Модели стационарных временных рядов

  • Вид работы:
    Курсовая работа (т)
  • Предмет:
    Менеджмент
  • Язык:
    Русский
    ,
    Формат файла:
    MS Word
    138,22 Кб
  • Опубликовано:
    2014-06-22
Вы можете узнать стоимость помощи в написании студенческой работы.
Помощь в написании работы, которую точно примут!

Модели стационарных временных рядов















КУРСОВАЯ РАБОТА

по курсу: Эконометрика

на тему: МОДЕЛИ СТАЦИОНАРНЫХ ВРЕМЕННЫХ РЯДОВ





 








СОДЕРЖАНИЕ

Введение

. Модели стационарных временных рядов

1.1 Особенности стационарных временных рядов и тесты на стационарность

2. Параметрические тесты стационарности

2.1 Тестирование математического ожидания

.2 Тестирование дисперсии

.3 Тестирование коэффициентов автокорреляции

3. Непараметрические тесты стационарности

3.1 Тест Манна-Уитни

.2 Тест Сиджела-Тьюки

.3 Тест Вальда-Вольфовитца

4. Практическое задание

Заключение

Список использованных источников

ВВЕДЕНИЕ


Существующие модели временных рядов широко используются в процессе изучения динамики реальных явлений различной природы. Они зачастую применяются в исследованиях динамики грузо - и пассажиропотоков, товарных и складских запасов, миграционных процессов, анализе химических процессов, моделировании разнообразных природных событий. Наиболее активно модели временных рядов применяются в анализе финансовых рынков, при оценке изменений финансовых показателей, прогнозировании цен на различные товары, курсов акций, соотношений курсов валют и т. п.

Широкий круг реальных общественных и естественных процессов обычно может быть представлен набором последовательных значений оцениваемого показателя у1, у2,..., уt,..., уТ, которые фиксируются в определенные моменты времени t=1,2,... Т, так что интервал (t, t+1) является постоянным. Указанный набор значений уt, t=1,2,... обычно называется временным рядом (временной серией). Такой ряд представляет собой дискретный временной процесс.

Изменения значений уt во времени в реальной жизни обычно происходят под воздействием каких-либо причин, факторов. Однако их многообразие, сложность измерения, неопределенность в предположениях о существовании взаимосвязей с переменной у значительно затрудняет обоснование и построение «подходящей» для описания процесса уt, t=1,2,... многофакторной эконометрической модели классического типа. Поэтому часто выдвигается предположение о том, что совокупное влияние этих факторов формирует внутренние закономерности в отношении процесса уt.

Такое предположение направлено на применение для описания реальных временных процессов эконометрических моделей из специфического класса моделей временных рядов.

1. МОДЕЛИ СТАЦИОНАРНЫХ ВРЕМЕННЫХ РЯДОВ


1.1 Особенности стационарных временных рядов и тесты на стационарность


Все модели временных рядов имеют общее свойство, которое основано на предположении значительной зависимости текущего значения уровня показателя yt от его предыстории. Иными словами уровень показателя yt генерируется значениями yt-1, yt-2,... на базе характерных для данного временного ряда закономерностях.

Указанное допущение выражается общим уравнением:

yt = f(yt-1, yt-2, …) + et  (1.1)

где et - ошибка модели в момент t.

Здесь функция f отражает характер взаимосвязей, существующих в рассматриваемом временном ряду уt, t=1,2,... Удачный подбор функции f обусловливает высокую степень приближения правой «детерминированной» части выражения (1.1) к реальным значениям ряда. Степень этого приближения обычно характеризуется оценками и свойствами ошибки ряда et, t=1,2,... в данном случае имеется в виду, прежде всего минимальная дисперсия, соответствие белому шуму и т. п.

Для широкого круга процессов функция f имеет линейный вид. Например,

yt = а1yt-1 + аnyt-n + et.

Линейные модели временных рядов применяются, как правило, для описания стационарных процессов, при этом имеются в виду стационарные процессы второго порядка. У стационарного процесса n-го порядка значения всех своих моментов порядка n и ниже на всех временных отрезках, входящих в интервал t=1,2,..., Т отличаются постоянством. Строго стационарные процессы отличаются тем, что у них моменты всех порядков постоянны. Из сказанного следует, что для любых двух интервалов времени (Т1, Т2) и (Т3, Т4) для стационарного процесса второго порядка уt должны выполняться условия:

равенство математических ожиданий;

равенство дисперсий;

равенство однопорядковых коэффициентов автокорреляций.

Математически данные условия выражаются соотношениями:

(1.2)

(1.3)

(1.4)

где - оценки математических ожиданий;

D1(y), D2(y) - оценки дисперсий;

- оценки коэффициентов автокорреляции i-го порядка процесса уt на 1-ом и на 2-ом интервалах соответственно;

- среднее значение процесса (оценка математического ожидания) на интервале (1,Т); (y) - оценка дисперсии процесса на интервале (1,Т).

При реальном изучении стационарных временных рядов равенства (1.2)-(1.4) рассматриваются в статистическом смысле. Это дает основания утверждать, что даже при неполном соответствии равенство  гипотеза о постоянстве математического ожидания процесса уt может быть принята в случае удовлетворения значений  и  определенному статистическому критерию.

С целью проверки соответствия временного ряда уt, t=1,2,... стационарному процессу и выполнимости условий (1.2)-(1.4) применяются различные тесты. Если результаты одного из них не дают возможности утверждать об истинности или ложности выдвинутой гипотезы, то может возникнуть необходимость использовать несколько тестов для проверки одного и того же условия.

Всю совокупность тестов на стационарность временных рядов можно разделить на три основные группы: непараметрические, полупараметрические и параметрические тесты.

Непараметрические тесты не выдвигают заранее каких-либо сведений о законе распределения тестируемого временного ряда, его параметрах. Они основаны на изучении взаимосвязей между порядками следования образующих его значений, позволяют выявить наличие или отсутствие закономерностей в продолжительности и (или) чередовании их серий, образованных, например, последовательностями единиц совокупности с одинаковыми знаками, сменой знаков у этих единиц и т.п.

В полупараметрических тестах используются относительно слабые предположения о характере распределения значений временного ряда. Они отражают общие свойства функции распределения приростов значений ряда - симметричности, расположения квантилей.

При использовании методов этой группы оценки параметров распределения оцениваются по порядковым статистикам: среднее по медиане, среднеквадратическое отклонение - по размаху уровней ряда и т. п.

Параметрические тесты используют при относительно строгих предположениях о законе распределения временного ряда и его параметров. Данные тесты позволяют оценить степень приближенности эмпирических (наблюдаемых) характеристик распределения временного ряда к рассчитанным теоретическим уровням.

Именно эта степень приближенности позволяет принять или отвергнуть гипотезу о соответствии свойств рассматриваемого ряда стационарному процессу.

2. ПАРАМЕТРИЧЕСКИЕ ТЕСТЫ СТАЦИОНАРНОСТИ


.1 Тестирование математического ожидания

При проверке гипотезы о постоянстве математического ожидания, интервал времени (1,Т) (и соответственно временной ряд уt, t=1,2,...Т) разбивается на две части, не обязательно одинаковые по количеству содержащихся в них значений уt, с количеством наблюдений Т1 (t=1,2,..., Т1) и Т2 (t=Т1+1,..., Т), Т2=Т-Т1.

Для каждой из частей определяются оценки  и ,  и  - выборочных математического ожидания и дисперсии переменной уt соответственно. Далее рассчитывается значение критерия Стьюдента по формуле:

 

если предполагается, что значения дисперсий на этих участках не равны между собой, т. е. ,

и по формуле


если  

Если оказывается справедливым неравенство

t < t* ( р* ,n), (2.3)

где р* - заданный уровень доверительной вероятности (р*=0,95; 0,97...); n=Т12-2 - число степеней свободы;

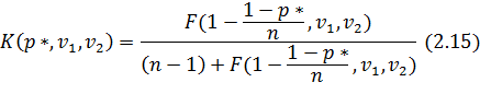
t**,n) - критическое значение критерия Стьюдента, соответствующее значениям р* и n. то гипотезу о постоянстве математического ожидания процесса уt целесообразно принять. Вероятность ошибки такого решения при этом составляет 1-р*. В противном случае, т. е. при t>t**,n), эта гипотеза отвергается.

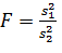
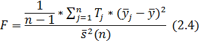
Для большей достоверности вывода о постоянстве математического ожидания временного ряда уt, t=1,2,...,Т интервал наблюдений разделяется на несколько частей (если количество наблюдений достаточно велико). В этом случае проверяется гипотеза о равенстве оценок средних значений ряда, рассчитанных на этих частях. Для этих целей используется критерий Фишера. Его расчетное значение в тесте определяется как отношение взвешенной суммы квадратов отклонений этих оценок от средней временного ряда в целом к средней дисперсии временного ряда:


где n - число частей разбиения интервала (1,Т);

Тj - число измерений переменной уt на j-й части; j=1,2,..., n;

- среднее значение временного ряда в целом;

 - средняя дисперсия, значение которой рассчитывается на основании следующей формулы:


Где  - дисперсия, рассчитанная на j-й части интервала (1,Т).

Если оказывается справедливым соотношение

F<F(р*,n1,n2), (2.6)

где F(р*,n1,n2) - табличное значение критерия Фишера для уровня доверительной вероятности p* и числе степеней свободы n1=n-1, n212+...+Тn-n то гипотеза о постоянстве математического ожидания временного ряда на всем интервале (1,Т) принимается с вероятностью р*. В противном случае она отвергается.

.2 Тестирование дисперсии

Проверка гипотезы о постоянстве дисперсии временного ряда уt, t=1,2,...,Т в случае разбиения исходного интервала на две части осуществляется с использованием двухстороннего критерия Фишера. Обязательным условием при этом также является нормальный закон распределения значений уt .

Расчетное значение критерия Фишера определяется по следующей формуле:

 (2.7)

где  и  - оценки дисперсии ряда на первой и второй частях соответственно с числом измерений Т1 и Т2.

Если для заданного уровня доверительной вероятности р* оказывается, что значение F удовлетворяет неравенству


то гипотеза о постоянстве дисперсии временного ряда может быть принята, т. е. предположение о том, что  является обоснованным с вероятностью р*.

В выражении (2.8) значения  и являются табличными (левосторонним и правосторонним) значениями критерия Фишера, соответствующими вероятности ошибки второго рода  с числом степеней свободы 1-1 и 2-1. Эти значения удовлетворяют следующему соотношению:


Вследствие этого обычно проверяется только соотношение:


при условии, что .

При средних (Т£100) и больших (Т>100) объемах временного ряда вместо критерия Фишера для проверки гипотезы о постоянстве его дисперсии используется стандартизованное нормальное распределение. В первом случае, т. е. при средних выборках, принимается во внимание, что закону N(0,1) подчиняется случайная величина, определяемая как


Во втором случае (при больших выборках) расчетное значение стандартизованной случайной величины оценивается следующим образом:

 ) (2.12)

В обоих случаях, если оказывается справедливым соотношение

|F|<F(р*), (2.13)

где F(р*) - табличное значение стандартизованного нормального закона, соответствующего доверительной вероятности р*то гипотеза о постоянстве дисперсии принимается.

При разбиении временного ряда уt, t=1,2,...,Т на несколько частей (п>2) для проверки гипотезы о постоянстве дисперсий используется критерий Кокрена, основанный на распределении Фишера. Он обычно применяется в предположении, что объемы этих частей равны между собой, т. е. Т12=... =Тп=N. Расчетное значение этого критерия определяется по следующей формуле:

 (2.14)

где   

Табличное значение критерия Кокрена, соответствующее заданной доверительной вероятности и числам степеней свободы n1=п и n2=Т-1, определяется на основании табличного значения F-критерия следующим образом:


где p* - уровень доверительной вероятности, - табличное значение критерия Фишера, выбранное для уровня доверительной вероятности  и числа степеней свободы n1=N-1 и n2=(п -1)×n1.

Если оказывается справедливым соотношение

К< К(p*, п,n1), (2.16)

то гипотеза о постоянстве дисперсии временного ряда уt, t=1,2,..., Т принимается с вероятностью p*.

Более мощным по сравнению с критерием Кокрена, но и одновременно более чувствительным по отношению к отклонениям от нормального вида закона распределения значений временного ряда уt, t=1,2,...,Т является критерий Бартлетта. Этот критерий обычно используется при проверке гипотезы о постоянстве дисперсии нормально распределенного ряда при разбиении на интервале (1,Т) на число частей, превышающее два.

Критерий Бартлетта основан на использовании распределения Пирсона - c2. Согласно этому критерию случайная величина l, рассчитанная на основе следующего выражения:


Где n - оценка дисперсии на i-м интервале;

 - средняя дисперсия на п интервалах;

ni=Ti-1 - число степеней свободы на i-м интервале.

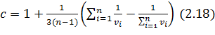
Величина с рассчитывается согласно следующей формулы:

 

При больших значениях ni , с »1.

Для частного случая, когда n1=n2=...=nn=n и, таким образом, =T-n,


где с=1+[(n+1)/3k×n].

Если расчетное значение l не превышает табличного значения c2(p*,n), где p* - уровень доверительной вероятности и n=п-1 - число степеней свободы, то гипотеза о равенстве дисперсий s12 =s22=...=s2 на рассматриваемых частях временного интервала (1,Т), т. е. гипотеза о постоянстве дисперсии временного ряда уt, t=1,2,..., Т принимается. В противном случае, когда l³c 2 (p* , п -1), эта гипотеза отвергается.

.3 Тестирование коэффициентов автокорреляции

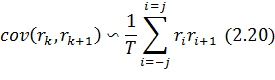
Для проверки гипотезы о постоянстве коэффициентов автокорреляции используются те же процедуры (критерии), что и для проверки аналогичных гипотез для средних (автокорреляция) и дисперсии (автоковариация). К результатам такой проверки следует относиться с определенной осторожностью, особенно при использовании критерия Стьюдента. Это обусловлено тем, что дисперсии выборочных коэффициентов автокорреляции определяются с достаточно большой погрешностью, которая увеличивается с ростом значений самого коэффициента автокорреляции. Рост погрешности вызван, прежде всего, усиливающимися в этой ситуации несимметричностью закона распределения выборочного коэффициента автокорреляции и его расхождением с нормальным распределением. Увеличивает погрешность и возрастающая с увеличением значений выборочных коэффициентов автокорреляции ковариационная связь между ними. В частности, Бартлетт показал, что между парами выборочных коэффициентов автокорреляции существует достаточно сильная статистическая связь. Ее величина при больших задержках приблизительно может быть оценена на основании следующего выражения:


где ri - значений i-го выборочного коэффициента автокорреляции.

Наличие такой связи может вносить существенные смещения в оценки значений, как самих коэффициентов автокорреляции, так и в их дисперсии.

В общем случае, величина дисперсии коэффициента автокорреляции может быть оценена с использованием формулы Бартлетта:


где индекс j зависит от длины ряда Т.

Его величина определяется требованием статистической достоверности используемых в выражении (2.21) значений коэффициентов автокорреляции, в первую очередь, значений .

Для реальных временных рядов автокорреляционная функция часто имеет вполне определенный вид. Коэффициенты автокорреляции могут быть равны нулю после некоторой задержки, т. е. ri=0, i>k, затухать по экспоненте, rk=rik. В последнем случае, например, дисперсия первого коэффициента автокорреляции может быть определена приблизительно по следующей формуле:


При небольших значениях коэффициента автокорреляции его распределение является приблизительно нормальным. Его дисперсия в этом случае может быть приблизительно оценена по следующей формуле:


где индексы k принадлежат приближающимся к нулю коэффициентам автокорреляции после некоторой задержки q.

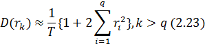
В практических расчетах используют упрощенную формулу дисперсии коэффициентов, имеющую следующий вид:


Выражения (2.23) и (2.24) могут быть применены при определении значимости (отличности от нуля) коэффициентов автокорреляции с использованием критерия Стьюдента. Его значение рассчитывается на основании следующей формулы:

 


3. НЕПАРАМЕТРИЧЕСКИЕ ТЕСТЫ СТАЦИОНАРНОСТИ


Параметрические критерии проверки стационарности достаточно неудобны в практических исследованиях и весьма ограничены в применении из-за своих достаточно строгих предположений относительно нормальности закона распределения временного ряда уt, t=1,2,... . Они требуют значительных вычислений.

На практике при проверке свойств стационарности процессов часто используются непараметрические критерии, которые не имеют подобных ограничений по закону распределения временного ряда уt, да и не столь сложны по своим вычислениям.

.1 Тест Манна-Уитни (тестирование математического ожидания)

Вместо критерия Стьюдента может быть использован непараметрический критерий Манна-Уитни (критерий и*). Он чуть слабее критерия Стьюдента в случае временных рядов с нормальным распределением, однако, имеет неоспоримые преимущества по сравнению с параметрическими критериями в случае, если распределение временного ряда отличается от нормального.

Критерий и* применяется для проверки идентичности распределений двух совокупностей (в нашем случае, временных последовательностей одного временного ряда уt, определенных на разных временных частях интервала t=1,..., Т).

Предположим, что первая совокупность образована Т1 последовательными значениями уt, а вторая - Т2 его последовательными значениями, и эти последовательности не пересекаются.

Все значения этих совокупностей объединяются в один ряд, в котором они располагаются в порядке возрастания с первого по (Т12)-й вне зависимости от принадлежности к той или иной последовательности. Вместе с тем, в этой единой последовательности символом у1 отмечаются элементы первой последовательности, а символом у2 - второй. В результате формируется структурный временной ряд, состоящий из Т12 элементов, в котором символы у1 1 элементов) и символы у2 2 элементов) оказываются перемешанными между собой.

Логика теста состоит в следующем. Если ряд стационарный, то последовательности у1 и у2 практически не отличаются одна от другой и их элементы перемешаны между собой. При этом появление каждой из возможных структур имеет равную вероятность. Если же ряд отличается от стационарного, то общая последовательность будет разделена на более или менее однородные массивы, состоящие в основном из единиц той или иной совокупности.

Тест Манна-Уитни осуществляет проверку гипотезы о стационарности временного ряда уt на основе расчета статистики и* (значения критерия), представляющей собой число случаев, когда элементы из совокупности у1 предшествуют элементам совокупности у2.

Значение и* рассчитывается либо через сумму рангов элементов первой совокупности, либо через сумму рангов элементов второй совокупности, с которыми оно связано следующими соотношениями:


где R1 и R2 - суммы рангов элементов первой и второй совокупностей соответственно, определяемых по их общей последовательности.

Для больших последовательностей (Т>50; 100) случайная величина и* распределена по нормальному закону с математическим ожиданием


и дисперсией

 

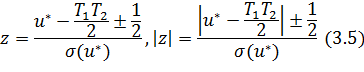
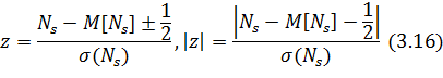
Таким образом, случайная величина z, определяемая как


является нормированной величиной с нулевым средним и единичной дисперсией, распределенной по стандартизованному нормальному закону, z~N(0,1).

В формуле (3.5) поправка 1/2 вводится для обеспечения непрерывности величины z.

Она прибавляется, если z<0, и вычитается, при z>0.

Если обе совокупности идентичны, и их элементы будут перемешаны между собой, то можно ожидать, что значения и* будут находиться недалеко от своего среднего уровня (соответственно z - около нуля). Гипотеза о стационарности процесса уt, t=1,2,..., Т в этом случае может быть принята с доверительной вероятностью p*, если будет выполнено следующее неравенство:

 (3.6)

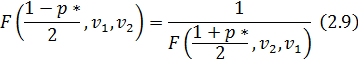
где х1 и х2 определяются из следующего равенства:

 

где

В частности, при p*=0,95, расчетное значение z должно находиться в следующем интервале: -1,96£ z£1,96.

.2 Тест Сиджела-Тьюки

Вместо параметрического критерия Фишера (F-критерия) для проверки гипотезы о постоянстве дисперсии временного ряда уt на интервале t=1,2,...,Т используется непараметрический критерий Сиджела-Тьюки, который также основан на сопоставлении рангов элементов двух совокупностей из рассматриваемого интервала.

Исходный временной ряд уt, t=1,2,...,Т центрируется, т. е. определяются значения , где  - среднее значение ряда уt. Далее интервал (1,Т) разделяется на две части (желательно равные), так что на первой из них располагаются элементы первой центрированной совокупности у1, а на второй - элементы второй совокупности - у2. Далее элементы из двух центрированных совокупностей у1 и у2 объединяются в одной таблице с запоминанием “своей совокупности” согласно следующему правилу ранжирования:

·        Ранг 1 приписывается наименьшему отрицательному значению, которое располагается на первом месте вверху таблицы.

·        Ранг 2 приписывается наибольшему положительному значению, которое располагается на последнем месте внизу таблицы.

·        Ранг 3 приписывается значению, следующему за наименьшим, которое располагается на втором месте вверху таблицы.

·        Ранг 4 - значению, следующему за наибольшим, которое располагается в таблице на втором месте снизу. Ранг 5 приписывается третьему по порядку наименьшему значению. Оно располагается в таблице на третьем месте сверху.

·        Ранг 6 приписывается третьему по порядку наибольшему значению, которое располагается на третьем месте таблицы снизу и т. д.

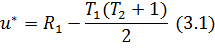
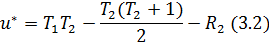
Рассчитанная на основе этих рангов случайная величина w* оказывается приблизительно распределенной по нормальному закону с математическим ожиданием, оцениваемым как


и дисперсией


где R1 - сумма рангов элементов первой совокупности у1,

Т12 - количество элементов в первой и второй совокупности соответственно.

Из выражений (3.8) и (3.9) следует, что нормированная случайная величина z, определяемая как


Гипотеза о равенстве дисперсий рассмотренных совокупностей принимается, если для z удовлетворяется соотношение (3.6).

3.3 Тест Вальда-Вольфовитца

Для проверки гипотезы о стационарном характере процесса (имеется в виду стационарность второго порядка) может быть использованы достаточно универсальные относительно закона распределения значений ряда уt, t=1,2,..., Т непараметрические тесты, основанные на анализе закономерностей серий этих значений (сериальные критерии). Необходимым условием их применения является достаточно большой объем временного ряда, что позволяет с определенной обоснованностью считать обнаруженные закономерности устойчивыми (характерными для данного ряда). При этом серией называют последовательность значений, предшествующая или следующая за некоторым значением, характерный признак которого отличается от признака элементов, входящих в серию. В качестве такого признака часто рассматривается расположение элемента последовательности относительно ее медианы. В этом случае серии с положительным знаком образуют элементы по уровню выше медианы, и серии с отрицательным знаком - элементы, чей уровень не превосходит медианы. Здесь следует иметь в виду, что один элемент - это тоже серия.

Примером сериального критерия является критерий Вальда-Вольфовитца, основанный на подсчете общего числа серий. Среднее значение числа серий определяется согласно следующему выражению:


а его дисперсия - согласно формуле


где N1 - количество элементов с положительным знаком;2 - количество элементов с отрицательным знаком;1+N2=Т - количество элементов во временном ряду. Ns - число серий.

При большом объеме временного ряда Т нормированная переменная z , определяемая как


В этом случае для проверки гипотезы о стационарности используется двухсторонний критерий (3.6).

4. ПРАКТИЧЕСКОЕ ЗАДАНИЕ

В таблице 1 приводятся данные о размерах запасов компании А.

Таблица 4.1

наблюдение

наблюдение

наблюдение

1

235

21

255

41

240

2

320

22

285

42

275

3

115

23

250

43

225

4

355

24

300

44

285

5

190

25

225

45

250

6

320

26

285

46

310

7

275

27

250

47

220

8

205

28

225

48

320

9

295

29

125

49

215

10

240

30

295

50

260

11

355

31

250

51

190

12

175

32

355

52

295

13

285

33

280

53

275

14

200

34

370

54

205

15

290

35

250

55

265

16

220

36

290

56

245

17

400

37

225

57

170

18

275

38

270

58

175

19

185

39

180

59

270

20

370

40

270

60

225


Требуется: 1. Провести тестирование ряда на постоянство математического ожидания и дисперсии с помощью параметрических тестов на основе: А) критерия Стьюдента;

Б) критерия Фишера;

В) критерия Кокрена;

Г) критерия Бартлетта.

. Провести тестирование ряда на постоянство математического ожидания и дисперсии с помощью следующих непараметрических тестов:

А) Манна-Уитни;

Б) Вальда-Вольфовитца;

В) Сиджела-Тьюки.

Решение:

.

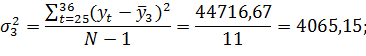
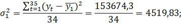
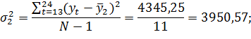
А) Ряд разбивается на две части, в первую из которых войдут наблюдения с 1 по 35, а во вторую - с 36 по 60.

Определение математических ожиданий:


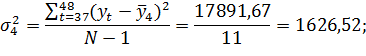
Расчет дисперсий:


Расчетное значение критерия Стьюдента определяется по формуле:


Так как  то гипотеза о постоянстве математического ожидания принимается.

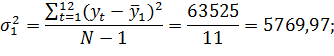
Б) Расчет отношения дисперсий:


Полученное значение сравнивается с табличным значением критерия Фишера с 34 и 24 степенями свободы.

)

Из данного неравенства следует, что гипотеза о постоянстве дисперсии отвергается с вероятностью ошибиться 0,05.

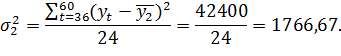
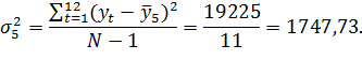
В) Разбиваем ряд на пять равных по количеству наблюдений подвыборок. N - число наблюдений в подвыборке (N = 12). Для каждой из подвыборок рассчитывается дисперсия.


Статистика критерия Кокрена определяется следующим образом:

Расчет критического значения:

Поскольку расчетное значение меньше критического значения, нельзя отвергнуть гипотезу о постоянстве дисперсии.

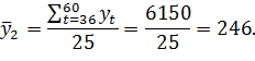
Расчет средних значений для подвыборок:

Расчет дисперсий:

Расчет общей дисперсии:

Расчет критерия Бартлетта:



Статистика критерия Бартлетта имеет распределение  с 2 степенями свободы. 6,083<7,378=(0,975;2), поэтому гипотеза о постоянстве дисперсии принимается.

.

А) Для проведения теста Манна-Уитни данные делятся на две подвыборки, в первую из которых войдут наблюдения с 1 по 35, а во вторую - с 36 по 60. Элементы выборки сортируются по возрастанию, запоминая, к какой из подвыборок они относятся (табл.2).

стационарный временный ряд математический

Таблица 4.2

Отсортированные значения ряда

Принадлежность к подвыборке

Ранги критерия Манна-Уитни

Ранги критерия Сиджела-Тьюки

115

1

1

1

125

1

2

3

170

2

3

5

175

1

4

7

175

2

5

9

180

2

6

11

185

1

7

13

190

1

8

15

190

2

9

17

200

1

10

19

205

1

11

21

205

2

12

23

215

2

13

25

220

1

14

27

220

2

15

29

225

1

16

31

225

1

17

33

225

2

18

35

225

2

19

37

225

2

20

39

235

1

21

41

240

1

22

43

240

2

23

45

245

2

24

47

250

1

25

49

250

1

26

51

250

1

27

53

250

1

28

55

250

2

29

57

255

1

30

59

260

2

31

60

265

2

32

58

270

2

33

56

270

2

34

54

270

2

35

52

275

1

36

50

275

1

37

48

275

2

38

46

275

2

39

44

280

1

40

42

285

1

41

40

285

1

42

38

285

1

43

36

285

2

44

34

290

1

45

32

290

2

46

30

295

1

47

28

295

1

48

26

295

2

49

24

300

1

50

22

310

2

51

20

320

1

52

18

320

1

53

16

320

2

54

14

355

1

55

12

355

1

56

10

355

1

57

8

370

1

58

6

370

1

59

4

400

1

60

2


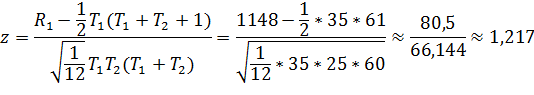
Сумма рангов для элементов первой подвыборки равна 1148.


Статистика критерия Манна-Уитни имеет стандартное нормальное распределение. Значение квантиля стандартного нормального распределения для уровня значимости α=0,05 равно 1,96. Так как -1,96≤z≤1,96, то нулевая гипотеза о постоянстве математического ожидания не отклоняется.

Б) При тестировании по критерию Вальда-Вольфовитца, производится сортировка всех элементов выборки по их возрастанию и определяется медиана:

Возвращаясь к исходному ряду, рассчитывается разность между каждым элементом и медианой. Напротив элемента меньшего медианы ставится знак « - », в противном случае - «+».

Полученные данные записываем в таблицу 3:

Таблица 4.3

1-

2+

3-

4+

5-

6+

7+

8-

9+

10-

11+

12-

13+

14-

16-

17+

18+

19-

20+

21-

22+

23-

24+

25-

26+

27-

28-

29-

31-

32+

33+

34+

35-

36+

37-

38+

39-

40+

41-

42+

43-

44+

46+

47-

48+

49-

50+

51-

52+

53+

54-

55+

56-

57-

58-

59+


Общее число серий v=51, протяженность самой длинной серии . Рассчитаем:



Так как v>[23,47]=23, а , то согласно критерию Вальда-Вольфовитца нельзя отклонить гипотезу о постоянстве математического ожидания.

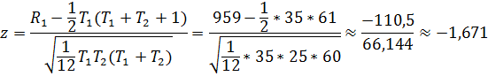
В) По критерию Сиджела-Тьюки выборка разбивается на две подвыборки, в первую из которых входит 35 наблюдений, во вторую - 25. Элементы всей выборки сортируются в порядке возрастания. Ранги составляются следующим образом: 1 - наименьшему элементу, 2 - наибольшему, 3 - следующему за наименьшим, 4 - следующему за наибольшим и т.д.

Просуммируем ранги, присвоенные элементам первой подвыборки, получим 959. Рассчитаем:


Статистика критерия Сиджела-Тьюки имеет стандартное нормальное распределение. Значение квантиля стандартного нормального распределения для уровня значимости α=0,05 равно 1,96. Так как -1,96≤z≤1,96, то нулевая гипотеза о постоянстве дисперсии не отклоняется.

ЗАКЛЮЧЕНИЕ


В настоящее время в эконометрической науке значительное внимание уделяется анализу экономических временных рядов. Это вызвано тем, что далеко не всегда значения временного ряда формируются под воздействием некоторых факторов.

Зачастую протекание разных процессов определяется его внутренними закономерностями, а отклонения от детерминированного процесса вызываются наличием ошибок при измерениях или случайными флуктуациями.

Для оценки поведения временных рядов основной аспект заключается в точном описании и адекватном моделировании их структуры.

Цели таких исследований гораздо шире собственно моделирования, хотя модель временного ряда способна предоставить определенную информацию. Основываясь на рассчитанных параметрах модели можно делать предположения и строить гипотезы о выполнении тех или иных экономических законов (скажем, закона паритета покупательной способности).

Построенная модель временного ряда, как правило, применяется для экстраполяции или прогнозирования временного ряда, и тогда качество прогноза может служить полезным критерием при выборе среди нескольких моделей.

Построение моделей временного ряда хорошего качества необходимо и для других приложений, таких, как корректировка сезонных эффектов и сглаживание. Наконец, построенные модели могут использоваться для статистического моделирования длинных рядов наблюдений при исследовании больших систем, для которых временной ряд рассматривается как входная информация.

СПИСОК ИСПОЛЬЗОВАННЫХ ИСТОЧНИКОВ


1.      Кремер Н. Ш., Путко Б. А. Эконометрика: Учебник для вузов. - М.: ЮНИТИ-ДАНА, 2008

.        Практикум по эконометрике: Учебн. пособие / Под ред. И.И. Елисеевой. - М.: Финансы и статистика, 2009

.        Тихомиров Н.П., Дорохина Е.Ю. Эконометрика / Учебник. - М.: Изд-во Рос. экон. акад., 2008

.        Эконометрика. Учебник. Под ред. Елисеевой И.И. М., Финансы и статистика, 2010

Похожие работы на - Модели стационарных временных рядов

 

Не нашли материал для своей работы?
Поможем написать уникальную работу
Без плагиата!
Без нейросетей!