся ресурсов и приобретенных навыков. Но прежде
необходимо изучить конкурентов, их сильные и слабые стороны, сравнить их
деятельность с деятельностью ООО "Норд- Строй".
Конкуренты, оказывающие аналогичные или схожие услуги, - прямая
конкуренция очень сильна. Местный рынок ремонтно-строительных работ является
конкурентным, насыщенным, но еще не до конца поделенным между предприятиями.
Барьеры входа на рынок существенны (лицензии, опыт, база данных по клиентам),
но приход других конкурентов возможен, так как данная сфера деятельности
перспективная и довольно прибыльная (теневые доходы).
В настоящий момент компания занимается предоставлением услуг
строительного характера. Основными конкурентами ООО "Норд-Строй"
являются:
- ООО "Мурманстрой";
- ООО "Шуал";
- ООО "Альянс";
- ООО "Мурманстройтехнология";
- ООО "Кола Строй Инвест"
- ООО "Строймонтаж"
- ООО "Севстрой".
Они все достаточно однообразны, основное отличие в широте ассортимента.
Конкуренция между услугами разных ассортиментных групп - конкурентами
здесь могут выступать, например, риэлторы, предлагающие приобрести новое или
другое здание, сооружение, ремонт которого не потребуется.
Анализ конкурентов можно провести, используя метод критериально-бальной
оценки. Для оценки были выбраны следующие параметры:
цена;
качество выполнения услуг;
месторасположение предприятия;
уровень обслуживания;
скорость выполнения заказов;
информируемость заказчиков о новинках.
Таблица 11 Критериально-бальная оценка конкурентов.
По результатам проведенного исследования конкурентов по методу
критериально-бальной оценки 3 организации входят в число наиболее сильных
конкурентов, но имеет ряд недостатков в месторасположении, в скорости
выполнения заказов (так как численность персонала невелика), информированности
заказчиков о новинках (так как не развита маркетинговая функция).
Данные слабые стороны необходимо учитывать, так как они играют
значительную роль в эффективности работы торговых предприятий.
.3 Анализ внутренней среды ООО "Норд - Строй"
1.3.1
Организационная структура предприятия
Организационная структура в компании вследствие специфики деятельности
смешанная, совмещает линейно-функциональную и проектную структуры. Связи в
предприятии:
вертикальные и горизонтальные;
обратные (существует возможность ответной реакции);
формальные и неформальные.
Организационная структура предприятия ООО "Норд - Строй"
представлена на рисунке 1.
Рисунок 1 - Организационная структура ООО "Норд - Строй"
Где:
Проектно-сметный отдел включает менеджера по организации строительства и
сметчиков;
Инженерно-технический отдел: прораб, сметчик, инженер, мастер;
Рабочие и специалисты: электрик, сварщик, отделочник, сантехник,
подсобные рабочие и др.
В ООО "Норд-Строй" права и ответственности распределены между
сотрудниками, они стандартизированы и расписаны в должностных инструкциях.
Применяется делегирование полномочий.
Система принятия решений в компании соответствует демократичному стилю
руководства, имеет совещательный характер, при этом последнее слово остается за
генеральным директором.
Руководство деятельностью предприятия ведет Генеральный директор.
1.3.2
Управление персоналом
Одним из основных факторов внутренней среды предприятия является
персонал. На сегодняшний день в ООО "Норд - Строй" постоянный штат
насчитывает не менее 30 человек. От качества работы и уровня квалификации
кадров напрямую зависит качество услуги. Поэтому в компании жестко подходят к
вопросу набора персонала.
Политика ООО "Норд-Строй" в области персонала реализуется через
генерального и технического директоров и содержит:
изучение потребности в кадрах;
подбор персонала;
найм на работу (по результатам собеседования);
организация процесса обучения и адаптации работников.
Поиск кадров осуществляется через Центр занятости, объявления в газеты
("Все объявления", "Есть работа").
Фирма столкнулась с проблемой - большой текучестью кадров среди рабочих и
специалистов. Пьянство, воровство, некачественно выполненные работы,
хулиганство, ругань - постоянные причины увольнений.
Рабочие на сегодняшний день нанимают на штатный договор подряда,
привлекаются частные бригады по договору субподряда. Устанавливаются сроки,
стоимость работы. Оплата состоит из 2-х частей: аванс в размере 40%
выплачивается через 10 - 15 дней с начала работ, остаток - по окончанию. Такая
форма расчета с рабочими является своеобразной формой контроля, минимизации
рисков.
Фирма в основном привлекает бригады, с которыми уже сложились партнерские
отношения.
Для персонала, работающего по трудовому контракту, реализуется комплекс
социальных гарантий:
официальное оформление трудовых отношений (согласно ТК РФ);
централизованное отчисление установленных законом налогов и сборов,
подтверждение трудового стажа;
оформление медицинских полисов и страховых свидетельств государственного
пенсионного страхования.
Мотивация персонала осуществляется методом "кнута и пряника".
Форма наказания: замечание, выговор, увольнение. Форма поощрения: премирование
(перед праздниками, за выполнение работ в кратчайшие сроки) в размере 10% от
заработной платы, повышение квалификации, разряда в результате проведения
аттестации раз в год.
.3.3
Организационная культура
Субъективная организационная культура в ООО "Норд - Строй"
исходит из разделяемых ценностей, норм и ролей, сложившихся в процессе
совместной работы (корпоративные вечеринки, процедуры чаепития и совместного
курения, специфический сленг). Объективная организационная культура связана с
физическим окружением, созданном в организации (комфортное 3-х этажное здание,
расположенное на удалении от центра города, удобные подъездные пути, консьержа
на 1-ом этаже, занимаемые кабинеты, орг. оборудование и мебель, расположение
рабочих мест, комната приема, стоянка для автомобилей и сам служебный
транспорт). Каждый сотрудник осознает себя и свое место в организации. Почти
весь коллектив среднего возраста, молодой специалист среди АУП только один.
Внешний вид - полуофициальный, курение и перекусы разрешены непосредственно на
рабочем месте. Складывается впечатление, что основная масса трудового
коллектива работает вместе уже не первый десяток лет. Взаимоотношения ровные,
чувствуются взаимные симпатия и уважение.
.3.4 Стадия
планирования на предприятии
В таблице 12 приведены вопросы, которые определят миссию для фирмы ООО
"Норд - Строй".
Таблица 12 Определение миссии
Исходя из приведенного в таблице описания услуг, клиентов, целей и
преимуществ, а также с учетом перспектив развития компании, миссия деятельности
ООО "Норд-Строй" следующая: "Наша миссия - качественное
выполнение общестроительных и строительно-монтажных работ и торгово-закупочной
деятельности в кратчайшие сроки и по приемлемым ценам, гарантирующих удобство и
безопасность эксплуатации, экономию Ваших сил и времени".
1.3.5 Анализ
результатов производственной деятельности предприятия
Экономический анализ бухгалтерского баланса за период 2011 - 2012 гг. (в
тыс. руб.) проводится по данным, представленным в таблице 13.
Таблица 13 Агрегированный баланс за 2011 - 2012 гг.
Величина запасов и затрат избыточная, объемы реализованных услуг высоки,
но влияет и специфика деятельности. Не все строительные объекты были сданы
заказчикам в 2012 г. - это, в общем, и отразилось на выручке.
Коэффициент покрытия (общая ликвидность k >= 2):
нач. 2011 г. = 33/37 = 0,89
кон. 2011 г. = 1205/2160 = 1,02
кон. 2012 г. = 3295/3307 = 0,10
Отношение оборотных активов приблизительно равно краткосрочным
обязательствам. Мобилизовать оборотные активы для погашения кредиторской
задолжности не возможно, т.к. дебиторская задолжность высока и увеличивается с
каждым годом, что вынуждает предприятие пользоваться кредитами, запасы
материалов реализовать в короткие сроки не удастся. Предприятие имеет
неустойчивые перспективы платежеспособности, в том числе и несвоевременные
расчеты с поставщиками и подрядчиками.
4 Оборачиваемость активов:
г. = (выручка / средняя стоимость активов) = 2555/2205 = 1,16
г. = 11906/3295 = 3,61
Оборачиваемость активов - это показатель, используемый для количественной
оценки эффективности управления предприятием и его активами.
Наблюдаемый рост говорит о повышении эффективности активов предприятия и
рассматривается как положительная тенденция, но в целом значения за весь период
низки, т.к. в обороте активов большую часть занимает дебиторская задолженность.
Мобилизовать оборотные активы для погашения кредиторской задолженности не
возможно, т.к. дебиторская задолженность высока и увеличивается с каждым годом,
что вынуждает предприятие пользоваться кредитами, следовательно, предприятие
имеет неустойчивые перспективы платежеспособности, в том числе и
несвоевременные расчеты с поставщиками и подрядчиками.
Финансовый Леверидж:
нач. 2011 г. = весь авансируемый капитал / собственный капитал = 37/-4 =
-9,25
кон. 2011 г. = 2160/105 = 20, 57
кон. 2012 г. = 3307/105 = 31,49
На конец 2011 и 2012 г. данный коэффициент достиг максимально допустимого
значения, критической точки, а это означает лишь то, что заемные средства
превышают собственные, возрастают финансовые риски, рискованность деятельности
данной фирмы. Предприятие является зависимым от других организаций и финансовое
положение предприятия не устойчиво (оптимальная величина финансового рычага
составляет 2, т.е. соотношение собственных и заемных средств должно составлять
1 к 1).
Коэффициент автономии, независимости (соотношение собственного капитала и
общего капитала):
нач. 2011 г. = -4/33 = -0,12
кон. 2011 г. = 105/2265 = 0,046
кон. 2012 г. = 105/3412 = 0,031
На начало 2011 г. собственных средств у предприятия не имелось, кроме УК,
и поэтому полученный убыток повлиял на коэффициент негативным образом. На кон.
2012 г. положение изменилось. Предприятие получило прибыль, но доля собственных
средств к итогу баланса сравнительно низка, так что следует привлечь внимание
руководства предприятия к увеличению собственного капитала (увеличение УК,
формирование резервных фондов, фондов накопления и потребления). Возможно,
стоит производить отчисления в добавочный капитал. На конец 2012 г. коэффициент
снизился на 0,015. Это произошло за счет увеличения кредиторской задолженности.
Общее значение этого коэффициента меньше 0,5, что свидетельствует о том, что
предприятие не может покрыть свои обязательства собственными средствами, на
протяжении всего анализируемого периода данный коэффициент показывает
финансовые затруднения в будущих периодах.
Рассматривая финансовое положение предприятия, можно сделать общий вывод,
что оно является неустойчивым и зависимым от других организаций, оно не
стабильно и зависит от таких показателей как скорость погашения дебиторской и
кредиторской задолженности, снижения расходов в будущем периоде и получения
максимально возможной прибыли. Основные средства в течение анализируемого
периода не приобретались, амортизировалось имеющееся оборудование.
Необходимо привлечь внимание учредителей фирмы к увеличению собственного
капитала (увеличение уставного капитала, формирование резервных фондов, фондов
накопления и потребления). Возможно, стоит производить отчисления в добавочный
капитал. Следует уменьшить кредиторскую задолженность и займы, возможно за счет
получения прибыли в следующих периодах.
Предприятие на данный момент может покрыть свои обязательства
собственными средствами и имеет устойчивые перспективы платежеспособности, в
том числе и несвоевременные расчеты с поставщиками и подрядчиками.
.3.6 Анализ
маркетинговой функции
В штате ООО "Норд - Строй" нет такой должности как маркетолог,
который бы взял на себя:
разработку новых видов услуг;
управление ассортиментом;
регулирование товарной и ценовой политики, каналов сбыта;
планирование и проведение мероприятий по продвижению (реклама,
стимулирование сбыта, PR;
анализ рынка;
анализ потребителей;
организацию и проведение мероприятий по развитию корпоративной культуры и
т.д.
Это не означает, что все перечисленные функции вообще отсутствуют на
предприятии, некоторые из них (управление ассортиментом, регулирование ценовой
политики и каналов сбыта) выполняют работники из высшего руководства.
ООО "Норд - Строй" - постоянный участник и победитель с 2004 г.
тендеров Комитета образования г. Мурманска за выполнение работ на следующих
объектах: детские дома, детские сады, школы, лицеи, ПУ (ремонт кровли,
сантехника, электрика, отделка).
В настоящий период большая часть заказов приходится на муниципальные
объекты. И пусть клиенты бюджетной сферы выглядят довольно привлекательно:
работают по смете (а сметная стоимость работ, как правило, выше уровня рыночных
цен); объемы их заказов более значительны; оплачивают в основном без задержек,
- но и риск получить серьезную дебиторскую задолженность тоже велик.
Привлечение частных клиентов в большом количестве поможет снизить зависимость
фирмы от "больших" заказчиков, увеличить доходы, упрочить финансовое
состояние. Работа со средними и малыми юридическими и физическими лицами осложняется
тем обстоятельством, что частники "бьются за каждый рубль", цены
договорные, проводятся тендеры, подрядчиков "душат" по всем позициям.
На сегодняшний день информацию о компании можно получить лишь через
бесплатную информационную службу 064, позвонив по этому телефону либо выйдя на
сайт 064, либо через периодичное издание справочника 064. Планируется открытие
сайта, а также выпуск цветных каталогов, которые будут распространяться среди
потенциальных заказчиков.
Тем не менее, деятельность предприятия была замечена - в 2008 г.
технический директор фирмы был приглашен Комитетом по градостроительству
участвовать в репортаже, посвященном котельной пос. Дровяной, где ООО
"Строй Сервис" проводила строительно-монтажные работы.
Товарная политика фирмы: описание прогнозов продаж, а, следовательно, и
доходов, затрудняется в результате специфики деятельности, неравномерности
поступления заказов и по количеству и по объемам предоставляемых услуг.
Ценовая политика: услуги реализуется согласно территориальным единичным
расценкам, разработанных и утвержденных Региональным Центром ценообразования в
строительстве по Мурманской области (сборники обновляются ежеквартально), а
также - нормативных документов, утвержденных ГосСтроем РФ. Усредненное
ценообразование основывается на затратах - сметах (КС-2, КС-3), а именно:
наценка на сумму себестоимости затрат и себестоимости выполняемых работ.
1.4 SNW-
анализ деятельности ООО "Норд - Строй"
Стратегический SNW-анализ предназначен для оценки внутренней среды
предприятия, с учетом позиций и направлений деятельности. Оценка проводится
качественным методом, с выявление сильных, слабых и нейтральных позиций.
Таблица 14 Оценка внутренней среды предприятия
|
Наименование позиции
|
Качественная оценка позиций
|
|
S Сильная
|
N Нейтральная
|
W Слабая
|
|
1.Стратегия организации
|
|
х
|
|
|
2. Бизнес стратегии (в целом), в том числе:
|
|
|
|
|
Продажа кондитерских изделий
|
|
х
|
|
|
3. Оргструктура
|
х
|
|
|
|
4.Финансы как общее финансовое положение, в том числе:
|
|
|
|
|
4.1 Финансы как состояние текущего баланса
|
х
|
|
|
|
4.2 Финансы как уровень бухучета
|
|
|
|
4.3 Финансы как финструктура
|
|
х
|
|
|
4.4 Финансы как доступность инвестиционных ресурсов
(кредиты, размещение ценных бумаг и т.д.)
|
х
|
|
|
|
4.5Финансы как уровень финансового менеджмента
|
|
|
х
|
|
5. Услуга как конкурентоспособность (в целом), в том
числе:
|
|
|
|
|
Продажа кондитерских изделий
|
|
х
|
|
|
6.Структура затрат (уровень себестоимости) по бизнесу (в
целом), в том числе:
|
|
|
|
|
Продажа кондитерских изделий
|
х
|
|
|
|
7.Дистрибуция как система реализации продукции (в целом), в
том числе
|
|
х
|
|
|
7.1. Как материальная структура
|
|
х
|
|
|
7.2. Как умение торговать
|
|
х
|
|
|
8. Информационная технология
|
|
|
х
|
|
9. Инновации как способ к реализации на рынке продуктов
|
|
|
х
|
|
10. Способность к лидерству в целом, в том числе:
|
|
х
|
|
|
10.1 Способность к лидерству одного лица
|
х
|
|
|
|
10.2 Способность к лидерству всего персонала
|
|
х
|
|
|
10.3 Способность к лидерству как совокупность объективных
факторов
|
|
х
|
|
|
11. Уровень производства в целом, в том числе:
|
|
|
|
|
12. Уровень маркетинга
|
|
|
х
|
|
13. Уровень менеджмента
|
|
х
|
|
|
14. Качество торговой марки
|
х
|
|
|
|
15. Качество персонала
|
х
|
|
|
|
16. Репутация на рынке
|
|
х
|
|
|
17. Репутация как работодателя
|
|
х
|
|
|
18. Отношения с органами власти (в целом), в том числе:
|
|
|
|
|
18.1. С органами местного самоуправления
|
х
|
|
|
|
18.2. С системой налогового контроля
|
х
|
|
|
|
19. Послепродажное обслуживание
|
х
|
|
|
Данный анализ дает более полное представление о преимуществах и
недостатках ООО "Норд - Строй". Определяются мероприятия,
направленные на устранение недостатков, таких как слабый маркетинга, имидж,
конкурентоспособность на рынке, уровень продаж, так как данные слабые или
нейтральные стороны могут привести к снижению эффективности и результативности
деятельности ООО "Норд - Строй".
.5
SWOT-анализ деятельности ООО "Норд - Строй"
Применяемый для анализа среды метод SWOT (англ.SWOT)
- сила (strength), слабость (weakness), возможности (opportunities) и угрозы (threats) - является широко признанным подходом, позволяющим
провести совместное изучение внешней и внутренней среды.. Методология SWOT предполагает сначала выявление
сильных и слабых сторон, а также угроз и возможностей, и после этого
установление цепочек связей между ними, которые в дальнейшем могут быть
использованы для формулирования стратегии ООО "Строй Сервис".
Возможности среды представлены в таблице 15.
Таблица 15 Возможности внешней среды
Далее в таблице 16 представлена матрица отсечения возможностей.
Таблица 16
Таким образом, в процессе отсечения не участвуют в дальнейшем анализе
такие факторы как:
)Увеличение доли рынка
) Расширение горизонта услуг
) Обновление ассортимента
) Наличие высококвалифицированных кадров
) Наличие выгодных поставщиков
) Наличие неудовлетворенного спроса
Далее, аналогичным образом, проводим анализ угроз внешней среды.
Таблица 17 Оценка угроз внешней среды
Далее в таблице 18 представлена матрица отсечения угроз.
Таблица 18
Таким образом, в процессе отсечения не участвуют в дальнейшем анализе
такие факторы как:
) появление новых конкурентов;
) изменение экономической обстановки в стране;
) увеличение стоимости закупки;
) ужесточение налоговой системы;
) изменение политики государства;
) кризисные ситуации в экономике.
Далее представлен анализ сильных и слабых сторон.
Таблица 19 Анализ сильных сторон организации
Таким образом, сильными сторонами предприятия являются наличие стабильных
заказов, квалифицированный персонал, широкий ассортимент услуг, знание рынка и
потребителей, высокая доля рынка.
В таблице 20 представлен анализ слабых сторон предприятия.
Таблица 20 Анализ слабых сторон организации
Далее представлена матрица SWOT.
Таблица 21 Матрица SWOT
Рассматривая результаты SWOT -
анализа, предприятию можно предложить стратегию развития компании, за счет
использования сильных сторон и возможностей предприятия. Данное направление
можно реализовать по средством открытия дополнительного производства по
производству сендвич-панелей, которые являются особо актуальной продукций в
сфере строительства.
2.
Теоритические основы организации производства на предприятии
.1 Системная
концепция организации производства
Современная наука считает каждое предприятие системой деятельности
(коллектив людей, материальных и финансовых средств), связанных между собой
целью причинно - следственных взаимоотношений и управляемых на основе
получаемой и предоставляемой информации, с целью получения конечного продукта.
Сущность функционирования системы в данном случае сводится к движению
информации, энергии и материалов, связанному с переработкой входов (например
материалы, информация, инструменты, финансовые средства) для получения желаемых
выходов (готовое изделие, услуги, информация, прибыль). Первичным звеном
системы является элемент. Элемент - это объект, неподдающийся дальнейшему
делению на части [8, с. 45].
Для целей исследования производственной системы осуществляется
классификация элементов, составных частей предприятия, а также отношений между
ними.
Классификация элементов по содержанию.
В этом случае выделяют следующие элементы: коллектив людей, машины и
оборудование, материалы, энергия и информация. Все эти элементы взаимодействуют
друг с другом. В производственной системе предприятие выделяет следующие
подсистемы:
Социальная - комплекс отношений между людьми как организационное
проявление системы. Производственно - техническое - материальные средства
(комплекс машин и оборудования, материалы и инструменты, энергия). Подсистема
информации - информационные элементы и их взаимосвязи. [14, с. 27].
Классификация элементов по признакам управления и исполнения.
Управляемая подсистема предприятия - это совокупность производственных
процессов, реализация которых обеспечивает изготовление продукции и выполнение
задач.
Управляющая подсистема - это совокупность взаимосвязанных методов
управления, реализуемых людьми с помощью технических средств. Для обеспечения
эффективного функционирования производства (это планирование, регулирование,
контроль, стимулирование) [41, с. 33].
Классификация элементов по структурным подразделениям и процессам.
Предприятие состоит из структурных подразделений, в которых
осуществляется производство и управление. Их следует рассматривать как элементы
предприятия. В состав предприятия входят следующие производственные
подразделения: филиалы, производства, цеха, участки, бригады. Подразделениями
инфраструктуры являются - ремонтное, транспортное, складские хозяйства;
инструментальное производство; отделы и службы заводоуправления; научно -
техническое подразделения.
Особенности предприятия как системы.
Предприятие следует рассматривать как открытую систему, которая тесно
взаимодействует с внешней средой. Средой для предприятия являются - народное
хозяйство, другие предприятия и организации, органы управления, зарубежные
партнеры и т.д., т.е. все те части внешнего мира, которые с ним взаимодействуют
и связаны с ним договорными отношениями или обменом информации [30, с. 21].
Предприятие представляет собой динамическую систему, обладающую,
способностью изменяется, развивается.
Предприятие - это саморегулирующая система, которая может приспосабливаться
в определенных пределах, как к внутренним, так и к внешним изменениям.
Реализация принципов системности при проектировании производственных
систем и организации производства предполагает ориентацию на комплексное
решение проблем экономики, техники, организации производства и социальных задач
коллектива; внедрение многовариантного проектирования, анализ и выбор
альтернативных решений в процессе определения рациональных направлений
совершенствования организации производства; использование систем оценок,
критериев и нормативов эффективной организации производства в процессе её
проектирования и функционирования.
Концептуальная модель организации производства.
Структура модели организации производства должна включать: формулировку
целей организации производства и критерии эффективности организации
производственной системы; общую характеристику системы производства на
предприятии состав входящих в нее подсистем; перечень задач организации
производства, реализуемых в каждой подсистеме с указанием основных
исполнителей; характеристику функции линейных руководителей и специальных
подразделений в области организации производства; схему информационных потоков
и документооборота в системе организации производства [29, с. 55].
Цели организации производства.
Главная цель организации производства - обеспечить экономическую и
социальную эффективность функционирования предприятия. Система организации
производства - это совокупность организационных форм, методов и правил,
осуществление которых обеспечивает рациональное функционирование элементов
производственной системы и их взаимодействие в процессе производства продукции.
Основными элементами производственного процесса является орудия труда,
предметы труда и сам труд. Организации производства должна обеспечить согласованное
и эффективное функционирование этих элементов в рамках производственной
системы.
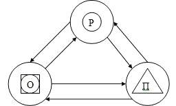
Рисунок 2 - Отражение взаимосвязей элементов
производственного процесса. Р - рабочая сила. О - орудие труда. П - предметы труда.
В составе системы организации производства выделяют подсистем,
учитывающих особенности тех или иных производственных процессов. Этот комплекс
подсистем включает функциональные подсистемы: организации подготовки
производства и освоение выпуска новой продукции; организации основных
производственных процессов; организации производственной инфраструктуры;
организации работ по обеспечению качества продукции; организации материального
обеспечения производства; организации реализации сбыта продукции [32, с. 77].
Рисунок 3 - Отражение связей организации
функциональных подсистем: КПП - Комплекс подготовки производства; ОКП -
Обеспечение качества продукции; ПИ - Производственной инфраструктуры; МТО -
Материала технические обеспечения; СРП - Сбыта и реализации продукции; ПП -
Производственных процессов
Чтобы обеспечить интеграцию всех групп процессов в
единый производственный процесс, система организации производства осуществляет
Интеграционные функции, которые реализуются путем создания производственной
структуры, системы оперативного планирования производства и системы
экономических отношений [41, с. 61].
Задачи организации производства, реализуемые в
функциональных подсистемах.
Производственная структура выражает и определяет
взаимодействие элементов производственного процесса и соединение частичных,
процессов в пространстве. Система формирования производственной структуры
решает задачи определения состава подразделений, входящих в предприятия; выбор
и обоснования характера их специализации и установление производственных связей
между ними; оптимизации объектов производства.
Система оперативного планирования решает задачи
рационального сочетания производственных процессов во времени. Для этого
разрабатываются календарные планы производства, осуществляется диспетчеризация
и регулирование хода производственного процесса, обеспечивается на должном
уровне поддержания производственных заделов.
Система организации внутрипроизводственных
экономических отношений предусматривает реализацию задач экономического
обособления подразделений, входящих в состав предприятия; внедрение
разнообразных форм внутрипроизводственного хозрасчета, создание организационных
условий для эффективной работы в условиях многообразия форм собственности.
Процесс организации производства.
Процесс организации производства предусматривающий
проектирование, построение, обеспечения функционирования и совершенствования
производственных систем, включает ряд взаимосвязанных видов работ.
В работе по организации производства необходимо
определить организационную цель, т.е. определить результат, ожидаемый от
проведения конкретной организационной работы. [14, с. 82].
После того, как цели организации определены, нужно
установить виды деятельности, необходимые для их достижения, т. с. выявить
перечень работ, которые должны быть выполнены. Для создания общей схемы
проведения работ необходимо привлекать работников с высоким научным кругозором
и большим опытом в области организации производства. Затем надо определить те
подразделения, которые будут участвовать в реализации организационных целей.
На следующем этапе проводится исследования состояния
организации и анализ результатов. Исследование - это оценка фактического
состояния производственной системы. В процессе анализа результатов исследования
необходимо выявить причины негативных явлений или отклонений от среднего и
нормативного уровня и сформулировать предложения по организации производства.
Результаты анализа могут подтвердить возможность
достижения поставленной цели или показать, что она несостоятельна и нуждается в
корректировке. Оформленная в окончательном виде цель может быть достигнута
путями. В связи с этим в процессе организации производства должно быть
выдвинуто и проработано несколько возможных вариантов организационной
концепции. Изучив предполагаемые варианты концепции, руководитель предприятия
принимает за основу один из ее вариантов.
После этого разрабатывается проект организации. На
этой стадии необходимо наполнить конкретным содержанием выбранную концепцию.
Реализация разработанного конкретно организационного
проекта предполагает создание специального распорядительного плана,
устанавливающего конкретные сроки выполнения тех или иных работ и
предусматривающего выделение необходимых ресурсов и т. д. [39, с. 80].
2.2 Типы,
формы и методы организации производства
Тип производства - это классификационная категория
производства, выделяемая по признакам широты номенклатуры, регулярности,
стабильности и объема выпуска продукции.
Основным показателем, характеризующим тип
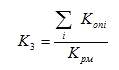
производства, является Коэффициент закрепления операций- Кз.
Кз -определяется как отношение числа всех различных
технологических операций, выполненных или подлежащих выполнению в течение
месяца, к числу рабочих мест:
Кoni- число операций, выполняемых на im рабочем месте,
Кр.м- количество рабочих мест на участке или в цехе [41, с. 115].
Различают 3 типа производства: единичное, серийное,
массовое.
Единичное производство характеризуется малым объемом
выпуска. Кз для единичного производства принимается свыше 40. Продукция
выпускается в единичных экземплярах, не повторяющаяся или повторяющаяся
непериодически. К таким предприятиям относятся заводы тяжелого станкостроения,
судостроения, энергетического машиностроения (прокатный стан, атомоход, турбина
для ГЭС).
Серийное производство характеризуется изготовлением
изделий периодически повторяющимися партиями. В зависимости от количества
изделий в партии или серии и значения коэффициента закрепления операций,
различают мелкосерийное, среднесерийное и крупносерийное производство. Для
мелкосерийного производства Кз принимают от 21 до 40 включительно, для
серийного производства - от 11 до 20 включительно, для крупносерийного
производства от 1 до 10 включительно [30, с. 124].
Серия изделий - это все изделия, изготовленные по
конструкторской и технологической документации без изменения ее обозначения.
Массовое производство характеризуется большим объемом
выпуска изделий, непрерывно изготовляемых в течение продолжительного времени.
На большинстве рабочих мест выполняется одна постоянно повторяющаяся операция
Кз = 1. К ним относятся, например, автомобильные производственные объединения
АВТОВАЗ, АВТОЗИЛ, КАМАЗ. В сборочных цехах создаются поточные линии,
характерные для массовых производственных процессов. Технологические процессы
механической обработки разрабатываются более тщательно, по переходам. За каждым
станком закрепляется относительно небольшое количество операций, что
обеспечивает наиболее полную загрузку рабочих мест. Оборудование располагается
цепочкой по ходу технологического процесса отдельных деталей. Рабочие
специализируются на выполнение одной, двух операций [18, с. 43].
Таблица 22 Сравнительная технико-экономическая
характеристика типов производства.
Тип производства решающим образом влияет на
эффективность использования ресурсов предприятия. Массовое производство
позволяет выбирать прогрессивные исходные материалы и заготовки,
высокопроизводительное оборудование и оснастку, наиболее прогрессивные формы
организации производственных процессов. Лучше использовать трудовые ресурсы.
Этим определяется и сравнительно более низкая себестоимость выпускаемой
продукции на предприятиях массового производства.
Использование групповых методов обработки,
автоматизация и электронизация производственных процессов дают возможность
применять организационные формы массового производства в серийном [14, с. 98].
Формы организации производства.
Различные структурные построения во времени и в
пространстве образуют совокупность основных форм организации- производство.
Временная структура форм организации производства
определяется составом элементов, производственного процесса и порядком их
взаимодействия во времени. По виду временной структуры различают формы организации
с последовательной, параллельной и параллельно-последовательной передачей
предметов труда в производстве.
Форма организации с последовательной передачей
предметов труда представляет собой такое сочетание элементов, производственного
процесса, при котором обеспечивается движение обрабатываемых изделий по всем
производственным участкам партиями производственной величины. Предметы труда на
каждую последующую операцию передаются лишь после окончания переработки всей
партии.
Форма организации с параллельной передачей предметов
труда основана на таком сочетании элементов производственного процесса, которое
позволяет запускать, обрабатывать и передавать предметы труда с операции на
операцию поштучно и без ожидания.
Форма организации с параллельно-последовательной
передачей предметов труда является промежуточной между последовательной и
параллельной формами. Изделия с операции на операцию передаются транспортными
партиями. [32, с. 104].
Пространственная структура форм организации
производства определяется количеством технологического оборудования,
сосредоточенного на рабочей площадке (числом рабочих мест), и расположением их
относительно движения предметов труда и окружающего пространства.
В зависимости от количества технологического
оборудования различают однозвенную производительную систему и соответствующую
ей структуру обособленного рабочего места и многозвенную систему с цеховой
структурой.
Цеховая пространственная структура характеризуется
созданием участков, на которых оборудование расположено параллельно потоку
заготовок, что предполагает их специализацию по признаку технологической
однородности (механическая обработка, сварка, термическая обработка, окраска и
т. д.)
В этом случае партия деталей, поступающих на участок,
направляется на одно из свободных мест, где проходит необходимый цикл
обработки, после чего передается на другой участок (в цех).
На участке с линейно-пространственной структурой
рабочие места (оборудование) располагаются по ходу технологического процесса, и
партия деталей, обрабатываемая на участке, передается с одного рабочего места
на другое в прямой последовательности.
Предметная форма организации производства имеет
ячеистую структуру с параллельно-последовательной или последовательной
передачей предметов труда в производстве. На предметном участке устанавливается
все оборудование, необходимое для группы деталей с начала и до конца
технического процесса. Если технологический цикл замыкается в пределах участка,
он называется - предметно-замкнутым [29, с. 145].
Прямоточная форма организации производства
характеризуется линейной структурой с поштучной передачей предметов труда.
Такая форма обеспечивает реализацию ряда принципов организации: специализации,
прямоточности, непрерывности, параллельности.
Точечная форма организации производства - работа
полностью выполняется на одном рабочем месте. Изделия изготовляются там, где
находятся его основные части (пример, сборка изделия с перемещением рабочего
вокруг него).
Интегрированная форма организации производства
предполагает объединение основных и вспомогательных операций в единый
интегрированный процесс с различными формами передачи предметов труда в
производстве.
В зависимости от способности к переналадке на выпуск
новых изделий формы организации условно можно разделить на гибкие (переналаживаемые)
и жесткие (не переналаживаемые).
Жесткие формы организации производства предполагают
обработку деталей одного наименования. Изменение в номенклатуре выпускаемой
продукции и переход на выпуск конструктивно - новой продукции вызывает
необходимость перепланировки участка, замены оборудования и оснастки. К числу
жестких относится поточная форма организации.
Гибкие формы организации производства позволяют
обеспечить переход на выпуск новых изделий без изменения состава компонентов
производственного процесса при незначительных затратах труда и времени.
Наибольшее распространение на машиностроительных
предприятиях в настоящее время получили такие формы организации производства,
как гибкое точечное производство, гибкая предметная и прямолинейная формы [39,
с. 135].
Гибкое точечное производство предполагает
пространственную структуру обособленного рабочего места без дальнейшей передачи
предметов труда в процессе производства. Детали полностью обрабатываются в
одном месте. Приспособленность к выпуску новых изделий осуществляется за счет
изменения рабочего состояния системы.
Гибкая предметная форма организации производства
характеризуется возможностью автоматической обработки деталей в пределах
определенной номенклатуры без прерывания на переналадку. Переход к выпуску
новых изделий осуществляется путем переналаживания технических средств.
Гибкая прямолинейная форма организации производства
характеризуется быстрой переналадкой оборудования на обработку новых изделий в
пределах заданной номенклатуры путем замены инструментальной оснастки и
приспособлений, перепрограммирования систем управления. Она основана на рядном
расположении оборудования, строго соответствующем технологическому процессу с
поштучной передачей предметов труда.
В настоящее время наибольшее распространение получает
создание производства блочно-модульной формы организации, оно осуществляется
путем концентрации на участке всего комплекса оборудования, необходимого для
непрерывного производства ограниченной номенклатуры изделий и объединение
группы рабочих на выпуск конечной продукции с передачей им части функций по
управлению и планированию производством на участке [8, с. 87].
Методы организации производства.
. Метод организации индивидуального производства
используется в условиях единичного выпуска продукции или производства ее малыми
сериями и предполагает отсутствие специализации на рабочих местах; применение
широко-универсального оборудования, расположение его по группам по
функциональному назначению; последовательное перемещение деталей с операции на
операцию партиями. Условия обслуживания рабочих мест отличаются тем, что
рабочие почти постоянно пользуются одним набором инструментом и небольшим
количеством универсальных инструментов, требуется лишь периодическая замена
затупившихся и изношенных инструментов. В противоположность этому подвозка
деталей к рабочим местам и отправка деталей при выдаче новой и приемка
законченной работы происходит несколько раз в течение смены. Поэтому возникает
необходимость в гибкой организации транспортного обслуживания рабочих мест.
Организация рабочего места заключается в следующем:
наладка станка перед началом работы, а также установка инструмента на рабочих
местах осуществляется самим рабочим, при этом рабочие места должны быть
оснащены всем необходимым для обеспечения непрерывной работы; транспортирование
деталей должно осуществляться без задержек, не создавая на рабочих местах
излишнего запаса заготовок.
. Метод организации побочного производства
используется при изготовлении изделия одного наименования или конструктивного
ряда и предполагает совокупность следующих специальных приемов организационного
построения производственного процесса:
- Расположение рабочих мест по ходу технологического
процесса
- Специализацию каждого рабочего места
на выполнении одной операции
- Передачу предметов труда с операции
на операцию поштучно или мелкими партиями сразу же после окончания обработки;
- Ритмичность выпуска
- Синхронность операций
- Детальную проработку организации
технического обслуживания рабочих мест.
За поточной линией закрепляется одно наименование
деталей или изделия (такая линия называется однономенклатурной) или сходные по
конструкции и технологии детали или изделия нескольких наименований (такая
линия называется многономенклатурной) [18, с. 87].
На каждом рабочем месте выполняется только одна,
постоянно повторяющаяся операция или несколько сходных операций, чередующихся
через определенные промежутки времени. Для межоперационной и межлинейной
передачи изготовляемых объектов, как правило, применяются специальные средства
непрерывного транспорта.
Поточный метод организации можно применить при
соблюдении следующих условий:
- Объем выпуска продукции достаточно большой и не
изменится в течение длительного времени.
- Конструкцию изделия можно делить на
конструктивно-сборочные единицы, это важно для организации потока на сборке.
- Затраты времени по операциям могут
быть установлены с достаточной точностью, синхронизированы и сведены к одной
величине.
- Обеспечивается непрерывная подача к
рабочим местам материалов, деталей, сборочных узлов, возможна полная загрузка
оборудования.
Исходным моментом при проектировании поточного
производства является определением объема выпуска продукции и такта потока.
Такт- это промежуток времени между запуском (или выпуском) двух смежных изделий
на линии. [39, с. 165].
= Fg / N(2)
действительный фонд времени работы линии за
определенный период (месяц, сутки, смену) с учетом потерь на ремонт
оборудования и регламентных перерывов мин.;программа запуска за тот же период
времени шт.
Величина обратная такту, называется темпом работы
линии.
Расчет количества оборудования
= ti / r(3)
расчетное число рабочих мест на одной операции
процесса;норма времени на операцию с учетом установки, транспорт, снятие шин.
Чтобы обеспечить единый такт или ритм поточной линии
при организации поточного производства осуществляется синхронизация, то есть
производительность выравнивается по всем операциям технологического процесса.
К наиболее распространенным способам синхронизации
относятся: расчленение операции на переходы и комбинирование различных
вариантов порядка их выполнения, или группирование переходов нескольких
операций, концентрация операций, введение параллельных рабочих мест на
операциях, длительность которых равна такту, интенсификация режимов работы,
совмещение времени выполнения нескольких переходов, рационализация рабочих
приемов, совмещение времени машинной и ручной работы и другое.
В обобщенном виде синхронизация осуществляется:
. Дифференциацией операции - если операционная норма
времени больше и не кратна такту и процесс сборки легко поддается
дифференциации, выравнивать время, затрагиваемое на каждую операцию, можно
путем разбиения на более мелкие части (переходы).
. Концентрация операций - если операция по
длительности меньше такта, мелкие операции или переходы, запроектированные в
других операциях, группируются в одну.
. Комбинирование операций - если время выполнения двух
смежных операций меньше такта работы сборочной линии, можно организовать
передвижение рабочего вместе с собираемым изделием, поручив ему выполнение
нескольких операций.
Одним из основных условий непрерывной и ритмичной
работы поточных линий является организация межоперационного транспорта. В
поточном производстве транспортные средства не только используются для
перемещения изделий, но и служат для регулирования такта работы и распределения
предметов труда между параллельными рабочими местами на линии [14, с. 171].
Применяемые в поточном производстве транспортные
средства можно разделить на приводные и безприводные, непрерывного и прерывного
действия.
Наиболее часто в условиях потока применяются приводные
транспортные средства- конвейеры.
Скорость ленты конвейера при непрерывном движении
рассчитывается в соответствии с тактом поточной линии:
= Lo / r(4)
Lo - расстояние между центрами двух рабочих мест
(конвейера) м.
В случае прерывного движения, скорость конвейера
определяется по формуле
= Lo/ t тр(5)
тр - время транспортирования изделия с одной стороны
операции на другую, мин.;
Выбор транспортных средств зависит от габаритных
размеров, веса обрабатываемых изделий; типа и числа оборудования, такта,
степени синхронизации операций.
2.3
Экономический эффект организации производства
Экономический эффект от внедрения конкретных
мероприятий по организационному усовершенствованию может определяться в
стоимости или натуральном выражении. Возникает необходимость классифицировать
источники экономического эффекта организационных усовершенствований [32, с.
453].
Таблица 23 Классификация источники экономического
эффекта организационных усовершенствований
Деятельность по совершенствованию организации производства является
важным средством повышения эффективности производственных систем. Определение
экономической эффективности улучшения организации осуществляется путем
реализации ряда последовательных этапов.
Рисунок 4 - Этапы определения экономической эффективности улучшения
организации производства
Методы оценки эффективности основаны на сопоставлении показателей
сравниваемых объектов. Поэтому по каждому мероприятию необходимо выбрать объект
для сравнения.
3. Разработка
проекта по производству сендвич-панелей на базе ООО "Норд Строй"
3.1
Обоснование мероприятий по совершенствованию производства на предприятии
На фоне значительного роста темпов как гражданского, так и промышленного
строительства и учитывая востребованность сегмента быстровозводимых
металлических зданий, сендвич-панели становятся все более популярным
материалом. Быстрый рост объёмов потребления сандвич -панелей говорит сам за
себя. Количество производителей панелей растет день ото дня, но места на рынке
по-прежнему хватает всем.
Применение сэндвич-панелей в строительстве имеет ряд неоспоримых
преимуществ.
Сэндвич-панели отличаются небольшим весом, поэтому здание из панелей
легкие. Но главное преимущество - простой фундамент по отношению к обычным
зданиям. Нет необходимости производить подробные исследования почв на месте
будущего строительства и можно возводить здания там, где нельзя строить из
традиционных стройматериалов. Основная нагрузка на фундамент здания - снеговая.
Вес здания составляет примерно 25% от общей расчетной нагрузки. Для зданий из
сэндвич-панелей используется столбчатый фундамент, который выполняется локально
под каждую несущую колонну, а не целиком под все здание. Такой столбчатый
фундамент обходится в несколько раз дешевле. Его простота зачастую позволяет
заказчику возводить фундамент своими силами. Различают 3 основных типа
столбчатых фундаментов: монолитный фундамент столбчатого типа на подошве,
свайный фундамент и буронабивные сваи. Частота применения этих типов примерно
одинаковая и зависит от свойств грунта.
Сэндвич-панели удобны для монтажа, скорость возведения стен и кровли из
сэндвич-панелей самая высокая. А значит, и самая выгодная, т. к. существенно
сокращает сроки монтажа, что позволяет делать краткосрочные инвестиции в
строительство. Работы по монтажу не требуют применения сложного оборудования
для погрузки, разгрузки и подъема панелей. Особенно это важно для малых
строительных предприятий, которые не имеют такой техники и вынуждены ее
арендовать. Снижаются расходы на доставку сэндвич-панелей к месту
строительства. Идеально ровная и единообразно окрашенная поверхность
сэндвич-панелей позволяет не тратить время и средства на обработку поверхности
и создает единый эстетичный фасад.
Данный строительный материал позволяет использовать богатую цветовую
гамму и применять множество декоративных фасонных элементов, которые легко
стыкуются и сочетаются. Архитекторы и дизайнеры могут реализовать свои самые
смелые замыслы.
Сэндвич-панели отличаются высокими теплотехническими характеристиками.
Они превосходят традиционные строительные материалы (кирпич, бетон) в
десять-пятнадцать раз. Также у сэндвич-панелей очень высокие показатели по
звукоизоляции.
Уплотнители, используемые в сэндвич-панелях, не деформируются со
временем. А внешние слои панелей отлично противостоят капризам природы. Поэтому
здание, построенное из сэндвич-панелей, отличается долгим сроком службы.
Расчетный срок эксплуатации таких зданий - не менее 25 лет. Но на
практике служат они гораздо дольше.
Но главное преимущество сэндвич-панелей заключается в том, что они
представляют собой полностью готовую конструкцию стены, выполненную в заводских
условиях. Эта готовая конструкция может монтироваться на каркас из любого
материала (металл, железобетон, дерево), при этом не требует дополнительной
обработки, отделки или окраски.
Из всего вышесказанного вывод следующий: использование сэндвич-панелей
помогает сэкономить немало средств. В первую очередь средства экономятся на
фазе строительства, которое получается более дешевым, чем традиционное, за счет
резкого уменьшения сроков и простоты работы с сэндвич-панелями. А как известно,
инвестор заинтересован построить объект в сжатые сроки, с низкими затратами и
при этом обеспечить как высокие эксплуатационные характеристики, так и
привлекательный внешний вид здания.
Наибольшее распространение в России получили панели заводского
изготовления. Размеры выпускаемых панелей у разных производителей отличаются,
они зависят от технологических возможностей производства. Максимальные размеры
панелей со- ставляют: длина - до 14 000 мм; ширина - до 1200 мм; толщина -от 50
до 300 мм.
Название "сэндвич-панели" точно подчеркивает слоистую структуру
этого современного строительного материала, представляющего собой многослойную
конструкции, состоящую из двух облицовочных слоев и теплоизоляционного слоя.
3.2
Разработка организационно-экономических мероприятий
Существует несколько технологий производства сэндвич панелей, их
особенности связаны с предназначением выпускаемых изделий (кровельные,
стеновые) и, соответственно, с используемыми в процессе производства
материалами. В последнее время сэндвич панелями стали называть многие
многослойные конструкционные единицы, хотя по своим характеристикам и
технологии монтажа, они в значительной степени отличаются друг от друга. При
строительстве быстровозводимых зданий на площадках всегда тишина - не
привлекается тяжелая техника для рытья котлована, не используются отбойные
молотки, бензопилы и прочие инструменты, которые активно применяются при
возведении зданий из дерева, кирпича, камня и бетона. Если учесть, что в
сооружениях из сэндвич панелей (каркас, легкие металлоконструкции) отличный
микроклимат, строятся они в течение полугода, выглядят нарядно и аккуратно, то
становится ясно, почему популярность этого материала растет год от года.
Сэндвич панели производятся на автоматическом и полуавтоматическом
оборудовании. Процесс изготовления материала состоит из нескольких этапов -
вначале профилируются стальные листы, затем на нижний лист металла укладывается
утеплитель (минеральная вата, пенопласт и другие виды теплоизоляционных
материалов), после этого сверху наносится клей, далее - верхний металлический
лист. Полученный "пирог" укладывается под горячий пресс, после чего
происходит обработка полуфабриката - подрезается лишний материал с торцевой
части. Это самый трудоемкий и низкопроизводительный способ, так как многие
операции выполняются вручную.
Производство сэндвич панелей считается сегодня одним из самых
быстроокупаемых видов бизнеса (так же как минимойки, автозаправки и
супермаркеты). Чем больше автоматизирован процесс выпуска материала, тем ниже
себестоимость изделия. Пенополиуретановые панели изготавливаются на
полуавтоматических линиях, где используется метод вспенивания. Принцип
следующий - под металлические листы, служащие обшивкой панели, вносится методом
распыления (при помощи шприца) пенополиуретан. Данный метод имеет недостаток -
могут образовываться пустоты и провалы в утеплительном слое.
Для производства сендвич-панелей потребуется приобрести
автоматизированную технологическую линию. Изготовление сэндвич панелей
относится к категории сложных технологических процессов. И наиболее
распространенными из них считаются клееные панели.
Это две обкладки из тонкого оцинкованного металла с вклеенным между ними
плотным слоем минеральной ваты. И создает такую продукцию линия для
производства сэндвич панелей.
Такая линия работает в автоматическом режиме с небольшим обслуживающим
персоналом. При правильной эксплуатации линии, соблюдении технологии на всех
участках производства, сэндвич панели сходят с конвейера со сравнительно низкой
себестоимостью и высокой рентабельностью.
Внешняя обшивка, то есть профилированные или гладкие листы оцинкованного
металла, толщиной 0,4до 0,6мм имеют защитное полимерное покрытие на внешнем
слое. Функции такого покрытия - защита панели от механического воздействия и
атмосферного влияния.
Независимо от типа панели, будь то стеновая или кровельная, толщина их
варьирует от 30 до 200мм. Ширина панели составляет 1000мм, при длине от 2м. до
12метров для всех типов, не считая специальных предложений для потребителей.
Стальной лист разматывается и разделяется на две части. Нижний лист на
конвейере предназначен для наружной отделки здания или сооружения. Верхний лист
на конвейере для внутренней стенки и является одинаковой для всех видов
сэндвичей.
Для структурной жесткости, прочности и целостности панели, очень важна
грамотная подготовка утеплителя. Здесь же на конвейере смонтированы устройства
по выборке пазов и подаче минеральной ваты.
Двухкомпонентный клей наносится на стальной лист с использованием
дозирующего насоса. Далее панели режутся по требуемому размеру в непрерывном
режиме линии. После резки, независимо от типа, панели перемещаются на
укладочный конвейер.
Устройство обертывания панелей в пленку и отрезание пленки осуществляется
на узле переворачивания.
Рисунок 5 - Технологическая линия по производству сендвич-панелей.
Линия для производства сэндвич панелей и ассортимент выпускаемой
продукции весьма востребован на рынке строительства.
Сюда относятся различные сооружения, устройства плоской кровли и внешней
облицовки строений, хранилища сельхозпродукции, холодильные камеры,
судостроение, стеновые перегородки, цеха по производству пищевой продукции,
гаражи, офисы, спортивные сооружения, выставочные комплексы и многие другие
конструкции.
Производство сэндвичей относится к категории не токсичных, без пыльных,
не требующих специальных мер защиты персонала.
Для производства панелей была выбрана серии "Бизнес" за счет
максимальной автоматизации всех рабочих процессов обладает высокой
производительностью. Надежность оборудования, безотходность производства,
высокое качество конечной продукции и короткие сроки окупаемости делает такую
линию выгодным вложением денежных средств, как для производителей, так и
инвесторов.
Стоимость линии для производства сэндвич-панелей серии "Бизнес"
от 6 209 500 руб. с учетом НДС
Данная технологическая линия обладает следующей производительностью:
для комплектации с максимальной длиной сэндвич-панели 6 метров - до 500
кв.м. в смену;
для комплектации с максимальной длиной сэндвич-панели 9 метров - до 650
кв.м. в смену;
для комплектации с максимальной длиной сэндвич-панели 12 метров - до 750
кв.м. в смену.
Данная технологическая линия позволит производить следующие виды готовой
продукции:
. Сендвич-панели фасадные (тpexcлoйныe сэндвич - пaнeли c наполнителем из
минеральной ваты, пенополистирола, пенополиуретана, пенополиизацианурата).
Рисунок 6 - Сендвич-панели фасадные
. Сендвич-панели стеновые и кровельные (представляют собой трехслойную
конструкцию с облицовочными слоями из стального профилированного листа с
полимерным покрытием и средним теплоизоляционным слоем из базальтовой
минераловатной плиты с поперечно ориентированным направлением волокон, или из
пенополистирольных плит. Благодаря такой конструкции, панели обладают высокой
сопротивляемостью механическим воздействиям и повышенными тепло- и звукоизоляционными
свойствами).
Рисунок 7 - Сендвич-панели стеновые и кровельные
Минимальная площадь помещения для размещения технологической линии
составляет 600 кв. м. Для нормального функционирования производства (производство,
склад сырья, склад готовой продукции), требуется более 900 кв.м.
Стоимость аренды в г. Кола, ул. Привокзальная составляет 200 рублей х 900
кв. м. = 180000 рублей в месяц.
Требования к помещению: теплое, сухое, потолки минимум 4 метра, кран-балка
для перемещения готовой продукции и других вспомогательных работ .
Для обеспечения работы технологической линии потребуется следующий
персонал: 1 оператор (мастер), 6 рабочих на загрузку и разгрузку готовой
продукции.
Затраты на оплаты труда составят 25000 х 7 человек = 175000 рублей в
месяц.
Рынок сендвич-панелей в Мурманской области отличается ненасыщенностью. В
настоящее время местные производители отсутствуют и строительные компании
заказывают продукцию в г. Москве, г. Санкт - Петербурге, г. Липецке и других
городах.
Поэтому объемы производства планируемого цеха напрямую зависят об
производственных мощностей оборудования. Максимальный выпуск продукции на
технологической линии "Бизнес" составляет 1000 кв. м. в день.
В таблице 24 представлена информация о плановой реализации сендвич
панелей на 2 года работы цеха.
Таблица 24 Прогноз реализации сендвич-панелей на 1 и 2 год работы
предприятия в кв. м.
В качестве метода ценообразования выбран затратный метод ценообразования,
который заключается в расчете себестоимости квадратного метра продукции.
Себестоимость листа сэндвич панели 10 мм складывается из стоимости
следующих компонентов:
Стоимость пенопласта марки 25 для панели толщиной 10мм - 100 руб.
Стоимость лицевой (с защитной пленкой) - 470 руб. за лист 3000 х 1500мм
Стоимость ПВХ подложки 300 х 1500мм - 300 руб.
Стоимость клея на одну панель - 100 руб.
Итого себестоимость 1 кв. метра составляет 970 руб.
Среднерыночная цена 1 кв. метра составляет 1470 рублей.
Для привлечения потребителей первоначальную розничную цену
сендвич-панелей определим ниже среднерыночной на отметке 1450 рублей.
Помимо расходов на сырье, для производства сендвич-панелей потребуется
учесть текущие затраты, в которые входят расходы на электроэнергию, заработную
плату персонала, аренду помещения.
Размер текущих затрат в месяц представлен в таблице 25.
Таблица 25 Текущие затраты на производство сендвич-панелей в месяц
Таким образом. Текущие затраты составляют 6222745 рублей в месяц.
Для продвижения новой продукции на рынке потребуется дополнительные
затраты на маркетинг. В систему продвижения продукции будут входить размещение
информации о продукции на баннере, размещение рекламного ролика на радио,
создание сайта. Затраты на маркетинг представлены в таблице 26.
Таблица 26 Затраты на маркетинг
По данным таблицы 26 видно, что общие затраты на маркетинг составляют 62
000 рублей.
Таким образом, совокупные инвестиционные затраты на открытие цеха по
производству сендвич-панелей составляет 7451500 рублей, в которую входят
затраты на приобретение оборудования, первоначальный взнос за аренду, затраты
на маркетинг и первоначальное приобретение сырья.
3.3 Анализ и
оценка рисков, связанных с совершенствование производства предприятия
Для анализа и оценки рисков применяется качественный и количественный
анализ.
. Качественная оценка рисков.
Для проведения качественной оценки рисков по проекту используем по
стадийный метод оценки рисков.
Весовое значение (W)
характеризует принадлежность риска к соответствующей зоне:
W = 1
- катастрофический риск;
W =
0,1 - критический риск;
W =
0,06 - повышенный риск;
W =
0,001 - минимальный риск.
Значение риска определяется по формуле:
Р1% = V% * W, (6)
Где Р1 - значение риска,
V% -
вероятность события,
W -
вес
Риск по группе определяется как сумма значений рисков, входящих в данную
группу.
Р2% = Р11 + Р12 + Р13 +…..P1n , (7)
Где Р11 - значение 1 риска, входящего в группу,
Р12 - - значение 2 риска, входящего в группу
P1n - - значение n риска, входящего в группу
В таблице 27 представлены результаты комплексного качественного анализа
рисков по проекту.
Таблица 27 Результаты комплексного качественного анализа рисков по
открытию цеха по производству сендвич-панелей.
|
Группа рисков
|
Перечень рисков
|
Вер.событ. V %
|
Вес W
|
Знач. РискаР1%
|
Риск по группеР2 %
|
|
1
|
Прединвестиционная стадия.
|
|
а
|
Принятие решений
|
Задержка принятия решения о начале открытия производства
|
10
|
0,001
|
0,01
|
0,25
|
|
|
Задержка принятия решения о составе кадров
|
15
|
0,001
|
0,015
|
|
|
в
|
Качества инвестицион. проекта
|
Нежизнеспособность проекта
|
5
|
0,001
|
0,005
|
0,195
|
|
|
Не достаточная проработанность проекта
|
3
|
0,06
|
0,18
|
|
|
|
Недостаточная подготовка инфраструктуры
|
10
|
0,001
|
0,01
|
|
|
с
|
Внеш.факторы
|
Увеличение конкурентов
|
30
|
0,001
|
0,03
|
0,03
|
|
Итого:
|
0, 475
|
|
2
|
Инвестиционная стадия
|
|
а
|
Источники финансирования
|
Перебои с финансированием
|
0,06
|
0,6
|
0,62
|
|
|
Нехватка собственных средств
|
20
|
0,001
|
0,02
|
|
|
в
|
Оборудование
|
Заказ не качественного оборудования
|
20
|
0,001
|
0,02
|
0,035
|
|
|
Подорожание оборудования
|
15
|
0,001
|
0,015
|
|
|
Итого:
|
0,655
|
|
3
|
Эксплуатационная стадия
|
|
а
|
Заготовка сырья
|
Сбои в поставках сырья
|
15
|
0,001
|
0,015
|
0,015
|
|
в
|
Производство продукции
|
Не полная загруженность производственных мощностей.
|
5
|
0,06
|
0,3
|
0,31
|
|
|
Недостаточный контроль исполнения приказов.
|
10
|
0,001
|
0,01
|
|
|
с
|
Маркетинг
|
Недостатки в рекламной политике.
|
10
|
0,001
|
0,01
|
0,145
|
|
|
Недостаточная популярность
|
2
|
0,06
|
0,12
|
|
|
|
Изменение запросов потребителей.
|
15
|
0,001
|
0,015
|
|
|
е
|
Фин. положение предприятия
|
Ухудшение платежеспособности
|
1
|
0,1
|
0,1
|
0,1
|
|
Итого:
|
0,57
|
|
4 Эксплуатационная стадия.
|
|
а
|
Социальные факторы
|
снижение численности населения.
|
60
|
0,001
|
0,06
|
0,11
|
|
|
Рост социального расслоения
|
50
|
0,001
|
0,05
|
|
|
в
|
Технические факторы
|
Повышение степени модернизации техники.
|
30
|
0,001
|
0,03
|
0,15
|
|
|
Ухудшение транспортной системы
|
2
|
0,06
|
0,12
|
|
|
с
|
Экономические факторы.
|
Рост налогов и пошлин.
|
20
|
0,001
|
0,02
|
0,6
|
|
|
Рост инфляции.
|
25
|
0,001
|
0,025
|
|
|
|
Рост тарифов на энергоносители, топливо, водоснабжение.
|
9
|
0.06
|
0,54
|
|
|
|
Рост транспортных расходов.
|
15
|
0,001
|
0,015
|
|
|
д
|
Экологические факторы
|
Изменение средней температуры
|
5
|
0,001
|
0,005
|
0,005
|
|
е
|
Политические факторы
|
Изменения трудового, налогового законодательства
|
35
|
0,001
|
0,035
|
0,045
|
|
|
Нестабильная политическая обстановка
|
10
|
0,001
|
0,01
|
|
|
Итого:
|
0,91
|
|
ИТОГО
|
2,6
|
По результатам видно, что наибольшую опасность представляют риски:
1. Не полная загруженность производственных мощностей.
. Недостаточная популярность
3. Перебои с финансированием
. Рост тарифов на энергоносители, топливо, водоснабжение.
Главная мера по борьбе с первым риском - привлечение новых клиентов,
предоставление качественных услуг сервисного центра, обеспечение стабильных
характеристик услуги. Для борьбы с риском номер два необходимо разработать
более продуманный и более эффективный маркетинговый план в частности увеличить
рекламу предприятия. Номер три, для борьбы с ним нам необходимо более тщательно
подумать проект сначала и до конца и провести консультации со специалистами
высшего уровня. Номер четыре, самым эффективным способом борьбы с этим риском
будет работа с учредителями как с основным источником финансирования, чтобы у
них не возникало чувства не уверенности в надежности проекта.
. Количественная оценка рисков.
Для проведения количественного анализа рисков по проекту необходимо
составить карту наиболее опасных рисков для предприятия (таблица 28).
Таблица 28 Карта рисков цеха по производству сендвич-панелей
Для минимизации влияния рисков на работу будущего предприятия необходимо
постоянно проводить мониторинг рисков, составлять план работ по управлению
рисками, вести базу данных рисков, проводится отслеживание рисков, планируются
резервы, включающие резерв времени, резерв денежных средств на дополнительный
штат, инструменты, дополнительное время разработки, резервный штат, включая
список специалистов, которых можно быстро привлечь к работе.
4. Расчет
показателей экономической эффективности проектного мероприятия по
совершенствованию производства на ООО "Норд - Строй"
4.1
Финансовый план проекта
Для реализации проекта потребуются следующие инвестиционные затраты
представленные в таблице 29.
Таблицы 29 Инвестиционные затраты на реализацию проекта
Таким образом инвестиционные затраты составляют 7451500 рублей.
Далее для оценки эффективности проекта постоим прогнозный отчет о
прибылях и убытках на 2 года работы цеха по кварталам.
Таблица 30 Прогнозный отчет о прибылях и убытках на 1 год работы
предприятия
Таким образом, в 1 год работы предприятия с учетом неполной загрузки
производственных мощностей предприятия и розничной цены ниже среднерыночной
предприятие сможет получить совокупную годовую чистую прибыть в размере 8244048
рублей.
Для оценки экономической эффективности проекта целесообразно использовать
методы, позволяющие привести к единому моменту времени разновременные денежные
потоки (дисконтирование денежных потоков). В качестве точки приведения
принимается момент времени, соответствующий началу инвестирования.
4.2 Расчет
показателей экономической эффективности
Таким образом, для комплексной оценки экономической эффективности
необходимо рассчитать следующие четыре основных показателя:
- чистый дисконтированный доход - NPV;
- индекс доходности - PI;
- внутреннюю норму доходности - IRR;
- срок окупаемости - PP.
Чистый дисконтированный доход (NPV)
Чистый дисконтированный доход - NPV - показывает сегодняшнюю стоимость проекта с точки зрения будущих затрат
и доходов. В нашем случае NPV характеризует эффективность проекта при известном
значении нормы дисконта. Для нахождения NPV применяется формула:
NPV =
) -
)(8)
В качестве ставки дисконтирования принимается ставка инфляции 6,4% и
процент рисков по проекту 2,6%, то есть 9%, поскольку источниками
финансирования будут являться собственные средства предприятия.
NPV =
Так как результатом расчетов является положительная величина чистой дисконтированной
стоимости (NPV>0), то рентабельность инвестиций превышает минимальный
коэффициент дисконтирования, и это свидетельствует о целесообразности принятия
решения о финансировании проекта.
Индекс доходности (PI)
Индекс доходности позволяет определить, в какой мере возрастёт богатство
инвестора в расчёте на 1 рубль инвестиций. В данном случае применима следующая
формула:
PI=
)
)(9)
PI=
Полученное значение индекса доходности PI>1. Это означает, что данный проект следует принять.
Относительная прибыльность проекта составит 0,02 рубля на один рубль, вложенный
в проект.
Внутренняя норма доходности (IRR)
Внутренняя норма доходности - IRR - это расчёт уровня окупаемости средств, направляемых на финансирование
проекта. Для использования внутренней нормы доходности в качестве критерия
оценки инвестиций IRR сравнивают с
тем уровнем окупаемости вложений, который фирма (инвестор) выбирает для себя в
качестве стандартного. Для определения внутренней нормы доходности используют
формулу:
IRR = i1 +
(9)
NPV2 =
IRR =
i1≤
IRR ≤ i2
% ≤ 10,66% ≤ 12%
Найденное значение IRR превышает определённую инвестором ставку дохода на
капиталовложения, составляющую не менее 10%.
Срок окупаемости (PP)
Период окупаемости - один из наиболее распространенных показателей для
оценки инвестиционных проектов. Срок окупаемости - PP - это период, начиная с которого первоначальные вложения и
другие затраты, связанные с инвестиционным проектом, покрываются суммарными результатами
его осуществления.
PP=
(10)
PP =
Таким образом, приведенные выше расчеты свидетельствуют о
целесообразности и выгодности открытия цеха по производству сендвич-нанелей на
базе ООО "Норд - Строй"
Заключение
производство swot snw экономический
Дипломный проект был посвящен совершенствованию производства ООО
"Норд - Строй". Главная цель совершенствования производства -
обеспечить экономическую и социальную эффективность функционирования
предприятия. Система совершенствования производства - это совокупность
организационных форм, методов и правил, осуществление которых обеспечивает
рациональное функционирование элементов производственной системы и их
взаимодействие в процессе производства продукции. Основными элементами
производственного процесса является орудия труда, предметы труда и сам труд.
Организации производства должна обеспечить согласованное и эффективное
функционирование этих элементов в рамках производственной системы.
Теоретической основой исследования служат достижения
научной мысли отечественных и зарубежных ученых в области экономики, управления
и планирования материально-технического снабжения строительного производства.
В процессе проведения исследования были использованы
методы анализа и синтеза, логического, системного, экономико-статистического
анализа и другие общенаучные методы.
Объектом исследования является ООО "Норд -
Строй".
Предметом - возможность совершенствования производства
на предприятии.
Дипломный проект состоит из введения, 4 разделов,
заключения и списка использованных источников.
В первом разделе проводится анализ деятельности ООО "Норд -
Строй". Анализируется внешняя и внутренняя среда предприятия с
использование методик SNW-анализа
и SWOT-анализ, выявляются перспективные
направления совершенствования производства предприятия.
Во втором разделе рассматриваются и обобщаются теоретические аспекты
совершенствования производства в современных условиях. Основной акцент
направлен на современную концепцию производства, типы, виды и формы
производства, а также на эффективность совершенствования производства на
современных предприятиях.
В третьем разделе предлагаются проектные мероприятия по совершенствованию
производства ООО "Норд - Строй". В качестве проектного мероприятия
предлагается внедрить на предприятии производство сендвич-панелей. На фоне
значительного роста темпов как гражданского, так и промышленного строительства
и учитывая востребованность сегмента быстровозводимых металлических зданий,
сендвич-панели становятся все более популярным материалом. Применение
сэндвич-панелей в строительстве имеет ряд неоспоримых преимуществ.
Сэндвич-панели отличаются небольшим весом, поэтому здание из панелей
легкие. Но главное преимущество - простой фундамент по отношению к обычным
зданиям.
Сэндвич-панели удобны для монтажа, скорость возведения стен и кровли из
сэндвич-панелей самая высокая. А значит, и самая выгодная, т. к. существенно
сокращает сроки монтажа, что позволяет делать краткосрочные инвестиции в
строительство. Работы по монтажу не требуют применения сложного оборудования
для погрузки, разгрузки и подъема панелей. Особенно это важно для малых
строительных предприятий, которые не имеют такой техники и вынуждены ее
арендовать. Снижаются расходы на доставку сэндвич-панелей к месту
строительства. Идеально ровная и единообразно окрашенная поверхность
сэндвич-панелей позволяет не тратить время и средства на обработку поверхности
и создает единый эстетичный фасад.
Данный строительный материал позволяет использовать богатую цветовую
гамму и применять множество декоративных фасонных элементов, которые легко
стыкуются и сочетаются. Архитекторы и дизайнеры могут реализовать свои самые
смелые замыслы.
Сэндвич-панели отличаются высокими теплотехническими характеристиками.
Они превосходят традиционные строительные материалы (кирпич, бетон) в
десять-пятнадцать раз. Также у сэндвич-панелей очень высокие показатели по
звукоизоляции.
Уплотнители, используемые в сэндвич-панелях, не деформируются со
временем. А внешние слои панелей отлично противостоят капризам природы. Поэтому
здание, построенное из сэндвич-панелей, отличается долгим сроком службы.
Расчетный срок эксплуатации таких зданий - не менее 25 лет. Но на
практике служат они гораздо дольше.
Но главное преимущество сэндвич-панелей заключается в том, что они
представляют собой полностью готовую конструкцию стены, выполненную в заводских
условиях. Эта готовая конструкция может монтироваться на каркас из любого
материала (металл, железобетон, дерево), при этом не требует дополнительной
обработки, отделки или окраски.
Из всего вышесказанного вывод следующий: использование сэндвич-панелей
помогает сэкономить немало средств. В первую очередь средства экономятся на
фазе строительства, которое получается более дешевым, чем традиционное, за счет
резкого уменьшения сроков и простоты работы с сэндвич-панелями.
В четвертом разделе рассчитываются показатели экономической эффективности
с помощью построения прогнозного отчета о прибылях и убытках. Также для оценки
экономической эффективности проекта целесообразно использовать методы,
позволяющие привести к единому моменту времени разновременные денежные потоки
(дисконтирование денежных потоков). В качестве точки приведения принимается
момент времени, соответствующий началу инвестирования.
Таким образом, для комплексной оценки экономической эффективности
необходимо рассчитать следующие четыре основных показателя:
чистый дисконтированный доход - NPV - 111846,8 рублей;
- индекс доходности - PI -
1,02;
- внутреннюю норму доходности - IRR - 10,65%;
- срок окупаемости - PP - 1 год
Приведенные выше расчеты свидетельствуют о целесообразности и выгодности
открытия цеха по производству сендвич-панелей.
Таким образом, цель дипломного проекта является
разработка мероприятий по совершенствованию производства ООО "Норд -
Строй" - была достигнута.
А поставленные для достижения цели задачи, такие как:
- провести анализ деятельности ООО
"Норд - Строй";
- рассмотреть теоретические аспекты
совершенствования производства в современных условиях;
- разработать мероприятия по
совершенствованию производства ООО "Норд - Строй";
- рассчитать экономическую
эффективность проектных мероприятий.
Выполнены в полном объеме.
Список
использованных источников
1. Алексеева, М. М. Планирование деятельности фирмы: Учебно-методическое
пособие. / М.М. Алексеева. - М.: Финансы и статистика, 2009. -248 с.
2. Ансофф, И. Стратегическое управление. / И. Ансофф. -
М.: Экономика, 2009. - 532с.
. Арман, Д. Академия рынка: Маркетинг. / Джоан Арман.
- М.: Экономика, 2009. - 574 с.
. Барроу, П. Бизнес-план, который работает / Пол
Барроу. - М.: Альпина Бизнес Букс, 2009. -345 с.
. Волгин, В. В. Склад: организация и управление:
Практическое пособие / В. В. Волгин. - М.: Маркетинг, 2010. - 361 с.
6. Голубков, Е. П. Маркетинг: стратегии, планы, структуры.
/ Е.П. Голубков - М.: Дело - 2008. -391 с.
7. Гэлловэй, Л. Операционный менеджмент: Принципы и
практика / Л. Гэлловэй. Пер. с англ. С. Жильцова / Под ред. Л.А. Волковой. -
СПб.: Питер, 2009. - 319 с.
8. Джурабаев, К. Т. Производственный менеджмент: Учебное
пособие для студ. вузов / К. Т. Джурабаев, А. Т. Гришин, Г. К. Джурабаева. -
М.: КНОРУС, 2009. - 416 с.
. Дихтль, Е. Практический маркетинг / Е. Дихтль, Х.
Хершген. - М.: Высшая школа. 2009. - 255 с.
. Доиль, П. Менеджмент: стратегия и тактика. / П.
Доиль, пер. с англ. - СПб: Питер - 2009. - 740 с.
. Долинская, М. Г. Маркетинг и конкурентоспособность
продукции. / под ред. М.Г. Долинской - М: Изд-во стандартов. 2008. - 209 с.
. Друкер, П. Поведение потребителей / П. Друкер, пер.
с англ. - СПб: Питер - 2009. - 670 с.
. Друкер, П. Управление конкурентоспособностью / П.
Друкер, пер. с англ. - СПб: Питер - 2009. - 590 с.
. Желтенков, А. В. Управление операциями: операционный
менеджмент: Учебное пособие для вузов / А.В. Желтенков. - М.: ФБК-ПРЕСС, 2009.
- 208 с.
. Зенин, В. Н. Проблемы организации сервисного
обслуживания на территории РФ / В.Н. Зенин // Ремонт & сервис. - 2009. - №
5. - 4-6. с.
. Золотов, В. Методика оценки эффективности
организационных структур управления // Консультант директора. - 2009. - № 2.
-2-8. с.
. Иванов, А. П. Менеджмент: Учебник / А.П. Иванов. -
СПб.: Михайлов, 2009. - 438 с.
. Ильдеменов, С. В. Операционный менеджмент: Учебное
пособие для слушателей образоват. учреждений, обуч. по программе MBA и др.
программам подготовки управленч. кадров / С.В. Ильдеменов, А.С. Ильдеменов,
С.В. Лобов; Ин-т экономики и финансов "Синергия". - М.: ИНФРА-М,
2009. - 337 с.
. К вопросу о сущности производственного менеджмента /
А.П. Тяпухин, Е.А. Бородин. // Проблемы экономики и управления. - 2009. - № 4.
- 40-51. с.
. Казначевская, Г. Б. Менеджмент: Учебное пособие / Г.
Б. Казачанская - Ростов н/Д: "Феникс", 2004. - 352 с.
. Керимов, В. Производственный менеджмент и
управленческий учет / В. Керимов // Консультант директора. - 2011. - № 18.
-33-36. с.
. Ковалёв, В. В. Финансовый анализ / В. В. Ковалев -
М.: Финансы и статистика, 2009. - 460 с.
. Котлер, Ф. Основы маркетинга. / Ф. Котлер, пер. с
англ. - СПб.: Литера плюс - 2008 - 699 с.
. Круглов, М. И. Стратегическое управление компанией.
Учебник для Вузов / М. И. Круглов. - М.: Русская Деловая Литература, 2009. -
768 с.
. Колесников, С. Н. Инструментарий бизнеса:
современные методологии управления предприятием / С.Н. Колесников. - М.:
Статус-Кво 97, 2011. - 326 с.
. Линдерс, М. Управление снабжением и запасами.
Логистика / М. Линдерс, Х. Фирон. - М.: Виктория плюс, 2009. - 768 с.
. Переверзев, М. П. Менеджмент: Учебник для вузов / М.
П. Переверзев, Н. А. Шайденко, Л. Е. Басовский. - М.: ИНФРА-М, 2009. - 288 с.
. Переверзев, М. П. Менеджмент: Учебник для студ.
вузов / Под общ. ред. М.П. Переверзева. - М.: ИНФРА-М, 2008. - 267 с.
. Производственный менеджмент: Учебник для вузов / Под
ред. С.Д. Ильенковой. - М.: ЮНИТИ-ДАНА, 2011. - 583 с.
. Производственный менеджмент: Учебник для студ. вузов
/ Под ред. В.А. Козловского. СПб. гос. ун-т, факультет менеджмента, СПб. гос.
политехн. ун-т, СПб. ин-т информатики РАН. - М.: ИНФРА-М, 2009. - 574 с.
. Производственный менеджмент: Учебник для студ.
вузов: В.А. Козловский, А.К. Казанцев, В.В. Кобзев и др. / Под ред. В.А.
Козловского. - М.: ИНФРА-М, 2008. - 574 с.
. Производственный менеджмент: Учебник для студ. вузов
/ Под ред. С.Д. Ильенковой. - М.: ЮНИТИ-ДАНА, 2008. - 583 с.
. Роббинс, С. Менеджмент / С. Роббинс, М. Коултер. -
М.: Вильямс, 2009. - 880 с.
. Роббинс, С. Менеджмент / С. Роббинс, М. Коултер;
Пер. с англ. А.Р. Ганиевой, В.Ю. Дроздова, С.Г. Тригуб / Под ред. О.И. Медведь.
- М.: Вильямс, 2008. - 780 с.
. Рыжиков, Ю. И. Теория очередей и управление запасами
/ Ю. И. Рыжков - СПб.: Питер, 2011. - 376 с.
. Уорд, М. 50 методик менеджмента / Ред. и науч.
коммент. А.П. Колесник. - М.: Финансы и статистика, 2008. - 200 с.
. Управление затратами на предприятии: Учебное пособие
для студ. вузов, обуч. по спец. 060800 "Экономика и управление на
предприятии (по отраслям)". В.Г. Лебедев, Т.Г. Дроздова, В.П. Кустарев и
др. / Под общ. ред. Г.А. Краюхина. - СПб.: Бизнес-пресса, 2009.- 255 с.
. Фатхутдинов, Р. А. Конкурентоспособность организации
в условиях кризиса: экономика, маркетинг, менеджмент / Р.А. Фатхутдинов. - М.:
Маркетинг, 2009. - 885 с.
. Фатхутдинов, Р. А. Производственный менеджмент:
Учебник для вузов / Р. А. Фатхутдинов. - СПб.: Питер, 2009. - 496 с.
. Фатхутдинов, Р. А. Производственный менеджмент:
Учебник для вузов / Р. А. Фатхутдинов. - М.: Дашков и К*, 2010. - 472 с.
. Чейз, Ричард Б. Производственный и операционный
менеджмент / Р.Б. Чейз, Н.Д. Эквилайн, Р.Ф. Якобс; Пер. с англ. О.И. Медведь,
А.И. Мороза, О.Л. Пелявского / Под ред. Н.А. Коржа. - М.: Вильямс, 2011. - 691
с.