Основные приемы и методы обработки и анализа статистических данных
ФЕДЕРАЛЬНОЕ
АГЕНТСТВО ЖЕЛЕЗНОДОРОЖНОГО ТРАНСПОРТА
Федеральное
государственное бюджетное образовательное учреждение
высшего
профессионального образования
«Уральский
государственный университет путей сообщения»
(УрГУПС)
Кафедра:
« Экономика транспорта»
Курсовая
работа
по
дисциплине « Статистика»
по
теме: «Основные приемы и методы обработки и анализа статистических данных»
Вариант
9
Выполнил:
Студент группы:
ЭК-252
Денисова А.А.
Проверил:
Надуялова Д.А.
Екатеринбург
СОДЕРЖАНИЕ
Введение
Тема
1. «Средние величины
Задание
1
Тема
2. «Ряды распределения и их основные характеристики»
Задание
2
Тема
3. «Ряды динамики
Задание
3
Тема
4. «Методы выравнивания рядов динамики»
Задание
4
Тема
5. «Индексы»
Задание
5
Тема
6. «Выборочные наблюдения»
Задание
6.
Тема
7. «Статистика населения»
Задание
7
Тема
8. Система национальных счетов
Задание
8
Заключение
Список
литературы
Приложение
А
Приложение
Б
Приложение
В
Приложение
Г
Приложение
Д
ВВЕДЕНИЕ
Статистика - раздел науки, в котором
изучаются общие вопросы сбора, измерения и анализа массовых статистических
(количественных или качественных) данных
<#"821529.files/image001.gif">
где X - значения величин, для
которых необходимо рассчитать среднее значение; N - общее количество значений X
(число единиц в изучаемой совокупности).
Средняя арифметическая взвешенная
имеет следующий вид:
где f - количество величин с
одинаковым значением X (частота).
Если значения X заданы в виде интервалов, то для расчетов используют середины
интервалов X, которые определяются как полусумма верхней и нижней границ
интервала. А если у интервала X отсутствует нижняя или верхняя граница
(открытый интервал), то для ее нахождения применяют размах (разность между
верхней и нижней границей) соседнего интервала X.
)Средняя гармоническая
Средняя гармоническая применяется,
когда исходные данные не содержат частот f по отдельным значениям X, а
представлены как их произведение Xf. Обозначив Xf=w, выразим f=w/X, и,
подставив эти обозначения в формулу средней арифметической взвешенной, получим
формулу средней гармонической взвешенной:
Таким образом, средняя гармоническая
взвешенная применяется тогда, когда неизвестны частоты f, а известно w=Xf. В
тех случаях, когда все w=1, то есть индивидуальные значения X встречаются по 1
разу, применяется формула средней гармонической простой:
1)Средняя геометрическая.
Средняя геометрическая применяется
при определении средних относительных изменений . Геометрическая средняя
величина дает наиболее точный результат осреднения, если задача стоит в
нахождении такого значения Х, который был равноудален как от максимального,так
и от минимального значения Х.
4) Средняя квадратическая.
Средняя квадратическая применяется в
тех случая, когда исходные значения X могут быть как положительными, так и
отрицательными, например при расчете средних отклонений.
5) Средняя кубическая.
Средняя кубическая применяется
крайне редко, например, при расчете индексов нищеты населения для развивающихся
стран (ИНН-1) и для развитых (ИНН-2), предложенных и рассчитываемых ООН. [3]
ЗАДАНИЕ 1
Дано:
Имеются следующие данные по трем
предприятиям, выпускающим одноименную продукцию:
|
Предприятие
|
Фактический
выпуск продукции, млн.руб.
|
Выполнение
плана, %
|
|
1
|
360,0
|
95
|
|
2
|
610,0
|
110
|
|
3
|
730,0
|
114
|
Вычислите по трем предприятиям:
) средний процент выполнения плана по выпуску
продукции;
) абсолютный прирост стоимости фактического
выпуска продукции по сравнению с планом.
Решение:
Средний процент выполнения плана по выпуску
продукции находим по формуле средней гармонической взвешенной, т.к. не известна
плановая величина
|
|
(1.1)
|
где 
;
По формуле (1.1.) найдем средний
процент выполнения плана по выпуску продукции
Абсолютный прирост стоимости фактической
продукции по сравнению с планом определяется по формуле
|
∆= (1.2)
|
|
По формуле (1.2.) найдем абсолютный прирост
стоимости фактической продукции:
Вывод: В среднем по трем предприятиям план
перевыполнен на 8%. Стоимость фактической продукции по сравнению с планом
увеличилась на 126,16 млн.руб.
ТЕМА 2. РЯДЫ РАСПРЕДЕЛЕНИЯ И ИХ ОСНОВНЫЕ
Статистический ряд распределения - это
упорядоченное распределение единиц совокупности на группы по определенному
варьирующему признаку.
В зависимости от признака, положенного в основу
образования ряда распределения, различают атрибутивные и вариационные ряды
распределения.
Атрибутивными называют ряды распределения,
построенные по качественным признакам. Ряд распределения принято оформлять в
виде таблиц. Например, атрибутивный ряд распределения помощи адвокатов
гражданам. Адвокаты могут распределяться, например, по видам и формам правовой
помощи. [8]
Атрибутивные ряды распределения характеризуют
состав совокупности по тем или иным существенным признакам. Взятые за несколько
периодов, эти данные позволят исследовать изменение структуры.
Вариационным называют ряды распределения, построенные
по количественному признаку. Любой вариационный ряд состоит из элементов:
вариантов и частот.
Вариантами считаются отдельные значения
признака, которые он принимает в вариационном ряду, т.е. конкретное значение
варьирующего признака.
Частоты - это численности отдельных вариантов
или каждой группы вариационного ряда, т.е. это числа, показывающие, как часто
встречаются те или иные варианты в ряду распределения. Сумма всех частот
определяет численность всей совокупности, ее объем.
Другие формы вариационного ряда - групповые
таблицы, составленные по характеру вариации значений изучаемого признака. По
характеру вариации различают дискретные (прерывные) и непрерывные признаки.
Дискретный ряд - это такой вариационный ряд, в
основу построения которого положены признаки с прерывным изменением (дискретные
признаки). К последним можно отнести тарифный разряд, количество детей в семье,
число работников на предприятии и т.д. Эти признаки могут принимать только
конечное число определенных значений.
Дискретный вариационный ряд представляет
таблицу, которая состоит из двух граф. В первой графе указывается конкретное
значение признака, а во второй - число единиц совокупности с определенным
значением признака.
Если признак имеет непрерывное изменение (размер
дохода, стаж работы, стоимость основных фондов предприятия и т.д., которые в
определенных границах могут принимать любые значения), то для этого признака
нужно строить интервальный вариационный ряд. [11]
Групповая таблица здесь также имеет две графы. В
первой указывается значение признака в интервале «от - до» (варианты), во
второй - число единиц, входящих в интервал (частота).
Статистическая мода.
Статистическая мода - это наиболее часто
повторяющееся значение величины X в статистической совокупности.
Если X задан дискретно, то мода определяется без
вычисления как значение признака с наибольшей частотой.
Статистическая медиана
Статистическая медиана - это значение величины
X, которое делит упорядоченную по возрастанию или убыванию статистическую
совокупность на 2 равные по численности части. В итоге у одной половины
значение больше медианы, а у другой - меньше медианы.
Если X задан дискретно, то для определения
медианы все значения нумеруются от 0 до N в порядке возрастания, тогда медиана
при четном числе N будет лежать посередине между X c номерами 0,5N и (0,5N+1),
а при нечетном числе N будет соответствовать значению X с номером 0,5(N+1). [3]
ЗАДАНИЕ 2
Дано:
Имеются следующие данные о тарифных разрядах
рабочих:
|
6
|
5
|
6
|
7
|
8
|
6
|
6
|
7
|
7
|
6
|
5
|
6
|
|
5
|
6
|
5
|
6
|
6
|
7
|
8
|
5
|
6
|
6
|
5
|
7
|
|
7
|
5
|
6
|
6
|
7
|
6
|
5
|
6
|
6
|
7
|
6
|
5
|
|
7
|
4
|
6
|
6
|
4
|
6
|
6
|
8
|
5
|
6
|
6
|
4
|
Постройте дискретный ряд распределения.
Вычислите показатели центра распределения и показатели вариации.
Решение:
Построим дискретный ряд распределения.
Табл. 2.1 - Распределение рабочих по
квалификации
|
Тарифный
разряд
|
Число
рабочих
|
Накопленная
частота
|
|
  S
|
|
|
|
4
|
3
|
3
|
|
5
|
10
|
13
|
|
6
|
23
|
36
|
|
7
|
9
|
45
|
|
8
|
3
|
48
|
|
Итого
|
48
|
|
К показателям центра распределения относятся:
средняя арифметическая, мода и медиана.
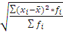
Средняя арифметическая для дискретного ряда
распределения рассчитывается по формуле

=
(2.1)
где 
- варианты значений признака,

частота повторения данного признака
Найдем среднюю арифметическую для
данного ряда по формуле (2.1)
Мода (Мо) - наиболее часто
встречающееся значение признака. В дискретном ряду это варианта с наибольшей
частотой.
Наибольшую частоту (23 рабочих)
имеет 6-й тарифный разряд, следовательно, он и является модальным.
Мо=6-му разряду
Графическое определение моды
представлено на рис. 2.1
Рисунок 2.1 - Графическое
определение моды (приложение А)
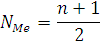
Медиана (Ме) - варианта, находящаяся
в середине ряда распределения. Для дискретного ряда средняя варианта и будет
модальной. Медиана для дискретного ряда определяется по формуле
|
|
(2.2)
|
Найдем по формуле (2.2) медиану для данного
дискретного ряда

(рабочих)
Рисунок 2.2 - Графическое
изображение медианы (приложение Б)
Полученное дробное значение
указывает, что точная середина находится между 24 и 25 рабочими. Необходимо
определить, к какой группе относятся рабочие с этими порядковыми номерами. Это
можно сделать, рассчитав накопленные частоты.

= 3

= 10+3=13

= 23+13 =36

= 9+36=45

= 3+45=48
=> Ме=6-му разряду
Вариация - различие индивидуальных
значений признака внутри изучаемой совокупности. Для изучения степени
колеблемости отдельных значений признака от его среднего значения исчисляются
абсолютные и относительные показатели вариации.
К абсолютным показателям вариации
относятся: размах вариации, дисперсия, среднее линейное и среднее квадратичное
отклонение; к относительным показателям вариации относятся: линейный и
квадратичный коэффициент вариации. - размах вариации, показывает, насколько
велико различие между единицами совокупности, имеющими самое маленькое и самое
большое значение признака. Определяется по формуле
R=
(2.3)
где xmax - наибольшее значение признака;-
наименьшее значение признака.
Определим размах вариации по формуле (2.3)=8-4=4

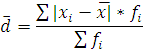
среднее линейное отклонение,
представляет собой среднюю величину из отклонений вариантов признака от их
средней. Определяется по формуле
|
|
(2.4)
|
где 
средняя величина исследуемого
явления;

значение осредняемого признака.

частота.
Рассчитаем среднее линейное
отклонение по формуле (2.4)

- дисперсия, представляет собой
средний квадрат отклонений индивидуальных значений признака от их средней
величины.
|
|
(2.5)
,
|
где 
средняя величина исследуемого
явления;

значение осредняемого признака.

частота.
По формуле (2.5) найдем дисперсию
для данного дискретного ряда

=
=
=
= 0,89
Ơ - среднее квадратическое
отклонение, представляет собой корень второй степени из среднего квадрата
отклонений отдельных значений признака от их средней.
Ơ= 
, (2.6)
где 
средняя величина исследуемого
явления;

значение осредняемого признака.

частота.
По формуле (2.6) рассчитаем среднее
квадратическое отклонение
Ơ=
=
=
= 0,94
Коэффициент вариации (v),
используется для сравнения степеней колеблемости двух, трех и более
вариационных рядов.
=
*100%,(2.7)
где 
- среднее квадратическое
отклонение;

средняя арифметическая.
По формуле (2.7) найдем коэффициент
вариации

=15.8%
Таблица 2.2 - Расчет показателей
вариации
|
Тарифный
разряд,
|
Число
рабочих,  Накопленные частоты, S d= |d|*    *f
|
|
|
|
|
|
|
|
4
|
3
|
3
|
12
|
-1,98
|
5,94
|
3,92
|
11,76
|
|
5
|
10
|
13
|
50
|
-0,98
|
9,8
|
0,96
|
9,6
|
|
6
|
23
|
36
|
138
|
0,02
|
0,46
|
0,0004
|
0,0092
|
|
7
|
9
|
45
|
63
|
1,02
|
9,18
|
1,02
|
9,18
|
|
8
|
3
|
48
|
24
|
2,02
|
6,06
|
4,08
|
12,24
|
|
Итого:
|
44
|
-
|
287
|
-
|
-
|
-
|
42,8
|
Показатель асимметрии вычисляется по формуле

(2.8)
где 
средняя величина исследуемого
явления.
Ơ - среднее квадратическое
отклонение.
Мо - наиболее часто встречающееся
значение признака.
По формуле (2.8) рассчитываем
показатель асимметрии
Следовательно, асимметрия
левосторонняя незначительная.
Вывод. Основываясь на
вышеприведенных данных, построили дискретный ряд распределения рабочих по
квалификации. Вычислили показатели центра распределения (моду=6)и медиану=6),
изобразили графически моду. Определили среднюю и показатели вариации: размах
вариации R=4, показывает различие между единицами совокупности; средние линейное
отклонение, показывает, что средняя величина из отклонений вариантов признака
от их средней составляет 0,7; дисперсия показывает, что средний квадрат
отклонений индивидуальных значений признака от их средний величины составляет
0,89; средние квадратическое отклонение составляет 0,94, коэффициент вариации
15.7%. Следовательно, индивидуальные значения отличаются в среднем от средней
арифметической на 0,7 разряда или на 15.7%. Так как показатели вариации 15.7%
<33%, то можно сделать вывод об их однородной совокупности. Среднее
квадратическое отклонение превышает среднее линейное отклонение в соответствии
со свойствами мажоритарности средних.
ТЕМА 3. РЯДЫ ДИНАМИКИ
Рядом динамики называется ряд чисел,
характеризующих изменение общественного явления во времени. Значения
показателей, образующих ряд динамики, называют уровнями ряда Уi.
Для общей характеристики уровня
явления за тот или иной период исчисляется средний уровень ряда. Способ расчета
среднего уровня ряда зависит от характера ряда. Различают моментный и
интервальный ряды динамики.
Моментным рядом называют ряд,
который образуют показатели характеризующие состояние явления на тот или иной
момент времени.
Интервальным рядом динамики называют
ряд, который образуют показатели характеризующие явление за тот или иной период
времени.
Средний уровень интервального ряда
определяют по формуле
где n - число членов ряда динамики.
Средний уровень моментного ряда
определяют по формуле средней хронологической:
Абсолютный прирост DУi показывает на сколько
единиц увеличился (или уменьшился) анализируемый уровень ряда Уi относительно
базисного уровня У0 (по базисной схеме) или уровня предшествующего года Уi-1
(по цепной схеме). Соответственно его определяют по формулам:
(по базисной схеме)
(по цепной схеме)
Темп роста Тр показывает во сколько
раз анализируемый уровень ряда увеличился (или уменьшился) по сравнению с
уровнем принятым за базу сравнения (по базисной схеме) или предшествующим
уровнем (по цепной схеме). Темп роста выражают в процентах или отвлеченных
числах (коэффициент роста). Его определяют по формулам:
(по базисной схеме)
(по цепной схеме)
Темп прироста Тпр показывает, на
сколько процентов увеличился (или уменьшился) анализируемый уровень ряда по
сравнению с базисным (по базисным схеме), или предшествующим уровнем ряд (по цепной
схеме). Его определяют как отношение абсолютного прироста к уровню, принятому
за базу сравнения по формулам:
(по базисной схеме)
(по цепной схеме)
Темпы роста и прироста связаны между
собой, что видно из формул их расчета:
Это дает основание определить темп
прироста через темп роста.
Тпр=Тр-100%
Средний темп роста и средний темп
прироста характеризуют соответственно темпы роста и прироста за период в целом.
Средний темп роста рассчитывается по данным ряда динамики по формуле средней
геометрической:
где n - количество цепных
коэффициентов роста.
Исходя из соотношения темпов роста и
прироста определяется средний темп прироста:
Абсолютное значение одного процента
прироста А - это отношение цепного абсолютного прироста к цепному темпу
прироста выраженному в процентах. Оно определяется по формуле:
Как видно из расчета абсолютное
значение одного процента прироста равно 0,01 предшествующего уровня.
С помощью рядов динамики изучают
явления, имеющие сезонный характер. Сезонными колебаниями называются устойчивые
внутригодовые колебания в ряду динамики, обусловленные специфическими условиями
производства, потребления или продажи продукции или услуг. Например,
потребление топлива или электроэнергии для бытовых нужд, перевозки пассажиров,
продажи товаров. [3]
Уровень сезонности оценивается с
помощью индексов сезонности. Индекс сезонности показывает, во сколько раз
фактический уровень ряда в момент или интервал времени больше среднего уровня.
Он определяется по формуле:
где Is- уровень сезонности;
Уi - текущий уровень ряда динамики;
Уср - средний уровень ряда.
Графически индекс сезонности может
быть представлен с помощью полигона - основного вида графиков, используемого
для графического изображения рядов динамики. [1]
ЗАДАНИЕ 3
Таблица 3.1 - Основные показатели
|
Показатели
|
Годы
|
|
1996
|
1997
|
1998
|
1999
|
2000
|
2001
|
|
Число
посещений,млн
|
51
|
44,2
|
41,4
|
34,6
|
31,6
|
29,1
|
По данным таблицы вычислить:
Основные аналитические показатели ряда динамики
(по цепной и базисной схемам):
Абсолютный прирост
Темпы роста
Темпы прироста
Абсолютное значение 1% прироста
Средние показатели ряда динамики:
Средний уровень ряда динамики
Средний абсолютный прирост
Среднегодовой темп роста
Среднегодовой темп прироста
Решение:
К показателям, характеризующим изменение уровней
ряда динамики, относят: абсолютный прирост, темпы роста, темпы прироста,
абсолютное значение 1% прироста, средний абсолютный прирост,средний темп роста,
средний темп прироста, средний уровень ряда динамики.
Абсолютный прирост показывает, на сколько единиц
в абсолютном выражении уровень текущего периода больше (или меньше)
предшествующего или базисного. Рассчитывается по формулам:

(цепная) (3.1.1)

(базисная) (3.1.2)
где 
- уровень сравниваемого периода;

- уровень предшествующего периода;

уровень базисного периода.
По формуле (3.1.1) рассчитываем
абсолютный прирост (цепная схема)

44,2-51= -6,8 (млн. руб.)

=41,4-44,2= -2,8(млн. руб.)

34,6-41,4= -6,8(млн. руб.)

31,6-34,6= -3(млн. руб.)

29,1-31,6= -2,5(млн. руб.)
По формуле (3.1.2) рассчитываем
абсолютный прирост (базисная схема)

44,2-51= -6,8(млн. руб.)

41,4-51= -9,6(млн. руб.)

34,6-51= -16,4(млн. руб.)

31,6=51= -19,4(млн. руб.)

29,1-51= -21,9(млн. руб.)
Показатель роста - это показатель,
характеризующий интенсивность изменения уровня ряда динамики, он определяется
как отношение данного (текущего) уровня ряда к предыдущему или базисному. Если
показатель роста выражается в виде коэффициента и измеряется в долях единицы,
он называется коэффициентом роста и рассчитывается по формулам

(3.1.3)

(3.1.4)
где 
- уровень сравниваемого периода;

- уровень предшествующего периода;
Если показатель роста измеряется в
процентах, он называется темпом роста. Рассчитывается он с переменной и
постоянной базами сравнения по следующим формулам

=
*100;(3.1.5)

=
*100, (3.1.6)
где 
- коэффициент роста цепной схемы;

- коэффициент рота базисной схемы
По формулам (3.1.3) и (3.1.4)
рассчитываем коэффициенты роста
=44,2/51=0,867

=41,2/44,2=0,937

=34,6/41,2=0,836

=31,6/34,6=0,913

=29,1/31,6=0,921

=44,2/51=0,867

=41,2/51=0,812

=34,6/51=0,678

=31,6/51=0,620

=29,1/51=0,571
По формулам (3.1.5) и (3.1.6) рассчитываем темпы
роста

0,867*100=86,7(%)

0,937*100=93,7(%)

0,836*100=83,6(%)

0,913*100=91,3(%)

0,921*100=92,1(%)

0,867*100=86,7(%)

0,937*100=93,7(%)

0,678*100=67,8(%)

0,620*100=62,0(%)

0,571*100=57,1Темп
прироста (Тпр) - отношение абсолютного прироста к предыдущему или базисному
уровню ряда. Показатель характеризует относительную скорость изменения уровня
ряда в единицу времени. Рассчитывается он с переменной и постоянной базами
сравнения по следующим формулам

(цепная) (3.1.7)

=
(базисная) (3.1.8)
где 
- темп роста по базисной схеме

- темп роста по цепной схеме
По формулам (3.1.7) и (3.1.8)
рассчитываем темпы прироста по цепной и базисной схемам

86,7-100=-13,3

93,7-100=-6,3

83,6-100=-16,4

91,3-100=-8,7

92,1-100=-7,9

=-13,3

-18,8

-32,2

-38,0

=-42,9
Абсолютное значение 1% прироста
показывает, какая величина абсолютного прироста приходится на каждый процент
прироста. Расчет этого показателя имеет смысл только на цепной основе.
Определяется абсолютное значение 1% прироста по следующей формуле:

(3.1.9)
где 
- темп прироста по цепной схеме
По формуле (3.1.9) рассчитываем
абсолютное значение 1% прироста




1,52


2,23


2,77
Для характеристики интенсивности
развития за длительный период рассчитываются средние показатели динамики.
Средний уровень ряда динамики -
обобщающая характеристика изменения (развития) ряда динамики. Средний уровень
интервального равностоящего ряда рассчитывается по формуле средней
арифметической простой

=
(3.1.10)
По формуле (3.1.10) рассчитываем
средний уровень ряда динамики
Средний абсолютный прирост -
обобщающая характеристика ряда динамики, служащая для сравнения скорости
развития разных рядов. Показатель определяется по формулам

или 
=
(по цепной схеме);(3.1.11)

или 
=
(по базисной схеме),(3.1.12)
где 
последнее значение уровня ряда;

первое значение уровня ряда;

число уровней ряда.
По формуле (3.1.11) и (3.1.12)
рассчитываем средние абсолютные приросты по цепной и базисной схемам.
Средний коэффициент роста
показывает, во сколько раз в среднем за единицу времени изменится уровень ряда
динамики. Определяется по формуле
Кр=
(3.1.13)
По формуле (3.1.13) рассчитываем
коэффициент роста
Кр= 
0,894
Среднегодовой темп роста
рассчитывается по формуле

=
*100(3.1.14)
По формуле (3.1.14) рассчитываем
среднегодовой темп роста

%
Средний темп прироста характеризует
среднюю интенсивность изменения уровней ряда динамики определяется по формуле

=
% (3.1.15)
По формуле (3.1.15) рассчитываем
среднегодовой темп прироста
Средняя величина абсолютного
значения 1% прироста рассчитывается по формуле

=
(3.1.16)
По формуле (3.1.16) рассчитываем
среднюю величину абсолютного значения 1% прироста
Таблица 3.2 - Основные аналитические
показатели ряда динамики
|
Показатели
|
Схема
расчета
|
Годы
|
|
|
1996
|
1997
|
1998
|
1999
|
2000
|
2001
|
|
Уровень
ряда  5144,241,434,631,629,1
|
|
|
|
|
|
|
|
|
Абсолютный
прирост ∆Y
|
Базисная
|
X
|
-6,8
|
-9,6
|
-16,4
|
-19,4
|
-21,9
|
|
Цепная
|
X
|
-6,8
|
-2,8
|
-6,8
|
-3
|
-2,5
|
|
Темп
роста (Тр),%
|
Базисная
|
100
|
86,7
|
93,7
|
67,8
|
62,0
|
57,1
|
|
Цепная
|
100
|
86,7
|
93,7
|
83,6
|
91,3
|
92,1
|
|
Темп
прироста (Тпр), %
|
Базисная
|
X
|
-13,3
|
-18,8
|
-32,2
|
-38,0
|
-42,9
|
|
Цепная
|
X
|
-13,3
|
-6,3
|
-16,4
|
-8,7
|
-7,9
|
|
Абсолютное
значение 1 % прироста (А)
|
Цепная
|
X
|
0,51
|
1,52
|
1,00
|
2,23
|
2,77
|
Вывод. Нашли основные аналитические показатели
ряда динамики (по цепной и базисной схемам):абсолютный прирост (показывает
размер увеличения (уменьшения) уровня ряда за определенный промежуток времени),
темпы роста (во сколько раз данный уровень ряда больше базисного (если
коэфф.>1) или какую часть базисного уровня составляет уровень текущего
периода за некоторый промежуток времени ( если он <1) , темпы прироста
(показывает на какой % уровень данного периода или момента времени больше или
меньше базисного), абсолютные значения 1 % прироста (позволяет рассчитать
абсолютный прирост уровня за рассматриваемый период). Нашли средние показатели
ряда динамики: средний уровень ряда динамики составил 38,65, средний абсолютный
прирост по базисной схеме показал уменьшение уровня ряда на 18,53 и уменьшение
по цепной схеме на 4,38; средний темп роста составил 84,9%,среднегодовой темп
прироста показал, что уровень данного момента времени меньше базисного на
15,1%.
Задание 3.2
Дано:
Таблица 3.2.1 - Товарооборот магазина, тыс.руб.
|
месяц
|
|
|
январь
|
308,1
|
|
февраль
|
319,3
|
|
март
|
356,5
|
|
апрель
|
494,3
|
|
май
|
555,0
|
|
июнь
|
519,2
|
|
июль
|
728,8
|
|
август
|
629,7
|
|
сентябрь
|
639,8
|
|
октябрь
|
490,3
|
|
ноябрь
|
408,2
|
|
декабрь
|
355,9
|
|
Итого
|
5805,1
|
Вычислить индекс сезонности и изобразить
графически сезонную волну.
Решение:
Индекс сезонности(i) показывает, во сколько раз
фактический уровень ряда в тот или иной момент времени больше(меньше) среднего
уровня, либо уровня, вычисленного по уровню тренда.
i = 
*100 (3.2.1)
где 
-текущий уровень ряда динамики,

-средний уровень ряда

(3.2.2)
По формуле (3.2.2) рассчитываем
средний уровень ряда

(тыс.руб.)
По формуле (3.2.1) рассчитываем
индекс сезонности
Для наглядности на основе индексов
сезонности строится график сезонной волны (рис. 3.2.1) (приложение В)
Вывод. По приведенным выше расчетам
и по построенному графику сезонной волны, можно увидеть, что наибольшее
значение индекса сезонности в июле =150,6%, наименьшее значение в январе = 63,7
%.
ТЕМА 4. МЕТОДЫ ВЫРАВНИВАНИЯ РЯДОВ
ДИНАМИКИ
Основной задачей статистического
изучения динамики является выявление тенденции.
Основными методами выявления
тенденции рядов динамики являются:
метод усреднения по двум половинам
ряда;
метод укрупнения интервалов;
метод скользящей средней.
. Метод усреднения по двум половинам
ряда, когда ряд делится на две части. Затем, рассчитываются два значения
средних уровней ряда, по которым графически определяется тенденция ряда.
Очевидно, что такой тренд не достаточно полно отражает основную закономерность
развития явления.
. Метод укрупнения интервалов, при
котором производится увеличение протяженности временных промежутков, и
рассчитываются новые значения уровней ряда.
. Метод скользящей средней. Данный
метод применяется для характеристики тенденции развития исследуемой
статистической совокупности и основан на расчете средних уровней ряда за
определенный период. [6]
ЗАДАНИЕ 4
Дано:
Имеются следующие данные по
строительной фирме об объеме выполненных работ по месяцам 1996 г. по сметной
стоимости, млн.руб.:
|
Месяцы
|
Год
|
|
1996
|
|
январь
|
2,0
|
|
февраль
|
2,1
|
|
март
|
2,4
|
|
апрель
|
2,6
|
|
май
|
2,8
|
|
июнь
|
3,0
|
|
июль
|
3,3
|
|
август
|
3,5
|
|
сентябрь
|
3,3
|
|
октябрь
|
3,1
|
|
ноябрь
|
2,7
|
|
декабрь
|
2,5
|
Произвести сглаживание ряда динамики тремя
способами. Изобразить графически фактические и сглаженные уровни ряда. Сделать
выводы о характере общей тенденции показателей.
Решение:
. Метод укрупнения интервалов.
Если рассматривать уровни экономических
показателей за короткие промежутки времени, то в силу влияния различных
факторов, действующих в разных направлениях рядах динамики, наблюдается
снижение и повышение этих уровней, что мешает видеть основную тенденцию
развития изучаемого явления. Для наглядного представления тренда применяется
метод, основанный на укрупнения периодов времени, к которым относятся уровни
ряда.
В качестве нового интервала возьмем квартал (3
месяца). Показатели сглаженного ряда динамики находим усреднением значений по
трем месяцам, входящим в квартал, используя формулу средней арифметической
(простой)
По формуле (4.1) рассчитываем показатели
сглаженного ряда динамики для каждого квартала
Имеем следующий ряд динамики, приведенный в табл
4.1
Таблица 4.1 - Изменение объема работ по
кварталам
|
Квартал
|
Объем
выполненных работ в среднем за месяц, млн.руб.
|
|
1
|
2,2
|
|
2
|
2,8
|
|
3
|
3,4
|
|
4
|
2,8
|
В рассматриваемом ряду наблюдается рост
показателей в первых трёх кварталах.
. Метод усреднения по правой и левой половине.
Суть метода состоит в том, что ряд динамики разделяют
на две части и находят для каждой из них среднее арифметическое значение. На
графике через полученные средние проводят линию, которая называется трендом.
Среднее значение показателя в первом и во втором
полугодиях соответственно равны и определяются по формулам
|
|
(4.2)
|
|
|
(4.3)
|
По формулам (4.2) и (4.3) рассчитываем среднее
значение показателя в первом и втором полугодиях соответственно
. Метод скользящей средней
Суть метода заключается в вычислении среднего
уровня из определенного числа первых по счету уровней ряда динамики, затем в
вычислении среднего уровня из такого же числа уровней, начиная со второго,
далее - с третьего и т.д., то есть при расчетах среднего уровня как бы скользят
по ряду динамики от его начала к его концу, каждый раз отбрасывая один уровень
и добавляя следующий
Полученные данные занесем в таблицу 4.2
|
Месяц
|
Фактические
уровни ряда
|
Сглаженные
уровни ряда по 3-х месячной скользящей
|
Сглаженные
уровни ряда по 5-ти месячной скользящей
|
|
январь
|
2
|
-
|
-
|
|
февраль
|
2,1
|
2,17
|
-
|
|
Март
|
2,4
|
2.37
|
2,38
|
|
апрель
|
2,6
|
2,60
|
2,58
|
2,8
|
2,80
|
2,82
|
|
Июнь
|
3
|
3,03
|
3,04
|
|
Июль
|
3,3
|
3,27
|
3,18
|
|
август
|
3,5
|
3,37
|
3,24
|
|
сентябрь
|
3,3
|
3,30
|
3,18
|
|
октябрь
|
3,1
|
3,03
|
3,02
|
|
ноябрь
|
2,7
|
2,77
|
-
|
|
декабрь
|
2,5
|
-
|
-
|
Графическое изображение методов сглаживания ряда
динамики представлено на рис 4.1 (приложение Г)
Вывод. По всем методам сглаживания
видна тенденция незначительного убывания показателей ряда динамики во втором
полугодии. Однако, это может быть и результат наличия сезонности. Поэтому для
более достоверного вывода требуется провести анализ не за один год, а за
несколько лет.
ТЕМА 5. ИНДЕКСЫ
Под индексом понимают относительный показатель,
характеризующий изменение уровня сложного общественного явления во времени и
его соотношение в пространстве. Различают индивидуальные и сводные (общие)
индексы. Индивидуальный индекс характеризует изменения явления, состоящего из
однородных элементов, и предоставляет собой обычную относительную величину
динамики, выполнения плана, сравнения. Индивидуальный индекс обозначают буквой
i с подстрочным указанием индексируемого показателя. Индексируемым называют
показатель, изменение которого характеризует индекс. Так, например, для
характеристики выполнения планового задания по производству отдельных видов
продукции рассчитывают индивидуальные индексы физического объема продукции по
формуле:
где
- объем производства какого-то вида
продукции в натуральном выражении соответственно в отчетном и базисном
периодах, который является индексируемой величиной.
Сводный индекс характеризует
изменения явления, состоящего из разнородных непосредственно не суммируемых
элементов. [3]
Чтобы охарактеризовать при помощи
индексов изменение явлений, состоящих из разнородных элементов, необходимо
прежде всего обеспечить возможность суммирования этих элементов для их
дальнейшего сопоставления. Для этого следует привести их в соизмеримый вид,
посредством специального соизмерителя который, являясь общей мерой этих
явлений, выражает то общее, что им присуще. Так, для продукции народного
хозяйства как совокупности разноименных видов изделий, несмотря на их различные
потребительские свойства, общим является то, что все они представляют собой
результат труда, затраты которого могут быть выражены как в единицах рабочего
времени, например человеко-часах, так и в стоимостной форме, имеющей денежное
выражение. Эти показатели: время, стоимость - могут быть использованы как
соизмерители и называются весами индекса. Умножив индексируемый показатель на
соответствующий вес, мы тем самым выражаем элементы анализируемой совокупности
в одних единицах измерения, т.е. проводим их в соизмеримый вид, поэтому их уже
можно суммировать и сопоставлять. Так, например, умножив объем различных видов
изделий на их себестоимость, мы выражаем их в стоимостной форме, что позволяет
их суммировать и сопоставлять. При этом, чтобы индекс отражал изменение только
индексируемой величины, веса индексов берут на одном уровне. Если в качестве
веса используются объемные показатели (продукция, численность), их берут на
уровне текущего периода, если качественные показатели (план, себестоимость,
затраты времени на единицу продукции), то их принимают на уровне базисного
периода.
В народном хозяйстве широко
используются индексы физического объема продукции, индекс себестоимости, индекс
затрат, индекс реализованной продукции, индекс цен, индекс товарооборота,
индекс производительности труда, индекс удельного расхода материалов и др.
Сводный индекс физического объема
продукции Iq в общем виде определяется по формуле
где q1, q0 - объем продукции каждого
вида изделий соответствующего периода (индексируемый показатель);-
себестоимость каждого вида изделий базисного периода (вес индекса).
Сводный индекс себестоимости
определяют
по формуле:
где z1, z0 - себестоимость отдельных
видов продукции соответственно в текущем и базисном периодах.
Он характеризует, как в среднем
изменяется себестоимость продукции различных видов в целом по анализируемой
совокупности.
Сводный индекс затрат Izq определяют
по формуле:
где z1q1, z0q0 - затраты по
производству различных видов продукции соответственно в отчетном и базисном
периодах.
Он характеризует, как изменились
затраты по производству продукции различных видов в целом по анализируемой
совокупности.
Сводный индекс цен Ip определяют по
формуле:
где р1 , р0 - цена отдельных видов
продукции соответственно в текущем и базисном периодах.
Он характеризует, как изменились в
среднем цены на различные виды продукции по анализируемой совокупности.
Сводный индекс товарооборота Iqp
определяют по формуле:
где q1p1, q0p0 - размер
товарооборота соответственно в текущем и базисном периодах.
Сводный индекс производительности
труда I1/t определяют по формуле:
где t1, t0 - затраты времени на
производство единицы продукции соответственно в текущем и базисном периодах.
Он характеризует изменение
производительности труда, является показателем, обратным индексу трудоемкости
It, который определяю по формулам:
;
Он характеризует, как в среднем
изменились затраты времени на единицу продукции в связи с ростом
производительности труда.
Сводный индекс массы отработанного
времени Iqt определяют по формуле:
где q1t1(T1), q0t0(T0) - это время,
затраченное на производство всей продукции соответственно в текущем и базисном
периодах.
Сводный индекс удельного расхода
материалов Im , топлива определяют по формуле:
где m1, m0 - удельный расход
материалов (топлива), т.е. расход материалов (топлива) на единицу продукции
соответственно в текущем и базисном периодах.
Он характеризует, как изменился в
среднем расход различных видов материалов, топлива на единицу продукции. [6]
Расчет индексов может быть выполнен
в агрегатной форме и форме средних индексов - среднеарифметического взвешенного
и среднегармонического. Все вышеприведенные индексы рассчитаны как агрегатные
индексы. Выбор формы расчета индексов зависит от наличия исходных данных. Если
известны значения индексируемого показателя и веса в текущем и базисном
периодах, то пользуются агрегатной формой индексов. Если отсутствуют значения
индексируемого показателя или веса в текущем или базисном периодах, но известны
изменения индексируемого показателя или веса по отдельным единицам
анализируемой совокупности, пользуются формой средних индексов. Например,
известны плановый размер затрат по выпуску продукции на предприятии q0z0 и задание
по росту выпуска продукции отдельных видов iq. Необходимо определить индекс
физического объема продукции Iq. Индекс физического объема продукции определят
по формуле:
Для решения задачи неизвестен
фактический выпуск продукции, но задан рост каждого вида продукции
, который
определяют по формуле:
отсюда определяем q1:
=iqq0
Подставляем найденную величину в
исходную формулу:
это есть не что иное, как средняя
арифметическая взвешенная индекса физического объема. Соответственно индекс
называют среднеарифметическим индексом. Или, например, известны размер
товарооборота в отчетном q1p1 и плановом периодах q0p0, а также изменения цен в
отчетном периоде относительно планового по отдельным видам изделий ip.
Необходимо определить, как в среднем изменились цены по всем видам изделий,
т.е. индекс цен
.
Индекс цен определяют по формуле
В нашем примере известен
товарооборот в отчетном периоде p1q1 , а товарооборота в ценах планового
периода нет, но заданы индивидуальные индексы цен по каждому виду изделий
, которые
определяют по формуле:
отсюда можно определить цены
планового периода:
Подставляем их в исходную формулу:
это есть не что иное, как средняя
гармоническая индекса цен. Соответственно его называют среднегармоническим
индексом. [4]
ЗАДАНИЕ 5
Дано:
Известны следующие данные по
промышленному предприятию за два года
|
Вид
продукции
|
Произведено,тыс.шт
|
Среднесписочное
число рабочих,чел
|
Оптовая
цена 1996 г.,тыс.руб.
|
|
1996
|
1997
|
1996
|
1997
|
|
|
А
|
275
|
75
|
291
|
72
|
75
|
|
Б
|
163
|
119
|
174
|
115
|
54
|
Определите:
индекс физического объема продукции
индекс производительности труда
индекс затрат труда
Решение:
Индекс - относительный показатель, выражающий
соотношение величин какого-либо явления во времени и пространстве или сравнение
фактических данных с любым эталоном (планом, нормативом и т.д.).
Агрегатный индекс - сложный относительный
показатель, который характеризует среднее изменение социально-экономического
явления, состоящего из несоизмеримых элементов. Наиболее важными сводными
индексами являются индексы цены, объема, товарооборота.
Индекс физического объема производства продукции
- относительный статистический показатель, характеризующий изменение физической
массы (количества) продукции. Данный показатель используется для оценки степени
влияния изменения количества произведенной (реализованной) продукции на
изменение объема ее производства (реализации) при условии учета цены продукции
как постоянной величины базисного периода.
Индекс физического объема продукции
(
вычисляется по формуле
|
|
(5.1)
|
где 
, 
- объем выпуска продукции
соответственно базисного и отчетного периодов

- оптовая цена продукции базисного
года (1996 г.).
По формуле (5.1) найдем индекс
физического объема
Индекс производительности труда - показывает
изменение объема выпущенной продукции, приходящегося на одного работника.
Индекс производительности труда (
одного рабочего вычисляется по
формуле
|
|
(5.2)
|
где 
, 
- объем выпуска продукции
соответственно базисного и отчетного периодов;

- оптовая цена продукции базисного
года (1996 г.);

среднесписочное число работников за
базисный и отчетный год соответственно.
По формуле (5.2) вычислим индекс
производительности труда одного рабочего
Индекс затрат труда - характеризует
влияние изменения затрат труда на единицу продукции на общее изменение трудоемкости.
В нем будут изменяться затраты труда на единицу продукции, а объемный
показатель фиксируется на уровне отчетного периода. Данный индекс показывает во
сколько раз изменится трудоемкость за счет изменения затрат труда на единицу
продукции
Индекс затрат труда (
вычисляется по формуле:
|
|
(5.3)
|
По формуле (5.3) вычислим индекс затрат труда
Вывод. Объем выпуска двух видов продукции в
среднем уменьшился в 1997 году на 59,05% по сравнению с 1996 годом.
Производительность труда одного рабочего по двум
видам продукции в среднем увеличилась в 1997 году на 51% по сравнению с 1996
годом.
Затраты труда (численность рабочих) по двум
видам продукции в среднем уменьшилась в 1997 году на 59% по сравнению с 1996
годом
ТЕМА 6. ВЫБОРОЧНОЕ НАБЛЮДЕНИЕ
Выборочное наблюдение - это один из видов
несплошного наблюдения, при котором учету подлежит только часть единиц
наблюдаемого явления, и отбор единиц в выборочную совокупность производится по
определенному закону. Статистические характеристики, полученные на основе
выборочного наблюдения - выборочная средняя, выборочная дисперсия и т.д. всегда
отличаются по величине от статистических характеристик генеральной
совокупности, охватывающей все единицы изучаемого явления. [2]
Разница статистических характеристик генеральной
и выборочной совокупности называется ошибкой выборки или репрезентативности и
обозначается:
где хср.генер. и хср.выбор. -
соответственно генеральная и выборочная средние.
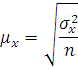
Величина ошибки выборки средней
зависит от
числа наблюдений составляющих выборочную совокупность и дисперсии изучаемого
признака
. Чем больше
величина выборки n тем ошибка выборки меньше. Чем больше дисперсия значений
признака в выборке
тем больше
ошибка выборки. Аналитически это записывается так:
Дисперсию доли, как альтернативного
признака, определяют по формуле:
где w - доля.
Соответственно, ошибка доли
определяется по формуле:
В математической статистике
доказано, что с определенной вероятностью р можно утверждать, что при данной
дисперсии изучаемого признака и числа наблюдений величина ошибки выборки не
превысит определенной заранее заданной величины, называемой предельной ошибкой
выборки
.[4]
Предельную ошибку средней определяют
по формуле:
где t - коэффициент доверия
(отношение предельной и средней ошибки выборки).
Коэффициент доверия определяется по
выписке из таблицы значений функции приведенную в конце настоящих методических
указаний.
Предельную ошибку доли определяют по
формуле:
распределение
индекс выборочная совокупность
В зависимости от способа отбора
единицы в выборочную совокупность различают следующие виды выборки:
индивидуальную, серийную;
случайную, механическую,
типологическую;
повторную, бесповторную.
При бесповторной выборке единица
изучаемого явления может попасть в выборку только один раз, при повторном
способе отбора единица изучаемого явления может попасть в выборку нескольких
раз. Соответственно, ошибка выборки при бесповторном отборе рассчитывается по
формуле:
где N - число единиц в генеральной
совокупности,
при повторном отборе - по формуле:
Задаваясь определенной допустимой
ошибкой выборки
с
вероятностью ошибки р и зная дисперсию изучаемого признака
определяют
число единиц n подлежащих отбору в выборочную совокупность при бесповторном
отборе: [7]
при повторном отборе:
ЗАДАНИЕ 6
Выборочным обследованием было
охвачено 10 000 пассажиров пригородных поездов. На основании этого обследования
установлена средняя дальность поездки пассажира - 40 км. и среднее
квадратическое отклонение - 6 км.
Определить возможные приделы средней
дальности поездки с вероятностью 0,943
Решение:
Выборочное наблюдение - это один из
видов не сплошного наблюдения, при котором учету подлежит только часть единиц
наблюдаемого явления, и отбора единиц в выборочную совокупность производится по
определенному закону.
Разность между показателями
выборочной и генеральной совокупностей называется средней ошибкой выборки и
обозначается 
Величина ошибки выборки средней 
зависит от числа наблюдений
составляющих выборочную совокупность и дисперсии изучаемого признака 
. Чем больше величина n, тем ошибка
выборки меньше. Чем больше дисперсия значений признака в выборке, тем больше
ошибка выборки.
В условиях большой выборки (n≥30)
средняя ошибка выборки определяется по формулам теории вероятностей.
Так, среднюю ошибку выборки при
случайной повторной выборке можно найти по формуле
|
(6.1)
|
|
где 
- дисперсия;- объем выборки
Вычислим среднюю ошибку выборки по
формуле (6.1)
В математической статистике
доказано, что с определенной вероятностью р можно утверждать, что при данной
дисперсии изучаемого признака и числа наблюдений величина ошибки выборки не
превысит определенной заранее заданной величины, называемой предельной ошибкой
выборки 
.
Предельную ошибку выборки определяют
по формуле:
|
(6.2)
|
|
где 
- дисперсия;- коэффициент доверия
(нормированное отклонение), зависящий от доверительной вероятности p.
Таблица 6.1 - Значения коэффициента
доверия
|
Вероятность,
рi
|
0,683
|
0,866
|
0,943
|
0,954
|
0,988
|
0,997
|
0,999
|
|
Значение
t
|
1,0
|
1,5
|
1,9
|
2,0
|
2,5
|
3,0
|
3,5
|
Используя данные из таблицы (6.1) определим
коэффициент доверия, для вероятности 0,943.
При вероятности р=0,943 , коэффициент доверия
t=1,9
Подставим полученные данные в формулу (6.2) и найдем
предельную ошибку выборки
Границы изменения величины в генеральной
совокупности определяются по формуле
|
(6.3)
|
|
Найдем границы изменения величины в генеральной
совокупности по формуле (6.3)
-0,114<M(X)<40+0,114
,886<M(X)<40,114
Вывод. На основании проведенного выборочного
обследования с вероятностью 0,943 можно утверждать, что средняя дальность
поездки находится в пределах от 39,886 км до 40,114 км.
ТЕМА 7. СТАТИСТИКА НАСЕЛЕНИЯ
Население - совокупность лиц, проживающих на
определенной территории.
Естественное движение - изменение численности
населения, которое определяется непосредственно рождениями и смертями и
косвенно - браками и разводами. К числу абсолютных показателей естественного
движения населения относятся:
число родившихся N;
число умерших M;
количество браков В;
количество разводов R;
естественный прирост населения (N-M).
Абсолютные показатели механического движения
населения:
число прибывших Sпр;
число выбывших Sвыб;
сальдо миграции Sпр-Sвыб;
оборот миграционных процессов Sпр+Sвыб.
На основе данных о естественном и
механическом приросте населения может быть исчислен показатель общего прироста
населения
:
Δs=(N-M)+(Sпр-Sвыб)
Абсолютные показатели естественного
и механического движения населения служат для расчета соответствующих
относительных показателей, которые измеряются в промилле (%0), т.е. на 1000
человек. К относительным показателям естественного движения населения
относятся:
)общий коэффициент рождаемости:
где
- средняя за данный период
численность населения (определяется как средняя арифметическая численности на
начало и конец периода);
)коэффициент фертильности:

где: Sф-средняя за данный период
численность женщин в фертильном возрасте (15-49 лет); dф- удельный вес женщин в
фертильном возрасте в общей численности населения;
)коэффициент смертности
4)коэффициент естественного прироста
5)коэффициент жизненности В.И.
Покровского
6)коэффициент брачности
7)коэффициент разводимости
Механическое движение населения
характеризуют следующие относительные показатели:
)коэффициент механического прироста
населения:
2)коэффициент интенсивности прибытия
населения на данную территорию:
3)коэффициент интенсивности выбытия
населения:
4)Коэффициент общего прироста
населения определяется по формуле:
5)Ожидаемая численность населения
через t лет (St) может быть определена по формуле:
=S0(1+kобщ/1000)t
где:S0 - численность населения в
базовом году;- число лет, отделяющих расчетный год от базового. [4]
Различают три вида возрастной
структуры населения:
.Прогрессивный вид структуры
населения, для которой характерно превышение доли возрастной группы 0 - 14 лет
над возрастной группой 50 лет и старше. Такое соотношение ведет к “омоложению”
населения, что связано с увеличением доли экономически активного населения,
ростом рождаемости, брачности, снижения смертности по старости и другими
положительными изменениями демографических показателей.
.Регресивный вид структуры
населения, при котором численность лиц молодого возраста меньше численности
пожилых групп населения, что отражает процесс “старения” населения.
.Стационарный вид структуры
населения, когда численность пожилых групп полностью восполняется численностью
подрастающего поколения и, таким образом, демографические показатели
стабилизируются. [10]
ЗАДАНИЕ 7
Дано:
По данным таблицы определите:
естественный, механический и общий
прирост населения
оборот миграционных процессов
коэффициенты: общие коэффициенты
рождаемости и смертности, коэффициент фертильности, жизненности Покровского,
брачности и разводимости.
численность населения через 5 лет
Таблица 7.1 - Демографические
показатели
|
Показатели
|
Ед.измерения
|
Величина
|
|
Численность
населения на конец года
|
млн
чел
|
148,3
|
|
Число
женщин на 1000 мужчин
|
чел
|
1131
|
|
Доля
женщин в возрасте 15-49 лет в общей численности женщин
|
%
|
41
|
|
Родилось
|
тыс.чел
|
1379,0
|
|
Умерло
|
тыс.чел
|
2129,3
|
|
Прибыло
в страну
|
тыс.чел
|
923,3
|
|
Выбыло
из страны
|
тыс.чел
|
483
|
|
Число
браков
|
тыс
|
1106,7
|
|
Число
разводов
|
тыс
|
663,3
|
Решение:
Естественный прирост населения - превышение
рождаемости над смертностью, то есть разница между количеством родившихся и
количеством умерших за определенный период времени. Вычисляется по формуле
-M (7.1)
где N-число родившихся;
М -число умерших.
По формуле (7.1) найдем естественный прирост
населения за год
- M =1379,0-2129,3= -750,3 (тыс.чел)
Механический прирост населения -
разность между числом прибывших на какую-либо территорию и числом выбывших из
нее за определенный срок. Определяется по формуле (сальдо миграции 
)

(7.2)
где 
-число прибывших в страну,

- число выбывших из страны
По формуле (7.2) найдем естественный
прирост населения за год

(тыс.чел)
Общий прирост населения (
- алгебраическая сумма
естественного и миграционного прироста населения. Вычисляется по формуле

(7.3)
По формуле (7.3) найдем общий
прирост населения за год

(тыс.чел)
Оборот миграционных процессов -
сумма прибывших и убывших. Вычисляется по формуле
(
) (7.4)
По формуле (7.4) найдем оборот
миграционных процессов за год

(тыс.чел)
Общий коэффициент рождаемости (
- это число родившихся за данный
период, разделенное на общее число человеко-лет, прожитых населением за этот
период. Вычисляется по формуле
|
|
(7.5)
|
где 
-средняя за данный период
численность населения.
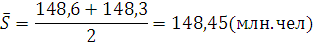
Средняя за данный период численность
населения определяется по формуле
|
|
(7.6)
|
где 
численность населения на начало
года;

численность населения на конец года
Численность населения на начало года
вычислим по формуле
|
|
(7.7)
|
По формуле (7.7) найдем численность населения на
начало года
Подставим полученное значение в формулу (7.6) и
вычислим среднюю численность населения
Полученное среднее значение подставим в формулу
(7.5)

|
|
(7.8)
|
Вычислим общий коэффициент смертности по формуле
(7.8)
Коэффициент фертильности (
- коэффициент, выражающий отношение
числа рождений к численности женщин репродуктивного возраста. Вычисляется по
формуле
|
|
(7.9)
|
По формуле (7.9) вычислим коэффициент
фертильности
Коэффициент жизненности Покровского
(
вычисляется по формуле
|
|
(7.10)
|
По формуле (7.10) вычислим коэффициент
жизненности Покровского
Коэффициент брачности (
вычисляется по формуле
|
|
(7.11)
|
По формуле (7.11) вычислим коэффициент брачности
Коэффициент разводимости вычисляется по формуле
|
|
(7.12)
|
По формуле (7.12) вычислим коэффициент
разводимости
Численность населения через 5 лет (
рассчитывается по формуле
|
|
(7.13)
|
где 
численность в базовом году;- число
лет, отделяющий расчетный год от базового;

- коэффициент общего прироста населения
за период, предшествующий плановому.
Коэффициент общего прироста
населения вычисляется по формуле
|
|
(7.14)
|
По формуле (7.14) вычислим коэффициент общего
прироста населения
Подставим полученное значение в формулу (7.13)
ЗАДАНИЕ 7.2
Дано:
Таблица 7.2.1 - Распределение населения по
возрастным группам, тыс.чел.
|
Возрастные
группы
|
Величина
|
|
Все
население в т.ч. В возрасте, лет
|
117534
|
|
0-4
|
13353
|
|
5-9
|
12415
|
|
10-14
|
8502
|
|
15-19
|
8975
|
|
20-24
|
11552
|
|
25-29
|
10591
|
|
30-34
|
11103
|
|
35-39
|
6423
|
|
40-44
|
6177
|
|
45-49
|
7167
|
|
50-54
|
5965
|
|
55-59
|
4751
|
|
60-64
|
3589
|
|
65-69
|
2664
|
|
70
и старше
|
4303
|
Определить тип возрастной структуры и изобразить
ее графически. Охарактеризовать демографическую ситуацию по приведенным данным.
Решение:
Рассчитаем удельный вес каждой группы в общей
численности населения:
Полученные данные занесем в таблицу 7.2.2
Таблица 7.2.2 - Распределение населения по
возрастным группам и их доля в общей численности
|
Возрастные
группы
|
Вариант
|
Доля
населения,%
|
|
9
|
|
|
Все
население в т.ч. В возрасте, лет
|
117534
|
100
|
|
0-4
|
13353
|
11,36
|
|
5-9
|
12415
|
10,56
|
|
10-14
|
8502
|
7,23
|
|
15-19
|
8975
|
7,64
|
|
20-24
|
11552
|
9,83
|
|
25-29
|
10591
|
9,01
|
|
30-34
|
11103
|
9,45
|
|
35-39
|
6423
|
5,46
|
|
40-44
|
6177
|
5,26
|
|
45-49
|
7167
|
6,10
|
|
50-54
|
5965
|
5,08
|
|
55-59
|
4751
|
4,04
|
|
60-64
|
3589
|
3,05
|
|
65-69
|
2664
|
2,27
|
|
70
и старше
|
4303
|
3,66
|
Определим виды структуры населения:
Молодежь от 0 до 14 лет
11,36+10,56+7,23=29,16 (%)
Пожилые 50 и старше
5,08+4,04+3,05+2,27+3,66=18,1(%)
Графическое изображение возрастной структуры
населения представлено на рис. 7.2.1 (приложение Д)
Вывод: Расчеты показали, что данная
структура населения имеет прорегрессивный вид, где число лиц молодого возраста
больше численности пожилых групп населения. Такое соотношение говорит о
тенденции к «омоложению» населения, что связано с увеличением доли экономически
активного населения, ростом рождаемости, брачности, снижением смертности по
старости и другими положительными изменениями демографических показателей.
ТЕМА 8. СИСТЕМА НАЦИОНАЛЬНЫХ СЧЕТОВ
Система национальных счетов (СНС) -
это согласованный на международном уровне стандартный набор рекомендаций по
исчислению показателей экономической деятельности в соответствии с четкими
правилами ведения счетов и учета на макроуровне, основанными на принципах экономической
теории.
Система национальных счетов - это
система взаимосвязанных показателей и классификаций (например, в виде таблиц),
применяемая для описания и анализа макроэкономических процессов страны в
условиях рыночной экономики. СНС связываете важнейшие макроэкономические
показатели: объемы выпуска товаров и услуг, совокупные доходы и расходы. Также
она позволяет представить ВВП(ВНП) на всех основных стадиях: производство
<#"821529.files/image335.gif">.
В задании 4 я изучила тенденции
изменения показателей, произведя сглаживание ряда динамики тремя способами
(метод укрупнения интервалов, метод усреднения по левой и правой половине,
метод скользящей средней) изобразила графически фактические и сглаженные уровни
ряда и сделала выводы о характере общей тенденции показателей, проведя линию
тренда.
В задании 5 я определяла индексы,
т.е. относительные показатели, характеризующие изменение уровня сложного
общественного явления во времени и его соотношение в пространстве. Различают
индивидуальные и сводные индексы.
В задании 6 решила задачу по
выборочному наблюдению (один из видов несплошного наблюдения, при котором учёту
подлежит только часть единиц наблюдаемого явления, и отбор единиц в выборочную
совокупность производится по определённому закону).
В задании 7 я определила основные
показатели статистики населения и определила тип возрастной группы.
В задании 8 я провела экономический
анализ заполненных счетов по данным своего варианта, рассчитала валовой
внутренний продукт тремя методами, определила величину национального дохода и
норму сбережения.
В целом я изучила 8 разделов
дисциплины «Статистика»: средние величины; ряды распределения и их основные
характеристики; показатели ряда динамики, индексы сезонности; методы
выравнивания рядов динамики; индексы, выборочное наблюдение, статистика
населения и система национальных счетов.
СПИСОК ЛИТЕРАТУРЫ
Общая
теория статистики: Учеб./ Под ред. К.В. Балдина. Издательство: Дашков и К,
2009.
Общая
теория статистики: Учеб./ Под ред. М.Г. Назаровой.- Макс пресс, 2010.
Статистика:
Курс лекции/ А.А.Денисова- Екатеринбург: УрГУПС, 2011.
Теория
статистики: Учеб./ Под ред. С.Е. Казариновой. издательство: Макс пресс, 2009 .
Статистика
в Excel: Учеб. пособие./ Под ред. Макаровой Н. В., Трофимец В. Я. - М.: Финансы
и статистика, 2010.
<#"821529.files/image336.gif">
ПРИЛОЖЕНИЕ Б
ПРИЛОЖЕНИЕ В
ПРИЛОЖЕНИЕ Г
ПРИЛОЖЕНИЕ Д