Агрегатное планирование в организации. Содержание и стратегии агрегатного планирования
Курсовая
работа
Агрегатное планирование в организации. Содержание и стратегии
агрегатного планирования
Введение
управление производственный
планирование агрегатный
Планирование - одна
из важнейших функций менеджера. Агрегатное планирование связано с
определением количеств и времени производства в среднесрочные периоды, в
основном, от трех до восемнадцати месяцев. Операционные менеджеры пытаются
определить наилучший путь, чтобы встретить прогнозируемый спрос, регулируя
скорость производства, уровень трудовых затрат, уровни запасов, сверхурочную
работу, скорости субподрядных работ и ряд других поддающихся контролю
переменных.
Главной
целью всех управляющих процессов является
минимизация затрат в течение всего среднесрочного периода.
Агрегатное планирование - процесс
формирования сбалансированных по ресурсам производственных программ организации
на плановый период и дифференциации их по отрезкам календарного периода и по
отдельным структурным подразделениям организации (производствам, цехам, участкам).
Определения «агрегатное» или «агрегированное», применяемые к этому виду
плановых расчетов, означает сводное, объединяющее все виды ресурсов и запасов;
планирование производственных программ (заданий) в соответствии с изменяющимся
спросом.
Агрегатное планирование является
частью значительно большей системы планирования, поэтому понимание интерфейса
(связей) между планом и несколькими внутренними и внешними факторами послужит
большему пониманию всей проблемы.
Целью курсовой работы является
изучение агрегатного планирования, рассмотрение задач, методов и стратегий
агрегатного планирования производства, а также проведение расчета
технико-экономических показателей деятельности предприятия, исходя из заданных
данных. Для достижения поставленной цели необходимо решить следующие задачи:
Ø изучить
понятие, задачи и методы агрегатного планирования;
Ø рассмотреть
стратегии агрегатного планирования;
Ø изучить
сущность агрегатного плана;
Ø провести
расчеты технико-экономических показателей деятельности предприятия с помощью
методического пособия;
Ø начертить
схему производственного помещения в соответствии с полученными данными.
Актуальность выбранной темы
заключается в том, что неотъемлемой частью организации производственного
процесса на предприятии является агрегатное планирование производства.
Объектом исследования курсовой
работы является агрегатное планирование производства, предметом является расчет
технико-экономических показателей деятельности предприятия.
Курсовая работа состоит из введения,
двух глав: теоретической и практической, заключения, библиографического списка.
В ведении выявлена актуальность
данной темы, определена основная цель курсовой работы, также определены
необходимые задачи для достижения цели, обозначены объект и предмет
исследования.
В теоретической главе дано основное
понятие агрегатного планирование, рассмотрены задачи и стратегии, методы, а
также содержание агрегатного плана.
В практической главе проведен расчет
технико-экономических показателей, таких как: коэффициент загрузки оборудования,
списочное количество производственных рабочих, переменные издержки цеха по
выпуску изделий, общий фонд заработной платы производственных и вспомогательных
рабочих, общецеховые расходы, цена единица изделия.
В заключении подведены итоги о
проделанной работе, сделаны основные выводы.
При написании работы использовались
учебники и учебные пособия для ВУЗов, периодические издания, словари,
методические пособия, ресурсы сети Internet.
1. Агрегатное
планирование в организации. содержание и стратегии агрегатного планирования
1.1
Понятие агрегатного плана
Агрегатный план производства и
продаж конечной продукции представляет второй уровень иерархии планов,
разрабатываемых на предприятии. Он позволяет сопоставить данные маркетинговых
исследований рынка и возможностей производства в среднесрочном периоде, четко
определяет в терминах продуктовых групп и семейств изделий, что должно быть
изготовлено и реализовано для того, чтобы был выполнен бизнес-план предприятия.
Агрегатный план производства и продаж относится к среднесрочным планам.
Горизонт планирования здесь должен быть достаточен для того, чтобы осуществлять
планирование ключевых ресурсов, необходимых для его выполнения. Обычно это срок
от 3 до 8 месяцев. Отметим, что для планирования многих ресурсов естественен
годичный цикл. Это персонал предприятия, закупки сельскохозяйственной
продукции, добыча ресурсов и др. Поэтому горизонт планирования для плана
производства и продаж тоже тяготеет обычно к одному году.
Как правило, ежемесячно отделы
маркетинга и продаж детализируют общий план продаж, а службы производственного
планирования - общий план производства (т.е. обе составные части плана
производства и продаж), опираясь на наличные ресурсы и преодолевая «узкие
места» производства. Балансировка возможностей и потребностей производится в
укрупненном виде. Термин «агрегирование» означает здесь укрупнение
соответствующих показателей планов и ресурсов в общие, объединяющие отдельные
позиции, показатели. Укрупненные данные прогнозируемого спроса и наличных
ресурсов, таких, как производственные мощности, запасы, численность рабочих и
пр., используются разработчиками плана для определения темпа выпуска
предприятием продукции в течение планового периода в разрезе укрупненных
позиций.
Совместное рассмотрение и обсуждение
плана производства и плана реализации верхним эшелоном руководителей
предприятия позволяет выработать тактику ведения бизнеса. Очевидно, что это
достаточно сложный и неформальный процесс, требующий многократного обсуждения и
согласования с различными службами и отделами управления предприятия.
Согласованный план производства утверждается руководством предприятия, после
чего он вступает в законную силу. Тем самым подтверждается, что он
соответствует маркетинговой политике предприятия, доступным объемам финансирования,
целям оптимального использования производственных возможностей и разработанных
инженерных решений и в конечном счете - бизнес-плану предприятия.
План производства показывает,
сколько изделий каждой группы должно быть изготовлено для того, чтобы удовлетворить
спрос, поддерживать плановый уровень запасов с учетом поступивших и незакрытых
заказов. Решающим действием на этом уровне является определение тех ключевых
ресурсов, которые, возможно, будут ограничивать выполнение плана производства.
Для определения объемов и сроков их приобретения должен составляться перечень
ресурсов, необходимых для изготовления каждой группы изделий, и выполняться
расчет потребности на основе нормативов расхода на одно усредненное изделие
группы. Показатели плана производства и продаж должны постоянно сопоставляться
и сравниваться с бизнес-планом. С другой стороны, после утверждения они
рассматриваются как задание для следующего уровня планирования - разработки
главного плана-графика производства, т.е. для определения того, сколько единиц
специфицированной конечной продукции и когда должно быть сделано.
Таким образом, разрабатывая
агрегатный план, менеджеры верхнего уровня пытаются выбрать наилучший способ
удовлетворения прогнозируемого спроса путем увязки его с наличными ресурсами.
Главной целью является минимизация затрат в течение всего среднесрочного
периода, а методами балансировки - регулирование темпов производства и уровня
использования трудовых ресурсов, уровня запасов и привлечения субподрядных
организаций, а также ряда других поддающихся контролю параметров. Агрегатное
планирование является частью общей системы производственного планирования.
Поэтому для занимающихся им менеджеров важно понимать интерфейс (связи) между
планами разных уровней, характер влияния на планы многих внутренних и внешних
факторов.
1.2
Содержание, методы и задачи агрегатного планирования
Термин
«агрегирование», применяемый к агрегатному плану, означает объединение
(укрупнение) соответствующих ресурсов в общий, объединяющий все отдельные названия.
Данные прогнозируемого спроса, производственной мощности, общего состояния
запасов, численности рабочих, относительного количества единиц материального
потока и пр. используются разработчиком плана для определения темпа выпуска
продукции предприятиями фирмы или ее рабочими центрами в течение планового
периода от трех до 18 месяцев.
Агрегатное
планирование - процесс формирования сбалансированных по ресурсам
производственных программ организации на плановый период и дифференциации их по
отрезкам календарного периода и по отдельным структурным подразделениям
организации (производствам, цехам, участкам) (2).
Агрегатное
планирование является частью значительно большей системы планирования, поэтому
понимание интерфейса (связей) между планом и несколькими внутренними и внешними
факторами послужит большему пониманию всей проблемы.
Рис. 1.1.
показывает, что операционный менеджер не только получает информацию о входных
параметрах из отдела прогнозирования спроса, но он имеет дело также с
информацией о финансах, персонале, мощности и доступности источников исходных
материалов и сырья.
Рис. 1.1.
Взаимосвязи агрегатного плана
В условиях
производственной среды результирующий главный производственный план является
основой системы планирования, удовлетворяющей требования в исходных материалах
и узлах (MRP), которая обеспечивает адресные поставки или производство
деталей, узлов или других необходимых компонент для завершения изготовления
конечного продукта. Дальнейшая детальная разработка планов загрузки рабочих
мест и изготовления изделий является финальным шагом, выполняемым в рамках
системы производственного планирования.
Агрегатное планирование охватывает
два уровня управления:
организацию в целом (межцеховый
уровень);
подразделения (внутрицеховый
уровень).
|
Межцеховое управление
|
|
- формирование производственной программы организации; -
распределение программы выпуска изделий по отдельным отрезкам планового
периода.
|
|
Внутрицеховое управление
|
|
- формирование годовых, квартальных и месячных производственных
программ по цехам; - распределение программ по отрезкам календарного периода.
|
Рассмотрим несколько методов,
которыми пользуются менеджеры при агрегатном планировании. Это интуитивный
метод, графический и табличный методы, математические методы (линейного
программирования, линейных правил принятия решений, управляющих коэффициентов,
компьютерное моделирование).
Интуитивный метод. Это, пожалуй, самый привычный и удобный для менеджера не
количественный, а качественный подход к планированию. Он основан на опыте и
интуиции принимающего решения и позволяет ему учесть множество факторов, чего
практически невозможно достичь при использовании какого-либо количественного
метода. В то же время обоснованность результатов при этом подходе обычно
вызывает сомнения. Как правило, любая организация «пронизана» множеством
факторов, большинство которых противоречивы по своему действию. Конфликты среди
различных подразделений в большой организации не так уж редки. Например,
производственные менеджеры мечтают иметь систему поточных линий, используя
которые можно производить большое количество однородной дешевой продукции, а в
периоды колебания спроса продавать ее со складов, обеспечивая, тем самым,
высокий уровень покупательского сервиса. Финансовые менеджеры предпочитают
минимизировать складские запасы (заделы), чтобы снизить вложения в оборотные
фонды предприятия. Маркетологи, заботящиеся об удовлетворении меняющегося
покупательского спроса, знают, что огромные запасы одинаковой продукции на
складе могут никогда не востребоваться. Зная о различиях целей отдельных служб,
можно предвидеть, что полученные с помощью интуитивного подхода планы окажутся
в значительной степени субъективными и далеко не оптимальными. Многие
предприятия, которые не пользуются формализацией процесса агрегатного
планирования, используют один и тот же план из года в год, внося в него
поправки, увеличивающие или уменьшающие объем производства по отдельным
укрупненным позициям номенклатуры, достаточные на их взгляд, чтобы отреагировать
на изменения спроса. Если старый план был неоптимален, фирма обрекает себя на
принятие множества расточительных распорядительских решений, чтобы выйти из
постоянно возникающих при исполнении такого плана осложнений, но часто не имеет
в этом успеха.
Графический и табличный
методы. Графический и табличный подходы
популярны потому, что они наглядны, легки для понимания и использования. В их
основе - рассмотрение в динамике нескольких переменных одновременно, что
позволяет менеджеру сравнивать планируемую мощность с существующей. В основе
здесь лежит метод «проб и ошибок». Он не гарантирует получения оптимального
плана, но прост в использовании и позволяет за ограниченное число шагов
получить приемлемые результаты. Графический метод обычно включает пять шагов:
определение спроса для каждого
планового периода;
формирование перечня альтернативных
путей, обеспечивающих необходимую в каждом периоде производственную мощность
(например, за счет рабочего времени, использования сверхурочных работ,
заключения субподряда и т.д.);
определение соответствующих затрат
на оплату труда, прием и увольнение кадров, хранение запасов;
составление альтернативных планов,
включая анализ всех изменяемых параметров. Расчет затрат, обусловленных
принятием каждого из альтернативных вариантов;
сравнение альтернатив и выбор
лучшего варианта по критерию минимума затрат.
Возможность невыхода в результате
этой процедуры на оптимальный план объясняется просто: нельзя учесть и
формализовать действие всех факторов и сложно рассмотреть все возможные альтернативы.
Работу этого алгоритма проиллюстрируем на примере.
Математические методы. Рассмотрим подходы, относящиеся к группе
экономико-математических методов и используемые в агрегатном планировании.
Транспортный метод
линейного программирования. Когда агрегатное
планирование рассматривается как задача оперативного размещения
производственной мощности для обеспечения прогнозируемого спроса, то такая
задача может быть сформулирована в терминах линейного программирования.
Транспортный метод линейного программирования не является методом проб и
ошибок, каким считается графический метод. Он позволяет найти оптимальный план,
обеспечивающий минимизацию затрат. Он также обладает гибкостью и позволяет
определять время планового периода количество продукта, производимого как в
условиях обычной работы, так и за счет сверхурочного времени; количество
единиц, производимых по субконтракту, в дополнительные смены; запасы,
переходящие из периода в период. В следующем примере рассмотрена динамика
производственных заделов, а также выпуск продукции за счет основного рабочего
времени, сверхурочного времени и субконтракта.
Классический эвристический подход
представлен методом управляющих коэффициентов Боумана. Этот уникальный подход
создает формализованную модель принятия решений на основе опыта и интуиции
менеджера. Теоретически принимается, что прошлые представления менеджера
достаточно адекватны, и они могут быть использованы как базис для будущих
решений. Проводится регрессионный анализ решений прошлого периода, принятых менеджером,
и прогнозируется будущее решение. Линия регрессии обеспечивает связь между
переменными (скажем, спросом и трудом) для будущих периодов.
Компьютерное
моделирование. Компьютерная модель,
называемая моделированием планирования, была разработана Р. Вирджином в 1966 г.
Этот подход основан на моделировании процедуры поиска комбинации переменных,
соответствующих минимуму затрат.
Правила поиска решения. Эти правила,
разработанные В.Н. Таубергом, позволяют минимизировать затраты, соответствующие
комбинации переменных. Компьютер необходим, чтобы совершить тысячи поисковых
шагов по точкам, характеризующимся снижением затрат. Правила такого поиска
прямо не ведут к оптимальному решению, но гибкость метода достаточна, чтобы
использовать его с любым типом функции затрат.
Хотя математические методы
агрегатного планирования пригодны для использования во многих условиях, только
линейное программирование нашло некоторое применение в промышленности.
Возможно, это отражает распространенную позицию менеджеров по отношению к
чрезвычайно сложным моделям. Люди стремятся к пониманию того, как работают
модели, на которых они основывают работу. Это позволяет объяснить, почему
наиболее простые и понятные графический и табличный методы применяются особенно
часто.
Результат агрегатного планирования
обычно представлен производственным планом изготовления семейства групп
изделий. Он содержит сведения о том, например, сколько необходимо собрать
автомобилей, но не о том, сколько должно быть собрано автомобилей двухдверной
или четырехдверной версии, красной или зеленой расцветки. Такой план указывает
производителю стали, сколько тонн стали нужно произвести, но не устанавливает,
какой именно марки. Процесс перехода от агрегатного плана к более детальному
называется дезагрегированном. Дезагрегирование производится на основе более
детального изучения спроса на коротком горизонте планирования, что дает более
точную и подробную информацию для менеджера, разрабатывающего главный
план-график производства.
1.2
Стратегии агрегатного планирования
Существует
несколько вопросов, на которые операционный менеджер должен ответить, когда
разрабатывается агрегатный план.
1. Должны
ли использоваться запасы (заделы), чтобы отреагировать на изменения спроса в
течение планового периода?
2. Должны
ли изменения спроса сопровождаться изменения ми в численности рабочих?
3. Должны
ли использоваться дополнительные наемные рабочие на определенные периоды или
применяться сверхурочные работы либо, наоборот, в период флуктуации спроса
допустимы простои рабочих и оборудования?
4. Должны
ли использоваться субподрядчики в период флуктуации, с тем, чтобы сохранить без
изменений основную численность рабочих?
5. Должны
ли цены или другие факторы быть изменены, чтобы повлиять на спрос?
Все эти законные
стратегии планирования доступны для менеджмента. Они включают манипулирование
запасами (заделами), темпом производства, уровнем использования труда,
мощностью и другими управляющими переменными. Когда во времени изменяется
только одна переменная, мы используем то, что называется чистой стратегией.
Обычно используется набор (смесь) стратегий для того, чтобы достичь выполнимого
плана производства.
Первые пять из
перечисленных ниже называются пассивными стратегиями, потому что они не
предусматривают воздействий, изменяющих спрос, и реагируют на флуктуации
спроса, управляя внутренними ресурсами.
Последние три
являются активными стратегиями, прибегая к которым фирмы пытаются
воздействовать на рисунок спроса на протяжении планового периода.
Чистые стратегии.
1. Управление
уровнем запасов (заделов). Менеджеры могут увеличивать незавершенное
производство и запасы в периоды снижения спроса, чтобы встретить высокий спрос
в будущие периоды.
2. Варьирование
численности рабочих наймом и увольнением. Один из путей отслеживания спроса -
это найм и увольнение производственных рабочих, чтобы выровнять темп
производства. Но часто новые рабочие нуждаются в обучении и овладении навыками
работы, поэтому средняя производительность временно падает, пока эти рабочие не
адаптируются на фирме. Увольнения или «прижигание», конечно, снижает моральный
дух рабочих и может привести к снижению обшей производительности.
3. Варьирование
темпов производства путем использования сверхурочного времени или времени
простоев. Иногда оказывается возможным сохранять постоянную численность
рабочих, изменяя продолжительность рабочего времени.
4. Субподряд.
Фирма также может приобретать дополнительные временные мощности, заключая
субподряд на выполнение отдельных работ в пиковые периоды спроса.
5. Использование
временно нанимаемых рабочих. Временные рабочие особенно в секторе обслуживания
могут закрыть лишь потребность в неквалифицированном труде.
6. Воздействие
на спрос. Когда спрос низкий, компания старается воздействовать на спрос,
прибегая к рекламе, приемам продвижения товаров, увеличивая персональные
продажи и снижая цены.
. Задержка
выполнения заказа в период высокого спроса. Задержанные заказы - это заказы на
товары или услуги, которые принимаются фирмой, но не могут быть (с какой-либо
целью или случайно) выполнены в тот же момент. Если покупатели согласны ждать,
не изменяя своего мнения о фирме или не снимая заказа, «задержание заказов»
является вполне возможной стратегией.
. Производство
разносезонных изделий. Стратегия широко используемая, сглаживающая отклонения в
хозяйственных результатах.
В табл. 1.1
показаны преимущества и недостатки этих восьми стратегий.
Смешанные
стратегии. Хотя каждая из этих чистых стратегий может привести к экономящему
затраты агрегатному плану, комбинация их (называемая смешанной стратегией) часто
срабатывает лучше. Смешанные стратегии используют комбинацию переменных,
позволяющую получить наиболее соответствующий действительности производственный
план.
Таблица 1. 1 -
Стратегии агрегатного планирования
|
Стратегии
|
Преимущества
|
Недостатки
|
Комментарии
|
|
1. Изменение уровня запасов (заделов) (Производство заделов в
определенные периоды в расчете на будущий спрос.)
|
Изменение численности рабочих происходит постепенно или
отсутствует, никаких выравниваний производственного процесса не требуется
|
Затраты на содержание запасов; при неожиданном увеличении спроса
возникновение дефицита, в результате - потеря объемов продаж
|
Стратегия может быть использована на производстве, но не в
сервисе
|
|
2. Выравнивание изменением численности рабочих (прием и
увольнение их) в соответствии со спросом
|
Позволяет избежать затрат по другим альтернативам
|
Затраты, связанные с приемом и увольнением, значительны, затраты
на обучение могут возрасти
|
Используется там, где требуется неквалифицированный труд,
приносящий дополнительный доход
|
|
3. Варьирование темпа производства использованием сверхурочных
работ или времени простоев
|
Позволяет приспособиться к сезонным колебаниям спроса и избежать
затрат на прием и увольнение рабочих
|
Выплаты за сверхурочную работу, снижение производительности,
усталость рабочих могут не позволить отразить изменения спроса
|
Вносит элемент гибкости в агрегатный план
|
|
4. Субподряд
|
Обеспечивает гибкость и выравнивание выпуска
|
Потеря контроля качества, снижение выручки и возможные потери
бизнеса в будущем
|
Используется, главным образом, в производственной сфере
|
|
5. Использование временных рабочих
|
Требует меньших затрат и более гибок по сравнению с
использованием постоянных рабочих
|
Высокие затраты на прием, увольнение и обучение (влияет на
качество, усложняет оперативное планирование)
|
Годится для низко-квалифицированных работ и территорий с
избыточной рабочей силой
|
|
6 Варьирование спроса с помощью рекламы, цен и пр
|
Позволяет использовать избыточное оборудование и выравнивает
появление и исчезновение покупателей
|
Ненадежность в обеспечении спроса. Трудно добиться согласования
спроса и его удовлетворения
|
Укрепляет идеи рынка. Избыток предложения наблюдается в
некоторых видах бизнеса
|
|
7 Задержка заявок в периоды высокого спроса
|
Позволяет избежать сверхурочных работ и держать мощности на
постоянном уровне
|
Покупатель может обратиться к другому производителю, но может и
остаться, однако теряет доверие к фирме
|
Многие компании сдвигают выдачу заказов, но покупатели выражают
желание ждать
|
|
8. Смесь всесе-зонных продуктов и сервиса
|
Более полное использование ресурсов, возможность избежать
однообразия и монотонности в труде рабочих
|
Может потребовать мастерства или дополнительного оборудования
для проведения экспертизы за пределами территории фирмы
|
Риск в нахождении продуктов или услуг, противоположных по
назначению, обеспечивающих производство в относительно стабильных объемах
|
Смешанные
стратегии. Хотя каждая из этих
чистых стратегий может привести к экономящему затраты агрегатному плану,
комбинация их (называемая смешанной стратегией) часто срабатывает лучше. Смешанные
стратегии используют комбинацию переменных, позволяющую получить наиболее
соответствующий действительности производственный план.
Например, фирма
может использовать в качестве своей стратегии следующую комбинацию: сверхурочное
время, субподряд и управление уровнем запасов. Очевидно, что существует
множество комбинаций различных возможных стратегий, анализ которых представляет
для менеджера важнейшую профессиональную задачу. Тем более что отыскание так
называемого «оптимального» агрегатного плана не всегда гарантировано.
Выбор смешанной
стратегии будет иным для сервисных фирм, так как они не могут создавать запасы.
Субконтракт, как отмечалось, опасен, поскольку субподрядчики могут «увести»
клиента. Поэтому сервисные фирмы обычно строят агрегатные планы, основанные на
изменении персонала. Они осуществляют это с помощью перекрестного
многопрофильного обучения и ротации персонала, изменяя рабочее расписание и
используя также временно нанимаемый персонал.
Планирование
уровня. Планирование уровня, или
планирование уровня мощности, является стратегией, популяризируемой японцами и
их желанием «использовать жизненный цикл». Планирование уровня опирается
на агрегатные планы, в которых дневные мощности из месяца в месяц одинаковы. В
результате фирмы, такие как «Тойота» и «Ниссан», поддерживают производственные
системы на одинаковых нормативных уровнях. Они могут позволить товарным запасам
готовых автомобилей подниматься вверх или опускаться вниз, выравнивая разницу в
месячном спросе и объеме производства, или предоставить сотрудникам другую
возможную работу внутри фирмы, если это необходимо. Их философия такова:
постоянная занятость обеспечивает требуемое качество, уменьшает число невыходов
на работу, текучесть кадров и вовлекает большое число работающих в
сотрудничество для достижения общего выигрыша.
Планирование уровня
обычно обеспечивает снижение затрат на производство в большей степени, чем
другие стратегии: отмечается тенденция повышения опыта у рабочих, затраты на
прием, увольнение рабочих и сверхурочные работы минимальны, операции
выполняются более равномерно, с меньшим числом запусков.
2. Расчет и анализ
технико-экономических показателей (ТЭП) деятельности предприятия
2.1 Исходные данные для
расчета
Таблица 2.1. Исходные данные для
расчета
|
Вариант
|
Показатели
|
|
Годовая программа
|
Режим работы
|
Плановые потери времени при
ремонте
|
Цена материала
|
Масса изделия
|
Коэффициент использования
материалов
|
Транспортно-заготовительные работы
|
Тарифная ставка рабочего 1 разряда
|
Норма амортизации производственного здания
|
Рентабельность продукции
|
|
Ед. изм.
|
тыс. ед.
|
смена
|
%
|
руб.
|
кг
|
-
|
%
|
руб./час
|
%
|
%
|
|
1
|
100
|
1
|
2
|
6,0
|
5,0
|
0,80
|
8
|
100
|
1
|
20
|
Таблица 2.2. Дополнительные данные
|
Вид оборудования
|
Операция
|
Разряд
|
Трудоемкость, мин.
|
Балансовая стоимость, тыс. руб.
|
Установленная мощность, кВт
|
Габаритные размеры, мм
|
Годовая норма амортизации, %
|
|
Для нечетных вариантов
|
|
А
|
1
|
4
|
3,9
|
123,8
|
18,8
|
7830x2700
|
10,5
|
|
Б
|
2
|
2
|
4,0
|
67,8
|
8,6
|
1580x890
|
8,5
|
|
В
|
3
|
2
|
5,8
|
64,8
|
8,2
|
3850x1230
|
8,7
|
|
Г
|
4
|
5
|
5,7
|
18,5
|
5,0
|
1430x895
|
6,3
|
|
Д
|
5
|
2
|
5,0
|
19,8
|
5,2
|
2340x830
|
10,0
|
|
Е
|
6
|
3
|
3,5
|
123,8
|
18,8
|
7830x2700
|
10,5
|
2.2 Расчет коэффициента
загрузки оборудования
Расчет числа единиц оборудования на
каждой i-ой операции производится по формуле (2.1):
(2.1)
где t Р.ШТ
- время обработки изделия на i
- ой операции, мин. (номер операции, разряд рабочего и трудоемкость;
Ф D - действительный фонд времени работы производственного
оборудования в расчетном году, час;
N R - годовая программа выпуска по плану, шт.
Действительный фонд
времени работы производственного оборудования рассчитывается по формуле 2.2:
(2.2)
где Д К
- количество календарных дней в году (Д К = 365 дней);
Д ПР - количество
праздничных дней в году (Д ПР = 11 дней);
Д ВЫХ
- количество выходных дней в году (Д ВЫХ = 104 дня);
n СМ
- количество рабочих смен в день;
t СМ
- продолжительность смены (t СМ = 8 часов);
К ППР - коэффициент
потерь времени на проведение планово-предупредительного ремонта оборудования
(ППР).
Таким образом,
действительный фонд времени работы производственного оборудования будет равен:

часов.
Теперь можно рассчитать
число единиц оборудования для каждой операции:
Степень загрузки рабочих
мест характеризуется коэффициентом загрузки оборудования, который
рассчитывается по формуле 2.3:
(2.3)
где К З -
коэффициент загрузки оборудования.
Результаты расчетов сводятся в
таблицу 2.3.
Таблица 2.3. Расчет оборудования и
коэффициента загрузки
|
Операция
|
Количество рабочих мест:
|
Коэффициент загрузки станков, К Зi
|
Число производственных рабочих в 1 смену
|
|
Расчетное значение, Q Pi.
|
Принятое значение, Q ПР i
|
|
|
|
1
|
3,31
|
4
|
0,79
|
4
|
|
2
|
3,4
|
4
|
0,81
|
4
|
|
3
|
4,93
|
5
|
0,94
|
5
|
|
4
|
4,85
|
5
|
0,92
|
5
|
|
5
|
4,25
|
5
|
0,81
|
5
|
|
6
|
2,98
|
3
|
0,94
|
3
|
|
Итого:
|
26
|
0,91Ч
ЯВ = 26
|
|
Средний коэффициент загрузки
оборудования:
(2.4)
Значения коэффициентов
загрузки оборудования следует представить в виде диаграммы (рис. 2.1).
Рис. 2.1. Коэффициенты
загрузки оборудования
2.3 Списочное количество
производственных рабочих
Списочное количество
производственных рабочих должно быть увеличено из-за возможного невыхода на
работу в связи с болезнями, отпусками, участием в судах присяжных или другими
уважительными причинами (10%).
(2.5)
где Ч СПИС
- списочное количество рабочих;
Ч ЯВ
- явочное количество рабочих;
К ПР
- коэффициент, учитывающий пропуски рабочих дней (К ПР =
1,1).
ЧСПИС = 26 ×
1,1 = 29
2.4 Расчет переменных
издержек цеха по выпуску изделий
Издержки - это затраты предприятия, которые бывают переменными и
постоянными.
Переменные издержки изменяются с
изменением объема выпуска изделий и включают в себя:
- материальные затраты;
- заработную плату
производственных рабочих с отчислениями на социальные нужды.
Переменные издержки рассчитываются
на одно изделие. С целью определения переменных издержек необходимо рассчитать
элементы затрат на производство продукции.
Стоимость материалов
Стоимость материалов вычисляется по
формуле 2.6:
(2.6)
где Ц М
- цена за 1 кг материала, руб.;
М ИЗД
- масса изделия, кг;
К ИСП..МАТ
- коэффициент использования материала;
Н ТЗР
- норма транспортно-заготовительных расходов (H ТЗР от 2% до
10%).
Затраты на оплату труда
производственных рабочих
Затраты на оплату труда
производственных рабочих рассчитываются в следующем порядке.
Рассчитываются сдельные
расценки для каждой операции по формуле 2.7:
(2.7)
где t Pi - время
обработки изделия на этой операции, мин.;
ЧАС - ÷àñîâàÿ
òàðèôíàÿ
ñòàâêà
ðàáî÷åãî,
âûïîëíÿþùåãî
äàííóþ
îïåðàöèþ, руб./час.
Часовые тарифные ставки
всех рабочих определяются следующим образом:
(2.8)
где
-
часовая тарифная ставка рабочего на i-ой операции, руб./мин.;
- часовая тарифная
ставка производственного рабочего 1 разряда, руб./мин.;
- тарифный коэффициент i-го
разряда.
= 1,0
= 1,3
=1,69
= 1,91
= 2,16
Далее определяются
расценки на каждую операцию, а затем определяется расценка в целом на изделие:
(2.9)
где n -
количество операций технологического процесса изготовления изделия (n = 6).
Итак, затраты на оплату
труда производственных рабочих равны расценкам на изделие:
(2.10)
Премия производственным
рабочим (норма премии Н ПР = 50%) рассчитывается:
(2.11)
(2.12)
где СК ПР.Р
- доплаты в виде районного коэффициента, а также за труд в районах Крайнего
севера и приравненных к нему районах. Для Сахалинской области эта доплата
определяется умножением основной части фонда оплаты труда на совокупный
районный коэффициент, который принимается 1,1:
(2.13)

(2.14)
ЕСН ПР.Р =
235,85 ×31/100 = 73,11
Расчеты сводятся в
таблицу 2.2.
Таблица 2.2. Переменные издержки на
единицу изделия
|
Ñòàòüè çàòðàò
|
Óñëîâíîå îáîçíà÷åíèå
|
Ñóììà, ðóá.
|
|
1. Ìàòåðèàëüíûå
çàòðàòû
|
Ñ ÌÀÒ
|
25,92
|
|
2. Çàòðàòû íà
îïëàòó òðóäà
ïðîèçâ. ðàáî÷èõ
|
ÇÎÒ ÏÐ.Ð
|
235,85
|
|
3. Ñòðàõîâûå
îò÷èñëåíèÿ íà
ñîö. íóæäû ïðîèçâ.
ðàáî÷èõ
|
ÅÑÍ ÏÐ.Ð
|
73,11
|
|
Èòîãî ïåðåìåííûå
èçäåðæêè íà 1 èçäåëèå
|
ÏÈ ÈÇÄ
|
334,88
|
2.5 Îáùèé
ôîíä çàðàáîòíîé
ïëàòû ïðîèçâîäñòâåííûõ
ðàáî÷èõ
Îáùèé
ôîíä çàðàáîòíîé
ïëàòû ïðîèçâîäñòâåííûõ
ðàáî÷èõ:
(2.15)
2.6 Ðàñõîäû
ïî ñîäåðæàíèþ
è ýêñïëóàòàöèè
îáîðóäîâàíèÿ
Çàòðàòû
íà îïëàòó òðóäà
âñïîìîãàòåëüíûõ
ðàáî÷èõ
Âñïîìîãàòåëüíûå
ðàáî÷èå îòíîñÿòñÿ
ê êàòåãîðèè ðàáîòíèêîâ,
òðóä êîòîðûõ îïëà÷èâàåòñÿ
â ñèñòåìå ïîâðåìåííîé
îïëàòû òðóäà.
Äåéñòâèòåëüíûé
ôîíä ðàáî÷åãî
âðåìåíè âñïîìîãàòåëüíûõ
ðàáî÷èõ ðàññ÷èòûâàåòñÿ
ïî ôîðìóëå 2.16:
(2.16)
ãäå à
- ïðîöåíò íåâûõîäîâ
íà ðàáîòó ïî óâàæèòåëüíûì
ïðè÷èíàì, à = 10%.
Òàðèôíûé
ôîíä îïëàòû òðóäà
îòäåëüíîé ïðîôåññèè
âñïîìîãàòåëüíûõ
ðàáî÷èõ, ÷àñ.:
(2.17)
ãäå ×
ÂÑ.Ð - ÷èñëåííîñòü
âñïîìîãàòåëüíûõ
ðàáî÷èõ ñîîòâåòñòâóþùåé
ïðîôåññèè, ÷åë.;
Ô ÂÑ.D - ãîäîâîé
ôîíä ðàáî÷åãî
âðåìåíè âñïîìîãàòåëüíûõ
ðàáî÷èõ, ÷àñ.;
3 ÂÑ i - ÷àñîâàÿ òàðèôíàÿ
ñòàâêà âñïîìîãàòåëüíîãî
ðàáî÷åãî i-ãî ðàçðÿäà,
ðóá./÷àñ.
Äëÿ ðàñ÷åòà
çàòðàò íà îïëàòó
òðóäà âñïîìîãàòåëüíûõ
ðàáî÷èõ íåîáõîäèìî
îïðåäåëèòü èõ
÷èñëåííîñòü,
èñõîäÿ èç ïðèíÿòîãî
êîëè÷åñòâà ñòàíêîâ.
Äàííûå çàíîñÿòñÿ
â òàáëèöó 2.3.
Òàáëèöà
2.3. Ðàñ÷åò ÷èñëåííîñòè
âñïîìîãàòåëüíûõ
ðàáî÷èõ
|
Ïðîôåññèÿ
|
Êîëè÷åñòâî
â 1 ñìåíó, ÷åë.
|
Ðàçðÿä
|
Îáùåå êîë-âî
÷åëîâåê â 1 ñìåíó
|
|
1. Ñëåñàðü-íàëàä÷èê
|
1 íà 5 ñòàíêîâ
|
5
|
6
|
|
2. Ñëåñàðü-ðåìîíòíèê
|
1 íà 15 ñòàíêîâ
|
4
|
2
|
|
3. Òðàíñïîðòíûé
ðàáî÷èé
|
1 íà 6 ñòàíêîâ
|
3
|
5
|
|
4. Êîíòðîëåð
|
1 íà 10 ñòàíêîâ
|
4
|
3
|
|
5. Ðàçäàò÷èê
èíñòðóìåíòà
|
1
|
3
|
1
|
×àñîâûå
òàðèôíûå ñòàâêè
âñïîìîãàòåëüíûõ
ðàáî÷èõ îïðåäåëÿþòñÿ
ïî ôîðìóëå 2.8.
Äëÿ êîòîðîé
=
75 ðóá./÷àñ.
- ÷àñîâàÿ òàðèôíàÿ
ñòàâêà âñïîìîãàòåëüíîãî
ðàáî÷åãî 1-ãî
ðàçðÿäà.
Îáùèé
ôîíä îïëàòû òðóäà
îòäåëüíî äëÿ êàæäîé
êàòåãîðèè âñïîìîãàòåëüíûõ
ðàáî÷èõ ïî ôîðìóëå
2.18:
(2.18)
ãäå ÏÐÂÑ.Ð
- ïðåìèÿ âñïîìîãàòåëüíûõ
ðàáî÷èõ, ðóá.;
Ä ÂÑ.Ð
- äîïëàòà âñïîìîãàòåëüíûõ
ðàáî÷èì, ðóá.
Ïðåìèÿ
âñïîìîãàòåëüíûì
ðàáî÷èì ïðèíèìàåòñÿ
25% îò òàðèôíîãî
ôîíäà îïëàòû
òðóäà âñïîìîãàòåëüíûõ
ðàáî÷èõ.
Äîïëàòà
âñïîìîãàòåëüíûì
ðàáî÷èì, íàïðèìåð,
çà âðåäíîñòü
ïðèíèìàåòñÿ
5% òàêæå îò òàðèôíîãî
ôîíäà îïëàòû
òðóäà.
Äîïîëíèòåëüíàÿ
îïëàòà òðóäà
â ðàéîíàõ Êðàéíåãî
ñåâåðà è ïðèðàâíåííîãî
ê íåìó ðàéîíàõ,
êîòîðûé ðàññ÷èòûâàåòñÿ
äëÿ Ñàõàëèíñêîé
îáëàñòè.
(2.19)
Íàéäåì
ñóììó äîïîëíèòåëüíîé
îïëàòû ïî ôîðìóëå
2.19.
Íàéäåì
îáùèé ôîíä îïëàòû
òðóäà îòäåëüíî
äëÿ êàæäîé êàòåãîðèè
âñïîìîãàòåëüíûõ
ðàáî÷èõ ïî ôîðìóëå
2.18:

1106176,5=2111791,5
Ðàñ÷åòû
ñâîäÿòñÿ â òàáëèöó
2.4.
Òàáëèöà
2.4. Ãîäîâîé ôîíä
îïëàòû òðóäà âñïîìîãàòåëüíûõ
ðàáî÷èõ
|
Êàòåãîðèÿ
âñïîìîãàòåëüíûõ
ðàáî÷èõ
|
×èñëåííîñòü,
÷åë.
|
ÒÔÎÒ ÂÑ.Ð,
ðóá.
|
ÏÐ ÂÑ.Ð, ðóá.
|
Ä ÂÑ.Ð, ðóá.
|
ÑÊÂÑ.Ð, ðóá.
|
ÔÎÒ ÂÑ.Ð, ðóá.
|
|
1. Ñëåñàðü-íàëàä÷èê
|
6
|
1749600
|
437400
|
87480
|
2501928
|
4776408
|
|
2. Ñëåñàðü-ðåìîíòíèê
|
2
|
515700
|
128925
|
25785
|
737451
|
1407861
|
|
3. Òðàíñïîðòíûé
ðàáî÷èé
|
5
|
1140750
|
285187,5
|
57037,5
|
1631272,5
|
3114247,5
|
|
4. Êîíòðîëåð
|
3
|
773550
|
193387,5
|
38677,5
|
1106176,5
|
2111791,5
|
|
5. Ðàçäàò÷èê
èíñòðóìåíòà
|
1
|
228150
|
57037,5
|
11407,5
|
326254,5
|
622849,5
|
|
Èòîãî:
|
17
|
4407750
|
1101937,5
|
220387,5
|
6303082,5
|
12033157,5
|
Ñòðàõîâûå
âçíîñû, íà÷èñëÿåìû
îò ôîíäà çàðàáîòíîé
ïëàòû âñïîìîãàòåëüíûõ
ðàáî÷èõ. Ñóììàðíàÿ
ñòàâêà ñòðàõîâûõ
âçíîñîâ Í ÑÂ
= 31%).
(2.20)
ÑÂ ÂÑ.Ð1
= 4776408 × 31/100 = 1480686,48
ÑÂ ÂÑ.Ð2
= 1407861× 31/100 = 436436,91
ÑÂ ÂÑ.Ð3
= 3114247,5× 31/100 = 965416,73
ÑÂ ÂÑ.Ð4
= 2111791,5 × 31/100 = 654655,37
ÑÂ ÂÑ.Ð5
= 622849,5 × 31/100 = 193083,35
ÑÂ ÂÑ.Ð.
= 1480686,48 + 436436,91 + 965416,73 + 654655,37 + 193083,35 = 3730278,84
Çàòðàòû
íà òåõíîëîãè÷åñêóþ
ýëåêòðîýíåðãèþ,
ðóá.
Çàòðàòû
íà òåõíîëîãè÷åñêóþ
ýëåêòðîýíåðãèþ
íàõîäÿòñÿ ïî
ôîðìóëå (2.21):
(2.21)
ãäå Ö
Ý - òàðèô íà 1 êÂò·÷àñ
ýëåêòðîýíåðãèè,
ðàâíûé äëÿ Ñàõàëèíñêîé
îáëàñòè - 4,33 ðóá./êÂò;
Ð ÓÑÒ
i
- ìîùíîñòü óñòàíîâëåííîãî
îáîðóäîâàíèÿ,
êÂò;
Q ÏÐi - ïðèíÿòîå êîëè÷åñòâî
ñòàíêîâ, øò.;
Ê Î
- êîýôôèöèåíò
îäíîâðåìåííîé
ðàáîòû îáîðóäîâàíèÿ,
ðàâíûé 0,7;
ÊÏÄ
- êîýôôèöèåíò
ïîëåçíîãî äåéñòâèÿ
îáîðóäîâàíèÿ,
ðàâíûé 0,9;
Ê N - êîýôôèöèåíò
ïîòåðü â ñåòè,
ðàâíûé 0,95;
Ê Ç
- ñðåäíèé êîýôôèöèåíò
çàãðóçêè îáîðóäîâàíèÿ.
Çàòðàòû
íà ýëåêòðîýíåðãèþ
ñëåäóåò ðàññ÷èòàòü
äëÿ êàæäîãî âèäà
îáîðóäîâàíèÿ,
à çàòåì ñóììèðîâàòü.
Àìîðòèçàöèÿ
îáîðóäîâàíèÿ
Àìîðòèçàöèÿ
îáîðóäîâàíèÿ
ðàññ÷èòûâàåòñÿ
íà îñíîâå áàëàíñîâîé
ñòîèìîñòè îáîðóäîâàíèÿ
è ãîäîâûõ íîðì
àìîðòèçàöèè:
×
Q ÏÐ (2.22)
ãäå Ñ
Á - áàëàíñîâàÿ
ñòîèìîñòü, ðóá.;
Í À
- ãîäîâàÿ íîðìà
àìîðòèçàöèîííûõ
îò÷èñëåíèé, %
A
DA = 123 800 * 10,5 / 100 * 4 = 51 996DÁ
= 67 800 * 8,5 / 100 * 4 = 23 052
DÂ = 64 800 * 8,7 / 100 * 5 = 28 188
À DÃ = 18 500 * 6,3 / 100 *5 = 5 827,5
À DÄ = 19 800 * 10 / 100 * 5 = 9 900
À DÅ = 123 800 * 10,5 / 100 * 3 = 38 997
A D
= 51 996 + 23 052 + 28 188 + 5 827,5 + 9 900 + 38 997 = 157 960,5
Áàëàíñîâóþ
ñòîèìîñòü îáîðóäîâàíèÿ
íàéäåì ïî ôîðìóëå
(2.23):
(2.23)
Àìîðòèçàöèÿ
òðàíñïîðòíûõ
ñðåäñòâ
Àìîðòèçàöèþ
òðàíñïîðòíûõ
ñðåäñòâ ðàññ÷èòàåì
ïî ôîðìóëå (2.24):
(2.24)
ãäå ÑÒÐ
- áàëàíñîâàÿ ñòîèìîñòü
òðàíñïîðòíûõ
ñðåäñòâ, êîòîðàÿ
ñîñòàâëÿåò 40% îò
áàëàíñîâîé ñòîèìîñòè
îáîðóäîâàíèÿ.
Ïðèíèìàåì Í
À = 12,5%.

Òåïåðü
ðàññ÷èòàåì àìîðòèçàöèþ
òðàíñïîðòíûõ
ñðåäñòâ:
Çàòðàòû
íà âñïîìîãàòåëüíûå
ìàòåðèàëû
Çàòðàòû
íà âñïîìîãàòåëüíûå
ìàòåðèàëû ðàññ÷èòûâàþòñÿ
ïî ôîðìóëå (2.25):
(2.25)
ãäå
ÇÂÑ.ÌÀÒ - çàòðàòû
íà âñïîìîãàòåëüíûå
ìàòåðèàëû, ðóá.
(òàáë. 2.5).
Òàáëèöà
2.5. Çàòðàòû íà ñìàçûâàþùèå
è îõëàæäàþùèå
æèäêîñòè
|
Îáîðóäîâàíèå
|
Âèä âñïîìîãàòåëüíîãî
ìàòåðèàëà
|
Íîðìà ðàñõîäà
íà 1 ñòàíîê ïðè
1-ñìåííîé ðàáîòå,
êã
|
Ñòîèìîñòü,
ðóá./êã
|
Ñóììà çàòðàò,
ðóá.
|
|
Íàèìåíîâàíèå
|
Êîëè÷åñòâî
|
|
|
|
|
|
À
|
4
|
Ýìóëüñèÿ
|
18,1
|
120
|
8688
|
|
Á
|
4
|
Ýìóëüñèÿ
|
18,1
|
120
|
8688
|
|
Â
|
5
|
Ýìóëüñèÿ
|
18,1
|
120
|
10860
|
|
Ã
|
5
|
Ìàñëî
|
25,6
|
150
|
19200
|
|
Ä
|
5
|
Ìàñëî
|
25,6
|
150
|
19200
|
|
Å
|
3
|
Ýìóëüñèÿ
|
18,1
|
120
|
6516
|
|
Âñ¸ îáîðóäîâàíèå
|
26
|
Âåòîøü
|
10,0
|
30
|
7800
|
|
Èòîãî íà âñïîìîãàòåëüíûå
ìàòåðèàëû:
|
80952
|
Ðàñõîäû
íà ýêñïëóàòàöèþ
òðàíñïîðòíûõ
ñðåäñòâ
Ðàñõîäû
íà ýêñïëóàòàöèþ
òðàíñïîðòíûõ
ñðåäñòâ (Ç ÒÐ)
ñîñòàâëÿþò 10% îò
èõ áàëàíñîâîé
ñòîèìîñòè òðàíñïîðòíûõ
ñðåäñòâ, ãäå Ñ
ÒÐ.ÑÐ - áàëàíñîâàÿ
ñòîèìîñòü òðàíñïîðòíûõ
ñðåäñòâ, êîòîðàÿ
ñîñòàâëÿåò 40% îò
áàëàíñîâîé ñòîèìîñòè
îáîðóäîâàíèÿ.
Òåïåðü
ðàññ÷èòàåì ðàñõîäû
íà ýêñïëóàòàöèþ
òðàíñïîðòíûõ
ñðåäñòâ:
Ðàñõîäû
íà ðåìîíò òåõíîëîãè÷åñêîãî
îáîðóäîâàíèÿ
Ðàñõîäû
íà ðåìîíò òåõíîëîãè÷åñêîãî
îáîðóäîâàíèÿ
(Ð ÎÁ) ñîñòàâëÿþò
18% îò èõ ïåðâîíà÷àëüíîé
ñòîèìîñòè, óìíîæåííûå
íà ïðèíÿòîå êîëè÷åñòâî
ñòàíêîâ.
Ðàñõîäû
íà ðåìîíò òðàíñïîðòíûõ
ñðåäñòâ
Ðàñõîäû
íà ðåìîíò òðàíñïîðòíûõ
ñðåäñòâ (Ð ÒÐ)
ñîñòàâëÿþò 9% îò
èõ áàëàíñîâîé
ñòîèìîñòè òðàíñïîðòíûõ
ñðåäñòâ, ãäå Ñ
ÒÐ,ÑÐ - áàëàíñîâàÿ
ñòîèìîñòü òðàíñïîðòíûõ
ñðåäñòâ, êîòîðàÿ
ñîñòàâëÿåò 40% îò
áàëàíñîâîé ñòîèìîñòè
îáîðóäîâàíèÿ.
Çàòðàòû
íà ñæàòûé âîçäóõ
Çàòðàòû
íà ñæàòûé âîçäóõ
(Ç ÑÆ.Â) ñîñòàâëÿþò
3% îò çàòðàò íà
òåõíîëîãè÷åñêóþ
ýëåêòðîýíåðãèþ.
Çàòðàòû
íà âîäó äëÿ òåõíîëîãè÷åñêèõ
íóæä
Çàòðàòû
íà âîäó äëÿ òåõíîëîãè÷åñêèõ
íóæä (Ç Â.ÒÅÕ)
ñîñòàâëÿþò 4% îò
çàòðàò íà ñèëîâóþ
ýíåðãèþ.
Ðåçóëüòàòû
ðàñ÷åòîâ ñâîäÿòñÿ
â òàáëèöó 2.6.
Òàáëèöà
2.6. Ñìåòà ðàñõîäîâ
ïî ñîäåðæàíèþ
è ýêñïëóàòàöèè
îáîðóäîâàíèÿ
|
Ñòàòüÿ ðàñõîäîâ
|
Óñëîâíîå îáîçíà÷åíèå
|
Ñóììà, ðóá.
|
|
1. Ôîíä îïëàòû
òðóäà âñïîìîãàòåëüíûõ
ðàáî÷èõ
|
ÔÎÒ ÂÑ.Ð
|
1203315,75
|
|
2. Ñòðàõîâûå
âçíîñû
|
ÑÂ ÂÑ.Ð
|
3730278,84
|
|
3. Ñòîèìîñòü
òåõíîëîãè÷åñêîé
ýëåêòðîýíåðãèè
|
Ñ Ý
|
1498143,54
|
|
4. Çàòðàòû íà
ñæàòûé âîçäóõ
|
Ç ÑÆ.Â
|
44944,31
|
|
5. Çàòðàòû íà
òåõíîëîãè÷åñêóþ
âîäó
|
Ç Â.ÒÅÕ
|
59925,74
|
|
6. Àìîðòèçàöèîííûå
îò÷èñëåíèÿ ïî
òåõíîëîãè÷åñêîìó
îáîðóäîâàíèþ
|
À D
|
157960,5
|
|
7. Àìîðòèçàöèîííûå
îò÷èñëåíèÿ ïî
òðàíñïîðòíûì
ñðåäñòâàì
|
A ÒÐ
|
20925
|
|
8. Ðàñõîäû ïî
ýêñïëóàòàöèè
òðàíñïîðòíûõ
ñðåäñòâ
|
Ç ÒÐ
|
66132
|
|
9. Ðàñõîäû íà
ðåìîíò òðàíñïîðòíûõ
ñðåäñòâ
|
Ð ÒÐ
|
59518,8
|
|
10. Ðàñõîäû íà
ðåìîíò òåõíîëîãè÷åñêîãî
îáîðóäîâàíèÿ
|
Ð ÎÁ
|
297594
|
Ñ ÌÀÒ
|
25,92
|
|
Èòîãî ðàñõîäû
ïî ñîäåðæàíèþ
è ýêñïëóàòàöèè
îáîðóäîâàíèÿ
|
ÐÑÝÎ
|
7138764,4
|
2.7 Ðàñ÷åò
îáùåöåõîâûõ
ðàñõîäîâ
 ñìåòó
öåõîâûõ ðàñõîäîâ
âêëþ÷àþòñÿ ðàñõîäû
ïî óïðàâëåíèþ
öåõîì è íà îðãàíèçàöèþ
ðàáîò. Ê íèì îòíîñÿòñÿ:
çàðàáîòíàÿ ïëàòà
íà÷àëüíèêà öåõà,
ñëóæàùèõ, îáñëóæèâàþùåãî
ïåðñîíàëà, åäèíûé
ñîöèàëüíûé íàëîã,
àìîðòèçàöèÿ
ïðîèçâîäñòâåííîãî
ïîìåùåíèÿ, çàòðàòû
íà òåêóùèé ðåìîíò
è äðóãèå ðàñõîäû.
Ãîäîâîé
ôîíä çàðàáîòíîé
ïëàòû ïåðå÷èñëåííûõ
âûøå êàòåãîðèé
ðàáîòíèêîâ ðàññ÷èòûâàåòñÿ,
èñõîäÿ èç ìåñÿ÷íîé
ñòàâêè è êîëè÷åñòâà
ðàáîòàþùèõ ïî
êàæäîé øòàòíîé
äîëæíîñòè.
Çàòðàòû
íà îïëàòó òðóäà
ïî óïðàâëåíèþ
öåõîì
 ñîîòâåòñòâèè
ñî øòàòíûì ðàñïèñàíèåì
öåõà (òàáë. 2.7) ðàññ÷èòûâàþòñÿ
çàòðàòû íà îïëàòó
òðóäà ïî óïðàâëåíèþ
öåõîì. ×èñëåííîñòü
äîëæíà ó÷èòûâàòü
êîëè÷åñòâî ñìåí
ðàáîòû ïðåäïðèÿòèÿ,
íî íà÷àëüíèê
öåõà âñåãäà îäèí.
Ðàññ÷èòàííûå
äàííûå ïî îïëàòå
òðóäà ñâîäÿòñÿ
â òàáëèöó 2.8.
Òàáëèöà
2.7. Øòàòíîå ðàñïèñàíèå
öåõà
|
Äîëæíîñòü
|
×èñëåííîñòü
â îäíó ñìåíó,
÷åë.
|
Êðàòíîñòü
ÌÐÎÒ
|
Îêëàä â ìåñÿö,
ðóá.
|
|
1. Íà÷àëüíèê
öåõà
|
1
|
15
|
69165
|
|
2. Ìàñòåð ñìåíû
|
1
|
12
|
55332
|
|
3. Òåõíîëîã-íîðìèðîâùèê
|
1
|
10
|
46110
|
|
4. Ýêîíîìèñò-áóõãàëòåð
|
1
|
10
|
46110
|
|
5. Êëàäîâùèê
|
1
|
6
|
27666
|
|
6. Óáîðùèê
|
1
|
4
|
18444
|
Ãîäîâîé
ôîíä îïëàòû òðóäà
ñëóæàùèõ ðàññ÷èòûâàåòñÿ
êðàòíî ìèíèìàëüíîìó
ðàçìåðó îïëàòû
òðóäà (ÌÐÎÒ). Ìèíèìàëüíûé
ðàçìåð îïëàòû
òðóäà â ìåñÿö
óòî÷íÿåòñÿ ïðåïîäàâàòåëåì
ñ ó÷åòîì ïðèíÿòûõ
ðåøåíèé Ïðàâèòåëüñòâîì
Ðîññèéñêîé Ôåäåðàöèè.
 ÿíâàðå 2011 îäà ÌÐÎÒ
áûë ðàâåí 4611 ðóáëåé.
ÒÔÎÒ ÑË1
= 69165 * 12 = 829980
ÒÔÎÒ ÑË2
= 55332 * 12 = 663984
ÒÔÎÒ ÑË3
= 46110 * 12 = 553320
ÒÔÎÒ ÑË4
= 46110 * 12 = 553320
ÒÔÎÒ ÑË5
= 27666 * 12 = 331992
ÒÔÎÒ ÑË6
= 18444 * 12 = 221328
Ïðåìèÿ
íàçíà÷àåòñÿ
â ðàçìåðå 25% îò îêëàäà.

= 17 291,25; 
= 11 527,5;

= 13 833; 
= 6 916,5;

= 11 527,5; 
= 4 611.
Äîïîëíèòåëüíàÿ
îïëàòà òðóäà
â ðàéîíàõ Êðàéíåãî
ñåâåðà è ïðèðàâíåííîãî
ê íåìó ðàéîíàõ
ðàññ÷èòûâàåòñÿ
àíàëîãè÷íî ôîðìóëå
2.19.
ÑÊÂÑ.Ð. = 207495*1,1 = 228
244,5; ÑÊÂÑ.Ð4 = 138330*1,1=152 163;
ÑÊÂÑ.Ð2 = 165996*1,1= 182
595,6; ÑÊÂÑ.Ð5
= 82998*1,1 =91 297.8;
ÑÊÂÑ.Ð3 = 138330*1,1=152
163; ÑÊÂÑ.Ð = 55332* 1,1 = 60 865.2
Äàëåå ñëåäóåò
ðàññ÷èòàòü ôîíä
çàðàáîòíîé ïëàòû
ïóòåì ñóììèðîâàíèÿ
îêëàäà, ïðåìèè
è äîïîëíèòåëüíîé
îïëàòû.
ÔÎÒÑË1 = 69 165 + 829980 +
207495 = 1 106 640
ÔÎÒÑË2 = 55 332 + 663984 +
165996 = 885 312;
ÔÎÒÑË3 = 46 110
+553320+138330 = 737 760;
ÔÎÒÑË4 = 46 110 +
553320+138330 = 737 760;
ÔÎÒÑË5 =27 666 + 331992 +
82998 = 442 656;
ÔÎÒÑË6 = 18 444 +221328 +
55332 = 295 104.
Åäèíûé
ñòðàõîâîé âçíîñ,
íà÷èñëÿåìûé
îò ôîíäà çàðàáîòíîé
ïëàòû ñëóæàùèõ.
Íîðìà åäèíîãî
ñòðàõîâîãî âçíîñà
Í ñòð. âç. = 31%.
(2.26)
ÑÂÑË=
1106640*31/100= 343 058.4
ÑÂÑË=
885312*31 /100= 274 446.72
ÑÂÑË=
737760*31/100= 228 705.6
ÑÂÑË=
737760*31/100= 228 705.6
ÑÂÑË=
442656*31/100= 137 223.36
ÑÂÑË=
295104*31/100= 91 482.24
Òàáëèöà
2.10 - Çàòðàòû íà îïëàòó
òðóäà
|
Êàòåãîðèÿ
ðàáîòíèêîâ
|
×èñëåííîñòü,
÷åë.
|
Îêëàä â ìåñÿö,
ðóá.
|
Ãîäîâîé òàðèôíûé
ôîíä ÒÔÎÒ ÑË,
ðóá.
|
Ïðåìèÿ, ÏÐ ÑË
|
Ðàéîííàÿ è
ñåâåðíàÿ íàäáàâêà,
ÑÊ ÑË
|
Ãîäîâîé ÔÎÒÑË,
ðóá.
|
ÑÂ ÑË, ðóá.
|
Èòîãî çàòðàòû
íà îïëàòó òðóäà
|
|
1. Íà÷àëüíèê
öåõà
|
1
|
69165
|
829980
|
207495
|
228244.5
|
1106640
|
343058.4
|
2784582.9
|
|
2. Ìàñòåð ñìåíû
|
1
|
55332
|
663984
|
165996
|
182595.6
|
885312
|
274446.72
|
2227666.32
|
|
3. Òåõíîëîã-íîðìèðîâùèê
|
1
|
46110
|
553320
|
138330
|
152163
|
737760
|
228705.6
|
1856388.6
|
|
4. Ýêîíîìèñò-áóõãàëòåð
|
1
|
46110
|
553320
|
138330
|
152163
|
737760
|
228705.6
|
1856388.6
|
|
5. Êëàäîâùèê
|
1
|
27666
|
331992
|
82998
|
91297.8
|
442656
|
137223.36
|
1113833.16
|
|
6. Óáîðùèê
|
1
|
18444
|
221328
|
55332
|
60865.2
|
295104
|
91482.24
|
742555.44
|
|
Èòîãî:
|
6
|
290493
|
3153924
|
788481
|
867329.1
|
4205232
|
1303621.92
|
10609081.02
|
Ïðîèçâîäñòâåííàÿ
ïëîùàäü
Ïëîùàäü
öåõà îïðåäåëÿåòñÿ,
èñõîäÿ èç ïëîùàäè
îáîðóäîâàíèÿ
(S ÎÁ), ïëîùàäè
ðàáî÷èõ ìåñò
(S ÐÌ) è ïðî÷èõ
ïðîèçâîäñòâåííûõ
ïîìåùåíèé.
Ðàáî÷àÿ
ïëîùàäü îáîðóäîâàíèÿ
ïðèâåäåíà â òàáëèöå
2.9.
Òàáëèöà
2.9. Ðàñ÷åò ðàáî÷åé
ïëîùàäè îáîðóäîâàíèÿ
|
Îáîðóäîâàíèå
|
Êîëè÷åñòâî
ñòàíêîâ, øò.
|
Ãàáàðèòíûå
ðàçìåðû, ì.
|
Ðàáî÷àÿ ïëîùàäü,
êâ. ì
|
|
À
|
4
|
7830x2700
|
84,6
|
|
Á
|
4
|
1580x890
|
5,6
|
|
Â
|
5
|
3850x1230
|
23,7
|
|
Ã
|
5
|
1430x895
|
6,4
|
|
Ä
|
5
|
2340x830
|
9,7
|
|
Å
|
3
|
7830x2700
|
63,4
|
|
ÈÒÎÃÎ
|
26
|
|
193,4
|
Ïðî÷èå
ïðîèçâîäñòâåííûå
ïîìåùåíèÿ:
- ïëîùàäü
ïðîõîäîâ 30% îò S
ÎÁ, ãäå S ÎÁ
- ïëîùàäü îáîðóäîâàíèÿ.
Îáùàÿ
ïëîùàäü:
(2.27)
Äîïîëíèòåëüíàÿ
ïëîùàäü:
- ñêëàäñêèå
ïîìåùåíèÿ 6% îò
îáùåé ïëîùàäè;
- êîíòîðñêèå
ïîìåùåíèÿ 10% îò
îáùåé ïëîùàäè,

4
- áûòîâûå
ïîìåùåíèÿ 15% îò
îáùåé ïëîùàäè

.
Ðàññ÷èòûâàåòñÿ
ïðîèçâîäñòâåííàÿ
ïëîùàäü (S ÏÐ),
èñõîäÿ èç âûøåïåðå÷èñëåííûõ
ïëîùàäåé ñ ó÷åòîì
íîðìû ïëîùàäè
ðàáî÷èõ ìåñò
ïðîèçâîäñòâåííûõ
ðàáî÷èõ (S ÐÌ)
(íîðìà ïëîùàäè
íà 1 ÷åë. â îäíó
ñìåíó ïðèíÿòà
2 êâ. ì).
(2.28)
SÏÐ
= 251,42 + 2*29 +15,1 + 25,14 + 37,7 = 387,36
Áàëàíñîâàÿ
ñòîèìîñòü ïðîèçâîäñòâåííûõ
ïîìåùåíèé
Áàëàíñîâàÿ
ñòîèìîñòü ïðîèçâîäñòâåííûõ
ïîìåùåíèé îïðåäåëÿåòñÿ:
(2.29)
ãäå Ö
1ÊÂ.Ì - öåíà 1 êâàäðàòíîãî
ìåòðà ïðîèçâîäñòâåííûõ
ïîìåùåíèé, ïðèíÿòî
26000 ðóá.
Ñ Á. ÇÄ
= 26000 +387,36 = 10071360
Çàòðàòû
íà ðåìîíò çäàíèÿ
Çàòðàòû
íà ðåìîíò çäàíèÿ
(Ç Ð.ÇÄ) ïðèíèìàþòñÿ
2,5% â ãîä îò áàëàíñîâîé
ñòîèìîñòè ïðîèçâîäñòâåííûõ
ïîìåùåíèé.
Ç Ð. ÇÄ
= 10071360 * 25 / 100 = 251784
Àìîðòèçàöèÿ
ïðîèçâîäñòâåííîãî
ïîìåùåíèÿ
Àìîðòèçàöèÿ
ïðîèçâîäñòâåííîãî
ïîìåùåíèÿ (À
ÇÄ), ðóá.:
(2.30)
ãäå Í
À - íîðìà àìîðòèçàöèè
ïðîèçâîäñòâåííîãî
çäàíèÿ
À ÇÄ
= 10071360 * 1 / 100 = 100713,6
Àìîðòèçàöèÿ
ïðîèçâîäñòâåííîãî
èíâåíòàðÿ
Àìîðòèçàöèÿ
ïðîèçâîäñòâåííîãî
èíâåíòàðÿ ðàññ÷èòûâàåòñÿ
èñõîäÿ èç áàëàíñîâîé
ñòîèìîñòè èíâåíòàðÿ,
ðóá.:
(2.31)
ãäå Í
À - íîðìà àìîðòèçàöèè
ïðîèçâîäñòâåííîãî
èíâåíòàðÿ, ïðèíÿòî
12,5%;
Ñ ÈÍÂ
- áàëàíñîâàÿ ñòîèìîñòü
èíâåíòàðÿ, ðóá.
(2.32)
ÑÈÍÂ
= 0,03 * 10071360 = 302140,8
ÀÈÍÂ
= 302140,8 * 12,5 / 100 = 37767,6
Çàòðàòû
íà ðåìîíò ïðîèçâîäñòâåííîãî
èíâåíòàðÿ
Çàòðàòû
íà ðåìîíò ïðîèçâîäñòâåííîãî
èíâåíòàðÿ (Ç
Ð.ÈÍÂ) ñîñòàâëÿþò
9% â ãîä îò åãî áàëàíñîâîé
ñòîèìîñòè.
Ç Ð.ÈÍÂ
= 302140,8 *9 / 100 = 27192,67
Çàòðàòû
íà îõðàíó òðóäà
Çàòðàòû
íà îõðàíó òðóäà
è òåõíèêó áåçîïàñíîñòè
(Ç ÎÕÐ) ïðèíèìàþòñÿ
óñëîâíî íà îäíî
ðàáî÷åå ìåñòî
(500 ðóá. íà êàæäîãî
ñîòðóäíèêà).
Ðàñõîäû
íà îñâåùåíèå
Ðàñõîäû
íà îñâåùåíèå
ðàññ÷èòûâàþòñÿ
ïî ôîðìóëå (2.32):
(2.33)
ãäå Ö
Ý - òàðèô îïëàòû
ýëåêòðîýíåðãèè
â ðóá. çà 1 êÂò·÷àñ.
Ïðèíÿòî 4,33 ðóá./êÂò·÷àñ;
Ï Ý
- ïîòðåáíîñòü
â ýëåêòðîîñâåùåíèè
(ïðèíèìàåòñÿ
0,025 êÂò íà 1 êâ. ì. S
ÏÐ);
(2.34)
Ï Ý
= 0,025 * 387,36 = 9,68
Ô ÝÔ
- ýôôåêòèâíûé
ôîíä âðåìåíè
ðàáîòû öåõà, êîòîðûé
íå ó÷èòûâàåò
ïîòåðè âðåìåíè
íà ïëàíîâî-ïðåäóïðåäèòåëüíûé
ðåìîíò:
(2.35)
Ç ÎÑÂ
= 4,33 * 9,68 * 2000 = 83828,8
Ïðî÷èå
ðàñõîäû
Ïðî÷èå
ðàñõîäû (îòîïëåíèå,
êàíöåëÿðñêèå
ðàñõîäû è ò.ä.) (Ç
ÏÐ) ñîñòàâëÿþò
20% îò ðàñõîäîâ
öåõà.
Ðàñ÷åòû
íåîáõîäèìî ñâåñòè
â òàáëèöó 2.10.
Òàáëèöà
2.10. Ñìåòà îáùåöåõîâûõ
ðàñõîäîâ
|
Ñòàòüè ðàñõîäîâ
|
Óñëîâíîå îáîçíà÷åíèå
|
Ñóììà, ðóá.
|
|
1 Ôîíä îïëàòû
òðóäà íà÷àëüíèêà
öåõà, ñëóæàùèõ,
îáñëóæèâàþùåãî
ïåðñîíàëà
|
ÔÎÒ ñë
|
4205232
|
|
2. Ñòðàõîâûå
âçíîñû
|
ÅÑÍ ÑË
|
1303621.92
|
|
3. Àìîðòèçàöèÿ
ïðîèçâîäñòâåííûõ
ïîìåùåíèé
|
À ÇÄ
|
100713,6
|
|
4. Çàòðàòû íà
ðåìîíò çäàíèÿ
|
Ç Ð.ÇÄ
|
251784
|
|
5. Àìîðòèçàöèÿ
ïðîèçâîäñòâåííîãî
èíâåíòàðÿ
|
À ÈÍÂ
|
37767,6
|
|
6. Çàòðàòû íà
ðåìîíò ïðîèçâîäñòâåííîãî
èíâåíòàðÿ
|
Ç Ð.ÈÍÂ
|
27192,67
|
|
7. Çàòðàòû íà
îõðàíó òðóäà
è òåõíèêó áåçîïàñíîñòè
|
Ç ÎÕÐ
|
24500
|
|
8. Ðàñõîäû íà
îñâåùåíèå
|
Ç ÎÑÂ
|
83828,8
|
|
Èòîãî:
|
|
6034640,59
|
|
9. Ïðî÷èå ðàñõîäû
|
Ç ÏÐ
|
1206928,12
|
|
Âñåãî:
|
ÎÖÐ
|
7241568,71
|
Îáùåõîçÿéñòâåííûå
ðàñõîäû
 ñîñòàâ
îáùåõîçÿéñòâåííûõ
ðàñõîäîâ âõîäÿò
ðàñõîäû íåïðîèçâîäñòâåííîãî
íàçíà÷åíèÿ: ñîäåðæàíèå
àïïàðàòà óïðàâëåíèÿ
ïðåäïðèÿòèåì,
ñîäåðæàíèå è
îáñëóæèâàíèå
òåõíè÷åñêèõ
ñðåäñòâ ñâÿçè,
îïëàòà óñëóã
áàíêà, ïîäãîòîâêà
è ïåðåïîäãîòîâêà
êàäðîâ è ò.ä.
Ðàñõîäû
ýòè óñëîâíî ñîñòàâëÿþò
120% îò îáùåöåõîâûõ
ðàñõîäîâ è ðàññ÷èòûâàþòñÿ
ïî ôîðìóëå (2.36):
(2.36)
ÎÕÐ =
1,2× 7 241 568,71= 8 689 882,45
.8 Ðàñ÷åò
öåíû åäèíèöû
èçäåëèÿ
Ðàñ÷åò
öåíû åäèíèöû
èçäåëèÿ ïðîèçâîäèòñÿ
íà îñíîâàíèè
ðåíòàáåëüíîñòè
èçäåëèÿ. Ñíà÷àëà
íåîáõîäèìî ðàññ÷èòàòü
ñåáåñòîèìîñòü
åäèíèöû èçäåëèÿ
äëÿ çàäàííîé
ïðîãðàììû âûïóñêà
ïî ñòàòüÿì êàëüêóëÿöèè.
Çàòðàòû íà îïëàòó
òðóäà ïðîèçâîäñòâåííûõ
ðàáî÷èõ ñ îò÷èñëåíèÿìè
íà ñîöèàëüíûå
íóæäû, ìàòåðèàëüíûå
çàòðàòû ðàññ÷èòàíû
â ðàáîòå íà åäèíèöó
èçäåëèÿ, à îñòàëüíûå
ðàñõîäû âîøëè
â ñìåòû «Ðàñõîäû
íà ñîäåðæàíèå
è ýêñïëóàòàöèþ
îáîðóäîâàíèÿ»,
«Îáùåöåõîâûå
ðàñõîäû», «Îáùåõîçÿéñòâåííûå
ðàñõîäû». Ýòè ðàñõîäû
íåîáõîäèìî ðàññ÷èòàòü
íà åäèíèöó èçäåëèÿ.
Ðàñ÷åò
ðàñõîäîâ íà ñîäåðæàíèå
è ýêñïëóàòàöèþ
îáîðóäîâàíèÿ,
ïðèõîäÿùèõñÿ
íà åäèíèöó èçäåëèÿ
Äàííûé
ðàñ÷åò ïðîèçâåäåì
ïî ôîðìóëå (2.37):
(2.37)
ÐÑÝÎ1
= 235,85 * 27,6 / 100 = 65,09
ãäå ÇÎÒ
ÏÐ.Ð - çàòðàòû
íà îïëàòó òðóäà
ïðîèçâîäñòâåííûõ
ðàáî÷èõ, ðóá.
(òàáë. 2.2);
Í ÐÑÝÎ
- íîðìà ðàñõîäîâ
íà ñîäåðæàíèå
è ýêñïëóàòàöèþ
îáîðóäîâàíèÿ
(%), îïðåäåëÿåòñÿ
ïî ôîðìóëå:
(2.38)
ÍÐÑÝÎ
= 7 138 764,4 / 28 993 547,75* 100 = 24,62
ãäå ÐÑÝÎ
- ðàñõîäû íà ñîäåðæàíèå
è ýêñïëóàòàöèþ
îáîðóäîâàíèÿ
(òàáë. 2.6).
ÔÎÒîáù
- ôîíä îïëàòû
òðóäà äëÿ âñåãî
ïðåäïðèÿòèÿ:
(2.39)
ÔÎÒ ÎÁÙ
= 23 585 000 + 1 203 315,75 + 4 205 232= 28 993 547,75
Îïðåäåëåíèå
îáùåöåõîâûõ
ðàñõîäîâ, ïðèõîäÿùèõñÿ
íà åäèíèöó èçäåëèÿ
Îáùåöåõîâûå
ðàñõîäû, ïðèõîäÿùèåñÿ
íà åäèíèöó èçäåëèÿ,
ðàññ÷èòûâàþòñÿ
ïî ôîðìóëå (2.40):
(2.40)
ÎÖÐ1
= 235,85 * 6,3 / 100 = 14,6
ãäå Í
ÎÖÐ - íîðìà îáùåöåõîâûõ
ðàñõîäîâ, %.

(2.41)
ÍÎÖÐ
= 7 241 568,71/ 28 993 547,75* 100 = 24,97
ãäå ÎÖÐ
- ñóììà îáùåöåõîâûõ
ðàñõîäîâ, ðóá.
(òàáë. 2.10).
Îïðåäåëåíèå
îáùåõîçÿéñòâåííûõ
ðàñõîäîâ, ïðèõîäÿùèõñÿ
íà åäèíèöó èçäåëèÿ
Äëÿ òîãî,
÷òîáû îïðåäåëèòü
îáùåõîçÿéñòâåííûå
ðàñõîäû, ïðèõîäÿùèåñÿ
íà åäèíèöó èçäåëèÿ,
âîñïîëüçóåìñÿ
ôîðìóëîé (2.42):
(2.42)
ÎÕÐ1
= 235,85 * 7,6 / 100 = 17,9
ãäå Í
ÎÖÐ - íîðìà îáùåõîçÿéñòâåííûõ
ðàñõîäîâ, %.

(2.43)
ÍÎÕÐ
=8 689 882,45/ 28 993 547,75* 100 = 29,97
ãäå ÎÕÐ
- ñóììà îáùåöåõîâûõ
ðàñõîäîâ, ðóá.
(ôîðìóëà 2.35).
Ðàñ÷åòû
ââîäÿòñÿ â òàáëèöó
2.11.
Òàáëèöà
2.11. Ñåáåñòîèìîñòü
åäèíèöû èçäåëèÿ
|
Íàèìåíîâàíèå
ñòàòüè
|
Óñëîâíîå îáîçíà÷åíèå
|
Ñóììà, ðóá.
|
|
1. Ìàòåðèàëüíûå
çàòðàòû
|
Ñ ÌÀÒ
|
25,92
|
|
2 Çàòðàòû íà
îïëàòó òðóäà
ïðîèçâîäñòâåííûõ
ðàáî÷èõ
|
ÇÎÒ ÏÐ.Ð
|
235,85
|
|
3 Îò÷èñëåíèÿ
íà ñîöèàëüíûå
íóæäû ïðîèçâîäñòâåííûõ
ðàáî÷èõ
|
ÅÑÍ ÏÐ.Ð
|
73,11
|
|
4 Ðàñõîäû íà
ñîäåðæàíèå è
ýêñïëóàòàöèþ
îáîðóäîâàíèÿ
|
ÐÑÝÎ
1
|
65,09
|
|
5. Öåõîâûå ðàñõîäû
|
ÎÖÐ 1
|
14,6
|
|
6 Îáùåõîçÿéñòâåííûå
ðàñõîäû
|
ÎÕÐ 1
|
17,9
|
|
Èòîãî:
|
|
432,47
|
|
7 Âíåïðîèçâîäñòâåííûå
ðàñõîäû, 20%
|
|
86,5
|
|
Èòîãî
ïîëíàÿ ñåáåñòîèìîñòü:
|
518,97
|
|
 òîì ÷èñëå:
- ïåðåìåííûå èçäåðæêè
- ïîñòîÿííûå èçäåðæêè
|
ÏÈ ÏÎÈ
|
334,88 184,09
|
Çíàÿ ñåáåñòîèìîñòü,
ìîæíî ðàññ÷èòàòü
öåíó èçäåëèÿ:
(2.44)
Ö
= 518,97 × (1 + 20 / 100) = 622,76
ãäå Ð
- ðåíòàáåëüíîñòü,
%
2.9 Ñâîäíûå
òåõíèêî-ýêîíîìè÷åñêèå
ïîêàçàòåëè ðàáîòû
öåõà
Òåõíèêî-ýêîíîìè÷åñêèå
ïîêàçàòåëè ðàáîòû
öåõà è ðåçóëüòàòû
ñâîäÿòñÿ â òàáëèöó
2.12.
Òàáëèöà
2.12. Ñâîäíûå òåõíèêî-ýêîíîìè÷åñêèå
ïîêàçàòåëè
|
Íàèìåíîâàíèå
ïîêàçàòåëÿ
|
Åäèíèöà èçìåðåíèÿ
|
Âåëè÷èíà ïîêàçàòåëÿ
|
|
1. Ãîäîâîé îáúåì
âûïóñêà
|
øò.
|
100 000
|
|
2. Ãîäîâîé îáúåì
âûïóñêà è ðåàëèçàöèè
â äåíåæíîì âûðàæåíèè
|
ðóá.
|
62276000
|
|
3. Îáùåå êîëè÷åñòâî
ðàáîòíèêîâ:
|
÷åë.
|
49
|
|
3.1. ïðîèçâîäñòâåííûõ
ðàáî÷èõ (ñïèñî÷íûõ)
|
÷åë.
|
26
|
|
3.2. âñïîìîãàòåëüíûõ
ðàáî÷èõ
|
÷åë.
|
17
|
|
3.3. ðóêîâîäèòåëåé
|
÷åë.
|
1
|
|
3.4. ñïåöèàëèñòîâ
|
÷åë.
|
2
|
|
3.5. ñëóæàùèõ
|
÷åë.
|
2
|
|
3.6. ìëàäøåãî îáñëóæèâàþùåãî
ïåðñîíàëà
|
÷åë.
|
1
|
|
4. Âûðàáîòêà:
|
|
|
|
4.1. íà îäíîãî
ïðîèçâîäñòâåííîãî
ðàáî÷åãî (ï. 1 / ï.
3.1)
|
øò./÷åë.
|
3846,15
|
|
4.2. íà îäíîãî
ïðîèçâîäñòâåííîãî
ðàáî÷åãî â äåíåæíîì
âûðàæåíèè (ï. 2
/ ï. 3.1)
|
ðóá./÷åë.
|
2395230,8
|
|
4.3. íà îäíîãî
ðàáîòàþùåãî
(ï. 1/(ï. 3)
|
øò./÷åë.
|
2040,8
|
|
4.4. íà îäíîãî
ðàáîòàþùåãî
â äåíåæíîì âûðàæåíèè
(ï. 2/(ï. 3)
|
ðóá./÷åë.
|
1270938,8
|
|
5. Ôîíä îïëàòû
òðóäà
|
ðóá.
|
28 993 547,75
|
|
6. Ñðåäíåìåñÿ÷íàÿ
çàðàáîòíàÿ ïëàòà:
|
ðóá.
|
|
|
6.1. íà îäíîãî
ïðîèçâîäñòâåííîãî
ðàáî÷åãî
|
ðóá.
|
92928,03
|
|
6.2. íà îäíîãî
ðàáîòàþùåãî
|
ðóá.
|
49308,75
|
|
7. Êîëè÷åñòâî
òåõíîëîãè÷åñêîãî
îáîðóäîâàíèÿ
|
øò.
|
26
|
|
8. Áàëàíñîâàÿ
ñòîèìîñòü îáîðóäîâàíèÿ
|
ðóá.
|
418500
|
|
9. Ñóììàðíàÿ
ýëåêòðè÷åñêàÿ
ìîùíîñòü îáîðóäîâàíèÿ
|
êÂò
|
64,6
|
|
10. Ôîíäîîòäà÷à
(ï. 2 / ï. 8)
|
ðóá./ðóá.
|
148,8
|
|
11. Ôîíäî¸ìêîñòü
(ï. 8 / ï. 2)
|
ðóá./ðóá.
|
0,007
|
|
12. Ôîíäîâîîðóæåííîñòü
îáùàÿ (ï. 8 / ï. 3)
|
ðóá./÷åë.
|
8540,8
|
|
13. Ôîíäîâîîðóæåííîñòü
ïðîèçâîäñòâåííûõ
ðàáî÷èõ (ï. 8 / ï.
3.1)
|
ðóá./÷åë.
|
16096,2
|
|
14. Êîýôôèöèåíò
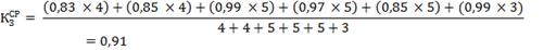
çàãðóçêè îáîðóäîâàíèÿ
|
|
0,91
|
|
15. Ïðîèçâîäñòâåííàÿ
ïëîùàäü öåõà
|
êâ. ì
|
193,4
|
|
16. Ñåáåñòîèìîñòü
îäíîãî èçäåëèÿ
|
ðóá.
|
518,97
|
|
17. Öåíà îäíîãî
èçäåëèÿ
|
ðóá.
|
622,76
|
|
18. Ðåíòàáåëüíîñòü
ïðîäóêöèè
|
%
|
20
|
|
19. Ïðèáûëü ((ï. 17
- ï. 16) ×∙ï. 1)
|
ðóá.
|
10379000
|
Íà îñíîâå
ïîëó÷åííûõ ðåçóëüòàòàõ
ðàñ÷åòà, ìîæíî
ñäåëàòü ñëåäóþùèå
âûâîäû:
Ø êîýôôèöèåíò
çàãðóçêè îáîðóäîâàíèÿ
ðàâåí 0,91%, ÷òî ãîâîðèò
î íåïîëíîé çàãðóçêè
ïðîèçâîäñòâåííûõ
ñòàíêîâ, òî åñòü
èç 100% âîçìîæíîé
ðàáîòû ïðîèñõîäèò
91%;
Ø ïðèáûëü
ïðåäïðèÿòèÿ ñîñòàâèëà
1037900 ðóáëåé, ïðè ïîêàçàòåëè
ðåíòàáåëüíîñòè
20%, à ýòî äîñòàòî÷íî
âûñîêèé ïîêàçàòåëü,
ïðè ýòîì ìîæíî
ñêàçàòü, ÷òî ðàáîòà
íàëàæåíà è ïðèíîñèò
ïðèáûëü, ÷òî è
ÿâëÿåòñÿ ãëàâíûì
ïîêàçàòåëåì;
Òàêèì
îáðàçîì, ïî ðåçóëüòàòàì
ðàñ÷åòîâ âèäíî,
÷òî ôèðìà ÿâëÿåòñÿ
óñïåøíî ôóíêöèîíèðóþùåé
îðãàíèçàöèåé,
ôèíàíñîâîå ïîëîæåíèå
óñòîé÷èâîå, îðãàíèçàöèÿ
ïîëó÷àåò ïðèáûëü.
Íåãàòèâíûì ôàêòîðîì,
âëèÿþùèì íà ïðîèçâîäèòåëüíîñòü
îðãàíèçàöèè,
ÿâëÿåòñÿ íåïîëíàÿ
çàãðóçêà îáîðóäîâàíèÿ,
ïðè ïîëíîé çàãðóæåííîñòè
îðãàíèçàöèÿ
ìîãëà áû ïîëó÷èòü
áîëüøå ïðèáûëè
áåç ñóùåñòâåííûõ
íà òî çàòðàò.
Çàêëþ÷åíèå
Öåëü êóðñîâîé
ðàáîòû - ðàññìîòðåòü
àãðåãàòíîå ïëàíèðîâàíèå
è åãî ñòðàòåãèè
â îðãàíèçàöèè.
Äëÿ åå äîñòèæåíèÿ
áûëà ðàññìîòðåíà
òåîðåòè÷åñêàÿ
÷àñòü è ïðîèçâåäåíû
ðàñ÷åòû è àíàëèç
òåõíèêî - ýêîíîìè÷åñêèõ
ïîêàçàòåëåé
îðãàíèçàöèè.
Ïî ïåðâîé
ãëàâå ìîæíî ïîäâåñòè
ñëåäóþùèé èòîã:
Ø Àãðåãàòíîå
ïëàíèðîâàíèå
- ýòî îïðåäåëåíèå
óðîâíÿ çàïàñîâ
ïðîèçâîäñòâà,
ñóáêîíòðàêòà,
÷èñëåííîñòè
ðàáîòàþùèõ íà
ïðåäïðèÿòèè â
òå÷åíèå ïëàíîâîãî
ïåðèîäà îò 3 äî
18 ìåñÿöåâ, ò.å. â
ñðåäíåñðî÷íîì
ïåðèîäå ñ ó÷åòîì
äàííûõ ïðîãíîçèðóåìîãî
ñïðîñà, ïðîèçâîäñòâåííîé
ìîùíîñòè, îáùåãî
ñîñòîÿíèÿ çàïàñà,
÷èñëåííîñòè
ðàáîòíèêîâ, îòíîñèòåëüíîãî
êîëè÷åñòâà åäèíèö
ìàòåðèàëüíîãî
ïîòîêà, èñïîëüçóåìûå
ðàçðàáîò÷èêîì
ïëàíà.
Ø Àãðåãàòíûé
ïëàí ïðîèçâîäñòâà
è ïðîäàæ êîíå÷íîé
ïðîäóêöèè ïðåäñòàâëÿåò
âòîðîé óðîâåíü
èåðàðõèè ïëàíîâ,
ðàçðàáàòûâàåìûõ
íà ïðåäïðèÿòèè.
Îí ïîçâîëÿåò ñîïîñòàâèòü
äàííûå ìàðêåòèíãîâûõ
èññëåäîâàíèé
ðûíêà è âîçìîæíîñòåé
ïðîèçâîäñòâà
â ñðåäíåñðî÷íîì
ïåðèîäå, ÷åòêî
îïðåäåëÿåò â òåðìèíàõ
ïðîäóêòîâûõ ãðóïï
è ñåìåéñòâ èçäåëèé,
÷òî äîëæíî áûòü
èçãîòîâëåíî
è ðåàëèçîâàíî
äëÿ òîãî, ÷òîáû
áûë âûïîëíåí áèçíåñ-ïëàí
ïðåäïðèÿòèÿ. Îòìåòèì,
÷òî äëÿ ïëàíèðîâàíèÿ
ìíîãèõ ðåñóðñîâ
åñòåñòâåíåí
ãîäè÷íûé öèêë.
Ø Ãëàâíîé
öåëüþ àãðåãàòíîãî
ïëàíèðîâàíèÿ
ÿâëÿåòñÿ ìèíèìèçàöèÿ
çàòðàò â òå÷åíèå
âñåãî ñðåäíåñðî÷íîãî
ïåðèîäà, à ìåòîäàìè
áàëàíñèðîâêè
- ðåãóëèðîâàíèå
òåìïîâ ïðîèçâîäñòâà
è óðîâíÿ èñïîëüçîâàíèÿ
òðóäîâûõ ðåñóðñîâ,
óðîâíÿ çàïàñîâ
è ïðèâëå÷åíèÿ
ñóáïîäðÿäíûõ
îðãàíèçàöèé,
à òàêæå ðÿäà äðóãèõ
ïîääàþùèõñÿ êîíòðîëþ
ïàðàìåòðîâ. Àãðåãàòíîå
ïëàíèðîâàíèå
ÿâëÿåòñÿ ÷àñòüþ
îáùåé ñèñòåìû
ïðîèçâîäñòâåííîãî
ïëàíèðîâàíèÿ.
Ø Âûäåëÿþò
âîñåìü ÷èñòûõ
ñòðàòåãèé àãðåãàòíîãî
ïëàíèðîâàíèÿ.
Ïåðâûå ïÿòü èç
íèõ íàçûâàþòñÿ
ïàññèâíûìè ñòðàòåãèÿìè,
òàê êàê îíè íå
ïðåäóñìàòðèâàþò
âîçäåéñòâèÿ
íà ñïðîñ, à òîëüêî
ðåàãèðóþò íà
åãî èçìåíåíèÿ,
óïðàâëÿÿ âíóòðåííèìè
ðåñóðñàìè ïðåäïðèÿòèÿ.
Ïîñëåäíèå òðè
ÿâëÿþòñÿ àêòèâíûìè
ñòðàòåãèÿìè
ïðèáåãàÿ ê êîòîðûì
ïðåäïðèÿòèÿ ïûòàþòñÿ
âîçäåéñòâîâàòü
íà õàðàêòåð ñïðîñà
íà ïðîòÿæåíèè
ïëàíîâîãî ïåðèîäà.
Âòîðàÿ
ãëàâà áûëà ïîñâÿùåíà
ðàñ÷åòó è àíàëèçó
òåõíèêî - ýêîíîìè÷åñêèõ
ïîêàçàòåëåé,
òàêèõ êàê: ñïèñî÷íîå
êîëè÷åñòâî ïðîèçâîäñòâåííûõ
ðàáî÷èõ, ïåðåìåííûå
è ïîñòîÿííûå
èçäåðæêè öåõà
ïî âûïóñêó èçäåëèé,
êîýôôèöèåíò
çàãðóçêè îáîðóäîâàíèÿ
îáùèé ôîíä çàðàáîòíîé
ïëàòû âñåõ ðàáî÷èõ,
öåíà åäèíèöû
èçäåëèÿ è äð.
Òàêèì
îáðàçîì, â õîäå
ïðîäåëàííîé ðàáîòû
ìîæíî ñäåëàòü
ñëåäóþùèé âûâîä:
ïðåäïðèÿòèå ÿâëÿåòñÿ
óñïåøíî ôóíêöèîíèðóþùåé
îðãàíèçàöèåé,
ïðèíîñÿùåé ïðèáûëü.
Áèáëèîãðàôè÷åñêèé
ñïèñîê
1. Áàðìàøîâà
Ë.Â. Îðãàíèçàöèÿ
èíñòðóìåíòàëüíîãî
õîçÿéñòâà. [Ýëåêòðîííûé
ðåñóðñ]. Îáðàçîâàòåëüíûé
ñàéò. URL:
http://barmashova.ru/organizazia_i_planirovania_proizvodstva/insrument_hozai/index.html
(äàòà îáðàùåíèÿ:
10.12.2012 ã.)
2. Áóõàëêîâ
Ì.È. Îðãàíèçàöèÿ
ïðîèçâîäñòâà
è óïðàâëåíèå
ïðåäïðèÿòèåì.
Ó÷åáíèê, 3 èçä.
- Ì.: ÈÍÔÐÀ-Ì, 2011, 506 ñ.
. Âàéñ
Ò.À. Ïëàíèðîâàíèå
íà ïðåäïðèÿòèè.
Ó÷åáíîå ïîñîáèå
- 4-å èçä., ñòåð. - Ì.:
ÊÍÎÐÓÑ, 2011. - 336 ñ.
. Âîëîäèí
Â.Â., Îãàé Î.À. Îïåðàöèîííûé
ìåíåäæìåíò. Ó÷åáíîå
ïîñîáèå, 2 èçä.,
Èçä.: ÌàðêåòÄÑ,
2010, 168 ñ.
. Ãàéíóòäèíîâ
Ý.Ì., Ïîääåðûãèíà
Ë.È., Ïðîèçâîäñòâåííûé
ìåíåäæìåíò. Ó÷åáíîå
ïîñîáèå, Ìèíñê.:
Âûøýéøàÿ øêîëà,
2009, 320 ñ.
. Ãîðåëèê
Î.Ì. Ïðîèçâîäñòâåííûé
ìåíåäæìåíò: ïðèíÿòèå
è ðåàëèçàöèÿ
óïðàâëåí÷åñêèõ
ðåøåíèé. Ó÷åáíîå
ïîñîáèå. Ì.: Êíîðóñ,
2007, 272 ñ.
. Èëüäåìåíîâà
Ñ.Â. Îïåðàöèîííûé
ìåíåäæìåíò. Ì.:
Ìîñêîâñêèé ôèíàíñîâî
- ïðîìûøëåííûé
óíèâåðñèòåò
«Ñèíåãðèÿ», 2012, 384 ñ.
. Êîçëîâñêèé
Â.À. Ïðîèçâîäñòâåííûé
ìåíåäæìåíò. Ì.:
ÈÍÔÐÀ - Ì, 2006, 574 ñ.
. Êóêóøêèí
Ñ.Í. Ïëàíèðîâàíèå
äåÿòåëüíîñòè
íà ïðåäïðèÿòèè.
Ó÷åáíèê äëÿ âóçîâ.
- Ì.: ÈÄ Þðàéò, 2009, 350 ñ.
. Ìàëþê.Â.È.,
Íåì÷èí À.Ì. Ïðîèçâîäñòâåííûé
ìåíåäæìåíò. Ó÷åáíîå
ïîñîáèå. ÑÏá.: Ïèòåð,
2008, 288 ñ.
Ðàçìåùåíî
íà Allbest.ru