Управління механізмами держзакупівель

  • Вид работы:
    Курсовая работа (т)
  • Предмет:
    Менеджмент
  • Язык:
    Украинский
    ,
    Формат файла:
    MS Word
    92,56 Кб
  • Опубликовано:
    2015-02-17
Вы можете узнать стоимость помощи в написании студенческой работы.
Помощь в написании работы, которую точно примут!

Управління механізмами держзакупівель

Національний авіаційний університет

Факультет економічної кібернетики

Кафедра економічної кібернетики







Курсова робота

з дисципліни «Економетрика»

Тема:

Управління механізмами держзакупівель












Київ 2014

РЕФЕРАТ

Пояснювальна записка: 39 сторінки, 4 рисунків, 7 джерел

Об'єктом дослідження є процес управління механізмами держзакупівель з метою визначення оптимального вибору постачальника шляхом тендеру.

Метою дослідження є аналіз трудових ресурсів Укрзалізниці станції Макіївка, а також Дослідження оптимізаційних методів управління трудовими ресурсами, що дозволити планувати и розподіляти оптимальну кількість робочої сили на певний період годині.

Результатом роботи є управління ринковими механізмами здійснення держзакупівель для Укрзалізниці і реалізація методу за допомогою Exсel.

Лаг, лагова змінна, моделі, розподілення лагів, лаги алмон, практичне застосування


ЗМІСТ

Вступ

. Загальна характеристика моделей з розподіленим лагом

.1 Поняття лагової змінної і загальна модель розподіленого лага

.2 Інтерпретація коефіцієнтів моделей з розподіленим лагом

.3 Вивчення структури лага

. Лаги алмон

.1 Лаги алмон

.2 Процедура застосування методу Алмон

. Практичне застосування, побудова моделі з розподіленим лагом

3.1 Оцінка моделей с лагами в незалежних змінних

3.2 Розглянемо загальну модель з розподіленим лагом

Висновок

Література


ВСТУП

На сьогоднішній день діяльність у будь-якій області економіки (управлінні, фінансово-кредитній сфері, маркетингу, обліку, аудиті) вимагає від фахівця застосування сучасних методів роботи, знання досягнень світової економічної думки, розуміння наукової мови. Більшість нових методів засновано на економетричних моделях, концепціях. Для економетрики характерні постановка і вирішення завдань, пов'язаних з розробкою економіко-математичних моделей по спостережуваних даними. Такі завдання засновані на гіпотезах про закони розподілу ймовірностей для вважаються випадковими відхилень значень змінних від їх фактичних величин. У даній роботі викладається класичний економетричний підхід до одному приватному, але важливого для додатків і для розвитку теорії класу відносно простих моделей - моделей розподіленого лага. За допомогою моделей такого типу виражається залежність досліджуваного показника-функції yt від значень іншого показника-фактора х в той же період і попередні йому моменти або періоди часу. Такі моделі застосовні, якщо дві величини взаємопов'язані так, що вплив зміни однієї з них на іншу позначається протягом досить тривалого періоду часу, тобто, якщо спостерігається ефект наслідку. Найбільш відомі два приклади процесів такого типу. Це, по перше, процес перетворення доходів населення в його витрати. По-друге, це процес відтворення основних фондів, який можна представити у вигляді ланцюжка взаємодій, що позначаються стрілками: накопичення інвестиції в основні фонди вводи основних фондів амортизація вибуття основних фондів. Проблема з обраної тематики полягає в тому, що моделі розподілених лагів можуть задовільно описувати такі процеси тільки в тому випадку, якщо забезпечена відносна стабільність умов, в яких ці процеси реалізуються. Мова може йти про стабільність відповідних індексів цін, ставок за кредит, норм амортизації, термінів будівництва, обсягів і структури джерел ресурсів.

Така стабільність далеко не завжди має місце для тривалих періодів часу, що забезпечують потрібне для оцінювання параметрів моделі число спостережень.

Мета курсової роботи - дослідження моделей розподілених лагів. У зв'язку з метою даної курсової роботи необхідно вирішити такі завдання:

. розглянути загальну характеристику моделей з розподіленими лагами;

. визначити інтерпретацію параметрів таких моделей; 3 вивчити структуру лага.


. ЗАГАЛЬНА ХАРАКТЕРИСТИКА МОДЕЛЕЙ З РОЗПОДІЛЕНИМ ЛАГОМ

.1 Поняття лагової змінної

Модель з розподіленим лагом - це модель часового ряду, в якій в рівняння регресії включено як поточне значення пояснюватиме змінної, так і значення цієї змінної в попередніх періодах. Найпростіший приклад моделі з розподіленим лагом:. У більш загальному випадку:

Тут можна говорити про короткостроковому впливі пояснюватиме змінної на що пояснюється (), а також про довгострокове () Дана модель, в свою чергу, є окремим випадком Моделі авторегресії і розподіленого лага.

Приклади макроекономічних моделей, в яких важливий часовий лаг:

·  Функція споживання

·        Створення грошей у банківській системі

·        Зв'язок між грошовою масою і рівнем цін

·        Лаг між витратами на НДДКР і продуктивністю

·        "Крива джей" (J-curve) зв'язку між валютним курсом і торговельним балансом

·        Модель акселератора інвестицій

Причини існування лагів можна розділити на три групи:

·  Технологічні

·        Інституційні

·        Психологічні

Основну складність для емпіричної оцінки моделі з розподіленим лагом представляє наявність мультиколінеарності, тому в економічних даних сусідні значення одного і того ж ряду даних зазвичай високо корельовані один з одним. Крім того, не завжди можливо апріорі визначити, скільки лагових змінних варто включати в модель. Існують навіть моделі з нескінченним числом лагових регресів, коефіцієнти при яких нескінченно зменшуються (наприклад, в геометричній прогресії). Існує безліч спеціальних технологій для роботи з розподіленими лагами: так, метод Тінбергена і Альта являє собою "метод великого пальця" для визначення оптимального числа лагових змінних, не вносячи додаткових передумов в модель. Моделі Ліжко та Алмон, навпаки, вводять передумови щодо лагових коефіцієнтів, що дозволяють спростити їх оцінку.

При дослідженні економічних процесів нерідко доводиться моделювати ситуації, коли значення результативної ознаки в поточний момент часу t формується під взаємодій ряду факторів, що діяли в минулі моменти часу t-1, t-2, t-l. Наприклад, на виручку від реалізації або прибуток компанії поточного періоду можуть впливати витрати на рекламу або проведення маркетингових досліджень, зроблені компанією в попередні моменти часу. Величину l, що характеризує запізнювання у впливі фактора на результат, називають в економетриці лагом, а часові ряди самих факторних змінних, зрушені на один або більше моментів часу, - лаговими змінними.

Економетричне моделювання процесів, що здійснюються із застосуванням моделей, що містять не тільки поточні, а й лагові значення змінних, називаються моделями з розподіленим лагом.

У економетричному аналізі такі моделі використовуються досить широко. Це цілком природно, тому що в багатьох випадках вплив одних економічних чинників на інші здійснюється не миттєво, а з деяким тимчасовим запізненням. Причин наявності лагів в економіці досить багато, і серед них можна виділити наступні.

Психологічні причини, які зазвичай виражаються через інерцію в поведінці людей. Наприклад, люди витрачають свій дохід поступово, а не миттєво. Звичка до певного способу життя призводить до того, що люди набувають ті ж блага протягом деякого часу навіть після падіння реального доходу.

Технологічні причини. Наприклад, винахід персональних комп'ютерів не привело до миттєвого витіснення ними великих ЕОМ в силу необхідності заміни відповідного програмного забезпечення, яке зажадало тривалого часу.

Інституційні причини. Наприклад, контракти між фірмами, трудові договори вимагають певної постійності протягом часу контракту (договору).

Механізми формування економічних показників. Наприклад, інфляція в чому є інерційним процесом; грошовий мультиплікатор (створення грошей в банківській системі) також проявляє себе на певному часовому інтервалі і т.д.

Нехай y - залежна змінна. Загальна модель нескінченного розподіленого лага може бути визначена таким чином:

Формула 1.1.1

 +

Де: b_i ^ - невідомі не рівні нулю одночасно константи;_t - незалежна змінна і u_t - незалежна від x_t випадкова змінна з нульовим середнім значенням і постійної дисперсією. У цьому рівнянні значення залежної змінної в момент часу t є лінійною функцією змінної x, виміряної в моменти t - 1, t - 2 і т.д.

Поряд з лаговим значенням незалежних, або факторних, змінних на величину залежною змінною поточного періоду можуть впливати її значення в минулі моменти або періоди часу. Наприклад, споживання в момент часу t формується під впливом доходу поточного та попереднього періодів, а також обсягу споживання минулих періодів, наприклад споживання в період (t - 1). Ці процеси зазвичай описують за допомогою моделей регресії, що містять в якості факторів лагові значення залежної змінної, які називаються моделями авторегресії. Модель виду yt = α+βxt+γyt-1+ εt відноситься к моделям авторегресії.

Для багатьох економічних процесів типовим є те, що ефект від впливу деякого фактора на показник, який характеризує процес, виявляється не одразу, а поступово, через деякий період часу. Таке явище називається лагом (запізненням). Потреба врахувати лаг при кількісному вимірюванні взаємозв’язків між економічними показниками постає досить часто. Наприклад, необхідно врахувати лаг при визначенні взаємозв’язку між капітальними вкладеннями і введенням основних фондів, між доходами і витратами тощо. Причому вплив деяких пояснювальних змінних на залежну може проявлятися не лише через певний період часу, а й протягом певного часу, тобто лаг може складатися з кількох періодів.

Економетрична модель розподіленого лагу має вигляд:

Формула 1.1.2


Де: - параметри моделі при лагових змінних;

- пояснювальна лагова змінна;

- період зрушення;

- залишки.

Модель (1.4) називають моделлю нескінченого розділеного лагу, якщо для неї виконується такі умови:

) для будь-яких k, j;

)

) , де w - скінчене число;

) ;

) .

Коефіцієнти aj називають коефіцієнтами лагу, а послідовність а0, а1, а2,... - структурою лагу. Величини wj називаються нормованими коефіцієнтами лагу, а послідовність w0, w1, w2,….. називають нормованою структурою лагу для моделі (9.4).

Моделі розподілених лагів можуть задовільно описувати процеси лише в тому разі, коли забезпечена відносна стабільність умов, в яких ці процеси реалізуються. Може йтися про стабільність відповідних індексів цін, процентних ставок за кредити, норми амортизації, термінів будівництва, обсягу та структури ресурсів.

Така стабільність далеко не завжди спостерігається для порівняно довгих проміжків часу, протягом яких формується сукупність спостережень. Це призводить до побудови узагальненої моделі розподіленого лагу:

Формула 1.1.3

(9.5)

де - пояснювальні змінні, значення яких характеризують поточні умови функціонування економічних систем у період t.

Складності оцінювання такої моделі пов’язані із великою кількістю параметрів та обмеженнями, накладеними на них.

.2 Інтерпретація коефіцієнтів моделей з розподіленим лагом

Розглянемо модель з розподіленим лагом в її загальному вигляді в припущенні, що максимальна величина лага конечна:

Формула 1.2.1

= α + b0xt + b1xt-1 + ... + bkxt-k + εt (1)

Ця модель говорить про те, що якщо в деякий момент вре¬мені t відбувається зміна незалежної змінної x, то ця зміна буде впливати на значення змінної у протягом l наступних моментів часу.

Коефіцієнт регресії b0 при змінної х, характеризує середнє абсолютне зміна у, при зміні х, на 1 од. свого вимірювання в певний фіксований момент часу t, без урахування впливу лагових значень фактора х. Цей коефіцієнт називають короткостроковим мультиплікатором.

У момент (t + 1) сукупний вплив факторної змінної Хt, на результат уt складе (b0 + b1) ум. од., у момент (t + 2) цей вплив можна охарактеризувати сумою (b0 + b1 + b2) і т. д. Отримані таким чином суми називають проміжними мультиплікаторами.

З урахуванням кінцевої величини лага можна сказати, що ізме¬неніе змінної Хt в момент t на 1 ум. од. призведе до загального зміни результату через l моментів часу на (b0 + b1 + ... + bl) абсолютних одиниць.

Введемо наступне позначення:

Формула 1.2.2

+ b1 + ... + bl = b

Величину b називають довгостроковим мультиплікатором. Він показує абсолютна зміна в довгостроковому періоді t + l результату у під впливом зміни на 1 од. фактора х.

Припустимо

Формула 1.2.3

βj = bj / b, j = (0,1)

Назвемо отримані величини відносними коефіцієнтами моделі з розподіленим лагом. Якщо всі коефіцієнти bj мають однакові знаки, то для будь-якого j:

Формула 1.2.4

<βj <1 і Σ_ (j = 0) ^ l;〖βj = 1〗

У цьому випадку відносні коефіцієнти βj є весамі для відповідних коефіцієнтів bj. Кожен з них зміряє частку загальної зміни результативного ознаки в момент часу (t + j).

Знаючи величини βj, за допомогою стандартних формул можна визначити ще дві важливі характеристики моделі множинної регресії: величину середнього лага і медіанного лага. Середній лаг визначається за формулою середньої арифметичної зваженої:

Формула 1.2.5

̅ = Σ_ (j = 0) ^ l; (j : βj)

і являє собою середній період, протягом якого буде відбуватися зміна результату під впливом зміни фактора в момент часу t. Невелика величина середнього лага свідчить про відносно швидкому реагуванні результату на зміну фактора, тоді як високе його значення говорить про те, що вплив фактора на результат буде впливати протягом тривалого періоду часу. Медіанний лаг - це величина лага, для якого:

Формула 1.2.6

Σ_ (j = 0) ^ l; βj ≈ 0,5

Це той період часу, протягом якого з моменту часу t буде реалізована половина загального впливу фактора на результат.

.3 Вивчення структури лага

Поточне і лагові значення факторної змінної оказують різне за силою вплив на результативну змінну моделі. Кількісно сила зв'язку між результатом і значенням факторної змінної, що відносяться до різних моментів часу, вимірюється за допомогою коефіцієнтів регресії при факторних змінних. Якщо побудувати графік залежності цих коефіцієнтів від величини лага, можна получити графічне зображення структури лага, або розподілу в часі впливу факторної змінної на результат. Основні її форми структури лага:

Рисунок 1.2.1: Графічне зображення структури лага

а - лінійна,

б - геометрична,

в - перевернута V-подібна,

г -, д -, е - поліноміальна

Якщо із зростанням величини лага коефіцієнти при лагових значеннях змінної зменшуються в часі, то має місце лінейная (її ще називають трикутною - (рис.1 а) або геометріческая структура лага (рис.1 б). Якщо лагові впливу фактора на результат не мають тенденцію до спаданням під часові, то має місце один з варіантів, показаних на (рис. 1 в). Структуру лага, зображену на (рис.1 в), називають «перегорнутою» V-подібною структурою. Основна її особливість - симетричність лагових впливів щодо деякого середнього лага, який характеризується найбільш сильним впливом фактора на результат. Графіки, представлені на рис.1 г), д) і е) свідчать про поліноміальної структури лага.

Графічний аналіз структури лага аналогічним чином можна проводити і за допомогою відносних коефіцієнтів регресії. Основні труднощі у виявленні структури лага полягає в тому, як отримати значення параметрів. У більшості випадків припущення про структуру лага засновані на загальних положеннях економічної теорії, на дослідженнях взаємозв'язку показників або на результатах проведених раніше емпіричних досліджень чи іншої апріорної інформації.

лаговий змінний розподілений модель

. ЛАГИ АЛМОН

.1 Лаги Алмон

Розглянемо загальну модель з розподіленим лагом, що має кінцеву, максимальну величину лага l, яку можна описати співвідношенням (1). Припустимо, було встановлено, що в досліджуваній моделі має місце поліноміальна структура лага, т. Е. Залежність коефіцієнтів регресії bi, від величини лага описується поліномом k-го ступеня. Окремим випадком поліноміальної структури лага є лінійна модель (рис.1 а)). Прикладами лагів, що утворюють поліном 2-го ступеня, є варіанти рис.1 г) і д). Перевернута V-подібна структура лага також може бути апроксимована за допомогою Полінома 2-го ступеня. Нарешті, графік, представлений на рис.1 е) є прикладом моделі лагів у формі полінома 3-го ступеня. Лаги, структуру яких можна описати за допомогою поліномів, називають також лагами Алмон, на ім'я Ширлі Алмон (1965), вперше звернувши увагу на таке подання лагів.

Формально модель залежності коефіцієнтів bj від величини лага j у формі полінома можна записати в наступному вигляді:

• для полінома 1-го ступеня: bj = c0 + с1 j;

• для полінома 2-го ступеня bj = c0 + с1 j + с2j2;

• для полінома 3-го ступеня: bj = c0 + с1 j + с2j2 + с3j3 і т. Д.

У найбільш загальному вигляді для полінома k-го ступеня маємо:

Формула 2.1.1

= c0 + с1 j + с2j2 + ... + сk jk (2)

Тоді кожен з коефіцієнтів bj моделі (1) можна виразити наступним чином:

= c0;= c0 + с1 + ... + сk;= c0 +2 з1 + 4с2 + ... + 2k сk;= c0 +3 з1 + 9с2 + ... + 3k сk;

і т. д.

= c0 + l з1 + l 2С2 + ... + lk сk. (3)

Підставивши в (1) знайдені співвідношення для bj, отримаємо:

Формула 2.1.2

= а + c0 Хt + (С0 + с1 + ... + сk) * Хt-1, + (С0 + 2С1 + 4c2 + ... + 2k сk)

* Хt-2 + (С0 + 3С1 + 9c2 + ... + 3kсk) * Хt-3 + ... + (С0 + lс1 + l2c2 + ... + сk) * Хt-l + t. (4)

Перегрупуємо доданки в (4):

Формула 2.1.3

= а + c0 (Хt + Хt-1, + Хt-2 + ... Хt-l) + c1 (Хt-1, +2 Хt-2 + 3 Хt-3 ... l *

Хt-l) + c2 (Хt -1, +4 Хt-2 + 9 Хt-3 ... l2 * Хt-l) + ... + ck (Хt-1, + 2k Хt-2 +

k Хt-3 ... lk * Хt-l) + t. (5)

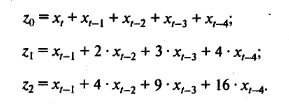
Позначимо доданки в дужках при ci, як нові змінні:

Формули 1.2.4

= Хt + Хt - 1, + х t - 2 + ... + х t - l =;= х t -1 +2 х t - 2 +3 х t - 3 + ... + l х t - l =;= х t - 1 +4 х t - 2 +9 х t - 3 + ... + l 2 х t - l =;

......................................................... (6)= х t - 1 +2 k х t - 2 +3 k х t - 3 + ... + lk х t - l =;

Перепишемо модель (5) з урахуванням співвідношень (6):

Формула 1.2.6

= а + c0 z0 + c1 z1 + c2 z2 + ... + ck zk + t. (7)

.2 Процедура застосування методу Алмон

Для розрахунку параметрів моделі з розподіленим лагом виглядає наступним чином:

.   Визначається максимальна величина лага l.

2.      Визначається ступінь полінома k, що описує структуру лага.

.        За співвідношенням (6) розраховуються значення змінних z0 ... zk

.        Визначаються параметри рівняння лінійної регресії (7).

.        За допомогою співвідношень (3) розраховуються параметри вихідної моделі з розподіленим лагом.

Застосування методу Алмон пов'язане з рядом проблем.

По-перше, величина лага l повинна бути відома заздалегідь. При її визначенні краще виходити з максимально можливого лага, ніж обмежуватися лагами невеликої довжини. Вибір меншого лага, ніж його реальне значення, призведе до того, що в моделі регресії НЕ буде врахований фактор, що робить значний вплив на результат, т. Е. До невірної специфікації моделі. Вплив цього фактора в такій моделі буде виражено в остатках. Вибір більшої величини лага в порівнянні з її реальним значенням буде означать включення в модель статистично незначного фактора і зниження ефективності отриманих оцінок, проте ці оцінки все ж будуть незміщеними.

Існує кілька практичних підходів до визначення реальної величини лага, наприклад, побудова кількох рівнянь регресії і вибір найкращого з цих рівнянь або застосування формальних критеріїв, наприклад критерію Шварца. Однак найбільш простим способом є вимірювання тісноти зв'язку між результатом і лагів значеннями фактора.

По-друге, необхідно встановити ступінь полінома k. Зазвичай на практиці обмежуються розглядом поліномів 2-й і 3-го ступеня, застосовуючи наступне просте правило: вибрана ступінь полінома k повинна бути на одиницю більше числа екстремумів в структурі лага. Якщо інформацію про структуру лага отримати неможливо, величину k найпростіше визначити шляхом порівняння моделей, побудованих для різних значень k, і вибору найкращої моделі.

По-третє, змінні z, які визначаються як лінійні комбінації вихідних змінних х, будуть корелювати між собою у випадках, коли спостерігається висока зв'язок між самими вихідними змінними. Тому оцінку параметрів моделі (7) доводиться проводити в умовах мультіколінеарності факторів. Однак мультіколінеарності факторів z0 ... zk в моделі (7) позначається на оцінках параметрів b0 ... bl в дещо меншій мірі, ніж якби ці оцінки були получени шляхом застосування методу найменших квадратів безпосередньо до моделі (1) в умовах мультіколінеарності факторів Хt , ..., Хt-l. Це пов'язано з тим, що в моделі (7) мультіколінеарності веде до зниження ефективності оцінок С0, ..., сk, тому кожен з параметрів b0 ... bl, які визначаються як лінійні комбінації оцінок С0, ..., сk , буде являти собою більш точну оцінку.

Метод Алмон має дві незаперечні переваги.

Він досить універсальний і може бути застосований для моделювання процесів, які характеризуються різноманітними структурами лагів.

При відносно невеликій кількості змінних в (7) (зазвичай вибирають k = 2 або k = 3), яка не призводить до втрати значного числа ступенів свободи, за допомогою методу Алмон можна побудувати моделі з розподіленим лагом будь-якої довжини.

3. ПРАКТИЧНЕ ЗАСТОСУВАННЯ, ПОБУДОВА МОДЕЛІЗ РОЗПОДІЛЕНИМ ЛАГОМ

.1 Оцінка моделей с лагами в незалежних змінних

.   Метод послідовного збільшення кількості лагів

За даним методом рівняння рекомендується оцінювати з послідовно зростаючою кількістю лагів. Ознаками завершення процедури збільшення кількості лагів можуть бути такі:

• при додаванні нового лага який-небудь коефіцієнт регресії при змінної  змінює знак. Тоді в рівнянні регресії залишають змінні, коефіцієнти при яких знак не поміняли;

• при додаванні нового лага коефіцієнт регресії при змінної стає статистично незначущим. в рівнянні будуть використовуватися тільки змінні, коефіцієнти при яких залишаються статистично значущими.

Застосування методу послідовного збільшення кількості лагів вельми обмежена в силу постійно зменшується числа ступенів свободи, що супроводжується збільшенням стандартних помилок і погіршенням якості оцінок, а також можливості мультіколінеарності. Крім того, при неправильному визначенні числа лагів можливі помилки специфікації.

. Метод геометричної прогресії (метод Койка)

У розподілі Ліжко передбачається, що коефіцієнти («ваги») при лагових значеннях пояснюватиме змінної зменшуються в геометричній прогресії: де характеризує швидкість убування коефіцієнтів із збільшенням лага (з віддаленням від моменту аналізу). Таке припущення досить логічно, якщо вважати, що вплив минулих значень пояснюють змінних на поточне значення залежної змінної буде тим менше, чим далі у часі ці показники мали місце.

В даному випадку перетвориться в:

Параметри рівняння можна визначати різними способами.

• Одним з них є перебір значень з інтервалу (0; 1) з довільним фіксованим кроком (наприклад, 0,01; 0,001 та ін.). Для кожного розраховується:

Значення визначається з умови, що при подальшому додаванні лагових значень величина зміни менш будь-якого раніше заданого числа.

Далі оцінюється рівняння регресії:

З усіх можливих значень вибирається те, при якому коефіцієнт детермінації для рівняння (7.8) буде найбільшим. Знайдені при цьому параметри підставляються в (7.6).

• Більш поширеною є схема обчислень на основі перетворення Койка. Для цього визначимо рівняння (7.6), помножене на і обчислене для попереднього періоду часу:

З рівняння (7.6) віднімемо рівняння (7.9):

Перетворення за цим методом рівняння (7.3) в рівняння (7.10) називається перетворенням Ліжко. Таким чином, за допомогою даного перетворення рівняння з нескінченним числом лагів зведено до авторегресійної, для якого потрібно визначити всього три коефіцієнта: інтегральний лаговий ефект, що спостерігається в системі, може бути представлений як сукупність ефектів, що викликаються окремими циклами. Аналогічно утворюється Лагові ефект всередині кожного з них за рахунок ефектів, що викликаються окремими підциклами.

Отже, сукупний ефект, що виникає в системі, може бути розкладений на складові, якщо підцикли належним чином доповнити характеристиками циклів, в які вони входять. У цьому випадку Лагові ефект, утворений підциклів, можна розкласти на три складові:

1. ефект, пов'язаний із затримкою (випередженням) почала циклу щодо початкової для лагової системи точки відліку часу;

2.      ефект, обумовлений затримкою початку підцикла щодо початку того циклу, в який даний підцикл входить безпосередньо;

.        власний ефект підцикла (утворюється всередині нього).

Вочевидь, наведені вище характеристики тимчасового лага самі по собі порівняно легко піддаються змістовної інтерпретації в термінах динаміки розвитку лагових систем, коли останні трактуються як "місця" спільної "життєдіяльності" поколінь. Однак словесний опис взаємодії цих поколінь і обумовленого ним механізму утворення лагового ефекту залишається досить складним для сприйняття. Потрібні додаткові кошти опису, що полегшують розуміння цього процесу і допомагають надалі здійснити перехід до його моделюванню і регулюванню. Зокрема, для цього можна використовувати наочну графічну модель.

Але навіть найпростіша графічна модель такого роду, як показали наші дослідження, слабо піддається інтерпретації, якщо вона виконана в рамках однієї якої-небудь схеми. Для наочності загальної картини, що відбиває вплив фактора запізнювання на перебіг лагових процесів, доводиться використовувати принаймні серію досить складних схем.

Непрямим доказом того, що загальною формою прояву часових лагів важко дати графічне представлення в рамках однієї схеми, служить дивовижний факт: хоча часовий лаг і є одним з найбільш масових і цікавих явищ в соціально-економічному житті, питома вага його графічних моделей в загальному числі моделей такого роду виключно малий. З них в переважній частині розглядається тільки одиничний лаг, який сам по собі, природно, є найбільш простим за формою прояву і легко піддається тлумаченню. Відомі ж графічні моделі, в яких лаг описується в більш загальній формі, залишають без уваги багато нюансів в прояві фактора запізнювань і, крім того, є громіздкими і досить важкими для розуміння. Мабуть, цією обставиною можна пояснити те, що пряме призначення подібних моделей полягає не в ілюстрації форм прояву лага взагалі, а в описі поведінки конкретних лагових систем (див., Наприклад, опис схеми нормативної моделі процесу капітального будівництва).

Для опису поведінки лагової системи слід спочатку визначити або вказати інтервал часу, протягом якого розглядається її динаміка. Будемо називати цей проміжок часу поточним періодом. Для "миттєвої" динаміки (в якій часовий лаг не спостерігається або НЕ фіксується) часовий горизонт (проміжок часу, протягом якого може розглядатися не тільки динаміка системи в цілому, але і динаміка деталей, з яких вона складається) збігається з поточним періоду. Інакше справа з лаговою динамікою. У подібній динаміці можуть бути задіяні не тільки ті тимчасові цикли, які цілком укладаються в поточний період, але і ті з них, які беруть участь у динаміці системи частково - своїм початком або своїм закінченням.

Таким чином, для побудови часового горизонту доцільно враховувати всі цикли, в тій чи іншій мірі беруть участь у поведінці системи. Відповідно до цього пропонується розсунути часовий горизонт у минуле і майбутнє щонайменше на глибину циклу.

У розширеному таким чином тимчасовому обрії виділимо крім поточного ще два періоди: попередній і наступний. Попередній період визначають всі можливі цикли, які можуть включатися в динаміку системи до початку поточного періоду і своєї реалізацією покривати його повністю або частково. Відповідно наступний період визначають всі можливі цикли, які, зачіпаючи своєї реалізацією поточний період, завершуються за межами поточного періоду.

Виділення трьох періодів у часовому горизонті дозволяє по-новому подивитися на час як простір для подій і служить відправною точкою для побудови нових концептуальних моделей відбиття (зняття) феномену часу в людській свідомості, пов'язуючи ці моделі з різними формами прояву лага і лагів характеристиками (тимчасовими зрізами ) у структурі динаміки систем.

У наочній формі сенс гранично спрощеної концептуальної моделі багатовимірного часового простору можна виразити в графічному вигляді. Для цієї мети спробуємо уявити собі динаміку деякої соціальної, економічної, природної, технічної чи іншої системи як сукупність процесів, що протікають послідовно, паралельно або з деяким зрушенням щодо один одного, не надаючи поки їм змістовного сенсу.

Як ми раніше домовилися, в число цих процесів (циклів) повинні входити тільки ті, реалізація яких відбувається повністю або частково в межах поточного періоду.

Для побудови найбільш простий (спрощеної) і тим не менш достатньо наочної моделі часу як простору для процесів додамо процесам найпримітивніший контекст. Будемо вважати, що кожен процес - це безперервна послідовність нерозпізнаних між собою подій, кожна з яких фіксує якесь стан деякого об'єкта, так що в процесі можна виділити його початок (момент включення у тимчасове простір) і закінчення (момент виключення його з тимчасового простору ). Між початком і закінченням процесу об'єкт, перебуваючи в деякому стані, перебуває в ньому незмінним. При цьому в момент початку процесу він вступає в цей стан, а в момент закінчення процесу - виходить з нього.

Зрозуміло, це найчистішої води абстракція, бо в загальному випадку незмінні стани зустрічаються лише в уяві людини або в різних наукових теоріях, що розглядають ідеальні сутності і явища. Але й наша модель часового простору ідеальна як одна з багатьох форм, в якій люди можуть собі уявляти прояв феномену часу в макромасштабах і використовувати ці уявлення в реальній практиці.

Подібні моделі процесів (у першу чергу концептуальні) люди використовують часто, що не фіксуючи цього факту. Приміром, феномени життя (народження, існування, смерть), приладів і технічних пристроїв (включення, робота, вимикання) і багатьох інших процесів. Зрозуміло, мова йде не про самих процесах, а про моделі їх реалізації.

Тепер якщо виходити з подібної концептуальної моделі процесу, то неважко зрозуміти, що, як ми і зазначали вище, він, будучи взятим окремо від інших процесів, може бути цілком коректно розміщений в одновимірному часовому просторі. Однак якщо ми візьмемо до уваги не один, а кілька подібних процесів, причому таких, що їх реалізація в часі повністю або частково збігається, то після розміщення їх на стрілі часу вони зливаються один з одним в тій мірі, в якій перетинається час їх здійснення, і в цій же мірі стають невиразними.

Тому ми уявимо собі, що у нас є не одна, а безліч осей часів за кількістю взятих до уваги процесів, і на кожній такій осі часів розмістимо по одному такому процесу. Будемо вважати, що всі осі скоординовані (узгоджені) таким чином, що взаємна перестановка процесів з одних осей на інші загальної картини динаміки не змінює. Це означає, що початкове, кінцеве і кожне проміжне події у складі всякого процесу на всіх осях мають одні і ті ж точки розміщення.

Виходячи з цього і переходячи до побудови графічної моделі, задамо деякий безліч таких процесів (для наочності схеми бажано в невеликому числі) у вигляді списку. Впорядкуємо цей список за часом включення (початку) процесів (циклів) у тимчасове простір таким чином, щоб цикли з більш раннім включенням були нижче циклів з більш пізнім включенням, щоб найраніший по включенню процес знаходився внизу списку, а найпізніший - нагорі.

Для однозначності списку об'єднаємо всі процеси із загальним початком в єдині складові процеси (зміст попередньої теми підказує нам, як це зробити). Для наочності складемо цей список таким чином, щоб після його впорядкування проміжки часу, що розділяють моменти включення сусідніх процесів, були однаковими для всього списку.

Потім подумки побудуємо на аркуші паперу малюнок у вигляді безлічі рівновіддалених паралельних ліній (осей часу) по числу процесів, що увійшли до списку після їх об'єднання, і зіставимо кожному з них одну з ліній-осей в тому порядку, в якому вони розміщені в цьому списку.

З усіх ліній-осей виберемо ту, на якій розміщений процес з початком (включенням у тимчасове простір), що збігається з початком поточного періоду. Будемо вважати цю лінію головної (центральної) як осі абсолютного часу і однією з осей багатовимірного часового простору. При побудові ліній будемо дотримуватися їх масштаб таким чином, щоб одиниця виміру часу на шкалі абсолютного часу збігалася з відстанню між сусідніми лініями нашого малюнка.

Відзначимо на головній осі відрізок, що відповідає поточному періоду і проведемо через обидва його кінця дві перпендикулярні до неї прямі, які перетинають всі інші лінії.

Потім проведемо через точки, що відзначають початок процесів на кожній лінії, пряму, яка, очевидно, буде проходити через всі лінії з нахилом вправо під кутом в 45 градусів.

Тепер якщо провести ламану лінію, що сполучає праві кінці відрізків, які відзначають на паралельних осях моменти виключення процесів з тимчасового простору, то між двома похилими лініями (прямий зліва і ламаної праворуч) утворюється смуга. Саме в межах цієї смуги відбуваються взагалі всі події, в тому числі й ті, які утворюють процеси, в тій чи іншій мірі торкаються або визначають ситуації поточного періоду. У цій смузі зосереджена динаміка систем в найбільш спрощеному уявленні, в цій же смузі зосереджені всі прояви лагових ефектів в подібному представленні. Одні з цих проявів відносяться до поточного періоду (справжньому об'єкта, системи або середовища), інші - до попереднього періоду (їх минулого), треті - до подальшого (їх майбутнього).

Неважко зрозуміти, що навіть для такого найпростішого представлення процесів в часовому просторі останнім постає перед нами вже не одновимірним (у вигляді стріли), а в більш складній формі, що вимагає, принаймні, двох вимірів.

Лагові характеристики процесів і системи в цілому будемо прив'язувати переважно до центрального періоду - поточному - або безпосередньо, або як до аналогу. Виходячи з цього можна виділити три групи показників (часових зрізів) динаміки системи:

) поточний лаг - лагові ефект, утворений за рахунок повної реалізації циклів в межах поточного періоду;

) лаг зачепила - формується за рахунок початку реалізації циклів, що запускаються в одному (передує або поточному) періоді і завершується в наступних періодах (поточному чи наступному відповідно);

) перехідний лаг - лаговий ефект, утворений за рахунок продовження або завершення циклів, запущених в попередні періоди.

Склад і структура характеристик визначаються співвідношенням між тривалістю циклів і періодів (насамперед поточного). Відповідно до цього всі цикли за тривалістю можна розділити на короткі, середні і тривалі. Тривалість коротких циклів передбачається менше, ніж поточного періоду. Цикли середньої тривалості можуть бути рівні тривалості поточного періодаілі перевершувати її, але поступатися сумарної тривалості поточного і повного наступного періодів. Нарешті, тривалими циклами вважаються ті, у яких тривалість дорівнює зазначеної сумарної тривалості або перевершує її.

Найбільш проста структура показників спостерігається в динаміці, складеної з коротких циклів. Її наочно ілюструє схема на рис. 1. Лагові ефект в системі - це діагональна смуга у вигляді паралелограма. Умовне зображення лагового циклу і його ефекту може бути представлено у вигляді горизонтального відрізка, що з'єднує дві бічні сторони паралелограма. (З міркувань виключення зайвої смисловий навантаженості лінії циклу на малюнках не проведені.) Лівий кінець уявних ліній циклів фіксує їх початок, правий - закінчення.

Абсолютна вісь часу - це горизонтальна пряма, що проходить через точку перетину лівої межі паралелограма з вертикальної прямої, що обмежує праворуч вертикальну смугу попереднього періоду.

Через те, що схема плоска, а не об'ємна, потужність циклу на ній не відображена. Однак і при такому дефекті схема дозволяє показати структуру лагових характеристик динаміки розвитку.

Можна виділити п'ять характеристик:

.   лаг зачепила в попередньому періоді для поточного періоду;

2.      лаг, що переходить з попереднього періоду в поточний;

.        поточний лаг (характерний тільки для динаміки з короткими циклами);

.        лаг зачепила в поточному періоді для наступного періоду;

.        лаг, що переходить з поточного періоду в наступний.

Необхідно зауважити, що на схемі слабо відбивається реальна складність систем, бо вона "захована" в глибині циклів і на верхньому рівні безпосередньо себе не проявляє. В опосередкованій формі вона відображається в інтегральних характеристиках лага.

Рисунок 3.1.1 Тимчасова структура динаміки коротких циклів

На схемі показано, як динаміка розділяється на тимчасові шари, кожен з яких представляється окремій горизонтальною смугою. На кожній смузі зібрані цикли, схожі з розподілу лагового ефекту за періодами. Так, нижня смуга (лаги 1 і 2) включає цикли, що запускаються в попереднім періоді і завершуються в поточному, середня (лаг 3) - всі цикли, що починаються і закінчуються тільки в поточному періоді, і, нарешті, верхня (лаги 4 і 5).

Рис. 3.1.2 Часова структура динаміки середніх циклів

Відповідно друга зверху смуга, як і її аналог (верхня смуга на рис. 2), включає цикли, запущені в поточному періоді і завершуються в подальшому. Більш складні шари збирають у себе цикли, що пробігають не два, а три періоди. Так, наприклад, друга знизу смуга відводиться для циклів, які включаються в попередньому періоді, проходять через поточний період і завершуються в наступному періоді. Подібним чином на верхній смузі розміщені цикли, що починаються в поточному періоді, що проходять через наступний період і закінчуються лише в перспективі.

Рис. 3.1.3 Часова структура динаміки довгих циклів

Найбільш складною за складом характеристик є динаміка тривалих циклів (див. Рис. 3).

Перспективний період тут подовжується вже за межі тривалості поточного періоду і береться таким, щоб будь-який цикл, що починається в поточному періоді, зміг би завершитися принаймні в перспективі.

Виходячи з тривалості тривалих циклів і періодів, можна виділити наступні інтегральні характеристики лагової динаміки (часові зрізи):

а) лаг зачепила в попередньому періоді. У його складі можна виділити лаг доробку для поточного періоду 1, лаг доробку для поточного і наступного періодів 3, лаг доробку для поточного і наступного періодів перспективи 6;

б) лаг зачепила в поточному періоді 10;

в) перехідний лаг з попереднього періоду. Він складається: з перехідного лага 2, що реалізує себе повністю в поточному періоді; частково переходять лагів 4 і 7, що реалізуються в поточному періоді; частково переходять лагів 5 і 8, що реалізуються в наступному періоді, частково переходить лаг 9, що реалізується в перспективі. Як і в динаміці циклів середньої тривалості, лаг 4 спільно з лагом 3 утворює лаг доробку для лага 5 в наступному періоді. Аналогічним чином лаги 7 і 8 спільно з лагом 6образуют лаг доробку для лага 9. Таким чином, тут не тільки лаг 4 також відіграє подвійну роль в структурі динаміки, будучи одночасно і лагом зачепила, і перехідним лагом; таку ж роль відіграють і лаги 7 і 8;

г) переходить лаг з поточного періоду. Цей інтегральний лаг утворюється: з частково переходить лаг 11, що реалізується в наступному періоді і частково переходить лаг 12, що реалізується в перспективі. Подібно лагу 4 для перехідного лага з попереднього періоду лаг 11 спільно з лагом 10 утворює лаг доробку для лага 12 в перспективі. Отже, лаг 11 відіграє таку ж подвійну роль в структурі динаміки, що і лаги 4, 7 і 8, будучи одночасно і лагом зачепила, і перехідним лагом. Велика складність динаміки зовні пояснюється тим, що друга зверху смуга містить вже не два (як на рис. 2), а чотири типи лага. Це означає, що зібрані на ній цикли "охоплюють" всі періоди. Решта смуги - це аналоги відповідних смуг на рис. 2.

Змішана динаміка (у якій спостерігаються цикли суттєво відрізняються за своєю тривалістю) може бути представлена у вигляді комбінації динамік, у яких вже зібрані цикли, що мало відрізняються за тривалістю.

Так само або приблизно так, як були побудовані лагові характеристики динаміки для циклів і періодів, можуть бути виділені відповідні показники і для підциклів, наприклад для всіх підциклів в межах одного циклу, коли його тривалість вимірюється в досить великих в порівнянні з тривалістю підциклів одиницях відліку часу . Подібні одиниці грають тут роль періодів, число яких може бути і більше, ніж для динаміки в цілому.

Тепер можна зробити два важливих зауваження.

. Вже на цьому рівні уявлення динаміки лагових систем є можливість уявити собі, який же геометричний образ можна зіставити нетривіальному часу замість традиційної стріли. На малюнках 1-3 видно, що всі події укладаються (розміщуються) на смузі, що проходить під кутом в 45 градусів з лівого нижнього кута малюнків, причому лівий край смуги проходить через початок поточного періоду.

Будемо враховувати, що кожен цикл має структуру і потужність, які графічно розміщуються на площинах, що проходять через горизонтальні лінії перпендикулярно площині аркушів, на яких ці малюнки зображені. Але на плоскому малюнку будова і зовнішні характеристики циклів виявляються невидимі. Навіть для їх подання у найпростішій графічній формі потрібно тривимірне зображення. Стає очевидно, що часовий простір - це щонайменше труба і вже ніяк не пряма. Вісь абсолютного часу в міру руху в майбутнє зсувається вгору щодо цієї нерухомої труби або, що одне і те ж, труба спускається вниз щодо абсолютної осі, якщо остання нерухома. Задня (невидима нами) стінка (поверхня) труби плоска, а вигини бічних і передньої стінок визначаються режимами реалізації циклів. Якщо ж у циклах виділяється їх структура, то для такого подання тимчасового простору його геометричним чином може служити щось вельми складний для нашого обмеженого уяви, наприклад, щось схоже на каналізаційну систему з частково сполученими трубами.

3.2 Розглянемо загальну модель з розподіленим лагом, що має кінцеву, максимальну величину лага, яка описується співвідношенням (7.3)

Припустимо, було встановлено, що в досліджуваної моделі має місце поліноміальна структура лага, т. е. залежність коефіцієнтів регресії Ь, від величини лага описується поліномом k-Pi ступеня. Окремим випадком поліноміальної структури лага є лінійна модель (рис. 7.1а)). Прикладами лагів, що утворюють поліном 2-го ступеня, являються варіанти рис. 7.1 г; і д). Перевернута V-подібна структура лага також може бути апроксимована за допомогою полінома 2-го ступеня. Нарешті, графік, представлений на рис. 7.1 е), є прикладом моделі лагів у формі полінома 3-го ступеня. Лаги, структуру яких можна описати за допомогою поліномів, називають також лагами Алмон, на ім'я Ш. Алмон, вперше звернувший увагу на таке подання лагів. Формально модель залежності коефіцієнтів від величини лага j у формі полінома можна записати в наступному вигляді:

Таблиця 3.2.1

Динаміка об’ємів ВВП США (у, в цінах 1987 г., млрд.. дол. США) и валових внутрішніх інвестицій в економіку США (х, в цінах 1987 г., млрд.. дол. США)*

Год

Y

х

zо

z1

z2

1959

1931,3

296,4




1960

1973,2

290,8




1961

2025,6

289,4




1962

2129,8

321,2




1963

2218

343,3

1541,1

2958

8838,4

1964

2343,3

371,8

1616,5

3017,1

8885,5

1965

2473,5

413

1738,7

3179,6

9266,2

1966

2622,3

438

1887,3

3471,3

10129,1

1967

2690,3

418,6

1984,7

3752,6

10929

1968

2801

440,1

2081,5

4020,8

11836,4

1969

2877,1

461,3

2171

4243,3

12664,5

1970

2875,8

429,7

2187,7

4349,3

12997,1

1971

2965,1

481,5

2231,2

4347

12993,4

1972

3107,1

532,2

2344,8

4485,2

13393,6

1973

3268,5

591,7

2496,4

4629,5

13706,3

1974

3248,1

543

2578,1

4819,4

13929,2

1975

3221,7

437,6

2586

5249

15403,6

1976

3380,8

520,6

2625,1

5427,5

16450,1

3533,2

600,4

2693,3

5391,6

16625,2

1978

3703,5

664,6

2766,2

5126,4

15309,2

1979

3796,8

669,7

2892,9

5177,6

14753,2

1980

3776,3

594,4

3049,7

5882,5

17061,3

1981

3843,1

631,1

3160,2

6329,2

18861

1982

3760,3

540,5

3100,3

6478,4

19669,6

1983

3906,6

599,5

3035,2

6264,7

19129,7

1984

4148,5

757,5

3123

5951,4

17951,8

1985

4279,8

745,9

3274,5

6102,4

18117,6

1986

4404,5

735,1

3378,5

6221,4

17819,4

1987

4540

749,3

3587,3

6897,4

20128,2

1988

4781,6

773,4

3761,2

7487,2

22522,8

1989

4836,9

789,2

3792,9

7460,9

22320,9

1990

4884,9

744,5

3796,5

7524,3

22388,1

1991

4848,4

672,6

3734

7645,3

22855,7


Процедура застосування методу Алмон для розрахунку параметрів моделі з розподіленим лагом виглядає наступним чином.

. Визначається максимальна величина лага.

. Визначається ступінь полінома описує структуру лага.

. За співвідношенням розраховуються значення Zk

. Визначаються параметри рівняння лінійної регресії

. За допомогою співвідношень розраховуються параметри вихідної моделі з розподіленим лагом.

Застосування методу Алмон пов'язане з рядом проблем.

По-перше; величина лага повинна бути відома заздалегідь. При її визначенні краще виходити з максимально можливого лага, ніж обмежуватися лагами невеликої довжини. вибір меншого лага, ніж його реальне значення, призведе до того, що в моделі регресії не буде врахований фактор, що робить значне вплив на результат, т. е. до невірної специфікації моделі.

Вплив цього фактора в такій моделі буде виражено в остатках. Тим самим в моделі не будуть дотримуватися передумови

МНК про випадковість залишків, а отримані оцінки її параметрів виявляться неефективними і змішання. вибір більшої величини лага в порівнянні з її реальним значенням буде розпочати включення в модель статистично незначного фактора і зниження ефективності отриманих оцінок, проте ці оцінки все ж будуть незміщеними. Існує кілька практичних підходів до визначення реальної величини лага, наприклад побудова кількох рівнянь регресії і вибір найкращого з цих рівнянь або застосування формальних критеріїв, наприклад критерію Шварца. Однак найбільш простим способом є вимірювання тісноти зв'язку між результатом і лагів значеннями фактора. Крім того, оптимальну величину лага можна наближено визначити на основі апріорної інформації економічної теорії або проведених раніше емпіричних досліджень. По-друге, необхідно встановити ступінь полінома к.

Зазвичай на практиці обмежуються розглядом поліномів 2-й і 3-го ступеня, застосовуючи наступне просте правило: ступінь полінома до повинна бути на одиницю більше числа екстремумів в структурі лага. Якщо апріорну інформацію про структуру лага отримати неможливо, величину до простіше все визначити шляхом порівняння моделей, побудованих для різних значень до, і вибору найкращої моделі.

По-третє, змінні г, які визначаються як лінійні комбінації вихідних змінних х, будуть корелювати між собою у випадках, коли спостерігається висока зв'язок між самими вихідними змінними. Тому оцінку параметрів

моделі доводиться проводити в умовах мультіколінеарності факторів. Однак мультіколінеарність факторів Zk в моделі позначається на оцінках параметрів b0, ..., bt в дещо меншою мірою, ніж якби ці оцінки були отримані шляхом застосування звичайного МНК безпосередньо до моделі в умовах мультиколінеарності факторів.

Це пов'язано з тим, що в моделі (7.15) мультиколінеарності веде до зниження ефективності оцінок С0, ..., ch тому кожен з параметрів, bh які визначаються як лінійні комбінації оцінок С0, ..., ск, буде являти собою більш точну оцінку, а стандартні помилки цих установки не будуть перевищать стандартні помилки параметрів, отриманих за моделлю звичайним МНК1.

Метод Алмон має дві незаперечні переваги.

• Він досить універсальний і може бути застосований для моделювання процесів, які характеризуються різноманітними структурами лагів.

• При відносно невеликій кількості змінних в (зазвичай вибирають к = 2 або к = 3), яка не приводить до втрати значного числа ступенів свободи, за допомогою методу Алмон можна побудувати моделі з розподіленим лагом будь-якої довжини. Приклад. Побудова моделі з розподіленим лагом. У табл. представлені дані про обсяг випуску продукції в бізнес-секторі економіки США (у% до рівня 1982) і загальній сумі витрат на придбання нових заводів і устаткування в промисловості за 1959-1990 рр. (млрд.. дол. США). Побудуємо модель з розподіленим лагом, припускаючи, що структура лага описується поліномом другого степені. Загальний вигляд цієї моделі:

Формула 3.2.1


Для розрахунку параметрів цієї моделі необхідно провести перетворення вихідних даних в нові змінні Zo> Z \ і г2.

Це перетворення відповідно до (7.14) виглядає наступним чином:

Формула 3.2.2


Значення змінних Zo> Z {і г2 наводяться в табл. 7.1 відмітимо, що число спостережень, за якими проводився розрахунок цих змінних, склало 28 (чотири спостереження було загублено внаслідок зсуву факторних ознак х, на чотири момента часу).

Модель з розподіленим лагом має вигляд:

Формула 3.2.3

Zo = 3000,01 + 1,922 * xt + 1,185 * Хt-1 + 0,184 * xt -2 + 0,811 * Хt-3 +

,176 * Хt-4; R2 = 0,990.

(66,200) (0,205) (0,100) (0,142) (0,096) (0,208)

У дужках вказані стандартні помилки коефіцієнтів регресії.

Нанесемо отримані значення на графік (рис.2).

Структура лага в моделі залежності обсягу ВВП від обсягу інвестицій в економіку

Аналіз цієї моделі показує, що зростання інвестицій в економіку США на 1 млрд. Дол. В поточному періоді призведе через 4 роки до зростання ВВП в середньому на (1,922 + 1,184 + 0,814 + 0,811 + 1,176) = 5,908 млрд. Дол. США.

Визначимо відносні коефіцієнти регресії:

Формула 3.2.4

β0 = 1,922 / 5,908 = 0,325;

β1 = 1,184 / 5,908 = 0,200;

β2 = 0,814 / 5,908 = 0,138;

β 3 = 0,811 / 5,908 = 0,138;

β4 = 1,176 / 5,908 = 0,199.

Більше половини впливу фактора на результат реалізується з лагом в 1 рік, причому 32,5% цього впливу реалізується відразу ж, в поточному періоді.

Середній лаг в даній моделі складе:

Формула 3.2.5

= 0,325 + 0,200 * 1 + 0,138 * 2 + 0,138 * 3 + 0,199 * 4 = 1,686.

В середньому збільшення інвестицій в економіку США призведе до збільшення ВВП через 1,69 року.

Для порівняння наведемо результати застосування звичайного МНК для розрахунку параметрів цієї моделі:

Формула 3.2.6

= 296,56 +2,082 * xt +0,784 * Хt-1 + 1,298 * xt - 2 + 0,428 * Хt-3 +1,323 *

Хt-4; R2 = 0,991.

(67,7) (0,314) (0,428) (0,439) (0,432) (0,324)

Хоча коефіцієнт детермінації по моделі, параметри якої були розраховані звичайним МНК, трохи вище, однак стандартні помилки коефіцієнтів регресії в моделі, отриманий з урахуванням обмежень на поліноміальну структуру лага, значно знизилися. Крім того, модель, отримана звичайним МНК, володіє більш істотним недоліком: коефіцієнти регресії при лагових змінних цієї моделі Хt-1 і Хt-3 не можна вважати статистично значущими.

ВИСНОВОК

Використання різних методів і моделей економетрики має важливе значення в наш час. Постановка і рішення задач, пов'язаних з розробкою економіко-математичних моделей дозволяє фахівцеві досягти високого рівня кваліфікації.

У цій роботі ми розглянули класичний економетричний підхід до моделі розподілених лагів, вивчили структуру лага і розглянули загальну характеристику моделі з розподіленим лагом. За підсумками даної роботи ми зробили висновок, що стосовно до конкретних економічних процесів існуюча економічна теорія не може і не повинна нав'язувати застосування якоїсь єдиної і завжди свідомо кращої моделі, що не існує будь-яких формалізованих рекомендацій, якщо, звичайно, не рахуватися з можливістю послідовно перепробувати моделі всіх відомих типів, які дозволили б обрати модель, краще за інших відповідну досліджуваному об'єкту і наявними даними.

Що стосується стабільності умов, необхідних для проведення економетричних процесів: у разі, якщо вона не має місце для тривалих періодів часу, це призводить до ідеї узагальнення моделі розподіленого лага, що складається в додаванні до неї інших змінних-чинників z1, z2, значення яких zt, s характеризують поточні умови функціонування досліджуваної системи в період t.


ЛІТЕРАТУРА

1. Анчишкин А.І. Прогнозування зростання соціалістичної економіки. М.: Економіка, 1973.

. Казінец Л.С. Темпи зростання і структурні зрушення в економіці. М.: Економіка, 1981.

. Кобринський Н.Є., Маймінас Е.3., Смирнов А.Д. Економічна кібернетика. М.: Економіка, 1982. Гол. 3,7.

. Сплайн-функції в економіко-статистичних дослідженнях. Новосибірськ-Наука, 1987.

. Статистичні методи аналізу економічної динаміки. М.: Наука, 1983.

. Черніков Д.А. Темпи і пропорції економічного зростання. М.: Економіка, 1982. Гол. 1, 2.

. Четиркін Є.М. Статистичні методи прогнозування. 2-е вид. М.: Статистика, 1977

Похожие работы на - Управління механізмами держзакупівель

 

Не нашли материал для своей работы?
Поможем написать уникальную работу
Без плагиата!
Без нейросетей!