Исследования и эксперимент в системах электроснабжения
Приднестровский государственный
университет им. Т.Г. Шевченко
Инженерно-технический институт
Кафедра "Электроэнергетики и
электротехники"
Контрольная работа
по дисциплине: "Исследования и
эксперимент в системах электроснабжения"
Выполнил: Ст. гр. 09-ЭС Баркарь Г.Г.
Проверил: преподаватель Башкатов А.М.
Тирасполь 2014
План
Задача
№ 1
Задача
№ 2
Литература
Задача № 1
Даны результаты измерения непрерывной работы 50-ти станков в зависимости
от количества обработанных деталей. Данные замеров сведены в таблицу №1.
Таблица №1.
|
y/x
|
15 - 25
|
25 - 35
|
35 - 45
|
45 - 55
|
55 - 65
|
65 - 75
|
ni
|
|
9 - 15
|
1
|
3
|
|
|
|
|
4
|
|
15 - 21
|
1
|
6
|
2
|
1
|
|
|
10
|
|
21 - 27
|
|
2
|
6
|
8
|
4
|
|
20
|
|
27 - 33
|
|
|
1
|
3
|
4
|
2
|
10
|
|
33 - 39
|
|
|
|
|
2
|
4
|
6
|
|
mj
|
2
|
1
|
9
|
12
|
10
|
6
|
50
|
Где: y - количество деталей,
x - время работы.
Необходимо выполнить следующее:
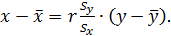
. Построить корреляционное поле.
2. Определить средневыборочное значение.
. Определить не смещенные оценки Sx, Sy.
. Определить коэффициент корреляции τx,y.
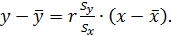
. Найти эмпирическую функцию линейной регрессии X на Y (y от x) и отобразить эти прямые на
корреляционном поле.
. Проверить нулевую гипотезу H0, что соответствует r0 (принять уровень значимости α=0,05).
Решение.
1. Построим корреляционное поле.
. Вычислим среднее x, для
этого просуммируем произведения середин интервалов и соответствующих частот и
полученную сумму разделим на сумму этих частот.

3. Вычислим среднее y, для
этого просуммируем произведения середин интервалов и соответствующих частот и
полученную сумму разделим на сумму этих частот.

4. Определяем не смещенные оценки Sx и Sy, для этого определяем средний
квадрат.




.
5. Найдем среднеквадратичное отклонение:


=43,847.
6. Находим значения Sх и Sу:

, 
7. Вычисляем коэффициенты корреляции:



.
Коэффициент корреляции больше значения 0,5 значит, корреляция
положительная и является значимой, имеющей эмпирическую функцию.
. Находим эмпирическую функцию:
вид функции - линейная зависимость

,
находим


Подставляем
значения и получаем:

9. Находим


Подставляем
значения и получаем:
10. Проверяем значимость коэффициента корреляции:

Подставляем
значения и получаем:

По
таблице критических распределений Стьюдента а 247 (1), по уровню значимости a=0,05
и числу степеней свободы k=48, находим что tкр=2,01. Поскольку Ттабл больше
чем tкр
, коэффициент корреляции значим.
Задача № 2
корреляционный интервал математический вероятность
Даны результаты испытаний стойкости 200 удлиненных сверл, диаметром 4 мм
в часах. Таким образом дан интервальный статистический ряд распределения частот
экспериментальных значений случайной величины X. Требуется:
. Построить полигон и гистограмму относительных частот случайной
величины X.
2. По виду полигона и гистограммы и, исходя из механизма образования
случайной величины, сделать предварительный выбор закона распределения.
. Вычислить выборочную среднюю и исправленное среднее
квадратическое отклонение.
. Записать гипотетическую функцию распределения и плотность
распределения.
. Найти доверительные интервалы для математического ожидания и
среднего квадратического отклонения при доверительной вероятности Υ=0,95.
. Найти теоретические частоты нормального закона распределения и
проверить гипотезу о нормальном распределении случайной величины с помощью
критерия Пирсона при уровне значимости a=0,05.
Данные результатов испытаний приведены в таблице №2.
Табл. №2.
|
Xj (часы)
|
3 - 3,2
|
3,2 - 3,4
|
3,4 - 3,6
|
3,6 - 3,8
|
3,8 - 4
|
|
Частота
|
16
|
50
|
70
|
44
|
20
|
Решение.
1. Построим гистограмму относительных частот в виде ступенчатой фигуры,
состоящей из прямоугольников, основаниями которых служат интервалы длиной h, а высоты равны отношению w/h (плотность относительной частоты).
|
xi
|
3 - 3,2
|
3,2 - 3,4
|
3,4 - 3,6
|
3,6 - 3,8
|
3,8 - 4
|
Итого
|
|
w1
|
0,08
|
0,25
|
0,35
|
0,22
|
0,1
|
1
|
|
w/h
|
0,4
|
1,25
|
1,75
|
1,1
|
0,5
|
. По виду полигона и гистограммы можно предположить, что случайная
величина распределяется по нормальному закону (кривой Гаусса). Функция
распределения для случайной величины x распределенной по нормальному закону записывается следующим образом:

(1)
3. Вычислим характеристики распределения, для этого составим расчетную
таблицу:
|
xiс
|
3,1
|
3,3
|
3,5
|
3,7
|
3,9
|
Итого
|
|
mi
|
16
|
50
|
70
|
44
|
20
|
200
|
|
xiс mi
|
49,6
|
165
|
245
|
162.8
|
78
|
700,4
|
|
xiс2 mi
|
153,76
|
544,5
|
857,5
|
602,36
|
304,2
|
2462,32
|
В качестве величины x возьмем центр распределений. Выборочное среднее значение:
Вычислим исправленную выборочную дисперсию, предварительно найдем среднее
квадратов:
Вычислим выборочно среднеквадратическое отклонение:
Находим исправленную выборочную дисперсию:
4. В формуле (1) укажем полученные данные, тогда гипотетическая функция
примет вид:

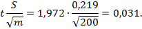
5. Найдем доверительный интервал для оценки неизвестного математического
ожидания. Он определяется по формуле:
1.
6. По условию Υ=0,95, по таблице а.247 (1) для Ʋ=199 и
первого столбца 5% находим, что t=1,972.
7. Пределы интегрирования математического ожидания: 3,502-0,031 и
3,502+0,031 - это есть функция M(x), её пределы
3,471 и 3,533.
. Найдем доверительный интервал для оценки среднеквадратического
отклонения. Он вычисляется по формуле:
9. Величину
q, зависящую от Υ=0,95, m=200 находим по
таблице а.247(1), q=0,099 
0,197<σ<0,241.
. Вычислим
теоретические частоты. Для этого пронормируем x, то есть перейдем к случайной величине z, которую можно вычислить по формуле:
11. Вероятность попадания в соответствующий интервал:

где
Ф(z) - функция Лапласа.
12. Теоретические частоты:

где
m - объем выборки.
13. Составим расчетную таблицу
|
Интервалы
|
3 - 3,2
|
3,2 - 3,4
|
3,4 - 3,6
|
3,6 - 3,8
|
3,8 - 4
|
Итого
|
|
z1i
|
|
-1,384
|
0,449
|
1,366
|
|
|
z2i
|
-1,384
|
-0,468
|
0,449
|
1,366
|
|
|
|
Ф 1i
|
-0,5
|
-0,417
|
-0,18
|
0,173
|
0,414
|
|
|
Ф 2i
|
-0,417
|
-0,18
|
0,173
|
0,414
|
0,5
|
|
|
Pi
|
0,083
|
0,237
|
0,353
|
0,241
|
0,086
|
1
|
|
|
16,627
|
47,384
|
70,66
|
48,133
|
17,196
|
200
|
Проверим степень согласия эмпирического и теоретического распределения по
критерию Пирсона:
|
Интервалы3 - 3,23,2 -
3,43,4 - 3,63,6 - 3,83,8 - 4Итого
|
|
|
|
|
|
|
|
mi
|
16
|
50
|
70
|
44
|
20
|
200
|
|
|
16,627
|
47,984
|
70,66
|
48,133
|
17,196
|
|
|
|
0,024
|
0,144
|
0,006
|
0,355
|
0,457
|
0,986
|
Из
расчетной таблицы 
Уровень
значимости а=0,05
Число
степеней свободы ν=2,
По
таблице критический точек распределения


Гипотеза о распределении случайной величины по выбранному закону
подтверждается.
Литература
1. Ю.А. Долгов. Основы математического моделирования. Учебное пособие.