для студентов
спец. 7.090218 «Металлургическое оборудование» и 7.090214
«Подъемно-транспортные, строительные, сельскохозяйственные, дорожные,
мелиоративные машины и оборудование»
Лавренова Р.И. Конспект лекций по
дисциплине «Внутрифирменное планирование и управление». - Мариуполь: ПГТУ,
2007. - 40с.
В конспекте лекций изложены темы, связанные с внутрифирменным
планированием и управлением предприятием (фирмой) в рыночных условиях
хозяйствования, в т.ч. рассмотрены вопросы: классификации фирм, конструкторской
подготовки производства, организации и планирования ремонтного хозяйства,
сетевое планирование и управление, бизнес-планирование.
Конспект лекций предназначен для студентов специальностей 7.090218
«Металлургическое оборудование» и 7.090214 «Подъемно-транспортные,
строительные, сельскохозяйственные, дорожные, мелиоративные машины и
оборудование» дневной и заочной форм обучения, в т. ч. для самостоятельного
изучения дисциплины.
старший преподаватель Р.И. Лавренова
зав. кафедрой экономики предприятий
доцент, к.т.н. А.А. Мелихов
доцент, к.г.н. В.В. Тюрина
Тема 1.
Предмет и задачи дисциплины. Классификация фирм
.3 Методы
расчета себестоимости и цены изготовления новой или модернизации действующей
техники на различных этапах проектирования
.4 Расчет
эксплуатационных затрат и показателей эффективности использования новой или
модернизируемой техники
Тема 4.
Организация, планирование и управление ремонтным хозяйством предприятия
.1 Задачи
ремонтного хозяйства. Управление ремонтным хозяйством предприятия
Тема 1. Предмет и задачи дисциплины. Классификация фирм
Управление (менеджмент) - это взаимосвязанные процессы планирования,
организации, мотивации и контроля, необходимые для того, чтобы сформулировать
цели фирмы (предприятия) и достичь их.
Сущность планирования состоит в обосновании целей и способов их
достижения на основе выявления комплекса задач и работ, а также определения
эффективных методов и способов и ресурсов всех видов, необходимых для
выполнения этих задач и установления их взаимодействия.
Предприятие, фирма, - люди, неискушенные в юриспруденции и коммерции,
нередко путают эти понятия.
Предприятие - это самостоятельно хозяйствующий субъект, на котором
осуществляется производство продукции, выполняются работы или оказываются
услуги, т.е. - это завод, фабрика, комбинат и т.д. (см. Закон «О предприятиях в
Украине»).
Под термином «фирма» понимается экономический субъект, занимающийся
различными видами деятельности и обладающий хозяйственной самостоятельностью,
т.е. фирма - это организация или юридически самостоятельный предприниматель, который
владеет фирмой и ведет хозяйственную деятельность на предприятии или
предприятиях.
Многие фирмы владеют и управляют несколькими предприятиями, деятельность
которых организуется по различным принципам, и такие фирмы могут выступать в
роли различных объединений.
Классификация фирм по различным признакам дает возможность получить
представление об организационно-правовом положении, характере и масштабах
деятельности, позициях фирм на рынках и внутрифирменных отношениях.
. По наименованию:
смешанные - «Металлургический комбинат им. Ильича» (отражают
характер деятельности и фамилию или имя)
. По виду и характеру хозяйственной деятельности:
3. По правовому положению: хозяйственные общества (ОПО, ОДО, ООО, АО,
коммандитные общества, кооперативы и объединения предприятий), т.е.
- кому предоставляется право (полномочия) заключать сделки от
имени фирмы,
в какие объединения имеют право по собственному желанию
объединяться фирмы.
. По характеру собственности:
. По принадлежности капитала и контролю:
. По сфере деятельности:
Предметом дисциплины является изучение планирования и управления - как
отрасли знаний, сочетающей достижения экономических, социологических,
психологических, правовых, технических и других отраслей, теорию и практику
планирования и управления, гибкое и активное их применение на отдельной фирме
(на предприятии).
Задачей дисциплины является изучение теоретических и получение
практических навыков планирования деятельности и управления фирмой
(предприятием), приобретение знаний анализа и планирования, выполнения
технико-экономических расчетов и обоснование плановых показателей
Тема 2. Планирование производственной программы предприятия в условиях
рыночной экономики
Производственная программа предприятия - это раздел бизнес-плана или
плана предприятия, в котором определяется задание по производству и реализации
определенного количества продукции в номенклатуре, ассортименте и качестве в
установленные сроки.
Производственная программа является одним из центральных разделов
планирования и регулирования экономической и хозяйственной деятельности
предприятия.
Как раздел комплексного управления и планирования производства,
производственная программа является тем разделом плана, на основе которого
определяется потребность в трудовых, материальных и прочих производственных
ресурсах. Она оказывает большое влияние на планы развития техники, капитального
строительства, на рентабельность производства, финансы предприятия и т.д.
В условиях перехода Украины к рыночной экономике, необходимо применять
методы планирования производственных процессов, основанные на теории и методах
маркетинговой стратегии в производстве. Т.е. производственная программа должна
разрабатываться в тесной взаимосвязи с планированием рынков сбыта, а значит с
полной реализацией продуктов производства.
. План производства и сбыта продукции в натуральном выражении.
Ассортимент - это разновидность продукции определенной номенклатуры,
отличающейся друг от друга технико-экономическими характеристиками
(типоразмерами, производительностью, мощностью, качеством, внешним видом и
т.д.)
Качество - комплекс эксплуатационных характеристик и конструктивных
особенностей товара.
. План производства продукции в стоимостном выражении.
где Qi - количество готовых изделий i-го вида продукции, подлежащих
реализации, в натуральном выражении, т, шт.
Цi - цена изделия i-го вида продукции, грн/т, шт.- количество видов
продукции.
соответственно объём отгруженной, но не оплаченной продукции на конец и
начало соответствующего периода, грн.
В
целях выявления результатов производственной деятельности предприятия без учета
затрат прошлого труда, для учета динамики производства продукции и зависящих от
предприятия экономических и других показателей, предприятие может осуществлять
оценку своей деятельности по чистой продукции.
где
- Зм, Зт, Зэл, Зпрч - соответственно затраты на материалы, топливо, энергию,
прочие материальные затраты, грн;
3. План кооперированных поставок.
В сложившейся практике хозяйствования Украины предприятие составляет план
кооперированных поставок в случае, если самостоятельно не производит готовую
продукцию от начала до конца, а пользуется полуфабрикатами других предприятий.
4. План развития специализации производства.
Общая специализация предприятия определяется характерными особенностями
его производства.
Специализация производства, производственных процессов непосредственно
связанных с разработкой производственной программы предприятия зависит от
многих факторов:
Общая специализация предприятия дифференцируется во внутризаводскую,
внутризаводская во внутрицеховую.
. Внутризаводское планирование.
|
Оперативно-диспетчерское планирование
|
Межцеховое планирование
|
Внутрицеховое планирование
|
Показатели внутризаводского планирования:
- размер партии деталей
- длительность производственного цикла
задел
- такт (ритм)
6. Календарный план выпуска продукции.
Определив возможности выпуска продукции в единицу времени, планируют
полный объём выпускаемой продукции на текущий календарный период по участкам,
цехам и в целом по предприятию по показателям разделов 1 и 2.
. Баланс производственных мощностей и
основных фондов
При анализе загрузки участков и цехов предприятия объём предполагаемого
выпуска продукции сравнивается с производственной мощностью.
Производственная мощность цеха (предприятия) - это потенциальная способность к
максимальному выпуску продукции в планируемых номенклатуре и ассортименте в
единицу времени (как правило, год) при полной загрузке и использовании основных
производственных фондов и производственных площадей на основе передовых
технологий организации производства и труда, обеспечивающих выпуск
конкурентоспособной продукции высокого качества.
Производственная мощность определяется объемом готовой продукции и
формируется под воздействием рынка сбыта и исходящих из этого факторов
(номенклатура, ассортимент изделий, трудоемкость, длительность
производственного цикла, уровень квалификации рабочих кадров, уровень
специализации, наличие рабочих площадей и др.)
Показатели производственной мощности:
- мощность паспортная - максимально возможная (номинальная)
- мощность установленная - максимальная мощность в данных
условиях установки оборудования
- мощность действительная - фактическое количество продукции,
изготовленной на оборудовании
- мощность среднегодовая определяется по формуле:
где - Мн - производственная мощность на начало
года,
соответственно установленная мощность, вводимая и
выбывшая в течение года,
соответственно количество полных месяцев в году, в
которых производственные мощности работали или не работали до конца года,
выходная
производственная мощность, т.е. мощность на конец года определяется по формуле:
Мвых= Мн+Мвв-Мвыб
-
напряженная производственная программа, т.е. среднегодовой баланс
производственных мощностей определяется по формуле:
Мнапр=Мн+Мвв-Мвыб+ΔМорт+ΔМрм
- где ΔМорт - прирост производственных мощностей
за счет совершенствования технологии и организации производства
ΔМрм - прирост
производственных мощностей за счет реконструкции и модернизации.
.2 Принципы, этапы и методы разработки производственной программы
Принципы, применяемые при разработке производственной программы:
- напряженность производственной программы, т.е. максимально
возможное использование ресурсов, участвующих в производстве
- взаимная согласованность всех разделов производственной
программы и их экономическое обоснование
взаимная согласованность планов производителя с поставщиками
(кооперация) и потребителями
систематическое обновление производимой продукции в
номенклатуре и ассортименте
- непрерывное наращивание выпуска и сбыта продукции и др.
Этапы разработки производственной программы:
- определение спроса на продукцию в номенклатуре и ассортименте
- анализ ожидаемого выполнения плана по выпуску и сбыту продукции
предварительная разработка важнейших плановых показателей
производственной программы на основе госзаказа и отдельных потребителей в
ассортименте
техническое и экономическое обоснование производственной
программы, расчет мощностей, трудовых, материальных и финансовых ресурсов
увязка показателей производственной программы с другими
разделами плана предприятия.
Методы разработки производственной программы:
Упрощенные методы:
- метод прямого счета, при помощи которого определяют потребность
в продукции согласно спросу потребителей
- метод укрупненных нормативов (наиболее простой, достоверный и
показательный), применяется на этапе разработки производственной программы,
учитывая, что по всем видам ресурсов и производства продукции существуют
укрупненные нормативы предварительной разработки производственной программы.
метод отраслевого баланса, применяется на заключительной стадии
формирования производственной программы по отрасли или в целом по
промышленности
Эти методы в целом упрощенные и направлены преимущественно на
регулируемое распределение продукции.
Мировая рыночная экономика выработала теорию стратегического управления
производством продукции с ориентацией на рынок сбыта с жесткой конкуренцией,
т.е. систему маркетинга.
Производственная программа в этих условиях подчинена сбыту продукции и
значит необходимо обеспечить выполнение требований маркетинга в ходе всего
процесса производства.
Для разработки производственной программы предприятий, работающих в
условиях рыночной экономики, потребовались аналитические методы, использующие
компьютерную технику и моделирование.
Аналитические методы:
- метод линейного программирования - это математический метод для
выбора альтернативных решений, обеспечивающих минимальные расходы всех видов
ресурсов, максимальный уровень прибыли и минимальные затраты времени на производство
продукции,
- метод деловых игр - т.е. анализ реальных производственных
ситуаций, требующий безотлагательных решений и на его основе разработка
производственной программы,
метод использования массового обслуживания - т.е. использование
ряда закономерностей связанных с наличием потока заявок на обслуживание и
обязательным соблюдением очередности их выполнения. Наибольшее применение эта
теория может иметь при обработке заказов, составлении графиков поставок и
управления запасами, а также при планировании работ и услуг обслуживающего
характера,
метод моделирования - т.е. использование, как правило, в
математической форме системы известных или предполагаемых взаимосвязей между
событиями, действиями или процессами.
Экономические методы позволяют проследить, как проявляются и
взаимодействуют различные экономические факторы при разработке экономических и
производственных ситуаций, т.е. при обосновании производственной программы.
- метод теории связи - т.е. использование информационных и
коммуникационных потоков внутри заданной системы для оценки её эффективности с
целью усовершенствования или оптимизации,
- метод сетевого планирования - т.е. использование
математического программирования и статистических приёмов для планирования и
регулирования последовательных и взаимозависимых видов работ.
.3 Экономическое и техническое обоснование производственной программы
Выполнение производственной программы предприятия зависит от обеспечения
производства определенной группы изделий в номенклатуре и ассортименте всеми
видами ресурсов, участвующих, как в процессе изготовления продукции, так и в её
реализации.
Технический уровень производства на определенный момент времени в
значительной степени определяет возможности выполнения производственной
программы и должен быть технически обоснован.
Техническое обоснование производственной программы определяется на основе
показателей:
. Возрастной структуры и технического состояния производственных фондов
. Степени механизации и автоматизации производственных процессов
. Прогрессивности применяемых технологических ресурсов.
Для обоснования производственной программы с учетом производственных
мощностей, представленных средствами труда, необходимо планировать динамику
производства и сбыта продукции. Если предусматривается дополнительный её
выпуск, необходимо определить потребуются ли дополнительные мощности, и нужны
ли инвестиции, или предприятие обеспечит выполнение производственной программы
за счет интенсификации существующих ресурсов (модернизация, реконструкция).
Если прирост продукции не обеспечивается за счет интенсификации
существующих факторов, ставится вопрос о вводе дополнительных производственных
мощностей, т.е. о техническом обосновании производственной программы. Для
приобретения таких мощностей, их транспортировки, монтажа, организации создания
необходимых площадей и освоения необходимы денежные средства. Наиболее
эффективным считается вариант, если предприятие может обеспечить прирост
мощностей за счет собственной прибыли. В противном случае необходимы кредиты
или другие формы инвестирования (в том числе государственные и коммерческие).
Обеспечение производственной программы финансовыми, трудовыми,
материальными и информационными ресурсами, а также расчет роста дополнительной
прибыли за счет прироста производственных мощностей является экономическим
обоснованием производственной программы.
планирование
производственный себестоимость ремонтный сетевой
Тема 3. Организация и планирование конструкторской подготовки
производства
3.1 Техническая и конструкторская подготовка производства
Процесс проектирования, изготовления и последующей эксплуатации новой
техники или ее модернизации включает несколько основных этапов:
). Научно-исследовательские работы (НИР).
). Опытно-конструкторские работы (ОКР).
). Технологическая подготовка производства (Тех. ПП).
). Эксплуатация новой техники.
НИР, ОКР и Тех. ПП являются составными частями технической подготовки
производства.
Техническая подготовка производства (ТПП) - это совокупность
взаимосвязанных процессов, обеспечивающих конструкторскую и технологическую
готовность предприятия к выпуску новых изделий заданного уровня качества,
объемов выпуска и минимальных затрат в установленные сроки.
Основными задачами НИР являются расширение, углубление, систематизация
знаний и информации для получения необходимых результатов по созданию новой
техники (НТ), новых технологических процессов на основе передовых методов
организации производства и труда.
НИР обычно подразделяют на 4 уровня:
- фундаментальные;
- поисковые;
прикладные;
ОКР.
ОКР осуществляются в процессе конструкторской подготовки производства и
направлены на создание новой техники конкретного эксплуатационного назначения.
Конструкторская подготовка производства (КПП) - это совокупность методов,
процессов и приемов, направленных на разработку конструкторской документации
для изготовления новой и усовершенствования выпускаемой продукции с заданными
параметрами качества в заданные сроки с наименьшими затратами.
Этапы конструкторской подготовки производства:
Этап 1. Техническое задание - это обоснование технической возможности
создания новой техники с высокими техническими параметрами качества при
максимальной экономической эффективности производства и эксплуатации этой
техники.
Этап 2. Техническое предложение - обоснование целесообразности создания
новой техники в целом; уточнение и расчёты себестоимости, показателей
эксплуатационной надёжности, технико-экономических показателей и общего
технического уровня новой техники.
Этап 3. Эскизный проект - разработка первоначальных эскизов будущей конструкции
новой техники и технико-экономическое обоснование этой конструкции.
Этап 4. Технический проект - разработка окончательного технического
решения, дающего полное представление о проектировании и устройстве новой
техники с технико-экономическим обоснованием.
Этап 5. Рабочий проект - разработка по результатам испытаний опытного
образца или предварительных расчётов полного комплекта конструкторской
документации на новую технику с технико-экономическим обоснованием.
Для повышения качества, сокращения сроков проектирования, максимальной
автоматизации всех проектных процедур и оптимального распределения функций
между человеком и ЭВМ на предприятиях создаются системы автоматического
проектирования (САПР).
(Содержание работ при выполнении этапов КПП см. Соколицын С.А.
«Организация и оперативное управление машиностроительным предприятием», Л.,
1988.)
3.2 Обоснование проектирования новой или
модернизации действующей техники
Обоснование проектирования новой или модернизации действующей техники
должно носить комплексный характер и подтверждать техническую, организационную,
экономическую и социальную целесообразность.
3.2.1 Обоснование технической
целесообразности
Для технического обоснования необходимо учитывать, что целесообразность
обеспечивается при сравнении показателей качества проектируемой
(модернизируемой) техники по сравнению с аналогом или базовой техникой.
В соответствии с обоснованием выбора базы для сравнения необходимо
выявить конструктивные недостатки действующего оборудования или аналога и выбрать
направление технических решений, обеспечивающих улучшение показателей качества
техники при её проектировании и изготовлении, а также эксплуатации. Для этого
необходимо оценить количественно изменение отдельных показателей качества
техники.
Оценка показателей технической целесообразности свойств качества
проектируемой техники по сравнению с базовой (аналогом) производится по
формуле:
,
если
увеличение показателя свойств качества новой техники (Pн) по сравнению с базовой (Pб) приводит к росту оценки показателя K,
либо по формуле:
,
если
уменьшение Pн по
сравнению с Pб приводит
к росту оценки показателя K.
Показатели
технической целесообразности:
1) коэффициент, характеризующий изменение срока службы машины
,
где
Tн, Tб - соответственно срок службы новой (модернизируемой)
и базовой машины, лет;
2) коэффициент, характеризующий изменение долговечности отдельных
деталей или узлов машины
,
где
tн, tб -
соответственно календарная продолжительность эксплуатации вновь устанавливаемой
детали (узла) и заменяемой, сут.;
3) коэффициент, характеризующий изменение производительности машины
,
где
Wн, Wб - соответственно удельная производительность новой и
базовой машины, т/ч;
)
коэффициент, характеризующий изменение качества продукции, производимой машиной
,
где
Цн, Цб - соответственно цена продукции, производимой с
помощью новой и базовой машины, грн/т, грн/шт;
)
коэффициент, характеризующий изменение эксплуатационного веса машины
,
где
Gб, Gн - соответственно эксплуатационный вес базовой и новой
машины, т/т.
Эксплуатационный
вес машины определяется
,
где
m - масса машины, т;
W -
производительность.
)
коэффициент, характеризующий нормы расхода материальных, энергетических или
топливных ресурсов при эксплуатации машины
,
где
Нб, Нн, - соответственно нормы расхода всех видов
ресурсов при эксплуатации базовой и новой машины;
)
коэффициент, характеризующий изменение времени восстановления работоспособности
машины
,
где
tб, tн - соответственно время восстановления базовой и новой
машины, ч.
Интегральная
оценка изменения отдельных свойств качества машины определяется как
среднегеометрическая величина
При
Kинт > 1
обеспечивается техническая целесообразность проектирования новой или
модернизации действующей техники.
.2.2
Обоснование организационной целесообразности.
Организационная
целесообразность должна быть направлена на стандартизацию и унификацию
технических решений, на специализацию в процессе выполнения этапов КПП,
механизацию и автоматизацию ПКР для достижения технологичности конструкции.
Использование
при проектировании или модернизации техники большого количества стандартных
элементов сокращает цикл подготовки производства, а значит снижает затраты на
проектирование.
Стандартизация
- это совместная творческая работа различных специалистов по разработке
комплекса мероприятий по установлению типов и параметров различных машин и
механизмов, средств механизации и автоматизации, материалов, полуфабрикатов и
комплектующих изделий с учётом перспективного развития техники и народного
хозяйства.
Показателем
стандартизации является коэффициент стандартизации:
,
где
Нст, Нобщ - соответственно количество стандартизированных составных частей и
общее количество составных частей в новой технике.
Стандартизация
тесно связана с повышением качества продукции и унификацией.
Унификация
- это комплекс мероприятий, обеспечивающих устранение излишнего многообразия
типов и конструкций новой техники, форм и размеров деталей, профилей и марок
материалов, методов инженерных расчётов, технической документации и т.д.
Унификация
создаёт условия для использования преимущественно специализированного
производства повторяющихся изделий и их элементов.
Показателем
унификации является коэффициент унификации:
,
где
Нун - количество типоразмеров деталей унифицированных с деталями
других изделий.
Обобщенный
показатель стандартизации и унификации:
.
Организационную
целесообразность характеризует также показатель применяемости
стандартизированных деталей и узлов, унифицированных и оригинальных деталей и
узлов - коэффициент применяемости:
,
где
Нор - количество оригинальных деталей и узлов в новой технике.
Коэффициент
оригинальности:
.
Организационная
целесообразность определяется на основе технологичности новой техники.
Под
технологичностью понимают придание любой конструкции такой формы и выбор для
неё таких материалов, которые обеспечивают при условии выполнения конструкцией
заданных функций ее наиболее экономичное и простое изготовление, а также
сокращение затрат времени и средств на ремонт и техобслуживание.
Для
обеспечения технологичности необходимо учитывать все предъявляемые к
конструкции конструктивные, технологические и эксплуатационные требования.
Различают
производственную и эксплуатационную технологичность.
Производственная
технологичность характеризуется показателями:
1) Материалоёмкость новой машины:
,
где
Мч, Мц, Мнем, Мi - соответственно расход материалов из заготовок
чёрных, цветных металлов, неметаллических и i-ых материалов,
т.
2) Удельная материалоёмкость:
,
где
N - определяющий эксплуатационный параметр новой техники
(масса, производительность, мощность электродвигателей и т.д).
3) Коэффициент использования материалов:
,
где
m - чистая масса конструкции, т.
4) Трудоёмкость изготовления конструкции:
,
где
tз, tм,
tсв, ti - соответственно трудоёмкость заготовительных,
механосборочных, сварочных и других работ, н.ч.
5) Удельная трудоёмкость изготовления конструкции:
.
6) Удельная себестоимость проектируемой и изготавливаемой новой
техники:
,
где
Сполн - полная себестоимость изготавливаемой новой техники, грн.
Эксплуатационная
технологичность характеризуется показателями:
1) Удельная трудоёмкость ремонтов:
,
где
Тобщ - трудоёмкость всех видов плановых ремонтов и техобслуживания
новой техники, н.ч.
2) Удельные затраты на ремонт:
,
где
Срем - общие затраты на все виды плановых ремонтов при эксплуатации
новой техники, грн.
Проектирование
новой или модернизация действующей техники организационно целесообразны, если
удельные показатели аналога (базовой) техники меньше удельных показателей новой
(модернизируемой) техники.
.2.3
Обоснование экономической целесообразности
Особенностью
расчета экономической эффективности проектирования (модернизации) является
определение суммарного экономического эффекта в сфере проектирования,
производства и эксплуатации новой конструкции.
Капитальные
затраты в сфере эксплуатации новой техники определяются с учетом ее стоимости и
сопутствующих капитальных вложений потребителя:
K = Ц + K',
где
Ц - цена приобретения новой техники, грн,
K' -
сопутствующие капитальные вложения, связанные с транспортировкой и монтажом
новой техники, грн.
Сопутствующие
капитальные вложения определяются по формуле:
где
aтр, aм - затраты
на транспортировку и монтаж в процентах от цены новой техники.
Комплексную
оценку экономической целесообразности проектирования (модернизации) определяют
на основе расчетов показателей экономической эффективности.
3.2.4 Обоснование
социальной целесообразности.
При
проектировании новой техники необходимо учитывать, в какой мере предложенная
конструкция улучшает условия и привлекательность труда, его безопасность,
эстетические факторы и т.д.
.3
Методы расчёта себестоимости и цены новой или модернизации действующей техники
на различных этапах конструкторской подготовки производства
.3.1 Этап эскизного
проектирования
На
этапе эскизного проектирования применяются различные методы:
1. Суть метода аналогии состоит в том, что себестоимость или цена
проектируемой машины рассчитывается на основании известных, на данной стадии
параметров машины и зависимостью между этими параметрами и себестоимостью или
ценой машины. При этом предполагается только прямая зависимость между ними.
Цена новой машины при этом методе определяется по формуле:
,
где
Цед.м - ценовой показатель за единицу массы машины, грн/т;
mн - масса новой машины, т.
,
где
Цб ,mб -
соответственно цена и масса базовой машины.
При
расчётах этим методом выявляется значительная погрешность в определении
себестоимости или цены, поэтому при наличии достаточного количества показателей
цену целесообразно рассчитать другими методами.
2. В методе баллов используется не один параметр машины, а
несколько. Каждому параметру присваивается определённое количество баллов, а по
сумме баллов по всем параметрам определяется цена проектируемой машины.
Предельную величину балла следует брать небольшую(2-3 ед.).
. Метод структурных аналогий базируется на структуре
себестоимости аналогичной машины и на детальном расчете одного из элементов или
одной статьи себестоимости проектируемой машины.
Себестоимость по этому методу можно рассчитать по формуле:
,
где
Сi - затраты по i-ой статье
затрат в калькуляции себестоимости машины, грн,
gi - удельный вес i-ой статьи затрат
в себестоимости аналогичной машины, %.
4. Если на стадии эскизного проектирования известны удельные нормы
расхода материальных и трудовых ресурсов, представляется возможность рассчитать
затраты на материалы по формуле:
,
где
Нм, Цм - соответственно удельная норма расхода материалов
на единицу массы машины и цена за единицу массы машины,
и
затраты на заработную плату производственных рабочих:
,
где
tм -
удельная трудоёмкость на единицу массы машины, н.ч/т,
Зед.м
- зарплата рабочих за единицу массы машины или за один час трудоёмкости
изготовления машины, грн.
5. На основе корреляционного метода определяются такие зависимости,
в которых при одних и тех же значениях x можно получить различные значения y. Корреляционная связь или её отсутствие как правило
устанавливается графическим методом построения поля корреляции.
Корреляционная зависимость между себестоимостью (ценой) машины и
каким-либо её параметром выражается в виде линейного уравнения:
,
где
yi - зависимый параметр (себестоимость);
xi -
учитываемый параметр (аргумент);
ao, ai - постоянные коэффициенты уравнения, характеризующие степень влияния
учитываемого параметра на себестоимость машины.
.3.2
Этапы технорабочего проектирования.
На
этапах технорабочего проектирования используются все ранее перечисленные
методы, но наиболее точным является поузловой метод, при котором себестоимость
проектируемой машины можно рассчитать по формуле:
,
где
Сор.i - себестоимость изготовления оригинальных деталей или
узлов собственными силами, грн,
Цi
- стоимость покупных (приобретённых по кооперации) стандартизированных деталей
или узлов, грн,
n, m -
соответственно количество оригинальных и стандартизированных деталей и узлов;
m - коэффициент,
учитывающий затраты на сборку и другие производственные затраты.
В
процессе проведения дальнейших работ по технологической подготовке производства
становятся известными точные нормы расхода материалов, нормы времени или
выработки, расхода технологической энергии и другие затраты, что позволяет
составить калькуляцию себестоимости проектируемой (модернизируемой) машины.
Цена
новой техники при этом методе определяется по формуле:
,
где
Пн - планируемая прибыль, грн.
Себестоимость
оригинальных деталей или узлов собственного изготовления можно определить
методом структурной аналогии:
,
где
См - материальные затраты при изготовлении оригинальных деталей или
узлов, грн;
g - удельный вес
материальных затрат в себестоимости изготовления оригинальных деталей или
узлов.
Материальные
затраты определяют по формуле:
,
где
m - масса используемых материалов, т,
Цм
- цена единицы массы используемых материалов, грн /т,
Кг
- коэффициент выхода годного при изготовлении оригинальных деталей или узлов.
Если
при модернизации машины не используются узлы или детали собственного
изготовления, цену можно определить поузловым методом по формуле:
где
Цб - цена машины до модернизации, (базовая), грн,
Цз.у,
Цн.у - соответственно цена заменяемых и новых узлов, грн,
n, m -
соответственно количество заменяемых и новых узлов;
Зм
- заработная плата бригады рабочих, осуществляющих модернизацию, грн,
qм - удельный вес учтённых материальных затрат и затрат
на зарплату в общих затратах на модернизацию.
Цену
нового узла определяют по формуле:
где
Цст - цена стандартизированных деталей, грн.
Зарплата
рабочих, занятых модернизацией, определяется по формуле:
,
где
Чм - численность рабочих в бригаде, занятых модернизацией, чел,
tм - продолжительность модернизации;
-
средняя часовая тарифная ставка бригады рабочих, занятых модернизацией, грн
/чел.,
Кпр.м
- коэффициент приработка к тарифной зарплате (премии, доплаты, надбавки за
особые условия труда и т.д.);
Кс.м
- коэффициент, учитывающий отчисления на социальные мероприятия.
.4
Расчёт эксплуатационных затрат и показателей
эффективности использования новой или
модернизируемой техники
.4.1
Расчёт эксплуатационных затрат потребителя
Годовые
эксплуатационные затраты потребителя по базовому (аналогу) и проектируемому
(модернизируемому) вариантам рассчитываются только по изменяющимся статьям для
двух сравниваемых вариантов.
1. При изменении цен на машины и капитальных затрат на них
определяются годовые амортизационные отчисления:
,
где
К - капитальные затраты на базовую и новую технику, грн,
На
- годовая норма амортизационных отчислений, %.
.
При изменении срока службы новой машины по сравнению с базовой, годовая норма
амортизационных отчислений может определяться по формуле:
где
КТ - коэффициент, характеризующий изменение срока службы новой
техники по сравнению с базовой.
2. При изменении параметров машины определяются годовые затраты на
содержание и амортизацию площади, занимаемой машиной:
где
Нпл - стоимость 1 м2 содержания и амортизации площади,
занимаемой машиной, грн/м2
S - площадь,
занимаемая машиной, м2;
Кд-
коэффициент, учитывающий дополнительную площадь.
3. При изменении норм расхода материальных ресурсов или цен на них
определяются затраты по каждому виду материальных ресурсов:
,
где
Нм - норма расхода каждого вида материальных ресурсов на единицу
производимой продукции, кг (т, м);
Цм
- цена за единицу используемых материальных ресурсов, грн/ кг, грн/т и т.д.
Qм - годовой объём продукции в натуральном выражении,
производимой при использовании машины, т, шт. и т.д.
4. При изменении мощности электроприводов определяются затраты на
электроэнергию:
,
где
- суммарная мощность электродвигателей машины, кВт;
Фд
- действительный (фактический) годовой фонд времени работы машины, ч,
Кв
- коэффициент, учитывающий использование электродвигателей по времени;
Км
- коэффициент, учитывающий использование электродвигателей по мощности;
Цэ
- цена за 1 кВт·ч электроэнергии, грн/кВт.ч,
η - КПД электродвигателей.
5. При изменении срока службы ремонтных деталей (узлов)
рассчитывают затраты на ремонт и содержание машины:
,
где
Ср.д - затраты на ремонтные детали или узлы, грн;
Сз.п
- затраты на зарплату ремонтных рабочих, грн;
q - коэффициент,
учитывающий долю затрат на ремонтные детали и зарплату ремонтных рабочих в
общих затратах на ремонт оборудования.
Затраты
на ремонтные детали определяются по формуле:
,
где
τ
- срок службы модернизируемой детали или
узла, сут;
Цр.дi
- цена ремонтной детали или узла, грн;
Цл.дi
- ликвидационная стоимость изношенной ремонтной детали или узла, грн;
n - количество
ремонтных деталей, срок службы которых изменяется по сравнению с базовой техникой.
Затраты
на зарплату ремонтных рабочих определяются по формуле
Если
выбранные направления конструкторской разработки не связаны с изменением срока
службы ремонтных деталей или трудоёмкости ремонтов, затраты на ремонт
определяются по формуле:
,
где
К - капитальные затраты, грн,
αр -
коэффициент, учитывающий сложившийся уровень затрат на ремонты в процентах от
первоначальной стоимости (капитальных вложений) машины, но не более 5%.
6. При изменении численности основных производственных рабочих,
обслуживающих машину, определяются годовые затраты на их заработную плату и
охрану труда.
Затраты на заработную плату основных производственных рабочих,
обслуживающих машину определяются по формуле
,
где
Чобсл - списочная численность основных производственных рабочих,
обслуживающих машину, чел;
Зср.г.обсл
- среднегодовая зарплата одного рабочего, грн/год.
Затраты
на охрану труда определяются, исходя из установленной нормы затрат на одного
человека в год.
7. При изменении производительности оборудования и годового объёма
производства продукции, производимой при помощи машины, определяется годовая
экономия от снижения себестоимости продукции за счёт условно-постоянных
расходов:
,
где
у - условно-постоянные расходы в расчёте на единицу продукции, грн/шт, грн/т;
Qн, Qб -
соответственно годовой объём производства продукции, производимой при помощи
новой (модернизируемой) и базовой машины в натуральном выражении, т, шт. и т.д.
Величина
ΔСу.п учитывается в общей сумме экономии от
изменения эксплуатационных затрат при использовании новой и базовой техники.
Общая
сумма эксплуатационных затрат определяется как алгебраическая сумма по всем
изменяющимся статьям затрат.
.4.2
Расчёт показателей эффективности производства и использования новой техники
Экономическая
эффективность капитальных вложений выражается, прежде всего, в экономических
результатах, которые достигаются от их реализации. Поэтому экономическая
эффективность измеряется на основе сопоставления величины капвложений с
экономическим эффектом, который получится в результате их изменения.
В
зависимости от стадии создания новой техники (этапов) различают 4 вида годового
экономического эффекта:
.
Предварительный эффект определяется для обоснования проведения
научно-исследовательских работ по новой технике и отбора их тематики.
.
Ожидаемый эффект определяется в ходе выполнения НИР и ОКР и по окончании
разработки новой техники и используется для предварительной оценки
целесообразности внедрения в производство и масштабов использования новой
техники.
.
Плановый эффект определяется на основе планируемых технико-экономических
показателей предприятия, на котором предполагается внедрение новой техники.
Служит для обоснования включения (внедрения) достижений науки и техники в планы
предприятия.
.
Фактический эффект определяется по фактическим данным после одного года
использования новой техники в производстве.
Показатели
эффективности использования новой техники.
.
Ожидаемый годовой экономический эффект от применения новой техники определяется
по формуле:
где
Зб, Зн - соответственно приведенные к одному году затраты
по базовой и новой технике, грн,
Сб,
Сн - соответственно годовые эксплуатационные затраты (издержки) по
базовой и новой технике, грн;
Кб,
Кн - соответственно капвложения в базовую и новую технику, грн;
Ен
- нормативный коэффициент сравнительной экономической эффективности капвложений
(для
новой техники Ен = 0,15 грн/грн, для модернизируемой - Ен
= 0,33 грн/грн).
ΔС- годовая экономия или перерасход на эксплуатационных затратах новой
техники по сравнению с базовой, грн;
ΔК - дополнительные капитальные вложения в новую технику по сравнению с
базовой, грн.
В
случае если конструкторская разработка направлена на улучшение качества
продукции, производимой при помощи новой техники (снижение брака, уменьшение
выхода вторых сортов и т.д.) дополнительно рассчитывается эффект от улучшения
качества продукции:
,
где
Ц1с, Ц2с,брак - соответственно цена продукции 1-го сорта,
2-го сорта, брака, грн/шт, т и т.д.
Δγ - коэффициент изменения отсортировки продукции из 1-го
во 2-й сорт или в брак, %;
Qн - годовой объём производства продукции на новой
технике, шт,т и т.д.
.
Обобщающим показателем сравнительной экономической эффективности капитальных
вложений является их срок окупаемости:
, лет.
Сравнивая
расчётный срок окупаемости с нормативным (
),
необходимо иметь в виду, что проектирование или модернизация целесообразна при
Тр ≤ Тн.
Если
капитальные вложения в новую технику меньше базовых, срок окупаемости не
рассчитывается.
.
Расчётный коэффициент сравнительной экономической эффективности капитальных
вложений определяется по формуле:
,
грн/грн.
4.
Ожидаемый экономический эффект от производства и использования новой (модернизируемой)
техники в народном хозяйстве за весь срок службы определяется по формуле:
,
где
Цб, Цн - соответственно цена базовой и новой техники,
грн;
КW
- коэффициент, характеризующий изменение производительности новой техники по
сравнению с базовой (см. техническое обоснование);
Тб,
Тн - соответственно срок службы базовой и новой техники, лет,
К’н,
К’б - соответственно сопутствующие капитальные вложения потребителя
при использовании новой и базовой техники (без стоимости самой техники), грн;
Ан
- годовой объём производства новой техники (при проектировании) или количество
машин данного типа, установленных в цехе (при модернизации), ед.
.5
Качество, стандартизация и сертификация новой техники
Понятие
«качество» включает в себя весь комплекс эксплуатационных характеристик и
конструктивных особенностей товара, продукции.
Качество
продукции - важнейший показатель деятельности предприятия. Повышение качества
продукции, в т.ч. качества новой техники, в значительной мере определяет
выживаемость предприятия в условиях рынка, рост эффективности производства,
экономию всех видов ресурсов, используемых на предприятии. Качество продукции -
это основной фактор конкуренции между предприятиями.
Что
же такое качество продукции?
Качество
- это совокупность свойств продукции, обусловливающих ее пригодность
удовлетворять определенные потребности в соответствии с назначением.
Качество
как фактор конкурентоспособности распространяется на всю экономику страны и
способствует рациональному использованию ее ресурсов.
Негативные
последствия недостаточного уровня качества продукции, в т.ч. новой техники,
могут быть экономическими, социальными, экологическими.
Экономические
негативные последствия:
- потеря материальных и трудовых ресурсов, израсходованных на
изготовление, транспортирование и хранение новой техники, вышедшей из строя
раньше плановых сроков физического износа;
- потери в производственной инфраструктуре (коммуникации, связь);
дополнительные затраты на ремонт;
потери природных ресурсов в результате использования низкого
качества машин, используемых для добычи этих ресурсов;
дополнительная потеря валютных средств, связанных с импортом
новой техники и т.д.
Социальные негативные последствия:
- дефицитность отечественной продукции;
- падение престижа новой техники, изготовляемой на отечественных
предприятиях;
недостаточное удовлетворение потребностей
производственно-технического и личного плана;
снижение темпов роста благосостояния населения;
нерациональные затраты свободного времени населения на
устранение дефектов изготовления новой техники;
уменьшение прибыли предприятия;
ухудшение морального климата в коллективе и т.д.
Экологические негативные последствия:
- дополнительные затраты на очистку воздушного, водного
бассейнов, земельных ресурсов;
- дополнительные затраты на меры по оздоровлению населения;
ускоренная амортизация и дополнительные затраты на ремонт
зданий и транспорта из-за плохого качества воздушной среды и т.д.
С понятием качества тесно связано понятие технического уровня новой
техники, т.е. относительной характеристики ее качества, основанной на
сопоставлении значений показателей, определяющих техническое совершенство
оцениваемой новой техники по сравнению с соответствующими базовыми показателями,
их значениями.
Качество новой техники не ограничивается только одним свойством, это
совокупность свойств.
Общепризнанна классификация десяти групп свойств и соответственно
показателей новой техники:
. Показатели назначения характеризуют полезный эффект от использования
новой техники по назначению и обусловливают область ее применения.
. Показатели надежности - безотказность, сохраняемость,
ремонтопригодность, а также долговечность новой техники.
. Показатели технологичности характеризуют эффективность конструкторско-технологических
решений для обеспечения высокой производительности труда при изготовлении и
ремонте новой техники.
. Показатели стандартизации и унификации - это насыщенность новой техники
стандартными, унифицированными и оригинальными составными частями, а также
уровень унификации по сравнению с другой техникой.
. Эргономические показатели отражают взаимодействие человека с новой
техникой и комплекс гигиенических, антропометрических, физиологических и
психологических свойств человека, проявляющихся при использовании новой
техники.
. Эстетические показатели характеризуют информационную выразительность,
рациональность формы, целостность композиции, совершенство исполнения и
стабильность товарного вида новой техники.
. Показатели транспортабельности выражают приспособленность новой техники
для транспортировки.
. Патентно-правовые показатели характеризуют патентную защиту и патентную
чистоту новой техники и являются существенным фактором при определении
конкурентоспособности.
.Экологические показатели характеризуют уровень вредных воздействий на
окружающую среду, которые возникают при эксплуатации новой техники.
.Показатели безопасности характеризуют особенности новой техники для
безопасности покупателя и обслуживающего персонала, т.е. обеспечивают безопасность
при монтаже, обслуживании, ремонте, хранении, транспортировке, демонтаже и т.д.
Совокупность перечисленных показателей формирует качество новой техники,
которая должна быть надежной, эстетически радующей глаз, хорошо выполнять свои
функции, т.е. удовлетворять те потребности, для которых она предназначена.
Качество новой техники в условиях современного производства - важнейшая
составляющая эффективности, рентабельности предприятия и поэтому ему необходимо
уделять постоянное внимание. Все процессы по обеспечению, проектированию,
сохранению качества объединяются в
Управление качеством - это действия, осуществляемые при создании и
эксплуатации новой техники, с целью установления, обеспечения и поддержания
необходимого уровня ее качества. Управление качеством должно осуществляться
системно, т.е. на предприятии должна функционировать система управления
качеством новой техники, представляющая собой организационную структуру, четко
распределяющую ответственность, процедуры, процессы и ресурсы, необходимые для
управления качеством.
В последнее время широкое распространение получили стандарты ИСО серии
9000, в которых отражен международный опыт управления качеством продукции на
предприятиях.
Важным элементом в системах управления качеством является стандартизация
- т.е. нормотворческая деятельность, которая находит наиболее рациональные
нормы, а затем закрепляет их в нормативных документах типа стандарта,
инструкции, методики требования к разработке новой техники.
Главная задача стандартизации - создание системы нормативно-технической
документации, определяющей прогрессивные требования к новой технике,
изготовляемой для нужд народного хозяйства, населения, обороны страны,
экспорта, а также контроль над правильностью использования этой документации.
В Украине нормативные документы по стандартизации подразделяются на
следующие категории:
Государственные стандарты Украины (ДСТУ),
- отраслевые стандарты (ОСТ),
- технические условия (ТУ),
стандарты предприятий и объединений предприятий (СТП),
стандарты научно-технических обществ и инженерных союзов,
ассоциаций и других общественных объединений (СТО).
Одним из способов подтверждения соответствия новой техники заданным
требованиям является сертификация. В настоящее время в развитых странах главным
доказательством подтверждения соответствия новой техники заданным требованиям
является декларация о соответствии, представляемая изготовителем от своего
имени и под свою ответственность.
Тема 4. Организация, планирование и управление ремонтным хозяйством
предприятия
4.1 Задачи ремонтного хозяйства. Управление ремонтным хозяйством
предприятия
В процессе эксплуатации технологическое оборудование предприятия
подвергается физическому и моральному износу. Его работоспособность
восстанавливается при помощи ремонта.
Ремонт (фр. Поправить, пополнить, снова собрать) - это совокупность
технико-экономических и организационных мероприятий, связанных с поддержанием и
частичным (или полным) восстановлением потребительской стоимости основных
фондов (средств производства), т.е. это комплекс операций по восстановлению
параметров технологической характеристики оборудования и обеспечению дальнейшей
его эксплуатации.
Организация технического обслуживания и ремонта основных фондов
(оборудования) является основной функцией ремонтного хозяйства в
производственной структуре предприятия.
Задача ремонтного хозяйства (службы) сводится к обеспечению
бесперебойной, надежной и высокопроизводительной работы оборудования при
минимальных материальных, трудовых и финансовых затратах.
Ремонтные службы оказывают влияние на экономику предприятия, определяют
уровень экстенсивного и интенсивного использования оборудования в межремонтный
период, что прямо влияет на спрос продукции, а значит и ее качество..
Затраты, связанные с ремонтом оборудования обусловлены факторами:
- стоимость основных фондов,
- систематическое старение основных фондов,
интенсификация технологических процессов,
уровень организации ремонтного хозяйства.
Во главе ремонтной службы предприятия стоит главный механик, который, как
правило, подчинен главному инженеру предприятия.
Функциональным подразделением предприятия является ОГМ - отдел главного
механика или УГМ - управление главного механика, которые должны заниматься
всеми вопросами организации и проведения ремонтов, а также управлением ремонтным
хозяйством.
Состав ремонтных служб и структура управления ремонтным хозяйством
предприятия, как правило, зависит от количества активной части основных фондов,
т.е. от количества оборудования.
Основные задачи ОГМ (УГМ):
. Обеспечение постоянной технологической исправности
оборудования.
. Контроль над соблюдением правил технической эксплуатации
оборудования.
. Планирование ремонтов оборудования, материально-техническая
подготовка к ремонтам, обеспечение структурных подразделений сменным
оборудованием, и организация ремонтных работ.
. Обеспечение оперативного руководства и управления
производственно-хозяйственной деятельностью ремонтных подразделений
. Внедрение передового опыта по совершенствованию эксплуатации
оборудования и повышению его надежности.
Основные задачи ремонтной службы подразделения или цеха:
1. Обеспечение правил техники эксплуатации оборудования,
надлежащего надзора и ухода за ним.
. Участие в подготовке и проведении ремонтов.
. Участие в работах по техническому совершенствованию, реконструкции
и модернизации оборудования.
. Внедрение мероприятий по сокращению затрат на ремонты и
содержание оборудования.
Ремонтные службы основных цехов административно подчиняются начальнику
соответственного цеха, а в техническом отношении - главному механику.
Такое двойственное подчинение имеет недостатки:
- затрудняет проведение единой технической направленности в
ремонтах,
- недостаточно используется рабочее время дежурного и ремонтного
персонала,
отвлечение руководителей цехов от решения производственных
задач.
Одним из путей повышения эффективности ремонтной службы является
устранение данных и других недостатков.
.2 Системы ТОиР и ППР
Организация деятельности ремонтного хозяйства, технического обслуживания
и ремонта оборудования базируется на системах ТОиР и ППР.
Системы ТОиР (технического обслуживания и ремонтов в металлургии) и ППР
(планово - предупредительных ремонтов в машиностроении) у предприятий включают
совокупность организационных и технических мероприятий по эксплуатации, уходу,
надзору и ремонту оборудования, направленных на предупреждение износа и выхода
его из строя.
Создание этих систем имеет целью предотвратить прогрессирующий износ
оборудования, внеплановые ремонты, аварии и поддерживать оборудование в
постоянном работоспособном состоянии путем систематического ухода и надзора за
ним, периодических принудительных остановок на профилактические осмотры и
плановые ремонты.
Эти системы включают элементы:
1. внутрисменное техническое обслуживание оборудования.
2. техническое обслуживание в межремонтных периодах.
. плановые ремонты, их виды.
. систематическое совершенствование и модернизация оборудования.
В зависимости от этих элементов и выполнения ремонтных работ различают
эксплуатационный, ремонтный и дежурный персонал.
Эксплуатационный персонал - это рабочие, работающие на оборудовании и
осуществляющие надзор за ним во время работы.
Ремонтные службы состоят из ремонтного и дежурного персонала.
Ремонтный персонал работает по прерывному графику и занимается плановыми
ремонтами оборудования.
Дежурный персонал работает по графику эксплуатационного персонала и
занимается уходом, надзором и ремонтом оборудования.
Внутрисменное техническое обслуживание проводится дежурным и
эксплуатационным персоналом.
Техническое обслуживание в межремонтный период выполняется, как правило,
ремонтным персоналом совместно с эксплуатационным.
Плановые ремонты выполняются, как правило, ремонтным и дежурным
персоналом. Эти ремонты заключаются в замене износившихся или вышедших из строя
составных частей оборудования как нового, так и восстановленного.
Различают виды плановых ремонтов:
в металлургии:
- текущие
- капитальный.
в машиностроении:
- малые,
- средние,
капитальный
Целью текущих, малых и средних ремонтов является восстановление
работоспособности оборудования, во время которых выполняют замену быстро
изнашиваемых деталей и узлов, очистка, смазку механизмов, смену масел в ёмкости
системы, проверку и замену креплений, вымерку отдельных деталей и узлов и т.д.
Текущие ремонты подразделяются на ремонты 1,2,3, вида - Т1, Т2,
Т3, , а машиностроении - малые и средние.
Капитальный ремонт - полное или близкое к полному восстановление
технического ресурса оборудования, во время которого осуществляется полная
разборка, очистка, промывка всех узлов и деталей оборудования, осуществляется
ремонт базовых деталей и узлов, ревизия всех механизмов и узлов с заменой
быстроизнашивающихся деталей. Капитальный ремонт выполняется один раз за
ремонтный цикл.
Ремонтным циклом оборудования называется время работы оборудования между
двумя смежными капитальными ремонтами, включая один из них.
Межремонтный период - время работы оборудования между двумя любыми
ремонтами.
На основе продолжительности и периодичности плановых ремонтов,
составляется структура ремонтного цикла, которая представляет собой структуру
последовательного выполнения ремонтов оборудования за ремонтный цикл.
Например: 24Т1+11Т2+К или 12М+5С+К,
где - 24, 11, 12, 5 - соответственно количество соответствующих плановых
ремонтов,
Т, К, М, С - соответственно текущие, капитальные, малые и средние
ремонты.
4.3 Методы проведения ремонтов и формы организации ремонтного хозяйства
Методы проведения плановых ремонтов:
- Детальный, т.е. индивидуальный метод, при котором заменяется
только изношенная деталь, а сопряженные с нею детали, имеющие допустимый износ,
не заменяются.
- Узловой - при котором заменяется требующий ремонта узел
резервным, новым или заранее отремонтированным.
Агрегатный - то же, что узловой, но для агрегата в целом.
Поточный - вся поточная линия подлежит ремонту.
Планирование ремонтов, может быть реализовано на основе методов:
.метод послеосмотровых ремонтов,
.метод периодических ремонтов,
.метод стандартных (принудительных) ремонтов.
При послеосмотровом методе объем ремонтных работ и сроки остановки
объекта на ремонт определяется в процессе осмотров оборудования. Применяется
только для нового оборудования, когда неизвестны сроки наработки или отказ.
При периодическом методе сроки остановки оборудования на ремонт
установлены заранее. Конкретно трудоемкость, объем и содержание ремонтов
уточняется в процессе предшествующих осмотров и в ходе самого ремонта.
При стандартном методе заранее устанавливаются сроки, объем и содержание
ремонтных работ в зависимости от состояния сменных узлов и деталей.
В металлургии и машиностроении применяются различные формы организации
ремонтного хозяйства:
1. Децентрализованная,
2. Централизованная,
. Смешанная.
При децентрализованной форме все ремонтные средства и ремонтный персонал,
рассредоточены по отдельным производственным цехам и выполняют все виды
ремонтов собственными силами.
Эта форма неэкономична, так как не полностью используется ремонтный
персонал, в связи с этим низкий технический уровень оснащенности труда
ремонтного персонала.
При централизованной форме ремонт оборудования и изготовление запасных
частей для ремонта осуществляется в централизованном порядке.
Различают внутризаводскую и межзаводскую централизацию. При
внутризаводской централизации на предприятиях создаются специализированные
ремонтные цехи, осуществляющие ремонт, при межзаводской - ремонт осуществляется
специализированными ремонтными организациями.
В настоящее время чаще всего применяется смешанная форма, при которой
часть ремонтов производит цеховой ремонтный персонал, часть - ремонтный
персонал специализированных цехов и организаций.
При смешанной форме обеспечивается равномерность загрузки ремонтного
персонала, создаются условия для специализации ремонтных бригад и более
эффективного использования оборудования и оснастки для ремонтов.
Для определения степени централизации ремонтов используются показатели:
1. Коэффициент внутризаводской централизации, который определяется
по формуле:
,
где
-
численность ремонтных рабочих специализированных цехов, чел.,
-
численность ремонтных рабочих в основном производственном цехе, чел.
2. Коэффициент межзаводской централизации определяется по формуле:
,
где
-
численность ремонтных рабочих специализированного предприятия, чел,
-
численность ремонтных рабочих на промышленном предприятии, чел.
.4
Планирование ремонтов и организация выполнения ремонтных работ
Эффективность применения систем ТОиР и ППР находится в прямой зависимости
от совершенства нормативной базы, соответствия нормативов условиям эксплуатации
оборудования.
Нормативы дифференцируются по группам оборудования и содержат показатели
последовательности проведения и периодичности плановых ремонтов и осмотров,
объемы ремонтных работ, их трудоемкость, материалоемкость, нормы запаса деталей
и узлов для ремонта и т.д. От точности нормативов зависят размеры расходов
предприятия на ремонты и уровень потерь в производстве, связанных с
неисправностью оборудования.
На основе нормативов разрабатывают годовые графики плановых ремонтов.
Основным содержанием планирования ремонтов является разработка графиков
выполнения ремонтов оборудования по предприятию в целом и по каждому цеху или
объекту.
В графиках указывается вид ремонта, его продолжительность, периодичность,
время остановки объектов на ремонт и штат ремонтного персонала.
В зависимости от особенностей планирования ремонтов всё оборудование
предприятия делится на группы:
1. основное оборудование производственных цехов,
2. оборудование вспомогательное (подсобных и побочных цехов),
. вспомогательное оборудование, остановка которого на ремонт не
приводит к потерям объемов производства.
На крупных металлургических и машиностроительных предприятиях графики
выполнения капитальных ремонтов 1 группы утверждаются министерством или
ведомством, текущих ремонтов 1 группы и всех видов ремонтов 2 группы -
объединением или руководством предприятия и 3 группы - руководством
предприятия.
Для определения трудоёмкости ремонтов и плановой численности ремонтного и
дежурного персонала определяют количество ремонтов за ремонтный цикл.
В металлургии количество текущих ремонтов второго вида определяется по
формуле:
где Дк - годовой календарный фонд времени (принимается равным
360 сут.),ц - длительность ремонтного цикла, лет,
tт2 - периодичность текущего ремонта
второго вида, сут.
- количество капитальных ремонтов за ремонтный цикл.
Количество текущих ремонтов первого вида:

Общая
трудоемкость ремонтов любого вида оборудования за ремонтный цикл определяется
по формуле:
,
где
nт2, nт1, nк -
соответственно количество текущих ремонтов первого, второго вида и капитального
за ремонтный цикл,
rт1, rт2, rк - соответственно трудоёмкость текущих ремонтов
первого, второго вида и капитального на единицу категории ремонтной сложности,
чел.ч.,
R - категория
ремонтной сложности оборудования.
Трудоемкость ремонтов определяется на основе категории ремонтной
сложности. За единицу ремонтной сложности принята ёмкость капитального ремонта
условного механизма (эталона), трудоемкость капитального ремонта которого
составляет 25 чел.ч. Этому эталону присвоена первая категория ремонтной
сложности. Категория ремонтной сложности любого вида механического оборудования
определяется сопоставлением трудоёмкости его капитального ремонта и
капитального ремонта эталонного механизма.
Среднегодовая трудоёмкость ремонтов определяется по формуле:
Тср = Тц / tц
Тц - трудоемкость ремонтов за ремонтный цикл,
tц - длительность цикла, лет.
В заводской график выполнения плановых ремонтов включаются ремонты
основного оборудования всех цехов, в цеховой - ремонты всего оборудования цеха.
Годовой график ремонтов планируется на основе месячных графиков.
Основой для планирования ремонтов являются нормативы, содержащиеся в
системах ТОиР или ППР. Но эти данные приведены справочно и не могут служить
основанием для расчета численности ремонтного и дежурного персонала без
дополнительных нормативных документов для данного производства.
При планировании ремонтов необходимо учитывать:
·
равномерность
потребности в деталях и узлах для ремонтов по месяцам года,
·
равномерную загрузку
ремонтных рабочих по ремонтным дням,
·
предусматривать
одновременную остановку на ремонт сопряженно работающего оборудования,
·
необходимо
учитывать, что при выполнении последующих видов ремонтов выполняются все
работы, которые должны выполняться при предшествующем виде ремонта.
Организация выполнения ремонтных работ осуществляется в два этапа:
) период подготовки к ремонту,
) выполнение ремонта (производственный период).
В процессе подготовки к ремонту осуществляется подготовка необходимых
документов, изготовляются и изучаются рабочие чертежи нестандартных деталей,
сменных узлов, изучаются узлы и детали, подлежащие замене, осуществляется
предварительная сборка отдельных узлов, производится обоснование численности
ремонтных рабочих по профессиям и квалификации, разрабатывается рациональная
технология проведения ремонтов, разрабатываются мероприятия по механизации
ремонтных операций. Важнейшим элементом при подготовке к ремонту является
подготовка технологического графика ремонтов.
В процессе непосредственного выполнения ремонта планируется:
- четкая расстановка рабочих в соответствии с графиком ремонтов,
- максимальное использование техники, сменных узлов и деталей,
систематический инструктаж и контроль над ходом выполнения
ремонтных работ.
.5 Обоснование численности ремонтного и дежурного персонала
Численность ремонтного и дежурного персонала в черной металлургии
планируется на основе среднегодовой трудоемкости выполнения всех видов плановых
ремонтов оборудования и установленных для отрасли нормативов численности
ремонтного и дежурного персонала на 1000 чел.ч. ремонтных работ.
Численность ремонтного персонала определяется по формуле:
Численность
дежурного персонала:

Кц
- коэффициент централизации внутризаводских ремонтов, доли ед,
Нр,
Нд - соответственно нормативная численность ремонтного и дежурного
персонала на 1000 чел.ч ремонтных работ, чел,
Кпод
- коэффициент, учитывающий затраты труда на подготовку к ремонтам,
n - количество
оборудования, ед.
В
машиностроении численность ремонтного персонала определяется по формуле:
где
- Фд - годовой эффективный фонд времени работы одного рабочего, ч,
Квн
- средний коэффициент выполнения норм времени бригадами ремонтных рабочих.
Численность
дежурного персонала для межремонтного обслуживания:
где
r - суммарное число ремонтных единиц обслуживаемого
оборудования,
ксм
- коэффициент сменности работы оборудования (1, 2, 3 смены),
rn -
норма обслуживания оборудования одним рабочим за смену в ремонтных единицах.
Нормы
обслуживания и нормативы времени приведены в Положении о ППР.
4.6
Планирование фонда оплаты труда ремонтного и дежурного персонала
Фонд
оплаты труда (зарплата) ремонтного и дежурного персонала представляет собой
сумму денежных средств, направленных на оплату труда в соответствии с
количеством и качеством затраченного труда в течение планового периода.
Труд
ремонтного и дежурного персонала оплачивается, как правило, по повременной
форме оплаты труда и повременно - премиальной системе.
В
качестве показателей премирования применяются:
1. снижение текущих простоев оборудования,
2. увеличение срока службы ремонтных деталей и узлов,
. уменьшение расходов материалов,
. снижение затрат на проведение ремонтов,
. своевременное и качественное выполнение графиков ремонтов и
т.д.
Фонд оплаты труда ремонтного и дежурного персонала исчисляется на основе
сметы и включает в себя основную и дополнительную заработную плату.
Основная заработная плата планируется за фактическое время работы. К ней
относится только тарифная зарплата. Все остальные доплаты, надбавки, премии
относятся к дополнительной зарплате.
В дополнительную заработную плату могут включаться элементы:
- доплата за работу в вечернее и ночное время,
- премиальные выплаты,
доплата за переработку графика,
доплата за работу в праздничные дни,
доплата за особые условия труда,
доплата за бригадирство,
оплата отпусков и государственных обязанностей,
доплата за многостаночное обслуживание,
доплата за совмещение профессий,
и т.д.
4.7 Пути повышения эффективности ремонтного хозяйства
Пути повышения ремонтных работ должно обеспечиваться как за счет
улучшения организации ремонтов, так и за счет совершенствования технической
базы ремонтного хозяйства предприятия.
Направления совершенствования организации ремонтов:
- повышение степени централизации ремонтного обслуживания;
- расширение масштабов проведения ремонтов по рассредоточенным
графикам;
широкое применение узловых и агрегатных методов ремонтов;
разработка технического обоснования нормативных сроков службы
деталей, узлов и сменного оборудования для проведения ремонтов;
совершенствование систем ТОиР и ППР;
внедрение научной организации труда и системы сетевого
планирования и управления при проведении ремонтов;
привлечение к ремонтам высококвалифицированных кадров, имеющих
профессиональную подготовку
и т.д.
Направления совершенствования технической базы ремонтного хозяйства:
- оснащение ремонтного хозяйства современным
высокопроизводительным оборудованием;
- совершенствование технологии ремонтных работ и ее комплексная
механизация;
применение современных средств технической диагностики
состояния оборудования;
унификация и совершенствование технологии изготовления
запчастей и сменного оборудования;
повышение износостойкости деталей и узлов, определяющих
периодичность плановых ремонтов.
Технико-экономические показатели ремонтного хозяйства:
. Время простоя оборудования в ремонт, приходящееся на одну ремонтную
единицу (min).
.Число ремонтных единиц установленного оборудования, приходящееся на
одного ремонтного рабочего (характеризует производительность труда ремонтного
персонала).
3. Себестоимость ремонтов одной ремонтной единицы (min).
4. Число аварий, поломок и внеплановых ремонтов, приходящихся на
единицу оборудования (min).
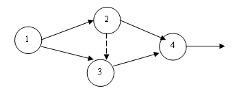
5. Сетевое планирование и управление (СПУ)
.1 Основные понятия и определения в системе СПУ
Для выполнения взаимосвязанного комплекса работ, координации их во
времени с учетом возможного совмещения и последовательности применяют ленточные
графики.
Недостатком этих графиков является невозможность обеспечения равномерной
загрузки исполнителей, затруднен контроль над состоянием работ, и невозможно
показать взаимосвязь всех работ и каждой работы для достижения конечной цели.
В результате могут возникнуть несогласованность сопряженных работ,
простои, отсрочки, и т.д.
Эти недостатки в значительной мере ликвидирует система СПУ.
Система СПУ основана на графическом изображении определенного комплекса
работ в логической последовательности и взаимосвязи. Она базируется на
составлении сетевых графиков, расчете их параметров, анализе и оптимизации
сетевых моделей.
Сетевой график - это модель комплекса взаимосвязанных параллельных и
последовательных работ.
В системе СПУ всего 3 понятия:
работа;
событие;
путь.
Понятие «работа» может выражать 3 смысла:
) Действительная (фактическая) работа - это трудовой процесс, требующий
затрат времени и (или) трудовых, материальных или денежных ресурсов его
выполнения. На сетевом графике изображается сплошной стрелкой и ограничивается
двумя событиями.
) Работа - ожидание - работа не требующая затрат ресурсов, но требующая
затрат времени. Изображается пунктирной стрелкой.
) Фиктивная работа - условная работа (зависимость), не требующая никаких
затрат, но отражающая логическую связь между работами. Изображается пунктирной
стрелкой.
Понятие «событие» характеризует результат выполнения одной или
совокупности работ и отражает тот факт, что работа или несколько входящих в
него работ завершились и представляется возможность начать одну или несколько
непосредственно следующих за ним работ с четко выраженным результатом.
Изображается событие кружком, или любой геометрической фигурой, в котором стоит
цифра, т.е. номер события.
В сетевом графике события имеют смыслы:
1) Исходное событие - отражает момент
начала выполнения всего комплекса работ и нумеруется цифрами 0 или 1.
2) Завершающее событие - отражает результат выполнения всего комплекса
работ, т.е. достижение конечной цели.
) Событие, за которым следует данная работа, называется начальным, а
событие, которому предшествует работа, называется конечным для данной работы.
) События, располагающиеся между исходным и завершающим, называются
промежуточными.
5) Все события подразделяются на простые и сложные.
Простое - это событие, в которое входит и из которого выходит по одной
работе.
Сложное - это событие, в которое входит и (или) из которого выходит
несколько работ.
Понятие «путь» - обозначает любую последовательность работ в сетевом
графике.
Путь может быть:
предшествующим данному событию,
последующим за данным событием.
Эти пути называются неполными.
Полный путь отражает любую последовательность работ от исходного до
завершающего события.
Полный путь в системе СПУ отражает 3 смысла:
) Критический путь - самый продолжительный путь по времени или по
количеству ресурсов. Он показывает длительность всего комплекса работ и
определяет общий цикл завершения всего комплекса работ.
) Подкритический (напряженный) путь - это путь, на работах которого
имеются небольшие резервы времени или ресурсов.
) Ненапряженный путь - путь, на работах которого имеются достаточные
резервы времени или ресурсов.
Критических путей, как и остальных, в сетевом графике может быть любое
количество в зависимости от комплекса работ.
.2 Правила разработки сетевых моделей
Для правильной разработки сетевых моделей необходимо использовать
определенные правила:
|
Правильное построение сетевого графика
|
Неправильное построение сетевого графика
|
|
|
|
. Каждая работа в сети обязательно должна иметь начальное и конечное
события
.Два любых события могут быть связаны между собой прямо только одной
работой
. Каждое событие имеет одну или несколько предшествующих работ, кроме
исходного события.
. Из каждого события должна выходить одна или несколько работ, за
исключением завершающего. Нарушение 3 и 4 правил приводит к “висячим” событиям,
т.е. к нарушению правильности построения сетевых моделей.
. Для изображения параллельно выполняемых работ необходимо вводить
дополнительное событие и фиктивную работу, при этом количество фиктивных работ
должно быть равно числу параллельных работ минус единица.
. В сетевом графике не должно быть замкнутых контуров, петель и
пересечений работ.
Сетевой график должен иметь простую компактную форму без пересечения
стрелок, все работы (стрелки) должны иметь одинаковое направление, как правило,
слева направо.
.3 Этапы СПУ и их характеристика
Сетевые модели разрабатываются поэтапно.
. этап. Разработка структуры системы СПУ. На данном этапе выделяются
подэтапы работ по уровням. СПУ осуществляется на основе разработки первичных
графиков, затем производится их объединение в частные сети, на основе которых
разрабатывается генеральная сводная сетевая модель.
этап. Разработка перечня событий и работ. На этом этапе разрабатывается
сетевой график комплекса работ, параллельно составляется перечень событий и
работ.
Пример: разработать чертежи на проектирование и изготовить узел.
Таблица. 5.1. Перечень событий и работ на проектирование и изготовление
узла.
|
Шифр (код) событий
|
Событие
|
Шифр (код) работы
|
Работа
|
|
0
|
Решение о проектировании и изготовлении узла принято
|
0 - 1
|
Проектирование и изготовление чертежей
|
|
1
|
Чертежи готовы
|
1 - 2
|
Изготовление мелких деталей
|
|
1
|
|
1 - 3
|
Изготовление крупных деталей
|
|
1
|
|
1 - 4
|
Поставка на сборку покупных деталей
|
|
2
|
Мелкие детали изготовлены
|
2 - 4
|
Контроль и подача на сборку мелких деталей
|
|
3
|
Крупные детали изготовлены
|
3 - 4
|
Контроль и подача на сборку крупных деталей.
|
|
4
|
Покупные детали на сборку поданы
|
4 - 5
|
Оформление технической документации на узел
|
|
4
|
Мелкие и крупные детали на сборку поданы
|
4 - 6
|
Сборка узла .
|
|
5
|
Техническая документация изготовлена
|
5 - 6
|
Фиктивная работа - логическая связь (показывает, что работа
6-7 может быть выполнена только после комплекса предыдущих работ)
|
|
6
|
Узел собран
|
6 - 7
|
Испытание узла
|
|
7
|
Узел испытан и сдан заказчику
|
|
|
3 этап. Построение сетевого графика.
В системе СПУ применяются 3 вида сетевых графиков:
) графики “время”,
2) графики “трудовые ресурсы”,
3) графики “стоимость”.
Около 95 % сетевых графиков «время», но они взаимосвязаны и с ресурсами и
со стоимостью.
Сетевой график строится на основании перечня событий и работ.
этап. Оценка времени выполнения работ в системе СПУ. Она основывается на
имеющихся нормативных и справочных данных. Если эти данные отсутствуют,
применяется вероятностная оценка, которая базируется на:
оптимистической оценке, т.е. минимальной продолжительности выполнения
работ при наиболее благоприятном стечении обстоятельств, (t min);
пессимистической оценке, т.е. максимальной продолжительности выполнения
работ при наиболее неблагоприятном стечении обстоятельств, ( t mах);
наиболее вероятной оценке, т.е. соответствующей чаще всего встречающимся
условиям ее выполнения, (t нв);
t min £ t нв £ t mах.
На базе вероятностных оценок определяется ожидаемое время выполнения
работы:
t min + 4 t нв + t mах;
t ож =
------------------------------,
6
если отсутствует t нв,
ожидаемое время определяется по формуле:
3 t min + 2 t mах; ож =
------------------------------.
5
Чтобы установить величину ожидаемого времени выполнения работы, в СПУ
рассчитывается дисперсия ожидаемого времени:
t mах - t min
s 2 = (------------------- )2,
6
или без( t нв):
t mах - t min
s 2 = (--------------------)2 .
5
Чем больше дисперсия, тем меньше вероятность того, что работа будет
выполнена в ожидаемое время, поэтому принимается оценка той экспертной группы,
у которой значение дисперсии меньше. Найденное значение ожидаемого времени
продолжительности работы проставляется на сетевом графике над или под стрелкой
(работой).
этап. Расчет основных параметров сетевого графика.
При расчетах параметров сетевых моделей, в т.ч. для событий и работ,
применяются различные методы:
) Аналитический метод.
) С применением ЭВМ.
) Упрощенный метод расчета (секторный, овала и квадрата, числителя и
знаменателя).
) Графический.
) Табличный.
.3.1 Расчет параметров событий производится, как правило, графическим
четырехсекторным методом
При графическом методе расчет параметров событий производится
непосредственно на графике. При этом события делят на 4 сектора:
где t oж ij - нормативное
или ожидаемое время продолжительности работы, ч., сут., и т.д.;
Ni, Nj - соответственно номер i-го (предыдущего) и j-го (последующего) событий;
Tpi, Tрj - соответственно ранний срок свершения i-го и j-го событий:
Tni, Tnj - соответственно поздний срок
свершения i-го и j-го событий;
Ri, Rj - соответственно резерв времени i-го и j-го событий.
Ранний срок свершения исходного события всегда принимается равным нулю.
Ранний срок свершения последующего события показывает, в какие наиболее
ранние сроки и (или) с какими наименьшими затратами ресурсов может закончиться
данная работа, или все работы, входящие в это событие.
Ранний срок свершения последующего события определяется по формуле:
Tpj =
(Tpi + tij) max,
где max - это события, в
которое входит несколько работ; принимается максимальное
значение раннего срока свершения последующего события.
Ранний срок свершения завершающего события является продолжительностью
выполнения всего комплекса работ.
Определение поздних сроков свершения событий начинается с завершающего
события и ведется в обратном направлении справа налево. При этом поздний срок
свершения завершающего события принимается равным его раннему сроку.
Поздний срок свершения предыдущего события определяется по формуле:
Tni =
(Tnj - tij) min,
где min -
для событий, являющихся узлом расходящихся работ, принимается минимальное
значение.
Резерв времени события определяется как разность между поздним и ранним
сроком его свершения.
R = Tn - Tp.
Критический путь - это полный путь от исходного события к завершающему.
Он проходит через те события, у которых наибольший допустимый срок свершения
равен наименьшему ожидаемому, т.е. у которых резерв времени равен нулю и
ожидаемое время выполнения всего комплекса работ максимальное, (равно сроку
свершения завершающего события).
Tni - Tpi = 0 или Ri = Rj =
0.
На работах критического пути должно быть сосредоточено особое внимание в
процессе управления, т.к. изменение продолжительности хотя бы одной из работ
обязательно изменит срок окончания выполнения всего комплекса работ.
.3.2 Расчет параметров работ
Для расчета параметров работ чаще всего применяют табличный метод
(таблица 5.2).
Таблица 5.2. Расчет параметров работ
|
Шифр работы
|
tij
|
tpн
|
tро
|
tпн
|
tпо
|
Резервы времени работы
|
Кнij
|
|
|
|
|
|
|
rобш
|
rI
|
rII
|
rcв.
|
|
|
0 - 1 1 - 2 1 - 3 1 - 4 2 - 4 3 - 4 4 - 5 4 - 6 5 - 6 6 - 7
|
2 4 6 3 1 5 5 8 0 7
|
0 2 2 2 6 8 13 13 18 21
|
2 6 8 5 7 13 18 21 18 26
|
0 8 2 10 12 8 16 13 21 21
|
2 12 8 13 13 13 21 21 21 8
|
0 6 0 8 6 0 3 0 3 0
|
0 6 0 8 0 0 3 0 0 0
|
0 0 0 8 6 0 0 0 3 0
|
0 0 0 8 0 0 0 0 0 0
|
1 0,45 1 0,27 0,45 1 0,625 1 0,625 1
|
Работы, находящиеся на некритическом пути, имеют резервы времени, которые
позволяют маневрировать сроками начала и окончания работ и их
продолжительностью, а находящиеся на критическом пути, резервов времени не
имеют.
Для определения резервов времени работ необходимо установить ранние и
поздние сроки начала и окончания работ.
Ранее начало работы (tрн) равно раннему
сроку свершения начального для этой работы события: tрн = Трi.
Ранее окончание работы (tро)
равно сумме раннего срока начального события этой работы и продолжительности
самой работы: tро = Tрi + tij.
Позднее окончание работы (tпо)
равно позднему сроку свершения конечного события для этой работы: tпо = Тпj.
Позднее начало работы (tпн)
равно разности между поздним сроком свершения конечного события для этой работы
и продолжительностью самой работы:
tпн = Tрj - tij.
Общий резерв времени работы (rобщ) - это
максимально возможный запас времени для выполнения данной работы, в пределах
которого можно увеличивать ее продолжительность:
rобщ = Tпj - Tрi - tij.
Частный резерв первого вида (rI) показывает, какая часть общего резерва времени может быть
использована для увеличения продолжительности этой работы, не влияя на ранние
сроки событий:
rI = Tпj - Tпi - tij.
Частный резерв второго вида (rII) - то же, что RI, но
не влияя на поздние сроки событий:
rII = Tрj - Tрi - tij.
Свободный резерв (rсв) показывает, какая часть общего
резерва времени может быть использована для увеличения продолжительности этой
работы, не изменяя сроков остальных работ:
rсв = Tрj - Tпi - tij.
При отрицательном значении свободный резерв принимается равным нулю.
.4 Анализ и оптимизация сетевых моделей
После нахождения критического пути и резервов времени событий и работ
должен быть выполнен всесторонний анализ сетевого графика:
·
целесообразно ли
выбрана последовательность работ, достаточна ли их детализация;
·
- рассмотрена ли
возможность параллельного проведения работ с учетом имеющихся ресурсов;
·
соблюдается ли
последовательность работ, которые не могут выполняться параллельно
·
анализируются
способы сокращения продолжительности критического пути за счет пересмотра
топологии сети и т.д.
Цель анализа и следующей за ней оптимизации сетевой модели - сокращение
продолжительности выполнения комплекса работ или сокращение ресурсов.
Оптимизация сетевой модели - это процесс поиска путей перераспределения
ресурсов с работ, имеющих резервы времени или ресурсов, на работы, находящиеся
на критическом пути, с целью сокращения их продолжительности.
В зависимости от полноты задач, стоящих перед аналитиками, оптимизация
может быть общей (комплексной) и частной.
Комплексная оптимизация - это нахождение оптимального варианта в
соотношении затрат и сроков выполнения работ в зависимости от поставленных
целей.
Частная оптимизация может предусматривать отдельные элементы комплексной
оптимизации:
·
уменьшение
времени при фиксированных затратах;
·
уменьшение затрат
при заданном времени выполнения комплекса работ;
·
уменьшение
численности работников, занятых выполнением работ и т.д.
Оптимизацию можно проводить исходя из имеющихся ресурсов и особенностей
выполнения работ за счет использования ресурсов, находящихся на ненапряженных
путях, а также с привлечением дополнительных ресурсов. Но при этом необходимо
помнить, что продолжительность работы ограничивается определенным пределом, при
достижении которого никакие дополнительные ресурсы не приводят к ее сокращению.
На этапе анализа сетевой модели с целью ее оптимизации определяют
коэффициенты напряженности работ и вероятность свершения завершающего события в
заданный срок.
Коэффициент напряженности работы (Кij) определяется как отношение продолжительности несовпадающих
отрезков пути, заключенных между одними и теми же событиями, одним из которых
является часть пути максимальной продолжительности, проходящий через данную
работу, а другим - часть критического пути, также проходящим через данную
работу. Он позволяет установить степень трудности выполнения в срок каждой
группы работ, находящихся на некритическом пути и определяется по формуле;
Rобщ.
Kнij = 1 - ------------
Lкр.
- L´кр.
где L´кр. - продолжительность отрезка пути,
на котором находится работа (tij),
совпадающего с критическим путем.
Lкр -
продолжительность критического пути.
При оптимизации в первую очередь изымаются ресурсы с работ, имеющих
наименьший коэффициент напряженности, при условии, что состав ресурсов
одинаковый.
Далее определяют вероятность свершения завершающего события в заданный
(директивный) срок (Тд). Заданный срок свершения завершающего события (Тд)
может отличаться от расчетного срока (Тр), полученного при определении
критического пути. Но, несмотря на отклонения в процессе выполнения работ от
ожидаемого времени завершающее событие все же может с определенной вероятностью
(Рк) совершиться в заданный срок. Границы допустимого риска находятся в
пределах 0,35 - 0,65.
При Рк < 0,35 опасность нарушения заданного срока свершения
завершающего события настолько велика, что необходимо повторное планирование с
перераспределением и привлечением дополнительных ресурсов.
Если Рк > 0,65 также целесообразно повторить расчет параметров
сетевого графика, т.к. на работах критического пути имеются избыточные ресурсы.
Для выравнивания загрузки исполнителей используют технологические карты,
на которых вычерчивают работы в масштабе времени. При этом только работы
критического пути показаны непрерывной цепочкой. Чтобы снять пики загрузки
работников необходимо сдвигать времена начала работ, имеющих резервы времени.
Тема 6. Внутрифирменное планирование
.1 Сущность и методология планирования
Эффективная деятельность предприятий в условиях рыночной экономики в
значительной степени зависит от того, насколько достоверно они предвидят
дальнюю и ближнюю перспективу своего развития, т.е. ход прогнозирования.
Прогнозирование является исходным этапом для планирования деятельности
предприятия, т.е. это научное предвидение перспектив развития предприятия
основанное на знании действия экономических законов, которое одновременно
является средством внедрения научно разработанных перспектив и активного
воздействия на все процессы, происходящие в ходе производства и сбыта
конкурентоспособной продукции.
Вступая в рыночные отношения, предприятие самостоятельно осуществляет
предпринимательскую деятельность, которая определяет главными конечные
результаты. Это предопределение (прогноз) является исходным при планировании.
Планирование - это функция менеджмента, т.е. управления.
Планирование - это система действий, необходимых для преодоления
разногласий между тем состоянием объекта управления, который является наиболее
вероятным (без вмешательства субъекта управления), и тем, который является
желаемым (заданным).
Сущность планирования состоит в обосновании целей и способов их
достижения на основе выявления комплекса задач и работ, а также определения
эффективных методов и способов, ресурсов всех видов, необходимых для выполнения
этих задач и установления их взаимодействия.
Содержание планирования в социально-экономической сфере - это
формирование программы, темпов и пропорций развития объекта управления для
достижения заранее определенных социальных и экономических результатов в
интересах субъекта управления.
Главные (ключевые) параметры планирования в социально-экономической сфере
в рыночных условиях таковы:
- приоритеты - как конкретизация цели управления,
- выбор - как последствия наличия альтернативных решений,
риск - как последствия объективной непредсказуемости будущего.
Приоритет - это определенный параметр состояния объекта управления,
особенно важный для субъекта управления и в достижении которого состоит цель и
содержание процесса управления. Проблема приоритета имеет два аспекта:
во-первых, его установление, т.е. определение параметра (показателя) или
совокупности показателей, которые наиболее точно отвечают цели и обеспечивают
интересы субъекта управления,
во-вторых, его оценка, т.е. определение количественной характеристики
показателей, которых желательно достичь в интересах субъекта управления.
Проблема выбора также имеет два аспекта:
- во-первых, выбор приоритета для определения перспективного состояния
объекта и цели планирования,
во-вторых, выбор путей достижения заданного или желаемого уровня плановых
параметров.
Риск - это характеристика неопределенности, присущей управленческим
процессам, и в первую очередь планированию, т.е. это вероятность наступления
действия, которое может иметь негативные последствия для процесса и результатов
управления.
Виды риска классифицируются по определенным признакам:
. По важности последствий (опасность негативных финансовых результатов):
допустимый,
критический,
- катастрофический.
2. По степени охвата риском объектов управления (зависимость от
управленческих решений на государственном уровне):
- систематический (не диверсифицированный),
- несистематический (диверсифицированный).
. По причинам и условиям возникновения (охват всего спектра деятельности
объекта управления и его взаимосвязей с природной средой, рыночными субъектами
и другими участниками управленческого процесса):
- природный,
- социально-политический,
нормативно-законодательный,
финансово-экономический,
производственный.
Оценка риска любого вида предусматривает анализ видов риска для
конкретной ситуации, затем измерение степени риска, т.е. вероятности наступления
определенного действия, и размера финансовых и негативных социальных
последствий от него.
Методология планирования включает плановые показатели, принципы,
стратегии и приоритеты планирования.
Показатель (параметр) - это первичная форма представления экономической
информации.
Под показателем понимают наименьшую содержательную единицу, состоящую из
цифр и алфавитных знаков, которая является предметом информации и создания
документов в экономических расчетах.
Принципы - это главные установленные правила, невыполнение которых
приводит к неэффективности управленческих решений.
Наиболее важные принципы планирования:
комплексности (системности) - необходимости учета всех внешних
и внутренних факторов, оказывающих влияние на объект управления,
научности - базирование на достижениях фундаментальных и
специальных наук
подчиненности - соподчиненности процедур планирования
приоритетам и стратегии управления,
- гибкости - необходимости учета риска и альтернативных плановых
расчетов,
- постоянства - непрерывности плановых процедур, основанной на
взаимосвязи текущего и стратегического планирования.
Методы планирования подразделяются на:
- методы расчетов,
- методы разработки плановых документов (программ, планов),
методы обоснования показателей и их взаимосвязи.
.2 Виды планирования
Классификация планирования осуществляется по определенным признакам:
.По периодичности:
- перспективные (долгосрочные, более 5 лет)
- среднесрочные (до 5 лет)
оперативные.
. По уровню управления:
макроуровень,
мезоуровень,
- микроуровень,
- подраздел,
человек.
. По механизму планирования:
- директивное,
- индикативное.
. По предмету деятельности:
- хозяйство,
- коммерция,
производство,
политика,
культура,
социальное обеспечение.
. По цели планирования:
- текущее,
- стратегическое, в т.ч. бизнес-планирование.
Все виды планов предприятий Украины объединяются в единую систему
функционирования производства, реализации товаров и развития бизнеса.
Центральным звеном планирования являются долгосрочные планы, которые
должны предвидеть перспективы развития как своего предприятия с учетом
научно-технического совершенствования производства и выпуска
конкурентоспособной продукции, так и поставщиков, потребителей.
Среднесрочные планы разрабатываются, более конкретно приближаясь к
текущему периоду времени, по тем же показателям, что и долгосрочные планы.
Текущие планы (краткосрочные) определяют конкретное развитие предприятия
с учетом среднесрочного планирования, с уточнением всех показателей на основе
действующих экономических условий, которые разрабатываются на базе глубокого
анализа хода выполнения плана предыдущих периодов. Важной частью текущего
планирования является оперативное планирование и регулирование производства.
Оперативное планирование предусматривает задание на месяц, декаду, сутки,
смену.
Для того чтобы определить возможности развития предприятия или
какого-либо проекта необходимо сформулировать стратегию, которая должна
материализоваться в соответствии с нормативными документами, среди которых наиболее
важным является бизнес- план.
Бизнес-план так же, как и план развития предприятия является документом,
включающим все основные стороны деятельности предприятия, его производственные
и социальные проблемы, однако особое место в нем отводится коммерческой
деятельности, т.е. маркетингу.
В бизнес-плане излагается, как правило, суть стратегической идеи,
указываются пути и средства её реализации, а также производственные,
организационные, и рыночные условия развития.
Особое значение бизнес-план имеет для предпринимателей начинающих новое
дело.
От того, насколько убедительно и качественно составлен бизнес-план,
зависит решение вопроса об инвестициях, чем тщательнее разработаны разделы
бизнес-плана, тем легче работа по его выполнению.
Структура типового бизнес-плана, как правило, стандартна и состоит из
10-12 разделов:
1. Титульный лист:
название, адрес фирмы
- имена и адреса учредителей
суть проекта
стоимость проекта
ссылка на секретность
2. Вводная часть:
основные положения предлагаемого проекта
. Анализ положения дел в данной отрасли:
текущая ситуация
- потенциальные конкуренты
потенциальные потребители
4. Существо предлагаемого проекта:
вид продукции, работ или услуг
- помещения под офис и оборудование
административный и производственный персонал необходимый для
осуществления проекта
возможные партнеры
5. Производственный план:
описание производственного процесса
- операции, которые предполагается поручить субподрядчикам
производственная концепция, необходимые машины и оборудование
поставщики сырья и материалов
6. План маркетинга:
цены
- каналы сбыта
реклама
прогноз объемов реализации новой продукции
целевые экономические показатели
7. Организационный план:
форма собственности
- сведения о партнерах
сведения о членах руководящего состава
организационная структура управления и распределение
обязанностей
8. Оценка риска и страхования:
слабые стороны предприятия
- вероятность появления новых технологий
альтернативные стратегии
программа страхования от рисков
9. Финансовый план и программа инвестиций:
план доходов и расходов
- план денежных поступлений и платежей
точка самоокупаемости
источники и направление использования средств
размер и обоснование инвестиционных вложений
10. Юридический план
11. Осуществление контроля над выполнением бизнес-плана
. Охрана окружающей среды:
- существующие природоохранные проблемы
- предложения по их решению.
Содержание плановых расчетов различается в зависимости от уровня
управления:
1) планирование деятельности фирмы в
целом,
2) планирование деятельности
внутрифирменных подразделений.
Для фирмы в целом планирование (стратегическое и текущее) осуществляется
по направлениям:
номенклатура и ассортимент продукции (изделий, работ, услуг),
основанные на анализе рыночной конъюнктуры, возможностей фирмы и стратегии
маркетинга,
объем продаж продукции и выручка от реализации по кварталам
(месяцам) планового периода,
объем производства (товарная и валовая продукция, незавершенное
производство), взаимоувязанный с производственными мощностями, материальными и
трудовыми ресурсами,
организационная и производственная структура,
инженерное обеспечение,
обеспечение трудовыми ресурсами и оплата труда,
финансовый план,
социальная сфера,
инвестиционная и инновационная политика.
Для внутрифирменных подразделений основными направлениями планирования
являются:
- производство продукции в соответствии с плановой номенклатурой
и ассортиментом,
- техническое обслуживание основного производства - ремонт,
оснастка, транспортировка, складирование, энергообеспечение и другие виды работ
и услуг,
затраты ресурсов и их экономия,
затраты на производство и реализацию (себестоимость продукции),
в т.ч. фонды оплаты труда, экономия всех видов затрат,
материальное поощрение работников,
организационно-техническое развитие, в т.ч. освоение новой
продукции, техники и технологии,
социальное развитие.
Список
рекомендуемых источников
1.
Законодавчі
і нормативні документи.
2. Мескон М.А. Алберт Ф.М. Основы
менеджмента. М.- 1992.
3. Котлер Ф. Основы маркетинга. М.-
1991.
4. Алексеева М.М. Планирование
деятельности фирмы. М.- 1997.
5. Винокуров В.А. Организация
стратегического управления на предприятии. М.- 1996.
6. Шепеленко Г.И. Экономика, организация
и планирование производства на предприятии. Ростов-на-Дону.- 2002.
7. Курочкин А.С. Организация
производства. К.- 2001.
8. Планирование в условиях перехода к
рынку. /Под ред. Беседина В.Ф. и др. К.- 1990.
9. Контролинг как инструмент управления
предприятием. /Под ред. Данилочкина С.В. и др. М.- 1999.
10.Соколицын С.А.,
Кузин В.И. Организация и оперативное управление машиностроительным
производством. Л.- 1988.
11.Организация и
планирование предприятий черной металлургии. /Под ред. Метса А.Ф. М.- 1986.
12.Попов В.М.,
Безлепкин И.В. Сборник бизнес-планов с комментариями и рекомендациями. М.-
2000.
13.Чернега В.И.,
Мазуренко И.Я. Краткий справочник по грузоподъемным машинам. К.- 1988.
14.Житная И.П.,
Житный С.П. Технико-экономический анализ при проектировании и производстве машин. К.- 1990.
15.Черников Ю.В.
Организация ремонтов оборудования в черной металлургии. К.- 1989.
16. Залкинд
А.С. Механизация ремонтов металлургических агрегатов. М.- 1988.