Рынок труда как социальная среда распределения и обмена рабочей силы
Курсовая работа
Рынок труда как
социальная среда распределения и обмена рабочей силы
Введение
Человек по природе своей существо социальное. Он живет среди
других людей, создавая себе и своим близким более удобные условия
существования. Так образуется мир экономики. История развития человечества -
это история развития экономических отношений, в том числе в области
общественного разделения труд. Не случайно именно о труде у народов мира
сложилось наибольшее количество пословиц и поговорок, отражающих культуру,
традиции и опыт.
В зарубежных странах специалисты полагают, что экономика
труда - это исследование функционирования и результатов рынка в сфере труда, а
в узком понятии - поведение работодателей и работников в ответ на действие
общих стимулов в виде заработной платы, прибыли и неденежных факторов в области
трудовых взаимоотношений.
Экономика труда как наука изучает экономические
закономерности в области трудовых отношений, в том числе специфические формы
проявления сущности труда, такие, как занятость, организация, оплата,
эффективность и др. Экономика труда, являясь экономической наукой, поясняет
процессы согласования и координации в обществе. Знание основ экономики труда
позволит специалисту абстрагировано и аргументировано подходить к изучению
происходящих событий, объяснять их движущие силы и оценивать значение.
Предмет экономики труда - это социально-экономические
отношения, складывающиеся в процессе труда под влиянием различных факторов -
технического, организационного, кадрового и иного характера. Дисциплина изучает
процесс труда, т.е. деятельность в развитии, динамике. Такой подход позволяет,
отбросив случайное и обратив основное внимание на объективное и типичное,
сформировать правильное мировоззрение в области трудовых отношений для
дальнейшего, более углубленного изучения дисциплины. Большинство ученых в
области экономики труда считают, что ее предметом является труд как
целесообразная деятельность людей, возникающая в процессе и по поводу
производства.
Социология труда - часть общей социологии, предметом изучения
которой является многообразная совокупность социально-трудовых отношений и
социальных процессов в сфере труда. Исследования социологии труда служат для
выявления социальных резервов повышения эффективности трудовой деятельности
наряду с обеспечением условий развития работников, удовлетворения их
потребностей, формирования позитивных внутриколлективных отношений.
1.
Теоретическая часть
.1 Рынок труда: сущность, компоненты, виды и
модели
Труд - это целесообразная деятельность людей, направленная на
создание материальных и культурных ценностей. Труд есть основа и непременное
условие жизнедеятельности людей. Воздействуя на окружающую природную среду,
изменяя и приспосабливая ее к своим потребностям, люди не только обеспечивают
свое существование, но и создают условия для развития и прогресса общества.
Процесс труда - явление сложное и многоаспектное. Основными
формами его проявления выступают затраты человеческой энергии, взаимодействие
работника со средствами производства (предметами и средствами труда) и
производственное взаимодействие работников друг с другом как по горизонтали
(отношение соучастия в едином трудовом процессе), так и по вертикали (отношение
между руководителем и подчиненным). Роль труда в развитии человека и общества
проявляется в том, что в процессе труда создаются не только материальные и
духовные ценности, предназначенные для удовлетворения потребностей людей, но и
развиваются сами работники, которые приобретают навыки, раскрывают свои
способности, пополняют и обогащают знания. Творческий характер труда находит
свое выражение в появлении новых идей, прогрессивных технологиях, более
совершенных и высокопроизводительных орудиях труда, новых видах продукции,
материалах, энергии, которые, в свою очередь, ведут к развитию потребностей.
Таким образом, в процессе трудовой деятельности не только
производятся товары, оказываются услуги, создаются культурные ценности и т.д.,
но появляются новые потребности с требованиями их последующего удовлетворения
(рис. 1.1). Социологический аспект исследования заключается в рассмотрении
труда как системы общественных отношений, в определении его влияния на
общество.
В процессе труда люди вступают в определенные социальные
отношения, взаимодействуя друг с другом. Социальные взаимодействия в сфере
труда - это форма социальных связей, реализуемая в обмене деятельностью и
взаимном действии. Объективной основой взаимодействия людей является общность
или расхождение их интересов, близких или отдаленных целей, взглядов.
Посредниками взаимодействия людей в сфере труда, промежуточными его звеньями
выступают орудия и предметы труда, материальные и духовные блага. Постоянное
взаимодействие отдельных индивидов или общностей в процессе трудовой
деятельности в определенных социальных условиях образует специфические
социальные отношения.
Социальные отношения - это отношения между членами социальных
общностей и данными общностями по поводу их общественного положения, образа и
уклада жизни, в конечном счете, по поводу условий формирования и развития
личности, социальных общностей. Они проявляются в положении отдельных групп
работников в трудовом процессе, коммуникационных связях между ними, т.е. во
взаимном обмене информацией для воздействия на поведение и результаты
деятельности других, а также для оценки своего собственного положения, что
влияет на формирование интересов и поведение этих групп.
Рынок труда, как любая система, имеет свою структуру. Она
имеет общие элементы в разных странах, но вместе с тем могут быть и некоторые
отличия. Структура рынка труда:
) субъекты рынка;
) юридические нормы, экономические программы, трехсторонние
соглашения и коллективные договоры;
) рыночный механизм (спрос и предложение рабочей силы, цена
труда, конкуренция);
) безработица и социальные выплаты, связанные с ней;
) инфраструктура рынка труда;
) альтернативные виды деятельности.
Субъекты рынка труда. К субъектам рынка труда относятся
наемные работники (и их союзы), работодатели (и их объединения) и государство
(его
органы).
Наемные работники - самая многочисленная часть субъектов
рынка
труда. К ним относятся люди, не имеющие средств производства, живущие за счет
продажи своих способностей к труду - рабочей силы. Их благосостояние зависит от
того, насколько успешно они могут продать свою рабочую силу - заключить
контракт, получить работу. В условиях экономического неравенства работника и
работодателя более или менее достойной заработной платы наемные работники могут
добиться, если сумеют объединиться в профессиональную организацию, которая
будет отстаивать их интересы. Наемные работники России еще полностью не
осознали своих интересов, не научились их отстаивать перед работодателями и
государством.
Работодатели. К ним относятся люди, работающие самостоятельно
и нанимающие на работу одного и более человек. Доля работодателей в составе
работающего населения невелика, несколько превышает 10%. К работодателям
относятся как собственники средств производства, владельцы фирм, предприятий,
так и наемные управляющие (директора) в крупных акционерных компаниях и на государственных
предприятиях. Роль их в экономике велика.
Государство и органы местного самоуправления, как субъекты
рыночных отношений выполняют разнообразные функции. В социально-трудовой сфере
к ним можно отнести: функции создания условий для развития рыночных отношений,
обеспечения полной занятости путем стимулирования сохранения и создания новых
рабочих мест во всех секторах экономики, развития рабочей силы; разработку
законов, юридических норм и правил и обеспечение правопорядка.
Второй компонент - юридические нормы и экономические
программы. Их разработка и совершенствование осуществляется всеми государствами
с рыночной экономикой. Для макроэкономической стабилизации экономики России и
перехода к экономическому росту, способному обеспечить полную занятость. Тем
более необходима последовательная и настойчивая работа по принятию недостающих
и совершенствованию имеющихся законов, других правовых норм и актов, которые
создавали бы равные возможности для реализации способностей к труду всех
участников рыночных отношений, и осуществление жесткого контроля за их
выполнением. Неисполнение законов является слабым местом российского
государства. Усиление контрольных функций и ответственности за нарушение
законодательства является важнейшей задачей исполнительной власти.
Механизм рынка труда представляет собой взаимодействие и
согласование разнообразных интересов работодателей и трудоспособного населения,
желающего работать по найму. Он имеет определенную структуру, которая включает
следующие элементы: спрос на труд (рабочую силу), предложение труда (рабочей
силы), цену труда (цену рабочей силы), конкуренцию. Взаимодействие указанных
элементов получило название механизма спроса и предложения, или ценового
механизма, т.е. такое же название, как и на любом рынке ресурсов или товаров.
Четвертый компонент - безработица и социальные выплаты,
связанные с ней, - является обязательным для современного цивилизованного рынка
труда. Действие законов рыночного хозяйства сопровождается постоянным
высвобождением с предприятий и привлечением на предприятия рабочей силы. При
этом число принимаемых работников не перекрывает полностью число увольняемых. В
результате возникает и постоянно поддерживается безработица.
Пятый компонент - рыночная инфраструктура - представляет
собой совокупность институтов содействия занятости, профессиональной подготовки
и переподготовки кадров, профессиональной ориентации трудоспособного населения.
В нее входит целая сеть фондов занятости, бирж труда (центров занятости),
центров подготовки и переподготовки рабочей силы.
Шестой компонент - альтернативные виды деятельности. К ним
можно отнести общественные работы (оплачиваемые), надомный труд, работы по
контракту на определенный срок, трудоустройство несовершеннолетних граждан на
временную работу и др.
Классификация рынков труда осуществляется на основе самых
различных критериев. По критерию пространственной сферы рынка труда можно
различать (применительно к федеральному типу построения государства и
административному делению России) федеральный, республиканский, краевой,
областной, городской, районный, сельский рынки труда, рынки труда мегаполисов
(типа Москвы, Санкт-Петербурга и др.). На уровне межгосударственных
социально-трудовых отношений можно выделить международный рынок труда, рынки
труда межгосударственных регионов (европейский, латиноамериканский,
среднеазиатский, стран СНГ).
По критерию временных параметров выделяются перспективный,
прогнозный и текущий рынки труда.
По критерию соотношения спроса и предложения труда -
равновесный (сбалансированный), дефицитный (спрос превышает предложение) и
избыточный (предложение превышает спрос) рынки труда.
По критерию этапов выделяют формирующийся рынок, рынок
переходного периода, зрелый (или развитой) рынок труда.
По критерию социальной группы различают рынки преимущественно
физического труда (рабочие), преимущественно умственного труда (служащие),
преимущественно творческого труда (интеллигенция), крестьянского труда и т.д.
В границах указанных социальных групп выделяются рынки труда
квалификации. Так, среди рабочих можно выделить высококвалифицированные,
квалифицированные, малоквалифицированные и неквалифицированные группы.
Сегментация рынков труда носит динамичный и противоречивый характер.
Модели рынка труда могут быть различными.
В зависимости от степени конкуренции на рынке труда выделяют модель чисто
конкурентного рынка, модель монопсонии, модель с учетом действия профсоюзов,
двусторонней монополии.
Чисто конкурентный рынок характеризуется
следующими чертами: большое число фирм конкурируют друг с другом при найме конкретного
вида труда; многочисленные квалифицированные рабочие, имеющие одинаковую
квалификацию, независимо друг от друга предлагают данный вид услуг труд; ни
фирмы, ни рабочие не осуществляют контроль над рыночной ставкой заработной
платы.
Модель монопсонии, т.е. монополии одного
покупателя отражает ситуацию, когда наниматель обладает монополистической силой
покупать (нанимать).
Модель рынка труда с учетом действия
профсоюзов, т.е. на рынке труда профсоюзы представляют интересы работников и от
их имени ведут переговоры с нанимателями.
Модель двусторонней монополии характерна
для условий монопсонического рынка, на котором действуют сильные отраслевые
профсоюзы. Другими словами, при объединении монопсонической модели и модели с
учетом действий профсоюзов имеет место двусторонняя монополия. Профсоюз
является монополистическим продавцом труда и контролирует предложение труда и
может оказать влияние на ставки заработной платы. Он противостоит
монопсоническому нанимателю труда, который тоже может воздействовать на
заработную плату путем изменения занятости.
Американская модель рынка труда
основывается на поддержании конкурентного состояния экономики, недопущении ее
высокой централизации, поощряется активная роль предпринимателей, жизненная
установка работников на индивидуальный успех, на зарабатывания денег. Для
американской политики занятости характерна ориентация на высокую
территориальную мобильность работников между предприятиями, на законченную
профессиональную подготовку в учебных заведениях, на признание профессионально-квалификационного
уровня работников при перемене фирмы, на стремление свести издержки предприятия
на производственное обучение к минимуму. Заработная плата на таких предприятиях
устанавливается контрактами, коллективными договорами с учетом спроса и
предложения рабочей силы, классификации работ по сложности. Организация
профсоюзов строится по профессиональному признаку. Страхование по безработице
осуществляется на федерально-штатной основе. Предприятия и работники
выплачивают взносы отдельно в фонды страхования по безработице штатов и в
Федеральный фонд.
Японская модель. Отличительной чертой
японской модели рынка труда является «система пожизненного найма»,
предусматривающая гарантии на весь срок трудовой деятельности работников. Эти
гарантии результат сложившейся практики отношений между наемными работниками и
предпринимателями, собственниками капитала. Они законодательно не оформлены, но
поддерживаются профсоюзами. Для японской модели характерно патерналистическое
отношение руководителей компаний к персоналу, внимание к непроизводственной
стороне жизни работников и заинтересованность последних ко всем аспектам
деятельности предприятия.
Шведская модель основывается на активной
политики занятости, проводимой государством. Государство уделяет большое
внимание повышению конкурентоспособности рабочей силы через профессиональную
подготовку, созданию рабочих мест в государственном секторе и в частных
компаниях путем субсидирования. Политика в области занятости тесно увязана с
общими экономическими мерами, в частности, с ограничительной налоговой
политикой, «политикой солидарности» в заработной плате, поддержкой слабых групп
населения, отраслей и регионов.
1.2
Функция занятости (социальная, экономическая)
Как экономическая категория занятость представляет собой
совокупность отношений по поводу участия населения в трудовой деятельности. Она
отражает меру его включения в труд, степень общественных потребностей в
работниках, а также личных потребностей и интересов в оплачиваемых экономически
целесообразных местах. Важнейшей экономической функцией занятости является
создание материального и духовного богатства посредством обеспечения работников
экономически целесообразными рабочими места ми. Другими словами, экономическая
функция занятости заключается в создании предпосылок для удовлетворения личных
и общественных потребностей. Лучших результатов можно достигнуть только тогда,
когда профессионально-квалификационная структура рабочей силы соответствует
структуре рабочих мест, создаваемых с учетом научно-технического прогресса.
Поэтому, если спрос на такие рабочие места удовлетворен соответствующим
предложением рабочей силы, можно говорить о состоянии равновесия рабочей силы и
рабочих мест, т.е. о полной занятости. Обеспечение не просто полной и
продуктивной, но и экономически эффективной занятости. Под экономически
эффективной понимают такую занятость, которая обеспечивает достойный доход,
сохранение здоровья, рост образовательного и профессионального уровня каждому
члену общества на основе роста общественной производительности труда. Снижение
затрат самого труда обеспечивается за счет внедрения достижений НТП.
Социальная функция занятости показывает зависимость
всестороннего развития человека от занятости в различных ее видах, но прежде
всего от занятости в экономике.
Вместе с тем она раскрывает и обратную связь. Ведь сама
занятость ориентирована не только на достижение экономических и политических
задач, но и на развитие самого человека как высшей ценности, как цели
жизнедеятельности общества. Всесторонне развитой человек обычно более активно и
плодотворно участвует в управлении производством и обществом, в принятии
решений, затрагивающих его жизнь. Все виды человеческой деятельности имеют
социальную функцию, но особая роль принадлежит профессиональному труду в экономике.
Труд является источником материального и духовного богатства, социального
прогресса и развития человека. Обесценение труда, сведение его только к
обеспечению условий существования обедняет жизнедеятельность человека, снижает
его потребности, стимулы. Ослабление трудовой мотивации негативно отражается на
развитии производства, человека и общества. Поэтому возвышая значение всех
видов человеческой деятельности, нельзя недооценивать роль профессионального
труда. Понятно при этом, что труд не должен быть принудительным, а
стимулироваться атмосферой уважительного отношения к труду, достойным его
вознаграждением.
В результате реформ, изменения структуры занятости появились
новые классы и социальные слои населения. Возник класс капиталистов,
олицетворяющий крупный (прежде всего финансовый и торговый капитал) и мелкий
капитал (частные работодатели, владельцы мелких предприятий, торговых фирм), и
класс наемных работников в традиционном смысле этого слова. Роль этих классов в
трудовой деятельности изменилась. Так, капиталисты выступают в качестве
организаторов производства, торговли, финансов, а наемные работники - в
качестве исполни теля воли первого. Имеется и третий слой населения -
самозанятые (лица свободных профессий). Они совмещают обе эти роли. Переход к
рыночным отношениям характеризуется также значительным увеличением доли
населения, занятого в режиме неполного рабочего времени (неполной недели).
Частные, особенно мелкие предприятия, стараются уменьшить свои финансовые
издержки, экономя на оплате труда. Подобная практика ведет к ухудшению условий
воспроизводства рабочей силы, к снижению ее качества. Вместе с тем для части
населения (женщины, учащаяся молодежь, пенсионеры) такой режим работы позволяет
участвовать в производстве, пополнять свои доходы, зарабатывать средства к
существованию.
Новым социальным явлением для России за последние десятилетия
стала безработица. Частично она выполняет позитивную социальную функцию.
Перерыв в работе используется для переподготовки, повышения квалификации в
целях занятости на новом рабочем месте. В целом же безработица имеет тяжелые
социальные последствия. Все увеличивающаяся доля граждан (более 23% безработных
в 2000 г. стояли на учете больше года) занимает маргинальное положение.
Оставаясь без определенных занятий, она живет случайными заработками.
Возвращение таких безработных к полноценной жизни весьма затруднительно. Это
значит, что отсутствие занятости (выполняемой ей социальной функции) ведет к
негативным последствиям и для человека и для общества. Таким образом,
социальная функция разнообразных видов занятости способствует развитию человека
и общества и, наоборот, отсутствие занятости тормозит их развитие. Рынок труда
самостоятельно не справляется с решением проблемы занятости. В этих целях нужна
активная политика государства.
1.3
Активная политика занятости в РФ
Государство проводит политику содействия реализации прав
граждан на полную, продуктивную и свободно избранную занятость. Она направлена
на развитие трудовых ресурсов, повышение их мобильности, защиту национального
рынка труда. Государство старается обеспечить равными возможностями всех
граждан РФ независимо от их национальности, пола, возраста, социального
положения, политических убеждений и отношения к религии в реализации права на
добровольный труд и свободный выбор занятости.
В 2010 и 2011 годах государственная политика в области
содействия занятости реализовывалась в рамках постоянно действующих программ
содействия занятости населения (далее - мероприятия активной политики
занятости), а также дополнительных мер, направленных на снижение напряженности
на рынке труда субъектов Российской Федерации.
Участниками мероприятий активной политики занятости -
получателями государственных услуг в области содействия занятости населения в
2011 году стали 10,7 млн. человек (в 2010 году - 12,2 млн. человек), из которых
5,4 млн. человек (в 2010 году - 6,4 млн. человек) обратились за содействием в
поиске подходящей работы. При содействии органов службы занятости трудоустроено
3,4 млн. человек (в 2010 году - 4,0 млн. человек) или 63,3% от общей
численности, обратившихся за содействием в поиске подходящей работы (в 2010
году - 62,1%).
В 2011 году государственные услуги в области содействия
занятости получили:
по организации профессиональной ориентации - 3494,9 тыс.
граждан;
по профессиональному обучению - 379,2 тыс. безработных
граждан;
по социальной адаптации на рынке труда - 293,4 тыс.
безработных граждан;
по психологической поддержке - 255,3 тыс. безработных
граждан;
по содействию самозанятости - 226,0 тыс. безработных граждан.
К оплачиваемым общественным работам приступили 474,4 тыс.
безработных граждан, на временные работы трудоустроены 85,4 тыс. безработных
граждан, испытывающих трудности в поиске работы.
Согласно прогнозным данным Минэкономразвития России в течение
2013-2020 годов в России будет наблюдаться устойчивая тенденция сокращения
численности населения трудоспособного возраста (примерно на 1 млн. человек
ежегодно), что приведет к снижению численности экономически активного населения
и, как следствие, - к сокращению предложения трудовых ресурсов.
Численность занятых в экономике будет сокращаться с 68,3 млн.
человек в 2012 году до 67,4 млн. человек в 2015 году, а в 2020 году может
составить 66,6 млн. человек.
В 2013-2015 годах численность безработных граждан и уровень
безработицы будут оставаться стабильными (4,3 млн. человек и 5,9%
соответственно).
В соответствии с Концепцией долгосрочного
социально-экономического развития Российской Федерации на период до 2020 года,
утвержденной распоряжением Правительства Российской Федерации от 17 ноября 2008
г. №1662-р, основными задачами государственной политики являются:
) Повышение гибкости рынка труда, включающее:
совершенствование нормативной правовой базы в сфере труда и
занятости, стимулирующей развитие занятости населения, в том числе гибкие
формы, не требующие постоянного присутствия на рабочем месте;
повышение эффективности использования трудовых ресурсов в
бюджетной сфере, за счет улучшения качества рабочих мест
создание условий для продления периода трудовой деятельности
за счет стимулирования использования трудового потенциала работников старшего
возраста (гибкий график работы, частичная занятость, упорядочение системы
льготных пенсий и т.д.);
расширение практики стажировок молодых специалистов с целью
их последующего трудоустройства на постоянное рабочее место;
стимулирование занятости женщин, имеющих несовершеннолетних
детей;
) Улучшение качества рабочей силы и развитие ее
профессиональной мобильности, включающее:
развитие внутрипроизводственного обучения работников
организаций;
) Развитие институтов рынка труда, рост занятости и
эффективности использования труда, в том числе за счет повышения
территориальной мобильности трудовых ресурсов:
повышение качества предоставления услуг в области содействия
занятости населения на основе развития государственной службы занятости
населения и частных агентств занятости, их взаимодействия;
реформирование системы государственной социальной поддержки
безработных граждан с целью стимулирования их к активному поиску работы;
использование новых информационных возможностей;
разработка новых направлений активной политики занятости
населения;
осуществление комплекса мер по содействию внутренней трудовой
миграции, включая субсидирование затрат на переезд и обустройство;
) Создание условий труда, позволяющих сохранить
трудоспособность работающего населения на всем протяжении профессиональной
карьеры, в том числе:
разработка и реализация мер по улучшению условий и охраны
труда, снижению риска смертности и травматизма на производстве,
профессиональных заболеваний;
развитие системы оценки условий труда с точки зрения
выявления вредных или опасных производственных факторов;
разработка и реализация мер, направленных на снижение
количества рабочих мест с вредными и опасными условиями труда.
) Создание условий для привлечения иностранной рабочей силы с
учетом перспективных потребностей экономики в трудовых ресурсах и принципа
приоритетного использования национальных кадров, включая:
обеспечение дифференцированного подхода к привлечению
иностранной рабочей силы в зависимости от профессии (специальности);
упрощение процедур выдачи рабочих виз для
высококвалифицированных категорий иностранных граждан;
реализация комплекса мероприятий, направленных на
стимулирование возвращения в Россию квалифицированных российских специалистов,
выехавших из страны в связи с поиском работы.
Определение потребности в привлечении иностранных работников
и формирование квот осуществляются в целях поддержания оптимального баланса
трудовых ресурсов с учетом содействия в приоритетном порядке трудоустройству
граждан Российской Федерации. Решения о численности и
профессионально-квалификационной структуре привлекаемых иностранных работников
принимаются с учетом возможности удовлетворения потребности в рабочей силе за
счет региональных трудовых ресурсов, в том числе путем подготовки или
переподготовки безработных граждан, незанятого населения, высвобождаемых
работников по профессиям и специальностям, по которым предполагается
привлечение иностранных работников.
2.
Практическая часть
2.1 Задание 1
рынок труд занятость экономический
Определить производительность труда, запланированный прирост
производительности труда на предприятии, удельный вес прироста объема
производимой продукции за счет роста производительности труда и планируемое
соотношение между приростом производительности труда и средней заработной платы
по следующим данным:
|
Показатель
|
Значение
|
|
Объем товарной продукции (Q), тыс. ден. ед.
|
|
База
|
57800
|
|
Отчет
|
59300
|
|
ФОТ в отчетном периоде, тыс. ден. ед.
|
13200
|
|
Норматив оплаты труда на 1 ден. ед. продукции
по плану, коп.
|
17
|
|
Численность промышленно-производственного
персонала (r), чел.
|
|
База
|
4932
|
|
Отчет
|
5280
|
Решение:
Производительность труда:
тыс. ден. ед./чел.
тыс. ден. ед./чел.
Темпы роста производительности труда (выполнение плана):
Темп прироста:
Удельный вес прироста производительности труда:
Превышение роста объема товарной продукции (Q) на 0,1% роста
производительности труда.
Рост объема товарной продукции (Q) превышает рост численности
работников на 8,784%.
Вывод: формирование ФОТ является эффективным, так как его
рост не превышает рост производительности труда и объёма товарной продукции.
Факторный анализ
|
Показатель
|
База
|
Отчёт
|
Абсолютные изменения
|
Относительные изменения
|
|
Объём товарной продукции, тыс. руб.
|
54200
|
59020
|
+4820
|
8,9%
|
|
Количество работников, чел
|
5150
|
+5
|
+0,1%
|
|
Выработка на одного работника, тыс. руб.
|
9
|
11,6
|
+2,6
|
28,9%
|
Метод цепной подстановки
Используя мультипликативную модель, определим влияние данных
факторов на объём товарной продукции:
Найдём промежуточное значение:
Рассчитаем изменение объема продукции
Вывод: изменение объема товарной продукции зависит от
изменения численности работников и выработки. При данных условиях увеличение
численности работников на 5 человек вызвало изменение объема продукции на 45
тысяч рублей в положительную сторону, а увеличение выработки на 2,6 единицы
привело к увеличению объёма продукции на 13403 тысячи рублей. Суммарное влияние
двух факторов привело к увеличению объема производства на 13448 тыс. рублей.
Далее рассчитаем, как влияет на изменение продукции каждый
фактор по отдельности:
Вывод: Так как численность работников увеличилась на 5
человек, объём товарной продукции увеличился на 45 тыс. рублей.
Вывод: так как производительности труда изменилась на 2,6
единицы произошло увеличение объема товарной продукции на 13403 тыс. рублей.
2.2 Задание 2
Определить месячную заработную плату рабочего по сдельной,
сдельно-премиальной и сдельно-прогрессивной системам оплаты труда. Дать их
сравнительную оценку, если известны следующие данные:
|
Показатель
|
Значение
|
|
Сдача продукции контролеру внутреннего
технического контроля после первого предъявления, % от объема изготовленной
продукции
|
90
|
|
Размер премии от сдельного заработка, %
|
23
|
|
Норма времени на изготовление одной детали, ч.
|
0,67
|
|
Часовая тарифная ставка, ден. ед.
|
89
|
|
Объем выполненной работы одним рабочим за месяц,
ед.
|
682
|
|
После первого предъявления контролером
внутреннего технического контроля принято, ед.
|
630
|
|
Плановое задание рабочего, ед.
|
620
|
Примечание: при условии перевыполнения планового задания на
уровне 10% тарифная расценка увеличивается в 1,5 раза, в большей степени - в 2
раза.
Решение:
Так как перевыполнение плана составило 10%,
тарифная расценка увеличивается в 1,5 раза.
Аналитическая таблица
|
∑
|
|
|
|
|
|
40647,2
|
-
|
-9348,9
|
-59,6
|
49996,1
|
+9348,9
|
-
|
9289,3
|
|
|
40706,8
|
+59,6
|
-9289,3
|
-
|
Вывод:
. Уровень сдельной, сдельно-премиальной и
сдельно-прогрессивной оплат труда зависит от количества и качества выполненной
продукции в сравнении с планом, что влияет на сдельную расценку.
2.3 Задание 3
Рассчитайте заработок рабочего за один день при разных
уровнях выпуска продукции.
Исходные данные
|
Показатель
|
Значение
|
|
Длительность фактически отработанного времени,
ч.
|
8
|
|
Гарантированная ставка заработной платы
(повременная), д.е./ч.
|
189
|
|
Норма времени на единицу продукции, мин
|
12
|
|
Ставка при сдельной оплате
|
76
|
|
Премиальная надбавка за сэкономленное время
дополнительно к почасовой оплате, %
|
80
|
|
Уровень выпуска продукции, шт.
|
|
|
вариант А
|
167
|
|
вариант Б
|
120
|
|
вариант В
|
125
|
Решение:
Вариант А:
Вариант Б:
Вариант В:
Вывод: уровень заработной платы рабочего зависит от уровня
выпуска продукции - больший объём выполненной продукции соответствует большему
сдельному и сдельно-премиальному заработку, и наоборот.
2.4 Задание 4
4.1 Рассчитайте заработную плату рабочего-наладчика по
сдельной форме оплаты труда, годовой фонд оплаты труда. В месяце 22 рабочих
дня.
Исходные данные
|
Показатель
|
Значение
|
|
Фактический объем работ в день, кг
|
|
Первой бригады
|
53
|
|
Второй бригады
|
60
|
|
Плановый объем производства за месяц, кг
|
950
|
|
Норма выработки
|
5,40
|
|
Разряд работ
|
4
|
|
Продолжительность рабочей смены, ч
|
7
|
|
Контингент основного персонала, чел
|
23
|
|
Контингент обслуживающего персонала, чел.
|
2
|
|
Доля заработной платы обслуживающего персонала
в общем фонде оплаты труда основных работников, %
|
|
Дневная тарифная ставка рабочего, руб.
|
529
|
4.2 Определить сдельно-косвенную заработную плату
обслуживающего персонала работающих по индивидуальному наряду за месяц.
.3 Найти основной заработок рабочего по сдельно-премиальной
форме оплаты труда. По действующему премиальному положению рабочему
выплачивается премия за выполнение плана в размере 10%,
за каждый процент перевыполнения плана по 1,5% сдельного заработка.
.4 Определить заработную плату рабочего за месяц по
сдельно-прогрессивной системе оплаты труда. По действующему на предприятии
положению предусмотрено увеличение сдельной расценки на продукцию, выработанную
сверх исходной базы при её перевыполнении до 10% - в 1,5 раза, а свыше 10%
- в 2 раза. За исходную базу принято 100% - ное выполнение норм
выработки.
Действующие тарифные сетки
|
Тарифный коэффициент
|
Разряд
|
|
1
|
2
|
3
|
4
|
5
|
6
|
7
|
8
|
|
Станочники по холодной обработке металлов
|
1,0
|
1,08
|
1,20
|
1,35
|
1,53
|
1,78
|
-
|
-
|
Решение:
Обе бригады перевыполнили план.
Рассчитаем процент премии.
руб.
Вывод: обе бригады перевыполнили план, за что каждая из них
получит премию: за каждый процент перевыполнения плана по 1,5% сдельного
заработка. Сдельно-прогрессивная заработная плата рабочих обеих бригад зависит
от количества выполненной продукции. Так как обе бригады перевыполнили план, по
действующему на предприятии положению предусмотрено увеличение сдельной
расценки.
2.5 Задание 5
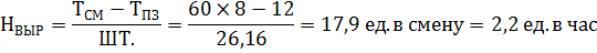
Рассчитать нормы труда для рабочего-сдельщика при следующих
исходных данных:
|
Основное время , мин
|
Вспомогательное время , мин
|
Повышение часовой тарифной ставки , %
|
Выполнение нормы выработки до их пересмотра , %
|
Снижение норм времени х, %
|
|
18
|
6
|
12
|
144
|
18
|
Решение:
чел.-ч/ед.
чел.-мин/ед.=0,45 чел.-ч/ед.
1-ый способ:
руб./ед
2-ой способ:
руб./ед

1-ый способ:
2-ой способ:
Вывод: норма выработки зависит от нормы времени - после
снижения нормы времени, норма выработки также уменьшилась. Аналогично
изменилась и расценка. При изменении расценки норма выработки будет изменяться
в обратно пропорциональной зависимости.
Заключение
Рынок труда - это система отношений и социально-экономический
механизм взаимодействия работодателей, наемных работников и социальных
партнеров по согласованию условий воспроизводства, найма, распределения и
обмена рабочей силы на жизненные средства. Процесс формирования рынка труда
предполагает его социальную направленность, суть которой - создание условий,
обеспечивающих достойную жизнь и свободное развитие человека.
Рынок труда представляет собой сложную подсистему рыночной
экономики, без которой она не может нормально существовать и развиваться.
Следовательно, регулировать рынок труда - значит, прежде всего, поддерживать
общественные условия, при которых купля-продажа труда становится необходимой,
несмотря на то, что рынок труда является саморегулирующимся, он, тем не менее,
поддается регулированию с помощью механизма управления занятостью, основную
роль в котором играет государственная политика.
Политика регулирования занятости и рынка труда должна быть
направлена как на создание гибкого рынка труда, так и на предупреждение его
негативных последствий через систему непрерывного образования, опережающую
переподготовку кадров, налоговые льготы предприятиям, квоты социально слабо
защищенным слоям населения, гарантии трудоустройства незанятому населению.
Повышение качества рабочей силы на рынке труда требует не только совершенствования
содержания и организационных форм образовательного процесса, но и активизации
связей образовательных учреждений, служб занятости с социальными партнерами по
широкому спектру проблем подготовки, переподготовки, трудоустройства и
карьерного роста рабочей силы.
Возросшая способность рабочей силы к межстрановым
передвижениям обеспечила свободное или относительно свободное предложение
рабочей силы независимо от ее национального происхождения в любых точках
капиталистической системы мирового хозяйства. В пользу этого свидетельствуют,
например, возросшие миграционные потоки рабочей силы между различными районами
и странами мира.
Список
использованной литературы
1) Содействие
занятости населения: Государственная программа Российской Федерации
[Текст]/Утверждена распоряжением Правительства Российской Федерации от 22
ноября 2012 г. №2149-р
2) Активная
политика занятости населения и социальная поддержка безработных граждан:
Подпрограмма Российской Федерации [Текст]
) Государственное
регулирование рыночной экономики [Текст] /В.И. Кушлин., 2005
) Экономика
и социология труда [Текст] / Н.А. Иванова-М.: Ай Пи Эр Медиа, 2009. - 48с
) Экономика
труда [Текст] /В.В. Адамчук - М: ИНФРА - М, 2009. - 415 с.
) Электронный
ресурс: http://laboureconomics.ru/
) Электронный
ресурс: http://referat.semestr.ru/