Обработка статистических данных
Введение
(Эмитент (англ.
<https://ru.wikipedia.org/wiki/%D0%90%D0%BD%D0%B3%D0%BB%D0%B8%D0%B9%D1%81%D0%BA%D0%B8%D0%B9_%D1%8F%D0%B7%D1%8B%D0%BA>
issuer <https://en.wikipedia.org/wiki/issuer>) - организация, выпустившая
(эмитировавшая) ценные бумаги
<https://ru.wikipedia.org/wiki/%D0%A6%D0%B5%D0%BD%D0%BD%D0%B0%D1%8F_%D0%B1%D1%83%D0%BC%D0%B0%D0%B3%D0%B0>
для развития и финансирования своей деятельности.
Эмитент - это юридическое лицо
<https://ru.wikipedia.org/wiki/%D0%AE%D1%80%D0%B8%D0%B4%D0%B8%D1%87%D0%B5%D1%81%D0%BA%D0%BE%D0%B5_%D0%BB%D0%B8%D1%86%D0%BE>,
орган местного самоуправления или исполнительной власти, которое от своего
имени выпускает денежные знаки, платежные карты или ценные бумаги для
финансирования или развития своей деятельности. Воспользовавшись правом эмиссии
<https://ru.wikipedia.org/wiki/%D0%AD%D0%BC%D0%B8%D1%81%D1%81%D0%B8%D1%8F_%D1%86%D0%B5%D0%BD%D0%BD%D1%8B%D1%85_%D0%B1%D1%83%D0%BC%D0%B0%D0%B3>
(предъявляется на определенных условиях), эмитент берет на себя обязательства по
предоставлению прав, закрепленных выпущенными ценными бумагами, их владельцам.
В числе ценных бумаг, выпускаемых по эмиссии
<https://ru.wikipedia.org/wiki/%D0%AD%D0%BC%D0%B8%D1%81%D1%81%D0%B8%D1%8F_%D1%86%D0%B5%D0%BD%D0%BD%D1%8B%D1%85_%D0%B1%D1%83%D0%BC%D0%B0%D0%B3>:
дорожные чеки
<https://ru.wikipedia.org/wiki/%D0%94%D0%BE%D1%80%D0%BE%D0%B6%D0%BD%D1%8B%D0%B9_%D1%87%D0%B5%D0%BA>,
акции
<https://ru.wikipedia.org/wiki/%D0%90%D0%BA%D1%86%D0%B8%D1%8F_(%D1%84%D0%B8%D0%BD%D0%B0%D0%BD%D1%81%D1%8B)>,
облигации <https://ru.wikipedia.org/wiki/%D0%9E%D0%B1%D0%BB%D0%B8%D0%B3%D0%B0%D1%86%D0%B8%D1%8F>,
кредитные карты
<https://ru.wikipedia.org/wiki/%D0%9A%D1%80%D0%B5%D0%B4%D0%B8%D1%82%D0%BD%D0%B0%D1%8F_%D0%BA%D0%B0%D1%80%D1%82%D0%B0>.)
В данной работе была произведена
обработка и анализ статистических данных - стоимость чистых активов эмитента,
млн.руб; и производительности труда, тыс.руб/чел за 2010-2013 г.г.
Целью данной контрольной является освоение
инструментов статистики для дальнейшего применения в решении управленческих задач.
В качестве задач контрольной работы можно
выделить:
приобретение навыков работы с большими массивами
данных и навыков представления данных статистического наблюдения в удобном для
восприятия, анализа и принятия решений;
овладение навыками группирования выборочных
данных различными способами;
графическое построение ряда распределения и
определение средних величин;
развитие аналитических навыков в ходе проведения
анализа взаимосвязи выбранных данных.
По результатам данной контрольной были изучены в
практическом и теоретическом плане различные статистические показатели,
основные методы построения графиков и таблиц.
. Общая характеристика исследуемой совокупности
Описание данных, источник получения,
рассматриваемый период и пространственные рамки.
В данной курсовой работе рассматривается
следующий показатель: стоимость чистых активов эмитента, млн.руб; и
производительности труда, тыс. руб/чел за 2010-2013 г.г. На основе полученных
данных выполнена простая сводка. Задачей сводки является выявление типичных черт
и взаимосвязи между исследуемыми признаками.
2. Характеристика используемых статистических
показателей, в том числе вид и единица измерения, тип (интервальный или
моментный)
Путем непосредственного суммирования первичных
данных получают обобщающие абсолютные показатели, которые характеризуют площадь
совокупности и объем (размер) изучаемого явления в конкретных границах времени
и места.
Абсолютные показатели являются всегда
именованными числами, т.е. имеют какую-либо единицу измерения.
Таким образом, абсолютные величины получают
непосредственным подсчётом данных статистического наблюдения или расчётным
путем. Сопоставление статистических данных осуществляется в различных формах и
по разным направлениям. В соответствии с различными задачами и направлениями
сопоставления статистических данных применяются различные виды относительных
величин. Цели направления исследования определяют выбор вида относительных
величин.
Важно отметить, что в процессе
экономико-статистического анализа абсолютные и относительные величины должны
рассматриваться во взаимосвязи, то есть пользоваться относительными величинами
нужно не формально, а представлять, какая абсолютная величина скрывается за
каждым относительным показателем.
.1 Обоснование размера выборки (обеспечивающий необходимый
уровень ошибки)
Выборочное наблюдение наиболее часто
используется в статистике, так как полученные таким способом данные можно
распространить на всю совокупность, так же такое распространение обоснованно
как статистически так и математически. В данном случае выборочное наблюдение
так же повышает точность данных за счёт уменьшения числа единиц наблюдения
(снижение ошибок регистрации). Неоспоримым плюсом выборочного наблюдения
является высокая достоверность его результатов.
Будем производить выборку случайным способом
отбора, так как данный способ имеет ряд преимуществ:
. Это наиболее простой способ.
. Данный способ отбора обеспечивает достаточную
репрезентативность.
Метод отбора - бесповторный, то есть единица,
попавшая в выборку, не возвращается обратно в исходную совокупность.
.2 Проведение выборки одним из способов
бесповторным методом
Таблица Выборка, полученная собственно-случайным
способом (n=12)
|
квартал,
год
|
стоимость
чистых активов эмитента, млн.руб
|
производительность
труда, тыс.руб/чел.
|
|
1кв.2010
|
209,58
|
104,76
|
|
2кв.2010
|
198,65
|
218,15
|
|
3кв.2010
|
218,52
|
337,2
|
|
1кв.2011
|
256,46
|
154,9
|
|
2кв.2011
|
254,2
|
341,92
|
|
3кв.2011
|
267,99
|
543,66
|
|
1кв.2012
|
200,73
|
220,73
|
|
2кв.2012
|
317,83
|
407,82
|
|
3кв.2012
|
176,29
|
624,01
|
|
1кв.2013
|
187,34
|
229,25
|
|
2кв.2013
|
291,51
|
431,66
|
|
3кв.2013
|
177,91
|
659,15
|
3. Оценка среднего значения каждого показателя
Средняя величина - это обобщающая характеристика
количественно и качественно однородной совокупности в определенных условиях.
Средняя величина определяется по какому-либо признаку. Средняя величина
проявляется в результате действия закона больших чисел, когда в массовых
совокупностях индивидуальные отклонения от типичного уровня взаимопогашаются.
Средняя величина позволяет заменить множество значений показателей одним типичным,
что значительно упрощает последующий анализ явлений.
Расчёт средней величины по сгруппированным
данным осуществим по формуле средней арифметической взвешенной:
) Оценка структурных средних (моды, медианы) на
основе структурной группировки.
Проведем расчет и сравнительный анализ средних
по результатам структурной группировки.
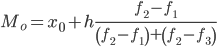
А) Мода. Произведем расчет моды.
где x0 - начало модального интервала; h -
величина интервала; f2 -частота, соответствующая модальному интервалу; f1 -
предмодальная частота; f3 - послемодальная частота.
Выбираем в качестве начала интервала 209.58, так
как именно на этот интервал приходится наибольшее количество.
Наиболее часто встречающееся значение ряда -
104.76
Б) Медиана. Произведём расчет медианы.
Медианой (Me) называется значение признака,
приходящееся на середину ранжированной (упорядоченной) совокупности. Находим
xi, при котором накопленная частота S будет больше ∑f/2 = 2137. Это
значение xi = 317.83. Таким образом, медиана равна 317.83
гистограмма медиана группировка показатель
4. Оценка показателей вариации
.1 Абсолютные показатели вариации. Произведём
расчет абсолютных показателей вариации по таблице 1.1
Размах вариации
= Xmax - Xmin
= 317.83 - 176.29 = 141.54
Размах квартилей.
Квартили - это значения признака в ранжированном
ряду распределения, выбранные таким образом, что 25% единиц совокупности будут
меньше по величине Q1; 25% будут заключены между Q1 и Q2; 25% - между Q2 и Q3;
остальные 25% превосходят Q3.
Находим xi, при котором накопленная частота S
будет больше ∑f/4 = 1069. Это значение xi = 254.20.
Таким образом, первый квартиль равен 254.20
% единиц совокупности будут меньше по величине
254.20совпадает с медианой, Q2 = 317.83
Находим xi, при котором накопленная частота S
будет больше ∑3f/4 = 3207. Это значение xi = 291.51. Таким образом,
третий квартиль равен 291.51
Среднее линейное отклонение.
Среднее линейное отклонение - вычисляют для
того, чтобы учесть различия всех единиц исследуемой совокупности.
Каждое значение ряда отличается от другого в
среднем на 81.57
Дисперсия и среднеквадратичное отклонение.
Произведем расчет простой дисперсии по формуле: дисперсия - характеризует меру
разброса около ее среднего значения (мера рассеивания, т.е. отклонения от
среднего).
Среднеквадратичное отклонение:
.2 Относительные показатели вариации
К относительным показателям вариации относят:
коэффициент осцилляции, линейный коэффициент вариации, относительное линейное
отклонение. Коэффициент вариации - мера относительного разброса значений
совокупности: показывает, какую долю среднего значения этой величины составляет
ее средний разброс.
Поскольку v ≤ 30%, то совокупность
однородна, а вариация слабая. Полученным результатам можно доверять.
Линейный коэффициент вариации или Относительное
линейное отклонение - характеризует долю усредненного значения признака
абсолютных отклонений от средней величины.
Коэффициент осцилляции - отражает относительную
колеблемость крайних значений признака вокруг средней.
Графическое представление распределения значений
(гистограмма, куммулята). Графическое построение моды и медианы
Таблица
|
Группы
|
Середина
интервала, xi
|
Кол-во,
fi
|
xi
* fi
|
Накопленная
частота, S
|
|x
- xср|*f
|
(x
- xср)2*f
|
Частота,
fi/n
|
|
209.58
- 104.76
|
157.17
|
1
|
157.17
|
1
|
135.76
|
18430.21
|
0.0833
|
|
198.65
- 218.15
|
208.4
|
1
|
208.4
|
2
|
84.53
|
7144.97
|
0.0833
|
|
218.52
- 337.21
|
277.87
|
1
|
277.87
|
3
|
15.06
|
226.89
|
0.0833
|
|
256.46
- 154.91
|
205.69
|
1
|
205.69
|
4
|
87.24
|
7611.33
|
0.0833
|
|
254.20
- 341.93
|
298.07
|
1
|
298.07
|
5
|
5.14
|
26.39
|
0.0833
|
|
267.99
- 543.67
|
405.83
|
1
|
405.83
|
6
|
112.9
|
12746.88
|
0.0833
|
|
200.73
- 220.73
|
210.73
|
1
|
210.73
|
7
|
82.2
|
6756.5
|
0.0833
|
|
317.83
- 407.82
|
362.83
|
1
|
362.83
|
8
|
69.9
|
4885.6
|
0.0833
|
|
176.29
- 624.01
|
400.15
|
1
|
400.15
|
9
|
107.22
|
11496.58
|
0.0833
|
|
187.34
- 229.25
|
208.3
|
1
|
208.3
|
10
|
84.63
|
7162.73
|
0.0833
|
|
291.51
- 431.66
|
361.59
|
1
|
361.59
|
11
|
68.66
|
4713.8
|
0.0833
|
|
177.92
- 659.15
|
418.54
|
1
|
418.54
|
12
|
125.61
|
15777.14
|
0.0833
|
|
Итого
|
|
12
|
3515.14
|
|
978.85
|
96979.01
|
1
|
Гистограмма куммулята
Построим куммуляту распределения по данным
таблицы 1.2
Оценка абсолютных и относительных показателей
динамики для выбранного показателя. Цепные и базисные: абсолютный прирост, темп
роста, темп прироста. Абсолютное ускорение, средний уровень ряда, средний
абсолютный прирост, средний темп роста, средний темп прироста.
Важнейшим статистическим показателем динамики
является абсолютный прирост, который определяется в разностном сопоставлении
двух уровней ряда динамики в единицах измерения исходной информации.
Абсолютный прирост
цепной прирост
∆yц = yi - yi-1
базисный прирост
∆yб = yi - y1
Темпы прироста характеризуют абсолютный прирост
в относительных величинах. Исчисленный в процентах темп прироста показывает, на
сколько процентов изменился сравниваемый уровень с уровнем, принятым за базу
сравнения.
Темп прироста
цепной темп прироста
прцi = ∆yi / yi-1
базисный темп прироста
пpб = ∆yбi / y1
Распространенным статистическим показателем
динамики является темп роста. Он характеризует отношение двух уровней ряда и
может выражаться в виде коэффициента или в процентах.
Темп роста
цепной темп роста
цi = yi / yi-1
базисный темп ростаб = yбi / y1
Абсолютное значение 1% прироста
цепной: 1%цi = yi-1 / 100%
базисный: 1%б = yб / 100%
Темп наращения
н = ∆yцi / y1
Таблица Цепные показатели ряда динамики
|
Период
|
стоимость
чистых активов
|
Абсолютный
прирост
|
Темп
прироста, %
|
Темпы
роста, %
|
Абсолютное
содержание 1% прироста
|
Темп
наращения, %
|
|
1
|
209.58
|
-
|
-
|
100
|
2.1
|
0
|
|
2
|
198.65
|
-10.93
|
-5.22
|
94.78
|
2.1
|
-5.22
|
|
3
|
218.52
|
19.87
|
10
|
110
|
1.99
|
9.48
|
|
4
|
256.46
|
37.94
|
17.36
|
117.36
|
2.19
|
18.1
|
|
5
|
254.2
|
-2.26
|
-0.88
|
99.12
|
2.56
|
-1.08
|
|
6
|
267.99
|
13.79
|
5.42
|
105.42
|
2.54
|
6.58
|
|
7
|
200.73
|
-67.26
|
-25.1
|
74.9
|
2.68
|
-32.09
|
|
8
|
317.83
|
117.1
|
58.34
|
158.34
|
2.01
|
55.87
|
|
9
|
176.29
|
-141.54
|
-44.53
|
55.47
|
3.18
|
-67.54
|
|
10
|
187.34
|
11.05
|
6.27
|
106.27
|
1.76
|
5.27
|
|
11
|
291.51
|
104.17
|
55.6
|
155.6
|
1.87
|
49.7
|
|
12
|
177.91
|
-113.6
|
-38.97
|
61.03
|
2.92
|
-54.2
|
|
Итого
|
2757.01
|
|
|
|
|
|
В 12 по сравнению с 11 стоимость чистых активов
уменьшилось на 113.6 млн.руб или на 38.97%
Максимальный прирост наблюдается в 8 (117.1
млн.руб)
Минимальный прирост зафиксирован в 9 (-141.54
млн.руб)
Темп наращения показывает, что тенденция ряда
возрастающая, что свидетельствует об ускорении стоимость чистых активов
Таблица Базисные показатели ряда динамики
|
Период
|
Абсолютный
прирост
|
Темп
прироста, %
|
Темпы
роста, %
|
|
1
|
209.58
|
-
|
-
|
100
|
|
2
|
198.65
|
-10.93
|
-5.22
|
94.78
|
|
3
|
218.52
|
8.94
|
4.27
|
104.27
|
|
4
|
256.46
|
46.88
|
22.37
|
122.37
|
|
5
|
254.2
|
44.62
|
21.29
|
121.29
|
|
6
|
267.99
|
58.41
|
27.87
|
127.87
|
|
7
|
200.73
|
-8.85
|
-4.22
|
95.78
|
|
8
|
317.83
|
108.25
|
51.65
|
151.65
|
|
9
|
176.29
|
-33.29
|
-15.88
|
84.12
|
|
10
|
187.34
|
-22.24
|
-10.61
|
89.39
|
|
11
|
291.51
|
81.93
|
39.09
|
139.09
|
|
12
|
177.91
|
-31.67
|
-15.11
|
84.89
|
|
Итого
|
2757.01
|
|
|
|
В 12 по сравнению с 1 стоимость чистых активов
уменьшилось на 31.67 млн.руб или на 15.11%
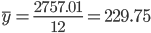
Расчет средних характеристик рядов.
Средний уровень интервального ряда
рассчитывается по формуле:
Среднее значение стоимость чистых активов с 1 по
12 составило 229.75 млн. руб. Средний темп роста
В среднем за весь период рост анализируемого показателя
составил 0.99
Средний темп прироста
В среднем с каждым периодом стоимость чистых
активов сокращался на 1%.
Средний абсолютный прирост
С каждым периодом стоимость чистых активов в
среднем уменьшалось на 2.88 млн.руб.
5. Выравнивание ряда методом скользящей средней
Одним из эмпирических методов является метод скользящей
средней. Этот метод состоит в замене абсолютных уровней ряда динамики их
средними арифметическими значениями за определенные интервалы.
Таблица
|
t
|
y
|
ys
|
Формула
|
(y
- ys)2
|
|
1
|
209.58
|
-
|
-
|
-
|
|
2
|
198.65
|
-
|
-
|
-
|
|
3
|
218.52
|
227.48
|
(209.58
+ 198.65 + 218.52 + 256.46 + 254.20)/5
|
80.32
|
|
4
|
256.46
|
239.16
|
(198.65
+ 218.52 + 256.46 + 254.20 + 267.99)/5
|
299.15
|
|
5
|
254.2
|
239.58
|
(218.52
+ 256.46 + 254.20 + 267.99 + 200.73)/5
|
213.74
|
|
6
|
267.99
|
259.44
|
(256.46
+ 254.20 + 267.99 + 200.73 + 317.83)/5
|
73.07
|
|
7
|
200.73
|
243.41
|
(254.20
+ 267.99 + 200.73 + 317.83 + 176.29)/5
|
1821.41
|
|
8
|
317.83
|
230.04
|
(267.99
+ 200.73 + 317.83 + 176.29 + 187.34)/5
|
7707.79
|
|
9
|
176.29
|
234.74
|
(200.73
+ 317.83 + 176.29 + 187.34 + 291.51)/5
|
3416.4
|
|
10
|
187.34
|
230.18
|
(317.83
+ 176.29 + 187.34 + 291.51 + 177.91)/5
|
1834.92
|
|
11
|
291.51
|
-
|
-
|
-
|
|
12
|
177.91
|
-
|
-
|
-
|
|
|
|
|
15446.81
|
Стандартная
ошибка (погрешность) рассчитывается по формуле
где i = (t-m-1, t)
Выявление наличия тренда в рассматриваемых рядах
(проверка гипотезы о разности средних у первой и второй половины ряда).
При выборе вида функции тренда можно
воспользоваться методом конечных разностей (обязательным условием применения
данного подхода является равенство интервалов между уровнями ряда).
Конечными разностями первого порядка являются
разности между последовательными уровнями ряда:
Δ1t = Yt - Yt-1
Конечными разностями второго порядка являются
разности между последовательными конечными разностями1-го порядка:
Δ2t = Δ1t
- Δ1t-1
Конечными разностями j-го порядка являются
разности между последовательными конечными разностями (j-1)-го порядка:
Δjt = Δj-1t
- Δj-1t-1
Если общая тенденция выражается линейным уравнением
Y = a + bt, тогда конечные разности первого порядка постоянны: Δ12
= Δ13
= ... = Δ1n,
а разности второго порядка равны нулю.
Если примерно постоянными оказываются темпы
роста, то для выравнивания применяется показательная функция.
Таблица
|
yi
|
Δ1t
|
Δ2t
|
Темп
роста
|
|
104.76
|
-
|
-
|
-
|
|
218.15
|
113.39
|
-
|
2.08
|
|
337.2
|
119.05
|
5.66
|
1.55
|
|
154.9
|
-182.3
|
-301.35
|
0.46
|
|
341.92
|
187.02
|
369.32
|
2.21
|
|
543.66
|
201.74
|
14.72
|
1.59
|
|
220.73
|
-322.93
|
-524.67
|
0.41
|
|
407.82
|
187.09
|
510.02
|
1.85
|
|
624.01
|
216.19
|
29.1
|
1.53
|
|
229.25
|
-394.76
|
-610.95
|
0.37
|
|
431.66
|
202.41
|
597.17
|
1.88
|
|
659.15
|
227.49
|
25.08
|
1.53
|
Линейное уравнение $ имеет вид
= a1t + a0
Находим параметры уравнения методом наименьших
квадратов.
Система уравнений МНК:
n + a1∑t = ∑y∑t + a1∑t2
= ∑y • t
Таблица
|
t
|
y
|
t2
|
y2
|
t
y
|
|
209.58
|
104.76
|
43923.78
|
10974.66
|
21955.6
|
|
198.65
|
218.15
|
39461.82
|
47589.42
|
43335.5
|
|
218.52
|
337.2
|
47750.99
|
113703.84
|
73684.94
|
|
256.46
|
154.9
|
65771.73
|
23994.01
|
39725.65
|
|
254.2
|
341.92
|
64617.64
|
116909.29
|
86916.06
|
|
267.99
|
543.66
|
71818.64
|
295566.2
|
145695.44
|
|
200.73
|
220.73
|
40292.53
|
48721.73
|
44307.13
|
|
317.83
|
407.82
|
101015.91
|
166317.15
|
129617.43
|
|
176.29
|
624.01
|
31078.16
|
389388.48
|
110006.72
|
|
187.34
|
229.25
|
35096.28
|
52555.56
|
42947.7
|
|
291.51
|
431.66
|
84978.08
|
186330.36
|
125833.21
|
|
177.91
|
659.15
|
31651.97
|
434478.72
|
117269.38
|
|
2757.01
|
4273.21
|
657457.53
|
1886529.42
|
981294.77
|
Для наших данных система уравнений имеет вид:
a0 + 2757.01a1 = 4273.21
.01a0 + 657457.53a1 = 981294.77
Из первого уравнения выражаем а0 и подставим во
второе уравнение
Получаем a0 = 360.678, a1 = -0.0199
Уравнение тренда:= -0.0199 t + 360.678
Эмпирические коэффициенты тренда a и b являются
лишь оценками теоретических коэффициентов βi,
а само уравнение отражает лишь общую тенденцию в поведении рассматриваемых
переменных.
Коэффициент тренда b = -0.0199 показывает среднее
изменение результативного показателя (в единицах измерения у) с изменением
периода времени t на единицу его измерения. В данном примере с увеличением tна
1 единицу, y изменится в среднем на -0.0199.
6. Аналитическое выравнивание (построение
тренда), прогноз при помощи тренда на 3 периода вперед
Данные для прогноза при помощи тренда смотри
выше.
Определим среднеквадратическую ошибку
прогнозируемого показателя.
= yn+L ± K
где
- период упреждения; уn+L - точечный прогноз по
модели на (n + L)-й момент времени; n - количество наблюдений во временном
ряду; Sy - стандартная ошибка прогнозируемого показателя; Tтабл - табличное
значение критерия Стьюдента для уровня значимости α
и для числа степеней свободы, равного n-2.
По таблице Стьюдента находим Tтаблтабл (n-m-1;α/2)
= (10;0.025) = 2.228
Точечный прогноз, t = 178.91: y(178.91) =
-0.0195*178.91 + 360.58 = 357.09
.09 - 499.7 = -142.61 ; 357.09 + 499.7 = 856.79
Интервальный прогноз:= 178.91: (-142.61;856.79)
Точечный прогноз, t = 179.91: y(179.91) =
-0.0195*179.91 + 360.58 = 357.07
.07 - 517.13 = -160.06 ; 357.07 + 517.13 = 874.2
Интервальный прогноз:= 179.91: (-160.06;874.2)
Точечный прогноз, t = 180.91: y(180.91) =
-0.0195*180.91 + 360.58 = 357.05
.05 - 536.37 = -179.32 ; 357.05 + 536.37 =
893.42
Интервальный прогноз:= 180.91: (-179.32;893.42)
Заключение
В результате проделанной работы по многостороннему
исследованию совокупности, состоящей из 12 данных по стоимости чистых активов и
производительности труда, выяснилось что средняя арифметическая взвешенная
равна 292,93.
При построении гистограммы графически удалось
отметить наличие правосторонней, т. е. положительной асимметрии.
По данным абсолютных и относительных показателей
динамики, можно сделать вывод, что среднее значение стоимости активов составит
229,75 млн.руб. Рост показателей с 1 по 12 составит 0,99, а стоимость чистых
активов в среднем уменьшается на 2,88 млн.руб.
Выполнение данной контрольной работы позволило
приобрести навыки по обработке статистических данных и построению графиков.
Список литературы
1.
Гусарев В.М. Теория статистики. - М.: ЮНИТИ, 1998.
.
Чернова Т.В. Экономическая статистика: Учебное пособие. Таганрог: Изд-во ТРТУ,
1999.
.
Бархатов В.И., Плетнев Д.А. Статистика. Учебно-методический комплекс.
Челябинск, 2005.
.
Статистика: учебно-практическое пособие. Под ред. М.Г.Назарова. 2е изд. М.:
КНОРУС, 2008.
.
Общая теория статистики: Статистическая методология в изучении коммерческой
деятельности: Учебник для вузов по экономическим специальностям/ под ред. О.Э.
Башиной, А.А. Спирина - М.: Финансы и статистика, 2000.