Экономико-статистический анализ производительности молочного стада КРС в ОАО АФ 'Екатеринославская' Шербакульского района
ФЕДЕРАЛЬНОЕ ГОСУДАРСТВЕННОЕ БЮДЖЕТНОЕ
ОБРАЗОВАТЕЛЬНОЕ УЧРЕЖДЕНИЕ ВЫСШЕГО ПРОФЕССИОНАЛЬНОГО ОБРАЗОВАНИЯ
«ОМСКИЙ ГОСУДАРСТВЕННЫЙ АГРАРНЫЙ
УНИВЕРСИТЕТ
ИМЕНИ П.А. СТОЛЫПИНА»
ИНСТИТУТ
ЭКОНОМИКИ И ФИНАНСОВ
КУРСОВАЯ
РАБОТА
по дисциплине
«СТАТИСТИКА»
НА ТЕМУ:
«Экономико-статистический анализ производительности молочного стада КРС в ОАО
АФ «Екатеринославская» Шербакульского района»
Выполнила
студентка 35 группы
Виноградова Ю.С.
ОМСК - 2012
Содержание:
Введение
Краткая природно-экономическая характеристика ОАО АФ
«Екатеринославская»
. Экономико-статистический анализ надоя молока на корову в
ОАО АФ «Екатеринославская»
.1 Анализ показателей рядов динамики
.2 Анализ показателей вариации
.3 Факторный анализ показателей динамики
.4 Корреляционно - регрессивный анализ
Заключение
Список использованной литературы
Введение
В современном обществе важную роль в механизме управления экономикой
выполняет статистика. Она осуществляет сбор, научную обработку, обобщение и
анализ информации, характеризующей развитие экономики страны, культуры и уровня
жизни населения.
История человечества показала, что без статистических данных невозможны
управления государством, развитие отдельных отраслей и секторов экономики,
обеспечение оптимальных пропорций между ними. Необходимость сбора и обобщения
множества данных о населении страны, предприятиях, банках, фермерских
хозяйствах и т.д. привела к возникновению специальных статистических служб -
учреждений государственной статистики. В зависимости от отрасли, по которой организуются
измерения, сбор, обработка и анализ статистических данных, различают статистику
населения, промышленности, сельского хозяйства, капитального строительства,
финансов и др. Все эти разделы статистики призваны вырабатывать методу
статистической работы для отражения процессов в соответствующей отрасли.
Рассчитываются статистические показатели и для экономики в целом - валовой
национальный продукт, валовой внутренний продукт, совокупная добавленная
стоимость, уровень инфляции и др.
Сельскохозяйственная статистика представляет собой отраслевую ветвь
социально-экономической статистики. Её обособление обусловлено наличием
специфического объекта - отрасли сельского хозяйства и сельскохозяйственного
производства. Предметом сельскохозяйственной статистики является система общих
признаков (объективных статистических показателей) состояния, развития и
взаимосвязей сельскохозяйственного производства.
На современном этапе развития экономики большое значение приобретает
проблема повышения производительности труда и эффективности использования
трудовых ресурсов на предприятиях. Для оценки производительности труда
используется экономико-статистический анализ, позволяющий выявить
неиспользованные резервы и разработать предложения по повышению эффективности
производства. Основной задачей анализа является поиск резервов ее повышения для
увеличения доходности и конкурентоспособности продукции. Это, в свою очередь,
предполагает решение двух крупных задач, аналогичных анализу урожайности
культур, продуктивности животных и себестоимости продукции:
а) изучение закономерностей изменения производительности труда и полных
издержек производства в динамике, анализ различий в их уровнях по территории в
сравнении с планами, договорами, проектами и т.п.
б) оценка влияния на производительность и полные издержки комплекса
факторов и каждого фактора в отдельности с целью использования полученных
показателей взаимосвязи для прогнозирования, планирования, организации и
экономического регулирования производства.
При решении первой задачи применяется традиционный комплекс приемов,
оценивающих изменения уровней качественных признаков: расчет показателей
вариации, относительных показателей динамики и сравнения, выравнивание рядов
динамики, построение рядов распределения, расчет индексов и др.
Основные методы экономико-статистического анализа будут изложены в данном
курсовом проекте, объектом анализа послужит сельскохозяйственное предприятие
ОАО АФ «Екатеринославская».
Целью данной работы является закрепление теоретических знаний и
приобретение практических навыков в обработке статистической информации, а так
же применение экономико-статистических методов в анализе.
Краткая природно-экономическая характеристика ОАО АФ «Екатеринославская»
В данной курсовой работе рассматривается хозяйственная деятельность
открытого акционерного общества Агрофирма «Екатеринославская». Она расположена
в Шербакульском районе Омской области.
Среднегодовая численность работников составляет 239 человека. Общая
площадь земель на конец 2008 года составила 16202 га.
Климат Омской области типично-континентальный, формируется под влиянием
холодных арктических масс воздуха с севера и в меньшей степени сухих из
Казахстана. Континентальность климата увеличивается по мере продвижения на юг.
Общие черты температурного режима характеризуются суровой продолжительной
зимой, сравнительно коротким, но жарким летом.
Леса представляют собой редко разбросанные на местности колки. Древесная
растительность колков состоит из пушистой берёзы с примесью осины.
Растительность представляет собой суходольные злаки (типчаки, тонконог, ковыль
волосатик, ковыль перистый) и сухолюбивое разнотравье (полынь и пострел).
Рельеф представляет собой слабоволнистую равнину. Почвенный покров
состоит из обыкновенных чернозёмов, в разной степени содержащих гумус и
карбонаты. В рассматриваемом хозяйстве солонцеватые чернозёмы занимают до 18%
общей их площади.
Производство: колбаса, пельмени, полуфабрикаты, молоко фасованное, масло
сливочное, кисломолочная продукция, сыры мягких сортов. Мясное и молочное
скотоводство.
Скот крупный рогатый, скот крупный рогатый на убой, молочные коровы,
овцы, козы, свиньи, свиньи на убой, злаки, услуги в земледелии, садоводстве и
цветоводстве, услуги отбора и селекции семян зерновых культур, молоко, молочные
и кисломолочные продукты. Сливочное масло, сливки, сметана, молоко свежее,
сливки свежие, масло сливочное свежее, сыр, творог, сыр из коровьего молока.
Скотоводство в нашей стране является ведущей отраслью животноводства и
основным поставщиком молока, кроме того производит мясо.
Рассмотрим специализацию данного хозяйства, проанализировав структуру
реализованной продукции в ОАО АФ «Екатеринославская» в таблице 1.
Таблица 1
Состав и структура реализованной продукции в ОАО АФ «Екатеринославская»
|
Отрасли и виды продукции
|
Годы
|
|
2008
|
2009
|
2010
|
|
Выручка
|
|
тыс. руб.
|
% к итогу
|
тыс. руб.
|
% к итогу
|
тыс. руб.
|
% к итогу
|
|
Зерно, всего
|
58863
|
41,7
|
53499
|
42,1
|
44802
|
37,1
|
|
в т.ч. пшеница
|
47451
|
33,64
|
47793
|
37,64
|
40518
|
33,54
|
|
подсолнечник
|
11240
|
7,97
|
5706
|
4,49
|
3013
|
2,49
|
|
соя
|
172
|
0,12
|
-
|
-
|
1271
|
1,05
|
|
прочая продукция
|
298
|
0,21
|
583
|
0,46
|
2080
|
1,72
|
|
продукция в переработанном виде
|
7987
|
5,66
|
4895
|
3,85
|
556
|
0,46
|
|
итого по растеневодству
|
67148
|
47,6
|
58977
|
46,45
|
47438
|
39,27
|
|
мясо КРС живой массой
|
5697
|
4,04
|
6296
|
4,96
|
6500
|
5,38
|
|
мясо лошадей
|
209
|
0,15
|
52
|
0,04
|
311
|
0,26
|
|
мясо свиней живой массе
|
220
|
0,16
|
-
|
-
|
215
|
0,18
|
|
прочая продукция
|
64
|
0,04
|
12
|
0,009
|
64
|
0,05
|
|
мясопродукция КРС
|
7479
|
5,3
|
7225
|
5,69
|
6128
|
5,07
|
|
мясопродукция свиней
|
111
|
0,08
|
|
|
|
|
|
молоко переработанное
|
60127
|
42,63
|
54404
|
42,85
|
60157
|
49,79
|
|
итого по животноводству
|
73907
|
52,4
|
67989
|
53,55
|
73375
|
60,73
|
|
Всего:
|
141055
|
100,0
|
126966
|
100,0
|
120813
|
100,0
|
Вывод: По данным таблицы видим, что растениеводство в течение трёх лет
занимает меньшую долю в реализации продукции, чем животноводство. Так в 2008
году животноводство занимает от общего объёма реализованной продукции 52,4%, а
растениеводство - 47,6%. В 2010 году реализация животноводческой продукции
увеличилась до 60,73%, растениеводческая продукция уменьшилась до 39,27% от
общей. Это говорит о том, что ОАО АФ «Екатеринославская» специализируется в
большей степени на животноводстве, причем большая часть реализуемой продукции
приходится на молоко переработанное, в период с 2008 по 2010 года составляло
42,63-49,79%.
Чтобы проанализировать эффективность использования с/х угодий
предприятия, необходимо изучить состав и структуру, и динамику земельных угодий
ОАО АФ «Екатеринославская», которые представлены в таб.2.
Таблица 2
Состав, структура и динамика земельных угодий ОАО АФ «Екатеринославская»
|
Вид угодий
|
2009 год
|
2010 год
|
Динамика угодий, %
|
|
га
|
% к площади
|
га
|
% к площади
|
|
|
|
с.-х. угодий
|
всех угодий
|
|
с.-х. угодий
|
всех угодий
|
|
|
пашня
|
17316
|
94,03
|
83,58
|
16357
|
91,28
|
80,8
|
94,5
|
|
сенокосы
|
249
|
1,35
|
1,25
|
1563
|
8,72
|
7,7
|
627,7
|
|
пастбища
|
822
|
4,46
|
4,07
|
-
|
-
|
-
|
-
|
|
многолетние насаждения
|
28
|
0,15
|
0,15
|
-
|
-
|
-
|
-
|
|
итого с.-х. угодий
|
18415
|
100,0
|
88,8
|
17920
|
100,0
|
88,5
|
97,3
|
|
лес
|
1128
|
Х
|
5,4
|
1128
|
Х
|
5,6
|
100,0
|
|
ДКП
|
93
|
Х
|
0,4
|
93
|
Х
|
0,5
|
100,0
|
|
пруды и водоёмы
|
300
|
Х
|
1,4
|
300
|
Х
|
1,5
|
100,0
|
|
болота
|
275
|
Х
|
1,3
|
275
|
Х
|
1,4
|
100,0
|
|
прочие земли
|
524
|
Х
|
2,5
|
524
|
Х
|
2,6
|
100,0
|
|
итого не с.-х. угодий
|
2320
|
Х
|
11,2
|
2320
|
Х
|
11,5
|
100,0
|
|
общая земельная площадь
|
20735
|
Х
|
100,0
|
20240
|
Х
|
100,0
|
97,6
|
Вывод: Из приведенных данных можно сказать, что общая площадь земель
хозяйства составляет 20735 га в 2009г, а в 2010 г. составляла 20240 га. Площадь
земельных угодий в 2010г. по сравнению с 2009г. снизилась на 2,4% за счёт
снижения площади пашни на 5,5%, лесных массивов на 100%, пастбищ на 100% и
многолетних насаждений на 100%.
Состав и структуру земельных угодий ОАО АФ «Екатеринославская» более
наглядно можно увидеть с помощью секторной диаграммы.
Рис.
1. Структура земельных угодий в 2009 году в ОАО АФ «Екатеринославская»
Рис.
2. Структура земельных угодий в 2010 году в ОАО АФ «Екатеринославская»
Рассмотрев
данные диаграммы, видно, что наибольшую площадь сельскохозяйственных угодий
занимает пашня.
1. Экономико-статистический анализ надоя молока на корову в ОАО АФ
«Екатеринославская»
1.1 Анализ показателей рядов динамики
Одна из основных задач статистики заключается в изучении процесса
изменения социально-экономических явлений во времени, поскольку все явления
находятся в непрерывном развитии. Для этого используются ряды динамики. Ряды
динамики используются при анализе производства.
Сопоставляя абсолютные уровни, получаем показатели ряда динамик:
абсолютный прирост, темп роста, темп прироста, абсолютное значение 1% прироста.
Динамика надоя молока в ОАО АФ «Екатеринославская» представлена в таблице
3.
Таблица 3
|
Показатели интенсивности динамики продуктивность молока на
корову в ОАО АФ «Екатеринославская»
|
|
Год
|
Продуктивность молока, ц
|
Абсолютный прирост, ц/гол
|
Темп роста, %
|
Темп прироста, %
|
1 % прироста, ц/гол
|
|
|
цепной
|
базисный
|
цепной
|
базисный
|
цепной
|
базисный
|
|
|
2001
|
50,0
|
-
|
-
|
-
|
-
|
-
|
-
|
-
|
|
2002
|
57,63
|
7,6
|
7,6
|
115,26
|
115,26
|
15,26
|
15,26
|
0,576
|
|
2003
|
48,4
|
-9,2
|
-1,6
|
83,98
|
96,8
|
-16,02
|
-3,2
|
0,484
|
|
2004
|
49,4
|
1,0
|
-0,6
|
102,07
|
98,8
|
2,07
|
-1,2
|
0,494
|
|
2005
|
57,26
|
7,9
|
7,3
|
115,91
|
114,52
|
15,91
|
14,52
|
0,573
|
|
2006
|
65,89
|
8,6
|
15,9
|
115,07
|
131,78
|
31,78
|
0,659
|
|
2007
|
59,11
|
-6,8
|
9,1
|
89,71
|
118,22
|
-10,29
|
18,22
|
0,591
|
|
2008
|
61,51
|
2,4
|
11,5
|
104,06
|
123,02
|
4,06
|
23,02
|
0,615
|
|
2009
|
56,51
|
-5,0
|
6,5
|
91,87
|
113,02
|
-8,13
|
13,02
|
0,565
|
|
2010
|
57,29
|
0,8
|
7,3
|
101,38
|
114,58
|
1,38
|
14,58
|
0,573
|
|
|
563
|
7,3
|
Х
|
Х
|
Х
|
Х
|
Х
|
Х
|
Вывод: Из полученных данных можно сделать вывод о том, что средняя
продуктивность молока за 10 лет составила 56 ц, с каждым годом она снижается в
среднем на 0,81 ц в абсолютном выражении или на 7% в процентном выражении.
Средние показатели динамики:
1) Средний уровень ряда:
/гол
Вывод: Средняя продуктивность молока за 10 лет составляет 56,0 ц.
2) Средний абсолютный прирост:
,
/гол
Вывод: Происходит ежегодное снижение продуктивности молока на 0,8ц.
3) Средний темп роста:
Вывод: Ежегодно происходит снижение продуктивности молока на 7%.
4) Средний темп прироста:
Вывод: Снижение продуктивности молока ежегодно составляет 7%.
Для наглядности отобразим динамику продуктивности молока в виде
гистограммы:
Рис.3.
Динамика продуктивности молока в ОАО АФ «Екатеринославская» за 2001-2010 гг.
Изучив данную гистограмму, можно сделать вывод о том, что наибольшая
продуктивность молока с головы наблюдалась в 2006 г. (он составила 65,89 ц), а
наименьшая - в 2003 г. (48,4 ц).
Рассчитаем параметры линейной аналитической модели тренда с помощью
расчётной таблицы.
Таблица 4
Расчет величин для определения прямой линии тренда молочной
продуктивности в ОАО АФ «Екатеринославская»
|
Год
|
Надой с головы, ц
|
Условное обозначение времени
|
Квадрат
|
Произведение
|
Расчётное значение
|
|
у
|
t
|
t2
|
у*t
|
у = а0+ а1t
|
|
2001
|
50
|
-5
|
25
|
-250
|
60,5
|
|
2002
|
57,63
|
-4
|
16
|
-230,52
|
59,6
|
|
2003
|
48,4
|
-3
|
9
|
-145,2
|
58,7
|
|
2004
|
49,4
|
-2
|
4
|
-98,8
|
57,8
|
|
2005
|
57,26
|
-1
|
1
|
-57,26
|
56,9
|
|
2006
|
65,89
|
1
|
1
|
65,89
|
55,1
|
|
2007
|
59,11
|
2
|
4
|
118,22
|
54,2
|
|
2008
|
61,51
|
3
|
9
|
184,53
|
53,3
|
|
2009
|
56,51
|
4
|
16
|
226,04
|
52,4
|
|
2010
|
57,29
|
5
|
25
|
286,45
|
51,5
|
|
Итого:
|
563
|
0
|
110
|
99,35
|
560
|
na0+a1t = Sy, Sy = a0*n,St+a1St2 = Sy*t. Sy*t = a1* St2 .
;
Þ y=56,0-0,90*t -
динамика анализ факторный вариация
уравнение прямой линии тренда.
Вывод: Средняя продуктивность молока за 10 лет = 56,0 ц; эта продуктивность
молока ежегодно уменьшается на 0,90 ц/гол
y1 = 56,0-0,90*t1 = 56,0-0,90* (-5) = 60,5;= 56,0-0,90*t2 = 56,0-0,90* (-4) = 59,6;
y3 = 56,0-0,90*t3 = 56,0-0,90* (-3) = 58,7;= 56,0-0,90*t4 = 56,0-0,90* (-2) = 57,8;= 56,0-0,90*t5 = 56,0-0,90* (-1) = 56,9;= 56,0-0,90*t6 = 56,0-0,90* 1 = 55,1;= 56,0-0,90*t7 = 56,0-0,90* 2 = 54,2;= 56,0-0,90*t8 = 56,0-0,90* 3 = 53,3;= 56,0-0,90*t9 = 56,0-0,90* 4 = 52,4;= 56,0-0,90*t10 = 56,0-0,90* 5 = 51,5;
Рис.4.
Аналитическое выравнивание рада динамики продуктивности молока в ОАО АФ
«Екатеринославская» за 2001-2010 гг.
Прогноз
продуктивности молока на 2011г.:
у
2011 = 56,0 - 0,90*(+6) =50,6 ц/гол
Вывод:
В 2011 г. прогнозируется продуктивность молока равная 50,6 ц/гол.
1.2 Анализ показателей вариации
Анализ вариации показателей x и X
Рассчитаем величины, необходимые для определения показателей вариации с
помощью таблицы 5 и 6.
Таблица
5
Расчёт величин для определения показателей вариации молочной
продуктивности в хозяйствах Шербакульского района Омской области
|
№ п/п
|
Предприятия
|
Продуктивность, ц/гол
|
Поголовье коров, гол
|
Валовый надой, га
|
Расчётные величины
|
Накопленные частоты
|
|
|
x
|
f
|
x*f=X
|
(x-xср)^2*f
|
|
|
1
|
ООО "Изюмовское"
|
28,09
|
373
|
10477,6
|
71963,67
|
373
|
|
2
|
СПК "Максимовское"
|
34,04
|
425
|
14467,0
|
167290,88
|
798
|
|
3
|
СПК "Пришиб"
|
35,01
|
817
|
28603,2
|
353806,83
|
1615
|
|
4
|
ЗАО "Технофарм"
|
37,7
|
310
|
11687,0
|
171197,50
|
1925
|
|
5
|
ЗАО "Кутузовское"
|
37,86
|
438
|
16582,7
|
245190,47
|
2363
|
|
6
|
СПК "Славянский"
|
38,21
|
971
|
37101,9
|
559762,18
|
3334
|
|
7
|
ЗАО "Солнечное"
|
40,81
|
416
|
16977,0
|
294566,31
|
3750
|
|
8
|
СПК "Красноярский"
|
42,38
|
485
|
20554,3
|
385144,51
|
4235
|
|
9
|
ЗАО "Звонорёвокутское"
|
45,1
|
1020
|
46002,0
|
973906,20
|
5255
|
|
10
|
ОАО Агрофирма "Екатеринославская"
|
57,29
|
595
|
34087,6
|
1104765,12
|
5850
|
|
Итого
|
396,49
|
5850
|
236540,14
|
4327593,68
|
29498
|
Рассчитаем
:
=
=
Вывод: Средняя продуктивность молока по 10 хозяйствам составляет 40,4
центнеров с 1 головы.
Расчёт показателей вариации (таб.5):
1) Размах вариации: R = xmax - xmin
R
=57,29 - 28,09 = 29,2 ц/гол
Вывод: Разница между максимальным и минимальным значением продуктивности
молока в хозяйствах составляет 29,2 ц/гол.
2) Среднее линейное отклонение:
=
=
=
Вывод: Каждое индивидуальное значение (х) в среднем отклоняется от
среднего арифметического (
) на 0,086 ц/гол.
3) Дисперсия:
=
=
=
Вывод: Квадрат каждого индивидуального отклоняется от средней
арифметической на 50,3 ц/гол.
4) Среднее квадратичное отклонение:
= 7,09 ц/гол
5) Коэффициент вариации:
= 17,55 %
Вывод: Совокупность по данному признаку (продуктивность молока) считается
однородной, т.к. коэффициент вариации V
.
Таблица 6
Расчёт величин для определения показателей вариации валового надоя молока
в хозяйствах Шербакульского района Омской области
|
№ п/п
|
Предприятия
|
Валовый надой, ц
|
Расчётные величины
|
|
|
x*f=X
|
(x-xср)^2
|
|
1
|
ООО "Изюмовское"
|
10477,57
|
174,24
|
|
2
|
СПК "Максимовское"
|
14467
|
148,84
|
|
3
|
СПК "Пришиб"
|
28603,17
|
125,44
|
|
4
|
ЗАО "Технофарм"
|
11687
|
104,04
|
|
5
|
ЗАО "Кутузовское"
|
16582,68
|
84,64
|
|
6
|
СПК "Славянский"
|
37101,91
|
67,24
|
|
7
|
ЗАО "Солнечное"
|
16976,96
|
51,84
|
|
8
|
СПК "Красноярский"
|
20554,3
|
38,44
|
|
9
|
ЗАО "Звонорёвокутское"
|
46002
|
27,04
|
|
10
|
ОАО Агрофирма "Екатеринославская"
|
34087,55
|
17,64
|
Размах вариации: R = Хmax - Хmin (таб.6)
R
=34087,55-10477,57 = 23609,98»23610 ц
Вывод: Разница между максимальным и минимальным значением валового надоя
молока в хозяйствах составляет 23610 ц.
Мода представляет собой значение изучаемого признака, повторяющееся с
наибольшей частотой.

;
где


.
По
данным таблицы 5 наибольшую частоту (1020 голов) имеет хозяйство ЗАО
«Звоноревокутское», продуктивность молока которого равна 45,1 ц/гол,
следовательно, оно и является модальным (Мо = 45,1 ц/гол.), т.е. в данной
совокупности по поголовье коров с 1 головы самой распространенной является
продуктивность молока 45,1 ц/гол
Медиана - это значение признака, приходящее на середине ранжирования.
Ранжированный ряд - расположение единиц совокупности в возрастающем или
убывающем порядке. Если ранжированный ряд состоит из четного числа членов, то
медианой будет являться среднее арифметическое из двух вариантов, расположенных
в середине ряда.
В данном примере (Таблице 5) медиана находится по формуле:
,
где:
- частота, соответствующая значению признака, находящего в
середине ранжированного ряда;
- полусумма всех частот.
Из данной формулы следует, что медиана - это значение признака с
накопленной частотой, которая только превысила полусумму всех частот.
Вывод: Первой частотой, которая превысила данное значение, является
накопленная частота 2363. Следовательно, Ме = 37,86 ц/гол, это значит, что у
половины поголовье коров меньше 37,86 ц/гол, а на второй половине урожайность
больше 37,86 ц/гол.
1.3 Факторный анализ показателей динамики
Факторный анализ динамики показателей x и X
Для расчёта индивидуальных индексов и анализа изменений в значениях
показателей отдельно на каждом предприятии используем таблицу 7.
Таблица 7
Динамика молочной продуктивности, поголовья и валового надоя молока на
предприятиях Шербакульского района Омской области
|
№ п/п
|
Предприятие
|
Продуктивность, ц/гол
|
Изменение, %
|
Поголовье коров, ц
|
Валовый надой, ц
|
Изменение, %
|
|
|
xi
|
|
fi
|
|
хi*fi
|
|
|
|
2009 г. (x0)
|
2010 г. (x1)
|
|
2009 г. (f0)
|
2010 г. (f1)
|
|
2009 г. (х0*f0)
|
2010 г. (х1*f1)
|
|
|
1
|
ОАО АФ "Екатеринославская"
|
56,51
|
57,29
|
1,38
|
594
|
595
|
0,17
|
33567,0
|
34085,0
|
1,54
|
|
2
|
ЗАО "Кутузовское"
|
39,05
|
37,86
|
-3,05
|
424
|
438
|
3,30
|
16557,0
|
16582,0
|
0,15
|
|
3
|
ООО "Изюмовское"
|
28,7
|
28,09
|
-2,16
|
364
|
373
|
2,47
|
10450,0
|
10479,0
|
0,28
|
|
4
|
СПК "Славянский
|
32,84
|
38,21
|
16,35
|
954
|
971
|
1,78
|
31326,0
|
37104,0
|
18,44
|
|
5
|
ЗАО "Солнечное
|
44,78
|
40,81
|
-8,87
|
413
|
416
|
0,73
|
18495,0
|
16977,0
|
-8,21
|
|
Итого
|
201,89
|
202,26
|
|
2749
|
2793
|
|
110395
|
115227
|
|
Индексы индивидуальные и общие
Индивидуальные:
1)
( на
1,38%)
(↓ на 3,05%)
(↓ на 2,16%)
( на 16,35%)
(↓ на 8,87%)
2)
( на
0,17%)
(↑ на 3,3%)
( на
2,47%)
(↑ на 1,78%)
(↑ур-ти на 1,33%)
3)
( на
1,54%)
( на 0,15%)
( на
8,28%)
( на 18,44%)
(↓ на 8,21%)
Общие индексы:
. Индекс продуктивности молока:
=
Вывод: В общем продуктивность молока увеличивается на 2,93 %, что в
абсолютном выражении составило:
ц/гол
.Индекс поголовье коров:
=
Вывод: Произошло увеличение поголовье коров в текущем периоде на 1,41% по
сравнению с базисным периодом, что в абсолютном выражении составило:
3.Индекс валового надоя:
=
ц
Вывод: Произошло увеличение валового надоя по всем хозяйствам на 4,38%,
что в абсолютном выражении составило:
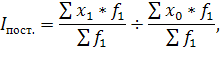
Индексы переменного, постоянного состава и структурных сдвигов:
1. Индекс переменного состава:
%
Вывод: увеличение продуктивности молока на 4,38% за счёт самой
продуктивности молока и поголовье коров, что в абсолютном выражении составляет:
2. Индекс постоянного состава:
Вывод: увеличение продуктивности молока на 2,92% за счёт самой
продуктивности молока и поголовье коров, что в абсолютном выражении составляет:
3. Индекс структурных сдвигов:
Вывод: снижение на 0,2% за счёт поголовья голов, что в абсолютном
выражении составляет:
= 40,08-40,16=-0,08
.4 Корреляционно-регрессивный анализ
Для расчёта показателей используем таблицу 8.
Таблица 8
Расчет величин для определения коэффициента корреляции, параметров
уравнения линейной связи и коэффициента детерминации на предприятия
Шербакульского района Омской области
|
№ п/п
|
Предприятия
|
Надой от коровы в год, ц/гол
|
Себестоимость 1 ц молока, руб.
|
Расчётные величины
|
|
|
х
|
у
|
ху
|
Х2
|
Y2
|
|
1
|
ООО "Изюмовское"
|
872,79
|
28,09
|
24516,67
|
761762,38
|
789,05
|
|
2
|
СПК "Максимовский"
|
756,44
|
34,0
|
25749,22
|
572201,47
|
1158,72
|
|
3
|
СПК "Пришиб"
|
826,85
|
35,01
|
28948,02
|
683680,92
|
1225,70
|
|
4
|
ЗАО "Технофарм"
|
608,71
|
37,7
|
22948,37
|
370527,86
|
1421,29
|
|
5
|
ЗАО "Кутузовское"
|
953,75
|
37,86
|
36108,98
|
909639,06
|
1433,38
|
|
6
|
СПК "Славянский"
|
785,20
|
38,21
|
30002,49
|
616539,04
|
1460,00
|
|
7
|
ЗАО "Солнечное"
|
1110,50
|
40,81
|
45319,51
|
1233210,25
|
1665,46
|
|
8
|
СПК "Красноярский"
|
948,09
|
42,38
|
40180,05
|
898874,65
|
1796,06
|
|
9
|
ЗАО "Звонорёвокутское"
|
876,43
|
45,1
|
39526,99
|
768129,54
|
2034,01
|
|
10
|
ОАО АФ "Екатеринославская"
|
1067,92
|
57,29
|
61181,14
|
1140453,13
|
3282,14
|
|
Итого
|
8806,68
|
396,49
|
354481,43
|
7955018,32
|
16265,82
|
|
Среднее значение
|
880,67
|
39,65
|
35448,14
|
795501,83
|
1626,58
|
|
Квадратичное среднее значение
|
775576,13
|
1572,04
|
Х
|
Х
|
Х
|
При выполнении корреляционного анализа необходимо рассчитать следующие
показатели:
1. Коэффициент корреляции - показывает тесноту и направление связи;
рассчитывается по формуле:
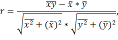
Вывод: Связь между надоем и себестоимостью обратная по направлению - с
увеличением надоя себестоимость увеличивается на 0,06.
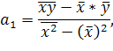
2. Коэффициент уравнения регрессии:
- уравнение регрессии, показывает на сколько единиц
увеличивается или уменьшается результат.
y =
16,75+0,026x - уравнение регрессии.
Вывод: При увеличении надоя молока от коровы себестоимость будет
увеличиваться 0,026 руб. с центнера молока.
Подсчитаем теоретическое «x» в
полученном уравнении регрессии:
Рис.
5. Прямая линейная регрессии
1. Коэффициент эластичности - показывает, на сколько % изменяется
результативный признак при изменении факторного признака на 1%:
,
Вывод: При увеличении надоя молока на 1% увеличивается себестоимость на
0,58%.
2. Коэффициент детерминации:
Вывод: Изменение себестоимости зависит от надоя молока на 0,36%, а
остальные 99,64% зависят от других неучтённых в данной работе факторов
(климатические условия, корм и т.д.).
Заключение
ОАО АФ «Екатеринославская» Шербакульского района Омской области
специализируется на производстве молока, полуфабрикатов, мясное и молочное
скотоводство. Рост стоимости товарной продукции опережает рост валовой
продукции, что говорит об увеличении товарности производимой продукции. В 2010
г. по сравнению с 2009г. общая земельная площадь уменьшилась на 2,4%. Ежегодно
происходит снижение продуктивности молока на 0,81 ц/гол. Валовой сбор молока в
2010г. по сравнению с 2009г. увеличивается на 1,54 % за счёт увеличения
продуктивности молока и поголовье коров. Произошло незначительное уменьшение
поголовье коров в 2010 по сравнению с 2009г. на 1ц.
Увеличить продуктивность молока можно за счёт нормирования кормления
коров, уход за скотом и его содержанием, уход за выменем и способы доения.
Для достижения максимальной прибыли в хозяйстве необходимо ввести
передовые технологии, разводить породный скот, осуществлять эффективные методы
и приемы селекции. Можно предложить хозяйству: снижение себестоимости молочной
продукции, полуфабрикатов, повышение производительности труда, повышение
качества выпускаемой продукции.
Главная задача поставленная перед предприятием (хозяйством) - повышение
молочной продуктивности поголовье скота. Для ее решения необходимо
контролировать крепость организма скота, приспособленность к различным условиям
жизни, устойчивости к заболеваниям, внедрить полноценный рацион питания.
Повышение надоя молока и повышения качества разведения скота может привести не
только к повышению окупаемости затрат по производству, но и к получению прибыли,
с помощью которой возможно расширение производства.
Список использованной литературы
1. Афанасьев
В.Н. Статистика сельского хозяйства: учеб. пособие / В.Н. Афанасьев. - М.:
Финансы и статистика 2003. - 270с.
2. Годовые
отчеты ОАО АФ «Екатеринославская» Шербакульского района за 2001 - 2010 гг.
. Годовые
отчеты ЗАО «Кутузовское» за 2009 - 2010 гг.
. Годовые
отчеты ООО «Изюмовское» за 2009 - 2010 гг.
. Годовые
отчеты СПК «Славянский» за 2009 - 2010 гг.
. Годовые
отчеты ЗАО «Солнечное» за 2009 - 2010 гг.
. Годовые
отчеты СПК «Красноярский» за 2009 - 2010 гг.
. Годовые
отчеты СПК «Максимовский» за 2009 - 2010 гг.
. Годовые
отчеты ЗАО «Технофарм» за 2009 - 2010 гг.
. Годовые
отчеты СПК «Пришиб» за 2009 - 2010 гг.
. Годовые
отчеты ЗАО «Звоноревокутское» за 2009 - 2010 гг.
. Гусаров
В.М. Статистика: учеб. пособие для вузов / В.М. Гусаров. - М.: ЮНИТИ-ДАНА,
2003. - 463с.
. Елисеева
И.И. Общая теория статистики: Учебник./ И.И. Елисеева, Юзбашев М.М. - 4-е
издание перераб. и доп. - М.: Финансы и статистика, 2005. - 657с.
. Шмойлова
Р. А. Практикум по теории статистики: учебное пособие / под ред. Р. А.
Шмойловой. - 2-е изд., перераб. и доп. - М.: Финансы и статистика, 2007. - 415
с.
15. Экономическая
статистика: Учебник 2-е изд., доп.: / Под ред. Ю.Н.Иванова. М.ИНФРА-М, 2004.-
480 с.