Оптимизация материального потока производственного предприятия
Государственное бюджетное
образовательное учреждение высшего профессионального образования Московской
области
Международный университет природы,
общества и человека «Дубна»
Факультет экономики и управления
Кафедра менеджмента
КУРСОВАЯ РАБОТА
по дисциплине: «Логистика»
На тему:
Оптимизация материального потока
производственного предприятия
Выполнила: Иванова Д.А.
студентка группы 4101
Руководитель:
ст. преп. Линева О.Н.
Дубна,2014
Аннотация
Данная курсовая работа выполнена в объеме 67 страниц и состоит из
аннотации, содержания, введения, теоретической и практической частей,
заключения, списка литературы, глоссария и приложения. Курсовой проект включает
в себя 20 таблиц, 13 рисунков.
Ключевые слова: закупки, запасы, логистика, логистический канал,
логистическая операция, логистическая система, логистическая цепь, оптимизация,
отходы производства, сбыт, прибыль, себестоимость, эффективность, материальный
поток.
The abstract
given course work is executed in volume of 67 pages and
consists of annotation, contents, introduction, theoretical unit and practical
unit, conclusion, references and glossary. Also this work includes 20 tables,
13 drawings.are: a purchase, resources, a logistics, a logistic channel, a
logistic operation, a logistic system, a logistic chain, optimization, wastage,
sales, profits, cost price, efficiency, a material flow.
Содержание
Введение
.
Теоретическая часть
1.1 Основные
понятия логистики
.2
Характеристика звеньев логистической цепи
1.2.1
Логистика снабжения
.2.2 Производственная
логистика
.2.3 Сбытовая
логистика
.
Практическая часть
2.1
Характеристика выпускаемой продукции
2.1.1
Особенности технологического процесса производства продукции
.1.2
Характеристика звеньев логистической цепи предприятия
2.2
Разработка мероприятия по оптимизации движения материального потока предприятия
2.2.1
Определение оптимальной партии выпуска продукции
.2.2 Выбор
варианта закупки электродвигателей
.2.3
Применение вычислительной техники для повышения оперативности обработки
информации
.2.4
Экономический эффект от оптимизации движения материального потока
2.3
Разработка мероприятий по оптимизации использования материального потока
предприятия
2.3.1
Снижение отходов штамповочного производства
.3.2 Снижение
брака заготовок
.3.3
Использование отходов штамповочного производства
.3.4
Экономический эффект от оптимизации использования материального потока
2.4
Оптимизация материального потока предприятия
Заключение
Список
использованной литературы
Глоссарий
Приложения
Введение
Логистика - это нака о планирование, контроле и управлении
транспортированием, складированием и другими материальными и не материальными
операциями, совершаемыми в процессе доведения сырья и материалов до
производственного предприятия, внутризаводской переработки сырья и материалов,
доведения готовой продукции до потребителя в соответвии с интересами и
требованиями последнего, а также передачи хранения и переработки
соответствующей информации и соответствующих финансовых потоков.
Логистический менеджмент рассматривает фирму как открытую систему,
предполагает поиск резервов повышения конкурентоспособности не только и не
столько внутри фирмы, сколько вне ее. Производственная логистика представляет
собой точное следование хозяйственному договору, в результате чего появляется возможность
качественного комплексного и своевременного производства.
Содержанием логистики является установление причинно-следственных связей
и закономерностей, присущих процессу товародвижения, в целях определения и
реализации на практике эффективных организационных форм и методов управления
материальными и информационными потоками.
Актуальность курсовой работы заключается в оптимизации издержек и
рационализации процесса производства и сбыта в рамках данного предприятия.
Объектом исследования является завод бытовой техники, который
специализируется на выпуске бытовых пылесосов «Вихрь-8А».
Предмет исследования - оптимизация материальных и соответствующих им
финансовых и информационных потоковых процессов на Заводе бытовой техники
(ЗБТ).
Целью данного курсового проекта является оценка эффективности
деятельности предприятия с позиции логистической концепции управления,
разработка пути оптимизации материального потока.
Основные задачи, необходимые для решения:
- определение структуры затрат звеньев логистической цепи;
- определение оптимальной партии выпуска продукции;
- выбор поставщика;
- разработка мероприятия по оптимизации использования
материального потока предприятия.
1.
Теоретическая часть
.1 Основные
понятия логистики
Логистика - искусство рассуждать, вычислять. В экономике логистика - это
научная и практическая деятельность, связанная с организацией, управлением и
оптимизацией движения материальных, информационных и финансовых потоков от
источника до конечного потребителя. [2, c. 29]
В логистически организованных цепях себестоимость товара в конечном
пункте оказывается ниже, чем себестоимость того же товара при отсутствии
логистического подхода. Этот мониторинг показывает явный экономический выигрыш
от применения логистики в экономике. Именно поэтому логистику стали применять
для более эффективного управления материальными потоками.
Активному применению логистики помог научно-технический прогресс, который
сделал компьютерные технологии и моментальную связь более доступными. Это
позволило следить за материальными и информационными потоками, управляя ими на
всех этапах перемещения. Сущность перечисленных функций заключается в
координации спроса и предложения.
Базируясь на соответствующей информации, логистика занимается
состыковыванием предъявляемого рыночной ситуацией спроса и разработанного
организацией предложения. Из координационной функции логистики сформировалось
еще одно ее направление - оперативное планирование. Из основополагающих позиций
выделяют следующие функции логистики: системообразующая, интегрирующая,
регулирующая, результирующая.
Системообразующая логистика - это система эффективных технологий
обеспечения управления ресурсами.
Интегрирующая функция - это обеспечение логистикой синхронности процессов
сбыта, хранения и доставки с привязкой к рынку средств производства и оказание
посреднических услуг потребителям.
Регулирующая функция заключается в реализации управления материальными,
информационными и финансовыми потоками для сокращения затрат.
Результирующая функция подразумевает деятельность по доставке товара в
нужном количестве в определенное время и место с необходимым качеством при
минимально возможных издержках. Критерием для определения эффективности
реализации логических функций является достижение конечной цели логистической
деятельности.
Задачи, стоящие перед логистикой, можно разделить на общие, глобальные и
частные. Достижение максимального эффекта с минимальными затратами - это
главная глобальная задача логистики. Моделирование логистических систем и
факторов их функционирования также относят к глобальным задачам.
К общим задачам относятся:
) создание системы регулирования материальных и информационных потоков;
) прогнозирование возможных объемов производства, перевозок,
складирования;
) определение несостыковки между необходимостью и возможностью
реализовать ее на производстве;
) организация предпродажного и послепродажного обслуживания.
Частные задачи имеют более узкое направление и включают:
) создание минимальных запасов;
) максимальное сокращение времени хранения готовой продукции;
) сокращение времени перевозок.
Понятие логистической системы является главным в логистике. Сложная
организационная система, состоящая из фрагментов звеньев, объединенных в одном
процессе управления материальными и сопутствующими процессами, является
логистической. Задачи функционирования звеньев системы объединены внутренними
задачами структуры бизнеса или внешними целями. Между элементами-звеньями
логистической системы установлены определенные функционные связи и отношения.
Некоторый экономический и функциально обособленный объект называется
логистическим звеном системы. Он выполняет свою узкую роль, определенную
логистическими операциями и функциями. Существует несколько типов звеньев
логистической системы: генерирующие, преобразующие и поглощающие. Часто
встречаются смешанные звенья логистической системы, в которых представлены
сразу три основных типа, скомбинированные в различных сочетаниях.
Еще одним понятием логистики является логистическая цепь. Большое
количество звеньев логистической системы представляют логистическую цепь.
Следующее понятие в логистике - логистическая сеть. Логистическая сеть -
это большое количество звеньев логистической системы, находящихся во
взаимосвязи между собой по материальным или сопутствующим им информационным и
денежным потокам в границах логистической системы.
Концепцию общих издержек обычно связывают еще с одним понятием в
логистике - логистическим каналом. Логистическим каналом считается
упорядоченное множество звеньев логистической системы, включающее в себя полный
объем логистических цепей или их участников, проводящее материальные потоки от
поставщика материальных ресурсов, нужных для изготовления конкретного типа
товара, до непосредственных потребителей.
Под понятие логистического канала подпадают внешние,
внутрипроизводственные и макрологистические группы в пределах определенных
рамок каждой логистической операции. Поэтому принципиально важным является
понятие об общих логистических издержках.
Основные принципы логистики:
Есть несколько основных принципов, которые отражают логистический подход
к решению проблемы в производственно-хозяйственной деятельности.
. Принцип синергичности. Этот принцип определяет комплексный и системный
подход к достижению определенных целей.
. Принцип динамичности. Логистические системы должны отражать сущность
охватываемых ими процессов и не должны быть застывшими
организационно-экономическими образованиями.
. Принцип комплектности. Этот принцип означает, что системы в логистике
должны строиться как общность нескольких или множества элементов, тесно
взаимосвязанных между собой
. Принцип инициативности. Логистические системы, построенные по этому
принципу, предполагают проявление образующимися структурами способности
определительной реакции на вероятные события вместе с возможностью создавать и
регулировать субъективные условия, положительно влияющие на процессы
хозяйственной деятельности.
. Принцип целесообразности. Ориентируется на привлечение того потенциала,
который играет позитивную роль в достижении поставленных целей. В выборе
организационных, технических и технологических структур проявляется
избирательность, выраженная стремлением к уменьшению затрат или времени
перемещения в условиях возможности решения определенных задач несколькими
способами. [3, c. 57]
Концентрация взаимосвязанных функций в объединенных структурах по
складскому и транспортному хозяйству под единым руководством обусловливает в
первую очередь реализацию принципов логистики. Переход к комплексному
управлению осуществляется при логистическом подходе в отличие от традиционного,
где управление зачастую имеет изолированный характер. Прогрессивность
хозяйственных систем с точки зрения логистики достигается не путем наращивания
материально-технической базы, а за счет ее совершенствования. При логистическом
подходе согласуются все факторы, которые относятся к хозяйственной системе и
которые с ней связаны. Наиболее эффективные показатели в организации
хозяйственной деятельности достигаются в результате параллельности механизма
производства, транспортировки, снабжения и сбыта при максимальной интеграции
взаимосвязанных систем и подсистем на принципах логистики. Уменьшение объемов
запасов, неслаженности материалопотоков, сокращение затрат на хранение,
перемещение материальных ресурсов и выпущенной продукции происходит в
результате реализации логистических принципов.
Принципы логистики позволяют совершенствовать методику и повысить
качество организационного проектирования, обеспечить системный подход к
проектированию транспортно-складской, производственной, коммуникационной и
информационной подсистем.
Практическое применение логистических задач и принципов зависит от
конкретной ситуации и отличается многообразием.
.2
Характеристика звеньев логистической цепи
Элементы (звенья) логистической системы в определенной упорядоченности
составляют логистическую цепь (цепь поставок)
Эти понятия четко не разграничены, а иногда термины "логистическая
система", "логистическая сеть", "логистическая цепь" и
"цепь поставок" применяются как синонимы, особенно в зарубежной
логистической практике.
В словаре ANNEX цепь поставок определяется как "объединение всех
видов бизнес-процессов (проектирование, производство, продажи, сервис, закупки,
дистрибьюция, управление ресурсами, поддерживающие функции), необходимых для
удовлетворения спроса на продукцию или сервис - от начального момента получения
исходного сырья или информации до доставки конечному потребителю.
В терминологическом словаре А.Н. Родникова указывается: логистическая
цепь - это линейно-упорядоченное множество физических и/или юридических лиц
(поставщиков, посредников, перевозчиков и др.), непосредственно участвовавших в
доведении конкретной партии продукции до потребителя.
Другие отечественные исследователи в области логистики дают следующее
определение: логистическая цепь - это множество звеньев логистической системы,
упорядоченное по основному и/или сопутствующему потоку в соответствии с
параметрами заказа конечного потребителя внутри функциональной области
логистики или логистического канала.
В связи с этим логистические цепи обычно проектируют внутри
самостоятельной функциональной области логистики. При этом логистическая цепь в
области снабжения связывает отдельного поставщика с центральной компанией; в
области производства - могут рассматриваться как набор внутрипроизводственных
звеньев логистической системы, проводящих потоки материальных ресурсов и
готовой продукции до складов готовой продукции предприятия-изготовителя; в
области распределения - связывает производителя/поставщика готовой продукции с
конечной точкой продаж.
При этом для любой функциональной области логистики исходным параметром
формирования логистической цепи является заказ потребителя.
В логистической цепи, т. е. цепи, по которой проходят товарный и
информационный потоки от поставщика до потребителя, выделяются такие главные
звенья, как закупка и поставка материалов, сырья и полуфабрикатов; хранение
продукции и сырья; производство товаров; распределение, включая отправку
товаров со склада готовой продукции; потребление готовой продукции. Каждое
звено логистической цепи включает свои элементы, которые в совокупности
образуют материальную основу логистики: транспортные средства и их
обустройство, складское хозяйство, средства связи и управления. Логистическая
система охватывает и кадры, т. е. тех работников, которые выполняют все
последовательные операции и осуществляют руководство системой в целом. [4, c.
123]
Формирование логистической цепи может осуществляться целенаправленно
путем юридического слияния и поглощения фирм. Формирование такой цепи может
происходить также путем добровольного сотрудничества различных служб,
подразделений и фирм, что соответствующим образом юридически и организационно
оформляется.
Логистические цепи стремятся создавать с соблюдением модульного принципа
в управлении. При этом учитываются два, казалось бы, взаимоисключающих
принципа: сотрудничества и кооперации, с одной стороны, и конкуренции - с
другой. Здесь возникает возможность использовать свободные ресурсы участников
логистической цепи для того, чтобы сглаживать колебания условий внешней среды.
Гибкость образующейся логистической цепи позволяет специальными разовыми
поставками (через созданную при этом сеть каналов распределения и
транспортировки) сглаживать пики потребления. Неизбежные риски при этом
существенно снижаются.
Информационные связи между отдельными элементами логистической цепи
реализуются с помощью совокупности современных средств обработки и передачи
информации. Обычно это компьютеризированные системы сбора и обработки
информации. Для их построения используют локальные вычислительные сети, в
которых обеспечиваются сквозная передача и обработка информации и двусторонний
выход на внешние сети.
Построение и исследование логистических цепей, сформированных по
информационным и финансовым потокам, имеет большое практическое значение, так
как движение материальных ресурсов и готовой продукции несинхронно, т.е. не
совпадает с относящимися к ним потоками информации и денежных средств.
Например, информация о том, что товар отгружен и находится в пути, приходит
покупателю раньше самого товара. Момент купли-продажи товаров и логистических
услуг обычно оторван от момента получения товара или услуги (например, при
предоплате). Кроме несовпадения по времени, исследуемые потоки оторваны и
отделены в пространстве. Проблемы, возникающие из-за неизоморфности потоков,
значительно осложняют принятие эффективных логистических решений и требуют
постоянного внимания.
.2.1
Логистика снабжения
Логистика снабжения является первой логистической подсистемой, основная
цель которой - управление материальными потоками и услугами в процессе
обеспечения организации материальными ресурсами и услугами.
В обобщенном виде цель снабжения - гарантировать, чтобы организация имела
надежную поставку материалов соответствующего качества, необходимого объема, в
нужное время, от квалифицированного поставщика, с высоким уровнем сервиса и по
приемлемой цене. [6, c. 56]
Исходя из этого, можно сформулировать основные задачи логистики
снабжения:
- налаживание надежного и непрерывного материального потока для обеспечения
бесперебойного функционирования организации. Дефицит сырья, топлива, энергии и
т. п. может привести к остановке производства, снижению объемов производства,
следовательно, и объемов реализации, невыполнению своих обязательств перед
заказчиком в срок;
- поддержание на нормативном уровне запасов материальных ресурсов на
складе;
- развитие отношений с подразделениями, использующими эти
материалы. Деятельность снабжения не может быть эффективной без сотрудничества
с другими подразделениями организации. Например, информация о требованиях к
сырью в отдел закупок поступает от главного инженера и производственного
отдела. На основании данных отдела закупок бухгалтерией производится расчет с поставщиками;
- поиск компетентных поставщиков, тесное взаимодействие с ними
и формирование выгодных отношений. Например, если предприятие закупает
программное обеспечение у поставщика, который впоследствии не сможет обеспечить
его долговременного обслуживания (т.е. модификацию и обновление), то
первоначально выгодная цена обернется высокой стоимостью содержания всей
системы;
- поддержка и повышение качества закупаемых материалов
подразумевают, что производство продукции или оказание услуг должны осуществляться
с определенным уровнем качества, иначе конечный продукт или слуга не будут
отвечать принятым требованиям и не смогут обеспечить конкурентоспособности
товаров и услуг;
- договоренность о наименьшей общей стоимости с сохранением
должного уровня качества, количества, условий доставки и сервиса;
- повышение конкурентоспособности. Контроль над всеми расходами
сети снабжения позволяет выявить операции (деятельность), не приносящие прибыли
или требующие дополнительного времени (как, например, дополнительное хранение
на складе, транспортировка и проверка), повысить конкурентоспособность
организации в целом. Кроме того, отдел закупок несет ответственность за
обеспечение равномерного потока сырья, необходимого для производства продукции
и предложения услуг, чтобы ответить по своим обязательствам перед поставщиками
по условиям поставки продукции.
Объект логистики снабжения - поток материальных ресурсов и услуг,
циркулирующий в функциональном цикле снабжения.
Потребляемые материальные ресурсы на предприятиях можно разделить на
основные и вспомогательные. К основным относятся:
- сырьевые материалы, не прошедшие первичной обработки;
- исходные материалы, прошедшие небольшую степень обработки, и
предварительно смонтированные детали, составляющие значительную часть конечного
продукта (т. е. полуфабрикаты).
Вспомогательные материалы занимают обычно небольшую часть в составе
конечного продукта. К ним можно отнести всевозможные металлические изделия,
проволоку, монтажные болты и др.
Существует и группа производственных материалов, которые обеспечивают
ввод в эксплуатацию машин и оборудования (горюче-смазочные материалы,
охлаждающая жидкость, электроэнергия и др.).
1.2.2
Производственная логистика
Производственная логистика, являясь одной из функциональных подсистем
интегрированной логистики, решает вопросы организации движения материальных
ресурсов и управления им непосредственно между стадиями производственного
процесса, включая подачу сырья и материалов на рабочие места. То есть в узком
смысле занимается планированием, организацией внутрипроизводственной
транспортировки и управлением ей, буферизацией (складированием) и поддержанием
запасов (заделов) сырья, материалов и незавершенного производства
производственных процессов стадий заготовки, обработки и сборки готовой продукции,
т. е. в целом представляет собой регулирование производственного процесса в
пространстве и во времени. [3, c. 55]
Цель производственной логистики заключается в обеспечении своевременного,
ритмичного и экономичного движения материальных ресурсов между стадиями и
рабочими местами основного производства в соответствии с планами производства и
реализации готовой продукции или заказами потребителей.
Для обеспечения основной цели производственной логистики необходимо в
комплексе решать задачи планирования, организации движения материального потока
и оперативного управления им не только в основном производстве, но и во
вспомогательном и обслуживающем производствах. К вспомогательному процессу
относят процедуры закупки, производства и подачи на рабочие места технологической
оснастки, запасных частей производственного и обслуживающего оборудования,
подачу электроэнергии, газа, воды, пара, смазывающих материалов и т. д.
Обслуживающие процессы связаны в основном с транспортными и складскими
операциями.
Взаимосвязанными являются также вопросы организации рабочей силы
(основных производственных и вспомогательных рабочих) и управления ее
движением, поскольку основная дилемма оптимизации затрат на производство
заключается в определении компромисса между обеспечением непрерывности загрузки
работников и рабочих мест и обеспечением непрерывности движения предметов труда
в производстве.
Производственная логистика занимается оперативным планированием и
управлением материальным потоком в производстве интегрирование и в сочетании с
процессами снабжения и сбыта. Современное понимание логистики не только как
методологии управления материальными и сопутствующими потоками, но и как
концепции системной рационализации управления потоковыми процессами в
промышленной организации предполагает постепенное развитие и формирование
интегрированных систем управления, построенных на принципах синхронизации,
оптимизации и интеграции всех процессов, происходящих в организации.
Современные интегрированные системны управления позволяют полностью автоматизировать
управление на промышленных предприятиях, в том числе интегрировать в этот
процесс проектирование новой продукции и управление ее жизненным циклом,
управление гибкими производственными системами и роботизированными комплексами,
материальным потоком в снабжении, производстве и сбыте, связями с поставщиками
и потребителями в логистических системах более высокого порядка и т.д.
Работа подобных интегрированных систем (концепций MRP II, ERP г, т.д.)
возможна только в рамках информационной среды, поддерживаемой мощными и
производительными ЭВМ.
Сущность применения производственной логистики в интегрированном
управлении предприятием заключается в создании условий для оптимального,
эффективного и результативного протекания производственного процесса в пространстве
производственной системы и во времени.
Современная тенденция рынка к индивидуализации выпускаемой продукции
выдвигает на первый план вопросы организации и управления мелкосерийным и
единичным типами производств. Соответственно при описании основных методов
производственного планирования акцент сделан на удовлетворении современных
потребностей науки и практики организации производства, т.е. рассмотрении
базовых методов планирования в основном непоточного мелкосерийного и единичного
производств.
Процесс адаптации к рыночным отношениям требует выполнения следующих
условий:
- достижения высокой степени интеграции внутри предприятия и между ее
поставщиками и потребителями;
- повышения гибкости и адаптивности производства к конъюнктуре гынка;
- сокращения длительности производственного цикла;
- резервирования производственных мощностей и отхода от
максимизации ее загрузки;
- сокращения всех видов запасов;
- универсализации оборудования;
- устранения брака;
- изготовления продукции на заказ и т.д.
.2.3 Сбытовая
логистика
Основной целью сбытовой логистики является обеспечение доставки нужных
товаров в нужное место, в нужное время с оптимальными затратами.
Объектом исследования и изучения в сбытовой логистике, по мнению
большинства авторов, является материальный поток на стадии его движения от
поставщика к потребителю. На наш взгляд, требуется расширенное толкование
структуры этого потока за счет добавления отдельных составляющих, генерируемых
им и (или) сопутствующих ему, т.е. информационного, финансового и сервисного
потоков. Такой подход более точно соотносится с основными парадигмами
логистики.
Таким образом, объектом изучения сбытовой логистики являются материальный
и сопутствующие ему (генерируемые им) информационный, финансовый и сервисный
потоки.
Прежде чем говорить о способах организации потоковых процессов и
управления ими на стадии сбыта готовой продукции, следует определиться с
понятийно-терминологическим аппаратом данной области исследования.
Необходимость определения соответствующих категорий диктуется неоднозначностью
толкования отдельных понятий и семантическими разночтениями.
Уяснение сути и осмысление разграничения понятий "сбыт",
"физическое распределение" и "дистрибьюция" - первый шаг к
пониманию понятийно-терминологической сущности сбытовой логистики.
За рубежом до сих пор продолжается дискуссия о содержании физического
распределения как комплексной логистической функции. Некоторые зарубежные
исследователи считают физическое распределение синонимом логистики, другие
подменяют им понятие дистрибьюции (распределения).
Следует согласиться с мнением большинства ученых, которые объясняют такие
разночтения эволюцией логистической концепции на Западе, когда в период с
1950-х до середины 1970-х гг. термин "физическое распределение" по
существу использовался вместо термина "логистика", но в понятийном
плане представлял собой менеджмент готовой продукции в товаропроводящих
структурах сбыта фирм - производителей продукции и торговых посредников.
Используя первоначальный смысл, вложенный в это понятие зарубежными
исследователями, В.И. Сергеев дает следующее определение: "Физическое
распределение - это комплексная логистическая активность, являющаяся составной
частью процесса дистрибьюции и включающая в себя все логистические операции,
связанные с физическим перемещением и хранением готовой продукции в
товаропроводящих структурах производителей и (или) логистических
посредников". Основные моменты, на которых следует остановиться:
во-первых, физическое распределение является частью сбыта и, во-вторых,
соотносится только с физическим движением товара.
Такая семантика физического распределения противоречит пониманию данного
термина Д. Бауэрсоксом, который пишет, что "физическое распределение
сводится к обработке и исполнению заказов потребителей плоть до
непосредственной поставки товаров". Далее там же: "Физическое
распределение является неотъемлемым элементом маркетинга и продаж, своевременно
и экономично обеспечивая доступность товаров". По нашему мнению, нужно
принять концепцию В.И. Сергеева о понимании физического распределения лишь как
части сбыта, связанной с материализацией его процесса.
В свою очередь, дистрибьюция определяется В.И. Сергеевым как
"компактная логистическая активность", заключающаяся в продвижении
готовой продукции от производителей к конечным (или промежуточным)
потребителям, организации продаж, предпродажного и послепродажного сервиса. Как
видим, термин "дистрибьюция" является полным синонимом распределения
и употребление того или другого определяется степенью оригинальности перевода с
английского языка. Примечательно то, что автор расширяет трактовку сбыта
добавлением функций организации продаж, а также предпродажного и
послепродажного сервиса. Однако в определении отсутствует упоминание о функциях
транспортирования и хранения готовой продукции.
Можно сформулировать следующий вывод, вытекающий из анализа
понятийно-терминологического аппарата сбытовой логистики:
. сбыт, распределение, физическое распределение и дистрибьюция являются
синонимами и означают одно и то же понятие, которое в настоящее время
трактуется разными авторами по-разному. Различия в звучании объясняются
особенностями перевода;
. Самым распространенным является термин "сбыт", и в дальнейшем
оно будет использоваться для описания многогранного процесса реализации готовой
продукции.
Особенно важным с теоретико-методологической точки зрения является анализ
сущности понятия «сбыт» и сопутствующего ему определения сбытовой логистики.
Говоря о термине «сбыт» в увязке с логистикой, необходимо понять, а чем
же отличие сбыта от логистики сбыта, или сбытовой логистики.
Большинство склоняются к тому, что главное отличие логистической
концепции сбыта от традиционной сбытовой стратегии во многом обусловлено
логистическим подходом к организации сбыта продукции, который проявляется в
том, что:
. процесс управления материальными, информационными, финансовыми и
сервисными потоками подчиняется целям и задачам логистики;
. существует системная взаимосвязь процесса сбыта с процессами производства
и снабжения;
. осуществляется интеграция всех функций внутри самого сбыта.
Суммируя вышесказанное, представляется наиболее полным следующее
определение сбытовой логистики. Это область научных исследований системной
интеграции функций, реализуемых в процессе распределения материального и
сопутствующих ему (информационного, финансового и сервисного) потоков между
различными потребителями, т. е. в процессе реализации товаров, основной целью
которой является обеспечение доставки нужных товаров в нужное место, в нужное
время с оптимальными затратами.
Логистика отвечает за планирование, контроль и управление
транспонированием, складированием и другими операциями, а также способствует
доведению готовой продукции до потребителя. В логистической цепи выделяются следующие
главные звенья: поставка материалов, сырья и полуфабрикатов; хранение, включая
отправку товаров со склада готовой продукции; потребление готовой продукции.
Всю логистическую деятельность, в зависимости от целей и методов, можно разбить
на несколько подгрупп: закупочная логистика, производственная логистика,
логистика снабжения, распределительная логистика и сбытовая логистика.
Вывод
Для того, чтобы повысить эффективность работы предприятия, необходимо
проводить комплекс мер по обеспечению оптимального уровня функционирования
материального потока логистической цепи в условиях постоянно изменяющейся
внешней среды.
материальный финансовый потоковый логистика
2.
Практическая часть
2.1
Характеристика выпускаемой продукции
Завод бытовой техники (ЗБТ) специализируется на выпуске бытовых пылесосов
«Вихрь - 8А», который по своим техническим данным относится к стандартным
моделям. Большинство вспомогательных операций осуществляется вручную, что
влияет на качество их изготовления. Кроме того, пылесосы «Вихрь - 8А» обладают
следующими недостатками:
- значительная масса изделия;
- высокий уровень шума при работе;
- необходимость частичной разборки и последующей сборки корпуса
для удаления собранной пыли и мусора.
На рис. 1 (см. Приложение 1) представлен график объемов выпуска пылесосов
за 2003 г. Анализ динамики выпуска продукции по месяцам свидетельствует о
существенном спаде производства и крайне неравномерном выпуске пылесосов по
месяцам года. Это объясняется в основном неритмичностью поставок сырья, материалов
и комплектующих изделий.
Несвоевременная поставка сырья, материалов и комплектующих изделий
вызвана рядом причин, основными из которых являются:
- нарушение договорных обязательств;
- расторжение договоров из-за высоких цен на комплектующие изделия;
- отсутствие должной системы планирования производства.
Приведенный перечень причин, объясняющий спад производства пылесосов и
неравномерность их выпуска, указывает на проблемы материально-технического
снабжения, а не сбыта продукции. Но следует также отметить, что в настоящее
время с развитием рыночных отношений возникают проблемы, связанные и со сбытом
продукции, не отвечающей мировым стандартам.
2.1.1
Особенности технологического процесса производства продукции
Технологический процесс производства пылесосов «Вихрь-8А» сводится к
четырем основным этапам.
Первый этап - обработка листового металла на штамповочном оборудовании.
Второй этап - химическая обработка деталей, поступивших из штамповочного
производства.
Третий этап - покраска и сушка деталей пылесоса.
Четвертый этап - сборка пылесосов.
Ниже рассматриваются особенности технологического процесса на каждом
участке.
Штамповочный участок
Штамповочный участок предприятия является самым материало- и энергоемким
производством, во многом определяющим себестоимость продукции.
На штамповочном участке изготовляются основные детали для пылесоса:
- верхний и нижний корпуса;
- защитная чашка двигателя;
- металлическое перекрытие.
Исходным сырьем для изготовления указанных деталей является листовое
железо размером 1,0 × 2,0 м и толщиной в пределах 0,5 - 1,0 мм.
Основные операции производства деталей показаны на рис 2 (см. Приложение
2).
Участок обезжиривания и сушки
Химическая обработка деталей, поступивших из штамповочного производства,
осуществляется с помощью агрегата обезжиривания и сушки, на котором детали
обрабатываются вводно-щелочным раствором и горячей водой. После обезжиривания
детали подаются в электрокалорифер, где они сушатся воздухом при температуре
100 С.
Основные операции обезжиривания и сушки деталей показаны на рис. 3 (см.
Приложение 2).
Участок покраски и сушки
Пройдя химическую обработку, металлические детали пылесоса поступают на
участок покраски и сушки.
Основные операции покраски и сушки металлических деталей пылесоса
показаны на рис. 4 (см. Приложение 2).
Сборочный участок
Готовые к сборке детали пылесоса подаются на сборочный участок. Сборка
пылесосов производится вручную. Для перемещения изделий от одного рабочего
места к другому используется сборочный конвейер.
После сборки пылесосы проходят испытание на электробезопасность, а затем
измеряется их производительность.
Собранные и прошедшие испытание пылесосы упаковывают в коробки и
отправляют на склад готовой продукции.
Основные операции сборки пылесосов показаны на рис 5 (см. Приложение 2).
2.1.2
Характеристика звеньев логистической цепи предприятия
Звено «Закупки»
В современной экономической ситуации, когда отсутствуют централизованные
поставки и предприятие должно само заботиться о заключении договоров на
выгодных для себя условиях, значение службы снабжения значительно возросло. От
нее зависит возможность нормального функционирования предприятия.
ЗБТ является некрупным предприятием, работающим в основном на привозном
сырье, т.е. полностью зависящим от поставщика. В себестоимости продукции завода
доля покупных изделий, сырья, материалов составляет 69,8%, причем число
комплектующих весьма велико.
Кроме основного вида сырья - листового железа поставляются также
электродвигатели, гофрированные пластмассовые шланги, фильтры, резиновые
прокладки, различные виды металлического прутка, краски, горюче-смазочные
материалы, картонные упаковки и т.д. Для пылесоса «Вихрь-8А» номенклатура
покупных изделий и материалов включает более 200 наименований. Вся эта
продукция поступает из различных регионов рис 6 и 7 (см. Приложение 3).
Основными узкими местами звена «Закупки» являются:
- несвоевременные поставки сырья, материалов и комплектующих изделий;
- нехватка складских площадей;
- отсутствие должной системы управления запасами.
В отчетном году из-за несвоевременной поставки такого важного
комплектующего изделия, как электродвигатель от Красноармейского и Миасского
заводов, ЗБТ протаивал 21 день, а в результате недостаточной оперативности в
обработке и поступлении информации руководству экономические потери были
равноценны 1 часу простоя завода в день.
Структура затрат звена «Закупки» представлена в табл. 1 (см. Приложение
4) и включает в себя:
1. Заработную плату управленческого персонала (1,29%);
2. Складские расходы (63,47%);
. Транспортные расходы (14,83%);
. Расходы на услуги сторонних организаций (18,82%);
. Прочие (1,59%).
1. В сумме затрат логистической цепи предприятия - 27,61%,
2. В себестоимости пылесоса - 7,96%.
Графики затрат в звене «Закупки» в зависимости от объема месячной партии
выпуска товара представлены на рис. 8 (см. Приложение 5), показывают что
суммарные затраты на единицу продукции имеют возрастающий характер. Это вызвано
следующими причинами:
- увеличением грузопотока материальных ресурсов и, как следствие,
количества необходимых транспортных средств для их доставки;
- возрастанием объема складских работ, что приводит к
увеличению затрат на прием, обработку, содержание, систематическую проверку и
учет состояния материальных ресурсов на складе;
- необходимостью отыскания дополнительных складских площадей и
транспортных средств (при обращении к услугам сторонних организаций) при
объемах месячной партии выпуска пылесосов более 7508 штук.
Указанные причины приводят к возрастанию влияния условно-переменных
затрат на себестоимость работ в звене «Закупки», а также к ступенчатому
характеру роста условно-постоянных затрат.
Исходя из изложенного, можно предположить, что для минимизации своих
затрат звено «Закупки» заинтересовано в снижении объемов выпуска пылесосов.
Звено «Производство»
Взаимодействие логистической системы с процессом производства
осуществляется по двум направлениям. Во-первых, производство должно регулярно
пополнять запасы готовой продукции в системе распределения (звене «Сбыт») и
удовлетворять потребности покупателей. И, во-вторых, производство зависит от
системы материального обеспечения (звена «Закупки»). В этих условиях
мобильность и гибкость системы управления предприятием становятся решающим
фактором, определяющим эффективность функционирования звена «Производство».
Основными узкими местами звена «Производство» являются:
- нерациональное использование производственной мощности;
- недостаток площадей для складирования деталей на штамповочном
участке;
- неправильное хранение некоторых материалов;
- большое количество отходов в штамповочном производстве и на
малярном участке;
- остановки основного производства из-за несвоевременных
поставок комплектующих изделий.
Структура затрат звена «Производство» включает в себя (табл. 2, см.
Приложение 6):
- заработную плату основных рабочих (17,05%);
- цеховые расходы (50,20%);
- общезаводские расходы (27,15%);
- прочие производственные расходы (5,53%);
- потери от брака (0,01%).
Доля затрат звена «Производства» составляет (табл. 5, см. Приложение 12):
в сумме затрат логистической цепи предприятия - 55,15%;
в себестоимости пылесоса - 15,90%.
Из таблицы 2 выбираются затраты, соответствующие максимальному и
минимальному значениям объемов месячного производства. По этим данным определяется
ставка переменных расходов:
, тыс. руб./ед. прод.
Тогда уравнение полных затрат имеет вид:
,
где:
- полные затраты в i-том периоде, тыс. руб.;
А - величина условно-постоянных затрат, тыс. руб.;
- объем производства в i-том периоде, ед. прод.
Отсюда можно рассчитать условно-постоянную составляющую затрат:
Рассмотрим
применение этого метода для разделения суммарных затрат звена «Производство» на
условно-постоянную и условно-переменную части:
)
ставка переменных расходов:
тыс.
руб./шт.;
)
условно-постоянная составляющая затрат:
А
(V = 2650 шт./месяц)
тыс. руб.;
А
(V = 22500 шт./месяц)
тыс. руб.
Среднее
значение условно-постоянных затрат:
тыс. руб.
)
уравнение суммарных затрат звена «Производство» имеет вид:
Графики
затрат в звене «Производство» в зависимости от объема месячной партии выпуска
пылесосов представлены на рисунке 9 (см. Приложение 7). В связи с
незакономерным изменением затрат в звене «Производство» относительно объема
выпуска продукции, для их разделения на условно-постоянную и условно-переменную
части использован метод высшей и низшей точек.
Расчет
затрат звена «Производство» методом высшей и низшей точки представлен в таблице
3 (см. Приложение 8).
Анализируя
графики затрат в звене «Производство», можно сделать вывод, что для минимизации
своих затрат данное звено стремится к увеличению размеров партий выпуска
продукции, так как при этом снижаются условно-постоянные затраты на единицу
продукции, влияние которых особенно заметно при объемах месячной партии выпуска
пылесосов до 17000 шт.
Звено
«Сбыт»
Сбытовой
деятельностью на ЗБТ занимается сбытовой отдел. Поставки готовой продукции
осуществляются как по договорам, так и по письмам. Вследствие того, что из
своего транспорта ЗБТ имеет только один грузовик «Камаз», который используется
в основном для поставки сырья, материалов и комплектующих изделий, отгрузка
готовой продукции осуществляется либо транспортом заказчика, либо по железной
дороге в контейнерах с оплатой франко-станцией назначения, т.е. большую часть
транспортных расходов оплачивает покупатель.
Основными
узкими местами звена «Сбыт» являются:
- отсутствие маркетинговых исследований рынка сбыта пылесосов;
- нехватка транспортных средств.
География сбыта пылесосов «Вихрь-8А», выпускаемых ЗБТ, довольно велика.
На рисунке 10 и 11 (см. Приложение 9) показаны схемы потоков готовой продукции
завода по России и странам СНГ. Как видим, транспортные расходы представляют
значительную долю розничной цены пылесоса, что существенно снижает его
конкурентоспособность, а нехватка собственных транспортных средств приводит к
снижению качества обслуживания оптовых покупателей и их числа.
Характеристика рынков сбыта ЗБТ показана в таблице 4 (см. Приложение 10).
Оценка практических продаж отчетного года позволяет сделать следующие выводы:
) завод имеет довольно низкий уровень обслуживания рынка покупателей,
потребности рынка (266000 шт./год) были удовлетворены всего на 51,4% (158150
шт./год);
2) доля продаж по России составила 88,1% в их общем виде;
) основными рынками сбыта являлись Санкт-Петербург (29,9%), Москва и
Московская область (21,5%);
Прогноз возможных продаж пылесосов ЗБТ в следующем году приводит к такому
заключению:
) объем продаж может увеличиться на 57938 шт.;
2) доля российских рынков сбыта в их общем объеме уменьшится на 7%,
значительно может снизиться объем продаж в Санкт-Петербурге (на 9,6%) и Москве
(на 4,0%), что объясняется усилением конкуренции со стороны западных
производителей пылесосов;
) доля рынков сбыта стран СНГ возрастет до 18,9%. Увеличение сбыта на
Украину, Казахстан, Молдову, Закавказье и Белоруссию объясняется углублением
экономического кризиса и дальнейшим спадом производства в этих странах, в
результате чего относительно невысокая цена пылесоса «Вихрь-8А» значительно
повышает конкурентные позиции ЗБТ.
Структура затрат звена «Сбыт» включает в себя (табл. 6, см. Приложение
11):
- заработную плату управленческого персонала (1,37%);
- складские расходы (52,63%);
- транспортные расходы (11,59%);
- расходы на рекламу (27,85%);
- прочие (6,56%).
Доля затрат звена «Сбыт» составляет (смотреть табл. 5, см. Приложение
12):
в сумме затрат логистической цепи предприятия - 17,23%;
в себестоимости пылесоса - 4,97%.
Данное увеличение сбытовых затрат на единицу продукции объясняется в
основном расходами на рекламу, а точнее - ступенчатым характером возрастания
условно-постоянной составляющей этих затрат. В результате и зависимость
суммарных затрат на единицу продукции звена «Сбыт» носит возрастающий характер.
Таким образом, звено «Сбыт», как и звено «Закупки», не заинтересовано в
увеличении объемов выпуска пылесосов, что противоречит интересам
производственных подразделений предприятия.
2.2
Разработка мероприятия по оптимизации движения материального потока предприятия
.2.1
Определение оптимальной партии выпуска продукции
Для определения оптимальной партии выпуска продукции необходимо
согласовать противоречивое поведение затрат в звеньях логистической цепи
«Закупки - Производство - Сбыт». Для этого требуется определить в них
оптимальные затраты. Минимум суммы затрат в звеньях логистической цепи и будет
представлять их оптимальные значения.
С целью отыскания оптимальных затрат в звеньях логистической цепи и
определения оптимальной партии выпуска пылесосов строят зависимости затрат на
единицу продукции в звеньях «Закупки», «Производство», «Сбыт» от объема
выпускаем заводом продукции - зависимости
,
и
соответственно на рисунке 13 (см.
Приложение 14). На этом же рисунке показаны затраты предприятия на сырье,
материалы, покупаемые изделия и полуфабрикаты в расчете на единицу продукции
(зависимость
). На основании данных зависимостей строят графики суммарных
затрат логистической цепи (зависимость
) и полных затрат на производство и
реализацию продукции (зависимость
).
Из рисунка 13 видно, что минимальное значение суммарных затрат
логистической цепи на единицу продукции (точка А1) равно 2 494 руб./шт., а
минимальное значение полных затрат на производство и реализацию пылесосов на
единицу продукции (точка А2) - 9 800 руб./шт. Данным затратам соответствует
оптимальная месячная партия выпуска пылесосов, равная 17 650 единицам (211 800
штук в год).
Изменения в структуре себестоимости пылесоса и расчет экономического
эффекта (прибыли) при оптимальном объеме выпуска продукции представлены в
таблице 7 (см. Приложение 15).
Как следует из таблицы 7, фактические затраты в логистической цепи
«Закупки - Производство - Сбыт» составляют:
руб./шт.
Таким образом, при оптимальном объеме выпуска пылесосов затраты в
логистической цепи «Закупки - Производство - Сбыт» снижаются на:

руб./шт.
Рассмотрим
возможные пути устранения основных причин недостатка выпуска пылесосов.
2.2.2 Выбор
варианта закупки электродвигателей
Несвоевременная поставка такого важного комплектующего изделия, как
электродвигатель, является наиболее узким местом в процессе закупке исходных
материальных ресурсов.
Исследования рынка закупок показали, что в будущем году есть возможность
заключить договор на поставку электродвигателей с новыми поставщиками.
Возможные поставщики электродвигателей в будущем году представлены в таблице 8
(см. Приложение 15). Характеристика этих поставщиков показывает наличие
различий в условиях поставок, а именно:
в объемах поставок и возможных недопоставок;
цене электродвигателя, влияющей на материальные затраты;
затратах в звене «Закупки».
Поэтому экономическая оценка возможных вариантов закупки
электродвигателей должна учитывать влияние всех перечисленных различий в
условиях поставок.
Фактический экономический эффект (прибыль) от функционирования
предприятия в отчетном году уже учитывает потери ЗБТ из-за недопоставок
электродвигателей. Значит, для приведения фактического и оптимального
экономических эффектов к сопоставимому виду и при расчете оптимального экономического
эффекта требуется учитывать реальные условия, в которых функционирует
предприятие. Это предполагает необходимость учета влияния указанных выше
факторов закупки электродвигателей при обеспечении оптимального объема
производства и сбыта продукции.
В этом случае затраты на производство и сбыт продукции не изменяются,
т.е. объем производства и сбыта остается оптимальным, а изменяются затраты на
закупку материальных ресурсов и их стоимость. Таким образом, планируемый
оптимальный и фактический экономический эффекты приводятся к сопоставимому
виду.
Экономическая оценка возможных вариантов закупки электродвигателей у
различных поставщиков произведена в таблице 9 (см. Приложение 16). В качестве
идеального варианта выбран вариант закупки оптимальной партии электродвигателей
(равной оптимальному объему выпуска пылесосов) у прошлогодних поставщиков
(Красноармейского и Миасского заводов) без учета потерь из-за недопоставок.
Относительно идеального варианта закупки электродвигателей и рассчитаны
изменения экономического эффекта (прибыли) предложенных вариантов.
В качестве примера рассмотрим расчет экономического эффекта (прибыли) при
закупке электродвигателей на Санкт-Петербургском АО «Электросила».
. Объем выпуска пылесосов равен оптимальному - 211800 шт.
2. Объем поставки пылесосов - из условий поставки следует, что АО
«Электросила» может обеспечить 100% заказанного объема электродвигателей -
211800 шт.
3. Число рабочих дней в году: 12 × 22 = 264 дня, исходя их того, что в
месяце 22 рабочих дня (по условию задачи).
. Число дней простоя - по экспертным оценкам, АО «Электросила» может
недопоставить двигатели в количестве, необходимом для работы ЗТБ в оптимальных
условиях в течение 20 дней.
. Объем недовыпуска пылесосов за дни простоя:
шт./год.
. Необходимый объем заказов, обеспечивающий оптимальный объем выпуска,
равен оптимальному объему выпуска пылесосов (и закупки электродвигателей),
увеличенному на объем недовыпуска за дни простоя (недопоставки
электродвигателей):
шт./год.
В этом случае месячная партия закупки электродвигателей составит:
шт./мес.
. Затраты на закупку необходимого объема заказов, в связи с тем что
объем партии закупки электродвигателей больше оптимально, возрастут. Из рисунка
13 находим, что при месячной партии заказа материальных ресурсов,
обеспечивающей выпуск 16045 пылесосов в месяц, затраты в звене «Закупки»
составляют 865,0 руб./шт.
8. Изменение цены на электродвигатель - в идеальном варианте
Красноармейский и Миасский заводы продают электродвигатель по цене 1400
руб./шт. Электродвигатель же предприятия «Электросила» стоит 1800 руб./шт.
Значит, в данном варианте закупки цена электродвигателя увеличится на 400
руб./шт.
. Изменение затрат в звене «Закупки» вследствие закупок большими
партиями с учетом того, что доля затрат на закупку электродвигателей в общей
сумме затрат звена «Закупки» составляет 0,2 (по условию задачи), а оптимальные
затраты на закупки - 1019,0 руб./шт.
руб./шт.
Из условий поставки следует, что при закупке электродвигателей на
«Электросиле» затраты в звене «Закупки» снизятся в 2 раза относительно
фактического уровня. Фактические затраты на закупки в отчетном году составили
874,0 руб./шт. Тогда снижение затрат в звене «Закупки» составит:
. Себестоимость пылесоса «Вихрь-8А» с учетом изменения цены
электродвигателя и затрат на его покупку равняется (при оптимальной
себестоимости в идеальном варианте 10029 руб./шт.):
. В этом случае прибыль от реализации пылесоса по оптовой цене 12023
руб./шт. составит:
.
. Изменение экономического эффекта при оптимальном экономическом
эффекте (прибыли) 1994,0 руб./шт. в идеальном варианте ЗБТ в случае закупки
электродвигателей на Санкт-Петербургском предприятии АО «Электросила»
дополнительно составит:
Аналогичным образом рассчитаны экономические эффекты других возможных
вариантов закупки электродвигателей (таблица 9). Расчеты показывают, что из
всех возможных вариантов наиболее эффективным является рассмотренный выше
вариант закупки электродвигателей на Санкт-Петербургском предприятии АО
«Электросила»:
2.2.3
Применение вычислительной техники для повышения оперативности обработки информации
В решении проблемы оптимизации движения материального потока решающую
роль играет фактор времени, в частности оперативность поступления информации о
перемещении материальных ресурсов руководству предприятия. На заводе сбор и
обработка суточной информации производятся вручную и только на следующий день,
в результате чего снижается оперативность, а значит, и ценность информации.
Повышение оперативности обработки и поступления информации руководству
может быть обеспечено посредством автоматизации процесса сбора и обработки
информации.
Годовой экономический эффект от применения вычислительной техники
определяется по формуле:
,
где:
- годовой экономический эффект от применения вычислительной
техники, руб./год;
- снижение приведенных затрат, получаемое в результате применения
вычислительной техники, руб./год;
- дополнительные приведенные затраты, связанные с
приобретением, установкой и обслуживанием вычислительной техники, руб./год.
Снижение приведенных затрат происходит вследствие экономии на трудовых
ресурсах и повышения оперативности принятия управленческих решений:
где: ∆
- экономия на трудовых ресурсах в результате оптимизации
процесса сбора и обработки информации, руб./год;
∆
- экономия в результате повышения оперативности доступа к
информации и принятия управленческих решений, руб./год.
Экономия, получаемая вследствие повышения оперативности доступа к
информации и принятия управленческих решений, обусловлена снижением простоев
завода с 1 до 0,5 часа в день и соответственно снижением потерь из-за
недовыпуска за время простоев.
Рассчитаем экономию, получаемую в результате повышения оперативности
доступа к информации и принятия управленческих решений:
где:
- годовой фонд рабочего времени завода, ч/год;
∆
- снижение простоев завода, ч/год;
-
экономический эффект (прибыль) на единицу продукции, получаемый при оптимальной
партии выпуска продукции, руб./шт.
Годовой
фонд рабочего времени ЗБТ при 14-часовом рабочем дне:
ч/год.
Снижение
простоев завода при внедрении вычислительной техники:
ч/год.,
тогда
∆
тыс. руб./год.
Расчет
годового экономического эффекта от применения вычислительной техники в процессе
сбора и обработки информации о перемещении материальных ресурсов произведен в
таблице 11 (см. Приложение 17) по данным таблицы 10 (см. Приложение 17).
Из
таблицы 11 следует, что снижение оптимальных затрат в логистической цепи
вследствие повышения оперативности обработки информации может в следующем году
составить:

Изменение экономического эффекта на единицу продукции в результате
проведения мероприятий по оптимизации движения материального потока показано в
таблице 12 (см. Приложение 18).
На основании данных таблицы 12 рассчитаем:
руб./шт.
руб./шт.
руб./шт.
Отсюда экономический эффект (прибыль) на единицу продукции, получаемый от
оптимизации движения материального потока, равен:
руб./шт.
2.3 Разработка
мероприятий по оптимизации использования материального потока предприятия
.3.1 Снижение
отходов штамповочного производства
Для производства заготовок верхнего и нижнего корпусов пылесоса
«Вихрь-8А» (две заготовки на один пылесос) в настоящее время используются
стальные листы, но возможно использование и стальной ленты. В этом случае
процент отходов в общем объеме используемого металла снижается с 36 до 28%, что
обусловлено отсутствием мерной полосы на стальной ленте.
Расчет стоимости одной заготовки корпуса пылесоса при использовании
стального листа и стальной ленты приведен в таблице 13 (см. Приложение 19).
Экономический эффект от применения стальной ленты определяется снижением
расхода листового железа для изготовления заготовок корпусов пылесоса и, как
следствие, снижением стоимости закупаемых материальных ресурсов, которое, по
данным таблицы 13, составило:
∆
= -∆
= 11,2 руб./шт.
2.3.2
Снижение брака заготовок
При замене стального листа на стальную ленту потери от брака заготовок
корпусов пылесоса снижаются с 4% до 1%. Это обусловлено в основном тем, что
разрезание стального листа на заготовки более трудоемко, чем разрезание
стальной ленты. Установка стальной ленты на гильотине также может
осуществляться более точно в силу того, что не требуется ее перестановка -
разрезание производится через равные отрезки ленты.
Расчет потерь из-за брака заготовок корпусов пылесоса при использовании
стального листа и стальной ленты по данным таблиц 14 (см. Приложение 20) и 15
(см. Приложение 20) представлен в таблице 16 (см. Приложение 21).
Замена стального листа на стальную ленту приводит к увеличению
экономического эффекта на единицу продукции, получаемого ЗБТ вследствие
снижения брака в штамповочном производстве:
∆
= -∆
= 4,0 руб./шт.
Дополнительные условия.
число рабочих дней в месяце - 22.
продолжительность рабочего дня - 14 часов.
доля затрат на закупку электродвигателей в общей сумме затрат звена
«Закупки» - 0,2.
2.3.3
Использование отходов штамповочного производства
При использовании стальной ленты для изготовления корпусов пылесоса, как
указывалось выше, отходы составляют 28%. Для повышения эффективности функционирования
штамповочного участка и всего завода в целом, а также для более рационального
использования листового железа целесообразно найти применение получаемых
отходам.
Так, из них можно производить крепежные скобы двух видов: «уголок» и
прямоугольные. Для скоб из отходов металла, идущего на изготовление одного
корпуса пылесоса, можно получить 20 прямоугольных скоб и 8 «уголков».
Экономический эффект данного мероприятия определяется прибылью,
получаемой от реализации крепежных скоб и отходов в металлолом. В расчетах
экономического эффекта от использования отходов штамповочного производства
необходимо учитывать снижение стоимости отходов в металлолом, которая была
учтена при замене стального листа на стальную ленту. В этом случае прибыль от
реализации крепежных скоб будет не увеличиваться на величину стоимости
металлолома, а уменьшаться за счет снижения последней.
Расчет прибыли, получаемой ЗБТ при использовании отходов штамповочного
производства для изготовления крепежных скоб, представлен в таблице 17 (см. Приложение
22).
Увеличение экономического эффекта на единицу продукции, получаемого ЗБТ
вследствие использования отходов штамповочного производства для изготовления
крепежных скоб, составляет:
∆
= -∆
= 96,2 руб./шт.
2.3.4
Экономический эффект от оптимизации использования материального потока
Разработка мероприятий по оптимизации использования материальных ресурсов
показывает, что при их проведении ЗБТ может существенно повысить эффективность
своего функционирования. Изменение экономического эффекта на единицу продукции
вследствие проведения мероприятий по оптимизации использования материального
потока показано в таблице 18 (см. Приложение 23).
На основании данных таблицы 18 рассчитаем:
∑∆
.
= -11,2 руб./шт.
∑∆
= -100,2 руб./шт.
Отсюда экономический эффект (прибыль) на единицу продукции, получаемый от
оптимизации использования материального потока, равен:
= -(-11,2 - 100,2) = 111,4 руб./шт.
2.4
Оптимизация материального потока предприятия
Анализ движения и использования материального потока, а также разработка
мероприятий оп их оптимизации позволяют дать количественную оценку
эффективности функционирования ЗБТ в отчетном году.
Изменения в структуре себестоимости пылесоса «Вихрь-8А» после проведения
мероприятий по оптимизации материального потока представлены в таблице 19 (см.
Приложение 23).
Для оценки эффективности функционирования ЗБТ рассчитаем традиционный и
логистический показатели эффективности.
Традиционный показатель эффективности определяется по формуле:
где:
Э - экономический эффект (прибыль) на единицу продукции, руб./шт.;
С
- себестоимость единицы продукции, руб./шт.
В
отчетном году традиционный показатель эффективности составил:
После
проведения мероприятий по оптимизации материального потока в будущем году он
может составить (по данным таблицы 19):
Традиционный
показатель эффективности показывает, что в будущем году при оптимизации
материального потока с каждой 1000 рублей затрат можно будет получить 279
рублей прибыли, что на 108 рублей больше, чем в отчетном году.
Оценим
эффективность функционирования материального потока ЗБТ с позиции логистической
концепции управления по выражению:
Для
этого рассчитаем потенциальный экономический эффект (прибыль), который может
быть получен при оптимизации материального потока:
руб./шт.
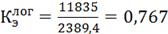
Отсюда
логистический показатель эффективности функционирования материального потока
ЗБТ равен:
доли ед.
Данный
показатель характеризует качество движения и использования ограниченных
ресурсов предприятия. Он позволяет заключить, что в отчетном году ЗБТ
реализовал свои возможности только на 67%, в результате чего им было
недополучено: с каждого проданного пылесоса:

руб./шт.,
в
течение года: