Организация и управление ремонтным хозяйством
Курсовая работа
Организация и управление
ремонтным хозяйством
Введение
ремонтный плановый передаточный
В процессе эксплуатации техническое оборудование подвергается
физическому и моральному износу и требует постоянного технического обслуживания.
Работоспособность технического обслуживания и ремонта технологического
оборудования является основной функцией ремонтного хозяйства в производственной
инфраструктуре предприятия.
Экономической основой существования ремонта является
неравнопрочность деталей и узлов техники. Действительно, экономически
необоснованно и технологически невозможно изготовить машину, механизмы, агрегат
с деталями и узлами с одинаковой прочностью, равномерностью износа, с примерно
равными сроками службы. Поэтому и возникает потребность в ремонте техники,
чтобы обеспечить её нормальное функционирование на весь период службы.
Весь комплекс работ, связанных с надлежащим и своевременным
обслуживанием, как правило, на больших производственных предприятиях
осуществляет ремонтное хозяйство. На крупномасштабных предприятиях оно является
одной из структурных а иногда и самостоятельных единиц, которое имеет свою
иерархию связей. К примеру на предприятиях таких отраслей как: машиностроение,
металлургия, пищевая, легкая промышленности - т.е всех видов деятельности. где
в производственном процессе используются агрегаты, станки, приспособления,
которые при поломке могут нарушить весь цикл производства, где необходима
оперативная реакция на такую ситуацию.
Известно, что производственное оборудование в основных фондах
предприятия занимает большую половину, если сравнить их с балансовой стоимостью
земли (если она принадлежит предприятию), зданий и сооружений. А значит, оно
является наиболее дорогостоящей частью основных фондов. Соответственно руководство
предприятия должно уделять надлежащее внимание поддержанию целостности и
работоспособности оборудования, взаимозаменяемости деталей, возможности
оперативной переориентации в условиях сложившейся быстроизменяющейся окружающей
среды. Если возникнет поломка, но она будет выявлена к примеру, позднее, чем
нужно было, то предприятие вынуждено будет воспроизвести затраты в десятки, а
то и сотни раз больше, чем оно могло бы, выявив её своевременно. Возникают
простои работы оборудования как следствие простои работников, что приводит к
нарушению ритмичности и срыва графика работы предприятия. Внеплановые простои
оборудования требуют организации дополнительных смен и сверхурочных работ,
росту трудовых и стоимостных затрат. Либо если предприятие попытается осуществлять
ремонт такого оборудования с использованием недостаточно квалифицированных
кадров, в целях возможной экономии средств (что достаточно часто встречается),
которые смогут еще и навредить всей налаженной системе.
Таким образом, можно с уверенностью сказать, что грамотное
осуществление ремонта и организация ремонтного хозяйства на производственном
предприятии занимает весомую часть на пути к достижению поставленных целей
предприятия, так, как эта система предназначена для поддержания надлежащего
состояния активной или производящей части фондов, от которых зависит
производительность, рентабельность и как следствие прибыльность деятельности
хозяйствующего субъекта. Это особенно важно для металлургических предприятий,
которые имеют в своем составе мощное и разнообразное оборудование, работающее в
сложных и тяжелых условиях, беспрерывно.
Целью данной работы является выявление и изучение
особенностей организации управления ремонтным хозяйством, раскрытие понятия и
сущности ремонтного хозяйства; рассмотрение сущности и содержания системы
планово-предупредительных ремонтов, рассмотрение нормативной и методологической
базы планово-предупредительного. Определение длительности цикла изготовления
партии предметов труда при трех видах движения предметов труда по операциям,
как аналитическим, так и графическим методом; исследование зависимости
длительности цикла от изменения размера передаточной партии.
1.
Теоретическая часть
1.1 Роль,
задачи и структура ремонтного хозяйства и факторы, её определяющие
Современные предприятия машиностроения, а также
радиоэлектронной промышленности оснащены дорогостоящим и разнообразным
оборудованием, установками, роботизированными комплексами, транспортными
средствами и другими видами основных фондов. В процессе работы они теряют свои рабочие
качества, главным образом из-за износа и разрушения отдельных деталей, поэтому
снижаются точность, мощность, производительность и другие параметры.
Для компенсации износа и поддержания оборудования в
нормальном, работоспособном состоянии требуются систематическое техническое
обслуживание его и выполнение ремонтных работ, а также проведение мероприятий
по технической диагностике.
Техническим обслуживанием принято называть комплекс операций
по поддержанию работоспособности или исправности оборудования при его
использовании по назначению, во время ожидания, хранения и
транспортирования.
Ремонт (фр. remonter - поправить, пополнить, снова собрать) -
совокупность технико-экономических и организационных мероприятий, связанных с
поддержанием и частичным или полным восстановление потребительской стоимости
основных фондов (средств производства) или предметов личного пользования. [1]
Согласно действующим стандартам ремонт - это комплекс
операций по восстановлению исправности либо работоспособности изделий или их
составных частей.
В процессе ремонта устраняются дефекты и отклонения, которые
препятствуют нормальной работе оборудования. Детали и узлы, которые износились,
заменяются новыми или восстанавливаются к первоначальному состоянию. [2]
Весь комплекс работ, связанных с надлежащим и своевременным
обслуживанием, надзором и осуществлением ремонтов оборудования, обеспечивает
ремонтное хозяйство металлургического предприятия. Систематическое
осуществление профилактических мероприятий ремонтного характера и проведение
различных видов ремонта оборудования имеют целью поддержание его в
работоспособном состоянии, отвечающем установленному уровню его
производительности в заданном режиме работы. Отсюда главой комплексной задачей
ремонтного хозяйства является обеспечение эффективной и безаварийной работы
производственного оборудования при наименьших затрат времени, труда и средств
на выполнение операций ремонта и обслуживания. Выполнение этой задачи должно
базироваться на высоком техническом уровне материальной базы ремонтного
хозяйства и рациональных формах и методах организации его функционирования.
Объектами ремонтного обслуживания являются здания,
сооружения, металлургические агрегаты, нагревательные устройства и термические
печи, подъемно-транспортное, механическое и энергетическое оборудование все
виды коммуникаций и др. Ремонтное обслуживание указанных объектов требует
наличие достаточно мощной ремонтной базы. Поэтому в условиях современного
металлургического предприятия ремонтное хозяйство включает ряд крупных ремонтных
цехов и служб, осуществляющих как собственно ремонты, так и изготовление
сменного оборудования, специальных металлоконструкций, запасных частей и так
названного нестандартного оборудования.
В процессе ремонта устраняются дефекты и отклонения, которые
препятствуют нормальной работе оборудования. Износ оборудования в процессе его
эксплуатации и нерациональная организация технического обслуживания и ремонта
приводят к увеличению простоя в ремонте, к ухудшению качества обработки и
повышению брака, а также к увеличению затрат на ремонт.
О значении улучшения организации содержания и ремонта
оборудования можно судить по следующим показателям;
Годовые затраты на ремонт и техническое обслуживание
оборудования на предприятиях составляют 10-25% его первоначальной стоимости. А
их доля в себестоимости продукции достигает 6-8%.
Численность ремонтных рабочих колеблется в пределах 20-30% от
общей численности вспомогательных рабочих.
В соответствии с изложенным выше следует отметить, что
основными задачами организации планирования ремонтной службы предприятия
являются: 1) сохранение оборудования в рабочем, технически исправном состоянии,
обеспечивающем его высокую производительность и бесперебойную работу; 2)
сокращение времени и затрат на обслуживание и все виды ремонтов.
Решение таких задач требует организации правильной
эксплуатации, текущего обслуживания, своевременного выполнения необходимого
ремонта, а также модернизации оборудования.
Для выполнения всех видов работ по организации рационального
обслуживания и ремонта оборудования и других видов основных фондов на
предприятиях создаются ремонтные службы. Их структура зависит от ряда факторов:
типа и объема производства, его технических характеристик, развития
кооперирования при выполнении ремонтных работ, системы централизации и др.
В состав ремонтной службы крупного и среднего предприятия
входят отдел главного механика (ОГМ), ремонтно-механический цех (РМЦ), цеховые
ремонтные службы, общезаводской склад запасных деталей и узлов (рис. 1.1).
Отдел главного механика возглавляется главным механиком,
подчиненным непосредственно главному инженеру завода.
В составе ОГМ, как правило, создаются следующие
функциональные подразделения: бюро планово-предупредительного ремонта (ППР),
конструкторско-технологическое бюро, планово-производственное бюро и группа
кранового оборудования.
В состав бюро ППР входят группы: инспекторская, учета
оборудования, запасных частей и ремонтно-смазочного хозяйства.
Инспекторская группа планирует, контролирует и учитывает
выполнение ремонтных работ всех видов; инспектирует правильность эксплуатации и
разрабатывает инструкции по уходу за оборудованием.
Рисунок 1.1 - Структура ремонтной службы предприятия
Группа учета оборудования ведет паспортизацию и учет оборудования всех
видов, следит за его перемещением, контролирует состояние хранения и качества
консервации неустановленного оборудования, проводит ежегодную инвентаризацию.
Группа запасных частей устанавливает номенклатуру, сроки службы,
нормы расхода и лимиты на запасные детали и покупные материалы, планирует
изготовление запасных частей и руководит складскими запасами деталей.
Группа ремонтно-смазочного хозяйства контролирует выполнение
графика смазки оборудования; устанавливает лимиты на обтирочно-смазочные
материалы и на сбор отработанного масла и его регенерацию.
Конструкторско-технологическое бюро осуществляет всю техническую
подготовку системы ППР и ремонтных работ всех видов, включая модернизацию;
обеспечивает комплектование альбомов чертежей и их хранение по всем видам
оборудования.
Планово-производственное бюро планирует и контролирует работу
ремонтно-механического цеха и цеховых ремонтных служб, осуществляет
материальную подготовку ремонтных работ, составляет отчеты по выполнению планов
ремонтных работ по заводу, производит анализ технико-экономических показателей
ремонтной службы завода, выявляет непроизводительные затраты, разрабатывает
мероприятия по их устранению.
Группа кранового оборудования следит за эксплуатацией и
состоянием всех подъемно-транспортных механизмов, планирует и контролирует
выполнение ремонтов всех видов.
Ремонтно-механический цех является основной материальной
базой ремонтной службы предприятия. Он комплектуется разнообразным
универсальным оборудованием и высококвалифицированными рабочими. В этом цехе
выполняются все наиболее сложные работы по ремонту оборудования, изготовлению и
восстановлению сменных деталей, а также работы по модернизации оборудования.
Цеховые ремонтные службы создаются в крупных основных цехах
завода только при использовании децентрализованной и смешенной систем
организации ремонтных работ. Службы находятся введении механиков цехов.
Общезаводской склад запасных деталей и узлов осуществляет
хранение и учет всех материальных ценностей, необходимых для проведения всех
видов ремонтов оборудования и подъемно-Транспортных средств.
Штаты инженерно-технических работников и служащих ремонтной
службы предприятия устанавливаются в зависимости от числа ремонтных единиц
оборудования в целом по заводу.
1.2 Сущность и содержание системы
планово-предупредительных ремонтов (ППР)
С 1955 г. обслуживание и эксплуатация оборудования на
предприятиях нашей страны производятся по разработанной в СССР в 1923 г. единой
системе планово-предупредительных ремонтов (ППР). Эта система представляет собой
совокупность организационных и технических мероприятий по уходу, надзору,
обслуживанию и ремонту оборудования, проводимых профилактически по заранее
составленному плану с целью предотвращения прогрессивного износа,
предупреждения аварий и поддержания оборудования в постоянной эксплуатационной
готовности.
Сущность системы ППР заключается в проведении через
определенное число часов работы оборудования профилактических осмотров и
различных видов плановых ремонтов, чередование и периодичность которых определяются
назначением агрегата, его особенностями, размерами и условиями эксплуатации.
Основными задачами системы ППР являются снижение расходов на
ремонт и повышение качества ремонта.
Система ППР предусматривает проведение следующих видов работ
по техническому обслуживанию и ремонту оборудования.
. Межремонтное обслуживание заключается в наблюдении за
состоянием оборудования, правильной его эксплуатацией, своевременном
регулировании механизмов и устранении мелких неисправностей, чистке и смазке.
Все эти работы выполняются основными рабочими и дежурным ремонтным персоналом
(слесарями, смазчиками, электриками) в нерабочие часы по заранее составленному
графику, т. е. профилактически.
. Смена и пополнение масел осуществляются по специальному
графику для всего оборудования с централизованной и картерной системами.
. Геометрическая точность проверяется после плановых ремонтов
и профилактики по особому плану-графику для прецизионного и финишного
оборудования в соответствии с нормами, предусмотренными ГОСТами или ТУ. Проверку
выполняют контролеры ОТК с привлечением слесарей ремонтников.
. Проверка жесткости осуществляется после плановых, средних и
капитальных ремонтов в соответствии с нормами, указанными в ГОСТах для
металлорежущих станков.
. Осмотры проводятся с целью проверки состояния оборудования,
а также устранения мелких неисправностей и выявления объемов подготовительных
работ, подлежащих выполнению при очередном плановом ремонте. Осмотры,
проводимые перед средним и капитальным ремонтами, сопровождаются составлением
Ведомости дефектов, в которой отражаются все виды предстоящих работ,
необходимые материалы и запасные части, балансовая стоимость объекта.
. Плановые ремонты в зависимости от содержания и трудоемкости
выполнения работ подразделяются на текущие, средние и капитальные (ГОСТ
18322-78).
Текущий ремонт (малый) заключается в замене небольшого
количества изношенных деталей и регулировании механизмов для обеспечения
нормальной работы агрегата до очередного планового ремонта. Как правило, он
проводится без простоя оборудования (в нерабочее время). В течение года
текущему ремонту подвергается 90-100% технологического оборудования. Затраты на
такой вид ремонта включаются в себестоимость продукции, выпускаемой на этом
оборудовании.
Средний ремонт заключается в смене или исправлении отдельных
узлов или деталей оборудования. Он связан с разборкой, сборкой и выверкой
отдельных частей, регулировкой и испытанием оборудования под нагрузкой. Этот
вид ремонта проводится по специальной Ведомости дефектов и заранее составленной
смете затрат в соответствии с планом-графиком ремонтов оборудования. Затраты на
ремонты, проводимые с периодичностью менее 1 года, включаются в себестоимость
продукции, выпускаемой на этом оборудовании, а с периодичностью более 1 года -
за счет амортизационных отчислений. В течение года среднему ремонту
подвергается около 20-25% установленного оборудования.
Капитальный ремонт осуществляется с целью восстановления
исправности оборудования и восстановления полного или близкого к полному
ресурса. Как правило, производятся ремонт всех базовых деталей и узлов, сборка,
регулировка и испытание оборудования под нагрузкой. Так же, как и средний
ремонт, капитальный ремонт выполняется по специальной Ведомости дефектов,
составленной при осмотре оборудования, а также по смете затрат и в соответствии
с планом-графиком. Затраты на капитальный ремонт осуществляются предприятием за
счет производимых им амортизационных отчислений. В течение года капитальному
ремонту подвергается около 10-12% установленного оборудования.
При капитальном ремонте восстанавливают предусмотренные
ГОСТами или ТУ геометрическую точность, мощность и производительность
оборудования на срок до очередного планового среднего или капитального ремонта.
. Внеплановый ремонт - вид ремонта, вызванный аварией оборудования,
или не предусмотренный годовым планом ремонт. При правильной организации
ремонтных работ в строгом соответствии с системой ППР внеплановые ремонты не
должны иметь места.
Для перехода на систему ППР необходимо установить ремонтные
нормативы и провести техническую и материальную подготовку.
1.3 Нормативная и методологическая база системы
планово-предупредительного ремонта (ППР)
Эффективность применения системы ППР находится в прямой
зависимости от совершенства нормативной базы, соответствия нормативов условиям
эксплуатации оборудования. От точности нормативов в большой степени зависят
расходы предприятия на техническое обслуживание и ремонт оборудования, а также
уровень потерь в производстве, связанных с неисправностью оборудования.
Нормативы дифференцируются по группам оборудования и характеризуют
последовательность проведения ремонтов и осмотров, объемы ремонтных работ, их
трудоемкость и материалоемкость. Важнейшими нормативами системы ППР являются:
• продолжительность межремонтного цикла;
• структура межремонтного цикла;
• продолжительность межремонтного и меж осмотрового периодов;
• категория сложности ремонта;
• нормативы трудоемкости;
• нормативы материалоемкости;
• нормы запаса деталей, оборотных узлов и агрегатов.
Под продолжительностью межремонтного цикла понимается время
работы оборудования от момента ввода его в эксплуатацию до первого капитального
ремонта или период между двумя последовательно выполняемыми капитальными
ремонтами. Для легких и средних металлорежущих станков продолжительность
межремонтного цикла (7м.ц.ч) определяется по формуле

- коэффициент, учитывающий тип производства (для массового и
крупносерийного
, для серийного
, для мелкосерийного и единичного
= 1,5);
, - коэффициент, учитывающий род обрабатываемого материала (при
обработке конструкционных сталей
= 1,0, чугуна и бронзы
=0,8, высокопрочных сталей
= 0,7);
- коэффициент, учитывающий условия эксплуатации
оборудования (при нормальных условиях механических цехов
= 1,0, в запыленных и влажных помещениях
=0,7);
- коэффициент, характеризующий группу станков (для легких и
средних
=1,0).
Под структурой межремонтного цикла понимается перечень и последовательность
выполнения ремонтных работ и работ по техническому обслуживанию в период
межремонтного цикла. Например, для средних и легких металлорежущих станков
структура межремонтного цикла имеет следующий вид:
,
где
и
-
капитальные ремонты оборудования;
- осмотры (техническое обслуживание);
- текущие (малые) ремонты оборудования;
- средний ремонт оборудования.
Из структуры межремонтного цикла видно, сколько и в какой
последовательности проводится тот или иной вид ремонта или осмотра.
Межремонтный период - время работы единицы оборудования между
двумя очередными плановыми ремонтами. Например, период между
и
, или
и
, или
и
. Продолжительность межремонтного периода (
) определяется по формуле
,
где
и
., - число
средних и текущих ремонтов.
Межосмотровый период - время работы оборудования между двумя
очередными осмотрами и плановыми ремонтами (периодичность технического обслуживания).
Продолжительность этого периода рассчитывается по формуле
,
где 
- число осмотров или число раз технического обслуживания на
протяжении межремонтного цикла.
Под категорией сложности ремонта понимаются степень сложности
ремонта оборудования и его особенности. Чем сложнее оборудование, чем больше
его размер и выше точность обработки на нем, тем сложнее ремонт, а
следовательно, и выше категория сложности.
Категория сложности ремонта обозначается буквой R и числовым коэффициентом
перед ней. В качестве эталона для определенной группы металлорежущих станков
принят токарно-винторезный станок 1К62 с высотой центров 200 мм и расстоянием
между центрами 1000 мм. Для этого станка установлена категория сложности по
технической части 11 R, а по электрической - 8,5R. Категорию сложности
любого другого станка данной группы оборудования устанавливают путем
сопоставления его с эталоном.
Трудоемкость ремонтных работ того или иного вида определяется
исходя из количества единиц ремонтной сложности и норм времени, установленных
на одну ремонтную единицу. Количество единиц ремонтной сложности по
механической части оборудования совпадает с категорией сложности. Следовательно,
станок 1К62 по механической части имеет 11 ремонтных единиц, а по электрической
части установлено 8,5 ремонтной единицы.
Нормы времени устанавливаются на одну ремонтную единицу по
видам ремонтных работ отдельно на слесарные, станочные и прочие работы (табл.
1.1).
Таблица 1.1 - Нормы времени на ремонтную единицу для
технического и подъемно-транспортного оборудования, нормо-ч
|
Осмотр и виды
ремонта
|
Слесарные
работы
|
Станочные
работы
|
Прочие работы
|
Всего
|
|
0
|
0,75
|
0,1
|
-
|
0,85
|
|
Т
|
4,0
|
2,0
|
0,1
|
6,1
|
|
С
|
16,0
|
7,0
|
0,5
|
23,5
|
|
к
|
23,0
|
10,0
|
2,0
|
35,0
|
Суммарная трудоемкость по отдельному виду ремонтных работ
определяется по формуле
,
где
- трудоемкость среднего ремонта
оборудования данной группы, нормо-ч;
- норма
времени на одну ремонтную единицу по всем видам работ, нормо-ч;
- количество ремонтных единиц;
- количество единиц оборудования данной группы, шт.
Аналогично определяется трудоемкость по техническому обслуживанию,
текущему и капитальному ремонтам.
Для установления численности ремонтных рабочих соответствующей
профессии (слесарей, станочников и т. д.) определяют трудоемкость по видам
работ (слесарным, станочным и пр.). Расчет трудоемкости (
) производится по формуле
,
где
- нормы времени на одну ремонтную единицу слесарных работ по
капитальному, среднему и текущему ремонтам, а также по техническому
обслуживанию, нормо-ч.;
- норма времени на одну ремонтную единицу по межремонтному
обслуживанию за год, нормо-ч.
Численность ремонтных рабочих (например, слесарных) определяется
по формуле
,
где
- годовой эффективный фонд времени работы
одного ремонтного рабочего, ч;
- коэффициент выполнения норм времени.
Материалоемкость ремонтов всех видов и технического обслуживания
определяется исходя из норм расхода материалов, установленных на единицу
ремонтной сложности и количества единиц ремонтной сложности оборудования данной
группы.
Нормы запаса деталей и оборотных узлов и агрегатов определяются
так же, как потребности в материалах, исходя из количества единиц ремонтной
сложности.
На основе нормативов разрабатываются годовые графики ППР
оборудования, в которых предусматриваются по срокам ремонты и планируемые
мероприятия по техническому обслуживанию каждой единицы оборудования;
определяются размеры трудоемкости предстоящих работ и устанавливается штат
ремонтного персонала.
Эти графики ложатся в основу текущего планирования и выполнения
работ в цехах и на предприятии в целом.
Техническая
и организационная подготовка планово-предупредительных ремонтов.
Все виды работ, образующие систему ППР, нуждаются в
соответствующей технической и организационной подготовке. Техническая
подготовка системы ППР состоит из конструкторской и технологической подготовки.
Конструкторская подготовка заключается в систематизации
технической документации по отдельным типоразмерам оборудования и представлении
ее в виде альбомов, комплектуемых из чертежей на оборудование и технической
документации, разрабатываемой для модернизации оборудования. Эти альбомы
используются при технологической подготовке ремонтных работ, а также для
изготовления сменных деталей и узлов, для решения вопросов, связанных с
конструктивной унификацией деталей, с внедрением заменителей дефицитных черных
и цветных металлов, с модернизацией оборудования. Так, альбом на металлорежущий
станок может содержать: паспорт, схемы (гидравлическую, кинематическую,
электрическую, пневматическую, смазки), чертежи сборочных единиц, сменных
деталей, спецификации покупных деталей, узлов и т. д.
Технологическая подготовка предусматривает формирование
типовых технологических процессов разборки и сборки оборудования, разработку
технологических процессов изготовления и восстановления деталей, проектирование
специального оборудования и оснастки для проведения ремонтных работ, а также
уточнение ведомости дефектов.
Ведомость дефектов является исполнительной технологической
ведомостью и, как правило, составляется в течение одного из плановых осмотров
перед капитальным ремонтом, а также перед средним ремонтом с периодичностью
свыше одного года. Эта ведомость корректируется после разборки оборудования.
Прогрессивными направлениями технологической подготовки
являются разработка и внедрение узлового и последовательно-узлового методов
ремонта. При узловом методе ремонта отдельные узлы заменяются запасными
(оборотными), заранее отремонтированными или новыми. При
последовательно-узловом методе требующие ремонта узлы ремонтируются не
одновременно, а последовательно, во время перерывов в работе станка (например,
в нерабочие смены). Внедрение этих методов является важнейшим условием
проведения трудоемких ремонтов в выходные и праздничные дни, а в условиях
массового, особенно автоматизированного и гибкого автоматизированного
производства - это единственный путь повышения эффективности ремонтных работ.
Организационная подготовка призвана: создавать рациональную
организацию проведения всех видов ремонтных работ и технического обслуживания;
комплексно обеспечивать их материалами, сменными деталями и узлами,
инструментами, оснасткой, подъемно-транспортным оборудованием. Подготовка
должна предшествовать выводу оборудования в ремонт, что позволяет сократить
простои его в ремонте.
На предприятиях, как правило, создается запас сменных деталей
и узлов, который достаточен для бесперебойного выполнения ремонтных работ.
Величина этого запаса подлежит нормированию. Текущее регулирование запасов
осуществляется по системе «максимум-минимум».
Все находящиеся в запасах детали подразделяются на группы: а)
детали со сроком службы, не превышающим межремонтный период; б) детали,
расходуемые в больших количествах независимо от срока их службы; в) крупные,
сложные и трудоемкие детали, для изготовления которых требуются сложные и
крупные поковки или отливки; г) детали, изготавливаемые на стороне; д) все
сменные детали уникального, особо ответственного или лимитирующего объем
производства технологического оборудования.
Учет и движение деталей на центральном складе запасных частей
ведется в соответствии с приведенной классификацией по системе
«максимум-минимум».
Норма запаса однотипных деталей для группы однотипного
оборудования определяется по формуле
,
где
- количество единиц оборудования;
В-число
однотипных деталей в данном типе оборудования, шт.;
Т -
продолжительность цикла изготовления детали или время получения со стороны
партии деталей, дней;
t -
срок службы детали, дней;
К -
коэффициент неравномерности ремонтов, определяется по плану-графику.
1.4 Организация ремонтных работ
Ремонт и техническое обслуживание технологического
оборудования на предприятиях выполняют РМЦ и ремонтные службы цехов. В
зависимости от доли работ, выполняемых производственными цехами, РМЦ и цеховыми
ремонтными службами различают три формы организации ремонта: централизованную,
децентрализованную и смешанную.
При централизованной форме все виды ремонта, а иногда и
техническое обслуживание производятся силами РМЦ завода. Такая организация
ремонта применяется на небольших предприятиях с суммарной ремонтной сложностью
оборудования 3000-5000 ремонтных единиц. Это, как правило, заводы единичного и
мелкосерийного производства.
При децентрализованной форме все виды ремонтов и техническое
обслуживание оборудования выполняются силами цеховых ремонтных баз (ЦРБ) под
руководством механиков цехов. На этих базах восстанавливаются изношенные
детали. Новые сменные запасные детали изготавливаются в РМЦ. Здесь же могут
восстанавливаться изношенные детали, требующие применения специального
технологического оснащения и оборудования. В отдельных случаях, по специальному
указанию главного механика, РМЦ проводит капитальный ремонт технологического
оборудования. Такая организация ремонта свойственна предприятиям массового и
крупносерийного производства с большим числом оборудования в каждом цехе (с
суммарной сложностью не менее 800-1000 ремонтных единиц).
Смешанная форма организации ремонтных работ характеризуется
тем, что наиболее сложные и трудоемкие работы (капитальный ремонт, модернизация
оборудования, изготовление запасных частей и восстановление изношенных деталей)
производятся силами РМЦ, а техническое обслуживание, текущий и средний ремонты,
внеплановые ремонты - силами ЦРБ, комплексными бригадами слесарей,
закрепленными за участками. Под влиянием научно-технического прогресса, с
возрастанием доли сложного, прецизионного и автоматического оборудования и с
повышением требований к качеству продукции наметилась тенденция перехода от
децентрализованной формы к смешанной. При переходе средних и крупных
предприятий на смешанную форму организации ремонтных работ целесообразно
концентрировать в РМЦ все виды работ, выполняемых в больших объемах (средние и
капитальные ремонты, изготовление запасных частей и др.).
Рациональная организаций выполнения ремонтных работ позволяет
сократить время простоя оборудования в ремонте и повысить коэффициент его
использования. Сокращение времени простоя достигается за счет:
• снижения трудоемкости ремонта при внедрении прогрессивной
технологии и форм организации работ, комплексной механизации и автоматизации
процессов;
• снижения ремонтной сложности оборудования при его
модернизации;
• комплексной и материальной подготовки ремонтных работ;
• расширения фронта работ по каждому объекту и увеличения
сменности при выполнении работ сквозными бригадами;
• специализации рабочих мест;
• внедрения узлового и последовательно-узлового методов
ремонта;
• организации выполнения ремонтов в нерабочие дни и смены.
При узловом методе подлежащие ремонту узлы снимаются и
заменяются запасными (новыми или отремонтированными заранее). При
последовательно-узловом методе узлы ремонтируются не одновременно все, а
последовательно во время перерывов в работе станка.
Технико-экономические
показатели ремонтной службы.
При анализе и оценке работы ремонтной службы используются
следующие технико-экономические показатели:
. Время простоя оборудования в ремонте, приходящееся на одну
ремонтную единицу. Этот показатель определяется делением суммарного простоя
оборудования в ремонте на число ремонтных единиц оборудования, которое
подвергается ремонту в данном плановом периоде. Необходимо добиваться
максимального сокращения этого времени.
. Число ремонтных единиц установленного оборудования,
приходящееся на одного ремонтного рабочего. Это число характеризует
производительность труда ремонтных рабочих, которая должна постоянно
увеличиваться.
. Себестоимость ремонта одной ремонтной единицы, определяемая
делением всех расходов (включая накладные) по ремонту в течение определенного
времени (например, в течение года) на число ремонтных единиц оборудования,
ремонтируемого за этот же плановый период. Необходимо стремиться к
максимальному снижению этого показателя.
. Оборачиваемость парка запасных деталей, равная отношению
стоимости израсходованных запасных деталей к среднему остатку их в кладовых.
Этот показатель должен быть максимально большим.
. Число аварий, поломок и внеплановых ремонтов на единицу
оборудования, характеризующее эффективность системы ППР. Оно должно быть
минимальным.
Между этими показателями существует определенная зависимость.
Сокращение времени простоя оборудования в ремонте, приходящегося на одну
ремонтную единицу, приводит к увеличению числа ремонтных единиц установленного
оборудования, приходящегося на одного ремонтного рабочего, так как один и тот
же объем ремонтных работ при сокращении времени на него может быть выполнен
меньшим количеством рабочих. Это обусловливает снижение себестоимости ремонта
одной ремонтной единицы. Улучшение первых трех показателей достигается
посредством более эффективной организации ремонтных работ и ремонтного
хозяйства, что приводит к улучшению четвертого показателя. Анализ всех
показателей проводится в сравнении с показателями, достигнутыми на
специализированных ремонтных предприятиях.
2. Расчетная часть
.1
Определение аналитическим методом длительности цикла изготовления партии
предметов труда при трех видах движения предметов труда по операциям
Исходные данные в таблице 2.1.
Таблица 2.1 - Исходные данные
|
Норма штучного
времени на i-ой операции, мин (ti)
|
Операция
|
Размер партии
изготовления деталей, шт. (n)
|
Передаточная
партия, шт.
|
|
1
|
2
|
3
|
4
|
5
|
6
|
|
Р1
|
Р2
|
Р3
|
Р4
|
|
7
|
7
|
8
|
6
|
5
|
1
|
27
|
1
|
3
|
9
|
27
|
|
Количество
рабочих мест на i-ой операции, шт. (сi)
|
1
|
2
|
1
|
1
|
1
|
1
|
|
|
|
|
|
Длительность
цикла при последовательном виде движения предметов труда по операциям
Длительность изготовления партии деталей определяется по
формуле:

Длительность
цикла при параллельном движении предметов труда по операциям
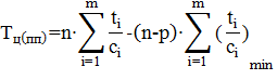
Длительность цикла изготовления партии деталей определяется
по формуле:
где 
(пар) - длительность цикла изготовления партии деталей
при параллельном виде движения деталей по операциям, мин;

) max -
максимальное значение из всех операций, мин;
Р - размер передаточной партии, шт.
Из формулы получим:

При Р1=1
При Р2=3
При Р3=9
При Р4=27
Длительность
цикла при параллельно-последовательном движении предметов труда по операциям
Длительность цикла изготовления партии деталей определяется
по формуле:
где 
(пп) - длительность цикла изготовления партии деталей
при параллельно-последовательном виде движения деталей по операциям, мин;

)min -
минимальное значение каждой пары смежных операций, мин.
Имеем
При Р1=1
При Р2=3
При Р3=9
При Р4=27
2.2
Определение графическим методом длительности цикла изготовления партии предметов
труда при трех видах движения предметов труда по операциям (Р3=9)
Последовательный
вид движения
При последовательном виде движения предметов труда по
операциям длительность цикла определяется на основе построения графической
модели, представленной на рисунке 2.1.
Рисунок 2.1 - Модель организации процесса изготовления партии
деталей при последовательном виде движения их по операциям
Последовательный вид движения предметов труда характеризуется
тем, что каждая последующая операция над партией начинается только после
обработки ее на предыдущей операции. При этом партия не дробится, а передается
в полном.
Технологический цикл определяется по формуле:
Таким образом, технологический цикл пропорционален размеру
партии и трудоемкости операций. При этом имеют место существенные перерывы
партионности.
Параллельный
вид движения
При параллельном виде движения предметов труда по операциям
длительность цикла определяется на основе построения графической модели,
представленной на рисунке 2.2.
Рисунок 2.2 - Модель организации процесса изготовления партии
деталей при параллельном виде движения их по операциям
Параллельный вид движения предметов труда в производстве
характеризуется тем, что небольшие передаточные партии или отдельные штуки
передаются с предыдущей операции на последующую немедленно по окончании их
обработки на предыдущей (вне зависимости от длительности смежных операционных
циклов). При этом партия разделяется на небольшие передаточные (транспортные)
партии р или даже отдельные штуки, которые имеют независимое от всей партии
движение в процессе обработки. Технологический цикл при параллельном виде
движения изделий рассчитывается по формуле:
При этом партии или отдельные штуки в процессе обработки не
пролеживают, однако рабочие места загружены не полностью. Таким образом, в этом
случае имеет место параллельность, наиболее короткий цикл, но так же, как и
ранее, не достигается непрерывность.
Параллельно-последовательный
вид движения
При параллельно-последовательном виде движения предметов
труда по операциям длительность цикла определяется на основе построения
графической модели, представленной на рисунке 2.3.
Рисунок 2.3 - Модель организации процесса изготовления партии
деталей при параллельно-последовательном виде движения их по операциям
Параллельно-последовательный вид движения предметов труда
предусматривает такой порядок передачи изделий (или небольших передаточных
партий), при котором достигается наибольшая одновременность выполнения
операционных циклов, причем вся партия обрабатывается на каждой операции
непрерывно. Вся партия деталей в n штук передается по операциям частями,
транспортными (передаточными) партиями в р штук или поштучно. Цикл при
параллельно-последовательном движении предметов труда меньше, чем при
последовательном вследствие наличия параллельности протекания каждой пары
смежных операционных циклов:
В процессе возможны два варианта сочетания смежных
операционных циклов:
а) при Топ m < Tоп (m+1)
б) при Топ m > Tоп (m+1)
Степень параллельности операционных циклов в этих вариантах
будет различной. В первом случае партию на последующую операцию (m+1) можно
передавать немедленно после окончания обработки первой штуки или передаточной
партии на предыдущей операции m и беспрерывность обработки будет обеспечена. Во
втором случае непрерывность обработки партии на последующей операции может быть
достигнута лишь при накоплении перед началом ее минимально необходимого задела
деталей и, следовательно, последующая операция может быть начата в более
поздний момент времени. При такой организации в процессе не достигается полной
непрерывности, так как детали пролеживают в ожидании обработки.
2.3
Исследование зависимостей длительности цикла от изменения размера передаточной
партии
Исследование изменения длительности цикла от размера
передаточной партии и вида движения предметов труда по операции проведем на
основании анализа данных графика 2.4, 2.5 и расчета длительности цикла
изготовления партии деталей при различных значениях Р.
Зависимость
длительности цикла изготовления партии деталей n при различных значениях
Р
График, отображающий динамику изменения длительности цикла
изготовления партии деталей в зависимости от величины Р и вида движения
предметов труда по операциям, представлен на рисунке 2.4.
Рисунок 2.4 - Зависимость длительности цикла изготовления
партии деталей n от размера передаточной партии P
Глядя на график зависимости длительности цикла изготовления
партии деталей n от размера передаточной партии P видно, что с увеличением
Р длительность цикла при последовательном виде движения предметов труда по
операциям не изменяется, с увеличением Р длительность цикла при параллельном
виде движения предметов труда по операциям увеличивается, с увеличением Р
длительность цикла при параллельно-последовательном виде движения предметов
труда по операциям увеличивается.
Анализ изменение величин Тц(пос), Тц(пар),
Тц(пп от изменения Р
Из графика представленного на рисунке 2.4 видно, что с
увеличением Р:
· длительность цикла при последовательном
виде движения предметов труда по операциям не изменяется (при Р3 Тц(пос)=823,5
мин);
· длительность цикла при параллельном виде
движения предметов труда по операциям увеличивается (при Р3 Тц(пар)=418,5
мин);
· длительность цикла при
параллельно-последовательном виде движения предметов труда по операциям
увеличивается (при Р3 Тц(пп)=481,5 мин).
При это сохраняется соотношение Тц(пос)>Тц(пп)>Тц(пар).
При максимальном и минимальном значениях Р имеем максимальные и минимальные
значения Тц(пп), Тц(пар) соответственно. А значение Тц(пос)
не зависит от Р.
Определим при каком виде движения предметов труда по
операциям изменения размера Р оказывает наибольшее влияние на длительность
цикла изготовления партии этих предметов.
Для этого произведем необходимые расчеты, результаты которых
сведем в таблицу 2.2.
Таблица 2.2 - Расчет темпов возрастания значений длительности
циклов с увеличением размера передаточной партии
|
α=pi/p1
|
αi
|
Kпослi
=Тпослi/Тпосл1
|
Kпарi=Тпарi/Тпар1
|
|
α1= p1/p1
|
1
|
1
|
1
|
1
|
|
α2= p2/p1
|
3
|
1
|
1,189
|
1,115
|
|
α3= p3/p1
|
9
|
1
|
1,755
|
1,461
|
|
α4= p4/p1
|
27
|
1
|
3,453
|
2,499
|
Используя результаты таблицы 2.2, построим график (рисунок
2.5), отражающий динамику темпов возрастания размеров передаточной партии Р и
длительностей цикла.
Рисунок 2.5 - Динамика темпов возрастания размеров
передаточной партии Р и длительности цикла
На основании результатов расчетов, приведенных в таблице 2.2,
и графика (рисунок 2.5), можно сделать вывод, что изменение Р оказывает
наибольшее влияние на длительность цикла при параллельном виде движения детали
по операциям.
Выводы
Пути сокращения простоя оборудования в ремонтах - важная
организационно-экономическая задача. Её решение приводит к уменьшению парка
оборудования (или к увеличению выпуска продукции), повышению коэффициента его
использования.
Прогрессивным направлением организации ремонтного хозяйства
является создание ремонтных баз на предприятиях - изготовителях оборудования.
При такой организации предприятия-изготовители становятся более
заинтересованными в совершенствовании конструкций изделий, повышении их
ремонтопригодности и равно износостойкости отдельных их частей. Особо важное
значение имеет развитие фирменного ремонта такого оборудования, как станки с
ЧПУ, автоматизированные и роботизированные комплексы.
Важнейшая задача - добиться, чтобы все предприятия,
эксплуатирующие оборудование, а также специализированные ремонтные предприятия
были обеспечены запасными деталями. Все виды ремонтов выполняются за счет
ремонтного фонда.
Основными направлениями совершенствования ремонтного
хозяйства и повышения эффективности его функционирования могут быть:
• в области организации производства - развитие специализации
и кооперирования в выпуске основной продукции, в организации ремонтного
хозяйства;
• в области планирования воспроизводства ОПФ - применение
научных подходов и методов менеджмента;
• в области проектирования и изготовления запасных частей -
унификация и стандартизация элементов запасных частей, применение систем
автоматизированного проектирования на основе классификации и кодирования,
сокращение продолжительности проектных работ и повышение их качества;
• в области организации работ - соблюдение принципов
рациональной организации производства (пропорциональности, параллельности и
др.), применение сетевых методов и ЭВМ;
• в области технического надзора, обслуживания и ремонта ОПФ
- развитие предметной и функциональной специализации работ, повышение
технического уровня ремонтно-механического цеха, усиление мотивации повышения
качества труда и др.
Преимуществом последовательного движения партии деталей
является отсутствие перерывов в работе рабочих и оборудования на всех
операциях. Однако этот вид движения имеет и существенные недостатки. Во-первых,
детали пролеживают в течение длительного времени из-за перерывов, свойственных
данному виду движения, в результате чего создается большой объем незавершенного
производства. Во-вторых, продолжительность производственного цикла значительно
увеличивается из-за отсутствия параллельности в обработке деталей. В связи с
этим последовательное движение применяется преимущественно в единичном и
мелкосерийном производствах, так как на таких предприятиях весьма широкая
номенклатура изделий, а обработка деталей ведется небольшими партиями, что
приводит к сокращению перерывов и влияния их на продолжительность
производственного цикла.
Преимущество параллельного вида движения состоит в том, что
он обеспечивает наименьшую продолжительность технологического цикла и особенно,
если процесс синхронизированный, а также равномерную загрузку рабочих и
оборудования и высокую производительность труда. Данный вид движения
применяется в серийном и массово-поточном производствах.
Достоинством параллельно-последовательного вида движения
является отсутствие перерывов в работе рабочих и оборудования и значительное
сокращение продолжительности производственного цикла по сравнению с
последовательным видом движения. Данный вид движения позволяет вести работу
большими партиями и при большой трудоемкости изготовления деталей, благодаря
чему он широко используется в серийном и крупносерийном производстве.
Литература
1. Аврашков
Л.Я. Адамчук В.В., Антонова О.В., и др. Экономика предприятия.-М., ЮНИТИ, 2001.
2. Вильям
ДЖ. Стивенсон Управление производством. - М., ЗАО «Изд-во БИНОМ», 2000.
. Ефимычев
Ю.И., Стрелкова Л.В., Ильичева Н.М..Организация производства: учебное пособие.
Н. Новгород: Изд-во ННГУ им. Н.И. Лобочевского, 2004. - 230с
4. Кожекин
Г.Я., Синица Л.М., Оргпнизация производства: Учебное пососбие. - Мн.: ИП
«Экоперспектива», 1998 г. - 334 с.
. Калачева
А.П. Организация работы предприятия.-М.:ПРИОР, 2000. - 431с.
6. Мелюшин
П.В. Организация производства - Мн: БНТУ, 2008. - 78с.
. Синица
Л. М. Организация производства: учеб. пособие/ Л. М. Синица. - Минск:
Издат.-вычислит. центр Минфина, 2008. - 540с.
8.
Фатхутдинов Р.А., Оргпнизация произхводства: Учебник. - М., ИНФРА-2001 - 672с.