Экономико-статистический анализ производительности труда ОАО 'Бурятмясопром'
Введение
Производительность труда характеризует
способность работника произвести за единицу времени определенное количество
товаров. Производительность является одним из важнейших качественных
показателей работы предприятия, выражением эффективности затрат труда. Уровень
производительности труда характеризуется соотношением объема произведенной
продукции или выполненных работ и затрат рабочего времени. От уровня
производительности труда зависят темпы развития промышленного производства,
увеличение заработной платы и доходов, размеры снижения себестоимости
продукции.
Повышение производительности труда путем
механизации и автоматизации труда, внедрения новой техники и технологии
практически не имеет границ. Уровень производительности труда на предприятии и
возможности его повышения определяются рядом факторов и резервов роста. Под
факторами роста производительности труда понимаются причины, обусловливающие
изменения ее уровня. Под резервами роста производительности труда на
предприятии подразумеваются неиспользуемые еще реальные возможности экономии
трудовых ресурсов.
Поэтому целью экономико-статистического анализа
производительности труда является выявление возможностей дальнейшего увеличения
выпуска продукции за счет роста производительности труда, более рационального
использования работающих и их рабочего времени.
Повышение производительности труда - один из
объективных экономических законов, присущих каждой общественно-экономической
формации. Этот закон выражается в том, что благодаря развитию производительных
сил общество сокращает общественно необходимые затраты труда на изготовление
различных продуктов, предназначенных для личного или общественного потребления.
По мере накопления людьми опыта, знаний, раскрытия законов природы, овладения
ими и их использования происходит последовательное повышение производительности
труда.
Цель
курсовой работы - провести экономико-статистический анализ производительности
труда ОАО «Бурятмясопром».
Объект
работы - Открытое акционерное общество «Бурятмясопром».
Предмет
курсовой - производительность труда на предприятии.
Исходя из поставленной цели, в курсовой работе
последовательно ставятся и решаются следующие задачи:
раскрыть понятие производительности труда;
обозначить методы измерения производительности
труда;
рассмотреть экономико-статистический анализ
производительности труда ОАО «Бурятмясопром»;
выявить обеспеченность ресурсами и эффективность
их использования;
выяснить финансовые результаты хозяйственной
деятельности предприятия;
провести статистическое изучение производительности
труда на ОАО «Бурятмясопром»;
определить статистическую оценку и
прогнозирование состояния предприятия.
Решение перечисленных задач позволяет вскрывать
достижения и недостатки в организации производства, дает возможность
руководителям предприятий закреплять достигнутые в работе успехи и устранять
имеющиеся недостатки.
При проведении исследования было использовано
множество литературных источников, законодательная и нормативная база, а также
ряд учебных пособий, научных статей, затрагивающих вопросы анализа
производительности труда. В качестве статистической базы исследования выступает
бухгалтерская, финансовая и экономическая отчетность ОАО «Бурятмясопром».
Глава 1. Теоретические основы
анализа производительности труда
.1 Определение понятия производительности труда
Производительность труда характеризует
эффективность, результативность затрат труда и определяется количеством
продукции, произведенной в единицу рабочего времени, либо затратами труда на
единицу произведенной продукции или выполненных работ.
На предприятиях производительность труда
определяется как эффективность затрат только живого труда и рассчитывается
через показатели выработки (В) и трудоемкости (Тр) продукции, между которыми
имеется обратно пропорциональная зависимость.
Выработка - основной показатель
производительности труда, характеризующий количество (в натуральных
показателях) или стоимость произведенной продукции (товарная, валовая, чистая
продукция), приходящиеся на единицу времени (час, смена, квартал, год) или
одного среднесписочного работника.
Выработка, рассчитанная в стоимостном выражении,
подвержена действию ряда факторов, которые искусственно влияют на изменение
выручки, например цена потребляемого сырья, материалов, изменение объема
кооперативных поставок и т.п. В отдельных случаях выработка рассчитывается в
нормо-часах. Этот метод называется трудовым и используется при оценке
производительности труда на рабочем месте, в бригаде, цехе и т.д.
Изменение производительности труда оценивается
путем сопоставления выработки последующего и предшествующего периодов, т.е.
фактической и плановой. Превышение фактической выработки над плановой
свидетельствует о росте производительности труда.
Выработка рассчитывается как отношение объема
произведенной продукции (ОП) к затратам рабочего времени на производство этой
продукции (Т) или к среднесписочной численности работников либо рабочих
(Ч): В = ОП/Т или В = ОП/Ч (1)
Аналогично определяется часовая (Вч) и дневная
(Вдн) выработка на одного рабочего:
Вч = ОПмес /Тчас; Вдн
= ОПмес /Тд (2)
Где - ОПмес - объем продукции за
месяц (квартал, год);
Тчас, Тдн - количество
человеко-часов, человеко-дней (рабочего времени), отработанных всеми рабочими
за месяц (квартал, год).
При расчете часовой выработки в состав
отработанных человеко-часов не включаются внутрисменные простои, поэтому она
наиболее точно характеризует уровень производительности живого труда. При
расчете дневной выработки в состав отработанных человеко-дней не включаются
целодневные простои и невыходы.
Объем произведенной продукции (ОП) может быть
выражен в натуральных, стоимостных и трудовых единицах измерения
соответственно. Трудоемкость продукции выражает затраты рабочего времени на
производство единицы продукции. Определяется на единицу продукции в натуральном
выражении по всей номенклатуре изделий и услуг. При большом ассортименте
продукции на предприятии определяется по типичным изделиям, к которым
приводятся все остальные.
В отличие от показателя выработки этот
показатель имеет ряд преимуществ:
устанавливает прямую зависимость между объемом
производства и трудовыми затратами;
исключает влияние на показатель
производительности труда изменений в объеме поставок по кооперации,
организационной структуре производства;
позволяет тесно увязать измерение
производительности с выявлением резервов ее роста;
сопоставить затраты труда на одинаковые изделия
в разных цехах предприятия.
Трудоемкость определяется по формуле:
Тр =Т/ОП (3)
производительность труд прогнозирование
Где - Тр - трудоемкость,
Т - время, затраченное на производство всей
продукции, нормо-часов, человеко-часов;
ОП - объем произведенной продукции в натуральном
выражении.
В зависимости от состава затрат труда,
включаемых в трудоемкость продукции, и их роли в процессе производства выделяют
технологическую трудоемкость, трудоемкость обслуживания производства,
производственную трудоемкость, трудоемкость управления производством и полную
трудоемкость.
Технологическая трудоемкость (Ттехн)
отражает затраты труда основных производственных рабочих-сдельщиков (Тсд)
и рабочих-повременщиков (Тповр):
Ттехн = Тсд + Тповр
(4)
Трудоемкость обслуживания производства (Тобс
л) представляет собой совокупность затрат вспомогательных рабочих цехов
основного производства (Твспом) и всех рабочих вспомогательных цехов
и служб (ремонтного, энергетического и т.д.), занятых обслуживанием
производства
труд финансовый статистический
производительность
(Твсп): Тобсл = Твспом
+ Твсп (5)
Производственная трудоемкость (Тпр)
включает затраты труда всех рабочих, как основных, так и вспомогательных:
Тпр = Ттех + Тобсл
(6)
Трудоемкость управления производством (Ту)
представляет собой затраты труда служащих (руководителей, специалистов и
собственно служащих), занятых как в основных и вспомогательных цехах (Тсл.пр),
так и в общезаводских службах предприятия
(Тсл.зав): Ту = Ттехн
+ Тсл.зав (7)
В составе полной трудоемкости (Тполн)
отражаются затраты труда всех категорий промышленно-производственного персонала
предприятия:
Тполн =Ттехн + Тобсл +
Ту (8)
В зависимости от характера и назначения затрат
труда каждый из указанных показателей трудоемкости выделяется:
- нормативная трудоемкость - это время выполнения операции,
рассчитанное на основе действующих норм времени по соответствующим
технологическим операциям для изготовления единицы изделия или выполнения
работы. Нормативная трудоемкость выражается в нормо-часах. Для перевода ее в
фактические затраты времени она корректируется с помощью коэффициента
выполнения норм, который увеличивается по мере роста квалификации рабочего;
- фактическая трудоемкость - это фактические затраты времени
одного рабочего на выполнение технологической операции или изготовление единицы
изделия в данный период;
- плановая трудоемкость - это затраты времени одного рабочего
на выполнение технологической операции или изготовление единицы изделия,
утвержденные в плане и действующие в течение планового периода.
Среди обстоятельств, влияющих на уровень
производительности труда, можно выделить факторы. Под факторами роста
производительности труда следует понимать всю совокупность движущих сил и
причин, определяющих уровень и динамику производительности труда. Факторы роста
производительности труда весьма разнообразны и в совокупности составляют
определенную систему, элементы которой находятся в постоянном движении и
взаимодействии.
Исходя из сущности труда как процесса
потребления рабочей силы и средств производства, все множество факторов,
определяющих рост производительности труда, целесообразно объединить в две
группы:
-
материально-технические, обусловленные уровнем развития и использования средств
производства, в первую очередь техники;
-
социально-экономические, характеризующие степень использования рабочей силы.
Эффективность действия указанных факторов
определяется естественными и общественными условиями, в которых они продляются
и используются. Естественные условия - это природные ресурсы, климат, почва и
т.д., влияние которых весьма значительно в добывающих отраслях.
Общественные условия роста производительности
труда при рыночной экономике порождены новой системой производственных отношений,
в основе которых лежит частная собственность на средства производства.
Такими условиями являются новые прогрессивные
формы организации труда, новые экономические методы хозяйствования и управления
производством, повышение материального благосостояния народа и
общеобразовательного и культурно-технического уровня работников.
1.2 Методы измерения производительности труда
Проблема измерения производительности труда
является не менее сложной, чем определение самой сущности данной экономической
категории. На практике используются различные методы измерения выработки и
динамики производительности труда. Применение того или иного метода
обусловлено, во-первых, уровнем, на котором измеряется производительность
труда, а во-вторых, задачей, которая стоит перед экономической службой,
производящей расчеты.
По уровню измерения производительности труда
можно выделить индивидуальные рабочее место (бригады, участки), выпускающие
однородную продукцию. Здесь целесообразно применять натуральный метод для
определения объема произведенной продукции и выработки (в штуках, тоннах,
кубических или квадратных метрах и т.д.). Метод прост, нагляден и достоверен.
Однако практически он используется скорее как исключение, чем, как правило: на
редком рабочем месте, а тем более в бригаде или на участке, производится
совершенно одинаковая продукция. Поэтому здесь часто используется условно -
натуральный метод, при котором один вид продукции или работы приравнивается к
другому (преобладающему) по относительной трудоемкости.
Разумеется, при расчетах объемов продукции и
выработки необходимо использовать неизменную (нормативную) трудоемкость единицы
продукции. Применение коэффициентов приведения к условно-натуральным по
потребительским свойствам продукции (мощность, вес. Содержание полезных
компонентов и т.п.) для измерения производительности труда неприемлемо, так как
между этими физическими и трудовыми показателями нет функциональной связи.
Когда на рабочих местах, в бригадах и на
участках производится большое количество разнообразной и часто меняющейся
продукции, не имеет смысла пересчитывать всю номенклатуру продукции к одному
какому-то натуральному измерителю. Объем продукции или работ и выработку
определяют в трудовом измерении - в неизменных нормо-часах (объемы работ
умножаются на соответствующие нормы времени, результаты суммируются).
Трудовой метод измерения производительности
обладает рядом недостатков (недостаточное обоснование и неравно напряженность
норм, их частые пересмотры и т.д.), что не способствует объективной оценке и динамики
производительности труда даже на отдельных рабочих местах и в бригадах.
На уровне предприятий и их крупных
подразделений, ровно, как и в отраслях народного хозяйства, для измерения
объемов производства и производительности труда применяется в основном
стоимостной метод: все виды и объемы продукции. Работ и услуг выражаются в
едином денежном показателе - в рублях, который определяется путем умножения
объемных показателей на соответствующие оптовые цены. Выработка также
рассчитывается в денежном выражении.
Сложность методики стоимостного метода измерения
объемов и производительности труда заключается в выборе наиболее приемлемого
для конкретных условий способа исчисления объемов производства. Наиболее
употребительными методами измерения объемов производства являются показатели
валовой, товарной и реализованной продукции. При одинаковых оптовых ценах
валовая продукция, рассчитанная по заводскому методу, отличается от товарной на
величину измерений остатков незавершенного производства, а реализованная от товарной
- на сумму остатков предназначенной для реализации. Но не реализованной
продукции.
Таким образом, при определении выработки по
валовой продукции получается, казалось бы, наиболее точный результат. Однако в
условиях рыночной экономики гораздо боге важно измерение производительности по
реализованной продукции, так как увеличение незавершенного производства и
накопление остатков нереализованной продукции не имеют положительного
экономического значение.
Недостатком измерения объемов производства и
выработки по валовой товарной и реализованной продукции является то, что
оптовые цены включают стоимость всех материалов затрат. Поскольку в
отечественной практике при определении выработки объемные показатели относятся
только к живому труду (часы, дни или численность работников), то уровень
выработки в стоимостном выражении в значительной степени подвержен изменению
материалоемкости: всякое увеличение материальных затрат, будь то более дорогие
материалы или возросшие поставки по кооперации с другими предприятиями, создает
видимость повышения производительности труда, а уменьшение материалоемкости -
видимость снижение этого показателя.
Для устранения искажающего влияния изменений
материалоемкости на показатели объемов производства и выработки применяются
дополнительные методы измерения: по условно-чистой, чистой, нормативной чистой
продукции и по нормативной стоимости обработки. Использование этих методов
полностью или частично устраняет искажающее влияние изменений материалоемкости,
но каждый из них имеет тот или иной недостаток и по существу ни один полностью
не отвечает требованиям рыночной экономики.
Объем условно-чистой продукции определяется
путем вычитания из стоимости валовой продукции прямых материальных затрат (на
сырье, комплектующие изделия, энергию, топливо и т.п.). Остаются заработная
плата с начислениями, амортизация основных фондов и прибыль. Влияние изменений
материальных затрат устраняется, но возрастает удельный вес прибыли и
амортизационных отчислений, их изменения могут показатели объемов и производительности
труда.
Чистая продукция рассчитывается путем исключения
из стоимости валовой продукции всех материальных затрат, включая амортизацию.
При расчете объемов и производительность труда искажающее влияние затрат
прошлого труда полностью устраняется, но существенно возрастает удельный вес
прибыли. Поэтому в условиях разно прибыльности различных видов продукции именно
прибыль играет главную роль в искажении показателей объемов чистой продукции и
производительности труда, исчисляемой на ее основе. Следует отметить, что разно
прибыльность характерна только для нашего народного хозяйства, многие
десятилетия развивавшегося в рамках централизованного планирования, в котором
законы стоимости и уравнения средней нормы прибыли не действовали. В
большинстве зарубежных стран существенных различий в уровне прибылей нет,
поэтому многие западные экономисты считают метод чистой продукции вполне
приемлемым для определения объемов продукции и производительности труда.
Нормативная чистая продукция (НЧП) в отличие от
чистой включает норматив заработной платы с начислениями и среднеотраслевую
прибыль. За счет этого устранения влияние разно прибыльности различных видов
продукции.
В практике применения этого метода возникли
определенные трудности и недостатки:
во-первых, появилась необходимость создать целую
систему нормативов заработной платы на все виды продукции, параллельную систему
оптовых цен. В массовом производстве это не составило особых трудностей, но в
штучном и мелкосерийном с часто меняющейся номенклатурой продукции вызвало
серьезные затруднения;
во-вторых, при разработке нормативов заработной
платы, которые и составляют основу НЧП, проявилась тенденция к завышению данных
нормативов, что привело к относительному увеличению трудоемкости, а значит - и
к замедлению темпов роста производительности труда;
в-третьих, показатель НЧП слабо связан с
конечными финансовыми результатами работы предприятий: можно получить хорошие
«нормативно-чистые» показатели объемов выпуска продукции и производительности
труда, но не иметь прибыли, например, за счет перерасхода материальных
ресурсов.
Уже по одной причине использование показателя
НЧП как основного метода при оценке деятельности предприятий в условиях
рыночной экономики представляется нецелесообразным. Он найдет широкое применение
только в целях анализа.
Метод нормативной стоимости обработки (НСО)
применяется для определения объемов производства и производительности труда в
легкой промышленности. В нормативы стоимости обработки включаются: заработная
плата производственных рабочих с начислениями; норматив общезаводских расходов.
Производственные материальные затраты в НСО не входят. Не находит в ней
отражение и прибыль. В условиях рыночной экономики метод НСО следует отнести,
как и метод нормативной чистой продукции, к аналитическим, но не основным
методам измерения объемов и производительности труда. Поскольку в условиях
рыночных отношений между конечными результатами производства и показателями
производительности труда должна поддерживаться постоянная и тесная связь,
представляется целесообразным ввести новый показатель производительности труда
на предприятиях, основанный на соизмерении объемов произведенной или
реализованной продукции с совокупными затратами труда и текущих ценах. При
таком измерении существенно расширяется и круг факторов, влияющих на
производительность труда.
Глава 2.
Организационно-экономическая характеристика ОАО «Бурятмясопром»
2.1 Организационная характеристика предприятия
Полное фирменное наименование: Открытое
акционерное общество «Бурятмясопром», сокращенное наименование: ОАО
«Бурятмясопром».
Открытое акционерное общество «Бурятмясопром»
зарегистрировано 12.11.96 г., является правопреемником государственного
предприятия «Комбинат мясной Улан-Удэнский», основанного в 1937 году.
Основной вид деятельности:
переработка мяса;
производство мясной продукции;
колбасные изделия;
консервы;
полуфабрикаты;
прочее.
В прочую продукцию входят: костная мука, жир,
субпродукты, мясо сырье.
Форма собственности - частная. Предприятие
является монополистом по производству и сбыту колбасных изделий на внутреннем
рынке консервов в Сибири, Забайкалье и на Дальнем Востоке. Поставляет продукцию
Министерству Обороны РФ, в Госрезерв РФ, выигрывая конкурсы на размещение
Госзаказов.
Географические границы товарного рынка колбасных
изделий включают в себя не только внутренний рынок, но и рынок соседних
областей Иркутской, Читинской, Красноярской, Амурской, Якутии, Хабаровский
край, а также рынок Монголии.
Потенциал отрасли позволяет увеличить сбыт
высококачественной продукции, однако ее структура и развитие зависит от
изменения рынка продовольствия, государственной таможенно-тарифной политики,
создания демпинговых цен на завозную продукцию и пр. факторов.
Производственная структура включает:
4 завода (колбасный, консервный, переработки
скота, холодильник);
12 цехов с законченным технологическим циклом.
Внедрены отдельные технологии на уровне
зарубежных аналогов. Проводятся исследования и внедрение безотходных,
ресурсосберегающих технологий на зарубежном и отечественном оборудовании.
Производственные мощности предприятия позволяют
выпускать в смену 130 тысяч условных банок консервов, 20 тонн колбасных
изделий, 100 тонн мяса, более 100 наименований мясной продукции.
Производственные помещения являются
собственностью акционерного общества. Площадь земельного участка 31,2 га,
площадь производственных помещений 23 га. Предприятие имеет собственное
теплоснабжение, водоснабжение и электроснабжение.
Правовое положение ОАО «Бурятмясопром», права и
обязанности акционеров определяются в соответствии с гражданским кодексом РФ и
законом «Об акционерных обществах».
Высшим органом управления акционерным обществом
является общее собрание акционеров. Общим собранием акционеров выбран совет
директоров во главе с генеральным директором. Организационная структура
управления построена таким образом, что при умеренном спросе на продукцию
управление персоналом можно осуществить эффективно при минимуме управленческих
уровней. Филиалов и представительств не имеет. Поставщики ОАО «Бурятмясопром»,
на которых приходится не менее 10 процентов всех поставок товарно-материальных
ценностей:
. Производственно-торговая компания «Дорнын
говь» (доля которого составляет 40%).
. Компания «Эс Жи групп» (доля которого
составляет 50%).
Импорт в поставках ОАО «Бурятмясопром» занимает
90% часть. Предприятие делает благоприятный прогноз на доступность указанного
источника в будущем, так как работает с основным поставщиком импортного
мясосырья более 5 лет.
ОАО «Бурятмясопром» является лидером на рынке
мясопродуктов Республики Бурятия с долей 69% в 2009 г. по объему реализации, в
2010 году 73%, а к 2012 г. предприятие намерено довести долю рынка до до 85%.
2.2 Обеспеченность ресурсами и эффективность их использования
Ниже приведена таблица, в которой указывается
среднесписочная численность работников (сотрудников) предприятия, а также
размер отчислений на заработную плату.
Таблица 1. Обеспеченность ОАО «Бурятмясопром»
рабочей силой и ее структура
|
№
|
Показатели
|
Единица
измерения
|
По
годам
|
|
|
|
2008
|
2009
|
2010
|
|
1
|
ССЧ
рабочих
|
чел.
|
1283
|
1055
|
987
|
|
2
|
Средняя
фактическая продолжительность рабочего дня
|
час.
|
7,853
|
8,780
|
9,201
|
|
3
|
Средняя
продолжительность рабочего месяца
|
час.
|
225,3
|
236,9
|
245,4
|
|
4
|
Доля
рабочих в общей численности работающих
|
%
|
89,4
|
89,8
|
92,5
|
|
5
|
Фонд
заработной платы всего персонала
|
руб.
|
11930312
|
13010100
|
14071714
|
|
6
|
Численность
персонала
|
чел.
|
1517
|
1584
|
1656
|
|
7
|
Численность
рабочих основного производства
|
чел.
|
1027
|
1035
|
1040
|
|
8
|
Численность
рабочих вспомогательного производства
|
чел.
|
254
|
235
|
240
|
|
9
|
Численность
НТР и служащих
|
чел.
|
185
|
185
|
185
|
|
10
|
Количество
часов полезного фонда рабочего времени 1 работника
|
час.
|
1296309
|
707715
|
1002183
|
|
11
|
Фонд
заработной платы производственных подразделений
|
руб.
|
7895412
|
8954214
|
9282214
|
|
12
|
Фонд
заработной платы служащих организации
|
руб.
|
4034900
|
4055886
|
4789500
|
По данным табл. 1 можно сказать, что
продолжительность рабочего дня и месяца неуклонно растет, в то время как общая
численность работников остается неизменной и увеличивается только в 2010 г.
Также происходит постоянный рост фонда заработной платы предприятия.
Таблица 2. Состав и структура основных средств
ОАО «Бурятмясопром», руб.
|
№
|
Показатели
|
По
годам
|
|
|
2008
|
2009
|
2010
|
|
1
|
Среднегодовая
стоимость основных производственных фондов
|
1259254
|
8254102
|
12024524
|
|
2
|
Сумма
оборотных средств
|
487520
|
3012455
|
5421112
|
|
3
|
Амортизационные
отчисления
|
369874
|
989745
|
1205478
|
|
4
|
Общая
стоимость капитала
|
2014572
|
13254658
|
18987245
|
По табл. 2 можно судить об ежегодном росте
основных производственных фондов предприятия и соответственно общей стоимости
капитала. Это происходит в связи с ростом цен и инфляцией.
Таблица 3. Динамика изменения отпускных цен на
продукцию (работы, услуги): в том числе в сравнении с индексом потребительских
цен
|
Наименование
показателя
|
2008
г.
|
2009
г.
|
2010
г.
|
|
Колбасные
изделия:
|
|
|
|
|
Объем
производства продукции, тонн
|
4012
|
830
|
4009
|
|
Объем
реализации продукции, тонн
|
4012
|
827
|
3937
|
|
Цена
продукции, руб.
|
99
|
114
|
126
|
|
Объем
выручки от реализации продукции, тыс. руб.
|
399158
|
94381
|
496062
|
|
Консервы:
|
|
|
|
|
Объем
производства продукции, туб.
|
20117
|
5712
|
30721
|
|
Объем
реализации продукции, туб.
|
24988
|
6780
|
21159
|
|
Цена
продукции, руб.
|
19
|
20
|
20
|
|
Объем
выручки от реализации продукции, тыс. руб.
|
480264
|
137957
|
391865
|
|
Полуфабрикаты:
|
|
|
|
|
Объем
производства продукции, тонн.
|
794
|
173
|
741
|
|
Объем
реализации продукции, тонн
|
807
|
166
|
732
|
|
Цена
продукции, руб.
|
62
|
67
|
72
|
|
Объем
выручки от реализации продукции, тыс. руб.
|
49912
|
11147
|
52704
|
|
Прочее:
|
|
|
|
|
Объем
производства продукции, тыс. кг.
|
|
|
|
|
Цена
продукции, руб.
|
|
|
|
|
Объем
выручки от реализации продукции, тыс. руб
|
80535
|
11352
|
82353
|
|
Общий
объем выручки от реализации, тыс. руб.
|
1009869
|
254837
|
1022984
|
Исходя из табл. 3 можно сделать вывод, что
динамика отпускных цен на продукцию предприятия остается нестабильной, в связи
постоянных скачков цен на рынке мясной продукции.
.3 Финансовые результаты хозяйственной деятельности предприятия
Таблица 4. Анализ финансового состояния ОАО
«Бурятмясопром», тыс. руб.
|
Наименование
показателей
|
2008
г.
|
2009
г.
|
2010
г.
|
Прирост
(снижение) 2010-2008 гг.
|
|
Абсол.
|
%
|
Абсол.
|
%
|
Абсол.
|
%
|
Абсол.
|
%
|
|
Выручка
от реализации
|
638576
|
100
|
1000494
|
100
|
1072590
|
100
|
72
096
|
7,2
|
|
Себестоимость
реализованной продукции
|
562555
|
88,09
|
926034
|
92,6
|
995076
|
99,5
|
69
042
|
7,4
|
|
Коммерческие
расходы
|
36615
|
-
|
43448
|
-
|
51611
|
-
|
8163
|
1,9
|
|
Валовая
прибыль тыс. руб.
|
76021
|
11,9
|
74460
|
7,4
|
77514
|
7,7
|
3054
|
4,1
|
|
Результат
от основной деятельности
|
39406
|
-
|
31012
|
|
25902
|
|
-5110
|
|
Прибыль
до налогообложения
|
6216
|
-
|
9127
|
-
|
10864
|
-
|
1
594
|
17,2
|
|
Налог
на прибыль
|
1234
|
-
|
2
741
|
-
|
3
412
|
-
|
671
|
24,5
|
|
Прибыль
после налогообложения
|
4982
|
-
|
5
057
|
-
|
6
468
|
-
|
1
411
|
27,9
|
Выручка от реализации в 2010 г. увеличилась на
72096 тыс. руб. (7,2%). Основная деятельность предприятия была прибыльной.
Себестоимость реализованной продукции увеличилась на 69042 тыс. руб. (7,4%),
темп изменения себестоимости (7,4%) реализованной продукции опережал темп
изменения выручки (7,2%). Следовательно, предприятие можно считать прибыльным,
т. к. выручка от реализации ежегодно растет.
Валовая прибыль предприятия за анализируемый
период увеличилась на 3054 тыс. руб. или (4,1%) несмотря на значительные
коммерческие расходы в сумме 51611 тыс. руб. и снижение эффективности,
связанной с опережающим ростом затрат по сравнению с ростом цен на реализацию
продукции, услуг.
В структуре совокупных доходов, полученных от
осуществления всех видов деятельности в 2010 г., наибольший удельный вес
приходился на доходы от основной деятельности. В целом от осуществления всех
видов деятельности получена чистая прибыль 6468 тыс. руб.
Таблица 5. Показатели финансово-экономической
деятельности, (тыс. руб.)
|
Наименование
показателя
|
2008
г.
|
2009
г.
|
2010
г.
|
|
Стоимость
чистых активов, тыс. руб.
|
107852
|
134686
|
122
334
|
|
Отношение
суммы привлеченных средств к капиталу и резервам, %
|
1216
|
1341
|
1567
|
|
Отношение
суммы краткосрочных пассивов к капиталу и резервам, %
|
699
|
995
|
1216
|
|
Покрытие
платежей по обслуживанию долгов
|
4,7
|
30,8
|
29
|
|
Уровень
просроченной задолженности, %
|
0
|
0
|
0
|
|
Оборачиваемость
чистых активов, раз
|
11
|
13
|
1
|
|
Оборачиваемость
кредиторской задолженности, раз
|
2
|
2
|
0
|
|
Оборачиваемость
дебиторской задолженности, раз
|
2
|
1
|
534
373
|
|
Доля
налога на прибыль в прибыли до налогообложения, %
|
15
|
35
|
16
|
Из динамики приведенных показателей видно, что
за анализируемый период наблюдается устойчивый рост стоимости чистых активов.
Показатели «Отношения суммы привлеченных средств к капиталу и резервам» и
«Отношения суммы краткосрочных обязательств к капиталу и резервам»
характеризуют степень зависимости предприятия от заемных средств. Допустимый
уровень зависимости определяется условиями работы каждого предприятия и, в
первую очередь, скоростью оборота оборотных средств. За три года происходит
увеличение. Показатель уровня просроченной кредиторской задолженности, за 3
года составил 0 рублей, что говорит о «здоровом» состоянии предприятия и
погашении своих обязательств без значительных задержек. Оборачиваемость
кредиторской задолженности показывает расширение или снижение коммерческого
кредита, предоставляемого предприятию. За рассматриваемые периоды
прослеживается снижение этого коэффициента. Коэффициент оборачиваемости
дебиторской задолженности показывает расширение или снижение коммерческого
кредита, предоставляемого предприятием. В 2010 г. наблюдается снижение этого
коэффициента, что свидетельствует об увеличении объема предоставляемого кредита
в этот период. Доля налога на прибыль в балансовой прибыли от установленной
законодательством ставки налога на прибыль в 2009 г. увеличивается, а к 2010 г.
снижается.
Глава 3. Статистический анализ производительности труда
3.1 Статистическое изучение производительности труда на ОАО
«Бурятмясопром»
В данной главе представлены показатели
производительности труда на ОАО «Бурятмясопром», а также показатели динамики
производительности. Кроме того представлена однофакторная регрессионная модель
зависимости выработки от разряда рабочих, а также представлен факторный анализ.
Продукция, выпускаемая данным предприятием
является разнородной. Индексы производительности труда, вычисленные
сопоставлением прямых показателей уровня производительности представляют собой
цепные темпы роста.
Таблица 6. Показатели производительности труда
ОАО «Бурятмясопром»
|
№
|
Показатель
|
Единица
измерения
|
По
годам
|
|
|
|
2008
|
2009
|
2010
|
|
1
|
Производительность
|
руб./чел.
|
1,038
|
1,064
|
1,132
|
|
2
|
Физическая
производительность труда
|
т/(ч/ч)
|
0,004
|
0,006
|
0,008
|
|
3
|
Стоимостная
производительность труда
|
руб.
|
45,6
|
51,4
|
52,9
|
|
4
|
Производительность
труда
|
руб.
|
1,65
|
3,09
|
6,2
|
Таблица 7. Показатели динамики
производительности труда ОАО «Бурятмясопром»
|
№
|
Абсолютный
прирост
|
Темп
роста, %
|
Темп
прироста, %
|
|
2008-2009
гг.
|
2009-2010
гг.
|
2009-2008
гг.
|
2010-2009
гг.
|
2009-2008
гг.
|
2010-2009
гг.
|
|
1
|
0,026
|
0,068
|
1,025
|
1,063
|
0,025
|
0,063
|
|
2
|
0,002
|
0,002
|
1,5
|
1,333
|
0,5
|
0,333
|
|
3
|
5,8
|
1,5
|
1,127
|
1,029
|
0,127
|
0,029
|
|
4
|
1,44
|
3,11
|
1,872
|
2,006
|
0,872
|
1,006
|
Таблица 8. Показатели динамики
производительности труда, в %
|
№
|
Абсолютный
прирост, тыс. руб.
|
Темп
роста, %
|
Темп
прироста, %
|
|
2008-2009
гг.
|
2009-2010
гг.
|
2009-2008
гг.
|
2010-2009
гг.
|
2009-2008
гг.
|
2010-2009
гг.
|
|
1
|
-0,936
|
-0,868
|
0,532
|
0,566
|
-0,468
|
-0,434
|
|
2
|
-1,994
|
-1,992
|
0,003
|
0,004
|
-0,997
|
-0,996
|
|
3
|
49,4
|
50,9
|
25,7
|
26,45
|
24,7
|
25,45
|
|
4
|
1,09
|
4,2
|
1,545
|
3,1
|
0,545
|
2,1
|
В совокупности производительность труда
постоянно увеличивается, причем значительный рост наблюдался в 2010 г. по
сравнению с 2008-2009 гг. Но физическая производительность труда в 2010 г.
снизилась по сравнению с 2009 г., но если сравнивать с 2008 г., то наблюдается
рост (примерно на 0,1% ежегодно). Та же ситуация и со стоимостной
производительностью. Наиболее динамично увеличивается прибыльная
производительность труда. Это связано с постоянно увеличивающимися объемами
производства и реализации продукции.
Таблица 9. Выработка продукции в единицу
затраченного рабочего времени
|
№
|
Показатель
|
Единица
измерения
|
По
годам
|
|
|
|
2008
|
2009
|
2010
|
|
1
|
Средняя
часовая выработка
|
руб./(ч/ч)
|
59,8
|
96,9
|
116,9
|
|
2
|
Средняя
дневная выработка
|
руб./(ч/дн)
|
475,1
|
757,9
|
1441,6
|
|
3
|
Средняя
месячная выработка
|
руб./ССЧ
|
107037,2
|
156852,1
|
172115
|
|
4
|
Средняя
месячная выработка в расчете на 1-го СС рабочего
|
руб./ССЧ
рабочих
|
112547,9
|
187254,7
|
198887,5
|
|
5
|
Трудоемкость
|
(ч/ч)/руб.
|
0,017
|
0,010
|
0,009
|
Анализируя табл. 9 можно сделать вывод, что
трудоемкость труда ежегодно снижается, что можно объяснить тем, что условия и
методы труда на предприятии постоянно совершенствуются.
Таблица 10. Показатели динамики выработки,
цепные
|
№
|
Абсолютный
прирост, тыс. руб.
|
Темп
роста, %
|
Темп
прироста, %
|
|
2008-2009
гг.
|
2009-2010
гг.
|
2008-2009
гг.
|
2009-2010
гг.
|
2008-2009
гг.
|
2009-2010
гг.
|
|
1
|
37,1
|
20
|
1,62
|
1,206
|
0,62
|
0,206
|
|
2
|
282,8
|
683,7
|
1,595
|
1,902
|
0,595
|
0,902
|
|
3
|
49814,9
|
15262,9
|
1,465
|
1,097
|
0,465
|
0,097
|
|
4
|
74706,8
|
11632,8
|
1,663
|
1,062
|
0,663
|
0,062
|
|
5
|
-0,007
|
-0,001
|
0,588
|
0,9
|
-0,411
|
-0,1
|
Таблица 11. Показатели динамики выработки,
базисные
|
№
|
Абсолютный
прирост, тыс. руб.
|
Темп
роста, %
|
Темп
прироста, %
|
|
2008-2009
гг.
|
2009-2010
гг.
|
2008-2009
гг.
|
2009-2010
гг.
|
2008-2009
гг.
|
2009-2010
гг.
|
|
1
|
35
|
55
|
1,565
|
1,888
|
0,565
|
0,888
|
|
2
|
696
|
1379,7
|
12,24
|
23,28
|
11,24
|
22,28
|
|
3
|
156790,2
|
172053,1
|
2533,96
|
2780,5
|
2532,96
|
2779,5
|
|
4
|
187192,8
|
198825,6
|
3025,1
|
3213
|
3024,1
|
3212
|
|
5
|
-61,89
|
-61,891
|
0,0002
|
0,0003
|
-0,999
|
-0,999
|
В 2010 г. наблюдался спад средней часовой
выработки по сравнению с предыдущим годом (примерно на 40%). Следственно
наблюдался спад среднемесячной выработки, но среднедневная выработка наоборот
увеличилась, возможно, это связано с уменьшением количества дней работы. Но по
сравнению с базисным годом, рост очевиден. Кроме того снижалась трудоемкость
при цепном определении, а по сравнению с базисным показателем, она даже немного
увеличилась.
Таблица 12. Условные показатели
производительности ОАО «Бурятмясопром»
|
№
|
Показатель
|
По
годам
|
|
|
2008
|
2009
|
2010
|
|
1
|
Условно-натуральная
выработка
|
1,059
|
1,181
|
1,234
|
|
2
|
Условно-трудовая
выработка
|
0,26
|
0,39
|
0,536
|
|
3
|
Условно-стоимостная
выработка
|
3283,2
|
4163,4
|
4126,2
|
|
4
|
Ценностная
выработка
|
3328,8
|
4060,6
|
4232
|
Таблица 13. Показатели динамики условной
производительности труда, цепные
|
№
|
Абсолютный
прирост, тыс. руб.
|
Темп
роста, %
|
|
2008-2009
гг.
|
2009-2010
гг.
|
2008-2009
гг.
|
2009-2010
гг.
|
2008-2009
гг.
|
2009-2010
гг.
|
|
1
|
0,122
|
0,053
|
1,115
|
1,044
|
0,115
|
0,044
|
|
2
|
0,13
|
0,146
|
1,5
|
1,37
|
0,5
|
0,37
|
|
3
|
880,2
|
-37,2
|
1,26
|
0,99
|
0,26
|
-0,008
|
|
4
|
731,8
|
171,4
|
1,219
|
1,042
|
0,219
|
0,042
|
Таблица 14. Показатели динамики условной
производительности труда, базисные
|
№
|
Абсолютный
прирост, тыс. руб.
|
Темп
роста, %
|
Темп
прироста, %
|
|
2008-2009
гг.
|
2009-2010
гг.
|
2008-2009
гг.
|
2009-2010
гг.
|
2008-2009
гг.
|
2009-2010
гг.
|
|
1
|
0,035
|
0,088
|
1,03
|
1,07
|
0,03
|
0,076
|
|
2
|
-0,756
|
-0,61
|
0,34
|
0,467
|
-0,65
|
-0,53
|
|
3
|
4162,254
|
4125,054
|
3632,98
|
3600,5
|
3631,98
|
3599,5
|
|
4
|
4059,454
|
4230,854
|
3543,28
|
3692,8
|
3542,28
|
3691,84
|
Условно-натуральная выработка по сравнению с
предшествующим годом (2009 г.) заметно снизилась, но по сравнению с базисным
годом - выросла. Аналогично и для условно-трудовой выработки. Но заметно
снизились и при цепной и при базисной оценке условно-стоимостная и ценностная
выработка.
Теперь произведем расчет других показателей
эффективности работы, которые также имеют непосредственную связь с
производительностью труда и оказывают на нее влияние.
Таблица 15. Показатели эффективности работы ОАО
«Бурятмясопром»
|
№
|
Показатель
|
Единица
измерения
|
По
годам
|
|
|
|
2008
|
2009
|
2010
|
|
1
|
Рентабельность
|
руб.
|
1,038
|
1,064
|
1,132
|
|
2
|
Рентабельность
(на основе балансовой прибыли)
|
руб.
|
2,473
|
0,749
|
1,046
|
|
3
|
Производительность
общих доходов
|
руб.
|
0,997
|
0,975
|
1,021
|
|
4
|
Общая
отдача на капитал
|
руб.
|
2,544
|
0,987
|
1,112
|
|
5
|
Прибыльность
объема реализации
|
руб.
|
0,029
|
0,043
|
0,077
|
|
6
|
Коэффициент
реализации
|
|
0,965
|
0,954
|
0,998
|
|
7
|
Коэффициент
доли труда
|
|
0,715
|
0,8
|
0,777
|
|
8
|
Действительный
трудовой доход
|
руб.
|
1042,9
|
1522,6
|
1651,2
|
Таблица 16. Показатели динамики эффективности
работы, цепные
|
№
|
Абсолютный
прирост, тыс. руб.
|
Темп
роста, %
|
Темп
прироста, %
|
|
2008-2009
гг.
|
2009-2010
гг.
|
2008-2009
гг.
|
2009-2010
гг.
|
2008-2009
гг.
|
2009-2010
гг.
|
|
1
|
0,026
|
0,068
|
1,025
|
1,06
|
0,025
|
0,06
|
|
2
|
-1,724
|
0,297
|
0,302
|
1,396
|
-0,697
|
0,396
|
|
3
|
-0,022
|
0,046
|
0,97
|
1,047
|
-0,02
|
0,047
|
|
4
|
-1,557
|
0,125
|
0,387
|
1,126
|
-0,61
|
0,126
|
|
5
|
0,014
|
0,034
|
1,48
|
1,79
|
0,48
|
0,79
|
|
6
|
-0,011
|
0,044
|
0,988
|
1,046
|
-0,011
|
0,046
|
|
7
|
0,085
|
-0,023
|
1,118
|
0,97
|
0,118
|
-0,028
|
|
8
|
479,7
|
128,6
|
1,459
|
1,084
|
0,459
|
0,084
|
Таблица 17. Показатели динамики эффективности
работы, базисные
|
№
|
Абсолютный
прирост, тыс. руб.
|
Темп
роста, %
|
Темп
прироста, %
|
|
2008-2009
гг.
|
2009-2010
гг.
|
2008-2009
гг.
|
2009-2010
гг.
|
2008-2009
гг.
|
2009-2010
гг.
|
|
1
|
0,026
|
0,094
|
1,025
|
1,09
|
0,025
|
0,09
|
|
2
|
-0,289
|
0,008
|
0,721
|
1,007
|
-0,278
|
0,007
|
|
3
|
-0,063
|
-0,017
|
0,939
|
0,98
|
-0,06
|
-0,0163
|
|
4
|
-0,051
|
0,074
|
0,95
|
1,07
|
-0,049
|
0,0712
|
|
5
|
-0,995
|
-0,961
|
0,041
|
0,07
|
-0,958
|
-0,925
|
|
6
|
-0,084
|
-0,04
|
0,919
|
0,961
|
-0,08
|
-0,038
|
|
7
|
-0,238
|
-0,261
|
0,77
|
0,748
|
-0,229
|
-0,2514
|
|
8
|
1521,562
|
1650,162
|
1466,8
|
1590,7
|
1465,85
|
1589,75
|
Рентабельность производства крайне не постоянна.
Определенная по объему производства и затратам, она увеличивается, а если
вычислить по балансовой прибыли, то здесь - существенное снижение.
В 2009 г. было значительное снижение
производительности доходов, но в 2010 г. был достигнут заметный рост (примерно
на 70%). В виду взаимосвязанности доходов и отчислений на капитал, общая отдача
на капитал прошла те же этапы.
Прибыльность объема реализации незначительно, но
стабильно увеличивается, как и коэффициент реализации. Доля труда в образовании
добавленной стоимости в 2010 г. снизилась, но по сравнению с базисным
показателем значительно выросла.
Аналогична ситуация и с действительным трудовым
доходом. Необходимо определить значение труда в образовании добавленной
стоимости. Если быть точнее - роль величины добавленной стоимости в
производительности труда.
Таблица 18. Определение величины
производительности труда ОАО «Бурятмясопром»
|
№
|
Показатель
|
По
годам
|
|
|
2008
|
2009
|
2010
|
|
1
|
Число
отработанных часов
|
1,84
|
2,35
|
2,84
|
|
2
|
Количество
работающих
|
2778,7
|
3132,1
|
3566,6
|
|
3
|
Фонд
заработной платы с начислениями
|
0,36
|
0,32
|
0,32
|
|
4
|
Число
рабочих ОП
|
4104
|
4886,5
|
5021,9
|
|
5
|
Число
рабочих ВП
|
16596
|
17113
|
22048,4
|
|
6
|
Число
НТР и служащих
|
22785,7
|
28122,8
|
30316,6
|
|
7
|
Фонд
заработной платы ПП
|
0,53
|
0,5
|
0,46
|
|
8
|
Фонд
заработной платы служащих
|
1,05
|
0,85
|
1,02
|
Таблица 19.
Показатели динамики производительности труда, цепные
|
№
|
Абсолютный
прирост, тыс. руб.
|
Темп
роста, %
|
Темп
прироста, %
|
|
2008-2009
гг.
|
2009-2010
гг.
|
2008-2009
гг.
|
2009-2010
гг.
|
2008-2009
гг.
|
2009-2010
гг.
|
|
1
|
0,51
|
0,49
|
1,277
|
1,208
|
0,277
|
0,208
|
|
2
|
353,4
|
434,5
|
1,127
|
1,138
|
0,127
|
0,138
|
|
3
|
-0,04
|
0
|
0,88
|
1
|
-0,111
|
0
|
|
4
|
782,5
|
135,4
|
1,19
|
0,19
|
0,027
|
|
5
|
517
|
4935,4
|
1,031
|
1,288
|
0,031
|
0,288
|
|
6
|
5337,1
|
2193,8
|
1,234
|
1,078
|
0,234
|
0,078
|
|
7
|
-0,03
|
-0,04
|
0,943
|
0,92
|
-0,056
|
-0,08
|
|
8
|
-0,2
|
0,17
|
0,809
|
1,2
|
-0,19
|
0,2
|
Таблица 20. Показатели динамики
производительности труда, базисные
|
№
|
Абсолютный
прирост, тыс. руб.
|
Темп
роста, %
|
Темп
прироста, %
|
|
2008-2009
гг.
|
2009-2010
гг.
|
2008-2009
гг.
|
2009-2010
гг.
|
2008-2009
гг.
|
2009-2010
гг.
|
|
1
|
0,42
|
0,91
|
1,217
|
1,47
|
0,217
|
0,471
|
|
2
|
3130,17
|
3564,67
|
1622,85
|
1847,97
|
1621,85
|
1846,97
|
|
3
|
-1,61
|
-1,61
|
0,165
|
0,165
|
-0,834
|
-0,834
|
|
4
|
4884,57
|
5019,97
|
2531,86
|
2602,02
|
2530,86
|
2601
|
|
5
|
17111,07
|
22046,47
|
8866,83
|
11424
|
8865,83
|
11423
|
|
6
|
28120,87
|
30314,67
|
14571,4
|
15708
|
14570,4
|
15707
|
|
7
|
-1,43
|
-1,47
|
0,259
|
0,238
|
-0,74
|
-0,761
|
|
8
|
-1,08
|
-0,91
|
0,4
|
0,528
|
-0,559
|
-0,47
|
Если рассмотреть данные показатели в
совокупности, то можно сделать вполне обоснованный вывод о том, что
производительность труда на ОАО «Бурятмясопром» увеличивается, хоть и не столь
прогрессивными методами.
Теперь проведем корреляционный анализ. Задача
корреляционного анализа заключается в количественной оценке степени тесноты и
направления связи между производительностью труда (выработкой) (У) и таким фактором,
как разряд рабочих (Х).
Таблица 21. Часовая выработка и разряд рабочих
ОАО «Бурятмясопром»
|
Показатель
|
Рабочие
|
|
1
|
2
|
3
|
4
|
5
|
6
|
7
|
8
|
9
|
10
|
|
Часовая
выработка, У
|
61
|
74
|
78
|
92
|
77
|
92
|
57
|
67
|
107
|
125
|
|
Разряд
рабочих, Х
|
4
|
4
|
3
|
4
|
3
|
4
|
2
|
2
|
5
|
5
|
В табл. 21 взято за основу 10 человек, т. к.
этот показатель дает общую картину выработки на предприятии. По данным табл.
вычисляется линейный коэффициент корреляции
Таблица 22. Исходные данные и промежуточные
расчеты для определения линейного коэффициента корреляции
|
Часовая
выработка руб. (У)
|
Тарифный
разряд (Х)
|
У2
|
Х2
|
УХ
|
|
61
|
2
|
3721
|
4
|
122
|
|
74
|
4
|
5476
|
16
|
296
|
|
78
|
3
|
6084
|
9
|
234
|
|
92
|
4
|
8464
|
16
|
368
|
|
77
|
3
|
5929
|
9
|
231
|
|
92
|
4
|
8464
|
16
|
368
|
|
57
|
2
|
3249
|
4
|
114
|
|
67
|
2
|
4489
|
4
|
134
|
|
107
|
5
|
11449
|
25
|
535
|
|
125
|
5
|
15625
|
25
|
625
|
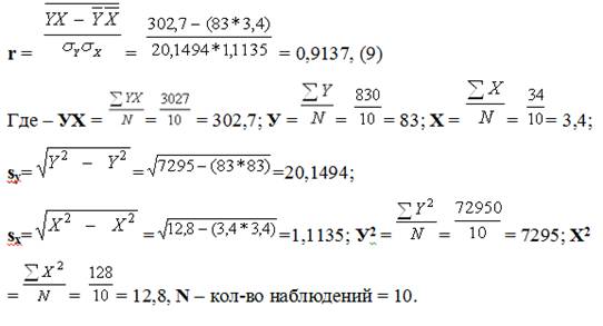
Для рассматриваемого примера линейный
коэффициент корреляции равен 0,9137.
Наличие зависимости между результативным
признаком и фактором в однофакторной регрессионной модели линейной формы
выражается уравнением регрессии
У = а0 + а1Х (10)
Где - У - результативный признак;
Х - факторный признак;
а0 - свободный член регрессионного
уравнения;
а1 - коэффициент регрессии,
показывающий, как изменяется У, если Х увеличится на единицу своего
натурального выражения. При отыскании параметров а0 и а1
должно выполнятся условие:
= min (11)
Где -
- сумма квадратов отклонений Уj от Уj (j = 1,…, N), Уj
и Уj - соответственно расчетное и фактическое значение Уj.
Тогда
= min (12)
= min (13)
Определим частные производные:
;
(14)
Исходя из частных производных, составляется
система нормальных уравнений:
(15)
Система нормальных уравнений для
рассматриваемого примера имеет вид:
Определим параметры а0 и а1
с помощью метода последовательного исключения неизвестных (метода Гаусса). Для
исключения из системы нормальных уравнений параметра а0 мы первое
уравнение умножим на коэффициент при а0 во втором уравнении с
противоположным знаком, второе уравнение - на коэффициент при а0
первого уравнения:
=>
∑YX
- ∑Y∑X = a1(N∑X2 - (∑X)21
=
,
a0 =
,
=>
= 12,4 a1, => a1 =
16,532; a0 =
= 26,790
Регрессионная модель линейной формы,
характеризующая зависимость часовой выработки рабочего от тарифного разряда,
имеет вид У = 26,790 + 16,532 Х.
Таблица 23. Данные о распределении рабочих ОАО
«Бурятмясопром» по разрядам
|
Разряд
(хi)
|
Число
рабочих (fi)
|
xifi
|
xi-
х
|
|xi-
х|
|
|xi
- х|2
|
|xi
- х| fi
|
|xi
- х|2 fi
|
|
2
|
2
|
4
|
-1,6
|
1,6
|
2,56
|
3,2
|
5,12
|
|
3
|
2
|
6
|
-0,6
|
0,6
|
0,36
|
1,2
|
0,72
|
|
4
|
4
|
16
|
0,4
|
0,4
|
0,16
|
1,6
|
0,64
|
|
5
|
2
|
10
|
1,4
|
1,4
|
1,96
|
2,8
|
3,92
|
|
Итого
|
10
|
36
|
|
|
|
8,8
|
10,4
|
х =
=
36/10 = 3,6;
Дисперсия s2 =
=
10,4/10 = 1,04 - характеризует вариацию признака по совокупности,
Среднее квадратическое отклонение =
=
=
1,02,
Коэффициент вариации =
х
100% = 28,3% - данная совокупность однородна. Теперь вычислим аналитические
индексы. Данные индексы помогают определить изменения средней
производительности труда по 2-м (и возможно более) предприятиям.
Таблица 24. Выпуск продукции, затраты труда и
часовая выработка на 2-х предприятиях за 2 года
|
Предприятие
|
Выпуск
продукции, тонн
|
Затраты
труда, чел.-час
|
Часовая
выработка
|
Условный
выпуск продукции за отчетное время по прошлогодней выработке, тонн W0T1
|
|
2009
г. q0
|
2010
г. q1
|
2009
г. T0
|
2010
г. T1
|
2009
г. W0
|
2010
г. W1
|
|
|
БМП
|
10988
|
11130
|
1707715
|
1452183
|
0,006
|
0,008
|
8713
|
|
ИМК
|
15247
|
16587
|
1698745
|
1425789
|
0,009
|
0,012
|
12832
|
|
Итого:
|
26235
|
27717
|
3406460
|
2877972
|
0,008
|
0,01
|
21545
|
IW перемен. сост = W1: W0
= 0,01 / 0,008 = 1,25, т.е. часовая выработка на двух предприятиях повысилась
на 25%.W пост. сост. = W1: Wуслов = 0,01 /
(21545 / 2877972) = 1,34 - выработка на предприятиях повысилась на 34%.W
стр. сдв = Wуслов: W0 = 0.0075 / 0.008 = 0.94 -
наблюдается снижение в общих трудовых затратах доли предприятия ИМК на 6%.
И наконец, факторный анализ.
Таблица 25. Влияние использования рабочего
времени на производительность труда
|
№
|
Показатель
|
По
годам
|
|
|
2008
|
2009
|
2010
|
|
|
Абсол-е
|
Относ-е
|
Абсол-е
|
Относ-е
|
Абсол-е
|
Относ-е
|
|
1
|
Влияние
изменения доли рабочих ∆Wd
|
88,7
|
1,01
|
57,5
|
1,005
|
-264,6
|
0,986
|
|
2
|
Продолжительность
рабочего месяца ∆Wс
|
3963,5
|
1,45
|
-843,41
|
0,93
|
-9340,6
|
0,48
|
|
3
|
Изменение
ПРД ∆Wb
|
-168,5
|
0,99
|
-105,84
|
0,99
|
1584,2
|
1,18
|
|
4
|
Среднечасовой
уровень производительности труда ∆Wа
|
12602,7
|
0,97
|
6998,3
|
1,62
|
2117,2
|
1,21
|
Для абсолютных значений:
∆W1 = ∆Wа + ∆Wb
+ ∆Wc + ∆Wd (16)
Для относительных значений составляется
мультипликативное уравнение связи:
IW
= W1
/ W0
= IW
x IW
x IW
x IW.
(17)W = 1,4; IW = 1,5; IW = 0,68.
Полученные индексы характеризуют динамику
производительности труда. Т.е. мы видим, что с 2008 по 2009 гг. наблюдался рост
производительности труда, а в 2010г., по сравнению с 2009 г. производительность
труда уменьшилась практически вдвое. В числовом выражении производительность
уменьшилась на 5903,8 единиц.
3.2 Статистическая оценка и прогнозирование состояния рынка
мясопродуктов
Рынок мясных продуктов является одним из
крупнейших рынков продовольственных товаров. Наметилась тенденция роста
потребления мясной продукции на душу населения (в 2008 г. потребление составило
39 кг., в 2009 г. - 41,2 кг., в 2010 г. - 45 кг.).
Согласно прогнозам правительства, в ближайшие
годы предполагается рост доходов населения. Таким образом, наиболее
обоснованным прогнозом будет умеренный рост потребления мясопродуктов, при этом
прогнозируется, что потребление колбасных изделий и полуфабрикатов будет расти
более высокими темпами, нежели потребление мяса, т. к. усиливается тенденция
изменения структуры потребления в сторону продуктов быстрого приготовления или
уже готовой к употреблению продукции. Угрозой для развития отрасли являются
возможный дефицит сырья, повышение затрат на доставку и хранение сырья (в связи
с ростом цен на энергоносители).
ОАО «Бурятмясопром» работает над расширением
товарного ассортимента, позволяющего полнее удовлетворять возникающие запросы
покупателей, заполняя товарные ниши на рынке Республики Бурятия и
соответственно наращивая объемы производства и продаж.
В 2008-2009 гг. было разработано и включено в
ассортиментный перечень: 14 наименований полуфабрикатов, 11 наименований
колбасной и деликатесной продукции, 13 наименований мясных и мясорастительных
консервов. Товарооборот по новым наименованиям составил 23% от общего товарооборота
ОАО «Бурятмясопром».
Основная концепция маркетинговой политики
Общества вбирает в себя несколько подходов, их можно определить следующим
образом:
производственная концепция - направленная на
достижение эффективности производства, снижение издержек стоимости и массовое
распределение производимой продукции;
товарная - концентрация сил на производстве
высококачественной продукции, и ее постоянном совершенствовании, с учетом
мнения конечного потребителя;
ориентация на продажи - достижение максимальной
эффективности системы сбыта (четкое определение целевого рынка, рекламная
поддержка продукции, изучение потребителей, интенсивное продвижение продукции
на рынке).
Координация всех производственных цехов и
отделов предприятия направлена на интересы потребителей и позволяет ежегодно
наращивать объемы и качество продаж. Стратегическое планирование является одним
из основных инструментов маркетинговой политики ОАО «Бурятмясопром». Оно
позволяет: повышать контролируемые доли рынка мясопродуктов, предвидеть требования
потребителей, налаживать выпуск наиболее качественной продукции, конкурировать
по ценам и поддерживать репутацию ОАО «Бурятмясопром», как надежного поставщика
качественной продукции.
Основными целями стратегического развития ОАО
«Бурятмясопром» являются:
улучшение качества продукции, увеличение сроков
ее хранения;
уменьшение себестоимости продукции за счет
снижения издержек производства;
увеличение доли продукции ОАО «Бурятмясопром» не
только на местном, но и на региональном уровне;
расширение географии сбыта;
улучшение имиджевого восприятия продукции ОАО
«Бурятмясопром», завоевание и удержание доверия конечного потребителя.
Ниже выявлена основная тенденция развития
производительности труда в ОАО «Бурятмясопром».
Таблица 26. Расчет параметров уравнения прямой
|
Года
|
Производительность,
тыс. руб., у
|
t
|
t2
|
ty
|
yt
|
|
2006
г.
|
554,6
|
-2
|
4
|
-1109,2
|
597,78
|
|
2007
г.
|
596,05
|
-1
|
1
|
-596,05
|
658,325
|
|
2008
г.
|
780
|
0
|
0
|
0
|
718,87
|
|
2009
г.
|
1016,7
|
1
|
1
|
1016,7
|
779,415
|
|
2010
г.
|
647
|
2
|
4
|
1294
|
839,96
|
|
∑
|
3594,35
|
0
|
10
|
605,45
|
3594,35
|
|
2011
г.
|
|
3
|
9
|
|
900,505
|
уt=a1+a2*t1=?2=?
=>
=>
1=
2=
t=
718,87+605,545*tt1=718,87+605,545*(-2)= 597,78t2=718,87+605,545*(-1)=
658,325
yt3=718,87+605,545*0=718,87t4=718,87+605,545*1=779,415t5=718,87+605,545*2=839,96
Прогноз на 2011 год:t6=718,87+605,545*3=900,505
При оценке тенденции развития производительности
труда я использовала показатель: отношение валовой продукции в денежной оценке
к числу среднегодовых работников:
Пт=
(18)
За 5 лет на предприятии производительность труда
повысилась. В 2006 г. она равнялась 554,6 тыс. руб., в 2007 г. - 596,05 тыс.
руб., в 2008 г. - 780 тыс. руб., в 2009 г. - 1016,7 тыс. руб. и в 2010 г. - 647
тыс. руб. Это связано с тем, что на предприятии ОАО «Бурятмясопром» за 5 лет
численность работников увеличилась и объем выпускаемой продукции тоже. Так в
2009 г. по сравнению с 2010 г., в котором ССЧ работников составила 735 чел.,
количество ССЧ работников равняется 1055 человек. А объем выпускаемой продукции
за 5 лет увеличился на 664958 тыс. руб.
Заключение
В совокупности производительность труда в ОАО
«Бурятмясопром» постоянно увеличивается, причем значительный рост наблюдался в
2010 г. по сравнению с 2008-2009 гг. Но физическая производительность труда в
2010 г. снизилась по сравнению с 2009 г., но если сравнивать с 2008 г., то
наблюдается рост (примерно на 0,1% ежегодно). Та же ситуация и со стоимостной производительностью.
Наиболее динамично увеличивается прибыльная производительность труда. Это
связано с постоянно увеличивающимися объемами производства и реализации
продукции.
Рентабельность производства крайне не постоянна.
Определенная по объему производства и затратам, она увеличивается, а если
вычислить по балансовой прибыли, то здесь - существенное снижение. В 2009 г.
было значительное снижение производительности доходов, но в 2010 г. был
достигнут заметный рост (примерно на 70%). В виду взаимосвязанности доходов и
отчислений на капитал, общая отдача на капитал прошла те же этапы. Прибыльность
объема реализации незначительно, но стабильно увеличивается, как и коэффициент
реализации. Доля труда в образовании добавленной стоимости в 2010 г. снизилась,
но по сравнению с базисным показателем значительно выросла. Аналогична ситуация
и с действительным трудовым доходом. Необходимо определить значение труда в
образовании добавленной стоимости. Если быть точнее - роль величины добавленной
стоимости в производительности труда.
На основании данных, приведенных в курсовой
работе, можно сделать вывод, что в 2010 г. структура ФЗП предприятия была на
99,648% представлена расходами на оплату труда в составе себестоимости и на
0,352% выплатами за счет прибыли, остающейся в распоряжении предприятия.
Ситуация в 2009 г. была аналогичной. Имело место незначительное отклонение в
удельном весе расходов на оплату труда в составе себестоимости - на 0,358%
пункта и, соответственно, по выплатам за счет прибыли - на (-0,358)% пункта по
сравнению с 2010 годом. Значительный удельный вес в составе средств,
направляемых на потребление, в 2009-2010 гг. занимала та их часть, которая
включается в себестоимость и возмещается в выручке за реализованную продукцию
(99,281% и 99,648%).
Анализ фактических темпов роста статей ФЗП
отражает увеличение расходов на оплату труда в составе себестоимости на 583545
т.р. или 27,417%. Значительное уменьшение фактического темпа роста связано с
уменьшением выплат за счет прибыли в 2010 г., по сравнению с 2009 г., на 37,03%
(100-62,97).
В целом, по предприятию произошло увеличение
суммы средств, направляемых на потребление (ФЗП), на 26,96%, что в абсолютной
сумме составило 577909 т.р. Уменьшение выплат за счет прибыли в 1,6 раза
связано с тем, что в организации в 2010 г. прибыль, остающаяся в распоряжении
предприятия, составляла 110873 т.р., а в 2009 г. - 125143 т.р., то есть
произошло уменьшение показателя на 12,87%. Положительным для предприятия
является тот факт, что возросла сумма ФЗП в абсолютном выражении и фактический
темп роста данного показателя. В определенной степени негативным моментом
явилось и уменьшение выплат за счет прибыли на 37% (100-62,97), поскольку
снижение фактического темпа роста связано с наличием убытка по результатам
хозяйственной деятельности предприятия в анализируемый период.
Политика предприятия ОАО «Бурятмясопром» в
области заработной платы в 2009-2010 гг. характеризовалась увеличением ФЗП в
1,3 раза. Данное изменение можно считать положительным моментом в условиях
хозяйствования данного субъекта.
В данное время в ОАО «Бурятмясопром» продолжают
заниматься планированием своей деятельности, ведут контроль результативности
работы.
Список литературы
1.
Иванов Ю.Н. Экономическая статистика: учебное пособие - М.: 2005.
.
Кулагина Г.Д. Экономическая статистика: Учебник - М.: МНЭПУ, 2006.
.
Назаров М.Г. Статистика труда: учебник-М.:Финансы и статистика, 2007.
.
Назаров М.Г. Производительность труда: учебник-М.:Экономика, 2003 г.
.
Адамов В.Е. Статистика промышленности: учебник - М.: Финансы и статистика,
2007.
.
Баканов М.И., Шеремет А.Д. Теория экономического анализа. - М.: Финансы и
статистика, 2007. - 288 с.
.
Борщевский И.И. Производительность труда: методы анализа и прогнозирования:
учебник - М.: Наука и техника, 2006.
.
Бурятия в цифрах 2008-2010 Статистический справочник. Госкомстат РБ
.
Головач А.В. Социально-экономическая статистика: Учебник - М.: Высшая школа,
2006.
.
Громыко Г.Л. Статистический анализ в экономике: Учебное пособие - М.: МГУ,
2004.
.
Ильенкова С.Д. Экономика и статистика фирм: учебное пособие - М.: Финансы и
статистика, 2006.
12. Палий В.Ф., Суздальцева Л.П. Технико-экономический анализ
производственно-хозяйственной деятельности предприятий. Учебник. 2007.
13.
Семенов А.В., Кузнецов С.А. Факторы производительности труда // Экономист, №4,
2010.
.
Соколова Л.Г. Производительность: теория, измерение: учебник - М.: ИГЭА, 2005.
.
Фонин Ю. Возможность единой методологии исчисления динамики производительности
труда // Экономист, №2, 2009.
.
Френкель А.А. Прогнозирование производительности труда: Учебное пособие - М.:
Экономика, 2007.