Корреляционный анализ результатов эксперимента
Министерство
образования и науки Российской Федерации
ФГАОУ ВПО
«УрФУ имени первого Президента России Б.Н.Ельцина»
Институт
радиоэлектроники и информационных технологий - РтФ
Кафедра
Автоматики
Заочное
отделение
Контрольная
работа
Корреляционный
анализ результатов эксперимента
Предмет
Теория и
методы управления экспериментом
матрица функция алгебраический полином эксперимент
Екатеринбург
2014
Задание
1
Вариант 8
Для дробного факторного эксперимента N=qk
при
N=42:
Составить матрицу спектра плана.
Составить матрицу базисных функций.
Составить информационную матрицу Фишера.
Написать алгебраический полином плана.
Геометрически представить области планирования.
N=42=16
Количество факторов k=2
Число уровней варьирования факторов q=4, факторы
могут принимать значения -1,+1,+2,+3.
Матрица спектра плана N=qk
(N=42)
|
i
|
x1
|
x2
|
|
1
|
-1
|
-1
|
|
2
|
+1
|
-1
|
|
3
|
+2
|
-1
|
|
4
|
+3
|
-1
|
|
5
|
-1
|
+1
|
|
6
|
+1
|
+1
|
|
7
|
+2
|
+1
|
|
8
|
+3
|
+1
|
|
9
|
-1
|
+2
|
|
10
|
+1
|
+2
|
|
11
|
+2
|
+2
|
|
12
|
+3
|
+2
|
|
13
|
-1
|
+3
|
|
14
|
+1
|
+3
|
|
15
|
+2
|
+3
|
|
16
|
+3
|
+3
|
Составим матрицу базисных функций N=42:
|
i
|
f(0)=1
|
f(1)=x1
|
f(2)=x2
|
f(3)=x12
|
f(4)=x1x2
|
f(5)=x22
|
f(6)=x13
|
f(7)=x12x2
|
|
1
|
+1
|
-1
|
-1
|
+1
|
+1
|
+1
|
-1
|
-1
|
|
2
|
+1
|
+1
|
-1
|
+1
|
-1
|
+1
|
+1
|
-1
|
|
3
|
+1
|
+2
|
-1
|
+4
|
-2
|
+1
|
+8
|
-4
|
|
4
|
+1
|
+3
|
-1
|
+9
|
-3
|
+1
|
+27
|
-9
|
|
5
|
+1
|
-1
|
+1
|
+1
|
-1
|
+1
|
-1
|
+1
|
|
6
|
+1
|
+1
|
+1
|
+1
|
+1
|
+1
|
+1
|
+1
|
|
7
|
+1
|
+2
|
+1
|
+4
|
+2
|
+1
|
+8
|
+4
|
|
8
|
+1
|
+3
|
+1
|
+9
|
+3
|
+1
|
+27
|
+9
|
|
9
|
+1
|
-1
|
+2
|
+1
|
-2
|
+4
|
-1
|
+2
|
|
10
|
+1
|
+1
|
+2
|
+1
|
+2
|
+4
|
+1
|
+2
|
|
11
|
+1
|
+2
|
+2
|
+4
|
+4
|
+4
|
+8
|
+8
|
|
12
|
+1
|
+3
|
+2
|
+9
|
+6
|
+4
|
+27
|
+18
|
|
13
|
+1
|
-1
|
+3
|
+1
|
-3
|
+9
|
-1
|
+3
|
|
14
|
+1
|
+1
|
+3
|
+1
|
+3
|
+9
|
+1
|
+3
|
|
15
|
+1
|
+2
|
+3
|
+4
|
+6
|
+9
|
+8
|
+12
|
|
16
|
+1
|
+3
|
+3
|
+9
|
+9
|
+9
|
+27
|
+27
|
|
i
|
f(8)=x1x22
|
f(9)=x23
|
f(10)=x13x2
|
f(11)=x12x22
|
f(12)=x1x23
|
f(13)=x13x22
|
f(14)=x12x23
|
f(15)=x13x23
|
|
1
|
-1
|
-1
|
+1
|
+1
|
+1
|
-1
|
-1
|
+1
|
|
2
|
+1
|
-1
|
-1
|
+1
|
-1
|
+1
|
-1
|
-1
|
|
3
|
+2
|
-1
|
-8
|
+4
|
-2
|
+8
|
-4
|
-8
|
|
4
|
+3
|
-1
|
-27
|
+9
|
-3
|
+27
|
-9
|
-27
|
|
5
|
-1
|
+1
|
-1
|
+1
|
-1
|
-1
|
+1
|
-1
|
|
6
|
+1
|
+1
|
+1
|
+1
|
+1
|
+1
|
+1
|
+1
|
|
7
|
+2
|
+1
|
+8
|
+4
|
+2
|
+8
|
+4
|
+8
|
|
8
|
+3
|
+1
|
+27
|
+9
|
+3
|
+27
|
+9
|
+27
|
|
9
|
-4
|
+8
|
-2
|
+4
|
-8
|
-4
|
+8
|
-8
|
|
10
|
+4
|
+8
|
+2
|
+4
|
+8
|
+4
|
+8
|
+8
|
|
11
|
+8
|
+8
|
+16
|
+16
|
+16
|
+32
|
+32
|
+64
|
|
12
|
+12
|
+8
|
+54
|
+36
|
+24
|
+108
|
+72
|
+216
|
|
13
|
-9
|
+27
|
-3
|
+9
|
-27
|
+27
|
-27
|
|
14
|
+9
|
+27
|
+3
|
+9
|
+27
|
+9
|
+27
|
+27
|
|
15
|
+18
|
+27
|
+24
|
+36
|
+54
|
+72
|
+108
|
+216
|
|
16
|
+27
|
+27
|
+81
|
+81
|
+81
|
+243
|
+243
|
+729
|
Матрица Фишера:
Ф=FTF
Регрессионная модель (алгебраический полином
3-го порядка):
y = b0
+ b1x1
+ b2x2
+ b11x12
+ b12x1x2
+ b22x22
+ b111x13
+ b112x12x2
+ b122x1x22
+ b222x23
+ b1112x13x2
+ b1122x22x22
+ b1222x1x23
+ b11122x23x22
+ b11222x22x23
+ b111222x13x23
Область планирования:
Задание
2
Провести корреляционный анализ результатов
эксперимента. Определить коэффициент корреляции, оценить точность обработки
результатов моделирования.
Построить график.
Число наблюдений n = 31.
|
Вариант 8
|
|
n
|
X
|
Y
|
|
1
|
7856
|
5070
|
|
2
|
7498
|
5061
|
|
3
|
7251
|
4718
|
|
4
|
7021
|
3845
|
|
5
|
6995
|
4025
|
|
6
|
7113
|
4911
|
|
7
|
6546
|
4795
|
|
8
|
6862
|
5142
|
|
9
|
6652
|
4811
|
|
10
|
7533
|
4722
|
|
11
|
7380
|
4054
|
|
12
|
5852
|
3445
|
|
13
|
7217
|
4643
|
|
14
|
7565
|
5152
|
|
15
|
7627
|
5543
|
|
16
|
7993
|
5318
|
|
17
|
7783
|
5035
|
|
18
|
8790
|
4235
|
|
19
|
7432
|
3824
|
|
20
|
7359
|
4683
|
|
21
|
7492
|
5160
|
|
22
|
7720
|
5168
|
|
23
|
7374
|
5436
|
|
24
|
7853
|
5020
|
|
25
|
6544
|
3258
|
|
26
|
6527
|
3844
|
|
27
|
8299
|
5145
|
|
28
|
8266
|
5333
|
|
29
|
8223
|
5291
|
|
30
|
8243
|
5172
|
|
31
|
7675
|
4917
|
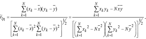
Коэффициент корреляции:
Выводы:
- Случай 0<
<1
соответствует наличию линейной корреляции с рассеянием.
Связь между признаками по шкале
Чеддока - заметная (0.5 - 0.7)
Задание
3
Провести регрессионный анализ результатов
эксперимента. Определить функцию ошибки, среднеквадратичное отклонение, меру
ошибки регрессионной модели. Построить линейную регрессионную модель и меру
ошибки регрессионной модели.
|
Вариант
12
|
вспомогательные
величины
|
|
n
|
x
|
y
|
x.y
|
x2
|
 
|
|
|
|
1
|
2,23
|
2,904
|
6,476
|
4,973
|
3.5268
|
−0.1548
|
0.024
|
|
2
|
1,60
|
2,546
|
4,074
|
2,560
|
3.4013
|
0.2107
|
0.0444
|
|
3
|
1,60
|
2,482
|
3,971
|
2,560
|
3.3898
|
0.4312
|
0.1859
|
|
4
|
0,00
|
2,659
|
0,000
|
0,000
|
3.3816
|
0.8294
|
0.6879
|
|
5
|
2,87
|
2,593
|
7,442
|
8,237
|
3.4136
|
−0.3146
|
0.099
|
|
6
|
0,75
|
2,772
|
2,079
|
0,563
|
3.377
|
0.129
|
0.0166
|
|
7
|
0,60
|
2,784
|
1,670
|
0,360
|
3.3802
|
−0.2002
|
0.0401
|
|
8
|
3,48
|
2,431
|
8,460
|
12,110
|
3.3512
|
0.3458
|
0.1196
|
|
9
|
4,07
|
2,628
|
10,696
|
16,565
|
3.3516
|
0.1064
|
0.0113
|
|
10
|
0,88
|
2,598
|
2,286
|
0,774
|
3.3796
|
0.2744
|
0.0753
|
|
11
|
0,78
|
2,866
|
2,235
|
0,608
|
3.3589
|
0.1141
|
0.013
|
|
12
|
8,80
|
2,832
|
24,922
|
77,440
|
3.3546
|
−0.1246
|
0.0155
|
|
13
|
3,60
|
2,825
|
10,170
|
12,960
|
3.3494
|
−0.0444
|
0.002
|
|
14
|
1,07
|
2,814
|
3,011
|
1,145
|
3.3494
|
0.0406
|
0.0016
|
|
15
|
3,82
|
2,550
|
9,741
|
14,592
|
3.3597
|
−0.5547
|
0.3077
|
|
16
|
0,52
|
2,728
|
1,419
|
0,270
|
3.3631
|
−0.1531
|
0.0234
|
|
17
|
2,40
|
3,013
|
7,231
|
5,760
|
3.3561
|
−0.0951
|
0.009
|
|
18
|
1,73
|
2,614
|
4,522
|
2,993
|
3.3895
|
−0.1245
|
0.0155
|
|
19
|
1,87
|
2,544
|
4,757
|
3,497
|
3.3494
|
0.1776
|
0.0315
|
|
20
|
2,35
|
2,979
|
7,001
|
5,523
|
3.3618
|
−0.0748
|
0.0056
|
|
21
|
1,23
|
2,892
|
3,557
|
1,513
|
3.3494
|
−0.8184
|
0.6697
|
|
22
|
5,02
|
2,561
|
12,856
|
25,200
|
|
|
|
|
51,2759,615138,576200,204--2.3988
|
|
|
|
|
|
|
|
Делаем предположение, что модель
результатов эксперимента графически может быть представлена в виде прямой
линии.
Искомое уравнение линейной регрессии
имеет вид:
Ошибка ei, для каждой
экспериментальной точки определяется как расстояние по вертикали от этой точки
до линии регрессии
ei =
=
Функция ошибки:
Обычно мерой ошибки регрессионной модели служит
среднее квадратичное отклонение:
Для нормально распределенных процессов
приблизительно 80% точек находится в пределах одного отклонения σε
от линии регрессии и 90% - в пределах 2σε
Задание
4
Провести дисперсионный анализ результатов
эксперимента. Дана серия наблюдений на k уровнях (k = 12). Число
повторных наблюдений nj для каждого уровня фактора неодинаково (nj =
17
÷ 31). Общее число наблюдений N = 346.
Определить общую выборочную дисперсию, оценку генеральную дисперсии, оценку
факторной дисперсии. Рассчитать дисперсионное отношение. Используя таблицы
Фишера, опровергнуть или принять нулевую гипотезу при уровне значимости γ
= 5 %.
|
n
|
k1
|
k2
|
k4
|
k5
|
k6
|
k7
|
k8
|
k9
|
k10
|
k11
|
k12
|
|
1
|
0,715
|
1,641
|
2,111
|
0,923
|
0,555
|
2,281
|
1,032
|
1,826
|
1,304
|
1,975
|
1,864
|
0,988
|
|
2
|
0,985
|
1,868
|
2,256
|
2,136
|
0,875
|
1,154
|
1,985
|
1,922
|
1,727
|
1,980
|
1,717
|
0,689
|
|
3
|
1,121
|
1,959
|
1,253
|
2,162
|
0,970
|
1,055
|
1,625
|
1,799
|
1,609
|
1,773
|
0,864
|
1,552
|
|
4
|
0,933
|
1,017
|
1,143
|
2,194
|
0,880
|
1,887
|
1,844
|
1,028
|
1,535
|
1,839
|
0,771
|
1,679
|
|
5
|
1,061
|
0,892
|
1,931
|
2,292
|
0,848
|
1,902
|
1,855
|
0,922
|
1,715
|
1,818
|
0,910
|
2,011
|
|
6
|
0,999
|
1,728
|
2,217
|
2,188
|
0,784
|
2,038
|
1,919
|
1,694
|
2,150
|
0,883
|
1,686
|
1,736
|
|
7
|
0,987
|
2,016
|
2,363
|
1,135
|
0,437
|
1,812
|
1,164
|
1,716
|
2,078
|
0,769
|
1,841
|
1,810
|
|
8
|
0,994
|
2,195
|
0,940
|
1,257
|
0,571
|
2,073
|
0,946
|
1,864
|
2,418
|
1,853
|
1,533
|
0,954
|
|
9
|
1,274
|
1,924
|
0,970
|
1,931
|
0,884
|
2,117
|
1,758
|
1,633
|
2,062
|
1,640
|
1,633
|
0,674
|
|
10
|
1,967
|
2,135
|
1,139
|
2,028
|
0,805
|
1,276
|
1,888
|
1,763
|
2,083
|
1,980
|
0,909
|
1,883
|
|
11
|
1,690
|
1,182
|
1,752
|
2,122
|
0,900
|
0,984
|
1,711
|
0,996
|
2,164
|
1,744
|
0,950
|
1,692
|
|
12
|
1,806
|
1,101
|
2,025
|
2,144
|
0,872
|
1,060
|
1,844
|
0,773
|
1,991
|
1,832
|
1,853
|
1,818
|
|
13
|
1,946
|
1,939
|
2,046
|
2,196
|
0,775
|
1,870
|
1,793
|
1,818
|
1,880
|
1,960
|
1,826
|
1,498
|
|
14
|
1,103
|
2,058
|
2,117
|
1,191
|
0,802
|
1,850
|
1,018
|
1,848
|
1,551
|
1,904
|
1,711
|
1,420
|
|
15
|
1,097
|
1,817
|
2,161
|
1,084
|
0,838
|
2,162
|
1,073
|
1,740
|
1,792
|
1,784
|
1,842
|
0,777
|
|
16
|
2,103
|
1,996
|
2,131
|
2,210
|
0,935
|
1,170
|
1,717
|
1,870
|
1,069
|
1,794
|
1,677
|
0,859
|
|
17
|
2,067
|
1,764
|
0,994
|
2,165
|
0,877
|
1,317
|
1,815
|
1,906
|
1,014
|
1,948
|
1,176
|
1,721
|
|
18
|
2,211
|
1,160
|
0,992
|
2,106
|
0,951
|
1,915
|
1,785
|
1,403
|
|
1,064
|
0,729
|
1,678
|
|
19
|
2,080
|
0,849
|
2,237
|
2,055
|
0,875
|
1,904
|
1,787
|
1,236
|
|
0,807
|
1,934
|
1,715
|
|
20
|
2,055
|
1,858
|
2,144
|
2,379
|
0,799
|
1,751
|
1,914
|
1,854
|
|
2,099
|
1,865
|
1,777
|
|
21
|
1,067
|
2,023
|
2,167
|
1,250
|
1,805
|
1,902
|
1,171
|
2,060
|
|
2,173
|
1,763
|
2,031
|
|
22
|
1,088
|
2,042
|
2,277
|
1,264
|
1,912
|
1,955
|
1,437
|
1,926
|
|
1,157
|
1,736
|
1,078
|
|
23
|
1,871
|
1,283
|
2,032
|
2,049
|
1,873
|
1,144
|
1,713
|
1,846
|
|
1,673
|
1,667
|
0,823
|
|
24
|
2,040
|
1,774
|
1,218
|
2,232
|
2,318
|
0,956
|
1,859
|
1,749
|
|
1,919
|
0,950
|
1,591
|
|
25
|
1,891
|
1,188
|
0,901
|
2,000
|
1,930
|
2,041
|
1,821
|
|
|
1,100
|
0,888
|
1,783
|
|
26
|
1,857
|
1,568
|
2,070
|
2,050
|
1,284
|
1,819
|
1,931
|
|
|
1,023
|
1,552
|
1,816
|
|
27
|
2,123
|
1,895
|
2,078
|
2,344
|
0,877
|
2,068
|
1,921
|
|
|
1,795
|
1,751
|
1,885
|
|
28
|
1,098
|
1,956
|
2,122
|
2,047
|
1,877
|
0,791
|
|
|
1,952
|
1,720
|
1,852
|
|
29
|
1,056
|
1,610
|
2,224
|
0,668
|
1,997
|
1,936
|
0,939
|
|
|
1,694
|
1,928
|
1,804
|
|
30
|
1,870
|
|
2,128
|
0,488
|
1,749
|
1,035
|
1,790
|
|
|
1,975
|
1,690
|
1,174
|
|
31
|
1,817
|
|
1,052
|
|
2,093
|
|
1,687
|
|
|
1,980
|
|
0,840
|
СКМ = 10,319
СКВ = 68,014
(Оценка факторной дисперсии)
(Оценка генеральной дисперсии)
Общая выборочная дисперсия всех наблюдений равна
Дисперсионное отношение:
(Критерий фактического распределения)
Fтеор
(0,05;11;334) = 2,498 Fрасчетное
> Fтеоретическое,
Вывод: влияние фактора на результаты
экспериментальных исследований будет значимым, нулевую гипотезу H0
отвергаем.