Экономико-статистический анализ размеров и уровня оплаты труда
МИНИСТЕРСТВО
СЕЛЬСКОГО ХОЗЯЙСТВА РОССИЙСКОЙ ФЕДЕРАЦИИ
Федеральное
государственное бюджетное общеобразовательное учреждение высшего
профессионального образования
НОВОСИБИРСКИЙ
ГОСУДАРСТВЕННЫЙ АГРАРНЫЙ УНИВЕРСИТЕТ
Кафедра
финансов и статистики
Курсовая работа
по дисциплине
"Статистика"
на тему:
"Экономико-статистический анализ размеров и уровня оплаты труда"
Новосибирск
2015
Содержание
Введение
. Понятие, источники данных и показатели
экономико-статистического анализа размеров и уровня оплаты труда
. Группировка предприятий по уровню оплаты труда в Северном и
Куйбышевском районах
. Корреляционно - регрессионный анализ связи между уровнем
оплаты труда и производительностью труда
. Анализ показателей ряда динамики уровня оплаты труда в ООО
"Эгида" за 2009 - 2013 гг.
Заключение
Список литературы
оплата труд корреляционный производительность
Введение
Оплата труда - это регулярно получаемое вознаграждение
за произведенную продукцию или оказанные услуги, либо за отработанное время,
включая и оплату ежегодных отпусков, праздничных дней и другого неотработанного
времени, которое оплачивается в соответствии с трудовым законодательством и
коллективными трудовыми договорами.
Целью анализа показателей оплаты труда является
изучение и оценка эффективности использования труда персонала и затрат на
оплату труда. [1]
Тема экономико-статистического анализа оплаты труда
является актуальной в современных условиях хозяйствования, поскольку уровень
расходов определяет результаты производственно-хозяйственной деятельности
организации.
Целью данной курсовой работы является
экономико-статистический анализ размеров и уровня оплаты труда в Северном и
Куйбышевском районах по результативному (группировочному) и факторному
показателям, а также проведение анализа рядов динамики по предприятию ООО
"Эгида" Куйбышевского района за 5 лет.
Задачами курсовой работы являются:
1)
изучить понятие,
источники данных и показатели статистического изучения размеров и уровня оплаты
труда;
2)
провести
группировку предприятий Северного и Куйбышевского районов по уровню оплаты
труда;
3)
провести
корреляционно-регрессионный анализ связи между уровнем оплаты труда и временем
затраченным на работу;
4)
провести анализ
показателей ряда динамики уровня оплаты труда по предприятию ООО
"Эгида" за 2009 - 2013гг.
Объектом исследования в данной курсовой работе выступает оплата труда на
предприятиях Северного и Куйбышевского районов.
Объектом наблюдения служат сельскохозяйственные предприятия Северного и
Куйбышевского районов Новосибирской области.
Предметом исследования курсовой работы являются методы статистического
анализа и исследования оплаты труда.
В процессе исследования в курсовой работе применялись следующие методы:
статистической группировки, корреляционно-регрессионного анализа, абсолютных и
относительных величин, средних величин, анализа динамики.
1. Понятие, источники данных и показатели экономико-статистического
анализа размеров и уровня оплаты труда
Оплата труда - система отношений, связанных с обеспечением установления и
осуществления работодателем выплат работникам за их труд в соответствии с
законами, иными нормативными правовыми актами, коллективными договорами,
соглашениями, локальными нормативными актами и трудовыми договорами.
Размер заработной платы, установленный работодателем, не может быть ниже
минимального размера, установленного законодательством.
В зависимости от способа измерения затрат труда - в единицах рабочего
времени или в количестве изготовленной продукции - существует две формы оплаты
труда - сдельная и повременная.
Сдельная форма оплаты труда - находится в прямой зависимости от
количества произведенной продукции. Заработную плату работнику начисляют в
заранее установленном размере за каждую единицу выполненной работы или
изготовленной продукции (выраженной в производственных операциях, штуках,
килограммах, кубических метрах)
Сдельная форма оплаты труда подразделяется на следующие системы оплаты
труда:
прямая сдельная система устанавливает оплату каждой единицы
продукции по сдельной расценке;
сдельно-премиальная предусматривает выплату дополнительного
вознаграждения - премии за выполнение установленных показателей;
сдельно-прогрессивная оплата труда предусматривает оплату труда
в пределах базовой нормы - по обычным расценкам, а при выработке сверх исходной
базы - по повышенным (прогрессивным) расценкам;
косвенно сдельная состоит в том, что заработок рабочих
определяется по сдельным расценкам за продукцию, изготовленную рабочими
обслуживаемого основного производства (ремонтники. Наладчики и др.);
аккордная - устанавливает размер заработка, исходя из норм
выработки (времени) и сдельных расценок за выполнение своего комплекса работ в
целом в заданные сроки.
Повременной называется такая форма оплаты труда, при которой заработную
плату начисляют работнику по установленной тарифной ставке или окладу за
фактически отработанное время. Она подразделяется на простую повременную или
повременно-премиальную систему оплаты труда.
При повременной форме оплаты труда заработок рабочему начисляется в
соответствии с его тарифной ставкой (окладом) за фактически отработанное время
с учетом его профессионального уровня и условий труда.
При простой повременной системе заработную плату начисляют по присвоенной
работнику тарифной ставке за фактически отработанное время.
Такая система, дополненная премированием за выполнение установленных
конкретных количественных и качественных показателей работы, является
повременно-премиальной системой оплаты труда.
Источником оплаты труда служит фонд потребления, формируемый из доходов
населения, доходов предприятий и средств бюджета.
Фонд оплаты труда меньше фонда потребления, в составе которого
учитывается не только личное потребление населением материальных благ, но и
материальные затраты в учреждениях непроизводственной сферы, обслуживающих
население (просвещение, здравоохранение), а также материальные затраты в
учреждениях, оказывающих услуги обществу в целом (наука, оборона).
Вместе с тем общая сумма оплаты труда больше фонда заработной платы,
используемого на оплату труда наемных работников в соответствии с количеством и
качеством их работы.
Исходя из фонда заработном платы определяется уровень заработной платы
как для предприятий, так и для отраслей и экономики в целом.
Статистика изучает дифференциацию работников по уровню заработной платы.
Размер заработной платы зависит от уровня квалификации работника, интенсивности
труда, условий труда, а также отрасли, в которой занят работник,
территориального размещения предприятий и организаций и других факторов.
Производительность труда характеризует эффективность затрат живого
конкретного труда, создающего потребительные стоимости и определяется
выработкой продукции на одного работающего в единицу времени или рабочим
временем, затрачиваемым на производство единицы продукции. Затраты труда на
производство продукции состоят из затрат живого труда в производственном
процессе, прошлого труда, овеществленного в средствах и предметах труда,
используемых при производстве. Но конечный результат трудовой деятельности
коллектива и каждого работника нельзя оценить только выработкой продукции в
единицу рабочего времени.
Средняя часовая (дневная) выработка определяется путем деления количества
выработанной продукции за какой-либо период на число фактически отработанных за
этот период человеко-часов (человеко-дней).
Средняя месячная (квартальная, годовая) выработка вычисляется путем
деления выработанной за изучаемый период продукции на среднюю списочную
численность рабочих (или работников).
С позиций экономии труда, овеществленного в сырье, материалах,
рассматривают методы измерения производительности труда: натуральный. трудовой,
стоимостной.
По натуральном методу производительность труда исчисляют как отношение
количества продукции в соответствующих физических величинах (тоннах, метрах,
литрах и т.д.) к среднесписочному числу работающих или среднесписочное число
работников в расчете на единицу затраченного времени (человеко-час,
человеко-день).
Трудовой метод измерения производительности труда основан на расчете
трудоемкости каждого продукта. Согласно этому методу трудоемкость каждого вида
продукции при этом рассчитывается как отношение трудовых затрат на производство
этой продукции к ее количеству.
Стоимостной метод является наиболее распространенным. По нему
производительность труда определяется отношением объема продукции в стоимостном
выражении к среднесписочному числу работающих.
Производительность труда (по экономике в целом) рассчитывается как
отношение произведенного валового национального дохода (ВНД) к среднегодовой
численности занятых в сфере материального производства.
В настоящее время очень сложно эффективно организовать оплату и
нормирование труда на предприятии, чтобы обеспечивался более быстрый рост
производства и производительности труда по сравнению с увеличением заработной
платы. Сейчас, в соответствии с Трудовым кодексом, заработная плата понимается
как вознаграждение за труд в зависимости от квалификации работника, сложности,
количества, качества и условий выполняемой работы, а также выплаты
компенсационного и стимулирующего характера. [1]
Система показателей, используемых для экономико-статистического анализа
размеров и уровня оплаты труда предприятий РФ:
среднегодовая численность работников предприятия, тыс. чел.
уровень оплаты труда, тыс. руб.
производительность труда, тыс. руб./ чел.
отработано времени 1 работником в год, тыс. чел.-час
2.
Группировка предприятий по уровню оплаты труда в Куйбышевском и Северном
районах
Группировка - разбиение совокупности на группы, однородные по какому-либо
признаку или объединение отдельных единиц совокупности в группы, однородные по
каким-либо признакам.
Группировочный признак - признак, по которому происходит объединение
отдельных единиц совокупности в однородные группы. Он может носить как
количественный, так и качественный характер.
Интервал очерчивает количественные границы групп и представляет собой
промежуток между максимальным и минимальным значениями признака в группе [2].
Проведем группировку предприятий Северного и Куйбышевского районов по
уровню оплаты труда.
Основные показатели, характеризующие уровень оплаты труда представлены в
таблице 1. [5]
Таблица 1 Показатели статистики размера и уровня оплаты труда
|
№
|
Предприятие
|
Среднегодовая численность
работников предприятия, чел.
|
Уровень оплаты труда тыс.р.
|
Отработано времени 1
работником в год, чел.-час
|
Производительность труда
|
|
1
|
СПК Россия
|
4
|
0
|
0
|
0
|
|
2
|
ООО Отрада
|
121
|
60
|
2000
|
190
|
|
3
|
ООО Надежда плюс
|
33
|
110
|
666
|
5646,33
|
|
4
|
ООО Борьба за ми
|
13
|
123
|
1000
|
187
|
|
5
|
СПК Наша Родина
|
6
|
146
|
0
|
0,52
|
|
6
|
ООО Агрохимия
|
20
|
187
|
2000
|
286,25
|
|
7
|
СПК Федоровский
|
20
|
200
|
8800
|
50,2
|
|
8
|
ООО Возрождение
|
24
|
261
|
242
|
357,61
|
|
9
|
ООО Новокиевское
|
3
|
283
|
615
|
508,08
|
|
10
|
СПК Заря
|
41
|
384
|
1600
|
88,4
|
|
11
|
ООО Сибирский Меринос
|
13
|
572
|
1750
|
804,88
|
|
12
|
ООО Каинский м/к
|
2
|
574
|
2167
|
785,67
|
|
13
|
СПК им. Маркса
|
45
|
640
|
2111
|
69,5
|
|
14
|
СПК Новотроицкий
|
27
|
648
|
5000
|
107,18
|
|
15
|
ООО Калинина
|
8
|
822
|
1950
|
1107,95
|
|
16
|
СПК Граждащевский
|
72
|
824
|
1750
|
66,55
|
|
17
|
ООО Восход
|
97
|
962
|
2733
|
87,6
|
|
18
|
ООО Исида
|
7
|
1776
|
2077
|
394,23
|
|
19
|
ООО Россия
|
15
|
1945
|
2074
|
291,26
|
|
20
|
ООО Первое мая иК
|
36
|
2049
|
1733
|
119,64
|
|
21
|
ООО Нагорное
|
72
|
2092
|
1500
|
180,29
|
|
22
|
ООО Кама
|
20
|
2564
|
3500
|
372,75
|
|
23
|
СПК Останинский
|
5
|
2583
|
2484
|
183,29
|
|
24
|
ООО Нива
|
18
|
2644
|
1829
|
200,37
|
|
25
|
ООО Наша Родина
|
33
|
3006
|
2583
|
134,58
|
|
26
|
СПК Восход
|
11
|
3240
|
1694
|
200,67
|
|
27
|
СПК Верх-Красноярский
|
31
|
5827
|
2458
|
151,11
|
|
28
|
СПК Рассвет
|
0
|
5959
|
2014
|
216,53
|
|
29
|
СПК Наша Родина
|
5
|
6076
|
1840
|
216,86
|
|
30
|
ООО Сибирь
|
49
|
6944
|
2042
|
200,71
|
|
31
|
ООО Булатовское
|
100
|
8748
|
1719
|
171,02
|
|
32
|
ООО Эгида
|
73
|
11846
|
2093
|
341,62
|
Как видно из таблицы 1, данные субъекты различаются по экономическим и
статистическим показателям. Поэтому для лучшего восприятия на основе исходного
ряда статистических данных построим ранжированный ряд предприятий Северного и
Куйбышевского районов по уровню оплаты труда (таблица 2).
Ранжированный ряд - это ряд данных, расположенных в порядке возрастания
(убывания) размера группировочного признака, а затем графика-рисунка в виде
огивы.
Таблица 2 Ранжированный ряд субъектов Северного и Куйбышевского районов
по уровню оплаты труда
|
Ранг
|
№ региона
|
Предприятие
|
Уровень оплаты труда, тыс.
руб.
|
|
1
|
1
|
СПК Россия
|
0
|
|
2
|
2
|
ООО Отрада
|
60
|
|
3
|
3
|
ООО Надежда плюс
|
110
|
|
4
|
4
|
ООО Борьба за ми
|
123
|
|
5
|
5
|
СПК Наша Родина
|
146
|
|
6
|
6
|
ООО Агрохимия
|
187
|
|
7
|
7
|
СПК Федоровский
|
200
|
|
8
|
8
|
ООО Возрождение
|
261
|
|
9
|
9
|
ООО Новокиевское
|
283
|
|
10
|
10
|
СПК Заря
|
384
|
|
11
|
11
|
ООО Сибирский Меринос
|
572
|
|
12
|
12
|
ООО Каинский м/к
|
574
|
|
13
|
13
|
СПК им. Маркса
|
640
|
|
14
|
14
|
СПК Новотроицкий
|
648
|
|
15
|
15
|
ООО Калинина
|
822
|
|
16
|
16
|
СПК Граждащевский
|
824
|
|
17
|
17
|
ООО Восход
|
962
|
|
18
|
18
|
ООО Исида
|
1776
|
|
19
|
19
|
1945
|
|
20
|
20
|
ООО Первое мая иК
|
2049
|
|
21
|
21
|
ООО Нагорное
|
2092
|
|
22
|
22
|
ООО Кама
|
2564
|
|
23
|
23
|
СПК Останинский
|
2583
|
|
24
|
24
|
ООО Нива
|
2644
|
|
25
|
25
|
ООО Наша Родина
|
3006
|
|
26
|
26
|
СПК Восход
|
3240
|
|
27
|
27
|
СПК Верх-Красноярский
|
5827
|
|
28
|
28
|
СПК Рассвет
|
5959
|
|
29
|
29
|
СПК Наша Родина
|
6076
|
|
30
|
30
|
ООО Сибирь
|
6944
|
|
31
|
31
|
ООО Булатовское
|
8748
|
|
32
|
32
|
ООО Эгида
|
11846
|
Построим огиву распределения предприятий Северного и Куйбышевского
районов РФ по уровню оплаты труда (рис. 1)
Рис. 1. Огива распределения предприятий Северного и Куйбышевского районов
по уровню оплаты труда.
Вычислим размах вариации признака:
= х макс - х мин =11846-0= 11846 тыс. руб.
Определим количество групп по формуле Стерджесса:
= 1 + 3,322 × lg 32 ≈
1 +3,322 ×1,505 ≈
6 групп.
Величина интервала группы равна: i = R/n = 11846 / 6 = 1974,333
Определяем интервальные группы.
Таблица 3 Интервалы групп предприятий
|
Номер группы
|
Интервал
|
|
1 группа
|
Хmin - Xmin
+ i
|
0-1974,333
|
|
2 группа
|
Хmin+ i -
Xmin + 2i
|
1974,333- 3948,666
|
|
3 группа
|
Хmin+ 2i -
Xmin + 3i
|
3948,666- 5922,999
|
|
4 группа
|
Хmin+ 3i - Xmin + 4i
|
5922,999- 7897,332
|
|
5 группа
|
Хmin+4 i - Xmin + 5i
|
7897,332- 9871,665
|
|
6 группа
|
Хmin+5 i - Xmin + 6i
|
9871,665- 11846
|
На основе полученных интервалов произведем группировку предприятий
Северного и Куйбышевского районов по уровню оплаты труда.
Таблица 4 Группировка предприятий Северного и Куйбышевского районов по
уровню оплаты труда
|
Уровень оплаты труда, тыс.
руб.
|
Количество субъектов в
группе
|
|
0-1974,333
|
19
|
|
1974,333- 3948,666
|
7
|
|
3948,666- 5922,999
|
1
|
|
5922,999- 7897,332
|
3
|
|
7897,332- 9871,665
|
1
|
|
9871,665- 11846
|
1
|
|
Итого
|
32
|
По правилам группировки, в каждой группе должно быть не меньше трех
субъектов, поэтому объединим вместе вторую группу с третьей, а также три
последние группы.
Произведя перегруппировку, получим новое распределение субъектов по
группам с неравными интервалами (таблица 5).
Таблица 5 Группировка предприятий Северного и Куйбышевского районов по
уровню оплаты труда (с неравными интервалами)
|
Уровень оплаты труда, тыс.
человек
|
Количество субъектов в
группе
|
|
0-1974,333
|
19
|
|
1974,333- 3948,666
|
7
|
|
3948,666- 11846
|
6
|
|
Итого
|
32
|
Построим вспомогательную группировочную таблицу (таблица 6).
Таблица 6 Вспомогательная группировочная таблица предприятий Северного и
Куйбышевского районов по уровню оплаты труда
|
Группы предприятий по
уровню оплаты труда, тыс. руб.
|
№ предприятия
|
Предприятие
|
Среднегодовая численность
работников предприятия, чел.
|
Уровень оплаты труда, тыс.
руб.
|
Отработано времени 1
работником в год, тыс. чел.-час
|
|
0-1974,333
|
1
|
СПК Россия
|
4
|
0
|
0
|
|
2
|
ООО Отрада
|
121
|
60
|
2000
|
|
3
|
ООО Надежда плюс
|
33
|
110
|
666
|
|
4
|
ООО Борьба за ми
|
13
|
123
|
1000
|
|
5
|
СПК Наша Родина
|
6
|
146
|
0
|
|
6
|
ООО Агрохимия
|
20
|
187
|
2000
|
|
7
|
СПК Федоровский
|
20
|
200
|
8800
|
|
8
|
ООО Возрождение
|
24
|
261
|
242
|
|
9
|
ООО Новокиевское
|
3
|
283
|
615
|
|
10
|
СПК Заря
|
41
|
384
|
1600
|
|
11
|
ООО Сибирский Меринос
|
13
|
572
|
1750
|
|
12
|
ООО Каинский м/к
|
2
|
574
|
2167
|
|
13
|
СПК им. Маркса
|
45
|
640
|
2111
|
|
14
|
СПК Новотроицкий
|
27
|
648
|
5000
|
|
15
|
ООО Калинина
|
8
|
822
|
1950
|
|
16
|
СПК Граждащевский
|
72
|
824
|
1750
|
|
17
|
ООО Восход
|
97
|
962
|
2733
|
|
18
|
ООО Исида
|
7
|
1776
|
2077
|
|
19
|
ООО Россия
|
15
|
1945
|
2074
|
|
Итого
|
19
|
571
|
10517
|
38535
|
|
1974,333- 3948,666
|
20
|
ООО Первое мая иК
|
15
|
2049
|
1733
|
|
21
|
ООО Нагорное
|
36
|
2092
|
1500
|
|
22
|
ООО Кама
|
72
|
2564
|
3500
|
|
23
|
СПК Останинский
|
20
|
2583
|
2484
|
|
24
|
ООО Нива
|
5
|
2644
|
1829
|
|
25
|
ООО Наша Родина
|
18
|
3006
|
2583
|
|
26
|
СПК Восход
|
33
|
3240
|
1694
|
|
Итого
|
7
|
195
|
18178
|
15323
|
|
3948,666- 11846
|
27
|
СПК Верх-Красноярский
|
31
|
5827
|
2458
|
|
28
|
СПК Рассвет
|
0
|
5959
|
2014
|
|
29
|
СПК Наша Родина
|
5
|
6076
|
1840
|
|
30
|
ООО Сибирь
|
49
|
6944
|
2042
|
|
31
|
ООО Булатовское
|
100
|
8748
|
1719
|
|
32
|
ООО Эгида
|
73
|
11846
|
2093
|
|
Итого
|
6
|
258
|
45400
|
12166
|
|
Всего
|
32
|
2048
|
74095
|
66024
|
Строим итоговую таблицу (таблица 7).
Таблица 7 Итоговая таблица предприятий Северного и Куйбышевского районов
по уровню оплаты труда
|
Группы предприятий по
уровню оплаты труда, тыс. руб.
|
Число субъектов в группе
|
Среднегодовая численность
работников предприятия, чел.
|
Уровень оплаты труда, тыс.
руб.
|
Отработано времени 1
работником в год, тыс. чел.-час
|
|
0-1974,333
|
19
|
571
|
10517
|
38535
|
|
1974,333- 3948,666
|
7
|
195
|
18178
|
15323
|
|
3948,666- 11846
|
6
|
258
|
45400
|
12166
|
|
Всего
|
32
|
2048
|
74095
|
66024
|
В данном разделе курсовой работы проведена группировка
предприятий Северного и Куйбышевского районов по уровню оплаты труда.
В группировку вошло 32 субъектов Северного и
Куйбышевского районов, образовалось 3 группы. Самое большое количество
субъектов (19) вошло в первую группу.
Наибольший уровень оплаты труда наблюдается в третьей
группе (11846 тыс. руб.)
Наибольшее количество часов затраченых на производство
1 работником в год принадлежит первой группе (8800 тыс.чел./час.)
Наибольшая среднегодовая численность работников в
первой группе (121 чел.)
По отработанному времени одним работником в год первое
место занимает первая группа.
3.
Корреляционно - регрессионный анализ связи между уровнем оплаты труда и
временем затраченным на труд
Корреляция - это статистическая зависимость между
случайными величинами, не имеющими строго функционального характера, при
которой изменение одной из случайных величин приводит к изменению
математического ожидания другой.
Корреляционный анализ имеет своей задачей
количественное определение тесноты связи между двумя признаками (при парной
связи) и между результативным и множеством факторных признаков (при
многофакторной связи).
Корреляционно-регрессионный анализ как общее понятие
включает в себя измерение тесноты, направление связи и установление
аналитического выражения (формы) связи (регрессионный анализ) [3].
Проведем корреляционно-регресионный анализ связи между
уровнем оплаты труда и производительностью труда.
Пусть х -уровень оплаты труда, тыс. руб., а у -
Отработано времени 1 работником в год, чел.-час
Для аналитической связи между x и y могут использоваться следующие
простые виды уравнений.
При линейной форме связи (уравнение прямой) уравнение регрессии имеет
вид:
где
- теоретический уровень результативного признака;- факторный
признак, фактический уровень факторного признака;
а, b - параметры уравнения, которые
необходимо определить.
Линейная зависимость - наиболее часто используемая форма связи между
двумя коррелирующими признаками, и выражается она при парной корреляции
уравнением прямой.
Рассчитаем данные для решения уровня связи и определения коэффициента
корреляции (таблица 8).
Ух = а+bх,
где Ух - среднее значение результативного
признака У при определенном значении факторного признака X;
а - свободный член;
b - коэффициент регрессии.
Для нахождения а и b при
линейной зависимости используем следующие формулы:
[4].
Таблица 8 Расчетная таблица для определения параметров
уравнения регрессии
|
Ранг
|
№ п/п
|
Отработано времени 1
работником в год, чел.-час (Х)
|
Уровень оплаты труда, тыс.
руб. (У)
|
ХУ
|
Х2
|
У2
|
Уx
|
|
1
|
1
|
0
|
0
|
0
|
0
|
0
|
2251,38
|
|
2
|
2
|
2000
|
60
|
120000
|
4000000
|
3600
|
2313,50
|
|
3
|
3
|
666
|
110
|
73260
|
443556
|
12100
|
2272,07
|
|
4
|
4
|
1000
|
123
|
123000
|
1000000
|
15129
|
2282,44
|
|
5
|
5
|
0
|
146
|
0
|
0
|
21316
|
2251,38
|
|
6
|
6
|
2000
|
187
|
374000
|
4000000
|
34969
|
2313,50
|
|
7
|
7
|
8800
|
200
|
1760000
|
77440000
|
40000
|
2524,71
|
|
8
|
8
|
242
|
261
|
63162
|
58564
|
68121
|
2258,90
|
|
9
|
9
|
615
|
283
|
174045
|
378225
|
80089
|
2270,49
|
|
10
|
10
|
1600
|
384
|
614400
|
2560000
|
147456
|
2301,08
|
|
11
|
11
|
1750
|
572
|
1001000
|
3062500
|
327184
|
2305,74
|
|
12
|
12
|
2167
|
574
|
1243858
|
4695889
|
329476
|
2318,69
|
|
13
|
13
|
2111
|
640
|
1351040
|
4456321
|
409600
|
2316,95
|
|
14
|
14
|
5000
|
648
|
3240000
|
25000000
|
419904
|
2406,68
|
|
15
|
15
|
1950
|
822
|
1602900
|
3802500
|
675684
|
2311,95
|
|
16
|
16
|
1750
|
824
|
1442000
|
3062500
|
678976
|
2305,74
|
|
17
|
17
|
2733
|
962
|
2629146
|
7469289
|
925444
|
2336,27
|
|
18
|
18
|
2077
|
1776
|
3688752
|
4313929
|
3154176
|
2315,90
|
|
19
|
19
|
2074
|
1945
|
4033930
|
4301476
|
3783025
|
2315,80
|
|
20
|
20
|
1733
|
2049
|
3550917
|
3003289
|
4198401
|
2305,21
|
|
21
|
21
|
1500
|
2092
|
3138000
|
2250000
|
4376464
|
2297,97
|
|
22
|
22
|
3500
|
2564
|
8974000
|
12250000
|
6574096
|
2360,09
|
|
23
|
23
|
2484
|
2583
|
6416172
|
6170256
|
6671889
|
2328,54
|
|
24
|
24
|
1829
|
2644
|
4835876
|
3345241
|
6990736
|
2308,19
|
|
25
|
25
|
2583
|
3006
|
7764498
|
6671889
|
9036036
|
2331,61
|
|
26
|
26
|
1694
|
3240
|
5488560
|
2869636
|
10497600
|
2304,00
|
|
27
|
27
|
2458
|
5827
|
14322766
|
6041764
|
33953929
|
2327,73
|
|
28
|
28
|
2014
|
5959
|
12001426
|
4056196
|
35509681
|
2313,94
|
|
29
|
29
|
1840
|
6076
|
11179840
|
3385600
|
36917776
|
2308,53
|
|
30
|
30
|
2042
|
6944
|
14179648
|
4169764
|
48219136
|
2314,81
|
|
31
|
31
|
1719
|
8748
|
15037812
|
2954961
|
76527504
|
2304,78
|
|
32
|
32
|
2093
|
11846
|
24793678
|
4380649
|
290599497
|
2316,39
|
|
Итого
|
66024
|
74095
|
155217686
|
211593994
|
581198994
|
74095
|
|
Средние значения
|
2063,25
|
2315,46815
|
4850552,678
|
6612312,313
|
18162468,562
|
|
0.03106
Коэффициент регрессии показывает, на сколько (в абсолютном выражении)
изменяется значение результативного признака у при изменении факторного
признака х на единицу.
В данном случае, при увеличении уровня оплаты труда на 1 тыс. руб, время
отработаное 1 человеком в год увеличится на 0.03106. чел.-час.
Параметр а в уравнении регрессии показывает на сколько в среднем будет
отличаться значение зависимого признака от фактического значения. Это означает,
что в среднем, расчетные значения времени отклоняются от фактического значения
на
.
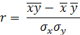
Рассчитаем линейный коэффициент корреляции по формуле:
где σх
и σу - соответственно среднее квадратическое отклонение в
ряду х и в ряду у.
Коэффициент корреляции может принимать значения от -1 до +1. Если r - отрицательный, то связь обратная,
а если положительный - прямая. Причем, если r принимает значение до 0,25 - связь слабая, при r от 0,26 до 0,70 - средняя, при r более 0,70 - связь сильная.
- средний уровень результативного
признака;
- средний уровень факторного
признака;
[4].
Проведя корреляционно-регрессионный анализ, можно сказать, что связь
между уровнем оплаты труда и временем затраченым 1 человеком на работу в год по
предприятиям Северного и Куйбышевского районов - прямая (т.к. со знаком "
+ ") и малая(т.к.0< r <
0,3).
Рис.2. Связь между
уровнем оплаты труда и временем на работу.
4. Анализ
показателей ряда динамики уровня оплаты труда в ООО "Эгида" за 2009 -
2013 гг
Ряды динамики - статистические данные, отображающие развитие во времени
изучаемого явления. Их также называют динамическими рядами, временными рядами.
Любой ряд динамики состоит из 2 элементов:
. Показатель времени (момент, интервал);
. Уровень ряда динамики - это статистический показатель, который
характеризует явление на определенный момент времени или за определенный
интервал.
Изучение ряда динамики позволяет решить целый ряд задач. Одна из них -
получение абсолютных и относительных показателей динамики, которые можно найти
базисным и цепным способом. Это следующие показатели:
Абсолютный прирост - это разница между последующим уровнем ряда динамики
и предыдущим (цепной) или каждым последующим уровнем и уровнем, принятым за
базу сравнений (базисный);
Коэффициент роста - это отношение одного уровня ряда динамики к другому;
Темп роста - отношение последующего уровня к предыдущему (цепной) или
базисному (базисный), умноженное на 100%;
Темп прироста - это темп роста минус 100%.
Расчет названных показателей динамики может проводиться 2 способами:
Базисный, когда каждый уровень ряда динамики сравнивается с каким-то
одним, принятым за базу сравнения. Как правило, за базу сравнения принимается
первый уровень;
Цепной, когда каждый уровень ряда динамики сравнивается с предыдущим
непосредственно ему.
Абсолютный прирост определяется как разность между двумя уровнями ряда
динамики и показывает, на сколько один уровень больше (меньше) другого и
рассчитывается по следующим формулам:
базисный
цепной
где У1 - базисный уровень,
Уn-1 - предыдущий для сравниваемого уровень;
Уn - сравниваемый (последующий) уровень.
Коэффициент роста определяется как отношение двух уровней и показывает,
во сколько раз один уровень больше (меньше) другого и рассчитывается по
формулам:
базисный КРб=Уn / У1,
цепной КРц=Уn/Уn-1,
Темп роста - коэффициент роста, выраженный в %. Он рассчитывается по
следующим формулам:
базисный ТРб=КРб*100%,
цепной ТРц=КРц*100%,
Темп прироста определяется вычитанием из темпа роста 100% и показывает,
на сколько % один уровень больше (меньше) другого и рассчитывается по следующим
формулам:
базисный ТПРб=ТРб-100%;
цепной ТПРц=ТРц-100%.
Показатель абсолютного значения 1% прироста (ά)
рассчитывается как
отношение абсолютного прироста уровня к темпу прироста за соответствующий
период:
Показатель имеет смысл только для цепных абсолютных приростов. [4]
Рассчитаем показатели ряда динамики по уровню оплаты труда в ООО
"Эгида".
Имеются данные об уровне оплаты труда на предприятии ООО
"Эгида" за 2009 - 2013 гг. (табл.9) [5].
Таблица 9
Исходные данные
|
Показатели
|
2009
|
2010
|
2011
|
2012
|
2013
|
|
Уровень оплаты труда, тыс.
руб.
|
5615
|
7483
|
9094
|
9340
|
Таблица 10. Расчетные показатели ряда динамики
|
Период
|
Уровень оплаты труда, тыс.
руб.
|
Темп роста, %
|
Абсолютный прирост, тыс.
руб.
|
Темп прироста, %
|
Абсолютное значение 1%
прироста, тыс.руб.
|
|
|
цепной
|
базис-ный
|
цепной
|
базисный
|
цепной
|
базис-ный
|
|
|
У
|
ц Тр
|
б Тр
|
△уц
|
△уб
|
цТпр
|
бТпр
|
ά
|
|
2009
|
5615
|
-
|
-
|
-
|
-
|
-
|
-
|
-
|
|
2010
|
7483
|
133
|
133
|
1868
|
1868
|
33
|
33
|
56,61
|
|
2011
|
9094
|
121
|
162
|
1611
|
3479
|
21
|
62
|
76,71
|
|
2012
|
9340
|
102
|
166
|
246
|
3725
|
2
|
66
|
123,00
|
|
2013
|
11846
|
126
|
211
|
2506
|
6231
|
26
|
111
|
96,38
|
|
Итого
|
43378
|
-
|
-
|
6231
|
15303
|
-
|
-
|
|
Обобщенной характеристикой динамического ряда может служить средний
уровень ряда у.
Средний абсолютный прирост (изменение) уровней (△у) рассчитывается как средняя
арифметическая простая из отдельных цепных приростов, т.е.:
где n - число абсолютных приростов за
равные промежутки времени[4].
Для получения общей характеристики темпа роста показателей за весь
период, охватываемый рядом динамики, исчисляется средний темп роста по
следующей формуле:
где
- средний темп (коэффициент) роста;
- цепные коэффициенты роста;
∏ - знак произведения;
у0 и уп - соответственно начальный (базисный) и
конечный абсолютные уровни.
или 116,1%
На основании показателей таблицы 10 можно сделать вывод, что на
предприятии ООО "Эгида" уровень оплаты труда в 2013 году по сравнению
с 2009 годом увеличился на 111%.
Рассчитанные базисные показатели показывают, что в
2013 году по сравнению с 2009 годом уровень оплаты труда увеличился на 6231
тыс. руб.; цепные показатели показывают, что уровень оплаты труда в
рассматриваемом периоде как увеличивался, так и уменьшался.
Средний уровень оплаты труда за 5 лет в ООО
"Эгида" составил 8675,6 тыс. руб. Средний абсолютный прирост составил
3060,6 тыс. руб. Средний темп роста за 5 лет составил 134,4 %. В целом по
предприятию ООО "Эгида" наблюдалось увеличение уровня оплаты труда за
рассматриваемый период.
Более совершенным методом обработки рядов динамики в целях устранения
случайных колебаний и выявления тренда является выравнивание уровней ряда по
аналитическим формулам (или аналитическое выравнивание).
В аналитическом выравнивании используем простейшую функцию - линейную
(прямую):
где а и а1 - параметры искомого уравнения по эмпирическим
данным.
Анализ рядов динамики заключается в расчете показателей, которые
способствуют выявлению общей тенденции развития явления во времени на основе
применения аналитического выравнивания рядов динамики по уравнению прямой
линии.
Система нормальных уравнений решается методом наименьших квадратов:
а + а1∑t = ∑y
а ∑ t + а1∑ t² = ∑уt
Параметры уравнения для рядов динамики рассчитываются:
Уt = 8675,6 +
*t
Выравнивание ряда динамики по линейной функции (при счете времени от
середины ряда и четном числе уровней)
Таблица 11.
|
Годы
|
Уровень оплаты труда, тыс.
руб.
|
Отклонение
|
Квадратичное отклонение
|
Произведение
|
Выровненный уровень (тренд)
,
|
|
у
|
t
|
t²
|
уt
|
уt
|
|
2009
|
5615
|
- 2
|
4
|
-11230
|
5811,8
|
|
2010
|
7483
|
- 1
|
1
|
-7483
|
7243,7
|
|
2011
|
9094
|
0
|
0
|
0
|
8675,6
|
|
2012
|
9340
|
1
|
1
|
9340
|
10107,5
|
|
2013
|
11846
|
2
|
4
|
23692
|
11539,4
|
|
Итого
|
43378
|
0
|
10
|
14319
|
43378
|
В таблице 11 у = уt , следовательно, параметры уравнения
определены верно.
Строим график, где отмечаются фактические и выровненные (расчетные)
уровни оплаты труда по годам, показывающие общую тенденцию развития явления
(рис. 3).
Рис. 3. Общая тенденция изменения уровня оплаты труда за 2009 -2013 гг.
Наблюдается тенденция к увеличению уровня оплаты труда.
Из табл.10 видно, что средний абсолютный прирост уровня оплаты труда
равен 3060,6 тыс. руб., т.е. в среднем с 2009 по 2013 гг. уровень оплаты труда
на предприятии ООО "Эгида" увеличивался на 3060,6 тыс. руб. в год.
Средний темп роста составил 134,4 %. Средний темп прироста равен 16,4 %,
т.е. каждый год в среднем уровень оплаты труда увеличивался на 16,4 %.
В таблице 11 показан выровненный уровень (тренд) уровня оплаты труда в
ООО "Эгида" за 2009-2013 гг. Выравнивание помогает выявить общую
тенденцию изменения уровня оплаты труда во времени. В нашем случае тренд можно
выявить из уравнения Уt
= 8675,6+ 1431,9*t
Заключение
В курсовой работе проведен экономико-статистический
анализ размеров и уровня оплаты труда предприятий Северного и Куйбышевского
районов. Субъекты были сгруппированы по уровню оплаты труда. В группировку
вошло 32 предприятий, образовалось 3 группы. Самое большое количество
предприятий вошло в первую группу.
Корреляционно-регрессионный анализ показал, что связь
между уровнем оплаты труда и временем затраченным на работу малая и прямая,
т.е. с ростом оплаты труда время затраченное на работу не изменяется.
Анализ рядов динамики показал, что в 2013 году, по
сравнению с 2009 годом, уровень оплаты труда в ООО "Эгида" увеличился
на 6231 тыс. руб.
Средний уровень оплаты труда за 5 лет в ООО
"Эгида" составил 6231тыс. руб. Средний абсолютный прирост составил
3060,6 тыс. руб. Средний темп роста за 5 лет составил 134,4 %. В целом по
предприятию наблюдалось постепенное увеличение оплаты труда за рассматриваемый
период.
На основе выявленных данных можно сделать вывод о том, что увеличение
уровня оплаты труда работников не способствует повышению количества часов
работы человеком в год.
Список
литературы
1. Кирьянова, В.Н. Воспроизводство рабочей силы и
уровень оплаты труда / В.Н. Кирьянова // - 2010. - №4. - С. 11-13.
2. Экономическая статистика: Учебник / Под ред.
Ю.Н.Иванова. - М.: ИНФРА-М, 2008.
. Статистика. Учебник. Под ред. И.И. Елисеевой. Гриф
МО РФ, 2011г.
. Статистика: метод.указания по написанию курсовой
работы / НГАУ; сост.: Г.В. Исаева. - Новосибирск, 2013. - 14 с.
. Интернет-сайт. Госкомстата России. - Режим доступа:
http://www.gks.ru./