Обработка и анализ статистических данных
ФЕДЕРАЛЬНОЕ
АГЕНСТВО ЖЕЛЕЗНОДОРОЖНОГО ТРАНСПОРТА
Федеральное
государственное бюджетное образовательное учреждение высшего профессионального
образования
«Уральский
государственный университет путей сообщения»
(ФГБОУ
ВПО «УрГУПС»)
Кафедра:
«Экономика транспорта»
КУРСОВАЯ
РАБОТА
по
дисциплине «Статистика»
На
тему: «Обработка и анализ статистических данных»
Проверил: Преподаватель
Денисова А.А
Выполнил: студент группы
ЭК-242
Колосова К.Н.
Екатеринбург
Введение
Статистика - это общетеоретическая
наука (комплекс научных дисциплин), которая изучает количественную сторону
качественно определенных массовых социально-экономических явлений и процессов,
из состав, распределение, размещение в пространстве, движение во времени
выявляя действующие взаимозависимости и закономерности в конкретных условиях
места и времени. [1]
Понятие "статистика"
происходит от латинского слова "status", которое в переводе означает
- положение, состояние, порядок явлений.
Статистика разрабатывает специальную
методологию исследования и обработки материалов: массовые статистические
наблюдения, метод группировок, средних величин, индексов, балансовый метод,
метод графических изображений и другие методы анализа статистических данных.
Все процессы и явления происходящие
в жизни имеют непосредственную связь между собой, они зависят друг от друга и
взаимодействуют между собой.
Данная курсовая работа является
завершающим этапом изучения дисциплины «Статистика». Она должна показать
степень усвоения теоретических основ курса «Статистика», и умение применять
статистическую методологию к анализу конкретных данных.
Владение методами статистики дает
возможность превращать безликую и разрозненную массу числовых данных в стройную
систему знаний, основываясь на которых можно принимать эффективные
управленческие решения. Статистика дает нам своего рода талант, способность
предсказывать закономерные явления, предопределять события, одним словом -
предвидеть.
Цель данной работы заключается в
освоении инструментов статистики для дальнейшего их применения в решении
управленческих задач.
Структурными элементами моей работы
являются: введение, теоретическая, расчетная и аналитическая части, заключение
и список использованной литературы.
Задачей курсовой работы является
практическое ознакомление с основными разделами дисциплины «Статистика», такими
как:
Средние величины;
Ряды распределения и их основные
характеристики;
Ряды динамики;
Методы выравнивания рядом динамики;
Индексы;
Выборочное наблюдение;
Статистика населения;
Система национальных счетов.
Методологической и теоретической
основой данной курсовой работы послужили фундаментальные положения
экономической науки, а также отдельные теоретические разработки в области
статистики.
Задание 1
Тема «Средние величины»
Средняя величина представляет собой обобщенную
количественную характеристику признака в статистической совокупности в
конкретных условиях места и времени. Средние величины исчисляются для
характеристики уровня цен, заработной платы, основного капитала, численности
населения и др. однородной совокупности социально-экономических явлений. [2]
В статистике различают несколько
видов средних величин, а именно: арифметическую, гармоническую и
геометрическую.
Средняя арифметическая величина -
среднее значение признака, при вычислении которого общий объем признака в
совокупности сохраняется неизменным. Средняя арифметическая величина - среднее
слагаемое. При ее вычислении общий объем признака мысленно распределяется
поровну между всеми единицами совокупности. [3]
Простая средняя арифметическая -
равна отношению суммы индивидуальных значений признака к количеству признаков в
совокупности:

статистический анализ
величина счет
Г
- число единиц
совокупности.
Если объем совокупности
данных большой и представляет собой ряд распределения, то исчисляется
взвешенная среднеарифметическая величина.
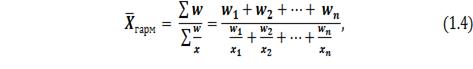
Взвешенная средняя
арифметическая - равна отношению (суммы произведений значения признака к
частоте повторения данного признака) к (сумме частот всех признаков):
Где 
;

;- число единиц
совокупности.
Используется, когда
варианты исследуемой совокупности встречаются неодинаковое количество раз.
Свойства средней
арифметической:
) сумма отклонение
индивидуальных значений признака от его среднего значения равно 0;
) если каждое
индивидуальное значение признака умножить/разделить на постоянное число, то и
средняя увеличится/уменьшится во столько же раз;
) если к каждому
индивидуальному значению признака прибавить/вычесть постоянное число, то
средняя величина и повысится/уменьшится на это же число;
) если веса средней
взвешенной умножить/разделить на постоянное число, то средняя величина не
изменится.
Если при замене
индивидуальных величин необходимо сохранить неизменным произведение
индивидуальных величин, то следует применить геометрическую среднюю величину:
Где 
;- число единиц
совокупности.
Когда статистическая
информация не содержит частот f по отдельным вариантам 
совокупности, а
представлены как их произведение 
, тогда применяется
формула средней гармонической взвешенной, для получения которой обозначим 
, откуда f = w / x
Где 
;

.
Все рассматриваемые виды
средних величин принадлежат к общему типу степенных средних, имеющих вид:
При m = 1 - средняя
арифметическая= 2 - средняя квадратическая = 3 - средняя кубическая = 4 -
средняя геометрическая = 5 - средняя гармоническая
Чем выше показатель
степени m, тем больше значение средней величины. В итоге можно построить
соотношение, называющееся правилом мажорантности:
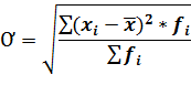
Абсолютный прирост
стоимости фактической продукции по сравнению с планом определяется по формуле:
∆=
(1.7)
Задача № 1
Исходные данные: Имеются
следующие данные по трем предприятиям, выпускающим одноименную продукцию:
|
Предприятие
|
Фактический выпуск продукции, млн. руб.
|
Выполнение плана, %
|
|
I
|
360,0
|
95
|
|
II
|
610,0
|
110
|
|
III
|
730,0
|
114
|
Вычислите по трем предприятиям: 1)
средний процент выполнения плана по выпуску продукции; 2) абсолютный прирост
стоимости фактического выпуска продукции по сравнению с планом.
Решение:
Первое действие: Средний процент
выполнения плана по выпуску продукции находим по формуле средней гармонической
взвешенной т.к. не известна плановая величина.
По формуле (1.4) вычислим средний
процент выполнения плана по выпуску продукции:
Второе действие: абсолютный прирост
стоимости фактической продукции по сравнению с планом определяется по формуле
(1.7)
По формуле (1.7) найдем абсолютный
прирост стоимости фактической продукции:
Абсолютный прирост составил 126,2
млн. руб. к плану.
Вывод: средний процент выполнения
плана по выпуску продукции 106% и абсолютный прирост стоимости фактического
выпуска продукции по сравнению с планом увеличилась на 126.2 млн. руб.
Задание 2
Тема «Ряды распределения и их
основные характеристики»
Ряд распределения - это групповая
таблица, имеющая две графы: группы по выделенному признаку (графа вариант) и
численность групп (графа частот)
Ряды распределения делятся на
вариационные (группировка по количественному признаку) и атрибутивные
(группировка по качественному признаку).
Главное предназначение рядов
распределения - изучение вариации признаков. [2]
В зависимости от характера вариации
значений признака вариационные ряды бывают дискретные и интервальные.
В дискретных рядах признак может
лишь конечное число определенных значений (например, тарифный разряд рабочих,
число детей в семье и т. д)
В интервальных рядах признак
изменяется непрерывно и может принимать в определенных границах любые значения
(например, стаж работы, пробег автомобиля и т. д)
Задача № 2
Исходные данные: имеются следующие
данные о тарифных разрядах рабочих:
6 5 6 7 8 6 6 7 7 6 5 6
6 5 6 6 7 8 5 6 6 5 7
5 6 6 7 6 5 6 6 7 6 5
4 6 6 4 6 6 8 5 6 6 4
Построить дискретный ряд
распределения. Вычислить показатели центра распределения и показатели вариации.
Решение:
Первое действие: вычислим показатели
центра распределения и показатели вариации.
Определим число групп дискретного
ряда (n), оно соответствует числу вариантов признака, то есть n=5.
Общее число единиц совокупности (N)
по данным из задания равно числу 48.
Сгруппируем данные распределения
рабочих по квалификации
Таблица 2.1 - Распределение рабочих
по квалификации
|
Тарифный разряд
|
Число рабочих
|
Накопленная частота
|
|
|
|
S
|
|
4
|
3
|
3
|
|
5
|
10
|
13
|
|
6
|
23
|
36
|
|
7
|
9
|
45
|
|
8
|
3
|
48
|
|
Итого
|
48
|
|
К показателям центра распределения
относятся: средняя арифметическая, мода и медиана.
Средняя арифметическая (взвешенная)
для дискретного ряда распределения рассчитывается по формуле:
Где 
- значение осредняемого
признака;

частота;

сумма всех частот.
Найдем среднюю
арифметическую для данного ряда по формуле (2.1)
Мода (Мо) - наиболее
часто встречающееся значение признака. В дискретном ряду это варианта с
наибольшей частотой. В интервальном ряду наибольшая частота указывает не на
модальную варианту, а на содержащий моду интервал. Поэтому в модальном
интервале необходимо определить модальную варианту [1].
Наибольшую частоту (23
рабочих) имеет 6-й тарифный разряд => является модальным.
Мо=6-му разряду
Графическое изображение
моды представлено в приложении А на рисунке 1.
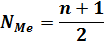
Медиана (Ме) - варианта,
находящаяся в середине ряда распределения. Для дискретного ряда средняя
варианта и будет модальной. Медиана для дискретного ряда определяется по
формуле:
Найдем по формуле (2.2) медиану для
данного дискретного ряда

(рабочих)
Полученное дробное
значение указывает, что точная середина находится между 24 и 25 рабочими.
Необходимо определить, к какой группе относятся рабочие с этими порядковыми
номерами. Это можно сделать, рассчитав накопленные частоты:

= 3

= 10+3=13

= 23+13=36

= 9+36=45

= 3+45=48
=> Ме=6-му разряду
Графическое изображение
медианы представлено в приложении А на рисунке 2.
Второе действие:
вычислить показатели центра распределения и показатели вариации.
Вариация - различие
индивидуальных значений признака внутри изучаемой совокупности.
Показатели вариации:
Абсолютные показатели
вариации: размах вариации, среднее линейное отклонение, дисперсия и среднее
квадратичное отклонение.
Относительные показатели
вариации: коэффициент вариации и относительное линейное отклонение.
Размах вариации (R) - показывает,
насколько велико различие между единицами совокупности, имеющими самое
маленькое и самое большое значение признака.
Определяется по формуле:
(2.3)
Где xmax - наибольшее значение
признака;- наименьшее значение признака.
Определим размах вариации по формуле
(2.3):=8-4=4 (разряд)

- представляет собой
среднюю величину из отклонений вариантов признака от их средней.
Определяется по формуле:
Где 
средняя величина
исследуемого явления;

значение осредняемого
признака;

частота.
Рассчитаем среднее
линейное отклонение по формуле (2.4):

- это средняя квадратов
отклонений значений признака от его арифметической величины. Для
сгруппированных данных определяется по формуле:
Где 
средняя величина
исследуемого явления;

значение осредняемого
признака;

частота.
По формуле (2.5) найдем
дисперсию для данного дискретного ряда:

=
(разряд)
Среднее квадратическое
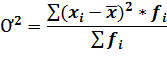
отклонение (Ơ) - это корень квадратный из дисперсии. Определяется по формуле:
Где 
средняя величина
исследуемого явления;

значение осредняемого
признака;

частота.
По формуле (2.6)
рассчитаем среднее квадратическое отклонение:
Ơ=
=
= 0,94(разряд)
Коэффициент вариации
(v), используется для сравнения степеней колеблемости двух, трех и более
вариационных рядов. Коэффициент вариации рассчитывается по формуле:
Где 
- среднее
квадратическое отклонение;

средняя арифметическая.
По формуле (2.7) найдем
коэффициент вариации:

16%
Коэффициент вариации
дает характеристику однородности совокупности. Таким образом, данная
совокупность однородна, так как коэффициент вариации не превышает 33%.
Таблица 2.2 Отклонения
средней и показателей вариации
Тарифный разряд,
Число
рабочих, 
Накопленные частоты, S
|
Где  =5,98| *    *f
|
|
|
|
|
|
|
|
|
4
|
3
|
3
|
12
|
 -1,98 5,943,9211,76
|
|
|
|
|
5
|
10
|
13
|
50
|
 -0,98 9,80,969,6
|
|
|
|
|
6
|
23
|
36
|
138
|
0,02
|
0,46
|
0,0004
|
0,0092
|
|
7
|
9
|
45
|
63
|
1,02
|
9,18
|
1,04
|
9,36
|
|
8
|
3
|
48
|
24
|
2,02
|
6,06
|
4,08
|
12,24
|
|
Итого:
|
48
|
-
|
287
|
-
|
-
|
-
|
42,96
|
Вывод: основываясь на данных в
задаче, построили дискретный ряд распределения рабочих по квалификации.
Вычислили показатели центра распределения моду=6 и медиану=6, изобразили
графически моду и медиану. Определили среднюю и показатели вариации: размах
вариации R=4, средние линейное отклонение = 0,7; дисперсия составляет 0,89;
средние квадратическое отклонение = 0,94, коэффициент вариации 16%. Так как
показатели вариации 16% <33%, то можно сделать вывод об их однородной
совокупности.
Задание 3
Тема «Ряды динамики»
Рядом динамики
называется ряд чисел, характеризующих изменение общественного явления во
времени. Значения показателей, образующих ряд динамики, называют уровнями ряда 
Для общей характеристики
уровня явления за той или иной период исчисляется средний уровень ряда. Способ
расчета среднего уровня ряда зависит от характера ряда. Различают моментный и
интервальный ряды динамики.
Графически индекс
сезонности может быть представлен с помощью полигона - основного вида графиков,
используемого для графического изображения рядов динамики [4].
Задача № 3
По данным таблицы 3.1
вычислить:
. Основные аналитические
показатели ряда динамики (по цепной и базисной схемам):
Абсолютный прирост;
Темпы роста;
Темпы прироста;
Абсолютное значение 1%
прироста.
.Средние показатели ряда
динамики:
Средний уровень ряда
динамики;
Средний абсолютный
прирост;
Среднегодовой темп
роста;
Среднегодовой темп
прироста.
.По данным таблицы 3.2
вычислить индекс сезонности и изобразить графически сезонную волну.
Результат расчета
аналитических показателей ряда динамики представить в форме таблицы 3.3.
Таблица 3.1 - Основные
показатели
|
Показатели
|
Годы
|
|
1996
|
1997
|
1998
|
1999
|
2000
|
2001
|
|
Число посещений, млн
|
51
|
44,2
|
41,4
|
34,6
|
31,6
|
29,1
|
Решение:
К показателям, характеризующим
изменение уровней ряда динамики, относят: абсолютный прирост, темпы роста,
темпы прироста, абсолютное значение 1% прироста, средний абсолютный прирост,
средний темп роста, средний темп прироста, средний уровень ряда динамики.
Основные аналитические показатели
ряда динамики (по цепной и базисной схемам).
Абсолютный прирост 
показывает, на сколько
единиц увеличился (или уменьшился) анализируемый уровень ряда 
отностельно базисного
ровня 
(по базисной схеме) или
уровня предшествующего года 
(по цепной схеме).
Соответственно его определяют по формулам:
(3.1.2)
Где 
- уровень сравниваемого
периода;

- уровень
предшествующего периода;

уровень базисного
периода.
По формуле (3.1.2)
рассчитываем абсолютный прирост
Базисная схема

44,2-51= -6,8(млн. руб.)

41,4-51= -9,6(млн. руб.)

34,6-51= -16,4(млн.
руб.)

31,6=51= -19,4(млн.
руб.)

29,1-51= -21,9(млн.
руб.)
Цепная схема

44,2-51= -6,8 (млн.
руб.)

=41,4-44,2= -2,8(млн.
руб.)

34,6-41,4= -6,8(млн.
руб.)

31,6-34,6= -3(млн. руб.)

29,1-31,6= -2,5(млн.
руб.)
Темп роста 
показывает, во сколько
раз анализируемый уровень ряда увеличился (или уменьшился) по сравнению с
уровнем, принятым за базу сравнения (по базисной схеме) или предшествующим
уровнем (по цепной схеме). Темп роста выражают в процентах или отвлеченных
числах (коэффициент роста). Его определяют по формулам:

100% (3.1.3)

100% (3.1.4)
По формулам (3.1.3) и (3.1.4)
рассчитываем темп роста:

%
Темп прироста 
показывает, на сколько
процентов увеличился (или уменьшился) анализируемый уровень ряда по сравнению с
базисным (по базисной схеме) или предшествующим уровнем (по цепной схеме).
Темпы роста и прироста связаны между собой, что видно из формул их расчета. Это
дает основание определить темп прироста через темп роста по формуле:
(3.1.5)
(3.1.6)
По формулам (3.1.5) и (3.1.6)
рассчитываем темпы прироста по цепной и базисной схемам:

= -13,3 
86,7-100= -13,3

-18,8

- 32,2 
93,7-100= - 6,3

83,6-100= -16,4

- 38,0 
91,3-100= - 8,7

= - 42,9 
92,1-100= - 7,9
Абсолютное значение 1% прироста А -
это отношение цепного абсолютного прироста к цепному темпу прироста,
выраженному в процентах. Оно определяется по формуле:
(3.1.9)
По формуле (3.1.9) рассчитываем
абсолютное значение 1% прироста:




Рассчитанные данные
отражены в таблице 3.2
Таблица 3.2 - Результат
расчета аналитического показателя ряда динамики
|
Показатели
|
Схема расчета
|
Год
|
|
|
1996
|
1997
|
1998
|
1999
|
2000
|
2001
|
|
Уровень ряда (Yi)
|
|
51
|
44,2
|
41,4
|
34,6
|
29,1
|
|
Абсолютный прирост (∆Y)
|
Базисная
|
Х
|
-6,8
|
-9,6
|
-16,4
|
-19,4
|
-21,9
|
|
Цепная
|
Х
|
-6,8
|
-2,8
|
-6,8
|
-3
|
-2,5
|
|
Темп роста (Тр) %
|
Базисная
|
100
|
86,7
|
80,8
|
67,8
|
62
|
57,1
|
|
Цепная
|
100
|
86,7
|
93,2
|
83,9
|
91,3
|
92,1
|
|
Темп прироста (Тпр) %
|
Базисная
|
Х
|
-13,3
|
-18,8
|
-32,2
|
-38,0
|
-42,9
|
|
Цепная
|
Х
|
-13,3
|
-6,3
|
-16,4
|
-8,7
|
-7,9
|
|
Абсолютное значение 1% прироста (А)
|
Цепная
|
Х
|
0,51
|
0,44
|
0,41
|
0,34
|
0,31
|
Для характеристики интенсивности
развития за длительный период рассчитываются средние показатели динамики.
Средний уровень ряда динамики -
обобщающая характеристика изменения (развития) ряда динамики. Средний уровень
интервального равностоящего ряда рассчитывается по формуле средней
арифметической простой:
(3.2.1)
Где 
- уровень ряда
динамики;число членов ряда динамики
По формуле (3.2.1)
рассчитываем средний уровень ряда динамики:
Средний абсолютный
прирост - обобщающая характеристика ряда динамики, служащая для сравнения
скорости развития разных рядов. Показатель определяется по формулам:
(3.2.2)
По формуле (3.2.2) рассчитываем
средний абсолютный прирост
Средний коэффициент роста
показывает, во сколько раз в среднем за единицу времени изменится уровень ряда
динамики. Среднегодовой темп роста определяется по формуле:
Кр=
(3.2.3)
По формуле (3.2.3) рассчитываем
среднегодовой темп роста:

89,4%
Средний темп прироста
характеризует среднюю интенсивность изменения уровней ряда динамики
определяется по формуле:
(3.2.4)
По формуле (3.2.4) рассчитываем
среднегодовой темп прироста
Средняя величина абсолютного
значения 1% прироста рассчитывается по формуле:
(3.2.5)
Вывод: нашли основные аналитические
показатели ряда динамики (по цепной и базисной схемам): абсолютный прирост,
темпы роста, темпы прироста, абсолютные значения 1 % прироста. Нашли средние
показатели ряда динамики: средний уровень ряда динамики составил 38,65, средний
абсолютный прирост = -4,38; средний темп роста составил 89,4%, среднегодовой
темп прироста показал, что уровень данного момента времени меньше на 10,6%.
Индекс сезонности.
Индекс сезонности (i) показывает, во
сколько раз фактический уровень ряда в тот или иной момент времени больше
(меньше) среднего уровня, либо уровня, вычисленного по уровню тренда. [5]
i = 
*100, (3.3.1)
Где 
- текущий уровень ряда
динамики,

- средний уровень ряда.
Таблица 3.2.1 -
Товарооборот магазина, тыс. руб.
|
Месяц
|
Товарооборот магазина, тыс. руб.
|
|
Январь
|
308,1
|
|
Февраль
|
319,3
|
|
Март
|
356,5
|
|
Апрель
|
494,3
|
|
Май
|
555,0
|
|
Июнь
|
519,2
|
|
Июль
|
728,8
|
|
Август
|
629,7
|
|
Сентябрь
|
639,8
|
|
Октябрь
|
490,3
|
|
Ноябрь
|
408,2
|
|
Декабрь
|
355,9
|
|
Итого
|
5805,1
|
Вычислить индекс сезонности и
изобразить графически сезонную волну.
Решение
Индекс сезонности определяется по
формуле(3.3.1). Нам необходимо найти значение среднего уровня ряда для того,
чтобы вычислить индекс сезонности:
(3.3.2)
Где n-количество месяцев
По формуле (3.2.2) рассчитываем
средний уровень ряда:

(тыс.руб.)
По формуле (3.3.1)
рассчитываем индекс сезонности:
Для наглядности на
основе индексов сезонности строится график сезонной волны (приложение Б,
рисунок 1)
Вывод: по приведенным
выше расчетам и по построенному графику сезонной волны, можно увидеть, что
наибольшее значение индекса сезонности в июле =151%, наименьшее значение в
январе = 64 %.
Задание 4
Тема «Методы
выравнивания рядов динамики»
Для исследования
закономерности (тенденции) развития изучаемого явления необходимы данные за
длительный период времени. Основной задачей статистического изучения динамики
является выявление тенденции. Таким образом статистика должна определять общую
тенденцию развития явления (рост или снижение), а так же давать количественные
(цифровые) характеристики развития.
Тенденции развития
явлений изучают методами выравнивания рядов динамики:
Метод укрупнения
интервалов заключается в том, что периоды времени укрупняют, то есть переходят
от коротких к более длинным, что помогает увидеть основную тенденцию изучаемого
явления.
Метод устранения по
левой и правой половине. Суть метода состоит в том, что ряд динамики разделяют
на две части и находят для каждой из них среднее арифметическое значение. На
графике через полученные средние проводят линию, которая называется трендом.
Метод скользящей
средней. Суть метода заключается в вычислении среднего уровня из определенного
числа первых по счету уровней динамики, затем в вычислении среднего уровня из
такого же числа уровней, начиная со второго, далее - с третьего и т.д., то есть
при расчетах среднего уровня как бы скользят по ряду динамики от его начала к
его концу, каждый раз отбрасывая один уровень и добавляя следующий. [6]
Исходные данные:
Для изучения тенденции
изменения показателей произвести сглаживание ряда динамики тремя способами.
Изобразить графически фактические и сглаженные уровни ряда. Сделать вывод о
характере общей тенденции показателей.
Имеются следующие данные
по строительной фирме об объеме выполненных работ по месяцам 1995-1997 г. По
сметной стоимости, млн. руб.:
Таблица 4.1
|
Месяцы
|
1996 год
|
|
Январь
|
2,0
|
|
Февраль
|
2,1
|
|
Март
|
2,4
|
|
Апрель
|
2,6
|
|
Май
|
2,8
|
|
Июнь
|
3,0
|
|
Июль
|
3,3
|
|
Август
|
3,5
|
|
Сентябрь
|
3,3
|
|
Октябрь
|
3,1
|
|
Ноябрь
|
2,7
|
|
Декабрь
|
2,5
|
Решение:
Перове действие: метод укрупнения
интервалов.
Если рассматривать уровни
экономических показателей за короткие промежутки времени, то в силу влияния
различных факторов, действующих в разных направлениях рядах динамики,
наблюдается снижение и повышение этих уровней, что мешает видеть основную
тенденцию развития изучаемого явления. Для наглядного представления тренда
применяется метод, основанный на укрупнения периодов времени, к которым
относятся уровни ряда.
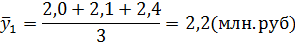
В качестве нового интервала возьмем
квартал (3 месяца). Показатели сглаженного ряда динамики находим усреднением
значений по трем месяцам, входящим в квартал, используя формулу средней
арифметической (простой):
По формуле (4.1) рассчитываем
показатели сглаженного ряда динамики для каждого квартала
Имеем следующий ряд динамики,
приведенный в табл. 4.1
Таблица 4.2 - Изменение объема работ
по кварталам
|
Квартал
|
Объем выполненных работ в среднем за месяц, млн. руб.
|
|
1
|
2,2
|
|
2
|
2,8
|
|
3
|
3,4
|
|
4
|
2,8
|
В рассматриваемом ряду наблюдается
рост показателей в первых трёх кварталах.
Второе действие: метод усреднения по
правой и левой половине.
Суть метода состоит в том, что ряд
динамики разделяют на две части и находят для каждой из них среднее
арифметическое значение. На графике через полученные средние проводят линию,
которая называется трендом.
Среднее значение показателя в первом
и во втором полугодиях соответственно равны и определяются по формулам:
По формулам (4.2) и (4.3)
рассчитываем среднее значение показателя в первом и втором полугодиях
соответственно
Третье действие: метод скользящей
средней.
Суть метода заключается в вычислении
среднего уровня из определенного числа первых по счету уровней ряда динамики,
затем в вычислении среднего уровня из такого же числа уровней, начиная со
второго, далее - с третьего и т.д., то есть при расчетах среднего уровня как бы
скользят по ряду динамики от его начала к его концу, каждый раз отбрасывая один
уровень и добавляя следующий
Полученные данные занесем в таблицу
4.3
Таблица 4.3 - Сглаживание ряда
динамики методом скользящей средней
|
Месяц
|
Фактические уровни ряда
|
Сглаженные уровни ряда по 3-х месячной скользящей
|
Сглаженные уровни ряда по 5-ти месячной скользящей
|
|
Январь
|
2
|
-
|
-
|
|
Февраль
|
2,1
|
2,17
|
-
|
|
Март
|
2,4
|
2.37
|
2,38
|
|
Апрель
|
2,6
|
2,60
|
2,58
|
|
Май
|
2,8
|
2,80
|
2,82
|
|
Июнь
|
3
|
3,03
|
3,04
|
|
Июль
|
3,3
|
3,27
|
3,18
|
|
Продолжение таблицы 4.3
|
|
Август
|
3,5
|
3,37
|
3,24
|
|
Сентябрь
|
3,3
|
3,30
|
3,18
|
|
Октябрь
|
3,1
|
3,03
|
3,02
|
|
Ноябрь
|
2,7
|
2,77
|
-
|
|
Декабрь
|
2,5
|
-
|
-
|
Графическое изображение методов
сглаживания ряда динамики представлено в приложении В, рисунок 1.
Вывод: по всем методам сглаживания видна
тенденция незначительного убывания показателей ряда динамики во втором
полугодии. Однако, это может быть и результат наличия сезонности. Поэтому для
более достоверного вывода требуется провести анализ не за один год, а за
несколько лет.
Задание 5
Тема «Индексы»
Индекс - относительный показатель,
выражающий соотношение величин какого-либо явления во времени и пространстве
или сравнение фактических данных с любым эталоном (планом, нормативом и т.д.).
Сводный индекс характеризует
изменение явления, состоящего из разнородных, непосредственно не суммируемых
элементов. [7]
Сводный индекс цен 
определяют по формуле:
Где 
- цена отдельных видов
продуктов;

- объем продукции
каждого вида изделий;

- индивидуальные
индексы цен по каждому виду изделий.
Задача
Исходные данные:
Розничный товарооборот
региона в январе 2007 г. Характеризуется следующими данными:
|
Товары
|
Удельный вес в общем товарообороте, в % к итогу
|
Индивидуальный индекс цен, (по сравнению с декабрем 2006 г.), %
|
|
Продовольственные
|
47
|
123
|
|
Непродовольственные
|
53
|
112
|
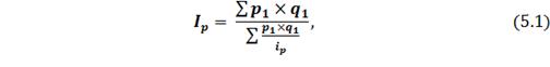
Определите: сводный индекс цен на
потребительские товары.
Решение:
В нашей задаче известен
удельный вес в общем товарообороте 
а товарооборота в ценах
планового периода 
нет, но заданы
индивидуальные индексы цен по продовольственным и непродовольственным товарам 
, которые определяются
по формуле:
(5.2)
По формуле (5.2) найдем
индивидуальный индекс цен
Отсюда можно определить
Сводный индекс цен 
(5.1)
По формуле (5.1) находим
цены планового периода:
Следовательно, сводный
индекс потребительских цен равен 117%.
Вывод: индекс
показывает, что в среднем уровни цен на различные продукты по анализируемой
совокупности увеличились на 17%.
Задание 6
Тема «Выборочное
наблюдение»
Исходные данные:
Выборочным обследованием
было охвачено 10 000 пассажиров пригородных поездов. На основании этого
обследования установлена средняя дальность поездки пассажира - 40 км. и среднее
квадратичное отклонение - 6 км.
Определить возможные
приделы средней дальности поездки с вероятностью 0,943
Решение:
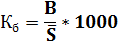
Выборочное наблюдение -
это один из видов не сплошного наблюдения, при котором учету подлежит только
часть единиц наблюдаемого явления, и отбор единиц в выборочную совокупность
производится по определенному закону. Статистические характеристики, полученные
на основе выборочного наблюдения выборочная средняя, выборочная дисперсия и так
далее - всегда отличаются по величине от статистических характеристик
генеральной совокупности, охватывающей все единицы изучаемого явления. [8]
Разность между
показателями выборочной и генеральной совокупностей называется средней ошибкой
выборки и обозначается 
Величина ошибки выборки
средней 
зависит от числа
наблюдений составляющих выборочную совокупность и дисперсии изучаемого признака

. Чем больше величина n,
тем ошибка выборки меньше. Чем больше дисперсия значений признака в выборке 
, тем больше ошибка
выборки.
В условиях большой
выборки (n≥30) средняя ошибка выборки определяется по формулам теории
вероятностей.
Так, среднюю ошибку
выборки при случайной повторной выборке можно найти по формуле:
(6.1)
Где 
- дисперсия;- объем
выборки.
Вычислим среднюю ошибку
выборки по формуле (6.1):
В математической
статистике доказано, что с определенной вероятностью Р можно утверждать, что
при данной дисперсии изучаемого признака и числа наблюдений величина ошибки
выборки не превысит определенной заранее заданной величины, называемой
предельной ошибкой выборки 
.
Предельную ошибку
выборки определяют по формуле:
Где 
- дисперсия;-
коэффициент доверия (соотношение предельной и средней ошибок выборки).
Таблица 6.1 - Значения
коэффициента доверия
|
Вероятность, рi
|
0,683
|
0,866
|
0,943
|
0,954
|
0,988
|
0,997
|
0,999
|
|
Значение t
|
1,0
|
1,5
|
1,9
|
2,0
|
2,5
|
3,0
|
3,5
|
Используя данные из таблицы (6.1)
определим коэффициент доверия, для вероятности 0,943.
При вероятности р=0,943, коэффициент
доверия t=1,9
Подставим полученные данные в
формулу (6.2) и найдем предельную ошибку выборки:
Границы изменения величины в
генеральной совокупности определяются по формуле:
(6.3)
Найдем границы изменения величины в
генеральной совокупности по формуле (6.3):
-0,114<M(X) <40 +0,114
,886<M(X) <40, 114
Вывод: на основании проведенного
выборочного обследования с вероятностью 0,943 можно утверждать, что средняя
дальность поездки находится в пределах от 39,886 км до 40,114 км.
Задание 7
Тема «Статистика населения»
Население - совокупность лиц,
проживающих на определенной территории.
Естественное движение - изменение
численности населения, которое определяется непосредственно рождениями и
смертями и косвенно - браками и разводами. [2] К числу абсолютных показателей
естественного движения населения относятся:
Число родившихся N;
Число умерших M;
Количество браков В;
Количество разводов R;
Естественный прирост населения
(N-M).
Задача №7.1
Исходные данные:
По данным таблицы определите:
естественный, механический и общий
прирост населения;
коэффициенты: общие коэффициенты
рождаемости и смертности, коэффициент фертильности, жизненности Покровского,
брачности и разводимости;
численность населения через 5 лет.
Таблица 7.1 - Демографические
показатели
|
Показатели
|
Ед. измерения
|
Величина
|
|
Численность населения на конец года
|
Млн. чел
|
148,3
|
|
Число женщин на 1000 мужчин
|
Чел.
|
1131
|
|
Доля женщин в возрасте 15-49 лет в общей численности женщин
|
%
|
41
|
|
Родилось (N)
|
Тыс. чел
|
1379,0
|
|
Умерло (M)
|
Тыс. чел
|
2129,3
|
|
Прибыло в страну (Sпр.)
|
Тыс. чел
|
923,3
|
|
Выбыло из страны (Sвыб.)
|
Тыс. чел
|
483
|
|
Число браков (B)
|
Тыс.
|
1106,7
|
|
Число разводов (R)
|
Тыс.
|
663,3
|
Решение:
Естественный прирост населения - превышение
рождаемости над смертностью, то есть разница между количеством родившихся и
количеством умерших за определенный период времени. Вычисляется по формуле:
Где N-число родившихся;
М -число умерших.
По формуле (7.1) найдем естественный
прирост населения за год:- M =1379,0-2129,3= -750,3 (тыс. чел)
Механический прирост
населения - разность между числом прибывших на какую-либо территорию и числом
выбывших из нее за определенный срок. Определяется по формуле (сальдо миграции 
):
|
|
(7.2)
|
Где 
-число прибывших в
страну;

- число выбывших из
страны.
По формуле (7.2) найдем
естественный прирост населения за год:

(тыс.чел)
Общий прирост населения
(
- алгебраическая сумма
естественного и миграционного прироста населения. Вычисляется по формуле:
|
|
(7.3)
|
По формуле (7.3) найдем общий
прирост населения за год:

(тыс.чел)
Оборот миграционных
процессов - сумма прибывших и убывших. Вычисляется по формуле:
|
( )(7.4)
|
|
По формуле (7.4) найдем оборот
миграционных процессов за год:

(тыс.чел)
Общий коэффициент
рождаемости (
- это число родившихся
за данный период, разделенное на общее число человеко-лет, прожитых населением
за этот период. Вычисляется по формуле:
|
|
(7.5)
|
Где 
-средняя за данный
период численность населения.
Средняя за данный период
численность населения определяется по формуле:
|
|
(7.6)
|
Где 
численность населения на
начало года;

численность населения на
конец года.
Численность населения на
начало года вычислим по формуле:
|
|
(7.7)
|
По формуле (7.7) найдем численность
населения на начало года:
Подставим полученное значение в
формулу (7.6) и вычислим среднюю численность населения:
Полученное среднее значение
подставим в формулу (7.5):
Общий коэффициент
смертности (
рассчитывается по
формуле:
|
|
(7.8)
|
Вычислим общий коэффициент
смертности по формуле (7.8):
Коэффициент фертильности
(
- коэффициент, выражающий
отношение числа рождений к численности женщин репродуктивного возраста.
Вычисляется по формуле: [9]
|
|
(7.9)
|
По формуле (7.9) вычислим
коэффициент фертильности:
Коэффициент жизненности
Покровского (
вычисляется по формуле:
|
|
(7.10)
|
По формуле (7.10) вычислим
коэффициент жизненности Покровского:
Коэффициент брачности (
вычисляется по формуле:
|
|
(7.11)
|
По формуле (7.11) вычислим
коэффициент брачности:
Коэффициент разводимости вычисляется
по формуле:
|
|
(7.12)
|
По формуле (7.12) вычислим
коэффициент разводимости:
Численность населения
через 5 лет (
рассчитывается по
формуле:
|
|
(7.13)
|
Где 
численность в базовом
году;- число лет, отделяющий расчетный год от базового;

- коэффициент общего
прироста за период, предшествующий плановому.
Коэффициент общего
прироста населения вычисляется по формуле:
|
|
(7.14)
|
По формуле (7.14) вычислим
коэффициент общего прироста населения:
Подставим полученное значение в
формулу (7.13):
Вывод: по данным таблицы были
рассчитаны все показатели: естественный, механический и общий прирост
населения; оборот миграционных процессов; коэффициенты: общие коэффициенты
рождаемости и смертности, коэффициент фертильности, жизненности Покровского,
брачности и разводимости; численность населения через 5 лет.
Задание 7.2. Исходные данные:
Таблица 7.2.1 - Распределение
населения по возрастным группам, тыс. чел.
|
Возрастные группы
|
Величина
|
|
Все население в т. ч. В возрасте, лет
|
117534
|
|
0-4
|
13353
|
|
5-9
|
12415
|
|
10-14
|
8502
|
|
15-19
|
8975
|
|
20-24
|
11552
|
|
25-29
|
10591
|
|
30-34
|
11103
|
|
35-39
|
6423
|
|
40-44
|
6177
|
|
45-49
|
7167
|
|
50-54
|
5965
|
|
55-59
|
4751
|
|
60-64
|
3589
|
|
65-69
|
2664
|
|
70 и старше
|
4303
|
Определить тип возрастной структуры
и изобразить ее графически. Охарактеризовать демографическую ситуацию по
приведенным данным.
Решение:
Первое действие: рассчитаем удельный
вес каждой группы в общей численности населения:
Полученные данные занесем в таблицу
7.2.2
Таблица 7.2.2 - Распределение
населения по возрастным группам и их доля в общей численности
|
Возрастные группы
|
Величина
|
Доля населения, %
|
|
Все население в т. ч. В возрасте, лет
|
117534
|
100
|
|
0-4
|
13353
|
11,4
|
|
5-9
|
12415
|
10,6
|
|
10-14
|
8502
|
7,2
|
|
15-19
|
8975
|
7,6
|
|
20-24
|
11552
|
9,8
|
|
25-29
|
10591
|
9
|
|
30-34
|
11103
|
9,4
|
|
35-39
|
6423
|
5,5
|
|
40-44
|
6177
|
5,3
|
|
45-49
|
7167
|
6,1
|
|
50-54
|
5965
|
5,1
|
|
55-59
|
4751
|
4
|
|
60-64
|
3589
|
3
|
|
65-69
|
2664
|
2,3
|
|
70 и старше
|
4303
|
3,7
|
Виды структуры населения:
Молодежь от 0 до 14 лет:
,4+10,6+7,2=29,2 (%)
Пожилые 50 и старше:
,1+4+3+2,3+3,7=18,1(%)
Графическое изображение возрастной
структуры населения представлено в приложении Г, рисунок 1.
Вывод: Расчеты показали, что данная
структура населения имеет прогрессивный вид, где число лиц молодого возраста
больше численности пожилых групп населения. Такое соотношение говорит о
тенденции к «омоложению» населения, что связано с увеличением доли экономически
активного населения, ростом рождаемости, брачности, снижением смертности по
старости и другими положительными изменениями демографических показателей.
Задание 8
Тема «Система национальных счетов»
Система национальных счетов (СНС) -
это современная информационная база, используемая для описания и анализа
процессов рыночной экономики на макроуровне. Все хозяйствующие субъекты в СНС
делятся на «резидентов» (юридические и физические лица, участвующих в
экономической деятельности на территории страны более 1 года) и «нерезидентов».
Резиденты в свою очередь группируются по 5 секторам в зависимости от целей
своего функционирования и источников финансирования деятельности.
сектор - нефинансовые корпорации и
квазикорпорации. К сектору относятся крупные хозяйствующие единицы, созданные с
целью производства товаров (оказания услуг) и продажи их на рынке по ценам,
возмещающим затраты и приносящим прибыль. Обычно имеют форму акционерных
обществ (корпораций).
сектор - финансовые корпорации и
квазикорпорации. Хозяйствующие субъекты. Созданные для оказания посреднических
услуг между теми, кто сберегает доходы и инвесторами. Финансируется за счет
разницы в величине полученных и выплаченных процентов.
сектор - государственное управление.
Выполняет две функции - перераспределение национального дохода и богатства и
оказания нерыночных (бесплатных) услуг. Финансирует расходы за счет налогов.
сектор - некоммерческие организации.
Функции - нерыночные услуги членам некоммерческих организаций. Финансирование -
за счет членских взносов.
сектор - домохозяйства. Мелкие
некорпорированные предприятия и семьи как экономически и юридически независимые
единицы. Выполняет три функции - производство рыночных товаров и услуг,
предоставление рабочей силы остальным секторам, потребление конечных товаров и
услуг. [10]
В СНС различают два вида товаров и
услуг:
Промежуточные товары и услуги,
которые приобретаются для переработки, то есть для потребления в процессе
производства («промежуточное потребление»);
Конечные товары и услуги,
приобретаемые для целей конечного потребления («конечное потребление»).
Конечное потребление имеют 3-5 сектора. [8]
СНС представляет собой развернутую
статистическую макроэкономическую модель экономики. Внешне - это система
таблиц-счетов, похожих на бухгалтерские счета. Счета имеют вид балансовых
построений: каждый счет представляет собой баланс в виде двухсторонней таблицы,
в которой каждая операция отражается дважды: один раз в ресурсах, другой - в
использовании. Итоги операций на каждой стороне счета балансируются или по
определению или с помощью балансирующей статьи, которая является ресурсной
статьей следующего счета. Балансирующая статья счета, обеспечивающая баланс
(равенство) его правой и левой части, рассчитывается как разность между
объемами ресурсов и их использованием. Балансирующая статья предыдущего счета,
отраженная в разделе «Использование», является исходным показателем раздела
«Ресурсы» последующего счета. Этим достигается увязка счетов между собой и
образование системы национальных счетов. Рассмотрим наиболее важные счета.
Задача №8
По данным таблицы 8.1.построить и
заполнить следующие сводные национальные счета:
Счет производства;
Счет товаров и услуг;
Счет образования доходов;
Счет распределения первичных
доходов;
Счет вторичного распределения
доходов;
Счет использования располагаемого
дохода;
Счет операций с капиталом.
Проведите экономический анализ
заполненных счетов по данным. Рассчитайте валовой внутренний продукт тремя
методами, определите величину национального дохода и норму сбережения.
Таблица 8.1 - Показатели результатов
экономической деятельности России за год (трлн. руб.)
|
Показатели
|
Результат экономической деятельности за год (трлн руб.)
|
|
Выпуск товаров и услуг в основных ценах
|
2805,4
|
|
Промежуточное потребление
|
1312,4
|
|
Налоги на продукты и импорт
|
196,4
|
|
Субсидии на продукты и импорт(-)
|
59,4
|
|
Оплата труда наемных работников
|
707,8
|
|
Налоги на производство и импорт
|
245,4
|
|
Субсидии на производство и импорт (-)
|
59,6
|
|
Доходы от собственности, полученные от "остального
мира"
|
18,2
|
|
Доходы от собственности, переданные "остальному миру"
|
32,2
|
|
Текущие трансферты, полученные от «остального мира»
|
3,5
|
|
Текущие трансферты, переданные «остальному миру»
|
2,7
|
|
Расходы на конечное потребление, в том числе: -домохозяйств;
-государственного сектора;
|
1102,1 452,9 601,1
|
|
-некоммерческих организаций.
|
48,1
|
|
Импорт товаров и услуг
|
362,6
|
|
Экспорт товаров и услуг
|
428,1
|
|
Статистическое расхождение
|
79,6
|
|
Валовое накопление основного капитала
|
329,4
|
|
Изменение запасов материальных оборотных средств
|
53,4
|
|
Капитальные трансферты, полученные от «остального мира»
|
14,2
|
|
Капитальные трансферты, переданные «остальному миру»
|
15,8
|
Решение:
Счет производства является первым в
системе счетов. Он отражает производство товаров и услуг. [11]
Валовой выпуск (ВВ) - основной
показатель объема производства. Определяется как сумма выручки от реализации.
Так как ВВ оценивается в ценах конечного покупателя (текущих ценах), необходимо
к ВВ добавить налоги на продукты (НДС) и вычесть субсидии на продукты (СП).
Счет №1
«Производство»
|
Использование
|
Ресурсы
|
|
|
Промежуточное потребление (ПП)
|
1312,4
|
Валовый выпуск (ВВ)
|
2805,4
|
|
|
Налоги на продукты (НДС)
|
196,4
|
|
|
Субсидии на продукты (СП)
|
59,4
|
|
Валовая добавленная стоимость (ВДС)
|
1630
|
|
|
Промежуточное потребление (ПП) -
стоимость товаров и услуг, которые израсходованы в производстве валового
выпуска (без заработной платы). Балансирующая статья счета - валовая
добавленная стоимость (ВДС):
|
ВДС = ВВ +НДС - СП - ПП
|
(8.1)
|
По формуле (8.1) рассчитаем ВДС
ВДС = 2805,4+196,4-59,4-1312,4=1630
ВДС в целом по стране представляет
собой валовой внутренний продукт, рассчитанный производственным методом. Этот
метод расчета позволяет получить ответ на вопрос, где, в какой отрасли, в каком
секторе экономики произведен ВВП страны.
Следующий счет с СНС - счет
образования доходов. Он отражает формирование первичных доходов участников
производства, т.е. позволяет проанализировать, как произведенный ВВП
распределяется между факторами производства: наемными работниками (оплата
труда), предпринимателями (прибыль) и государством (налоги и социальное
страхование).
Счет№2 позволяет определить ВВП
распределительным методом:
Счет №2
«Образование доходов»
|
Использование
|
Ресурсы
|
|
Оплата труда
|
707,8
|
Валовая добавленная стоимость (ВДС)
|
1630
|
|
Налоги (+), субсидии (-) на производство и импорт
|
185,8
|
|
|
|
Валовая прибыль
|
2523,6
|
|
|
Находим ВВП про помощи формулы:
|
ВВП = оплата труда + налоги +прибыль
|
(8.2)
|
Производим расчет по формуле (8.2)
ВВП = 
Счет№3 характеризует
распределение доходов, полученных от производства, между владельцами
собственности и таким образом показывает отличие национального дохода (НД) от
национального продукта. Различие может быть обусловлено наличием положительного
или отрицательного сальдо доходов от собственности «полученных» и «переданных».
У «богатых» стран ВНП больше, чем НД, так как они имеют инвестиции в других
странах и получают доходы от этой собственности. В «бедных» странах наоборот:
они являются заемщиками и передают часть произведенного в стране национального
продукта в виде платы за пользование чужой собственности другим странам.
Счет№3
«Распределение первичных
доходов»
|
Использование
|
Ресурсы
|
|
Доходы от собственности, переданные другим странам: -рента,
-проценты, -дивиденды.
|
32,2
|
Прибыль
|
2523,6
|
|
|
|
|
|
|
Оплата труда
|
707,8
|
|
|
Налоги
|
185,8
|
|
Сальдо первичных доходов (НД)
|
3403,2
|
Доходы от собственности, полученные от других стран: -рента,
-проценты, -дивиденды.
|
|
|
|
|
Балансирующая статья счета№3 -
сальдо первичных доходов - это национальный доход страны:
НД= оплата труда + прибыль + налоги
+
+доходы от собственности полученные
- доходы от собственности переданные (8.3)
Рассчитываем НД по формуле (8.3)
НД=707,8+2523,6+185,8+18,2-32,2=3403,2
В ресурсах счета№4 отражается
национальный доход и полученные текущие трансферты. Трансферта - операция, в
результате которой одна хозяйственная единица передает другой единице товары,
услуги, активы безвозмездно. Различают трансферты капитальные (т.е.
одномоментные, например, передача капитала в ходе приватизации в виде ваучеров)
и текущие (регулярные платежи в виде налогов, пенсий, пособий и т.п.).
Балансирующая статья счета №4 - располагаемый доход (РД), являющийся источником
средств, направляемых на потребление и накопление. [12]
Счет№4
«Вторичное распределение доходов»
|
Использование
|
Ресурсы
|
|
Текущие трансферты, выплаченные: -налог на прибыль; -подоходный
налог; -социальное страхование.
|
2,7
|
Сальдо первичных доходов (национальный доход) (НД)
|
3403,2
|
|
|
|
|
|
Текущие трансферты, полученные: -налог на прибыль; -подоходный
налог; -социальное страхование.
|
3,5
|
|
|
|
|
Располагаемый доход (РД)
|
3404
|
|
|
|
|
|
|
|
В ресурсах счета№5 отражается
национальный располагаемый доход (переносится из предыдущего счета). В
«использовании» - расходы на конечное потребление. Конечное потребление -
стоимость товаров и услуг, используемых непосредственно для удовлетворения
потребностей людей, т.е. потребительские расходы, которые группируются по
источникам финансирования: конечное потребление домохозяйств, государственных
учреждений и некоммерческих организаций. [10]
|
Использование
|
Ресурсы
|
|
Конечное потребление -домашних хозяйств -государственного
управления -некоммерческих организаций
|
1102,1
|
Располагаемый доход (РД)
|
3402,4
|
|
452,9
|
|
|
|
601,1
|
|
|
|
48,1
|
|
|
|
Сбережения
|
2301,9
|
|
|
В ресурсную часть счета «Операции с
капиталом» включатся: сбережения (из предыдущего счета) и капитальные
трансферты, которые по секторам включают их передачу из других секторов, а
также их поступление из других стран, а по стране в целом - это трансферты,
полученные от «остального мира», или переданные ему. В «использование» входят
различные типы вложений в активы. Балансирующая статья этого счета - чистое
заимствование (+) или чистое заимствование (-). Она показывает превышение (+)
или недостаток (-) источников финансирования инвестиционной деятельности по
сравнению с расходами на чистое приобретение нефинансовых активов. На уровне
экономики в целом чистое кредитование или чистое заимствование показывает
количество ресурсов, которое страна предоставляет в распоряжение зарубежных
стран или которое зарубежные страны предоставляют данной стране. [9]
Счет№8
«Операции с капиталом»
|
Использование
|
Ресурсы
|
|
Капитальные трансферты, выплаченные
|
15,8
|
Сбережения
|
2300,3
|
|
Накопление основных фондов
|
329,4
|
Капитальные трансферты, полученные
|
14,2
|
|
Прирост материальных оборотных средств
|
53,4
|
|
|
|
Чистое кредитование
|
398,6
|
Чистое заимствование
|
2314,5
|
Таким образом, чистое заимствование
имеет большее значение, чем чистое кредитование, следовательно, страна
кредитует меньше, чем заимствует.
Счет «Товаров и услуг» заполняется
только для страны в целом, в этом его отличие от предыдущих счетов, которые
заполняются как по секторам, так и по стране в целом. (В данном задании следует
заполнить все счета только для страны в целом). Счет «Товаров и услуг»
характеризует общие ресурсы товаров и услуг по стране в целом, а также
направления использования этих ресурсов. В ресурсной части отражаются валовой
выпуск и чистые налоги на продукты (т.е. налоги за вычетом субсидий), а также
импорт товаров и услуг. В «использовании» отражаются промежуточное потребление,
конечное потребление, валовое накопление и экспорт товаров и услуг. Этот счет не
имеет остатка или балансирующей позиции, поэтому для сводимости данных может
быть использована позиция «статистическое расхождение».
Счет№12
«Товары и услуги»
|
Использование
|
Ресурсы
|
|
Промежуточное потребление
|
1312,4
|
Валовой выпуск
|
2805,4
|
|
Конечное потребление
|
1102,1
|
Импорт
|
362,6
|
|
Валовое накопление -приобретение основных фондов -накопление
материальных оборотных средств
|
329,44
|
Чистые налоги на продукты
|
137
|
|
Экспорт
|
428,1
|
|
|
|
Сумма
|
3225,4
|
Сумма
|
3305
|
|
Статистическое расхождение
|
79,6
|
Валовой выпуск, промежуточное
потребление и чистые налоги переносятся в этот счет из счета производства,
конечное потребление - из счета использования доходов, валовое накопление
основных средств и изменение запасов материальных оборотных средств - из счета
капитальных затрат.
Заключение
Повышенный интерес к статистике
вызван современным этапом развития экономики в стране, формирования рыночных
отношений. Это требует глубоких экономических знаний в области сбора, обработки
и анализа экономической информации.
Данное пособие учит нас организации
сплошного и не сплошного наблюдения; строительству статистических графиков и
таблиц; анализировать массивы статистических данных; исчислять и
интерпретировать статистические показатели; формулировать выводы, вытекающие из
проведенного анализа.
Статистическая грамотность является
неотъемлемой составной частью профессиональной подготовки каждого экономиста,
финансиста, социолога, политолога, а также любого специалиста, имеющего дело с
анализом массовых явлений, будь то социально-общественные, экономические,
технические, научные и другие. Работа этих групп специалистов неизбежно связана
со сбором, разработкой и анализом данных статистического (массового) характера.
Нередко им самим приходится проводить статистический анализ различных типов и направленности
либо знакомиться с результатами стат. анализа, выполненного другими. В
настоящее время от работника, занятого в любой области науки, техники,
производства, бизнеса и прочее, связанной с изучением массовых явлений,
требуется, чтобы он был, по крайней мере, статистически грамотным человеком. В
конечном счете, невозможно успешно специализироваться по многим дисциплинам без
усвоения какого-либо статистического курса. Поэтому большое значение имеет
знакомство с общими категориями, принципами и методологией статистического
анализа. Как известно, для статистической практики РФ и стран СНГ в последние
годы важнейшим вопросом оставалось адекватное информационное отражение новых
социально-экономических явлений. Сюда, в частности, относится организация получения
и анализ данных, характеризующих изменение форм собственности и процесс
приватизации, негосударственную занятость населения и безработицу, деятельность
рыночных финансово-кредитных структур и коренное реформирование налоговой
системы, новые виды миграции граждан и поддержку возникших малоимущих
социальных групп, а также многое другое. Кроме того, в целях отслеживания
внедрения рыночных отношений и складывающихся реалий серьезной корректировки,
потребовали системы показателей, сбор и разработка данных в традиционных
областях статистического наблюдения: по учету основных результатов
промышленного и сельскохозяйственного производства, внутренней и внешней
торговли, деятельности объектов социальной сферы и т.д. Вместе с тем, насущная
необходимость получения адекватной и однозначной информации в настоящее время
систематически возрастает.
В заключение хочу отметить, что
сравнение различных экономических прогнозов имеет, прежде всего,
методологическое значение - связанное с выявлением характера действующих причинно-следственных
связей. Если последние изложены убедительно, определенный интерес представляют
и конкретные количественные.
Список использованных источников
1. Назарова М.Г. Общая теория статистики: Учеб.- М.: Омега-Л,
2010. - 416с.;
. Денисова А.А. Статистика: курс лекций - Екатеринбург:
Изд-во УрГУПС, 2012. - 250с.;
. Балдин К.В., Рокосуев А.В. Общая теория статистики:
Учебное пособие
. 2-е изд. - М.: Дашков и Ко, 2010. - 312.;
. Средние показатели динамики: уровень ряда, абсолютный
прирост, темп роста [Электронный ресурс] URL:
#"827022.files/image231.jpg">