Управління експортними операціями підприємства
ЗМІСТ
ВСТУП
РОЗДІЛ 1. ТЕОРЕТИЧНІ ТА МЕТОДИЧНІ АСПЕКТИ ФОРМУВАННЯ
ЕКСПОРТНОГО ПОТЕНЦІАЛУ ПІДПРИЄМСТВА
.1 Зміст та особливості здійснення підприємствами
зовнішньоекономічних торговельних операцій
.2 Експортні операції та методи оцінки їх ефективності
.3 Нормативне регулювання зовнішньоекономічної
діяльності підприємства
РОЗДІЛ 2. АНАЛІЗ ФОРМУВАННЯ ЕКСПОРТНОГО ПОТЕНЦІАЛУ
ДОСЛІДЖУВАНОГО ПІДПРИЄМСТВА
.1 Аналіз техніко - економічних і фінансових
показників діяльності ПАТ «ЦГЗК»
.2 Організаційна структура управління ПАТ «ЦГЗК»
.3 Оцінка потенціалу експортних операцій та ступінь
його реалізації
.4 Обґрунтування методики ефективності експортної
діяльності на прикладі ПАТ «ЦГЗК»
.5 Визначення ризиків, що впливають на ефективність
експортної діяльності та обґрунтування методів їх нейтралізації
РОЗДІЛ 3. РОЗРОБКА ЗАХОДІВ ЩОДО УПРАВЛІННЯ ЕКСПОРТНМИ
ОПЕРАЦІЯМИ ДОСЛІДЖУВАНОГО ПІДПРИЄМСТВА
.1 Дослідження та вибір факторів, що впливають на
ефективність зовнішньоекономічної діяльності підприємства
.2 Розробка економіко-математичної моделі впливу
значимих показників на величину виручки від реалізації продукції
.3 Визначення прогнозної величини виручки від
реалізації продукції на основі розробленої моделі
РОЗДІЛ 4. ОХОРОНА ПРАЦІ ТА БЕЗПЕКА В НАДЗВИЧАЙНИХ
СИТУАЦІЯХ
.1 Аналіз стану охорони праці на ПАТ «Центральний
гірничо - збагачувальний комбінат»
.2 Оцінка ризиків на робочому місці
.3 Розрахунок площі адміністративних та побутових
приміщень ПАТ «ЦГЗК»
.4 Безпека в надзвичайних ситуаціях на ПАТ «ЦГЗК»
ВИСНОВКИ
СПИСОК ВИКОРИСТАНОЇ ЛІТЕРАТУРИ
ДОДАТКИ
ВСТУП
Актуальність. Комплексні економічні перетворення, що
відбуваються сьогодні в Україні, роблять неминучою інтеграцію українських
підприємств у міжнародні економічні зв'язки. Виходячи на світовий ринок
вітчизняні підприємства попадають у принципово нове конкурентне середовище, для
якого характерні багатоаспектність інтересів конкуруючих сторін, динамізм і
агресивність.
Зрозуміло, що задачі підвищення ефективності
зовнішньоекономічної діяльності неможливо розглядати ізольовано, у відриві від
таких важливих факторів, як модернізація виробничої структури, якість
продукції, що випускається та ін., від проблем удосконалення всього
господарського механізму, покращення різноманітних сторін управління
підприємством.
Об’єктом мого дослідження є Публічне акціонерне товариство
«Центральний гірничо-збагачувальний комбінат».
Метою виконання дипломної роботи є розробка заходів щодо
управління експортними операціями підприємства.
Для досягнення поставленої мети було вирішено такі завдання:
досліджено сутність зовнішньоторгівельних операцій,
в тому числі і експортних операцій;
проведено аналіз ефективності експортних операцій;
досліджено процес нормативного регулювання
експортних операцій підприємства;
виконано оцінку діяльності ПАТ «ЦГЗК»;
виконано і оцінку зовнішньоекономічного потенціалу
підприємства;
оцінено ефективність зовнішньоекономічної
діяльності ПАТ «ЦГЗК»;
досліджено ризики, які супроводжують
зовнішньоекономічні операції;
розроблено заходи щодо управління експортними
операціями підприємства.
Предметом дослідження є процеси формування експортного
потенціалу підприємства та напрями підвищення ефективності його використання.
Методи дослідження. При статистичному вивченні основних
показників фінансового стану підприємства широко застосовуються наступні методи
економіко-статистичного аналізу: порівняльний, горизонтальний та вертикальний
аналіз, графічний, цепних підстановок та факторний.
На основі проведеного аналізу, у роботі пропонується
підвищення ефективності як всієї діяльності підприємства в цілому, так і
зовнішньоекономічної діяльності, зокрема за рахунок розробки
економіко-математичної моделі впливу значимих показників ефективної діяльності
підприємства на величину чистого прибутку.
Процес розроблення економіко - математичної моделі
здійснюється за допомогою лінійного програмування з застосуванням ЕОМ та
програми Mіcrosoft Excel.
У роботі спрогнозована величина чистого прибутку з
урахуванням виконання зміни значимих виробничо-господарських факторів.
Під час написання роботи використовувались такі джерела
інформації: фінансова звітність та фінансово-господарські документи
підприємства, статистична інформація, Інтернет-ресурси, періодична та
науково-методична література.
РОЗДІЛ
1. ТЕОРЕТИЧНІ ТА МЕТОДИЧНІ АСПЕКТИ ФОРМУВАННЯ ЕКСПОРТНОГО ПОТЕНЦІАЛУ
ПІДПРИЄМСТВА
1.1 Зміст та особливості здійснення підприємствами
зовнішньоекономічних торговельних операцій
Реальна трансформація зовнішньої економіки нашої країни
передбачає взаємодію всіх чинників внутрішньоекономічного розвитку зі зміною
співвідношення між ними. Більш тісна взаємодія української економіки зі
світовою зумовлюється значною потребою в нових технологіях, інвестиційних та
фінансових ресурсах. Основними передумовами інтеграції України в міжнародну
економіку є:
системна ринкова трансформація;
реструктуризація економіки;
формування відкритої економіки, розвиток не лише
зовнішньої торгівлі, а й руху факторів виробництва між країнами. [25, с.27]
Зовнішньоекономічна діяльність на сьогоднішній день є саме
тим перспективним варіантом господарювання, що має можливість гармонійно
поєднувати інтереси держави в досягненні політичної й економічної незалежності
з інтересами підприємств у максимізації прибутку й у відповідному її
перерозподілу. [32,с.7]
Макогон Ю.В, Рижиков В.С. Касьянюк О.О., Коваленко В.М.,
Грідасов В.М., Чемерис С.В., Гончаров А. дають наступне визначення
зовнішньоекономічної діяльності - це сукупність напрямів, форм і методів
торговельно-економічного, науково-технічного співробітництва, а також кредитних
і валютно-фінансових відносин даної країни із зарубіжними державами з метою
ефективного використання переваг міжнародного поділу праці.
Торговельно-економічні відносини охоплюють торгівлю і послуги [41,c.6].
Загальновідомо, що торгівельні операції складають близько 80%
зовнішньоекономічних операцій. Економічну сутність торгівлі визначають
по-перше, як перерозподіл результатів людської праці від однієї стадії
виробництва до іншої, і, по-друге, як передачу товарів від виробників
споживачам. Торговельні операції здійснюються з різними цілями, що обумовлює їх
розмаїття в зовнішньоекономічній діяльності. [30, с.85]
Зовнішньоекономічним торгівельним зв’язкам належить велика
роль в інтегруванні нашої економіки в світове господарство. Потрібно зауважити,
що при здійсненні зовнішньоекономічної діяльності виникає багато проблем
пов’язаних із системою управління. А тому головною задачею держави являється
забезпечення підприємствам нормальних умов для здійснення зовнішньоекономічної
діяльності.
Сьогодні підйом економіки країни неможливо уявити без
зовнішньоекономічних зв’язків. Наприклад, розвиток експорту веде за собою ріст
зайнятості, що має важливі позитивні соціальні наслідки, дозволяє мобілізувати
і більш ефективно використовувати природні ресурси і робочу силу; це сприяє
росту продуктивності праці і росту доходу. Хоча ріст об’єму експорту є одним із
факторів економічного росту, необхідно мати на увазі й те, що збільшення
експорту може стимулювати розвиток економіки країни лише за умови, що зароблені
кошти будуть інвестуватися в розвиток виробництва. А інакше розширення експорту
буде означати лише відтік ресурсів. [23,c.135]
Види міжнародної торгівлі складалися на світовому ринку під
впливом різноманітних чинників, що позначається на зовнішньоекономічній
діяльності і ринковій взаємодії підприємств різних форм власності. Розрізняють
такі види зовнішньої торгівлі:
торгівля готовою продукцією;
торгівля комплектним устаткуванням;
торгівля товарами у розібраному вигляді;
торгівля машинами, що були у вжитку;
торгівля сировинними товарами;
прямий продаж;
зустрічна торгівля.
Міжнародні постачання готової продукції є найбільш поширеною
формою торгівлі. Її обсяг складає майже половину загального обсягу світової
торгівлі. Характерною рисою такої торгівлі є постачання зібраної цілком продукції,
готової до використання споживачами. Успішно застосовуються і такі форми, як
торгівля виробами машинобудування в розібраному вигляді; торгівля товарами, що
були у вжитку; продаж послуг, які підвищують конкурентоспроможність товару до
необхідного рівня.
Під комплектним устаткуванням розуміють певний набір машин і
механізмів, які у комплексі забезпечують повний технологічний цикл промислового
виробництва.
Торгівля товарами у розібраному вигляді приваблива для
експортерів тим, що, постачаючи вузли і деталі для складання машин у покупця,
вони користуються такими перевагами: заощаджують на транспортних витратах, тому
що транспортування готових виробів дорожче ніж транспортування вузлів і деталей
вроздріб; заощаджують на митних витратах (мито на вивезення товарів у зібраному
вигляді приблизно на 10-20% вище ніж на окремі вузли і деталі).
Проте цей вид торгівлі пов'язаний із рядом складностей
технічного і комерційного плану. Конструкція машин і технологія їх виготовлення
повинна забезпечувати повну взаємозамінність вузлів і деталей, щоб виключити
необхідність їх підгонки на місці складання, а також враховувати кваліфікацію
спеціалістів-складальників і експлуатаційні умови фірм-користувачів. Цей вид
торгівлі потребує суворого дотримання регулярності і комплектності постачань
для забезпечення безперервного складального процесу.
Торгівля товаром, що був у вжитку (зокрема, обладнанням)
являє собою постачання зношеного устаткування, і також є однією з форм
реалізації продукції. Предметами такого постачання можуть бути літаки,
автомашини, верстати, спеціальне технічне обладнання. Використання такого
устаткування залишається протягом певного періоду часу економічно вигідним на
дрібних підприємствах або в країнах, що розвиваються.
Специфіка торгівлі сировинними товарами полягає в укладенні
великих обсягів угод та значній частці у відпускній ціні витрат на
транспортування і збереження товару, у раптових і сильних коливаннях цін,
викликаних не стільки виробничими витратами, скільки змінами попиту і
пропозиції. Сировинні торговельні компанії спеціалізуються, як правило, на
торгівлі одним або кількома видами товарів, сировини і діють переважно на
ринках, де споживачі й продавці, через їх розрізненість, мають можливості
організувати власну мережу постачань необхідної сировини.
Зростання прямих продажів при збуті продукції обумовлене
підвищенням технічного рівня і складності машин та устаткування, збільшенням
частки унікального і комплектного устаткування. Прямий продаж припускає
наявність безпосередніх контактів між виробником і кінцевими споживачами. Прямі
контакти встановлюються на стадії проектування і розробки техніко-економічних
параметрів товару з метою урахування вимог покупця.
Зустрічна торгівля - це торговельні угоди, при яких продаж
певного виду товарів (послуг) є умовою придбання інших товарів або послуг.
Причиною зростання обсягів зустрічної торгівлі є надзвичайне загострення
проблеми збуту. Продавці заради можливості продажу своїх товарів ідуть на те,
щоб одержати від своїх покупців не грошовий еквівалент вартості, а товарний,
який вони використовують у власному виробництві або реалізують на зовнішньому
ринку. Покупці ж, які не мають валюти, одержують необхідні вироби й одночасно
сприяють розвитку національного експорту.
Основними формами зустрічної торгівлі є:
бартерні угоди;
зустрічні закупівлі товарів за рахунок вартості
поставлених товарів;
комплектація імпортного устаткування частинами і
деталями виробництва країни-імпортера;
компенсаційні угоди, за умовами яких погашення
фінансового або товарного кредиту, наданого країною, що постачає технологічне
устаткування, здійснюється поставками товарів, зробленими іншими підприємствами
(операція припускає валютний залишок);
операції з давальницькою сировиною (толінг);
викуп застарілої продукції.
У зовнішньоекономічних зв'язках зустрічна торгівля
використовується при реалізації міжурядових договорів про товарообіг, угод про
виробничу кооперацію, при будівництві об'єктів на компенсаційній основі, а
головним її фактором є обмеженість ліквідних засобів одного чи обох учасників
угоди.[30,c.86-89]
1.2 Експортні операції та методи оцінки їх
ефективності
Згідно з Законом України «Про зовнішньоекономічну
діяльність», експорт (експорт товарів) - продаж товарів українськими суб'єктами
зовнішньоекономічної діяльності іноземним суб'єктам господарської діяльності (у
тому числі з оплатою в не грошовій формі) з вивезенням або без вивезення цих
товарів через митний кордон України, включаючи реекспорт товарів. При цьому
термін реекспорт (реекспорт товарів) означає продаж іноземним суб'єктам
господарської діяльності та вивезення за межі України товарів, що були раніше
імпортовані на територію України; [1].
Таким чином, український суб'єкт зовнішньоекономічної
діяльності, що здійснює експорт товарів, є експортером.
Експортна операція представляє собою діяльність, спрямовану
на продаж і вивіз за кордон товарів для передачі їх у власність іноземному
контрагенту. Для продавця не має значення, що буде робити з цим товаром
покупець - пустить в переробку, реалізує на внутрішньому ринку чи перепродасть
у третій країні. Для продавця і його країни в будь-якому випадку це буде
експортна операція [23, с. 198]. Її основними ознаками є: укладення контракту з
іноземним контрагентом і перетинання товаром границі країни-експортера. Факт
експорту фіксується в момент перетину товаром митного кордону держави.
Проведення експортних операцій здійснюється в декілька
етапів, які зображені нижче на рис.1.1.
Найперша і найголовніша задача, яка ставиться перед
підприємством-експортером при виході на зовнішній ринок є дослідження
кон’юнктури ринку, на який він збирається виводити свою продукцію. Першочергове
значення при цьому має виявлення потреб у товарі, рівня купівельної
спроможності, вимог покупців до товару, факторів поведінки покупців, а також
перспективи зміни потреб у товарі, виражених не лише темпами росту, але й
життєвим циклом товару.
При аналізі попиту потрібно виходити з того, що покупець сам
визначає відповідність пропонованого йому товару своїм реальним потребам, тому
необхідно ретельно вивчати вимоги споживача до товарів, що є на ринку. А в
аналізі пропозиції товару важливе значення має дослідження кон’юктури ринку,
зміни його запасів, вивчення стану та тенденцій розвитку відповідного світового
товарного ринку, діяльності фірм-конкурентів [14, с. 167].
Перш ніж приймати управлінські рішення, які були б
ефективними, підприємство повинно також вивчити умови праці на конкретному
ринку. Тобто разом із вивченням діяльності фірм-продавців та фірм-покупців
особливо важливим є аналіз комерційної практики, що склалася на ринку, умов
руху товарів та каналів розподілу товару, правових питань, торгово-політичних
умов.
Рис.1.1. Етапи організації експорту продукції
Сьогодні великі підприємства та фірми при виході на зовнішні
ринки створюють відділи експортної діяльності чи користуються послугами
спеціалізованих фірм. Для дрібних і середніх суб’єктів це являється
недоступним, і вони змушені самостійно вирішувати всі проблеми, які виникають у
процесі роботи з іноземними партнерами. В залежності від того який шлях роботи
підприємство вибирає, у міжнародній торговій практиці існує два основних метода
здійснення експортних операцій: прямий експорт і непрямий експорт [37, с. 17].
Вибір одного із цих методів експортером являється другим етапом експортної
операції.
Рис.1.2. Методи здійснення експортних операцій
Прямий експорт передбачає використання прямих зв'язків між
виробником (постачальником) та кінцевим споживачем, тобто здійснення операції
безпосередньо через власну торговельну фірму або відділ.
Вважається, що здійснення безпосередніх експортних операцій
має ряд переваг. Наприклад, дозволяє налагодити більш тісні контакти з
іноземним партнером, краще вивчити умови ринку і швидше адаптувати свої програми
до попиту і вимог іноземного ринку.
Якщо підприємство вибирає варіант прямого продажу, то йому
необхідно створити діючу експортну службу. Створювати її доцільно, якщо:
частка експорту в загальному обігу велика;
зовнішньоторговельні операції здійснюються
регулярно;
випускається продукція з високим рівнем
конкурентоспроможності, бажано унікальна за своїми властивостями;
невисокий рівень конкуренції на відповідному
сегменті світового ринку;
продукція не потребує серйозної адаптації до
закордонних ринків;
на підприємстві є необхідна кількість фахівців із
зовнішньоекономічної діяльності.
У залежності від розміру підприємства і рівня його
інтернаціоналізації можливі наступні формі організації експортної служби:
відділ збуту - використовується підприємством, якщо
обсяг його зовнішньоторговельних операцій незначний і основна частина продукції
реалізується на внутрішньому ринку;
експортний відділ - створюється при збільшенні
обсягу експортних операцій;
відділення закордонних операцій - створюється
закордоном і підпорядковує усі відділення у даній країні;
центральна контора - створюється дочірня експортна
фірма;
спільні збутові компанії.
Створюючи спільні торгові дома, асоціації, акціонерні
товариства, консорціуми та інші зовнішньоекономічні організації (не
використовуючи послуги посередника), окремі підприємства одержують можливість
зменшувати зовнішньоторговельні затрати, збільшувати ефективність
купівлі-продажу товарів і послуг на зовнішньому ринку.
Але незалежно від форми організації головною метою роботи
експортної служби є експорт конкурентоспроможної продукції, що досягається
шляхом виконання наступних її функцій:
збір на підприємстві інформації про продукцію, підготовлену і
заплановану на експорт;
складання калькуляції цін на експортну продукцію;
підготовка рекламних матеріалів;
аналіз інформації про експорт за попередні періоди;
аналіз відгуків про товари в кінцевих споживачів;
складання попереднього списку потенційних споживачів;
переписування з питань висновку контракту;
переговори за контрактом і його висновок;
пророблення і висновок угод з посередниками;
забезпечення упакування і транспортування;
виконання митних обов'язків;
забезпечення одержання платежу;
гарантійне і пост гарантійне обслуговування.
Оскільки скорочуються витрати на суму комісійної винагороди
посереднику, знижуються ризик і залежність результатів комерційної діяльності
від можливої несумлінності чи недостатньої компетенції посередницької
організації при прямому методі торгівлі виникає таке поняття як фінансова
вигода, яка включає в себе всі зекономлені витрати.
Другий метод експорту - непрямий експорт.
Непрямий, або посередницький метод передбачає продаж товарів
через торгово-посередницьку ланку на підставі укладення спеціального договору -
агентської, комісійної або іншої угоди з торговим посередником, в якій
передбачується виконання останнім певних обов'язків, пов'язаних з реалізацією
товару продавця за агентську, комісійну або іншу винагороду [37, с. 36].
Використання торгових посередників доцільно при збуті
стандартних видів машин і обладнання, що вимагають післяпродажного технічного
обслуговування. При цьому наявність у посередницьких фірм власної сітки
технічного обслуговування (ремонтних майстерень, кадрів спеціалістів, складів
запасних частин і так далі) значно полегшує освоєння нових ринків. Позитивно
відбивається і спеціалізація діяльності торгових посередників на операціях з
відповідною групою товарів.
На сьогоднішній день більше половини міжнародного товарного
обміну здійснюється при сприянні торгових посередників, тобто незалежних від
виробників і споживачів товарів торгових фірм, організацій і осіб.
Посередниками можуть бути брокери, дилери, комісіонери, оптові покупці,
промислові та торгові агенти.
Під торгово-посередницькими операціями розуміються операції,
пов'язані з купівлею-продажем товарів, які виконуються за дорученням виробників
і споживачів незалежним торговим посередником, на основі угоди чи окремого
доручення, що укладається між ними.
Торгове посередництво виконує значну кількість функцій,
зокрема: пошук закордонного контрагента, підготовку й укладання угоди,
кредитування сторін і надання гарантій, проведення транспортно-експедиторських
операцій і страхування товарів при транспортуванні, виконання митних
формальностей, проведення рекламних і інших заходів щодо просування товарів на
закордонні ринки, здійснення технічного обслуговування й проведення інших
операцій.
Посередницькі операції регулюються нормами трудового й
цивільного права.
На третьому етапі експортної діяльності здійснюється вибір
потенційних партнерів. При виборі партнерів на перше місце виходить робота по
вивченню різних аспектів їх діяльності.
Найбільш важливим компонентом, який свідчить про солідність
та надійність фірми є ступінь її платоспроможності та кредитоспроможності, адже
це досить корисно - бути інформованими про фінансове становище партнера [24, с.
37]. Для оцінки солідності фірми можна використати й інші показники, такі, як
число зайнятих, число підприємств і розміри виробничих площ, ступінь
диверсифікованості фірми (тобто сфера діяльності й номенклатура продукції, що
випускається), частка продукції, що цікавить нас, в обсязі виробництва фірми й
галузі.
Не менш важливим принципом у виборі фірми-партнера є її
безпосередня ділова репутація. Репутація фірми визначається старанністю й
сумлінністю виконання зобов'язань, наявністю досвіду в певній сфері бізнесу,
прагненням враховувати пропозиції й побажання контрагента й вирішувати всі
складні ситуації, що виникають, шляхом переговорів.
Після того як вибрали метод здійснення експортної операції і вибрали
коло потенційних партнерів, наступним кроком є встановлення з контрагентом
контактів. Для експортера засобом встановлення контактів з імпортером є
відправка йому комерційної пропозиції - оферти.
Оферта - документ, що містить в собі всі істотні пункти
передбачуваного договору (найменування, кількість і якість товару, ціна, умови
і термін поставок, умови платежу й ін. умови).
Розрізняють два види оферт:
тверда оферта - експортер посилає оферту, де вказано термін
оферти, впродовж якого експортер зв'язаний умовами оферти; якщо імпортер
згодний, він посилає підтвердження й угода укладається; якщо не згодний -
посилає контроферту зі своїми вимогами;
вільна оферта - термін дії оферти не вказується; якщо
імпортер згодний, він посилає акцепт (письмове підтвердження покупця в
установлений термін укласти договір на умовах запропонованих оферентом) з
перерахуванням тих же умов; якщо не згодний - посилає контроферту зі своїми
вимогами [49, с. 245].
Підготовка й ведення переговорів - одна з найбільш важливих
сторін діяльності кожної фірми. Будь-які переговори представляють собою
особливий вид співпраці двох або більше людей, направлених на вирішення
спільних проблем, що стоять перед ними. Вони проводяться тому, що інтереси
сторін не співпадають.
Для того щоб переговори були успішними сторони повинні
враховувати інтереси один одного. Для цього важливо ще до початку переговорів
отримати відомості про партнера.
Процес проведення переговорів має три основні етапи:
) підготовка переговорів - створення поетапного плану дій,
проведення аналізу проблем і інтересів учасників, формування власної позиції
щодо дискусійних питань. Крім того, переговори повинні проводитися в
спеціальному приміщенні, при необхідності обслуговуватися спеціально
прикріпленими робітниками. Організацію переговорів бере, як правило, на себе
сторона - ініціатор.
Будь-які переговори починаються з взаємного викладення
позицій, тобто партнери дізнаються і уточнюють позиції один одного та точки
зору по окремих питаннях. Необхідно з самого початку намагатися знайти спільну
позицію з партнером;
) ведення переговорів - обговорення проблеми і шляхів її
вирішення. Насамперед обговорюються самі важливі аспекти проблеми, щоб досягти
згоди в принципових питаннях, потім обговорюються другорядні пункти, по яким
домовитися відносно легко, і в кінці - ті пункти, по яким можливе тривале або
безрезультатне обговорення.
Успіх переговорів залежить від інтересів сторін, важливості
результатів вирішення проблем для них. Після того, як сторони дійшли згоди
наступає третій етап - вироблення спільних рішень;
) аналіз результатів - основний етап ведення переговорів.
Рішення виробляються спочатку в загальному вигляді, а потім в деталях. Після
закінчення переговорів необхідно провести аналіз досягнутого або не досягнутого
порівняно з наміченим [24, с. 162].
Сторони, як правило, йдуть на переговори з завчасно складеним
проектом контракту, попередньо узгодженим з юридичним відділом
зовнішньоекономічних зв’язків.
Тепер, коли сторони дійшли згоди на проведення угоди, вони
приступають до останнього етапу, до безпосереднього укладення
зовнішньоекономічного договору і контролю за його виконанням.
Зовнішньоекономічний договір (контракт) - матеріально
оформлена угода двох або більше суб’єктів зовнішньоекономічної діяльності та їх
іноземних контрагентів, та спрямована на встановлення, зміну або припинення їх
взаємних прав та обов’язків у зовнішньоекономічній діяльності. Ціль однієї
сторони при цьому являється отримання товару, а іншої сторони - виторгу за
товар.
Договір укладається, як правило, у простій письмовій формі;
може бути визнаний недійсним у судовому порядку, якщо він не відповідає вимогам
законів України або міжнародних договорів України.
Важливим моментом в процесі укладення договорів являється
підготовка тексту контракту, тому що від нього залежить результат виконання
обов’язків сторін. Керівництву фірми необхідно пам’ятати про важливість
підготовчого етапу, оскільки недоробки, пов’язані з недбалістю персоналу, що
готує проект контракту, можуть обернутися фінансовими збитками при його виконанні.
Тому рекомендується для підготовки тексту контракту використовувати самих
кваліфікованих спеціалістів.
При підписанні контракту, як правило, повинен бути присутній
перший керівник або представник фірми, який наділений всією повнотою прав. У
відповідності з діючим українським законодавством, від імені юридичної особи
контракт підписує особа, яка має право на підпис, згідно посади, і особа, яка
уповноважена дорученням, підписаним першим керівником.
Згідно з контрактом основними обов'язками експортера є:
постачання товару, передача документів і прав власності на товар; імпортера -
сплата ціни за товар і прийняття товару.
Під прийманням розуміється перевірка відповідності якості,
кількості та комплектності товару його характеристиці та технічним умовам, вказаним
у договорі. А під здачею товару розуміється передача товару продавцем у
володіння покупця відповідно до умов договору [28, с. 98]. Здача та приймання -
один акт, котрий у контракті може бути виражений наступним формулюванням:
«Товар вважаться поставленим продавцем та прийнятим покупцем...».
Порядок здачі-приймання зазвичай встановлюється у контракті.
З питань, які не є предметом приймання товару, що здійснювалось відповідно до
умов контракту, покупець може надати рекламації - претензії, що надаються у
письмовій формі покупцем продавцю у зв’язку із невідповідністю якості та
кількості поставленого товару. Сторони договору встановлюють порядок надання
рекламації; терміни, на протязі яких рекламація може бути заявлена; права та
обов’язки сторін у зв’язку з наданням рекламації; способи врегулювання.
Виконання умов контракту постійно контролює як експортер, так
і покупець.
За невиконання сторонами взятих на себе зобов’язань
передбачені штрафні санкції, котрі за своїми розмірами та порядком повинні
стимулювати виконання умов. У контракті може бути передбачене право
розторгнення контракту однією стороною у випадку порушення умов угоди
партненром.
Обмеження відповідальності в контрактах відбивається записом
про те, що при настанні обставин непередбаченої сили (форс-мажорних обставин)
термін обов’язків для сторони, на яку впливають ці обставини, продовжується на
весь період їх дії та ліквідації наслідків. Для відшкодування матеріальних
збитків у таких випадках у дію вступають інститути страхування та державної підтримки.
Слід зазначити, контракт встановлює не лише відповідальність
сторон та обмеження відповідальності, але й розв’язання суперечок, які можуть
виникнути між сторонами і не можуть бути врегульованими мирним шляхом. У
більшості контрактів передбачається вирішення суперечки у порядку арбітражу.
Таким чином, зародившись ще в глибокій давнині, на
сьогоднішній день експортна діяльність набула значних масштабів і характеру
стійких міжнародних товарно-грошових відносин. При проведенні експортних
операцій слід виділити декілька етапів, до кожного з яких експортер повинен
поставитись відповідально, адже саме від них залежить результат від проведення
експортної операції.
Зобов'язання за контрактами повинні бути виконані за терміном
постачання товарів, якістю та кількістю товару. За даними звітності
підприємства обчислюється узагальнений коефіцієнт прострочених зобов'язань за
формулою:
,
(1.1)
де Кпр - експортна вартість товару за всіма контрактами,
прострочених виконанням протягом року;
Ке - сума всіх контрактів з експорту, які підлягають
виконанню за звітний рік.
Показник прострочок складається за всім експортом за рік, за
країнами експорту і за товарами. При цьому показники за звітний рік
порівнюються з показниками за попередній рік.
При проведенні економічного аналізу експорту товарів
необхідно оцінити конкурентоспроможність підприємства та конкурентоспроможність
товарів і послуг.
Під конкурентоспроможністю товарів і послуг розуміється їх
спроможність витримувати порівняння з аналогічними товарами та послугами інших
виробників і продаватися в зв'язку з цим за цінами, не нижчими за середні
ринкові.
Рівень конкурентоспроможності товарів і послуг визначається
сукупністю різних технічно-економічних факторів: якість і собівартість, форми
та методи торгівлі, ціни, умови і терміни постачання та транспортування,
відповідність вимогам моди та умовам місцевого ринку, види і форми платежів та
розрахунків з покупцями, престиж виробника і продавця («ціна» фірми), престиж
товару (товарний знак), ефективність реклами тощо.
Найскладнішим вважається встановлення конкурентоспроможності
машин і обладнання. Основний фактор їх конкурентоспроможності - якість,
визначена багатьма додатками, набір яких складніший і багатоманітніший, ніж у
товарів інших категорій. В поняття якості машин і обладнання входять
продуктивність та універсальність, стандартизація та уніфікація моделей.
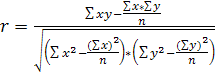
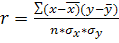
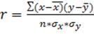
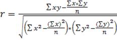
Аналіз експортних операцій
Для повнішої характеристики зовнішньоторговельної роботи
підприємства експорт товарів і послуг за звітний рік порівнюється з експортом
за попередній рік. Мета такого дослідження - встановити, які зміни відбулися в
товарній структурі експорту, в розвитку нових видів експорту і його
географічному напрямку. Дані про експорт за роки, які вивчаються, групуються за
країнами і за товарами.
Для отримання відповіді на питання про зміну вартісної
структури експорту за країнами і товарами складаються таблиці, де за кожним
рядком (країна або товар) показуються суми експорту в тис. грн. та їх питома
вага у відсотках до загального підсумку.
За товарними групами, які включають кількісно і якісно
співвимірні товари (наприклад, нафтопродукти: бензин, дизельне пальне, мазут),
можна обчислити індекс кількісної структури, що визначається за формулою:
,
(1.2)
зовнішньоекономічний торговельний операція
експортний
де
- кількість товарів поточного періоду;
-
базові ціни цих товарів;
-
середня ціна товарів базового періоду.
Середня ціна обчислюється за формулою :
,
(1.3)
Якщо індекс кількісної структури виявиться більше одиниці, то
це означатиме, що в межах товарної групи підвищилась частка дорожчих товарів за
рахунок зниження частки дешевих товарів. При оберненій зміні індекс структури
менший за одиницю.
Основними критеріями раціонального використання оборотного
капіталу підприємства при здійсненні експортних торгових операцій є тривалість
обороту оборотного капіталу та рентабельність експорту товарів.
Тривалість обороту залежить від маршруту перевезень товару,
часу зберігання на складах, тривалості розрахунків з іноземними покупцями.
Послідовність аналізу. Спочатку визначаються середньорічні
залишки оборотних коштів за формулою :
,
(1.4)
де CЗ - середні залишки;
З - залишок на початок кварталу (місяця);- кількість
періодів.
Оборот оборотного капіталу (оборотних коштів) відбувається за
схемою: гроші - товар на складі - відвантаження товару зі складу та розрахунки
з покупцями (дебіторами) - гроші. Всі стадії обороту відображаються в активі за
статтями 2-го розділу бухгалтерського балансу.
Далі визначається кількість оборотів (КО) оборотного капіталу
(оборотних засобів) за рік. Для цього використовується формула:
,
(1.5)
де СРТ - собівартість реалізованих товарів.
Наступним етапом є визначення тривалості одного обороту:
,
(1.6)
де ОД - оборотність в днях.
Якщо оборот оборотного капіталу прискорюється, це дає
можливість підприємству досягти відносного звільнення капіталу з обороту.
Величина звільнення (ВЗ) визначається за наступною формулою:
,
(1.7)
де ОДзр та ОДмр - оборотність звітного
та минулого року.
Ефективність експортних операцій досягається лише в тому
випадку, коли прискорення оборотності поєднується з необхідним рівнем
рентабельності продаж.
Показник рентабельності експорту товарів (R) визначається за
формулою:
(1.8)
Крім зміни курсу гривні на показник впливають такі основні
фактори:
експортна ціна (контрактна ціна);
рівень витрат у валюті;
купівельна ціна одиниці товару в гривнях;
рівень витрат в гривнях тощо.
Факторний аналіз рентабельності експорту здійснюють будь-яким
відомим способом.
Оцінка ефективності експортних операцій
Для визначення ефективності експортно-імпортних операцій
необхідно на підприємствах організувати облік, що забезпечує отримання
необхідної достовірної інформації про продаж (закупівлі) в абсолютному та
натуральному вираженні, а також про витрати та доходи, пов'язані із реалізацією
(закупкою) товарів на зовнішньому ринку в розрізі окремих держав.
Визначення економічної ефективності та ефекту експортної
діяльності підприємства доцільно проводити в наступній послідовності:
розрахунок беззбиткової зовнішньоторговельної ціни
експортного товару (при відомих повних витратах відповідно до базисних умов
постачання);
розрахунок максимально прийнятних повних витрат на експорт
товару відповідно до базисних умов постачання (при відомій
зовнішньоторговельній ціні);
розрахунок економічного ефекту товару;
розрахунок економічної ефективності експорту товару.
При розрахунку показників ефективності експорту необхідно
враховувати наступні умови:
ціна за експортну продукцію зовнішньоторговельних
операторів зафіксована в українській валюті;
ціна за експортну продукцію зовнішньоторговельних
операторів зафіксована у валюті імпортера або третіх країн;
спосіб оплати за товар - комерційний кредит.
. Розрахунок беззбиткової зовнішньоторговельної ціни
експортного товару (при відомих повних витратах) з врахуванням наведених умов
виглядає наступним чином:
,
(1.9)
де
- беззбиткова експортна ціна товару, грн.;
-
повні витрати на експорт товару (витрати, пов'язані із виробництвом товару та
його реалізацією на зовнішньому ринку), грн.
,
(1.10)
де
- беззбиткова експортна ціна товару, грн.
-
курс валюти за даними Національного банку України на розрахункову дату, грн./
вал. од.
,
(1.11)
-
беззбиткова експортна ціна товару, грн.;
-
коефіцієнт кредитного впливу.
Використання комерційного кредиту (авансу) у здійсненні
експортно-імпортних операцій, які забезпечують обмін продукцією у
матеріально-речовій формі, обумовлює коригування показників економічної ефективності
та ефекту за допомогою коефіцієнту впливу та розраховується за формулою
,
(1.12)
де
- коефіцієнт кредитного впливу;
-
експортна ціна товару, грн. ;
-
розмір комерційного кредиту (авансу), %;
-
термін надання комерційного кредиту (авансу), рік;
-
розмір додаткового прибутку.
Комерційний кредит (аванс) як спосіб розрахунку використовується
зовнішньоторговельними суб'єктами для реалізації міжнародних угод, пов'язаних
із купівлею-продажем машин і устаткування.
. Розрахунок максимально допустимих повних витрат на експорт
визначеного товару (при відомій зовнішньоторговельній ціні) необхідно
здійснювати з врахуванням наведених умов за наступними формулами:
,
(1.13)
-
максимально допустимі повні витрати підприємства на експорт товару, грн.
,
(1.14)
-
максимально допустимі повні витрати підприємства на експорт товару, грн.
,
(1.15)
-
максимально допустимі повні витрати підприємства на експорт товару, грн.
Якщо
(
,
) >
,
то експорт обраного в даному випадку товару для підприємства є економічно
недоцільним.
. Розрахунок економічного ефекту експорту товару необхідно проводити за
формулами:
,
(1.16)
де
- економічний ефект експорту товару, грн.;
-
виручка від експорту товару, грн.;
-
повні витрати підприємства на експорт товару, грн.
,
(1.17)
де
- економічний ефект експорт товару, грн.
,
(1.18)
де
- гривневий еквівалент відрахувань до валютного фонду
підприємства, розрахований шляхом перерахунку валютної виручки у гривні за
курсом Національного банку України на дату надходження валюти, грн.;
-
гривнева виручка від обов'язкового продажу валюти, грн.
,
(1.19)
де
- економічний ефект експорту товару, грн.
Якщо
(
,
) є додатною величиною, то експорт вибраної продукції
економічно вигідний, а тому слід шукати можливості для його збільшення з
врахуванням досягнутого рівня виробництва.
. Розрахунок економічної ефективності експорту товару необхідно
проводити за формулами:
,
(1.20)
де
- економічна ефективність експорту.
,
(1.21)
де
- економічна ефективність експорту.
,
(1.22)
-
економічна ефективність експорту;
-
коефіцієнт кредитного впливу.
,
(1.23)
де
- економічна ефективність експорту;
-
обсяг експортних товарів у внутрішніх середньорічних цінах, тис. грн.;
-
виробнича собівартість експортних товарів, тис. грн.
,
(1.24)
де
- економічна ефективність експорту, %;
-
середньорічна вартість основного та оборотного капіталів при виробництві
експортної продукції, тис. грн.
На підставі показників, які визначаються за формулами, можна зробити
наступні висновки про економічну ефективність експорту:
(
,
),
(
,
),
,
доцільно
розраховувати при укладанні кожної експортної угоди з метою вибору найбільш
оптимальної за критерієм максимуму;
(
,
), та за умови
(
,
)
>
;
якщо
(
,
) > 1, а
(
,
) >
,
то експорт відповідних товарів є для підприємства економічно вигідним і слід
шукати шляхи збільшення експорту даних товарів з врахуванням найбільш вигідних
напрямків експорту;
свідчить
про рівень ефективності експорту відповідних товарів, при цьому перша частина
формулі показує, який відсоток доходу підприємство отримає від реалізації експортної
операції, а друга - визначає, скільки разів за період, що розглядається,
капітал, авансований на експорт, зміг обернутися. Відповідно, чим більше обидві
частини даної формули, тобто величина
,
тим вигідніше експорт відповідних товарів.
Показники ефективності експортних угод доцільно використовувати при
аналізі експортної діяльності підприємства за минулий період; обґрунтуванні
окремих пропозицій про реалізацію товару; планування експортної діяльності на
майбутній період. [32, с. 276-277]
1.3 Нормативне регулювання зовнішньоекономічної
діяльності підприємства
На сучасному етапі економічних перетворень необхідною умовою
формування стійкого і розвиненого зовнішньоекономічного комплексу, в тому числі
і експортної діяльності, являється стабільна, реально функціонуюча законодавча
база, яка сприяла б оптимальному розвитку фінансово-господарчої діяльності
підприємств-експортерів. Правова основа для здійснення експортних операцій в
Україні хоча постійно розвивається але до кінця не відрегульована. В даний
момент існує маса законів, актів, постанов, положень і т.п., на основі яких
регулюється експортна діяльність України.
До державного регулювання зовнішньоекономічної діяльності
відносять:
митне регулювання (ст. 13 Закону про ЗЕД, Митний
кодекс України, Закон України №2098 - XІІ від 05.02.1992 року «Про єдиний
митний тариф» тощо);
валютне регулювання (Декрет Кабінету Міністрів
України від 19.02.1993 року №15-93 «Про систему валютного регулювання і
валютного контролю», Закон України «Про порядок здійснення розрахунків в
іноземній валюті» тощо);
ліцензування та квотування зовнішньоекономічних
операцій (ст. 16 Закону про ЗЕД, Указ Президента України від 10.02.1996 року
№124/96 «Про заходи з удосконалення кон'юнктурно-цінової політики у сфері
зовнішньоекономічної діяльності»);
введення спеціальних економічних зон (ст. 24 Закону
про ЗЕД, Наказ Президента України від 17.11.1995 року № 1062/95 «Про заходи по
проведенню експерименту у Північнокримській економічній зоні «Сиваш» тощо);
застосування спеціальних санкцій за порушення
зовнішньоекономічної діяльності (ст. 32-37 Закону про ЗЕД, ст. 119-120 Митного
кодексу, ст.4 Закону України «Про порядок здійснення розрахунків в іноземній
валюті» тощо). [30, 167-168]
Здійснення експортних операцій на Україні регулюється:
Законами України; Указами Президента України; Декретами Кабінету Міністрів
України; Положеннями Міністерства економіки України, Міністерства
Зовнішньоекономічних Зв'язків, інших міністерств і відомств, що регулюють
окремі питання тарифного і нетарифного характеру; угодами, укладеними Україною
з іншими державами та іншими законодавчими актами України.
Основою регулювання діяльності підприємств України на
зовнішніх ринках є Закон України «Про зовнішньоекономічну діяльність», який дає
визначення основним термінам, які застосовуються у практиці експортної
діяльності; закріплює основні принципи і правила при здійсненні експортних
операцій; визначає коло суб'єктів експортної діяльності, їх права та обов'язки;
законодавчо закріплює регулювання експортної діяльності; регулює економічні
відносини України з іншими державами та міжнародними міжурядовими
організаціями; захищає права та інтереси держави і суб'єктів при експорті;
зумовлює їх відповідальність при порушенні ними Законів України чи обов'язків,
пов'язаних з виконанням контракту, а також визначає застосовувані до них
санкції.
Згідно з даним законом до суб'єктів, що здійснюють експортну
діяльність належать:
фізичні особи, які мають цивільну правоздатність і
дієздатність, а також постійно проживають на території України;
юридичні особи, зареєстровані в Україні і які мають постійне
місцезнаходження на території України;
об'єднання фізичних і юридичних осіб;
структурні одиниці іноземних суб'єктів господарської
діяльності;
спільні підприємства;
Україна в особі її органів;
інші держави та ін.
Необхідною умовою перетинання митної границі України при
експорті продукції є виконання митних формальностей, порядок здійснення яких
регулюється Митним Кодексом України. Мито, що стягується митницею, являє собою
податок на товари та інші предмети, які переміщуються через митний кордон
України [28].
При укладенні договорів при здійсненні експортних операцій
контрагенти зобов'язані використовувати затверджені Міністерством
Зовнішньоекономічних Зв'язків «Положення про форму зовнішньоекономічного
контракту», яке закріплює основні умови укладання договорів купівлі-продажу
[19]. А деякі аспекти цих договорів закріплені у спеціальних правових актах.
Перелік нормативно-правових актів України, що регулюють питання
форми, порядку укладання та виконання зовнішньоторговельних договорів
(контрактів): Цивільний кодекс УРСР;
Закон України «Про зовнішньоекономічну діяльність»;
Закон України «Про порядок здійснення розрахунків в
іноземній валюті»;
Закон України «Про операції з давальницькою
сировиною у зовнішньоекономічних відносинах»;
Закон України «Про регулювання товарообмінних
(бартерних) операцій у галузі зовнішньоекономічної діяльності»;
Указ Президента України від 4 жовтня 1994 року N
566/94 «Про заходи щодо впорядкування розрахунків за договорами, що укладають
суб'єкти підприємницької діяльності України»;
Указ Президента України від 4 жовтня 1994 року N
567/94 «Про застосування Міжнародних правил інтерпретації комерційних
термінів»;
Указ Президента України від 10 лютого 1996 року N
124/96 "Про заходи щодо вдосконалення кон'юнктурно-цінової політики у
сфері зовнішньоекономічної діяльності";
Декрет Кабінету Міністрів України від 19 лютого 1993
р. N 15-93 «Про систему валютного регулювання і валютного контролю»;
постанова Кабінету Міністрів України і Національного
банку України від 21 червня 1995 року N 444 «Про типові платіжні умови
зовнішньоекономічних договорів (контрактів) і типові форми захисних застережень
до зовнішньоекономічних договорів (контрактів), які передбачають розрахунки в
іноземній валюті».
Що стосується здійснення платежів у іноземній валюті, то вони
регулюються Декретами Кабінету Міністрів України «Про систему валютного
регулювання і валютного контролю» і «Про тимчасовий порядок використання
надходжень в іноземній валюті», а також Законом України «Про порядок
розрахунків в іноземній валюті». Перераховані вище документи встановлюють режим
здійснення валютних операцій на території України, визначають принципи
валютного регулювання, повноваження державних органів, права й обов'язки
суб'єктів валютних відносин при здійсненні валютних операцій.
При виборі базисних умов поставок підприємства користуються
Указом Президента «Про використання Міжнародних правил інтерпретації
комерційних термінів» [19, с. 25]. Ці правила викладено у ІНКОТЕРМС-2000,
згідно з якими існує 13 базисних умов поставок, які відрізняються за
обов'язками контрагентів [5].
Оподаткування прибутку від експортних операцій здійснюється
на підставі Закону України «Про податок на додану вартість», по якому при
вивезенні товару з митної території України ставка податку на додану вартість
дорівнює нулю [2]; а також Декрету Кабінету Міністрів України «Про податок на
прибуток підприємств і організацій», згідно з яким об'єктом оподаткування є валовий
прибуток підприємства; визначення прибутку від реалізації продукції проводиться
шляхом вирахування з одержаної виручки (без податку на добавлену вартість,
акцизного збору) затрат на виробництво та реалізацію, що включаються до
собівартості продукції (робіт, послуг) [3].
Порядок квотування і ліцензування експорту визначає Декрет
Кабінету Міністрів України «Про квотування і ліцензування експорту товарів
(робіт, послуг)», згідно з яким рішення про запровадження режиму ліцензування
та квотування експорту приймається Кабінетом Міністрів України за поданням
Міністерства економіки України з визначенням списку конкретних товарів (робіт,
послуг), що підпадають під режим ліцензування та квотування, і строків дії
цього режиму [4]; а також щорічні Постанови «Про перелік товарів, експорт та
імпорт яких підлягає квотуванню і ліцензуванню».
В основу законодавчої бази страхування експортних операцій
покладено Декрет Кабінету Міністрів України « Про страхування».
З ціллю запобігання демпінгу використовується Указ Президента
України «Про заходи для попередження експорту товарів походженням з України за
цінами, що можуть розглядатися як демпінгові, і врегулювання торгових
суперечок».
Таким чином, експорт передбачає продаж і вивезення товарів за
кордон для передачі їх у власність іноземному контрагенту. Експортні операції
вважаються здійсненими, якщо товар після виконання певних митних формальностей
та процедур, про які подані відомості для статистичного обліку, пропустили
через митний кордон країни-контрагента.
На сьогоднішній день існує велика кількість законів,
підзаконних актів, Указів президента, постанов та Декретів Кабінету Міністрів
України, які регулюють експортну діяльність підприємств. Однак правова основа
нашої країни на сьогоднішній момент не може забезпечити підприємствам
нормальних умов функціонування на зовнішніх ринках, тому це залишається однією
з пріоритетних задач для уряду України. Менеджер, в свою чергу, повинен
враховувати стан нормативно - правової системи держави, під час здійснення
зовнішньоекономічної діяльності аби уникнути можливих проблем.
ВИСНОВКИ ДО І РОЗДІЛУ
Різноманітність форм зовнішньоекономічної діяльності визначає
різні напрями прояву ефекту в найближчому чи більш віддаленому майбутньому. При
оцінці конкретних зовнішньоекономічних операцій важливо враховувати якомога
більше проявів ефекту, для чого необхідно розуміти їх природу та особливості,
що впливають на методи і послідовність розрахунків.
Розрахунки економічної ефективності зовнішньоекономічних
операцій базуються на загальних засадах оцінки ефекту комерційних угод (для
торгівельних операцій) та інвестиційних проектів (виробництво експортної
продукції, закупівля імпортного обладнання для потреб реконструкції, обмін
науково-технічними результатами, тощо).
Метою підприємства при виході на зовнішній ринок і здійсненні
експортних операцій є одержання прибутку від експорту. Причому даний прибуток
має бути більше можливого прибутку при реалізації товару на внутрішньому ринку,
інакше витрати на організацію експортних операцій є недоцільними і
неефективними.
Необхідною умовою для успішного проведення експортних
операцій є аналіз їхньої ефективності з метою встановлення найбільш оптимальної
структури експорту і прийняття обґрунтованих рішень в області керування.
РОЗДІЛ
2. АНАЛІЗ ФОРМУВАННЯ ЕКСПОРТНОГО ПОТЕНЦІАЛУ ДОСЛІДЖУВАНОГО ПІДПРИЄМСТВА
2.1 Аналіз техніко-економічних і фінансових
показників діяльності ПАТ «ЦГЗК»
Центральний гірничо-збагачувальний комбінат - одне з
найпотужніших підприємств в Україні по виробництву концентрату, обкотишів та
іншої залізорудної сировини.
За організаційно-правовою формою Центральний
гірничо-збагачувальний комбінат - публічне акціонерне товариство. Скорочене
найменування - ПАТ «ЦГЗК».
Основними видами діяльності ПАТ «ЦГЗК» є відкритий та
підземний видобуток руд чорних металів, виробництво та реалізації концентрату
та обкотишів та іншої залізорудної сировини.
За формою власності ПАТ «ЦГЗК» є приватним підприємством.
Частка акцій, які належать юридичним особам, від їх загальної кількості (%)
складає - 99,48%; відповідно фізичним особам -0,52%. Акціонерами, що володіють
більш як 10% акцій емітента є: SCM Holdіngs Lіmіted - 23,52% та MetalUkr
Holdіng Lіmіted - 75,957% від загальної кількості акцій.
52-річний період роботи комбінату - це період підйомів і
спадів виробництва, період проведення реконструкції основних виробництв в
умовах діючого підприємства, період структурних перетворень.
Відмітимо основні моменти історії створення та розвитку
підприємства.
Проектне завдання на будівництво ЦГЗК було складено в 1955
році інститутами «Кривбаспроект», «Механобр» та іншими проектними субпідрядними
організаціями та затверджено Мінгорметом СССР, протокол від 14.07.56 №3325.
Червень 1959 року - підписаний Державний акт введення в
експлуатацію кар’єру №1. Протягом наступних двох років розпочато будівництво
подрібнювальної фабрики, розпочата робота механічних цехів, засновано цех
зв’язку.
рік - введено в експлуатацію першу чергу комбінату.
Продовжувалася розробка сировинної бази підприємства: введені в експлуатацію
кар’єр №2 (1972р.), кар’єр №3(1980р.).
Крім збагачення магнетитових залізистих кварцитів, на ЦГЗК
застосовувалася випалювально-магнітна технологія по переробці та збагаченню
окислених руд. Проте, із-за низької якості концентрату, що отримується по цій
технології, підвищених питомих норм витрат енергоресурсів (газу, вугілля,
електроенергії), збитковості випалювально-магнітної технології та шкідливого
впливу на екологічну ситуацію в 1989 році випалювальна фабрика була закрита і
законсервована. Одночасно були законсервовані секції 1-7 збагачувальної
фабрики, які перероблювали окислені руди після процесу випалювання на
випалювальній фабриці.
В 1981 році на комбінаті було введено в експлуатацію комплекс
сухої магнітної сепарації (СМС) подрібненої магнетитової руди. СМС дозволила
інтенсифікувати процес збагачення, перероблювати бідні та некондиційні кварцити
із вмістом магнітного заліза 12-14% і отримувати відходи збагачення у вигляді
будівельного щебеню.
рік - на фабриці огрудкування почала видавати продукцію
випалювальна машина ОК-324 з виробничими потужностями 2 млн.т. обкотишів на
рік. Утворюються крупні виробничі та допоміжні цехи комбінату: цех по ремонту
технологічного обладнання, цех по ремонту енергетичного обладнання та інші.
В лютому 1997 року введено в експлуатацію кар’єр №4
Артемівського родовища.
Останнє погіршення фінансово-господарчої діяльності відбулося
в 1996-1997 роках, коли ціни на ресурси, що споживає комбінат, виросли в 2-3
рази, а ціна випускаємої продукції не змінилася.
На початку 1998 року правлінням товариства, спеціалістами
комбінату була розроблена програма виходу підприємства з кризової ситуації,
основними положеннями якої являлися:
удосконалення технології виробництва та зміцнення дисципліни
праці;
найсуворіший режим економії матеріально-сировинних, паливно-енергетичних
ресурсів та контроль за їх використанням;
зміна структури та покращення якісних показників випускаємої
продукції;
реструктуризація кредиторської заборгованості.
Реалізація першого етапу програми в 1998-1999 роках дозволила
стабілізувати рівень виробництва, більше ніж в два рази знизити собівартість
виробництва одиниці товарної продукції в доларовому еквіваленті в порівнянні з
1996 роком та на 25% за цей же період підвищити рентабельність виробництва
товарної продукції.
Другий етап розвитку комбінату (2000-2004 роки) передбачає
участь комбінату в економічному експерименті, а також вкладення інвестицій і
власних коштів на підтримання сировинної бази, модернізацію і оновлення
обладнання перероблюючого комплексу.
Поряд з розвитком сировинної бази підприємство продовжує
вдосконалення технологічних процесів. Так, спеціалістами комбінату в 2001 році
за рахунок власних коштів створена дослідно-промислова установка з повторної
переробки відходів збагачення (лежалих пісків шламосховища) з метою отримання
промпродукту, з якого на збагачувальній фабриці отримують концентрат.
Позитивні підсумки роботи дослідної установки допомогли в
2002 році почати збагачення лежалих пісків шламосховища безпосередньо на ІІІ
секції збагачувальної фабрики. В 2004 році отримано по цій технології 882,8
тис. тонн концентрату з вмістом заліза 65,75%.
Великою подією в житті комбінату стало введення в дію в
травні 2004 року шахти ім.Орджонікідзе, яка раніше була законсервована.
Відновлення роботи шахти дозволило не тільки покращити показники роботи
комбінату, але і створити додатково 600 нових високооплачуваних робочих місць.
Досвід, отриманий ВАТ «ЦГЗК» при відновленні підземних видобувних робіт на
шахті ім. Орджонікідзе та включенні її до складу сировинної бази комбінату, планується
використовувати в подальшому для відновлення роботи інших підприємств подібного
профілю.
В вересні 2004 року ПАТ «ЦГЗК» було отримано спеціальний
дозвіл (ліцензію) на експлуатацію надр шахти «Гігант Глибока» терміном на 10
років.
Так, в 2007-2008 р.р. на комбінаті за рахунок власних коштів
було збудовано корпус попереднього збагачення залізовмісних пісків з метою
отримання промпродукта, з якого на збагачувальній фабриці отримують концентрат.
В зв'язку з приведенням діяльності підприємства у відповідність
з діючим законодавством, а саме: Закону України "Про акціонерні
товариства" №514-VІ від 17 вересня 2008 року,та на підставі рішення
загальних зборів акціонерів товариства 25 березня 2011 року (протокол №1)
Відкрите акціонерне товариство "Центральний гірничо-збагачувальний
комбінат" (код ЄДРПОУ 00190977) перейменовано з 01.04.2011р. у Публічне
акціонерне товариство "Центральний гірничо- збагачувальний комбінат"
(код ЄДРПОУ 00190977).
У листопаді 2011 року було розпочато підготовчі роботи з
перенесення існуючого підземно-дробильного комплексу Глеюватського кар'єру.
ПАТ «Центральний ГЗК» має самостійний баланс, розрахунковий
рахунок та інші рахунки у закладах банків, а також печатку із власним
найменуванням, товарний знак та інші атрибути юридичної особи, що займається
виробничою та комерційною діяльністю.
Розглядаючи діяльність підприємства за 2010-2012 pp., перш за
все, потрібно проаналізувати основні техніко-економічні показники, для того,
щоб знати реальну картину розвитку підприємства та його подальші перспективи.
Основні техніко-економічні показники за період з 2010 по 2012
роки показано за допомогою таблиці 2.1.
Таблиця 2.1
Основні техніко - економічні показники за 2010 - 2012 роки,
тис. грн.
Показники
|
Од. виміру
|
2010
|
2011
|
2012
|
Абсолютне відхилення,+/-
|
Відносне відхилення,%
|
|
|
|
|
|
|
2011-2010
|
2012-2011
|
2011/ 2010
|
2012/ 2011
|
|
1.
|
Товарна продукція в діючих цінах в т.ч. концентрат
обкотиші
|
тис. грн.
|
4432859,94 2457973,73 1974886,21
|
6424571,7 3713186,4 2711385,33
|
4879937,21 2857083,74 2022853,47
|
1991711,79 1255212,67 736499,12
|
-1544634,5 856102,66 -688531,86
|
-44,93 -51,07 -37,29
|
24,04 23,06 25,39
|
|
2.
|
Собівартість реалізації продукції
|
тис. грн.
|
2101547
|
2571816
|
2893426
|
470269
|
321610
|
22
|
12,5
|
|
3.
|
Витрати на 1 грн. товарної продукції
|
коп.
|
33
|
53
|
65
|
20
|
12
|
60
|
22,6
|
|
4.
|
Фонд оплати праці
|
тис. грн.
|
273349,6
|
296 628,8
|
308 153,4
|
23282,2
|
11524,6
|
8,6
|
3,8
|
|
5.
|
Чисельність працюючих
|
чол.
|
273349,6
|
296 628,8
|
308 153,4
|
23 279,20
|
11524,60
|
-8,5
|
-3,9
|
|
6.
|
Продуктивність 1- го працівника
|
тис. грн.
|
6 609
|
5915
|
5 597
|
-694
|
-318
|
10,5
|
5,4
|
|
7.
|
Чистий дохід від реалізації продукції
|
тис. грн.
|
4433581
|
6424843
|
4879935
|
1991262
|
-1544908
|
44,9
|
-24,04
|
|
8.
|
Фінансовий результат (виручка) від операційної
діяльності
|
тис. грн.
|
1957865
|
3483594
|
1294574
|
1525729
|
-2189020
|
77,9
|
-62,8
|
|
9.
|
Витрати на збут
|
тис.грн.
|
262001
|
259208
|
566262
|
-2793
|
307054
|
-0,02
|
118,4
|
|
10.
|
Рентабельність обсягу продажу
|
%
|
86,6
|
92,5
|
56,2
|
5,9
|
-36,3
|
0,07
|
-60
|
|
|
|
|
|
|
|
|
|
|
|
За 2010 рік ПАТ «Центральний ГЗК» вироблено товарної
продукції на суму 4432859,94 тис. грн. За 2011 рік вироблено товарної продукції
на суму 6424571,7 тис. грн., що на 1991711,79 тис. грн.. більше в порівнянні з
2010 р.
А за 2012 рік - 4879937,21 тис. грн., що на 1544634,5 менше в
порівнянні з 2011р.
Проаналізувавши показник собівартості реалізації продукції,
необхідно зазначити, що спостерігається його тенденція до збільшення на протязі
трьох років. У 2010 р. він склав 2101547 тис. грн., у 2011 - 2571816 тис. грн.,
що на 470269тис. грн. більше в порівнянні з 2010р. У 2012 р. аналізований
показник склав 2893426, що на 321610 тис. грн. більше в порівнянні з 2011 р.
Причиною збільшення даного показника являється підвищення цін на паливо та
електроенергію, збільшення витрат на оплату праці та ін.
Розглянувши дані, представлені в таблиці, можна говорити про
те, що підприємство на протязі трьох років отримувало прибуток. У 2010 р. даний
показник склав 4433581. У 2011 р. - 6424843 тис. грн., що в порівнянні з 2010р.
більше на 1991262. У 2012 році даний показник склав 4879935 тис. грн., що в
порівнянні з 2011 р. менше на 1544634,5 тис. грн.
У 2010 р. рентабельність обсягу продажу склала 86,6%. У
2011р. - 92,5% , що свідчить про збільшення на 5,9 % в порівнянні з 2010 р. А у
2012 р. цей показник склав 56,2, що на 36,3% менше в порівнянні з 2011 р.
Наразі, проведу оцінку фінансової діяльності підприємства.
Ціллю даної діагностики є оцінка динаміки розвитку підприємства і його
фінансового стану. Використовуючи статті балансу ПАТ «ЦГЗК» (Додаток 1) та
звіту про фінансові результати (Додаток 2) розрахую такі показники:
· Показники майнового стану
підприємства
· Показники фінансових результатів
діяльності підприємства
· Показники ліквідності підприємства
· Показники платоспроможності
(фінансової стійкості) підприємства
· Показники ділової активності
підприємства
· Показники рентабельності підприємства
.Показники майнового стану підприємства
а) Фондовіддача розраховується за наступною формулою:
= ВП/ФСР (2.1)
де, ВП - обсяг виробленої підприємством продукції (послуг) у
вартісних вимірниках, ФСР - одиниця основних виробничих фондів;
б) Фондомісткість:
М= ФСР /ВП (2.2)
в) Коефіцієнт зносу основних засобів:
КЗ =
(2.3)
де, ФК - балансова вартість основних фондів; ЗО - сума зносу
основних фондів;
г) Коефіцієнт вибуття:
КВ =
(2.4)
де, ФК - балансова вартість основних виробничих засобів;
ФВ - вартість виведених основних засобів за звітний період.
д) Коефіцієнт оновлення:
КО =
, (2.5)
де ФУ - вартість введених основних виробничих засобів;
ФК - балансова вартість основних виробничих засобів.
.Показники ліквідності:
а) Коефіцієнт швидкої ліквідності:
= (LA-TMZ) / TO, (2.6)
де, LA - поточні (ліквідні) активи; TMZ - сума
товарно-матеріальних запасів; ТО - поточні забов’язання
б) Коефіцієнт абсолютної ліквідності:
= DS / TO,
(2.7)
де: DS - грошові кошти; ТО - поточні забов’язання.
. Показники платоспроможності (фінансової стійкості)
підприємства
а)Коефіцієнт платоспроможності:
Кпл= (Кнац.вал.+Кін.вал.+Фін.інвест.)/З (2.8)
де, Кнац.вал- кошти та їх еквіваленти в національній валюті,
Кін.вал - кошти та їх еквіва- ленти в іноземній валюті, Фін.інвест- поточні
фінан- сові інвестиції, З- поточні зобов'язання
б)Коефіцієнт фінансування:
Кфін = Зк : Вк , (2.9)
де, Зк - залучений капітал; Вк- власний капітал
в)Коефіцієнт забезпеченості власними оборотними запасами:
Кос = СОК / ОС, (2.10)
де СОК - це величина власного обертаються капіталу, ОС -
величина оборотних фондів.
г)Коефіцієнт маневреності робочого капіталу:
Км= З/Кроб. (2.11)
де, З - запаси, Кроб. - робочий капітал;
д) Коефіцієнт маневреності власних оборотних коштів:
= (LA-TO) / BK, (2.12)
де: LA - поточні активи; ТО - поточні забов’язання; BK - власний
капітал
.Показники ділової активності підприємства
а)Коефіцієнт оборотності активів:
Ко.а= В/Аср (2.13)
де, В - виручка від реалізації продукції, Аср- середні активи
за період
б)Коефіцієнт оборотності кредиторської заборгованості:
Кд.з.= В/ КЗ (2.14)
де, В - виручка від реалізації продукції, КЗ - середньорічна
величина кредиторської заборгованості;
в)Коефіцієнт оборотності дебіторської заборгованості:
Кд.з.= В/ ДЗ (2.15)
де, В - виручка від реалізації продукції, ДЗ - середньорічна
величина дебіторської заборгованості;
г)Строк погашення дебіторської заборгованості, днів :
Т.об.дт.= С з.дт.зб.* Д/В (2.16)
де, Т.об.дт. - тривалість періоду погашення дебіторської
заборгованості; С з.дт.зб. - середній залишок дебіторської заборгованості; Д-
кількість днів у періоді, за який проводиться аналіз; В - виторг від
реалізації.
д)Строк погашення кредиторської заборгованості, днів :
Т.об.дт.= С з.дт.зб.* Д/В (2.17)
де Т.об.дт. - тривалість періоду погашення кредиторської
заборгованості; С з.дт.зб. - середній залишок кредиторської заборгованості; Д-
кількість днів у періоді, за який проводиться аналіз; В - виторг від
реалізації.
е)Коефіцієнт оборотності матеріальних запасів:
Ко.з.= С/ З (2.18)
де, С - собівартість реалізованої продукції, З - вартість
товарно - матеріальних запасів;
ж)Коефіцієнт оборотності основних засобів:
Ко.з.= Опр/ А (2.19)
де, Опр - чистий об’єм продажу, А - довгострокові активи;
з)Коефіцієнт оборотності капіталу:
Ко.к.= В/ К (2.20)
де, В - виручка від реалізації продукції, К - середня
величина капіталу за період;
.Показники рентабельності виробництва:
а) Рентабельність активів:
= P / VBср, (2.21)
де Р - чистий прибуток; VB - валюта балансу
б) Рентабельність власного капіталу:
ОE = P / BKср (2.22)
в) Рентабельність основної діяльності:
= P / ND (2.23)
Розрахунок вищенаведених показників представлю у таблицях за
кожен рік з 2010 по 2012.
Для наочності кожну групу показників фінансового стану
підприємства зображу на графіках.
Таблиця 2.2
Показники майнового стану ПАТ «ЦГЗК» за 2010-2012 рр.
|
№ п.п.
|
Показник
|
Рік
|
|
|
2010
|
2011
|
2012
|
|
1
|
Фондомісткість
|
0,63
|
0,59
|
0,70
|
|
2
|
Фондоозброєність
|
762,71
|
1288,67
|
906,18
|
|
3
|
Коефіцієнт зносу основних засобів
|
0,13
|
0,31
|
0,22
|
|
4
|
Коефіцієнт оновлення основних фондів
|
0,12
|
0,11
|
0,19
|
|
5
|
Коефіцієнт вибуття основних засобів
|
0,006
|
0,014
|
0,003
|
|
6
|
Фондовіддача
|
1,59
|
1,69
|
1,43
|
|
7
|
Абсолютна сума прибутку на 1 гривню
|
0,38
|
0,56
|
0,18
|
Рис. 2.1 Показники майнового стану підприємства
Показники майнового стану показують забезпеченість
підприємства основними засобами. Коефіцієнт зносу характеризує частку вартості
основних засобів, що залишилася до списання на витрати в наступних періодах.
Цей коефіцієнт у 2012р. склав 0,22, що на 0,9 менше ніж за 2011р. та на 0,9
більше за 2010р. Коефіцієнт оновлення показує, яку частину від наявних на
кінець звітного періоду основних засобів складають нові основні засоби. Можна
сказати, що спостерігається тенденція до збільшення цього показника з 0,11 до
0,19, що добре відображається на майновому стані підприємства. Коефіцієнт
вибуття показує, яка частина основних засобів, з якими підприємство почало
діяльність у звітному періоді, вибула через старіння і з інших причин. У 2012р.
цей показник склав всього лише 0,003, а це менше ніж у 2010р. на 0,003 та у
2011 на 0,007.
За 2012р. надійшло основних засобів на сумму 501 725
тис.грн., в тому числі: будівлі та споруди 247 663 тис.грн.; машини та
обладнання 121 211 тис.грн.; транспортні засоби 127 992 тис.грн.; інструменти,
прилади, інвентар 3 767 тис.грн.; інші основні засоби 5 тис.грн.; бібліотечні
фонди 1 тис.грн.; малоцінні необоротні матеріальні активи 1 056 тис.грн.; інші необоротні
матеріальні активи 30 тис.грн. Первісна вартість основних засобів зменшилась на
56 695 тис.грн., сумма нарахованого зносу зменшилась на 50 448 тис.грн.
Залишкова вартість основних засобів на кінець 2012р складає 3 147 577 тис.грн.
В цілому, можна сказати, що підприємство забезпечено основними засобами.
Таблиця 2.3
Показники чистого прибутку ПАТ «ЦГЗК»
за 2010-2012 рр.
|
№ п.п.
|
Показник
|
Рік
|
|
|
2010
|
2011
|
2012
|
|
1
|
Чистий прибуток (збиток)
|
1285279
|
2592853
|
761185
|
Рис. 2.2 Показники чистого прибутку
ПАТ «ЦГЗК» являється прибутковим підприємством. Протягом
аналізуючого періоду підприємство отримувало прибуток, але потрібно зауважити,
що у 2012 р. прибуток зменшився через наслідки кризи в металургійній галузі та
високого ступіня конкуренції на ринку залізорудної сировини.
Таблиця 2.4
Показники ліквідності ПАТ «ЦГЗК» за 2010-2012 рр.
|
№ п.п.
|
Показник
|
Рік
|
|
|
2010
|
2011
|
2012
|
|
1
|
Коефіцієнт покриття
|
1,53
|
0,84
|
1,50
|
|
2
|
Коефіцієнт швидкої ліквідності
|
1,46
|
0,78
|
1,44
|
|
3
|
Коефіцієнт абсолютної ліквідності
|
0,016
|
0,015
|
0,017
|
|
4
|
Чистий оборотний капітал, тис. грн.
|
1337200
|
-596441
|
1691887
|
Рис. 2.3 Показники ліквідності підприємства
Коефіцієнт покриття на протязі трьох років не відповідає
нормативному значенню, тобто підприємство не має можливості покривати поточні
зобов'язання за рахунок своїх оборотних засобів. У 2012 році цей коефіцієнт
склав всього 1,50. А це значить, що на кожну гривню поточних зобов'язань
припадає лише 1,50 грн..
Значення коефіцієнта швидкої ліквідності протягом 2010-2012
рр. коливається. У 2010р.та 2012р. він більший за нормативне значення та
становить 1,46 та 1, 44 відповідно. Це свідчить про те, що протягом цього
періоду підприємство мало можливість повністю погашати поточні зобов'язання за
рахунок грошових коштів та очікуваних фінансових надходжень (дебіторської
заборгованості).
Значення коефіцієнта абсолютної ліквідності як в 2010 році
(0,016), в 2011 році (0,015), так і в 2012 році (0,017) є меншим за нормативне.
Так як це значення в 2010 році було лише 0,016, то підприємство могло погасити
лише 1,6% поточної заборгованості за рахунок наявних грошових коштів. В 2011
році - 1,5%, а в 2012 році - 1,7%. Таким чином, рівень ліквідності ПАТ «ЦГЗК» є
допустимо низьким.
Таблиця 2.5
Показники платоспроможності (фінансової стійкості) ПАТ «ЦГЗК»
за 2010-2012 рр.
|
№ п.п.
|
Показник
|
Рік
|
|
|
2010
|
2011
|
2012
|
|
1
|
Коефіцієнт платоспроможності
|
0,58
|
0,46
|
0,59
|
|
2
|
Коефіцієнт фінансування
|
0,73
|
1,16
|
0,69
|
|
3
|
Коефіцієнт забезпеченості власними оборотними
запасами
|
0,35
|
-0,2
|
0,33
|
|
4
|
Коефіцієнт маневреності робочого капіталу
|
0,32
|
-0,17
|
0,33
|
|
5
|
Коефіцієнт маневреності власних засобів
|
0,2
|
-0,27
|
0,29
|
Рис. 2.4 Показники платоспроможності (фінансової стійкості)
підприємства
Показники фінансової стійкості характеризують структуру
джерел фінансування ресурсів підприємства, ступінь фінансової стійкості і
незалежності підприємства від зовнішніх джерел фінансування діяльності. Станом
на 31.12.2012р. значення коефіцієнту фінансової стійкості становить 0,69, що
знаходиться в межах позитивних значень та свідчить про високий рівень фінансової
стійкості підприємства. Коефіцієнт структури капіталу ПАТ «ЦГЗК» станом на
31.12.2012р. складає 1,069, що майже відповідає встановленим нормативним межам,
та свідчить про незалежність підприємства від зовнішніх кредиторів та
інвесторів. Таким чином, фінансовий стан ПАТ «ЦГЗК» характеризується як
стійкий.
Таблиця 2.6
Показники ділової активності ПАТ «ЦГЗК» за 2010-2012 рр.
|
№ п.п.
|
Показник
|
Рік
|
|
|
2010
|
2011
|
2012
|
|
1
|
Коефіцієнт оборотності активів
|
0,17
|
0,2
|
0,15
|
|
2
|
Коефіцієнт оборотності кредиторської заборгованості
|
0,35
|
0,18
|
0,25
|
|
3
|
0,41
|
0,49
|
0,32
|
|
4
|
Строк погашення дебіторської заборгованості, днів
|
891,98
|
751,81
|
1148,6
|
|
5
|
Строк погашення кредиторської заборгованості, днів
|
1042,74
|
1995,36
|
1486,51
|
|
6
|
Коефіцієнт оборотності матеріальних запасів
|
3,08
|
3,13
|
3,68
|
|
7
|
Коефіцієнт оборотності основних засобів
|
0,35
|
0,37
|
0,32
|
|
8
|
Коефіцієнт оборотності капіталу
|
0,25
|
0,37
|
0,26
|
Рис. 2.5 Показники ділової активності підприємства
. Коефіцієнт оборотності активів показує скільки разів за
період обертається капітал, що вкладений в активи підприємства. В період з 2010
по 2012 рр. ми бачимо спад цього коефіцієнту до 0,15. Це означає, що термін
обертання активів збільшився.
. Коефіцієнт оборотності власного капіталу відображає
швидкість обороту вкладеного власного капіталу. Цей коефіцієнт знизився з 0,37
до 0,26 в 2012 році, тобто термін одного обороту вкладеного власного капіталу
збільшився.
. Коефіцієнт оборотності коштів в розрахунках (дебіторської
заборгованості) показує кількість оборотів дебіторської заборгованості за
період. Цей показник зменшився до 0,32.
. Коефіцієнт оборотності кредиторської заборгованості в
період з 2010-2012 рр. знизився з 0,35 до 0,25.
Позитивними тенденціями в діяльності підприємства є зменшення
терміну обороту кредиторської та дебіторської заборгованості.
Таблиця 2.7
Показники рентабельності ПАТ «ЦГЗК» за 2010-2012 рр.
|
№ п.п.
|
Показник
|
Рік
|
|
|
2010
|
2011
|
2012
|
|
1
|
Коефіцієнт рентабельності активів
|
4,88
|
8,03
|
2,39
|
|
2
|
Коефіцієнт рентабельності власного капіталу
|
7,34
|
15,06
|
4,07
|
|
3
|
Коефіцієнт рентабельності діяльності
|
28,99
|
40,36
|
15,6
|
Рис. 2.6 Показники рентабельності підприємства
Основним показником ефективності є рентабельність. Аналізуючи
дані показника, можна сказати, що підприємство протягом трьох років отримувало
прибуток, тому і показник рентабельності додатній, що свідчить про позитивну
ситуацію, яка склалася на аналізованому підприємстві.
Але слід зазначити, що на графіку ми можемо спостерігати
зменшення усіх показників рентабельності за 2012р. порівняно з 2010р.
2.2 Організаційна структура управління
ПАТ «ЦГЗК»
Сучасне підприємство представляє собою складну економічну
систему, в якій лежить взаємодія матеріальних, трудових і фінансових ресурсів.
Підприємство становить собою цілісну економічну систему, що складається з
окремих структурних підрозділів, що забезпечують розвиток даної системи.
Категорія "структура" щодо соціально-економічних
систем відображає склад, будову економічного об'єкта, внутрішню форму системи.
Наявність структури являє невід'ємний атрибут всіх реально існуючих соціально-економічних
систем, тому що структура надає їм цілісності.
Організаційна структура - це цілісна система, спеціально
розроблена таким чином, щоб працюючі в її рамках люди могли найбільш ефективно
досягти поставленої перед ними мети. Тому так важлива її розробка, визначення
основних понять та їх взаємозв'язок, характеристика та аналіз її конструкції.
Організаційна структура ПАТ «ЦГЗК» представлена на рис.2.1. Характеризуючи її,
можна сказати, що вона лінійно - функціональна. Станом на 01.01.2013 р. організаційна
структура ПАТ «ЦГЗК» у порівнянні з 01.01.2012 р. істотно не змінилася і
нараховує разом 28 структурних підрозділи, які зайняті виробництвом та
забезпеченням виробництва основної продукції. Згідно Статуту ПАТ «ЦГЗК»
органами управління ПАТ «ЦГЗК» є:
Загальні збори акціонерів - вищий орган Товариства. До
компетенції загальних зборів акціонерів належить вирішення наступних головних
питань: обрання та відкликання голови правління, обрання та відкликання членів
спостережної ради, обрання голови та членів ревізійної комісії, затвердження
річного фінансового звіту/балансу/бюджету, прийняття рішення про притягнення до
майнової відповідальності членів правління, прийняття рішення про додатковий
випуск акцій.
Наглядова рада - наглядовий орган Товариства, який представляє
інтереси акціонерів та здійснює захист їх прав у період між проведенням
Загальних зборів. Основні питання, що вирішує Наглядова рада: визначення
основних напрямків діяльності (стратегії), затвердження планів діяльності
(бізнес-планів), обрання та відкликання голови спостережної ради, визначення
розміру винагороди для голови та членів правління, прийняття рішення про
притягнення до майнової відповідальності членів правління, прийняття рішення
про викуп, реалізацію та розміщення власних акцій, обрання зовнішнього
аудитора. Рішенням Загальних зборів акціонерів ПАТ «ЦГЗК» від 12 квітня 2007
року (протокол №1) до складу Наглядової ради було призначено: - Товариство з
обмеженою відповідальністю «МЕТІНВЕСТ ХОЛДИНГ» (ідентифікаційний код 34093721),
яке володіє часткою в статутному фонді емітента - 0,0000085%. Строк повноважень
Наглядової ради становить 4 роки.
Рис. 2.7. Організаційна структура управління ПАТ «ЦГЗК»
Генеральний директор - виконавчий орган Товариства, що
здійснює керівництво його поточною діяльністю. Генеральним директором ПАТ
«ЦГЗК» є Тимошенко Павло Геннадійович.
Під його керівництвом знаходяться відділи, що мають свої
конкретні завдання і виконують відповідні функції:
комерційний сектор повинен забезпечувати: виконання
зобов'язань по міжнародних контрактах і угодах, участь у підготовці і
проведенні комерційних переговорів; організацію поставок згідно контракту і
контроль за їх виконанням; перегляд-рекламацій по експорту й імпорту та ін.
планово-економічний сектор покликаний забезпечувати
прогнозування і планування ЗЕД підприємства; аналіз ефективності
експортно-імпортних операцій; контроль за виконанням плану; валютний контроль і
т.д.
сектор маркетингу, як ведучий сектор підрозділу, вивчає
коньюктуру світових товарних ринків, приймає участь у визначенні цін на
експортну продукцію, в розробці і здійсненні рекламних міроприємств, аналізі
конкурентів, можливостей руху товару і т. ін.
науково-технічний сектор вивчає діючі на світовому ринку
технічні вимоги до товару; аналізує технічний рівень і якість продукції, її
конкурентноздатність; бере участь в розробці пропозицій по оновленню
виробництва, випуску нової продукції; забезпечує технічне обслуговування
експортної продукції та ін.
протокольний сектор готує і організовує протокольні
міроприємства, виконує доручення керівництва по зустрічах, прийому і проводах
представників зарубіжних фірм, які прибули на підприємство з візитом.
Головними завданнями ВЗЕЗ ВАТ «ЦГЗК» є:
. Участь в розробці стратегії ЗЕД підприємства.
. Сприяння розвитку ЗЕД підприємства з метою прискорення його
соціально-економічного розвитку.
. Управління експортним потенціалом підприємства, постійне
його зміцнення й розвиток.
. Забезпечення виконання зобов'язань, що випливають з
договорів та угод із зарубіжними партнерами.
. Вивчення коньюктури іноземних ринків, збір і накопичення
відповідної інформації.
. Організація експортно-імпортних операцій, забезпечення їх
ефективності.
. Здійснення рекламної діяльності.
. Організація протокольних міроприємств та ін.
Центральний гірничо-збагачувальний комбінат - складний
промисловий комплекс, що спеціалізується на видобутку, переробці та випуску
сировини для чорної металургійної промисловості - обкотишів та залізорудного концентрату.
Основною сировиною для виготовлення залізорудної продукції є магнетитові
кварцити (залізна руда), видобуток яких комбінат веде відкритим способом на
трьох кар'єрах Петрівського, Артемівського та «Велика Глеюватка» родовищ та
підземним способом - на шахті ім.Орджонікідзе.
Гірничо-транспортний комплекс комбінату представлений такими
цехами, як Глеюватський кар'єр, Петрівський кар'єр, Шахта ім. Орджонікідзе,
Управління залізничного транспорту, Гірничо-транспортний цех №1 та
Гірничо-транспортний цех №2.
. Глеюватський кар'єр - розробка кар'єру №1 (видобування і
вивіз руди (залізистих кварцитів),проведення гірничих робіт.
. Петрівський кар'єр - розробка кар'єрів №3 та №4
(видобування і вивіз руди (залізистих кварцитів)), проведення гірничих робіт.
. Шахта ім.Орджонікідзе - видобування руди (залізистих
кварцитів) підземним способом.
. Гірничотранспортний цех №1 - обслуговує кар'єр №1,
забезпечує транспортування автосамоскидами руди і вивезення пустої породи у
відвали.
. Гірничотранспортний цех №2 - обслуговує кар'єри №3 і №4,
забезпечує транспортування автосамоскидами руди і вивезення пустої породи у
відвали.
. Управління залізничного транспорту - забезпечує
транспортування руди і пустої породи залізничним транспортом з трьох кар'єрів і
транспортування руди з шахти ім. Орджонікідзе.
Діючий перероблюючий комплекс включає в себе дробильну
фабрику з сухою магнітною сепарацією, збагачувальну фабрику, фабрику
огрудкування та цех шламового господарства. На дробильній фабриці руда, що
надходить з кар'єрів, проходить чотири стадії дроблення. Подрібнена руда
кар'єру №1 подається на суху магнітну сепарацію, де від неї відокремлюється
частка пустих порід і підвищується зміст магнітного заліза в руді. Після
дробильної фабрики промпродукт подається на збагачувальну фабрику. Також на
збагачувальну фабрику для подальшої переробки надходить промпродукт з корпусу
попереднього до збагачення залізовмісних пісків. Частка концентрату подається
на фабрику огрудкування для виробництва обкотишів, а решта реалізується як
товарна продукція. Цех шламового господарства виконує транспортировку відходів
збагачення до хвостосховища комбінату та постачання технічної води виробничим
підрозділам.
Допоміжні цехи, такі як цех мереж та підстанцій, цех
технологічного енергозабезпечення, цех технологічної диспетчеризації, цех
зберігання та відпуску матеріалів та інш., обслуговують основне виробництво.
В своїй організаційній структурі підприємство не має
відокремлених структурних підрозділів без права юридичної особи.
2.3 Оцінка потенціалу експортних операцій та ступінь
його реалізації
Дослідження експортного потенціалу почнемо із аналізу
виробництва продукції та товарного рядку. Дані для аналізу представлені в
таблиці 2.8.
Таблиця 2.8
Динаміка виробництва основної продукції (обкотишу та концентрату)
ПАТ «ЦГЗК» у 2009-2012 рр.
|
Продукція
|
Одиниця виміру
|
2009
|
2010
|
2011
|
2012
|
|
Концентрат
|
тис. тон
|
2690,72
|
3762,44
|
3871,42
|
3919,53
|
|
Обкотиші
|
тис. тон
|
2225,3
|
2210,10
|
2213,0
|
2312,45
|
За даними таблиці ми бачимо, що в 2012 році вироблено
концентрату в розмірі 3919,53 тис.тон, це на 48,11 тис.тон більше показника
минулого року і на 1228,71 тис.тон більше показника за 2009 рік.
Що стосується виробництва обкотишів, то за останній рік
відбулося також збільшення його виробництва на 99,45 тис.тон.
Залізорудна продукція ПАТ «ЦГЗК» користується попитом на
внутрішньому ринку і за кордоном. Крім того, варто зазначити, що входження ПАТ
«ЦГЗК» до Групи Метінвест дало змогу знайти стабільні ринку збуту власної
продукції, покращити економічні показники діяльності. Група Метінвест являється
регіональним лідером в ГМК та одним із провідних світових лідерів чорної
металургії. Компанія «Метінвест Холдинг» за підсумками 2012 року посіла десяте
місце в світі з виробництва залізорудної сировини, увійшовши до десятки
найбільших гірничорудних компаній.
Центральний ГЗК реалізує свою продукцію як на зовнішньому,
так і на внутрішньому ринках. На внутрішньому ринку основними споживачами
залізорудної продукції ПАТ «ЦГЗК» являються: ПАТ «МК Азовсталь», ПАТ
«Єнакіївський металургійний завод» (концентрат). ПАТ «Алчевський МК», ПАТ «ДМК
ім. Дзержинського», ПАТ «ММК імені Ілліча»
Країнами - споживачами продукції комбінату на зовнішньому
ринку являються такі країни, як Чехія, Словаччина, Румунія, Польща, Угорщина,
Німеччина та Китай.
Відвантаження продукції на експорт комбінат виконує
залізничним транспортом через прикордонні переходи (Батєво, Ізов, Чоп,
Мостиська, Ренії) та водним транспортом через порт («Южний» Ізмаїльській,
Ренійський, Одеський).
Головними чинниками, які безпосередньо або опосередковано
впливали на конкурентоспроможність ПАТ «ЦГЗК» на залізорудному ринку у 2012
році, були такі:
наслідки кризи в металургійній галузі;
високий ступінь конкуренції на ринку залізорудної сировини;
значний вплив світових тенденцій на світовому ринку ЗРС на
регіональний ринок;
конкурентоспроможність продукції.
На політику цін залізорудної сировини впливають такі фактори:
світові та регіональні тенденції на ринку металургії, динаміка цін на
металопродукцію, вартість енергоресурсів, митна політика. Цінова політика
будується на знаходженні компромісу між виробниками ЗРС та їх споживачами с
урахуванням усіх вищезазначених факторів.
Оцінка конкурентної сили підприємства проводиться з метою
визначення конкурентної позиції, яку фірма займає на ринку.
Оцінка конкурентоспроможності підприємства проводиться шляхом
порівняння важливих показників його діяльності (по всім направленням) з
аналогічними показниками підприємств-конкурентів[26]
Дослідження конкурентів та їх порівняльна оцінка є основою
визначення переваг та можливостей діяльності підприємства та його основних
суперників. Це дозволяє визначити майбутню стратегію діяльності підприємства на
ринку, використати його конкурентні переваги та ліквідувати наявні недоліки.
Оцінку конкурентної сили підприємства можна провести методом
зваженої оцінки. Для чого спочатку необхідно скласти список ключових факторів
успіху, характерних для даної галузі. До ключових факторів у
гірничо-металургійній галузі можна віднести: частку, що підприємство займає на
ринку з виробництва продукції, якість та рентабельність випускаємої продукції,
стан основних засобів та фінансовий стан підприємства.
ПАТ «ЦГЗК» конкурує з українськими підприємствами (ПАТ
«Інгулецький ГЗК», який займає домінуюче становище на ринку концентрату, ВАТ
«Південний ГЗК», ПАТ «Північний ГЗК», ПАТ «Арселор Міттал» (НКГЗК) та
російськими комбінатами (ВАТ «Лебединський ГЗК», ВАТ «Михайлівський ГЗК», ВАТ
«Стойленський ГЗК», ВАТ «Ковдорський ГЗК», ВАТ «Комбінат «КМАруда»). Також,
конкурентами виступають виробники аглоруди, яка є замінником концентрату в
агломераційному процесі: ВАТ «ПівдГЗК», ПАТ «ММК імені Ілліча», ПАТ
«АрселорМіттал Кривий Ріг» (НКГЗК).
ПАТ «ЦГЗК» на ринку обкотишів конкурує з українськими
підприємствами (ПАТ «Полтавський ГЗК») та російськими комбінатами (ВАТ
«Лебединський ГЗК», ВАТ «Михайлівський ГЗК»), та залізорудними постачальниками
зі Швеції, Бразилії, Австралії, Індії та Канади.
Аналізуючи ринок обкотишів, необхідно брати до уваги, в першу
чергу, якісні та географічні показники виробника. Якісні показники обкотишів
усіх виробників мають незначні відмінності, тобто споживання продукції одного
постачальника може змінюватися на споживання продукції іншого виробника.
До характерних особливостей діяльності ПАТ «ЦГЗК» на
внутрішньому ринку можна віднести його територіальну близькість до українських
споживачів - металургійних заводів, наявність розвинутих та історично утворених
довгострокових стосунків з українськими металургами та входження з ними в одну
фінансово-промислову групу.
Проведемо кількісну оцінку конкурентних преваг за вище
зазначеними ключовими факторами у порівнянні з підприємствами-конкурентами.
Залізорудний концентрат в Україні виробляють п’ять
комбінатів: Інгулецький, Південний, Північний, Центральний та ГЗК, що входить
до складу ПАТ «Arcelor Mіttal Кривий Ріг».
Таблиця 2.9
Обсяг виробництва концентрату ГЗК України за 2012 р.,тис.тон
|
ПАТ «ЦГЗК»
|
ПАТ «ІнГЗК»
|
ПАТ «ПівдГЗК»
|
ПАТ «ПівнГЗК»
|
ПАТ «Arcelor Mіttal»
|
|
Обсяг виробництва концентрату
|
3919,53
|
13586,94
|
8913,555
|
3756,5
|
2172,729
|
Рис. 2.8. Виробництво залізорудного концентрату в Україні в
2012 році
Як бачимо, найбільший гравець на ринку концентрату ІнГЗК
виробляє 42 % усього обсягу виробництва концентрату України. На другому місці
Південний ГЗК - 27,6%, із часткою 12,1%, за ним слідують Ценральний ГЗК,
Північний ГЗК- 11,6%. Arcelor Mіttal Кривий Ріг займає останнє місце з
виробництва концентрат з часткою 6,7% від загального обсягу.
Поглянемо також на ринок виробництва обкотишів в Україні в
2012 році (рис.2.9)
Рис. 2.9. Виробництво обкотишів в Україні в 2012 році
Полтавський ГЗК являється лідером з виробництва обкотишів,
його частка 80,6%. Центральний ГЗК виробляє 19,4% загального обсягу обкотишів в
Україні.
Якість продукції:
Для порівняння якості продукції візьмемо основний показник
якості концентрату та обкотишів - вміст заліза.
Вміст заліза в концентраті Центрального ГЗК складає -
концентрат марки А1 - 68,22%, концентрат марки А2 - 65,46%, Інгулецького ГЗК -
концентрат ММС 63,85%, концентрат МФО 67,78%, Північного ГЗК - 65,79%,
Південного ГЗК - 64,43%, Полтавського ГЗК - 65,12%.
Вміст заліза в обкотишах Центрального ГЗК - 65,7% при
основності 0,12 од. та 63,93% при основності 0,8 од., Північного ГЗК - 63,6%.
Рентабельність продукції на внутрішньому ринку:
ПАТ «ЦГЗК» - 14,2%
ПАТ «ІнГЗК» - 40,63%
ПАТ «ПівнГЗК» - 26,75%
ВАТ «ПівдГЗК» - 27,15%
ПАТ «ПГЗК» - 4,96%
Показник рентабельності продукції найвищим є на Інгулецькому
ГЗК, на другому місці Південний ГЗК, на третьому - Північний ГЗК. На
Центральному ГЗК та Полтавському ГЗК рентабельність продукції дещо нижча.
З проведеного аналізу конкурентної сили підприємств можна
зробити висновок, що для підвищення своїх конкурентних позицій ПАТ «ЦГЗК»
необхідно:
звернути увагу на стан основних засобів
підприємства, заміна фізично застарілого обладнання допоможе підвищити
ефективність роботи, усунути простої обладнання із технічних причин, вести
технологічний процес безперервно і максимально використовувати технічну потужність;
посилювати свої позиції та збільшувати частку на
ринку;
проводити роботи по дослідженню та розширенню ринків
збуту;
розширювати зовнішньоекономічну діяльність;
шукати джерела зниження витрат.
2.4 Оцінка ефективності експортної діяльності
Аналіз зовнішньоекономічної діяльності почнемо з аналізу
виручки від реалізації продукції. Розглянемо розподіл доходу між експортом та
ринком України.
Таблиця 2.10
Аналіз структури доходу від операційної діяльності у %
|
Продукція
|
2010
|
2011
|
2012
|
|
Україна
|
Експорт
|
Україна
|
Експорт
|
Україна
|
Експорт
|
|
Обкотиші
|
100
|
-
|
100
|
-
|
32,6
|
67,4
|
|
Концентрат
|
43,2
|
56,8
|
53,2
|
46,8
|
56,1
|
43,9
|
Таблиця 2.11
Аналіз структури доходу від операційної діяльності в розрізі
місця збуту
|
Продукція
|
2010
|
2011
|
2012
|
|
Україна
|
Експорт
|
Україна
|
Експорт
|
Україна
|
Експорт
|
|
Обкотиші, тис.грн.
|
1974886,21
|
0
|
2711385,33
|
0
|
659450,23
|
1363403,24
|
|
Концентрат, тис.грн.
|
1061844,65
|
1396129,08
|
1975415,19
|
1737771,25
|
1602823,98
|
1254259,76
|
|
Всього по ринку
|
3036730,86
|
1396129,08
|
4686800,52
|
1737771,25
|
2262274,21
|
2617663
|
|
Всього реалізовано
|
4 432 859,94
|
6424571,77
|
4879937,21
|
У 2012 році виручка від реалізації товарної продукції
становила 4879937,21 тис.грн., що на 1544634,56 тис.грн. менше від реалізації
2011 року.
Як бачимо, доля експортних операцій в загальному обсязі
реалізації за два роки зменшується, і тільки у 2012р. має тенденцію до
збільшення: у 2010 році експорт склав 1396129,08 тис.грн. або 31,49%, у 2011
році - 1737771,25 тис. грн. або 27,04%, у 2012 - 2617663 тис.грн. або 53,64%
від загального обсягу реалізації в грошовому еквіваленті.
Крім того, слід відмітити, що обкотиші у 2010 та 2011 роках
не експортувалися, а у 2012 році реалізація обкотишів на експорт у грошовому
виразі склала 1363403,24 тис.грн. або 67,4% від загальної реалізації обкотишів.
Питома вага реалізації концентрату на експорт в загальному
обсязі реалізації концентрату в грошовому виразі у 2012 році становить 43,9% що
на 2,9% менше ніж у 2011 році.
Таблиця 2.12
Аналіз прибутку в розрізі за місцем збуту за 2010 рік
|
Продукція
|
Реалізовано
|
Собівартість реалізованої продукції
|
Адміністративні витрати
|
Витрати на збут
|
Інші витрати
|
Всього витрат
|
Прибуток
|
|
Концентрат, всього
|
2457974
|
1260928
|
36941
|
157201
|
1603610
|
3058681
|
771167
|
|
В Україні
|
1061845
|
504371
|
14777
|
62880
|
641444
|
1223472
|
308467
|
|
Експорт
|
1396129
|
756557
|
22165
|
94320
|
962166
|
1835208
|
462700
|
|
Обкотиші, всього
|
1974886
|
840619
|
24628
|
104800
|
1069074
|
2039120
|
514112
|
|
в Україні
|
1974886
|
840619
|
24628
|
104800
|
1069074
|
2039120
|
514112
|
|
Експорт
|
0
|
0
|
0
|
0
|
0
|
0
|
0
|
|
Всього реалізовано
|
4432 859,94
|
2101547
|
61569
|
262001
|
2672684
|
5097801
|
1285279
|
У 2010 році собівартість реалізованої продукції становила
2101547 тис.грн., тобто 41,1% загальних витрат. При цьому на адміністративні
витрати прийшлося 1,2% всіх витрат, на витрати на збут - 5,1%, а на інші
операційні витрати - 52,6 %.
Загальні операційні витрати склали 5097801 тис.грн., а
прибуток від операційної діяльності - 1285279 тис.грн.
Таблиця 2.13
Аналіз прибутку в розрізі за місцем збуту за 2011 рік
|
Продукція
|
Реалізовано
|
Собівартість реалізованої продукції
|
Адміністративні витрати
|
Витрати на збут
|
Інші витрати
|
Всього витрат
|
Прибуток
|
|
Концентрат, всього
|
3713186
|
1543090
|
43639
|
155525
|
3113602
|
4855855
|
1555712
|
|
В Україні
|
1975415
|
617236
|
17456
|
62210
|
1245441
|
1942342
|
622285
|
|
Експорт
|
1566965
|
925854
|
26184
|
93315
|
1868161
|
2913513
|
933427
|
|
Обкотиші, всього
|
1028726
|
29093
|
103683
|
2075734
|
3237237
|
1037141
|
|
в Україні
|
2711385
|
1028726
|
29093
|
103683
|
2075734
|
3237237
|
1037141
|
|
Експорт
|
0
|
0
|
0
|
0
|
0
|
0
|
0
|
|
Всього реалізовано
|
6424572
|
2571816
|
72732
|
259208
|
5189336
|
8093092
|
2592853
|
У 2011 році собівартість реалізованої продукції становила
2571816 тис.грн., тобто 31,8% загальних витрат. При цьому на адміністративні
витрати прийшлося 1 % всіх витрат, на витрати на збут - 3,2%, а на інші
операційні витрати - 64%.
Загальні операційні витрати склали 8093092 тис.грн., а прибуток
від операційної діяльності - 2592853 тис.грн.
Таблиця 2.14
Аналіз прибутку в розрізі за місцем збуту за 2012 рік
|
Продукція
|
Реалізовано
|
Собівартість реалізованої продукції
|
Адміністративні витрати
|
Витрати на збут
|
Інші витрати
|
Всього витрат
|
Прибуток
|
|
Концентрат, всього
|
2857084
|
1736056
|
44651
|
339757
|
315013
|
2435477
|
456711
|
|
В Україні
|
1602824
|
694422
|
17861
|
135903
|
126005
|
974191
|
182684
|
|
Експорт
|
1184261
|
1041633
|
26791
|
203854
|
189008
|
1461286
|
274027
|
|
Обкотиші, всього
|
2022853
|
1157370
|
29768
|
226505
|
210008
|
1623651
|
304474
|
|
в Україні
|
659450
|
636554
|
16372
|
124578
|
115505
|
893008
|
167461
|
|
Експорт
|
1363403
|
520817
|
13395
|
101927
|
94504
|
730643
|
137013
|
|
Всього реалізовано
|
4879937
|
2893426
|
74419
|
566262
|
525021
|
4059128
|
761185
|
У 2012 році собівартість реалізованої продукції становила
2893426 тис.грн., тобто 71,2% загальних витрат. При цьому на адміністративні
витрати прийшлося 1,8% всіх витрат, на витрати на збут - 14 %, а на інші
операційні витрати - 13%.
Загальні операційні витрати склали 4059128 тис.грн., а
прибуток від операційної діяльності - 761185 тис.грн.
Проаналізувавши витрати та прибуток за 2010-2012 рр. можна
зробити висновок, що питома вага собівартості реалізованої продукції в
загальних витратах збільшилась з 41,1% у 2010 році до 71,2 % у 2012 році, також
збільшилась частка адміністративних витрати у загальній сумі витрат з 1,2% у
2010 році до 1,8% у 2012 році. Витрати ж на збут продукції та інші операційні
витрати зменшилися і у 2012 році склали 14% та 13 % відповідно.
Визначимо структуру експорту за 2010-2012 рр. в табл.2.15
Таблиця 2.15
Структура витрат експорту за 2010-2012 рр.
|
Показники
|
2010
|
% у загальній сумі
|
2011
|
% у загальній сумі
|
2012
|
% у загальній сумі
|
Середній % у загальній сумі
|
|
Собівартість
|
756557
|
41,22
|
925854
|
31,78
|
1562450
|
71,28
|
48,09
|
|
Адміністративні витрати
|
22165
|
1,21
|
26184
|
0,90
|
40186
|
1,83
|
1,31
|
|
Витрати на збут
|
94320
|
5,14
|
93315
|
3,20
|
305781
|
13,95
|
7,43
|
|
Інші витрати
|
962166
|
52,43
|
1868161
|
64,12
|
283512
|
12,93
|
43,16
|
|
Всього витрати
|
1835208
|
100
|
2913513
|
100
|
2191929
|
100
|
100
|
Для того, щоб проаналізувати ефективність зовнішньоекономічної
діяльності розрахуємо рентабельність продукції за 2010-2012 роки та порівняємо
її із середньою рентабельністю за кожен рік.
Таблиця 2.16
Рентабельність продукції в розрізі за місцем збуту за 2010
рік,%
|
Показник
|
Рентабельність
|
Середня рентабельність
|
Абсолютне відхилення (+,-)
|
|
Концентрат, всього
|
31,37
|
28,99
|
2,38
|
|
В Україні
|
29,05
|
28,99
|
0,06
|
|
Експорт концентрату
|
33,14
|
28,99
|
4,15
|
|
Обкотиші, всього
|
26,03
|
28,99
|
-2,96
|
|
в Україні
|
26,03
|
28,99
|
-2,96
|
|
Експорт обкотишів
|
0
|
28,99
|
0
|
|
Всього реалізовано
|
28,99
|
28,99
|
0
|
У 2010 році середня рентабельність продукції складала 28,99%:
рентабельність концентрату - 31,37%, рентабельність обкотишів - 26,03%.
Найбільше відхилення від середнього значення у 2010 році
маємо по обкотишам, його рентабельність склала 26,03%.
Таблиця 2.17
Рентабельність продукції в розрізі за місцем збуту за 2011
рік,%
|
Показник
|
Рентабельність
|
Середня рентабельність
|
Абсолютне відхилення (+,-)
|
|
Концентрат, всього
|
41,90
|
40,36
|
0,154
|
|
В Україні
|
31,50
|
40,36
|
-8,86
|
|
Експорт концентрату
|
59,57
|
40,36
|
19,21
|
|
Обкотиші, всього
|
38,25
|
40,36
|
-2,11
|
|
в Україні
|
38,25
|
40,36
|
-2,11
|
|
Експорт обкотишів
|
0
|
40,36
|
0
|
|
Всього реалізовано
|
40,36
|
40,36
|
0
|
У 2011 році середня рентабельність продукції складала 40,36%:
рентабельність концентрату - 41,9%, рентабельність обкотишів - 38,25%.
Найбільше відхилення від середнього значення у 2011 році має
концентрат реалізований в Україні, його рентабельність склала лише 31,5%.
Таблиця 2.18
Рентабельність продукції в розрізі за місцем збуту за 2012
рік,%
|
Показник
|
Рентабельність
|
Середня рентабельність
|
Абсолютне відхилення (+,-)
|
|
Концентрат, всього
|
15,99
|
15,60
|
0,39
|
|
В Україні
|
11,40
|
15,60
|
-4,20
|
|
Експорт концентрату
|
23,14
|
15,60
|
7,54
|
|
Обкотиші, всього
|
15,05
|
15,60
|
-0,55
|
|
в Україні
|
25,39
|
15,60
|
9,79
|
|
Експорт обкотишів
|
10,05
|
15,60
|
-5,55
|
|
Всього реалізовано
|
15,60
|
15,60
|
0
|
У 2012 році середня рентабельність продукції складала 15,60%:
рентабельність концентрату - 15,99%, рентабельність обкотишів - 15,05%.
Найбільше відхилення від середнього значення у 2012 році
маємо по експорту обкотишів, їх рентабельність склала 10,05%.
Підсумуємо дослідження: досліджуване підприємство збільшує
обсяги експорту, так питома вага експорту в загальному обсязі збуту складає 54%
в 2012 році, що на 23% більше в порівнянні з 2010 роком.
Аналізуючи ефективність експортної діяльності, то ми бачимо,
що в 2012 році прибуток від неї склав 2617663 тис.грн. За даними таблиці ми
бачимо, що підприємство більш рентабельно реалізує концентрат, експортуючи його
та обкотиші реалізуючи їх на території України, проте оскільки ринок є обмеженим,
ПАТ «ЦГЗК» вимушене шукати нові ринки збуту.
2.5 Ризики, що впливають на ефективність експортної
діяльності та методи їх нейтралізації
При виході на зовнішній ринок виникає принципіально нова
ситуація, більш різноманітнішим стає зовнішнє середовище, збільшується число
факторів, що впливають на діяльність підприємства. Це призводить до того, що:
) підвищується ступінь невизначеності в діяльності
підприємства;
) зростає ступінь ризику, з'являється додатковий ризик його
діяльності;
) збільшується потреба в інформаційному забезпеченні
підприємства;
) підвищуються вимоги до координації різних напрямків і сфер
їх діяльності.
Комерційна, підприємницька діяльність на зовнішньому ринку
неминуче пов'язана з ризиками, що загрожують різним майновим інтересам
учасників зовнішньоекономічної діяльності. Ризики - це можливі несприятливі
події, що можуть відбутися, і в результаті яких можуть виникнути збитки,
майнові втрати учасників ЗЕД. Робота з управління зовнішньоекономічними
ризиками має включати такі основні складові:
аналіз ситуації і визначення можливих ризиків;
оцінка ймовірного збитку й прийняття рішення щодо
управління потенційними ризиками;
реалізація прийнятих рішень і контроль за їх
виконанням.
Політика учасника ЗЕД щодо потенційних ризиків має декілька
різновидів.
. Виключення ризиків - це відмова від здійснення будь-яких
дій, пов'язаних з можливістю появи ризиків у ЗЕД.
. Прийняття ризиків означає, що підприємство бере на себе
відповідальність за проведення зовнішньоекономічної операції та ризики,
пов'язані з нею.
. Зменшення ризиків - це прийняття рішень, які дають змогу
знизити рівень витрат від прийнятих ризиків.
. Передача ризиків означає, що підприємство передає
відповідальність за ризики своєму партнеру або третій особі.
Структура ризиків у зовнішньоекономічній діяльності доволі
змістовна і нараховує сотні різновидів, які можна класифікувати за певними
ознаками. Ризики, зовнішні щодо контракту, поділяються на політичні, юридичні,
макроекономічні, маркетингові. Політичні ризики - це можливість виникнення
збитків чи скорочення розмірів прибутку внаслідок державної політики
регулювання зовнішньоекономічних відносин. Політичні ризики розподіляють на
чотири групи:
) ризик націоналізації та експропріації;
) ризик трансферту, пов'язаний з можливими обмеженнями
конвертування національної валюти;
) ризик розриву контракту через діяльність влади тієї країни,
де знаходиться підприємство-контрагент;
) ризик військових дій та громадських заворушень.
При проведенні зовнішньоекономічних операцій слід врахувати
фактори ризиків, пов'язані з платіжним потенціалом країни-дебітора, тому
потрібно здійснювати аналіз її макроекономічних показників та ринкового
потенціалу. Отже, слід розглянути:
внутрішню економіку країни;
економіки країн-партнерів;
заборгованість держави (внутрішню і зовнішню).
Інформацію про ризики по конкретній країні можна отримати,
використавши періодичні публікації консалтингових фірм, що спеціалізуються на
оцінках ризиків. Підприємство, зазвичай, цікавить політична стабільність у
країні, ризики поточної економічної ситуації, можливості для переказу капіталу
та прибутків, можливості отримання прибутків. Ймовірність виникнення ризиків
залежить від країни, з якою передбачається укладення зовнішньоекономічного
контракту. Заздалегідь слід передбачити, що сума збитків може досягти розміру,
який перевищить загальну суму контракту.
Для зменшення ризиків за укладеними зовнішньоекономічними
контрактами слід попередньо перевірити потенційного партнера. З цією метою
пропонується оцінити ефективність його функціонування. Керуючись інформацією
про потенційного партнера, можна зробити конкретні висновки щодо його
надійності та платоспроможності. Якщо підприємство задовольняє потенційний
партнер, то перед ним стоїть питання укладення зовнішньоекономічної угоди з мінімізацією
можливих ризиків, використовуючи всі можливі застереження. Так, ризику
невиконання партнером зобов'язань за контрактом можна уникнути за рахунок:
укладення договору про наміри, де оговорюється
строк, протягом якого сторони можуть внести зміни;
відображення в договорі намірів щодо матеріальної
відповідальності за відмову від підписання контракту;
відображення умови про розгляд можливих суперечок
через арбітражний суд;
відображення в контракті умови про штрафні санкції
за невиконання будь-якого зобов'язання за контрактом;
відображення в контракті умови про виникнення
можливих форс-мажорних обставин.
Для подолання загрози неплатоспроможності партнера
використовують такі інструменти:
передбачення умови про чинність контракту після над
ходження коштів на розрахунковий рахунок виконавця;
передача права власності замовнику після повної
сплати вартості товару (послуги);
використання послуг банку щодо акредитивної форми
розрахунків;
укладення угоди з банком на факторингове
обслуговування можливої дебіторської заборгованості.
Найбільшою групою ризиків у зовнішньоекономічній діяльності є
маркетингові ризики, пов'язані з реалізацією товару на ринках збуту. До таких
ризиків відносять інформаційні, інноваційні та кон'юнктурні ризики. Для
проведення успішної збутової діяльності на зовнішніх ринках потрібно проводити
їх ретельний ситуаційний аналіз, який ґрунтується на розробці таких експертних
чи маркетингових систем, які дають змогу враховувати невизначеність інформації
про ринок.
Інформаційний ризик - ризик відсутності, невизначеності чи
недостовірності інформації, що стосується юридичної бази для підготовки
контракту, стану справ партнера і його банку, загального стану ринку товарів
(послуг), на якому функціонує підприємство.
Інноваційний ризик - можливість втрат, що виникають внаслідок
вкладення підприємством коштів у виробництво нових товарів (послуг), які,
можливо, не знайдуть попиту на ринку.
Кон'юнктурний ризик - можливість втрат через зміну ринкової
кон'юнктури, зміну як економічного стану галузі, в якій функціонує
підприємство, так і суміжних з нею галузей.
Транспортні ризики - ризики, які виникають у
зовнішньоекономічній діяльності при укладенні зовнішньоекономічних угод, а саме
при переміщенні товару від продавця (постачальника) до покупця.
Запобігти виникненню інноваційного ризику можливо тільки
шляхом проведення ретельних маркетингових досліджень, спрямованих на виявлення
потреб споживачів на тому ринку, де функціонує підприємство.
При запобіганні кон'юнктурному ризику слід врахувати
діяльність підприємства в цій галузі, а також суміжних галузях за певний період
часу; сталість функціонування цієї галузі порівняно з економічним станом у
країні в цілому; результати діяльності різних підприємств у межах однієї й тієї
ж галузі. Оцінка маркетингової групи ризиків ґрунтується на визначенні ступеня
можливості виникнення маркетингових ризиків, тобто на їх імовірності.
Маркетингові ризики багатономенклатурні, їх зумовлюють як внутрішні, так і
зовнішні фактори, дію яких досить важко скерувати в потрібному напрямку.
Усі транспортні ризики можна поділити за «Інкотермс-2000» на
чотири групи. При настанні ризиків, про які йдеться в «Інкотермс-2000»,
покупець зобов'язаний сплатити ціну товару навіть при отриманні товару у стані,
який не відповідає умовам договору, чи при повній його втраті. У цьому полягає
«ціна ризику». Якщо ж ушкодження не обумовлене транспортним ризиком, то
покупець має право не тільки ухилитися від оплати товару, але і вважати
продавця відповідальним за порушення умов договору.
Існують також ризики, пов'язані з умовами контракту: щодо
властивостей товару, щодо умов постачання, щодо вибору валютних умов контракту,
ризик форс-мажору, ризик розриву контракту. Залежно від етапу угоди ризики
виникають: при митному оформленні, при сертифікації, комерційні, транспортні.
За місцезнаходженням ризики бувають: закордонні, прикордонні, на власному
ринку. З огляду на можливість впливу підприємства на ризик вони поділяються на
дві групи: залежні від діяльності підприємства, або внутрішні, і незалежні від
діяльності підприємства, або зовнішні. До внутрішніх ризиків відносять:
невиконання виробничих завдань у визначені терміни;
недотримання вимог якості;
страйки, недобросовісність працівників;
аварії, пожежі;
крадіжки.
До ризиків, які не залежать від підприємства, належать:
політичні ризики;
військові ризики;
ризики, пов'язані з діяльністю органів державної
влади;
стихійні лиха;
ризики, пов'язані з діяльністю третіх осіб;
валютні ризики;
ризики зміни ціни;
ризик падіння попиту;
ризик зростання конкуренції;
ризики неплатежів, банкрутства;
ризик непоставки товару і невиконання договірних
зобов'язань.
Принципова відмінність між цими двома групами ризиків полягає
в тому, що на першу групу підприємство має змогу вплинути, тобто вжити заходів,
що усувають їх джерела. На другу групу ризиків підприємство вплинути не може,
тому що їх настання практично не залежить від зусиль учасника ЗЕД. Відповідно
для управління цими різними за своїм походженням ризиками мають застосовуватися
різні методи.
Для боротьби з внутрішніми ризиками застосовуються відомі
методи управління. Наприклад, для усунення ризиків аварій, пожеж застосовуються
заходи безпечного ведення виробництва, протипожежні заходи. Для зменшення
ризиків невиконання виробничих завдань за об'ємом і якістю продукції, що
випускається, розробляються відповідні організаційно-технологічні заходи, що
включають поточне й оперативно-календарне планування, систему управління якістю
та Інші аналогічні заходи, що мають за мету створення на підприємстві системи,
що виключає невиконання планових завдань у термін і випуск неякісної продукції.
Для зниження інших внутрішніх ризиків також розробляються адекватні заходи,
головним критерієм яких є їх ефективність, тобто співвідношення між результатом
(зменшення збитків або приріст прибутку) і витратами на їх здійснення.
Головна проблема управління ризиками в зовнішньоекономічній
діяльності підприємства полягає в управлінні тими ризиками, настання яких не
залежить від зусиль підприємств. Можна виділити такі групи методів, спрямованих
на зменшення можливих збитків, що викликані цими ризиками:
. Страхування, тобто використання різних видів полісів,
договорів страхування.
. Хеджування як метод використання біржових ф'ючерсних
контрактів і опціонів.
. Застосування різних форм і методів розрахунково-кредитних
відносин, що зводять до мінімуму ризик неплатежу за поставлені товари, або
неотримання товарів проти їх сплати.
. Аналіз і прогнозування кон'юнктури (попиту, пропозиції,
ціни) на зовнішньому ринку, планування і своєчасна розробка заходів з метою
уникнути можливих збитків, викликаних несприятливими кон'юнктурними змінами.
. Інші методи.
Поряд зі страхуванням застосовують також інші методи
управління ризиками. Для управління ризиками, пов'язаними з несприятливим
падінням курсу валют, широко застосовуються різні методи хеджування. Вони
передбачають використання фючерсів і опціонів. Перевага цього методу -
можливість оперативного прийняття рішень, порівняно невисока вартість
налагодженість і доступність ринків ф'ючерсів і опціонів. До недоліків варто
віднести порівняно вузький спектр дії (тільки цінові параметри угод на товари,
фондові цінності і валюту), складність використання, що вимагає високого рівня
кваліфікації фахівців. Тому повною мірою цей метод використовується, як
правило, великими підприємствами і при великих обсягах зовнішньоторговельних
операцій.
Окрема галузь управління ризиками у ЗЕД пов'язана з
розрахунково-кредитними відносинами і передбачає використання досить значного
розмаїття форм і методів. До основних із них відносять:
застосування безвідкличного підтвердженого
документарного акредитива при розрахунках за постачання товару;
використання банківських гарантій (наприклад,
ввалювання перевідних векселів - тратт тощо).
Перевага цього механізму зниження ризиків - простота і
доступність використання для учасників ЗЕД, недолік - порівняна дорожнеча
такого типу банківських послуг.
Таким чином, сучасний рівень розвитку страхової, банківської
і біржової справи у світі надає учасникам ЗЕД широкий спектр різних
інструментів захисту від ризиків при здійсненні зовнішньоекономічних операцій.
Однак вони не в змозі забезпечити абсолютний захист від можливих ризиків, хоча
і можуть істотно їх зменшити. Значною мірою ризики можна відвернути шляхом
ефективного управління (наприклад, диверсифікацією діяльності тощо). Найбільший
ефект може бути досягнутии за рахунок поєднання, комбінації різних методів
управління ризиками: страхування, хеджування, застосування сучасних методів
управління, форм і методів розрахунків у зовнішньоекономічних операціях.
ВИСНОВКИ ДО ІІ РОЗДІЛУ
Отже, робота написана на основі діяльності ПАТ «ЦГЗК», що
займається виробництвом обкотишів та концентрату. На підставі проведеного
фінансового аналізу можна зробити висновки, що діяльність підприємства за
проаналізований період булла ефективною, на протязі 2010-2012 рр. підприємство
отримало прибуток. Значення показників фінансової стійкості свідчить про
нормальний рівень фінансової незалежності. Підприємство має невисокий ступінь
ліквідності.
Виробнича потужність підприємства в 2012 році склала 6236,83
тис.тон. продукції. Підприємство збуває своє продукцію як на внутрішньому ринку
України, так і на зовнішньому. Всього в 2012 році експортовано продукції на
2617663 тис.грн, а на внутрішньому ринку реалізовано продукції на 2262274
тис.грн.
Основними країнами імпортерами продукції ПАТ «ЦГЗК» є Чехія,
Словаччина, Румунія, Польща, Угорщина, Німеччина та Китай.
Аналіз ефективності збуту на зовнішньому ринку показав, що у
2012 році виручка від реалізації товарної продукції становила 4879937,21
тис.грн., що на 1544634,56 тис.грн. менше від реалізації 2011 року.
Рентабельність експорту обкотишів є нижчою, ріж рентабельність збуту в Україні.
Рентабельність експорту концентрату є досить високою і становить майже 23%,
рентабельність експорту обкотишів є значно нижчою і становить близько 10%.
Аналізуючи ризики притаманні експортній діяльності основними
з них є ризик неповернення коштів та ризик фінансових втрат через курсові
різниці. Основними інструментами захисту від ризику є страхування, хеджування,
застосування сучасних методів управління, форм і методів розрахунків у
зовнішньоекономічних операціях.
РОЗДІЛ 3. РОЗРОБКА ЗАХОДІВ ЩОДО УПРАВЛІННЯ ЕКСПОРТНМИ
ОПЕРАЦІЯМИ ДОСЛІДЖУВАНОГО ПІДПРИЄМСТВА
3.1 Дослідження та вибір факторів,
що впливають на ефективність зовнішньоекономічної діяльності підприємства
Враховуючи сьогоднішні тенденції та кон’юнктуру світових цін
та попиту, на підприємстві ПАТ «ЦГЗК» простежується тенденція зниження
активності зовнішньоекономічної діяльності підприємства, яка виражається у
зменшенні обсягу реалізації продукції закордон, зниженні кількості укладених
міжнародних контрактів з партнерами та нестабільному отриманні валютних
надходжень. Причиною цього є посилення конкурентної боротьби на ринку
залізорудної сировини, суттєве зниження попиту на металопродукцію з боку
головних споживачів - машинобудування та будівельної галузі, надшвидка зміна
потреб споживачів. Важливими факторами, які впливають на зовнішньоекономічну
діяльність підприємства і, таким чином, на експортний потенціал й результати
фінансово-економічної діяльності, є обсяг виробництва та якість виробленої
продукції.
Якість залізорудної сировини характеризується вмістом
корисного компонента та шкідливих домішок. Корисний компонент - це залізо
загальне у концентраті та обкотишах.
Якісні показники товарного концентрату наведені у
відповідності з Технічними Умовами "Концентрат залізорудний
ПАТ"Центральний гірничо - збагачувальний комбінат "(ТУ У
13.1-00191000-001-2008). Якісні показники обкотишів наведені у відповідності з
Технічними Умовами "Обкотиші ПАТ"Центральний гірничо - збагачувальний
комбінат» (ТУ У 13.1-00191000-002-2008). Якісні показники концентрату з
підвищеним вмістом заліза наведені у відповідності з Технічними Умовами
«Концентрат залізорудний з підвищеним вмістом заліза ПАТ«"Центральний
гірничо - збагачувальний комбінат»(ТУ У 13.1-00191000-011:2010).
Основним результатом фінансово-економічної діяльності
підприємства є чистий прибуток. Отже, набуває необхідності розробити
економіко-математичну модель впливу значимих показників ефективної діяльності
підприємства на величину чистого прибутку, яку можна представити у вигляді
результативного показника.
Отже, факторами, які впливають на результативний показник є:
Вміст заліза в концентраті;
Вміст заліза в обкотишах;
Витрати на 1 грн. товарної продукції;
Обсяг реалізації експортної продукції;
Показник фондовіддачі;
Показник матеріалоємністі.
Вихідні дані для побудови математичної моделі беремо за
період 2008-2012 рр. (табл. 3.1).
Далі розрахунок ведеться за допомогою коефіцієнта кореляції.
Побудова кореляційних моделей дає можливість вивчати залежність економічних
показників, що не зв’язані між собою функціонально. Кореляційний зв’язок на
відміну від функціонального проявляється лише взагалі та в середньому і тільки
в масі спостережень.
Кореляційний аналіз вирішує два завдання:
) визначення форми зв’язку, тобто встановлення математичної
формули, яка описує даний зв’язок;
) вимірювання щільності зв’язку.
Таблиця 3.1
Вихідні дані для побудови математичної моделі
|
Показник
|
Роки
|
|
2008
|
2009
|
2010
|
2011
|
2012
|
|
Результативний показник
|
|
Чистий прибуток, Пр, тис. грн (y)
|
1918248
|
249402
|
1285279
|
2592853
|
761185
|
|
Фактори
|
|
Вміст Fe в концентраті, Feконц, % (x1)
|
68,19
|
68,22
|
68,22
|
68,28
|
68,28
|
|
Вміст Fe в обкотишах, Feагл, % (x2)
|
63,5
|
63,5
|
63,5
|
65,75
|
65,75
|
|
Витрати на 1 грн. товарної продукції, (x3)
|
50
|
56
|
33
|
53
|
65
|
|
Обсяг реалізації експорту концентрату, Qконц,
тис.т (x4)
|
1806,66
|
2025,98
|
2173,46
|
1810,45
|
1723,38
|
|
Обсяг реалізації експорту обкотишів, Qобк,
тис.т (x5)
|
46,25
|
0
|
0
|
0
|
1557,70
|
|
Показник фондовіддачі (x6)
|
3,5
|
1,15
|
1,59
|
1,69
|
1,43
|
|
Показник матеріалоємністі (x7)
|
0,41
|
0,44
|
0,30
|
0,28
|
0,40
|
Спочатку треба розрахувати залежність між факторами та
результативним показником аби визначити, який з них треба брати для подальших
розрахунків. Розрахунки проводяться за допомогою коефіцієнта кореляції [36].

(3.3)
або

(3.4)
При
- зв’язок вважається слабким, при
- середнім, і при
- сильним.
Дані аналізу представимо у вигляді таблиць.
Таблиця 3. 2
Залежність чистого прибутку від вмісту Fe в концентраті (х -
вміст Fe в концентраті,%; у- чистий прибуток, тис.грн.)
|
Рік
|
х
|
у
|
|
|
|
|
2008
|
68,19
|
1918248
|
130805331,1
|
4649,8761
|
3,67968E+12
|
|
2009
|
68,22
|
249402
|
17014204,44
|
4653,9684
|
62201357604
|
|
2010
|
68,22
|
1285279
|
87681733,38
|
4653,9684
|
1,65194E+12
|
|
2011
|
68,28
|
2592853
|
177040002,8
|
4662,1584
|
6,72289E+12
|
|
2012
|
68,28
|
761185
|
51973711,8
|
4662,1584
|
5,79403E+11
|
|
Разом:
|
341,19
|
6806967
|
464514983,6
|
23282,1297
|
1,26961E+13
|
|
Коефіцієнт кореляції
|
r=0,1420
|
|
З даних таблиці видно, що між величиною чистого прибутку та
показником вмісту Fe в концентраті існує слабкий зв'язок, про що свідчить
коефіцієнт кореляції, який дорівнює 0,1420.
Таблиця 3. 3
Залежність чистого прибутку від вмісту Fe в обкотишах (х -
вміст Fe в обкотишах,%; у- чистий прибуток, тис.грн.)
|
Рік
|
х
|
у
|
|
|
|
|
2008
|
63,5
|
1918248
|
121808748
|
4032,25
|
3,67968E+12
|
|
2009
|
63,5
|
249402
|
15837027
|
4032,25
|
62201357604
|
|
2010
|
63,5
|
1285279
|
81615216,5
|
4032,25
|
1,65194E+12
|
|
2011
|
65,75
|
2592853
|
170480084,8
|
4323,0625
|
6,72289E+12
|
|
2012
|
65,75
|
761185
|
50047913,75
|
4323,0625
|
5,79403E+11
|
|
Разом:
|
322
|
6806967
|
439788990
|
20742,875
|
1,26961E+13
|
|
Коефіцієнт кореляції
|
r=0,3111
|
|
З даних таблиці видно, що між величиною чистого прибутку та
показником вмісту Fe в обкотишах існує середній зв'язок, про що свідчить
коефіцієнт кореляції, який складає 0,3111.
Таблиця 3. 4
Залежність чистого прибутку від витрат на 1 грн. товарної
продукції (х - витрати на 1 грн. товарної продукції; у- чистий прибуток,
тис.грн.)
|
Рік
|
х
|
у
|
|
|
|
|
2008
|
50
|
1918248
|
95912400
|
2500
|
3,67968E+12
|
|
2009
|
56
|
249402
|
13966512
|
3136
|
62201357604
|
|
2010
|
33
|
1285279
|
42414207
|
1089
|
1,65194E+12
|
|
2011
|
53
|
2592853
|
137421209
|
2809
|
6,72289E+12
|
|
2012
|
65
|
761185
|
49477025
|
4225
|
5,79403E+11
|
|
Разом:
|
257
|
6806967
|
339191353
|
13759
|
1,26961E+13
|
|
Коефіцієнт кореляції
|
r=-0,2463
|
|
З даних таблиці видно, що між величиною чистого прибутку та
витратами на 1 грн. товарної продукції існує слабкий зв'язок, про що свідчить
коефіцієнт кореляції, який складає 0,2463.
Таблиця 3. 5
Залежність чистого прибутку від величини обсягу реалізації
експорту концентрату (х - величина обсягу реалізації експорту
концентрату,тис.т.; у- чистий прибуток, тис.грн.)
|
Рік
|
х
|
у
|
|
|
|
|
2008
|
1806,66
|
1918248
|
3465621932
|
3264020,356
|
3,67968E+12
|
|
2009
|
2025,98
|
249402
|
505283464
|
4104594,96
|
62201357604
|
|
2010
|
2173,46
|
1285279
|
2793502495
|
4723928,372
|
1,65194E+12
|
|
2011
|
1810,45
|
2592853
|
4694230714
|
3277729,203
|
6,72289E+12
|
|
2012
|
1723,38
|
761185
|
1311811005
|
2970038,624
|
5,79403E+11
|
|
Разом:
|
9539,93
|
6806967
|
12770449610
|
18340311,51
|
1,26961E+13
|
|
Коефіцієнт кореляції
|
r=-0,3154
|
|
|
|
|
|
|
|
|
Коефіцієнт кореляції дорівнює 0,3154, що свідчить про
середній зв'язок між показниками.
Таблиця 3. 6
Залежність чистого прибутку від величини обсягу реалізації
експорту обкотишів (х - величина обсягу реалізації експорту обкотишів,тис.т.;
у- чистий прибуток, тис.грн.)
|
Рік
|
х
|
у
|
|
|
|
|
2008
|
46,25
|
1918248
|
88718970
|
2139,0625
|
3,67968E+12
|
|
2009
|
0
|
249402
|
0
|
0
|
62201357604
|
|
2010
|
0
|
1285279
|
0
|
0
|
1,65194E+12
|
|
2011
|
0
|
2592853
|
0
|
0
|
6,72289E+12
|
|
2012
|
1557,70
|
761185
|
1185697875
|
2426429,29
|
5,79403E+11
|
|
Разом:
|
1603,95
|
6806967
|
1274416845
|
2428568,353
|
1,26961E+13
|
|
Коефіцієнт кореляції
|
r= -0,3549
|
|
|
|
|
|
|
|
|
Зв’язок величини чистого прибутку та величини обсягу
реалізації експорту обкотишів є середнім і дорівнює 0,3549.
Таблиця 3. 7
Залежність чистого прибутку від величини показника фондовіддачі
(х - величина показника фондовіддачі.; у- чистий прибуток, тис.грн.)
|
Рік
|
х
|
у
|
|
|
|
|
2008
|
3,5
|
1918248
|
6713868
|
12,25
|
3,67968E+12
|
|
2009
|
1,15
|
249402
|
286812,3
|
1,3225
|
62201357604
|
|
2010
|
1,59
|
1285279
|
2043593,61
|
2,5281
|
1,65194E+12
|
|
2011
|
1,69
|
2592853
|
4381921,57
|
2,8561
|
6,72289E+12
|
|
2012
|
1,43
|
761185
|
1088494,55
|
2,0449
|
5,79403E+11
|
9,36
|
6806967
|
14514690,03
|
21,0016
|
1,26961E+13
|
|
Коефіцієнт кореляції
|
r= 0,5130
|
|
|
|
|
|
|
|
|
Зв’язок величини чистого прибутку та величини показника
фондовіддачі є середнім і дорівнює 0,5130.
Таблиця 3. 8
Залежність чистого прибутку від величини показника
матеріалоємності (х - величина показника матеріалоємності.; у- чистий прибуток,
тис.грн.)
|
Рік
|
х
|
у
|
|
|
|
|
2008
|
0,41
|
1918248
|
786481,68
|
0,1681
|
3,67968E+12
|
|
2009
|
0,44
|
249402
|
109736,88
|
0,1936
|
62201357604
|
|
2010
|
0,30
|
1285279
|
385583,7
|
0,09
|
1,65194E+12
|
|
2011
|
0,28
|
2592853
|
725998,84
|
0,0784
|
6,72289E+12
|
|
2012
|
0,40
|
761185
|
304474
|
0,16
|
5,79403E+11
|
|
Разом:
|
1,83
|
6806967
|
2312275,1
|
0,6901
|
1,26961E+13
|
|
Коефіцієнт кореляції
|
r= -0,6784
|
|
|
|
|
|
|
|
|
Зв’язок величини чистого прибутку та величини показника
матеріалоємності є середнім і дорівнює 0,6784.
Отже, маємо такі результати:1= 0,1420; r2=
0,3111; r3= 0,2463; r4= 0,3154; r5= 0,3549; r6=
0,5130; r7= 0,6784
Як видно, такі фактори, як величина показників фондовіддачі
та матеріалоємності мають дуже тісний зв'язок з результативним показником.
Отже, здійснивши факторний аналіз та дослідивши залежність
усіх факторів між собою, можна сказати, що найбільша тіснота зв’язку чистого
прибутку спостерігається з такими факторами, як показники фондовіддачі та
матеріалоємності. Саме тому ці два фактора ми включимо в майбутню економіко -
математичну модель.
3.2 Розробка економіко-математичної
моделі впливу значимих показників на величину чистого прибутку
Метою даного розділу є розроблення економіко - математичної
моделі за допомогою лінійного програмування з застосуванням ЕОМ та програми
Mіcrosoft Excel, а також висвітлення впливу значимих показників на величину
чистого прибутку.
В першу чергу для розгляду обирається фактор - показник
матеріалоємності, адже він має найсильніший зв'язок з результативним показником
з поміж усіх інших факторів (r4= 0,6784).
Попередньо вид математичної функції встановлюється за
допомогою аналізу зв’язку між явищами та графічного його зображення у вигляді
кореляційного поля.
Потім виконується подальший розрахунок залежності між
фактором та результативним показником. Графік представлено на рис. 3.1.
Рис. 3.1. Графічне зображення залежності між фактором та
результативним показником
З рис. 3.1 видно, що залежність лінійна (тобто функція є
лінійною, про що свідчить лінія тренда).
Лінійна функція описується за допомогою формули 3.3.

(3.3)
Та складаємо систему рівнянь

(3.4)
Для розв’язання цієї системи побудуємо табл. 3.9.
Таблиця 3.9
Дані для розв’язання системи
|
|
|
|
 * 
|
|
|
2008
|
0,41
|
1918248
|
0,1681
|
786481,68
|
973632,9587
|
|
2009
|
0,44
|
249402
|
0,1936
|
109736,88
|
709250,8396
|
|
2010
|
0,3
|
1285279
|
0,09
|
385583,7
|
1943034,062
|
|
2011
|
0,28
|
2592853
|
0,0784
|
725998,84
|
2119288,808
|
|
2012
|
0,4
|
761185
|
0,16
|
304474
|
1061760,332
|
|
Разом
|
1,83
|
6806967
|
0,6901
|
2312275,1
|
6806967
|
Розв’язуємо систему рівнянь:
Знайдемо коефіцієнти рівняння за допомогою метода Крамера:
Звідси:= -8812737,303= 4586855,253
Далі розраховуємо Yі
Функція направлена на максимум, адже чим менше буде показник
матеріалоємності, тим більший буде чистий прибуток.
Отже, для підвищення величини чистого прибутку підприємства
необхідно перш за все впливати на зменшення матеріальних витрат.
Далі, для більш точного з'ясування впливу факторів на
результативний показник, розрахуємо ще один впливаючий фактор, як показник
фондовіддачі.
Принцип розрахунку той самий, що й розрахунок впливу
показника матеріалоємності на результативний показник. Тобто з початку
визначаємо функцію, яка описує зв'язок між впливаючим фактором та чистим
прибутком.
Будуємо графік:
Рис. 3.2. Графічне зображення залежності між фактором та
результативним показником
З рис. 3.2. видно, що залежність лінійна. Отже подальший
розрахунок ведеться за формулами 3.3 і 3.4.
До табл. 3.10 вносимо дані для розв’язання системи
Таблиця 3.10
Дані для розв’язання системи
|
|
|
|
 * 
|
|
|
2008
|
3,5
|
1918248
|
12,25
|
6713868
|
2190462,116
|
|
2009
|
1,15
|
249402
|
1,3225
|
286812,3
|
993710,5913
|
|
2010
|
1,59
|
1285279
|
2,5281
|
2043593,61
|
1217783,217
|
|
2011
|
1,69
|
2592853
|
2,8561
|
4381921,57
|
1268708,814
|
|
2012
|
1,43
|
761185
|
2,0449
|
1088494,55
|
1136302,262
|
|
Разом
|
9,36
|
6806967
|
21,0016
|
14514690,03
|
6806967
|
Складемо систему рівнянь за умови, що у нас лінійна
залежність:
Знайдемо коефіцієнти рівняння за допомогою метода Крамера:
Звідси:= 509255,9678= 408066,2283
Далі розраховуємо Yі
Функція направлена на максимум, адже чим більше буде показник
фондомісткості, тим більший буде чистий прибуток.
Складемо моделі парних залежностей результативного показника
Пр і Фв , Пр і М, на основі даних табл.3.1 та занесемо параметри
їхньої статистичної оцінки в табл. 3.11.
Таблиця 3.11
Емпіричні залежності результативного показника від значимих
факторів
|
Фактор
|
Функції залежностей
|
|
X1 - Показник матеріалоємності
|
|
|
X2 - Показник фондовіддачі
|
|
Звідси модель залежності результативного показника (чистого
прибутку, Пр) від значимих факторів набуде вигляду:
Можна зробити висновок, що в даній ситуації на величину
чистого прибутку найбільш сильний вплив здійснює два фактори - показники
матеріалоємності та фондовіддачі.
Таким чином, на основі розрахованих залежностей, можна
стверджувати, що збільшення показника фондовіддачі та зменшення показника
матеріалоємності прямим чином впливає на поліпшення експортного потенціалу
гірничо-збагачувального підприємства ПАТ «ЦГЗК».
3.3 Визначення прогнозної величини
чистого прибутку на основі розробленої моделі
На основі раніше розробленої у п.3.2. моделі залежності
величини чистого прибутку, Пр, та з використанням даних табл. 3.1 спрогнозуємо
як вплине зміна значимих виробничо-господарських факторів на величину чистого
прибутку.
Для прогнозування рівня конкурентоспроможності продукції на
2013 - 2017 рр. скористаємося методом від досягнутого, тобто на основі
абсолютного приросту за останній рік. Прогнозування за цим методом включає
наступні етапи:
. На підставі вихідних даних (табл. 3.1) визначається
абсолютний приріст за останній рік (різниця між значеннями за останній і
попередній роки):
,
(3. 12)
де
- значення за останній рік;
-
значення за попередній рік.
. Визначається прогнозоване значення показника через
років:
, (3.13)
де
- значення показника ряду за останній рік;
-
кількість років прогнозу.
Для початку встановимо планові зміни виробничо-господарських факторів,
що впливають на величину чистого прибутку. За інших рівних умов та з
урахуванням можливостей підприємства пропонується встановлювати щорічно
наступні інтервали змін значимих факторів на період 2013-2017 року :
- Зменшувати показник матеріалоємності - на 0,05 ;
Збільшувати показник фондовіддачі - на 0,05;
Застосувавши модель залежності величини чистого прибутку ПАТ
«ЦГЗК» протягом наступних 2013-2017 років з урахуванням виконання вищенаведених
умов можливе забезпечення підвищення величини чистого прибутку на 466099,7 тис.
грн.;
Результати розрахунків прогнозних значень величини чистого
прибутку наведено в табл. 3.12.
Визначимо прогнозоване значення величини чистого прибутку на
наступні 5 років. Прогнозоване значення чистого прибутку на 2013 - 2017 р. р.
складе:
Пр(2013)= 761185 +466099,7=1227285 тис. грн.;
Пр(2014)= 1227285 +466099,7= 1693384 тис. грн.;
Пр(2015)= 1693384 +466099,7= 2159484 тис. грн.;
Пр(2016)= 2159484 +466099,7= 2625584 тис. грн.;
Пр(2017)= 2625584 +466099,7= 3091683 тис. грн..
Результати розрахунку величини чистого прибутку можна
представити на рис. 3.3.
Рис. 3.3. Динаміка прогнозних значень величини чистого
прибутку, ПР, ПАТ «ЦГЗК»
Таким чином, чистий прибуток в 2017 році очікується у розмірі
3091683 тис. грн.
Економічна ефективність від застосування розробленої моделі
склала 2330498 тис.грн.
Таблиця 3.12.
Розрахунок прогнозних значень величини чистого прибутку ПАТ
«ЦГЗК»
|
Показники
|
Базовий рік
|
2013
|
2014
|
2015
|
2016
|
2017
|
|
Показник матеріалоємності, (x1)
|
0,40
|
0,35
|
0,3
|
0,25
|
0,2
|
0,15
|
|
Показник фондовіддачі, (x2)
|
1,43
|
1,48
|
1,53
|
1,58
|
1,63
|
1,68
|
|
Чистий прибуток, ПР, тис. грн (y)
|
761185
|
1227285
|
1693384
|
2159484
|
2625584
|
3091683
|
|
Приріст величини чистого прибутку, ∆ПР,
тис. грн
|
|
466099,7
|
466099,7
|
466099,7
|
466099,7
|
466099,7
|
ВИСНОВКИ ДО ІІІ РОЗДІЛУ
Важливими факторами, які впливають на зовнішньоекономічну
діяльність підприємства і, таким чином, на експортний потенціал й результати
фінансово-економічної діяльності, є обсяг реалізації експортної продукції та її
якість, а основним результатом фінансово-економічної діяльності підприємства є
чистий прибуток.
Отже, здійснивши факторний аналіз та дослідивши залежність
усіх факторів між собою, можна сказати, що найбільша тіснота зв’язку чистого
прибутку спостерігається з такими факторами, як показники матеріалоємності та
фондовіддачі.
Тому була розроблена економіко-математична модель впливу
значимих показників ефективної діяльності підприємства на величину чистого
прибутку. Модель показала, що збільшення вкладання коштів у основні засоби та
зменшення витрат на матеріали прямим чином впливає на поліпшення експортного
потенціалу гірничо-збагачувального підприємства ПАТ «ЦГЗК».
На основі моделі залежності величини чистого прибутку, було
спрогнозовано як вплине зміна значимих виробничо-господарських факторів на
величину чистого прибутку.
Застосувавши модель залежності величини чистого прибутку ПАТ
«ЦГЗК» протягом наступних 2013-2017 років з урахуванням виконання вищенаведених
умов можливе забезпечення підвищення величини чистого прибутку на 466099,7 тис.
грн.;
Таким чином, виручка від реалізації продукції в 2017 році
очікується у розмірі 3091683 тис. грн.
Економічна ефективність від застосування розробленої моделі
склала 2330498 тис.грн.
РОЗДІЛ 4. ОХОРОНА ПРАЦІ ТА БЕЗПЕКА В НАДЗВИЧАЙНИХ СИТУАЦІЯХ
4.1 Аналіз стану охорони праці на
ПАТ «Центральний гірничо - збагачувальний комбінат»
Охорона праці на комбінаті проводиться відповідно до вимог
«Положення про систему управління охороною праці у ПАТ «ЦГЗК», введеного на
комбінаті Наказом від 21.02.2006р. №272, і міжнародного стандарту в системі
охорони праці OHSAS 18001:1999.
Робота з охорони праці на комбінаті базується на плановій
основі і передбачає перспективне, поточне та оперативне планування.
Планування профілактичної роботи з охорони праці здійснюється:
в цілому по комбінату службою охорони праці;
за функціональними службама - директорами за напрямом,
головними спеціалістами;
по цехах - начальниками структурних підрозділі;
по ділянках - начальниками дільниць;
по службам - начальниками служб, головними спеціалістами
структурного підрозділу.
Для організації контролю стану охорони праці на комбінаті
призначена наказом комісія, до складу якої входять керівники і головні
спеціалісти комбінату, а також працівники служби охорони праці, які проводять
згідно з графіком комплексні та цільові перевірки. За результатами перевірок
оформляються акти перевірок та видаються накази. Аналогічні комісії призначено
і у структурних підрозділах. Для щоденного контролю стану охорони праці
працівниками служби охорони праці проводяться оперативні перевірки та
індивідуальні обстеження, за результатами яких начальникам структурних
підрозділів видаються приписи.
Відділом охорони праці та головними спеціалістами комбінату,
закріпленими за цехами, постійно надається практична допомога цехам в питаннях
охорони праці у відповідності з вимогами «Положення про систему управління
охороною праці».
Керівником служби охорони праці щомісяця проводиться наради з
працівниками служби охорони праці, на яких кожен з них звітує про виконану
роботу і задає виниклі під час роботи питання.
З метою подальшого зниження травматизму і поліпшення умов
праці працівників на комбінаті постійно проводиться і удосконалюється робота по
охороні праці:
Проведена реорганізація служби охорони праці на комбінаті, в результаті
якої виведені з підпорядкування начальників структурних підрозділів фахівці з
охорони праці та введені в відділ охорони праці, як провідні фахівці з охорони
праці.
Щорічно розробляються і виконуються Комплексні заходи щодо
досягнення встановлених нормативів безпеки, гігієни праці та виробничого
середовища, підвищення рівня охорони праці, попередження виробничого
травматизму, професійних захворювань і аварій на ПАТ «ЦГЗК»», а також
організаційно-технічні та санітарно-оздоровчі заходи, які затверджуються
Наказом №2.
Проведена інвентаризація джерел шкідливих факторів, за
результатами якої розроблено «Регламент проведення атестації робочих місць за
умовами праці після впровадження заходів щодо поліпшення умов праці на 2014
рік». У «Регламенті...» включені заходи щодо виключення шкідливих факторів на
конкретних робочих місцях.
Щорічно у квітні проводиться «Тиждень охорони праці».
Результати проведення «Тижня охорони праці» відображаються в газеті «Авангард».
Проводиться навчання керівників та спеціалістів управління та
структурних підрозділів з питань охорони праці та пожежної безпеки,
регламентованих вимогами нормативних документів.
Введені в дію нові розроблені нормативні документи:
«Положення про попередженні порушень норм і правил охорони
праці»
«Положення про врегулювання питань охорони праці, пожежної
безпеки та охорони навколишнього середовища при виконанні будівельно-монтажних,
ремонтних та інших робіт сторонніми організаціями в структурних підрозділах і
на об'єктах ПАТ «ЦГЗК»
«Положення про порядок забезпечення працівників ПАТ «ЦГЗК»
спецодягом, спецвзуттям та іншими засобами індивідуального захисту»
інші нормативні акти та інструкції з охорони праці.
Обладнані кабінети з охорони праці для проведення
інструктажів у відділі охорони праці в структурних підрозділах з застосуванням
відеотехніки. Для цього використовуються придбані і зняті за власними
сценаріями 10 відеофільмів.
На кожний вид роботи або професію на комбінаті затверджено у
встановленому порядку реєстри ризиків, з якими ознайомлені всі причетні
працівники. У місцях видачі нарядів вивішені відповідні реєстри ризиків.
В цілому, можна сказати, що підприємством в сфері охорони
праці здійснює все можливе для запобігання нещасних випадків, але незважаючи на
це були зареєстровані випадки виробничого травматизму та смертельні випадки
(табл.4.1), а також професійні захворювання (табл.4.2,4.3).
Таблиця 4.1
Відомості про виробничий травматизм на ПАТ «Центральний
гірничо - збагачувальний комбінат» за 2010-2013рр.
|
Структурний підрозділ
|
2010
|
2011
|
2012
|
2013
|
|
Середньоспискова чисельність робітників
|
5968
|
5255
|
4956
|
4813
|
|
Травмовано: - Всі - Групові випадки - Смертельні
випадки
|
14 0 2
|
3 0 2
|
4 0 1
|
4 0 2
|
|
Кількість днів непрацездатності
|
789
|
164
|
123
|
157
|
Зобразимо графічно дані про виробничий травматизм на рис.4.1
Рис.4.1 Графік випадків виробничого травматизму на ПАТ «ЦГЗК»
за 2010-2013рр.
Таблиця 4.2
Аналіз профзахворювань за видами період 2011 -2013 рр.
|
№ з/п
|
Показник
|
Період
|
|
|
2011
|
2012
|
2013
|
|
1.
|
Кількість працівників, у яких виявлено
профзахворювання, всього:
|
18
|
18
|
23
|
|
1.1.
|
в т.ч.: - пиловий бронхіт
|
0
|
0
|
0
|
|
1.2.
|
- віброзахворювання
|
6
|
3
|
3
|
|
1.3.
|
- артроз
|
0
|
0
|
0
|
|
1.4.
|
- променева катаракта
|
0
|
0
|
|
1.5.
|
- сидеросилікоз
|
0
|
0
|
1
|
|
1.6.
|
- приглухуватість
|
1
|
0
|
0
|
|
1,7.
|
- ХОЗЛ
|
7
|
6
|
13
|
|
1.8.
|
- радикулопатія
|
4
|
6
|
6
|
|
1.9
|
- інші
|
0
|
3
|
0
|
Зобразимо графічно дані на рис.4.2
Рис.4.2. Графічне зображення профзахворювань за видами на ПАТ
«ЦГЗК» за 2011-2013рр.
Таблиця 4.3
Аналіз профзахворювань по цехам
|
№ з/п
|
Показник
|
Період
|
|
|
2011
|
2012
|
2013
|
|
1
|
Шахта ім. Орджонікідзе
|
8
|
8
|
12
|
|
2
|
ФОК
|
1
|
|
|
|
3
|
Глеюватський кар'єр
|
2
|
6
|
6
|
|
4
|
Петрівський кар'єр
|
1
|
2
|
1
|
|
5
|
Дробильна фабрика
|
1
|
|
2
|
|
6
|
ГТЦ № 1
|
3
|
|
|
|
7
|
Шахта «Гігант _Глибока»
|
1
|
|
1
|
|
8
|
ГТЦ № 2
|
|
|
|
|
9
|
УЖДТ
|
1
|
2
|
1
|
|
Всього:
|
18
|
18
|
23
|
Зобразимо графічно дані на рис.4.3
Рис.4.3. Графічне зображення профзахворювань по цехам на ПАТ
«ЦГЗК» за 2011-2013рр.
Для оцінки та аналізу виробничого травматизму і професійних
захворювань з метою з'ясування та ліквідації їх причин найчастіше застосовується
статистичний метод.
Статистичний метод базується на вивченні травм за актами Н-1
за певний період часу. Цей метод, який набув найбільшого поширення, дозволяє
здійснити порівняльну динаміку травматизму по окремих підприємствах, цехах,
дільницях. Аналіз показників виробничого травматизму занесемо до табл.4.4.
Аналіз динаміки виробничого травматизму за період
2010-2013рр. на ПАТ «ЦГЗК», як загального так і травматизму зі смертельним
наслідком, показують, що починаючи з 2011р. травматизм зі смертельним наслідком
має деяку тенденцію до зменшення. За останній рік кількість смертельних
випадків становила 2, а кількість всіх травмованих склала 4 випадки при
списковій чисельності робітників 4813 осіб, що негативно впливає на розвиток
підприємства.
Таблиця 4.4
Аналіз показників виробничого травматизму на ПАТ «ЦГЗК» за
2010-2013 роки
|
Рік
|
Відхилення
|
|
Структурний підрозділ
|
2010
|
2011
|
2012
|
2013
|
2011-2010
|
2012-2011
|
2013-2012
|
|
Середньоспискова чисельність робітників
|
5968
|
5255
|
4956
|
4813
|
-713
|
-299
|
-143
|
|
Травмовано: - Всі - Групові випадки - Смертельні
випадки
|
14 0 2
|
3 0 0
|
4 0 1
|
4 0 2
|
-11 0 -2
|
-1 0 +1
|
0 0 +1
|
|
Кількість днів непрацездатності
|
789
|
164
|
123
|
157
|
-625
|
-41
|
+34
|
|
Кч
|
2,34
|
0,57
|
0,81
|
0,83
|
-1,77
|
-0,24
|
+0,02
|
|
Кт
|
56,3
|
54,6
|
30,8
|
39,2
|
-1,7
|
-23,8
|
+8,4
|
|
Кп.в
|
131,74
|
31,12
|
24,95
|
32,54
|
-100,62
|
-6,17
|
+7,59
|
Взаємозалежність показників коефіцієнта тяжкості та
коефіцієнта частоти зобразимо графічно на рис.4.4
Рис.4.4 Графічне зображення показників Кч та Кт на ПАТ «ЦГЗК»
за 2010-2013рр.
З рис.4.2 бачимо, що коефіцієнт частоти у 2011 році знизився,
а у 2012р. та 2013р зростає за рахунок збільшення нещасних випадків на
підприємстві. Коефіцієнт тяжкості постійно коливається: у 2011р. зменшився на
1,7, у 2012р. зменшився на 23,8, у 2013р. зріс на 8,4 Таке коливання зумовлене
збільшенням та зменшенням кількості днів непрацездатності.
На підставі проведеного аналізу встановлено, що найбільш
небезпечними щодо травмування є такі категорії працівників, як: ГРОВ (гірничий
робітник очисного вибою), прохідник, кріпильник, електрослюсар черговий та з
ремонту устаткування, майстер гірничий підземний, підземний гірник.
Аналіз травматизму за основними видами подій свідчить, що
частіше за все працівники ПАТ «ЦГЗК» травмуються внаслідок падіння
постраждалого при пересуванні; падіння, обвалення предметів, матеріалів,
породи, ґрунту; обвалення і обрушення породи, ґрунту; дія предметів та деталей,
які рухаються, розлітаються, обертаються.
Аналіз травматизму по причинам свідчить, що частіше за все
нещасні випадки з працівниками ПАТ «ЦГЗК» трапляються внаслідок організаційних
причин, а саме порушення трудової і виробничої дисципліни; невиконання посадових
обов'язків; невиконання вимог інструкцій з охорони праці. Також травмування
часто викликає незадовільний технічний стан виробничих об'єктів, будинків,
споруд, території.
Одержані висновки дозволили визначити основні напрямки для
розробки заходів щодо поліпшення умов праці та зниження травматизму на ПАТ
«ЦГЗК».
4.2 Оцінка ризиків на робочому місці
Роботодавець зобов'язаний створити на робочому місці в
кожному структурному підрозділі умови праці відповідно до нормативно-правових
актів, а також забезпечити додержання вимог законодавства щодо прав працівників
у галузі охорони праці. Тому в даному розділі доцільним буде оцінити ризики на
робочому місці на прикладі інвестиційного відділу ПАТ «ЦГЗК». Кількість
працівників: 9; кількість робочих місць, де визначається аналіз ризику : 2.
Робоче місце - директор.
Робоче місце директора знаходиться навпроти вхідних дверей.
Вікно знаходиться зліва по відношенню до робочого місця.
|
Фактор ризику
|
Характер ризику
|
Рівень ризику
|
Шляхи зниження ризику
|
|
Фізичні фактори
|
|
Освітленість - загальна; використовуються лампи
денного світла
|
Протягом року -недостатнє природне освітлення, що
може стати причиною зниження зору.
|
ІІ
|
Використання настільної лампи.
|
|
Мікроклімат- 24 С, вологість 58%, швидкість руху
повітря 0,2 м/сек.
|
Сухість повітря може провокувати виникнення
запальних захворювань носоглотки
|
ІІ
|
Провітрювання
|
|
Вентиляція - природна. Загально обмінна механічна
припливно-витяжна вентиляція відсутня
|
Виникнення головної болі, втома, поширення
респіраторних інфекцій
|
ІІ-ІІІ
|
Часте провітрювання приміщення, якщо неможливо
встановити механічну вентиляцію.
|
|
Електрообладнання: телефон, факс.
|
Небезпека ураження електричним струмом.
|
ІІ
|
Справне обладнання, дотримання правил техніки
безпеки.
|
|
Хімічні фактори
|
|
Пил Забрудненість хімічними речовинами Контакт з
хімічними речовинами
|
Немає Немає Немає
|
І
|
Не потребується
|
|
Ергономічні фактори
|
|
Висота столу. Стандартна.
|
Ризику немає
|
І
|
Не потребується
|
|
Стілець. Висота і спинка регулюється.
|
Захворювання хребта, суглобів при довгостроковій
роботі.
|
ІІ-ІІІ
|
Пауза в роботі, спеціальна гімнастика для м'язів
спини.
|
|
Положення ніг. Ноги зігнуті під кутом 90гр., вільно
поставлені на підлогу.
|
Захворювання суглобів, варикозне розширення вен.
|
ІІІ
|
Паузи в роботі, спеціальна гімнастика для суглобів
та м'язів ніг.
|
|
Психологічні фактори
|
|
Робочі відносини
|
Врівноважені
|
І
|
Не потребується
|
|
Напруженість роботи. Різна
|
Підвищення АТ, напруга зору, вимушена робоча поза,
головний біль, захворювання суглобів кисті, ліктів, м'язів плеча, шиї.
|
ІІ-ІІІ
|
Часте провітрювання кабінету, спеціальна гімнастика
для зняття напруги очей, м'язів шиї, спини, верхніх кінцівок.
|
Ступінь ризику - ІІ
Навантаження - помірне, перевантаження може наступити у людей
старше 40 років або молодше 21 року, які мають порушення здоров'я або тільки
починаючих працювати в даних умовах. Щоб уникнути цього, необхідно змінити
організацію їх праці.
Робоче місце - секретар. Робоче місце секретаря знаходиться
навпроти вхідних дверей. Вікно знаходиться за спиною.
|
Фактор ризику
|
Характер ризику
|
Рівень ризику
|
Шляхи зниження ризику
|
|
Фізичні фактори
|
|
Освітленість - загальна; використовуються лампи
денного світла
|
Протягом року - недостатнє природне освітлення, що
може стати причиною зниження зору.
|
ІІ
|
Використання настільної лампи.
|
|
Мікроклімат- 24 С, вологість 58%, швидкість руху
повітря 0,2 м/сек.
|
Сухість повітря може провокувати виникнення
запальних захворювань носоглотки
|
ІІ
|
Провітрювання
|
|
Вентиляція - природна. Загально обмінна механічна
припливно-витяжна вентиляція відсутня
|
Виникнення головної болі, втома, поширення респіраторних
інфекцій
|
ІІ-ІІІ
|
Часте провітрювання приміщення, якщо неможливо
встановити механічну вентиляцію.
|
|
Електрообладнання: Комп’ютер,ксерокс,
принтер,телефон, факс.
|
Небезпека ураження електричним струмом.
|
ІІ
|
Справне обладнання, дотримання правил техніки безпеки.
|
|
Хімічні фактори
|
|
Фенол, формальдегід, аміак. При роботі
копіювально-розмножувальної техніки протягом робочого дня можливе перевищення
норм.
|
Подразнююча дія на слизові оболонки, верхні дихальні
шляхи.
|
ІІ
|
Винести копіювально- розмножувальну техніку за межі
приміщення з постійними робітничими місцями.
|
|
Ергономічні фактори
|
|
Висота столу. Стандартна.
|
Ризику немає
|
І
|
Не потребується
|
|
Стілець. Висота і спинка регулюється.
|
Захворювання хребта, суглобів при довгостроковій
роботі.
|
ІІ-ІІІ
|
Пауза в роботі, спеціальна гімнастика для м'язів
спини.
|
|
Розташування клавіатури. На спеціальній висувний
підставці.
|
Захворювання кисті та ліктьового суглоба при
тривалій роботі.
|
ІІ
|
Пауза в роботі, спеціальна гімнастика для м'язів
плечового пояса.
|
|
Монітор. Регулюється.
|
Ризику немає
|
І
|
Не потребується
|
|
Розташування комп'ютера щодо вікна і працівника.
Монітор розташований прямо перед працівником.
|
Напруга очей, напруга м'язів шиї.
|
ІІІ
|
Паузи в роботі, спеціальна гімнастика для м'язів
очей і шиї.
|
|
Положення ніг. Ноги зігнуті під кутом 90гр., вільно
поставлені на підлогу.
|
Захворювання суглобів, варикозне розширення вен.
|
ІІІ
|
Паузи в роботі, спеціальна гімнастика для суглобів
та м'язів ніг.
|
|
Положення кисті та пальців руки. Кисть спирається на
стільницю і підставку для клавіатури.
|
Синдром карпального каналу.
|
ІІІ
|
Спеціальна гімнастика для кисті.
|
|
Положення плеча і передпліччя. Передпліччя
спирається на підставку клавіатури.
|
Захворювання плечового і ліктьового суглобів при
тривалій роботі.
|
ІІ
|
Паузи в роботі, гімнастика для м'язів плеча, передпліччя,
кисті.
|
|
Положення шиї і голови. При роботі голова
знаходиться прямо перед монітором, відстань до монітора 50-70 см, погляд
спрямований вперед.
|
Захворювання шиї,напруженість і втома очей, головні
болі при тривалій роботі
|
ІІІ
|
При постійній роботі на комп'ютері монітор повинен
знаходиться прямо перед працівником на відстані 50-70 см, кут зору 20-30гр.
Необхідні паузи в роботі, вправи для м'язів шиї.
|
|
Психологічні фактори
|
|
Робочі відносини
|
Врівноважені
|
І
|
Не потребується
|
|
Напруженість роботи. Різна
|
Підвищення АТ, напруга зору, вимушена робоча поза,
головний біль, захворювання суглобів кисті, ліктів, м'язів плеча, шиї.
|
ІІ-ІІІ
|
Часте провітрювання кабінету, спеціальна гімнастика
для зняття напруги очей, м'язів шиї, спини, верхніх кінцівок.
|
Ступінь ризику - ІІ
Навантаження - помірне, перевантаження може наступити у людей
старше 40 років або молодше 21 року, які мають порушення здоров'я або тільки
початківців працювати в даних умовах. Щоб уникнути цього, необхідно змінити
організацію їх праці.
Пропозиції щодо покращення виробничого середовища та
дотримання вимог з охорони праці
Для зниження ризику для здоров’я необхідно:
· Всім працівникам дотримуватися правил
техніки безпеки при роботі з електрообладнанням та гострими ріжучими
предметами.
· Використовувати засоби
індивідуального захисту там, де це необхідно.
· Часто провітрювати кабінети, робити
спеціальну гімнастику для зняття напруги очей, м'язів шиї, спини, верхніх
кінцівок.
4.3 Розрахунок площі
адміністративних та побутових приміщень ПАТ «ЦГЗК»
Відповідно до Закону України «Про охорону праці» Кодексом
законів про працю України створення безпечних і здорових умов праці на
виробництві покладено на роботодавця, який не має права вимагати від працівника
виконання роботи в умовах, що не відповідають вимогам нормативно-правових актів
з охорони праці. Тому в даному розділі доцільним буде розрахувати площі
адміністративних та побутових приміщень ПАТ «ЦГЗК» на шахті ім. Орджонікідзе,
які б відповідали вимогам законодавства.
На шахті ім. Орджонікідзе в 2013 році працювало 534 (N)особи
(480 чоловік та 54 жінок), з них 423 (Nр) особи робітничих професій,
86 (Nі) інженерно-технічних працівників, 25 (Nc)службовців.
Кількість робочих місць, які обладнані комп’ютерами, як відомо, становить 102
місць. Спочатку визначимо коефіцієнтне співвідношення чоловіків та жінок:
Кч = 480/534 = 0,9
Кж = 54/534 = 0,1
Отже, співвідношення чоловіків та жінок становить 0,9:0,1
відповідно.
Далі визначимо кількість чоловіків та жінок серед працівників
робітничих професій (які працюють у три зміни), інженерно-технічних працівників
та службовців
р ч(ж) = Кч(ж) × Nр,і,с, осіб (4.4)
р ч = 0,9×423/3 =
127 осіб,р
ж = 0,1×423/3 = 14 осіб,і ч
= 0,9×86 = 77 осіб,і ж = 0,1×86 = 9 осіб,с ч
= 0,9×25 = 22 осіб,с ж = 0,1×25 = 3 осіб.
Очікувана кількість чоловіків та жінок у найчисельнішій зміні
становитиме:
чис.зм. ч(ж) = 0,8×( Nр + Nі + Nс),
осіб (4.5)
чис.зм. ч =
0,8×(127+77+22) =181 осіб,чис.зм. ж
= 0,8×(14+9+3) = 20 осіб.
Використовуючи нормативні дані, які встановлено
законодавством визначимо необхідні площі санітарно-побутових приміщень:
А) Гардеробні (для робітничих професій)
Площі гардеробних повинні становити:
г ч(ж) = 0,9 × Nр ч(ж), м2 (4.6)
г ч = 0,9×127 = 114м2,г ж
= 0,9×14 = 13 м2,г заг. = 114+13 = 127м2.
Б) Душові (для робітничих професій)
Необхідна кількість душових, з розрахунку 7 осіб на 1 душову
сітку становитиме:д ч = 127/7 = 19 душ. сітки,д ч = 14/7
= 2 душ. сітки
Таким чином у чоловічій душовій потрібно встановити 19
душових сіток, а у жіночій - 2 душові сітки, а площа душових повинна становити:
д ч(ж) = 2,0 × nд ч(ж), м2 (4.7)
д ч = 2,0×19 = 38м2,д ж
= 2,0 ×2 = 4м2,д заг = 38+4 =42м2.
В) Умивальні (для найчисельнішої зміни)
Необхідна кількість кранів в умивальнях, з розрахунку 1кран
на 20 осіб, буде становити:ум. ч = 181/20 = 9 кранів,ум. ж
= 20/20 = 1 кран.
Отже у чоловічій умивальні потрібно встановити 9 кранів, а у
жіночій - 1 кран, а площа умивалень становитиме:
ум. ч(ж) = 1,0 × nум. ч(ж), м2 (4.8)
ум. ч = 1,0×9 = 9м2,ум. ж
= 1,0 ×1 = 1м2,ум. заг = 9+1 = 10м2.
Г) Туалети (для найчисельнішої зміни)
Розрахуємо необхідну кількість унітазів та пісуарів у
чоловічому та жіночому туалетах, з розрахунку 1 унітаз на 15 чоловік:ун. ч
= 181/15 = 13 унітазів,ун. ж = 20/15 = 2 унітази.
У чоловічому туалеті потрібно встановити 13 унітазів та 13 пісуарів,
а у жіночому 2 унітази, площі яких при цьому становитимуть:
т ч(ж) = 2,5 × nун. ч(ж), м2 (4.9)
т ч =
2,5×13+1×13 = 46м2,т ж
= 2,5×2 = 5м2,т
заг = 46+5 = 51м2.
Д) Приміщення для куріння (для найчисельнішої зміни)
Площа окремих кімнат для куріння визначається із розрахунку
на одного працівника: 0,03м2 для чоловіків, 0,01м2:
кур ч(ж) = 0,03(0,01) × Nчис. зм ч(ж), м2 (4.10)
кур ч = 0,03×181 = 6 м2,кур ж
= 0,01×20 = 1м2,кур заг = 6+1 = 7м2.
Е) Приміщення для охолодження (для найчисельнішої зміни)
Площу приміщень для охолодження працівників визначаємо з
розрахунку 0,1м2 на 1 працівника найчисельнішої зміни:
ох ч(ж) = 0,1 × Nчис. зм ч(ж), м2 (4.11)
ох ч = 0,1×181 = 19м2,ох ж
= 0,1×20 = 2м2,ох заг = 19+2 = 21м2.
Таким чином сумарна площа всіх санітарно-побутових приміщень,
що проектується буде становити:ч = 114+38+9+46+6+19 = 232м2,ж
= 13+4+1+5+1+2 = 26м2,заг = 127+42+10+51+7+21 = 258м2.
Далі визначаємо необхідну площу приміщень охорони здоров’я :
А) Оскільки спискова кількість працівників становить 534
осіб, то як приміщення охорони здоров’я приймається фельдшерський пункт
загальною площею 50м2.
Б) Приміщення особистої гігієни жінок
Потрібно розмістити при туалеті одну установку в якій буде
місце для роздягання, умивальник та процедурна кабіна площею:ос. г. ж
= 3×1 =3м2.
В) Приміщення для відпочинку в робочий час,з розрахунку 0,2м2
на одного працівника (для найчисельнішої зміни):відп.
= 0,2×201 = 41м2.
Таким чином, загальна площа усіх приміщень охорони здоров’я
повинна становити:заг = 50+3+41 = 94м2.
Далі визначаємо площу приміщення громадського харчування.
Оскільки очікувана кількість працівників найчисельнішої зміни
становить 201 осіб, то для їх харчування передбачено їдальню, з розрахунку 1м2
на одного відвідувача. Кількість місць для відвідувачів (1 місце - 4
працівника) буде дорівнювати:відв = 201/4 = 51 місце,
кількість чотиримісних столиків буде становити: 51/4 = 13
столиків.
Тоді, площа їдальні буде становити:харч
= 1×51 = 51м2.
На шахті ім. Орджонікідзе потрібно передбачити приміщення
культурного обслуговування для зборів та культурних заходів, з розрахунку на
30% працівників (61 особа) зміни за нормою 0,9м2 на одне місце,
площа якого становитиме:культ = 0,9×61
= 55м2.
Далі визначимо площу адміністративних приміщень:
А) Приміщень управлінь, з розрахунку 4м2 на одного
працівника.
Особовий склад працівників сфери управління нараховує:
упр = Nі + Nс, осіб (4.12)
упр = 86+25 = 111 особи, з них 102 місця комп’ютеризованіупр
= 4×102 = 408м2.
Б) Приміщення профкому зі списковою чисельністю 534 осіб -
становитиме 22м2.
В) Кабінет охорони праці зі списковою чисельністю 534 осіб -
становитиме 18м2.
Площа адміністративних приміщень становитиме:адмін
= 408+22+18 = 448м2.
Загальна площа адміністративних та побутових приміщень
становитиме:заг = 258+94+51+55+448 = 906м2.
Отримані дані заносимо до табл.4.3
На підставі проведених розрахунків встановлено, що загальну
площу адміністративних та побутових приміщень на шахті ім. Орджонікідзе слід
передбачити щонайменше 906м2 при списковій чисельності працівників
шахти 534 особи. На одного працівника на шахті ім. Орджонікідзе припадає 906м2/534осіб=1,6м2
площі адміністративних та побутових приміщень.
Таблиця 4.5
Розрахунок площ адміністративних та побутових приміщень на
шахті ім.Орджонікідзе
|
Санітарно-побутові приміщення
|
Гардеробні
|
Душові
|
Умивальні
|
Туалети
|
Приміщення для куріння
|
Приміщення для охолодження
|
Загалом
|
|
Площа, м2
|
127
|
42
|
10
|
51
|
7
|
21
|
258
|
|
Приміщення охорони здоров’я
|
|
Назва
|
Фельдшерський пункт
|
Приміщення особистої гігієни жінок
|
Приміщення для відпочинку в робочий час
|
|
|
|
Загалом
|
|
Площа, м2
|
50
|
3
|
41
|
|
|
|
94
|
|
Приміщення громадського харчування
|
|
Назва
|
Їдальня
|
|
|
|
|
|
Загалом
|
|
Площа, м2
|
51
|
|
|
|
|
|
51
|
|
Адміністративні приміщення та приміщення культурного
обслуговування
|
|
Назва
|
Приміщення управлінь
|
Профком
|
Кабінет охорони праці
|
Приміщення культурного обслуговування
|
|
|
Загалом
|
|
Площа, м2
|
408
|
22
|
18
|
55
|
|
|
503
|
|
Загальна площа адміністративних та побутових
приміщень, м2
|
906
|
.4 Безпека в надзвичайних ситуаціях
на ПАТ «ЦГЗК»
Техногенні катастрофи, аварії, природні катаклізми,
економічні кризи стали постійними супутниками життя суспільства. Небезпеки і
загрози сьогодні носять більш комплексний взаємопов’язаний характер.
Антропогенна діяльність на підприємствах веде до збільшення ризику техногенних
і природних катастроф. Внаслідок чого відбувається посилення ролі захисту
населення від надзвичайних ситуацій антропогенного й природного характеру.
У безпечному стійкому функціонуванні промислових підприємств
зацікавлено і суспільство, і держава, і, в першу чергу, самі підприємства. ПАТ
«ЦГЗК» не є виключенням, тому служба охорони праці кожного року розробляє план
ліквідації аварій в надзвичайних ситуаціях (рис.4.1). Як приклад надзвичайної
ситуації розглянемо пожежу на 1-му поверсі управління комбінату. При виникненні
такої надзвичайної ситуації люди, які знаходяться в управлінні повинні:
1)викликати пожежну охорону за номером 50-01; 2)приступити до евакуації людей
та матеріальних цінностей; 3) приступити до гасіння пожежі первинними засобами
пожежогасіння; 4) організувати зустріч пожежних підрозділів.
Для підвищення безпеки людини під час пожежі й ефективного
захисту від підвищеної температури і теплового випромінювання розраховують
безпечну відстань від людини до полум’я за формулою:
R = 1,6 × l, м (4.13)
де l - середня висота полум’я, м.
R = 1,6×3 ≈
5м
Таким чином безпечна відстань від людини до полум’я, при
середній висоті полум’я 3м, становитиме 5м.
На 1 - му поверсі управління комбінату , відповідно до
будівельних норм і правил є система протипожежного водопостачання, елементи
якої розраховують за відповідними формулами.
Рис.4.1 План евакуації людей при виникненні пожежі на 1-му
поверсі управління комбінату
У розрахунках приймається тривалість гасіння 3 години.
Розрахунковий запас води при 3-годинному пожежогасінні визначається за формулою
4.14:
Q = 3×3600(n1+n2)/1000
≈ 11×(n1+n2), м3 (4.14)
де: 3600 і 1000 - переводні коефіцієнти відповідно годин - в
секунди та літрів - в м3; n1 - потреба води на внутрішнє
(5л/с) і n2 - зовнішнє пожежегасіння (при категорії будівлі Г, та
при об’ємі будівлі 50-100тис.м3≈30л/с).
Отже, розрахунковий запас води для гасіння пожежі на 1-му
поверсі управління комбінату становитиме:
Q = 11×(5+30) =
385м3.
Визначення витрат загальної кількості
води на зовнішнє та внутрішнє гасіння пожежі, що виникла у виробничій будівлі,
виконується за формулами 4.15 - 4.16:
Зовнішнє гасіння пожежі:
зов
= 3600×q1×T1, л
(4.15)
де q1 - витрата води на
одну пожежу (при категорії будівлі Г, та при об’ємі будівлі 50-100тис.м3≈30л/с);
Т1 - тривалість гасіння пожежі (3 год.),
Внутрішнє гасіння пожежі:
вн
= 3600×n× q2× T2, л (4.16)
де n - кількість струменів (1); q2
- мінімальна витрата води на один струмінь (2,5л/с); Т2 -
розрахунковий час роботи пожежних кранів (3 години).
Загальна розрахункова кількість
витрати води на зовнішнє та внутрішнє гасіння пожежі:заг = Qзов+
Qвн , л (4.17)
Внутрішнє протипожежне водопостачання здійснюється пожежними
кранами, які встановлюються біля основи пожежних стояків на висоті 1,35м від
підлоги всередині приміщень біля виходів, у коридорах, на сходових клітках
Кожний пожежний кран споряджається прогумованим рукавом та пожежним стволом .
Довжина рукава - 10 або 20м . Продуктивність кожного крана повинна бути не
меншою, ніж 2,5л/с .
Таким чином витрати загальної кількості води на зовнішнє та
внутрішнє гасіння пожежі, що може виникнути на 1-му поверсі управління
комбінату становитимуть:зов =
3600×30×3 = 324000л,вн =
3600×1×2,5×3 = 27000л,заг = 324000+27000 = 351000л.
За отриманими даними можна зробити наступні висновки, що при
виникненні пожежі на 1 - му поверсі управління комбінату треба спочатку
приступити до евакуації людей з небезпечних зон та сумісно з пожежною командою
приступити до гасіння пожежі. Для чого треба використати 324000л на зовнішнє та
27000л на внутрішнє пожежогасіння, тобто 351000л щоб повністю загасити пожежу,
а розрахунковий запас води при 3-годинному гасінні становить 385м3,
що на 34м3 менше, ніж потрібно. Тому для гасіння пожежі також
потрібно задіяти підручні засоби: вогнегасники, пісок, кошма.
ВИСНОВКИ ДО ІV РОЗДІЛУ
В результаті аналізу стану охорони праці з’ясувалося, що на
підприємстві зареєстровані випадки виробничого травматизму та смертельні
випадки, а також професійні захворювання. За останні роки простежується
тенденція до зменшення травматизму зі смертельним наслідком.
Аналіз травматизму показує, що частіше за все нещасні випадки
з працівниками ПАТ «ЦГЗК» трапляються внаслідок організаційних причин, а саме
порушення трудової і виробничої дисципліни; невиконання посадових обов'язків;
невиконання вимог інструкцій з охорони праці.
Підприємство щорічно впроваджує заходи щодо зниження
кількості нещасних випадків, рівень травматизму ПАТ «ЦГЗК» на сьогоднішній
момент являється низьким.
Зроблена оцінка ризиків на робочому місці на прикладі інвестиційного
відділу ПАТ «ЦГЗК». Аналіз робочих місць директора та секретаря показує, що
вони мають ІІ рівень ризику. Тому були запропоновані пропозиції, щодо
покращення виробничого середовища. Головне з них це дотримання правил техніки
безпеки, часте провітрювання кабінетів, а також спеціальна гімнастика для
зняття напруги очей, м'язів шиї, спини, верхніх кінцівок. В цілому,
роботодавець створює на робочих місцях гідні умови праці, які відповідають
вимогам законодавства щодо прав працівників у галузі охорони праці.
На підставі проведених розрахунків площі адміністративних та
побутових приміщень ПАТ «ЦГЗК» на шахті ім. Орджонікідзе встановлено, що
загальна площа повинна бути щонайменше 906м2 при списковій
чисельності працівників шахти 534 особи. На одного працівника на шахті ім.
Орджонікідзе припадає 906м2/534осіб=1,6м2 площі
адміністративних та побутових приміщень.
На основі розрахунків надзвичайної ситуації на прикладі
пожежі на 1-му поверсі управління комбінату, слід зробити висновок, що
підприємство має чіткий, затверджений план евакуації людей при виникненні
пожежі, а також конкретні дії, щодо врегулювання надзвичайної ситуації та
попередження нещасних випадків. Тому, можна сказати, що ПАТ «ЦГЗК» робить все
можливе для забезпечення ефективного функціонування системи управління охороною
праці.
ВИСНОВКИ
Зовнішньоекономічним торгівельним зв’язкам належить велика
роль в інтегруванні нашої економіки в світове господарство. Потрібно зауважити,
що при здійсненні зовнішньоекономічної діяльності виникає багато проблем
зв’язаних з системою управління. А тому головною задачею держави являється
забезпечення підприємствам нормальних умов для здійснення зовнішньоекономічної
діяльності.
Зовнішньоекономічна діяльність - це сукупність напрямів, форм
і методів торговельно-економічного, науково-технічного співробітництва, а також
кредитних і валютно-фінансових відносин даної країни із зарубіжними державами з
метою ефективного використання переваг міжнародного поділу праці.
Експортна операція представляє собою діяльність, спрямовану
на продаж і вивіз за кордон товарів для передачі їх у власність іноземному
контрагенту. Для продавця не має значення, що буде робити з цим товаром
покупець - пустить в переробку, реалізує на внутрішньому ринку чи перепродасть
у третій країні. Для продавця і його країни в будь-якому випадку це буде
експортна операція
Здійснення експортних операцій на Україні регулюється:
Законами України; Указами Президента України; Декретами Кабінету Міністрів
України; Положеннями Міністерства економіки України, Міністерства
Зовнішньоекономічних Зв'язків, інших міністерств і відомств, що регулюють
окремі питання тарифного і нетарифного характеру; угодами, укладеними Україною
з іншими державами та іншими законодавчими актами України.
Основою регулювання діяльності підприємств України на
зовнішніх ринках є Закон України «Про зовнішньоекономічну діяльність».
Об’єктом дослідження дипломної роботи є Центральний
гірничо-збагачувальний комбінат - це одне з найпотужніших підприємств в Україні
по виробництву концентрату, обкотишів та іншої залізорудної сировини.
На підставі проведеного фінансового аналізу можна зробити
висновки, що діяльність підприємства за проаналізований період булла
ефективною, про це свідчать показники рентабельності підприємства. На протязі
2010-2012 рр. підприємство отримало прибуток, але потрібно зауважити, що у 2012
р. прибуток значно зменшився. Значення показників фінансової стійкості свідчить
про нормальний рівень фінансової незалежності. Підприємство має невисокий
ступінь ліквідності.
Виробнича потужність підприємства в 2012 році склала 6236,83
тис.тон. продукції. Підприємство збуває своє продукцію як на внутрішньому ринку
України, так і на зовнішньому. Всього в 2012 році експортовано продукції на
2617663 тис.грн, а на внутрішньому ринку реалізовано продукції на 2262274
тис.грн.
Основними країнами імпортерами продукції ПАТ «ЦГЗК» є Чехія,
Словаччина, Румунія, Польща, Угорщина, Німеччина та Китай.
Аналіз ефективності збуту на зовнішньому ринку показав, що у
2012 році виручка від реалізації товарної продукції становила 4879937,21
тис.грн., що на 1544634,56 тис.грн. менше від реалізації 2011 року.
Найбільшою групою ризиків у зовнішньоекономічній діяльності є
маркетингові ризики, пов'язані з реалізацією товару на ринках збуту. До таких
ризиків відносять інформаційні, інноваційні та кон'юнктурні ризики. Для
проведення успішної збутової діяльності на зовнішніх ринках потрібно проводити
їх ретельний ситуаційний аналіз, який ґрунтується на розробці таких експертних
чи маркетингових систем, які дають змогу враховувати невизначеність інформації
про ринок.
Проводячи дослідження вибору факторів , що впливають на
ефективність зовнішньоекономічної діяльності підприємства, було виявлено, що на
експортний потенціал й результати фінансово-економічної діяльності значно
впливають показники фондовіддачі та матеріалоємності.
Розробляючи модель залежності величини чистого прибутку від
значимих факторів та спрогнозувавши її величину на 2013 - 2017 рр. можна
стверджувати, що між факторами та результативним показником існує тісний взаємозв’язок.
Також було з’ясовано, що основними факторами, що впливають на
підвищення величини чистого прибутку ПАТ «ЦГЗК» є показники фондовіддачі та
матеріалоємності. Ефективне управління вищеназваними показниками дає всі
можливості ПАТ «ЦГЗК» впливати на рівень його експортного потенціалу, що, в
свою чергу, є основою подальшого розвитку і ефективної діяльності промислового
підприємства.
Застосувавши модель залежності величини чистого прибутку ПАТ
«ЦГЗК» протягом наступних 2013-2017 років з урахуванням виконання зміни
значимих виробничо-господарських факторів можливе забезпечення підвищення
величини чистого прибутку на 466099,7 тис. грн.;
Таким чином, чистий прибуток в 2017 році очікується у розмірі
3091683 тис. грн.
В результаті аналізу стану охорони праці з’ясувалося, що на
підприємстві зареєстровані випадки виробничого травматизму та смертельні
випадки, а також професійні захворювання. За останні роки простежується
тенденція до зменшення травматизму зі смертельним наслідком.
Аналіз травматизму показує, що частіше за все нещасні випадки
з працівниками ПАТ «ЦГЗК» трапляються внаслідок організаційних причин, а саме
порушення трудової і виробничої дисципліни; невиконання посадових обов'язків;
невиконання вимог інструкцій з охорони праці.
Підприємство щорічно впроваджує заходи щодо зниження
кількості нещасних випадків, рівень травматизму ПАТ «ЦГЗК» на сьогоднішній
момент являється низьким.
Тому, можна сказати, що ПАТ «ЦГЗК» робить все можливе для
забезпечення ефективного функціонування системи управління охороною праці.
ДОДАТОК
А
|
БАЛАНС ПІДПРИЄМСТВА станом на 2010 рік Коди Дата
31.12.2010 Підприємство Відкрите акціонерне товариство "Центральний
гірничо-збагачувальний комбінат" за ЄДРПОУ 00190977 Територія Україна
Дніпропетровська Жовтневий 50066 м.Кривий Ріг немає за КОАТУУ 1211036600
Організаційно-правова форма господарювання ВІДКРИТЕ АКЦІОНЕРНЕ ТОВАРИСТВО за
КОПФГ 231 Орган державного управління АКЦІОНЕРНІ ТОВАРИСТВА ВІДКРИТОГО
ТИПУ,СТВОРЕНІ НА за СПОДУ 6024 Вид економічної діяльності за КВЕД 13.10.0
Одиниця виміру: тис. грн. Контрольна сума Адреса: Україна Дніпропетровська
Жовтневий 50066 м.Кривий Ріг Актив Код рядка На початок звітного періоду На
кінець звітного періоду 1 2 3 4 І. Необоротні активи Нематеріальні
активи: - залишкова вартість 010 11471 10920 - первісна вартість 011 17301
21417 - накопичена амортизація 012 ( 5830 ) ( 10497 ) Незавершене
будівництво 020 292130 396581 Основні засоби: - залишкова вартість 030
2970929 2923089 - первісна вартість 031 2995321 3365709 - знос 032 ( 24392
) ( 442620 ) Довгострокові біологічні активи: - справедлива (залишкова)
вартість 035 0 0 - первісна вартість 036 0 0 - накопичена амортизація 037 (
0 ) ( 0 ) Довгострокові фінансові інвестиції: - які обліковуються за
методом участі в капіталі інших підприємств 040 0 0 - інші фінансові
інвестиції 045 10417 14188 Довгострокова дебіторська заборгованість 050 1032
1066 Справедлива (залишкова) вартість інвестиційної нерухомості 055 0 0
Первісна вартість інвестиційної нерухомості 056 0 0 Знос інвестиційної
нерухомості 057 ( 0 ) ( 0 ) Відстрочені податкові активи 060 0 0 Гудвіл 065
0 0 Інші необоротні активи 070 0 0 Гудвіл при консолідації 075 0 0 Усього
за розділом І 080 ІІ. Оборотні активи Виробничі запаси 100 135606 168048
Поточні біологічні активи 110 0 0 Незавершене виробництво 120 4551 7854
Готова продукція 130 19615 1384 Товари 140 1663 2362 Векселі одержані 150
2579 2579 Дебіторська заборгованість за товари, роботи, послуги: - чиста
реалізаційна вартість 160 1131066 2903221 - первісна вартість 161 1131965
2904301 - резерв сумнівних боргів 162 ( 899 ) ( 1080 ) Дебіторська
заборгованість за рахунками: - за бюджетом 170 3876 2288 - за виданими
авансами 180 79505 76032 - з нарахованих доходів 190 7 48 - із внутрішніх розрахунків
200 0 0 Інша поточна дебіторська заборгованість 210 1307351 650676 Поточні
фінансові інвестиції 220 0 0 Грошові кошти та їх еквіваленти: - в
національній валюті 230 878 39502 - у т.ч. в касі 231 3 14 - в іноземній
валюті 240 1231 548 Інші оборотні активи 250 0 0 Усього за розділом ІІ
260 ІІІ. Витрати майбутніх періодів 270 2429 550 ІV. Необоротні активи та
групи вибуття 275 28 33 Баланс 280 Пасив Код рядка На початок звітного
періоду На кінець звітного періоду 1 2 3 4 І. Власний капітал Статутний
капітал 300 292953 292953 Пайовий капітал 310 0 0 Додатковий вкладений
капітал 320 0 0 Інший додатковий капітал 330 1750616 1987840 Резервний
капітал 340 73238 73238 Нерозподілений прибуток (непокритий збиток) 350
2443000 1808940 Неоплачений капітал 360 ( 0 ) ( 0 ) Вилучений капітал 370 (
0 ) ( 0 ) Накопичена курсова різниця 375 0 0 Усього за розділом І 380
4559807 4162971 Частка меншості 385 0 0 ІІ. Забезпечення наступних виплат
та платежів Забезпечення виплат персоналу 400 15235 19938 Інші забезпечення
410 180074 190526 Сума страхових резервів 415 0 0 Сума часток
перестраховиків у страхових резервах 416 0 0 Цільове фінансування 420 0 0
Усього за розділом ІІ 430 195309 210464 ІІІ. Довгострокові зобов’язання
Довгострокові кредити банків 440 0 0 Інші довгострокові фінансові
зобов’язання 450 14338 10782 Відстрочені податкові зобов’язання 460 555523
65003 Інші довгострокові зобов’язання 470 116628 234407 Усього за розділом
ІІІ 480 686489 310192 ІV. Поточні зобов’язання Короткострокові кредити
банків 500 48394 0 Поточна заборгованість за довгостроковими зобов’язаннями
510 913 913 Векселі видані 520 3697 2267 Кредиторська заборгованість за
товари, роботи, послуги 530 177785 893093 Поточні зобов’язання за
розрахунками: - з одержаних авансів 540 509 247 - з бюджетом 550 12084
31708 - з позабюджетних платежів 560 0 0 - зі страхування 570 8153 5507 -
з оплати праці 580 13246 12846 - з учасниками 590 198879 1534358 - із
внутрішніх розрахунків 600 0 0 Зобов'язання, пов'язані з необоротними
активами та групами вибуття, утримуваними для продажу 605 0 0 Інші поточні
зобов'язання 610 71099 36403 Усього за розділом ІV 620 534759 2517342 V.
Доходи майбутніх періодів 630 0 0 Баланс 640
|
ДОДАТОК
Б
|
Звіт про фінансові результати за 2010 рік І.
ФІНАНСОВІ РЕЗУЛЬТАТИ Стаття Код рядка За звітний період За попередній
період 1 2 3 4 Доход (виручка) від реалізації продукції (товарів, робіт,
послуг) 010 5040748 2594813 Податок на додану вартість 015 607167 315522 Акцизний
збір 020 ( 0 ) ( 0 ) 025 ( 0 ) ( 0 ) Інші вирахування з доходу 030 ( 0 ) (
0 ) Чистий доход (виручка) від реалізації продукції (товарів, робіт, послуг)
035 4433581 2279291 Собівартість реалізації продукції (товарів, робіт,
послуг) 040 ( 2101547 ) ( 1465752 ) Валовий прибуток: - прибуток 050
2332034 813539 - збиток 055 ( 0 ) ( 0 ) Інші операційні доходи 060 2622085
2175479 У т.ч. дохід від первісного визнання біологічних активів і
сільськогосподарської продукції, одержаних у наслідок сільськогосподарської
діяльності 061 0 0 Адміністративні витрати 070 ( 61569 ) ( 44987 ) Витрати
на збут 080 ( 262001 ) ( 245653 ) Інші операційні витрати 090 ( 2672684 ) (
2102301 ) У т.ч. витрати від первісного визнання біологічних активів і
сільськогосподарської продукції, одержаних у наслідок сільськогосподарської
діяльності 091 ( 0 ) ( 0 ) Фінансові результати від операційної діяльності:
- прибуток 100 1957865 596077 - збиток 105 ( 0 ) ( 0 ) Доход від участі в
капіталі 110 0 0 Інші фінансові доходи 120 19099 15244 Інші доходи 130
85485 28064 Фінансові витрати 140 ( 33321 ) ( 34651 ) Втрати від участі в
капіталі 150 ( 0 ) ( 0 ) Інші витрати 160 ( 172916 ) ( 104277 ) Прибуток
(збиток) від впливу інфляції на монетарні статті 165 0 0 Фінансові результати
від звичайної діяльності до оподаткування: - прибуток 170 1856212 500457 -
збиток 175 ( 0 ) ( 0 ) У т.ч. прибуток від припиненої діяльності та/або
прибуток від переоцінки необоротних активів та групи вибуття у наслідок
припинення діяльності 176 0 0 У т.ч. збиток від припиненої діяльності та/або
збиток від переоцінки необоротних активів та групи вибуття у наслідок
припинення діяльності 177 ( 0 ) ( 0 ) Податок на прибуток від звичайної
діяльності 180 ( 565959 ) ( 250947 ) Дохід з податку на прибуток від
звичайної діяльності 185 0 0 Фінансові результати від звичайної діяльності:
- прибуток 190 1290253 249510 - збиток 195 ( 0 ) ( 0 ) Надзвичайні: -
доходи 200 11 0 - витрати 205 ( 4985 ) ( 108 ) Податки з надзвичайного
прибутку 210 ( 0 ) ( 0 ) Частка меншості 215 0 0 Чистий: - прибуток 220
1285279 249402 - збиток 225 ( 0 ) ( 0 ) Забезпечення матеріального
заохочення 226 0 0 ІІ. ЕЛЕМЕНТИ ОПЕРАЦІЙНИХ ВИТРАТ Найменування показника
Код рядка За звітний період За попередній період 1 2 3 4 Матеріальні
затрати 230 1349491 992163 Витрати на оплату праці 240 273434 223886
Відрахування на соціальні заходи 250 103209 87102 Амортизація 260 423719
216652 Інші операційни витрати 270 452468 399483 Разом 280 2602321
1919286 ІІІ. РОЗРАХУНОК ПОКАЗНИКІВ ПРИБУТКОВОСТІ АКЦІЙ Назва статті Код
рядка За звітний період За попередній період 1 2 3 4 Середньорічна
кількість простих акцій 300 1171811000 1171811000 Скоригована середньорічна
кількість простих акцій 310 1171811000 1171811000 Чистий прибуток, (збиток)
на одну просту акцію 320 1.09683 0.21283 Скоригований чистий прибуток,
(збиток) на одну просту акцію 330 1.09683 0.21283 Дивіденди на одну просту
акцію 340 0 1.81186
|
ДОДАТОК
В
|
БАЛАНС ПІДПРИЄМСТВА станом на 2011 рік Коди
Дата 03.12.2011 Підприємство ПУБЛІЧНЕ АКЦІОНЕРНЕ ТОВАРИСТВО
"ЦЕНТРАЛЬНИЙ ГІРНИЧО-ЗБАГАЧУВАЛЬНИЙ КОМБІНАТ" за ЄДРПОУ 00190977
Територія Україна Дніпропетровська Жовтневий 50066 м.Кривий Ріг немає за
КОАТУУ 1211036600 Організаційно-правова форма господарювання АКЦІОНЕРНЕ
ТОВАРИСТВО за КОПФГ 230 Орган державного управління АКЦІОНЕРНІ ТОВАРИСТВА
ВІДКРИТОГО ТИПУ,СТВОРЕНІ НА за СПОДУ 6024 Вид економічної діяльності за
КВЕД 13.10.0 Одиниця виміру: тис. грн. Контрольна сума Адреса: м.Кривий
Ріг, Жовтневий район, Дніпропетровська область, 50066 Середня кількість
працівників: 5915 Актив Код рядка На початок звітного періоду На кінець
звітного періоду 1 2 3 4 І. Необоротні активи Нематеріальні активи: -
залишкова вартість 010 10920 34125 - первісна вартість 011 21417 47325 -
накопичена амортизація 012 ( 10497 ) ( 13200 ) Незавершене будівництво 020
396581 362917 Основні засоби: - залишкова вартість 030 2923089 3223345 -
первісна вартість 031 3365709 4148480 - знос 032 ( 442620 ) ( 925135 )
Довгострокові біологічні активи: - справедлива (залишкова) вартість 035 0 0
- первісна вартість 036 0 0 - накопичена амортизація 037 ( 0 ) ( 0 )
Довгострокові фінансові інвестиції: - які обліковуються за методом участі в
капіталі інших підприємств 040 0 0 - інші фінансові інвестиції 045 14188
3918 Довгострокова дебіторська заборгованість 050 1066 949 Справедлива
(залишкова) вартість інвестиційної нерухомості 055 0 0 Первісна вартість
інвестиційної нерухомості 056 0 0 Знос інвестиційної нерухомості 057 ( 0 ( 0
) Відстрочені податкові активи 060 0 47941 Гудвіл 065 0 0 Інші необоротні
активи 070 0 0 Гудвіл при консолідації 075 0 0 Усього за розділом І 080
ІІ. Оборотні активи Виробничі запаси 100 168048 161086 Поточні біологічні
активи 110 0 0 Незавершене виробництво 120 7854 9482 Готова продукція 130
1384 4830 Товари 140 2362 38453 Векселі одержані 150 2579 0 Дебіторська
заборгованість за товари, роботи, послуги: - чиста реалізаційна вартість 160
2903221 4349885 - первісна вартість 161 2904301 4350166 - резерв сумнівних
боргів 162 ( 1080 ) ( 281 ) Дебіторська заборгованість за рахунками: - за
бюджетом 170 2288 1426 - за виданими авансами 180 76032 280745 - з
нарахованих доходів 190 48 0 - із внутрішніх розрахунків 200 0 0 Інша
поточна дебіторська заборгованість 210 650676 166668 Поточні фінансові
інвестиції 220 0 10219 Грошові кошти та їх еквіваленти: - в національній
валюті 230 39502 17826 - у т.ч. в касі 231 14 8 - в іноземній валюті 240
548 27684 Інші оборотні активи 250 0 0 Усього за розділом ІІ 260 ІІІ.
Витрати майбутніх періодів 270 550 195 ІV. Необоротні активи та групи
вибуття 275 33 27 Баланс 280 Пасив Код рядка На початок звітного періоду
На кінець звітного періоду 1 2 3 4 І. Власний капітал Статутний капітал 300
292953 292953 Пайовий капітал 310 0 0 Додатковий вкладений капітал 320 0 0
Інший додатковий капітал 330 1987840 1727519 Резервний капітал 340 73238
73238 Нерозподілений прибуток (непокритий збиток) 350 1808940 3086654
Неоплачений капітал 360 ( 0 ) ( 0 ) Вилучений капітал 370 ( 0 ) ( 0 )
Накопичена курсова різниця 375 0 0 Усього за розділом І 380 4162971 5180364
Частка меншості 385 0 0 ІІ. Забезпечення наступних виплат та платежів
Забезпечення виплат персоналу 400 19938 22578 Інші забезпечення 410 190526
160364 Сума страхових резервів 415 0 0 Сума часток перестраховиків у
страхових резервах 416 0 0 Цільове фінансування 420 0 0 З рядка 420 графа 4
Сума благодійної допомоги (421) 421 0 Усього за розділом ІІ 430 210464
182942 ІІІ. Довгострокові зобов’язання Довгострокові кредити банків 440 0
0 Інші довгострокові фінансові зобов’язання 450 10782 1998 Відстрочені
податкові зобов’язання 460 65003 0 Інші довгострокові зобов’язання 470
234407 0 Усього за розділом ІІІ 480 310192 1998 ІV. Поточні зобов’язання
Короткострокові кредити банків 500 0 0 Поточна заборгованість за
довгостроковими зобов’язаннями 510 913 913 Векселі видані 520 2267 13288
Кредиторська заборгованість за товари, роботи, послуги 530 893093 865666
Поточні зобов’язання за розрахунками: - з одержаних авансів 540 247 104 - з
бюджетом 550 31708 94406 - з позабюджетних платежів 560 0 0 - зі
страхування 570 5507 6370 - з оплати праці 580 12846 13441 - з учасниками
590 1534358 2360807 - із внутрішніх розрахунків 600 0 0 Зобов'язання,
пов'язані з необоротними активами та групами вибуття, утримуваними для
продажу 605 0 0 Інші поточні зобов'язання 610 36403 21422 Усього за
розділом ІV 620 2517342 3376417 V. Доходи майбутніх періодів 630 0 0 Баланс
640
|
ДОДАТОК
Г
|
Звіт про фінансові результати за 2011 рік І.
ФІНАНСОВІ РЕЗУЛЬТАТИ Стаття Код рядка За звітний період За попередній період 1 2 3 4 Доход
(виручка) від реалізації продукції (товарів, робіт, послуг) 010 7385385
5040748 Податок на додану вартість 015 960542 607167 Акцизний збір 020 ( 0
) ( 0 ) 025 ( 0 ) ( 0 ) Інші вирахування з доходу 030 ( 0 ) ( 0 ) Чистий
доход (виручка) від реалізації продукції (товарів, робіт, послуг) 035 6424843
4433581 Собівартість реалізації продукції (товарів, робіт, послуг) 040 (
2571816 ) ( 2101547 ) Валовий прибуток: - прибуток 050 3853027 2332034 -
збиток 055 ( 0 ) ( 0 ) Інші операційні доходи 060 5151843 2622085 У т.ч.
дохід від первісного визнання біологічних активів і сільськогосподарської
продукції, одержаних у наслідок сільськогосподарської діяльності 061 0 0
Адміністративні витрати 070 ( 72732 ) ( 61569 ) Витрати на збут 080 ( 259208
) ( 262001 ) Інші операційні витрати 090 ( 5189336 ) ( 2672684 ) У т.ч.
витрати від первісного визнання біологічних активів і сільськогосподарської
продукції, одержаних у наслідок сільськогосподарської діяльності 091 ( 0 ) (
0 ) Фінансові результати від операційної діяльності: - прибуток 100 3483594
1957865 - збиток 105 ( 0 ) ( 0 ) Доход від участі в капіталі 110 0 0 Інші
фінансові доходи 120 22985 19099 Інші доходи 130 2850 85485 З рядка 130
графа 3 Дохід, пов'язаний з благодійною допомогою (131) 131 0 Фінансові
витрати 140 ( 30505 ) ( 33321 ) Втрати від участі в капіталі 150 ( 0 ) ( 0
) Інші витрати 160 ( 49784 ) ( 172916 ) Прибуток (збиток) від впливу
інфляції на монетарні статті 165 0 0 Фінансові результати від звичайної
діяльності до оподаткування: - прибуток 170 3429140 1856212 - збиток 175 (
0 ) ( 0 ) У т.ч. прибуток від припиненої діяльності та/або прибуток від
переоцінки необоротних активів та групи вибуття у наслідок припинення
діяльності 176 0 0 У т.ч. збиток від припиненої діяльності та/або збиток від
переоцінки необоротних активів та групи вибуття у наслідок припинення
діяльності 177 ( 0 ) ( 0 ) Податок на прибуток від звичайної діяльності 180
( 836337 ) ( 565959 ) Дохід з податку на прибуток від звичайної діяльності
185 0 0 Фінансові результати від звичайної діяльності: - прибуток 190
2592803 1290253 - збиток 195 ( 0 ) ( 0 ) Надзвичайні: - доходи 200 50 11
- витрати 205 ( 0 ) ( 4985 ) Податки з надзвичайного прибутку 210 ( 0 ) ( 0
) Частка меншості 215 0 0 Чистий: - прибуток 220 2592853 1285279 - збиток
225 ( 0 ) ( 0 ) Забезпечення матеріального заохочення 226 0 0 ІІ. ЕЛЕМЕНТИ
ОПЕРАЦІЙНИХ ВИТРАТ Найменування показника Код рядка За звітний період За
попередній період 1 2 3 4 Матеріальні затрати 230 1782151 1349491 Витрати
на оплату праці 240 302745 273434 Відрахування на соціальні заходи 250
114195 103209 Амортизація 260 486165 423719 Інші операційни витрати 270
471196 452468 Разом 280 3156452 2602321 ІІІ. РОЗРАХУНОК ПОКАЗНИКІВ
ПРИБУТКОВОСТІ АКЦІЙ Назва статті Код рядка За звітний період За попередній
період 1 2 3 4 Середньорічна кількість простих акцій 300 1171811.00000000
1171811.00000000 Скоригована середньорічна кількість простих акцій 310
1171811.00000000 1171811.00000000 Чистий прибуток, (збиток) на одну просту
акцію 320 2.21269000 1.09683000 Скоригований чистий прибуток, (збиток) на
одну просту акцію 330 2.21269000 1.09683000 Дивіденди на одну просту акцію
340 0.00000000 1.27259000
|
ДОДАТОК
Д
|
БАЛАНС ПІДПРИЄМСТВА станом на 2012 рік
|
|
|
|
|
Коди
|
|
Дата (рік, місяць, число)
|
2012 | 12 | 31
|
|
Підприємство
|
ПУБЛІЧНЕ АКЦІОНЕРНЕ ТОВАРИСТВО "ЦЕНТРАЛЬНИЙ
ГІРНИЧО-ЗБАГАЧУВАЛЬНИЙ КОМБІНАТ"
|
за ЄДРПОУ
|
00190977
|
|
Територія
|
|
за КОАТУУ
|
1211036600
|
|
Організаційно-правова форма господарювання
|
Акціонерне товариство
|
за КОПФГ
|
230
|
|
Орган державного управління
|
|
за СПОДУ
|
6024
|
|
Вид економічної діяльності
|
Добування залізних руд
|
за КВЕД
|
07.10
|
|
Середня кількість працівників
|
5731
|
|
|
|
Одиниця виміру:
|
тис. грн.
|
|
|
|
Адреса:
|
м.Кривий Ріг, Жовтневий район, Дніпропетровська
область, 50066
|
|
Складено (зробити позначку "v" у
відповідній клітинці):
|
|
за положеннями (стандартами бухгалтерського обліку)
|
|
|
за міжнародними стандартами фінансової звітності
|
V
|
|
Актив
|
Код рядка
|
На початок звітного періоду
|
На кінець звітного періоду
|
|
1
|
2
|
3
|
4
|
|
І. Необоротні активи
|
|
Нематеріальні активи:
|
|
- залишкова вартість
|
010
|
34125
|
30558
|
|
- первісна вартість
|
011
|
47325
|
47755
|
|
- накопичена амортизація
|
012
|
( 13200 )
|
( 17197 )
|
|
Незавершене будівництво
|
020
|
362917
|
312992
|
|
Основні засоби:
|
|
- залишкова вартість
|
030
|
3223345
|
3147577
|
|
- первісна вартість
|
031
|
4148480
|
4593510
|
|
- знос
|
032
|
( 925135 )
|
( 1445933 )
|
|
Довгострокові біологічні активи:
|
|
- справедлива (залишкова) вартість
|
035
|
0
|
0
|
|
- первісна вартість
|
036
|
0
|
0
|
|
- накопичена амортизація
|
037
|
( 0 )
|
( 0 )
|
|
Довгострокові фінансові інвестиції:
|
|
- які обліковуються за методом участі в капіталі
інших підприємств
|
040
|
0
|
0
|
|
- інші фінансові інвестиції
|
045
|
3918
|
35
|
|
Довгострокова дебіторська заборгованість
|
050
|
949
|
749315
|
|
Справедлива (залишкова) вартість інвестиційної
нерухомості
|
055
|
0
|
0
|
|
Первісна вартість інвестиційної нерухомості
|
056
|
0
|
0
|
|
Знос інвестиційної нерухомості
|
057
|
( 0 )
|
( 0 )
|
|
Відстрочені податкові активи
|
060
|
47941
|
107394
|
|
Гудвіл
|
065
|
0
|
0
|
|
Інші необоротні активи
|
070
|
0
|
0
|
|
Гудвіл при консолідації
|
075
|
0
|
0
|
|
Усього за розділом І
|
080
|
|
|
|
ІІ. Оборотні активи
|
|
Виробничі запаси
|
100
|
161086
|
184922
|
|
Поточні біологічні активи
|
110
|
0
|
0
|
|
Незавершене виробництво
|
120
|
9482
|
5936
|
|
Готова продукція
|
130
|
4830
|
3901
|
|
Товари
|
140
|
38453
|
1970
|
|
Векселі одержані
|
150
|
0
|
0
|
|
Дебіторська заборгованість за товари, роботи,
послуги:
|
|
- чиста реалізаційна вартість
|
160
|
4349885
|
2236170
|
|
- первісна вартість
|
161
|
4350166
|
2236401
|
|
- резерв сумнівних боргів
|
162
|
( 281 )
|
( 231 )
|
|
Дебіторська заборгованість за рахунками:
|
|
- за бюджетом
|
170
|
1426
|
390987
|
|
- за виданими авансами
|
180
|
280745
|
13491
|
|
- з нарахованих доходів
|
190
|
0
|
0
|
|
- із внутрішніх розрахунків
|
200
|
0
|
0
|
|
Інша поточна дебіторська заборгованість
|
210
|
166668
|
166782
|
|
Поточні фінансові інвестиції
|
220
|
10219
|
3883
|
|
Грошові кошти та їх еквіваленти:
|
|
- в національній валюті
|
230
|
17826
|
1624
|
|
- у т.ч. в касі
|
231
|
8
|
51
|
|
- в іноземній валюті
|
240
|
27684
|
48124
|
|
Інші оборотні активи
|
250
|
0
|
0
|
|
Усього за розділом ІІ
|
260
|
|
|
|
ІІІ. Витрати майбутніх періодів
|
270
|
195
|
164
|
|
ІV. Необоротні активи та групи вибуття
|
275
|
27
|
25
|
|
Баланс
|
280
|
|
|
|
ПасивКод рядкаНа початок звітного періодуНа кінець
звітного періоду
|
|
|
|
|
1
|
2
|
3
|
4
|
|
І. Власний капітал
|
|
Статутний капітал
|
300
|
292953
|
292953
|
|
Пайовий капітал
|
310
|
0
|
0
|
|
Додатковий вкладений капітал
|
320
|
0
|
0
|
|
Інший додатковий капітал
|
330
|
1727519
|
1481923
|
|
Резервний капітал
|
340
|
73238
|
|
Нерозподілений прибуток (непокритий збиток)
|
350
|
3086654
|
1590339
|
|
Неоплачений капітал
|
360
|
( 0 )
|
( 0 )
|
|
Вилучений капітал
|
370
|
( 0 )
|
( 8284 )
|
|
Накопичена курсова різниця
|
375
|
0
|
0
|
|
Усього за розділом І
|
380
|
5180364
|
3430169
|
|
Частка меншості
|
385
|
0
|
0
|
|
ІІ. Забезпечення наступних виплат та платежів
|
|
Забезпечення виплат персоналу
|
400
|
22578
|
21802
|
|
Інші забезпечення
|
410
|
160364
|
178920
|
|
Сума страхових резервів
|
415
|
0
|
0
|
|
Сума часток перестраховиків у страхових резервах
|
416
|
0
|
0
|
|
Цільове фінансування
|
420
|
0
|
0
|
|
З рядка 420 графа 4 Сума благодійної допомоги (421)
|
421
|
0
|
|
Усього за розділом ІІ
|
430
|
182942
|
200722
|
|
ІІІ. Довгострокові зобов’язання
|
|
Довгострокові кредити банків
|
440
|
0
|
0
|
|
Інші довгострокові фінансові зобов’язання
|
450
|
1998
|
120728
|
|
Відстрочені податкові зобов’язання
|
460
|
0
|
0
|
|
Інші довгострокові зобов’язання
|
470
|
0
|
0
|
|
Усього за розділом ІІІ
|
480
|
1998
|
120728
|
|
ІV. Поточні зобов’язання
|
|
Короткострокові кредити банків
|
500
|
0
|
0
|
|
Поточна заборгованість за довгостроковими
зобов’язаннями
|
510
|
913
|
0
|
|
Векселі видані
|
520
|
13288
|
12448
|
|
Кредиторська заборгованість за товари, роботи,
послуги
|
530
|
865666
|
393486
|
|
Поточні зобов’язання за розрахунками:
|
|
- з одержаних авансів
|
540
|
104
|
39765
|
|
- з бюджетом
|
550
|
94406
|
21835
|
|
- з позабюджетних платежів
|
560
|
0
|
0
|
|
- зі страхування
|
570
|
6370
|
6616
|
|
- з оплати праці
|
580
|
13441
|
12753
|
|
- з учасниками
|
590
|
2360807
|
3109035
|
|
- із внутрішніх розрахунків
|
600
|
0
|
0
|
|
Зобов'язання, пов'язані з необоротними активами та
групами вибуття, утримуваними для продажу
|
605
|
0
|
0
|
|
Інші поточні зобов'язання
|
610
|
21422
|
58293
|
|
Усього за розділом ІV
|
620
|
3376417
|
3654231
|
|
V. Доходи майбутніх періодів
|
630
|
0
|
0
|
|
Баланс
|
640
|
|
|
ДОДАТОК
Е
|
Звіт про фінансові результати за 2012 рік
|
|
І. ФІНАНСОВІ РЕЗУЛЬТАТИ
|
|
Стаття
|
Код рядка
|
За звітний період
|
За попередній період
|
|
1
|
2
|
3
|
4
|
|
Доход (виручка) від реалізації продукції (товарів,
робіт, послуг)
|
010
|
5360023
|
7385385
|
|
Податок на додану вартість
|
015
|
-480088
|
-960542
|
|
Акцизний збір
|
020
|
( 0 )
|
( 0 )
|
|
025
|
( 0 )
|
( 0 )
|
|
Інші вирахування з доходу
|
030
|
( 0 )
|
( 0 )
|
|
Чистий доход (виручка) від реалізації продукції
(товарів, робіт, послуг)
|
035
|
4879935
|
6424843
|
|
Собівартість реалізації продукції (товарів, робіт,
послуг)
|
040
|
( 2893426 )
|
( 2571816 )
|
|
Валовий прибуток:
|
|
- прибуток
|
050
|
1986509
|
3853027
|
|
- збиток
|
055
|
( 0 )
|
( 0 )
|
|
Інші операційні доходи
|
060
|
473767
|
5151843
|
|
У т.ч. дохід від первісного визнання біологічних
активів і сільськогосподарської продукції, одержаних у наслідок
сільськогосподарської діяльності
|
061
|
0
|
0
|
|
Адміністративні витрати
|
070
|
( 74419 )
|
( 72732 )
|
|
Витрати на збут
|
080
|
( 566262 )
|
( 259208 )
|
|
Інші операційні витрати
|
090
|
( 525021 )
|
( 5189336 )
|
|
У т.ч. витрати від первісного визнання біологічних
активів і сільськогосподарської продукції, одержаних у наслідок
сільськогосподарської діяльності
|
091
|
( 0 )
|
( 0 )
|
|
Фінансові результати від операційної діяльності:
|
|
- прибуток
|
100
|
1294574
|
3483594
|
|
- збиток
|
105
|
( 0 )
|
( 0 )
|
|
Доход від участі в капіталі
|
110
|
0
|
0
|
|
Інші фінансові доходи
|
120
|
1077
|
22985
|
|
Інші доходи
|
130
|
22996
|
2850
|
|
З рядка 130 графа 3 Дохід, пов'язаний з благодійною
допомогою (131)
|
131
|
0
|
|
Фінансові витрати
|
140
|
( 292008 )
|
( 30505 )
|
|
Втрати від участі в капіталі
|
150
|
( 0 )
|
( 0 )
|
|
Інші витрати
|
160
|
( 37292 )
|
( 49784 )
|
|
Прибуток (збиток) від впливу інфляції на монетарні
статті
|
165
|
0
|
0
|
|
Фінансові результати від звичайної діяльності до
оподаткування:
|
|
- прибуток
|
170
|
989347
|
3429140
|
|
- збиток
|
175
|
( 0 )
|
( 0 )
|
|
У т.ч. прибуток від припиненої діяльності та/або
прибуток від переоцінки необоротних активів та групи вибуття у наслідок
припинення діяльності
|
176
|
0
|
0
|
|
У т.ч. збиток від припиненої діяльності та/або
збиток від переоцінки необоротних активів та групи вибуття у наслідок
припинення діяльності
|
177
|
( 0 )
|
( 0 )
|
|
Податок на прибуток від звичайної діяльності
|
180
|
( 228162 )
|
( 836337 )
|
|
Дохід з податку на прибуток від звичайної діяльності
|
185
|
0
|
0
|
|
Фінансові результати від звичайної діяльності:
|
|
- прибуток
|
190
|
761185
|
2592803
|
|
- збиток
|
195
|
( 0 )
|
( 0 )
|
|
Надзвичайні:
|
|
- доходи
|
200
|
0
|
50
|
|
- витрати
|
205
|
( 0 )
|
( 0 )
|
|
Податки з надзвичайного прибутку
|
210
|
( 0 )
|
( 0 )
|
|
Частка меншості
|
215
|
0
|
0
|
|
Чистий:
|
|
- прибуток
|
220
|
761185
|
2592853
|
|
- збиток
|
225
|
( 0 )
|
( 0 )
|
|
Забезпечення матеріального заохочення
|
226
|
0
|
0
|
|
ІІ. ЕЛЕМЕНТИ ОПЕРАЦІЙНИХ ВИТРАТ
|
|
Найменування показника
|
Код рядка
|
За звітний період
|
За попередній період
|
|
1
|
2
|
3
|
4
|
|
Матеріальні затрати
|
230
|
1960305
|
1782151
|
|
Витрати на оплату праці
|
240
|
307585
|
302745
|
|
Відрахування на соціальні заходи
|
250
|
114119
|
114195
|
|
Амортизація
|
260
|
561960
|
486165
|
|
Інші операційни витрати
|
270
|
789782
|
471196
|
|
Разом
|
280
|
3733751
|
3156452
|
|
ІІІ. РОЗРАХУНОК ПОКАЗНИКІВ ПРИБУТКОВОСТІ АКЦІЙ
|
|
Назва статті
|
Код рядка
|
За звітний період
|
За попередній період
|
|
1
|
3
|
4
|
|
Середньорічна кількість простих акцій
|
300
|
1171269005
|
1171811000
|
|
Скоригована середньорічна кількість простих акцій
|
310
|
1171269005
|
1171811000
|
|
Чистий прибуток, (збиток) на одну просту акцію
|
320
|
0.64988
|
2.21269
|
|
Скоригований чистий прибуток, (збиток) на одну
просту акцію
|
330
|
0.64988
|
2.21269
|
|
Дивіденди на одну просту акцію
|
340
|
0
|
0
|
СПИСОК
ВИКОРИСТАНОЇ ЛІТЕРАТУРИ
1. Про
зовнішньоекономічну діяльність. Верховна Рада УРСР; Закон від 16.04.1991 №
959-XІІ.
2. Азов
Г.П., Челенков А. П. Конкурентные преимущества фирмы. - М: ОАО „Типография
„НОВОСТИ””, 2000.
. Азоев
Г.Л. Конкуренция: анализ, стратегия и практика. - М.: Центр экономики и
маркетинга. 1996.
. Алексеева
М. Планирование деятельности фирмы: Учебно-методическое пособие. М.: ФиС, 2004.
. Андрийченко
И.А.. Особенности стратеги предприятия-експортера в условиях конкуренции.//
Вісник Донецького ун-ту. Серія Економіка і право, 2005, Вип2/2. - С.231-235
. Ансофф
И. Стратегическое управление. - сокр. пер. с англ. - М.: Экономи-ка, 1989.
. Баканов
М.И., Шеремет А.Д. Теория экономического анализа: учебник. -М.: Финансы и
статистика, 1996 г.
. Балабанов
И.Т. Основы финансового менеджмента. Как управлять капиталом?- М.: Финансы и
статистика, 1995.
. Барабась
Д.О. Концепція ключових факторів успіху підприємств як методологічна основа
дослідження їх конкурентоспроможності? // Проблеми науки, 2005, -№ 11.
. Басовский
Л.Е. Менеджмент. - М: ИНФРА-М, 2003. - 344 с.
. Бланк
И.А. Финансовый менеджмент: Учебный курс. - К.: Ника-Центр, Эльга, 2001.
. Боумэн
К. Основы стратегического менеджмента./ Пер. с англ. Под ред. Л. Г. Зайцева, М.
И. Соколовой. - М.: Банки и биржи, ЮНИТИ, 1997.
. Бригхем
Ю., Гапенски Л. Финансовый менеджмент: Полный курс : В 2-х т. / Пер. с анг. Под
ред. В.В. Ковалева. СПб. : Экономическая школа, 1998. Т 2.
. Брэддик
У. Менеджмент в организации. - М.: ИНФРА-М, 1997.
. Будзиньський
В. Реализация контракта по импорту и экспорту согласно ІNCOTERMS 90 - Львов:
Слово, 1993. - 90с.
. Бутинець
Ф.Ф. та ін. Облік і аналіз зовнішньоекономічної діяльності. Підручник. -
Житомир: 1111 «Рута», 2001.
. Вайсман
А. Стратегия менеджмента: 5 факторов успеха. - М.: Экономика, 1995.
. Василенко
В.О., Ткаченко Т.І. Стратегічне управління: Навчальний посібник. - К.: ЦУЛ,
2006. - 396 с.
. Григорьев
Ю.А. Практика внешнеэкономической деятельности. - М.:ПАИМС, 1993. - 208с.
. Дегтярева
О. И., Полянова Т. Н., Саркисов С. В. Внешнеэкономическая деятельность. - М.:
Изд-во «Дело», 2002. - 368 с.
. Дідківський
М.І. Зовнішньоекономічна діяльність підприємства: Навч, посіб. - К.: Знання,
2006.
. Дроздова
Г.М. Менеджмент зовнішньоекономічної діяльності підприємства. - Навч.посібник.
- Київ: ЦУЛ, 2002.
. Ефимова
О.В. Финансовый анализ. - М.: Издательство «Бухгалтерский учет», 1998.
. Захарченко
В. И. Менеджмент во внешнеэкономической деятельности: Учебное пособие (конспект
лекций). - Харьков: ООО «Одиссей», 2003. - 384 с.
. Зовнішня
торгівля України товарами за 2008 рік. Експрес випуск - К.: Державний комітет
статистики України, 2009.
. Зовнішньоекономічна
діяльність підприємств: Підручник для вузів / І.В. Багрова, Н.І. Редіна, В.Є.
Власюк, О.О. Гетьман; За ред. д-ра екон. наук, проф. І.В. Багрової. - Київ,
Центр навчальної літератури, 2004. -580 с.
. Зуб
А.Т. Стратегічний менеджмент: основні поняття й принципи. - М.: 2001.
. Кадуріна
Л.О. К 55. Облік і аналіз зовнішньоекономічної діяльності. Навчальний посіб. -
Київ, «Слово», 2003. - 288 с.
. Кириченко
О., Кавас ., Ятченко А. Менеджмент зовнішньоекономічної діяльності .К.
Фінансист, 2000.
. Кисельов
А.П. Основи бізнесу: Підручник . - К.: Вища шк., 1998/
. Ковалев
В.В. Финансовый анализ: Управление капиталом. Выбор инвестиций. Анализ
отчетности. М.: - Финансы и статистика, 1996.
. Коваленко
Л.О., Ремньова Л.М. Фінансовий менеджмент: Навчальний посібник. - Чернігів:
ЧДІЕУ, 2001. - 456 с.
. Козик
В.В., Панкова Л.А., Карп’як Я.С., Григор’єв О.Ю., Босак А.О.
Зовнішньоекономічні операції і контракти: Навч. посібник. - 2-ге вид., перероб.
і доп. - К.: Центр навчальної літератури, 2004. - 608с.
. Котлер
Ф. Основы маркетинга. - М.: Прогресс, 1993.
. Крейнина
М.Н. Финансовое состояние предприятия. Методы оценки. М.:- ИКЦ “ДИС”, 1997.
. Люкшинов
А. Н. Статегический менеджмент: Учеб. пособие для вузов. - М.: ЮНИТИ-ДАНА.
2000.
. Макогон
Ю.В., Рижиков В.С., Касьянюк О.О., Коваленко В.М., Грідасов В.М., Чемерис С.В.,
Гончаров А.В. Зовнішньоекономічна діяльність підприємства: Навчальний посібник.
- К.: ЦНЛ, 2006. - 424с.
. Мескон
М., Альберт М., Хедоури Ф. Основы менеджмента. - М.: Дело, 1998.
. Митний
кодекс України. Відомості Верховної Ради (ВВР), 2002, N 38-39, ст.288
. Н.Савлук
М. Міжнародні розрахунки та валютні операції: Навч.посіб. - К.:КНЕУ, 2002.
. Наливайко
А. П. Теорія стратегії підприємства. Сучасний стан та напрямки розвитку:
Монографія. - К.: КНЕУ, 2001.
. Немцов
В. Д., Довгань Л. Є. Стратегічний менеджмент. Навчальний посіб-ник. К.:
“Експрес-Поліграф”. 2002.
. Савицкая
Г.В. Анализ хозяйственной деятельности предприятия. Минск: -ИП
“Экоперспектива”, 1998.
. Скібіцький
О.М. Стратегічний менеджмент: Навч. посіб.-К.: Центр навч. літ-ри,2006.
. Управление
Внешнеэкономической деятельностью: уч.пос./под общ. ред. А.И.Кредисова. -
К:ВИВА-Р, 2001. - 640с.
. Циганкова
Т.М., Петрашко Л.П., Кальченко Т.В. Міжнародна торгівля: Навч. посібник. - К.:
КНЕУ, 2002. - 448с.
. Шеремет
А.Д., Негашев Е.В. Методика финансового анализа. - М.: Инфра, 1999.
. Шершньова
З.Є., Оборська С.В. Стратегічне управління: Навч. Посібник. - К.: КНЕУ, 1991.
. Шим
Джей К., Сигел Джоэл Г. „Финансовый менеджмент/Перевод с англ.. Издание 2-е,
стереотипное - М.: Информационно-издательский дом „Филинъ”, 1997.