Методы изучения дифференциации доходов населения, уровня и границ бедности
Введение
В экономической литературе не существует
однозначного определения категории «уровень жизни населения», в связи с чем
дискуссионным является и вопрос о перечне показателей, необходимых для
адекватной ее статистической характеристики. Весьма распространенным является
метод, в соответствии с которым уровень жизни определяется прежде всего как
совокупность товаров и услуг, которыми располагает отдельный человек, семья или
социальная группа населения. При этом одним из наиболее важных индикаторов уровня
жизни, как правило, считается показатель доходов домашних хозяйств,
определяющий их возможность приобретать товары, услуги и различные активы.
Доходы используются на финансирование потребительских расходов и сбережение,
которое может быть источником будущих расходов на потребление или
использоваться для финансирования приобретения населением финансовых активов и
имущества (дома, земля и др.), владение которыми также влияет на уровень жизни.
Ввиду отсутствия единого обобщающего показателя,
характеризующего уровень жизни населения, для его анализа рассчитывается целый
ряд статистических показателей, отражающих различные стороны данной категории и
сгруппированных в следующие основные блоки:
показатели доходов населения;
показатели расходов и потребления населением
материальных благ и услуг;
сбережение;
показатели накопленного имущества и
обеспеченности населения жильем;
показатели дифференциации доходов населения,
уровня и границ бедности;
социально-демографические характеристики;
обобщающие оценки уровня жизни населения.
Приведенная подсистема показателей уровня жизни
занимает особое место в общей системе показателей социально-экономической
статистики, так как многие из них используются для общей характеристики
состояния экономики, при проведении международных сопоставлений уровней
экономического развития различных стран, а также для разработки социальной
политики государства и определения первоочередных направлений социальной
поддержки отдельных групп населения.
Следует отметить, что приведенная выше подсистема
показателей отражает в большей степени количественную сторону изучаемой
категории. Для качественной характеристики условий жизни населения необходимо
использовать показатели социальной статистики, дающие представление о качестве
жизни. К их числу относятся основные показатели демографической статистики,
состояния и охраны здоровья, качества и структуры потребляемых продуктов
питания, уровня грамотности и состояния сферы образования и культуры,
комфортабельности жилья и др. Указанные показатели используются в международной
статистической практике для более полной характеристики благосостояния
населения. Некоторые из них применяются как обобщающие характеристики уровня
жизни, например, коэффициент младенческой смертности и средняя
продолжительность предстоящей жизни, которые наряду с объемом ВВП надушу
населения входят в блок обобщающих показателей, не только отражающих уровень
жизни населения, но и являющихся важнейшими индикаторами уровня
социально-экономического развития страны.
Как было отмечено выше, некоторые показатели в
этой системе (доход, потребление) обычно рассматриваются как наиболее важные
для анализа уровня жизни, однако они не охватывают все аспекты изучаемой
категории. В этой связи в специальной литературе обсуждается вопрос о
возможности и целесообразности исчисления единого обобщающего показателя уровня
жизни. Многие специалисты весьма скептически относятся к возможности его
построения. Тем не менее время от времени предпринимаются попытки предложить
схему исчисления обобщающего показателя благосостояния населения. Например,
несколько лет тому назад в рамках ООН стали исчислять «индекс человеческого
развития», который претендует на роль обобщающего показателя уровня жизни.
Однако, как будет показано ниже, он имеет ряд существенных недостатков.
Методологические подходы к построению некоторых
обобщающих показателей уровня жизни изложены в §6 данной главы. Разработаны и
специальные методы математической статистики, позволяющие объединять различные
по своему содержанию показатели в единое целое: метод главных компонент,
максимина корреляции и др., которые в настоящее время используются при научных
исследованиях, но недостаточно широко применяются в практической работе органов
государственной статистики.¹
1. Понятие «уровня жизни» и его составляющие
Важную роль в изучении уровня жизни населения
играют социальные нормативы как научно обоснованные ориентиры направленности
социальных процессов в обществе.
Различаются социальные нормативы:
• развития материальной базы социальной сферы,
• доходов и расходов населения,
• социального обеспечения и обслуживания,
• потребления населением материальных благ и
платных услуг,
• условий жизни,
• состояния и охраны окружающей среды,
• потребительского бюджета и др.
Они могут быть уровневыми, выражающими абсолютную
или относительную величину нормы соответственно в натуральных показателях или
процентах (возможные варианты нормативов: моментные, интервальные, минимальные,
максимальные), а также приростными, представленными в виде соотношения
приростов двух показателей. Непосредственное отношение к уровню жизни имеет
потребительский бюджет, суммирующий
нормативы (нормы) потребления населением
материальных благ и услуг, дифференцированные по социальным и половозрастным
группам населения, климатическим зонам, условиям и тяжести труда, месту
проживания и т. д. Различают минимальный и рациональный потребительские
бюджеты.
К другим основным социальным нормативам
относятся: минимальная заработная плата и пособие по временной
нетрудоспособности, пособие по безработице для трудоспособных лиц, минимальные
трудовые и социальные пенсии для пожилых и нетрудоспособных граждан, инвалидов;
минимальные стипендии учащимся, регулярные или разовые целевые пособия наиболее
уязвимым в материальном отношении группам населения (многодетным и
малообеспеченным семьям, матерям-одиночкам и др.).
В совокупности они образуют систему минимальных
социальных гарантий как обязанность государства обеспечить гражданам:
минимальные размеры оплаты труда и трудовой пенсии, право на получение пособий
по социальному страхованию (в том числе по безработице, болезни, беременности и
родам, уходу за малолетним ребенком, по малообеспеченности и др.), минимальный
набор общедоступных и бесплатных услуг в области образования, здравоохранения и
культуры. Стержень социальной политики - прожиточный минимум, и с ним должны
увязываться все остальные социальные стандарты и гарантии.
Существующие нормативы отражают современные
научные представления о потребностях людей в благах и услугах - личных
потребностях. Однако последние не следует абсолютизировать, так как они всегда
изменчивы, что затрудняет их количественную оценку. Личные потребности отражают
объективную необходимость в определенном наборе и количестве материальных благ
и услуг и социальных условий, обеспечивающих всестороннюю деятельность
конкретного человека.
Личные потребности подразделяются на
физиологические (физические), интеллектуальные (духовные) и социальные.
Физиологические потребности являются определяющими - первого порядка, поскольку
выражают потребности человека как биологического существа; в их составе
насущными, первичными, выступают потребности в пище, одежде, обуви, жилище,
отдыхе, сне, двигательной активности и т.д.
Интеллектуальные потребности касаются
образования, повышения квалификации, творческой деятельности, порождаемой
внутренним состоянием человека.
Социальные потребности связанны с
функционированием человека в обществе - это социально-политическая
деятельность, самовыражение, общение с людьми, обеспечение социальных прав и т.
д.
Интеллектуальные и социальные потребности
относятся к потребностям не первой необходимости и удовлетворяются после того,
как наступает определенная степень удовлетворения первостепенных потребностей.
Прямой оценки они не имеют, хотя во многом зависят от состояния культуры в
обществе, общего уровня и качества жизни населения. Условия же для их
удовлетворения характеризуются бюджетом времени населения. По величинам
рабочего, нерабочего и свободного времени можно оценить эффективность рабочего
времени и возможности удовлетворения
интеллектуальных
и социальных потребностей человека.
Различаются рациональные (разумные) и
иррациональные потребности. Первые (рациональные) отвечают научным
представлениям о потреблении благ и услуг, необходимых для поддерживания здорового
образа жизни человека и гармоничного развития личности. Это общественно
полезные потребности, плохо поддающиеся количественной оценке. Их можно
определить условно с помощью рациональных норм и нормативов (кроме рациональных
норм потребления продуктов питания, устанавливаемых на основе данных науки о
питании). Вторые (иррациональные) потребности выходят за рамки разумных норм,
принимают гипертрофированные, иногда извращенные формы, в частности по
отношению к питанию.
Внешней формой проявления личных потребностей
выступает спрос населения, хотя и количественно, и качественно он отличается от
действительной потребности. Различают общий потребительский спрос, объем и
структура которого соответствуют объему потребления населением
материальных благ и услуг, и платежеспособный
спрос на них, отражающий платежеспособные возможности населения.
Наряду с личными выделяют социальные потребности
общества, обусловленные необходимостью обеспечения условий его функционирования
и развития, в том числе производственные, потребности в управлении, обороне,
охране окружающей среды и т. д.
Изучение уровня жизни и системы показателей
Важнейшая задача статистики уровня жизни -
выявление закономерностей изменения благосостояния населения. Для этого
проводятся исследования, охватывающие как всю страну, так и ее регионы,
социально-демографические группы населения и различные типы домашних хозяйств.
Это позволит проследить различия в уровне жизни в зависимости от экономических,
национальных, природно-климатических и других особенностей, а также от доходов
населения. Результаты исследований могут носить либо общий характер, либо
частный, связанный, например, с оценкой
потребления
населением конкретных благ и обеспеченности его различными услугами.
К задачам изучения уровня жизни относятся также:
• комплексное рассмотрение структуры, динамики и
темпов изменения его показателей;
• дифференциация различных групп населения по
доходам и потреблению и анализ влияния различных социально - экономических
факторов на изменение уровня.
Большое значение имеют оценка степени
удовлетворения потребностей населения в материальных благах и различных услугах
по сравнению с рациональными нормами их потребления и разработка на этой основе
обобщающих показателей уровня жизни.
Источниками информации для решения данных задач
выступают:
• текущий учет и отчетность предприятий,
организаций и учреждений, обслуживающих население;
• данные статистики труда, занятости населения,
трудоустройства и оплаты, бюджетов домашних хозяйств, переписей населения, разного
рода социологических и других обследований социальных условий жизни и
деятельности людей.
Особое место в анализе уровня жизни населения
занимает статистика бюджетов домашних хозяйств, основанная на ежедневных
записях доходов и расходов 48,6 тыс. домохозяйств и ведущаяся в стране еще с
конца прошлого века. Данные обследования обобщаются органами государственной
статистики и используются для оценки уровня и динамики материальной
обеспеченности домохозяйств с различными доходами.
Здесь насчитывается около 3 тыс. показателей,
характеризующих:
• состав домохозяйства по полу, возрасту, видам
занятий;
• доходы по источникам поступления;
• расходы по видам затрат;
• покупки и потребление продуктов питания и
непродовольственных товаров;
• расходы на отдельные виды услуг;
• показатели жилищных условий, личного
подсобного хозяйства и др.
Информация разрабатывается в территориальном и
федеральном разрезах: по отдельным категориям обследуемых домохозяйств; по
размеру среднедушевого совокупного дохода; по размеру домохозяйства, наличию
детей и т. п. Эти данные позволяют определить доходы населения, состав его
денежных доходов и расходов, потребление
продуктов питания, непродовольственных товаров и услуг, показатели
дифференциации доходов и расходов, эластичность потребления и т. д.
Вместе с тем имеется ряд проблем, связанных с
совершенствованием бюджетных обследований. Прежде всего, речь идет об улучшении
выборки домохозяйств, от которой зависит репрезентативность данных. Выборка
должна быть представлена и хозяйствами, ориентированными на предпринимательский
доход, и домохозяйствами студентов, инвалидов, домашними хозяйствами с главой
семьи - безработным.
Важно также, чтобы в ней были представлены
домохозяйства всех сфер деятельности, включая торговлю, культуру, искусство,
науку, государственное управление всех уровней, защиту безопасности и охрану
общественного порядка, оборону.
Комплексное исследование уровня жизни населения
возможно только с помощью системы статистических показателей. В последние годы
было предложено несколько систем, различающихся структурой и набором
показателей.
Наиболее полной и отвечающей современным
требованиям служит система "Основные показатели уровня жизни населения в
условиях рыночной экономики", разработанная в Центре экономической
конъюнктуры и прогнозирования при Министерстве экономики РФ в 1992 г. В ней
представлено 7 разделов, охватывающих 39 показателей: . Обобщающие показатели:
критерий уровня жизни, индекс стоимости жизни, валовой национальный продукт
(фонд потребления, фонд личного потребления) в расчете на душу населения. .
Доходы населения: реальные общие доходы населения, реальные располагаемые
доходы населения, совокупные доходы населения, личные доходы населения, личные
располагаемые доходы населения, денежные доходы населения, средний доход и
средняя заработная плата работников, средний размер реальной заработной платы,
средний размер пенсии, пособия, стипендии. . Потребление и расходы населения:
общий объем потребления населением материальных благ и услуг, денежные расходы
населения, потребительские расходы населения, потребление населением основных
продуктов питания, покупательная способность средней заработной платы,
покупательная способность средней пенсии. . Денежные сбережения населения. .
Накопленное имущество ижилище: стоимость накопленного домашнего (личного)
имущества, наличие и характеристика предметов длительного пользования в
собственности населения, жилищные условия населения. . Социальная
дифференциация населения: распределение населения по размеру среднедушевого
(среднего по домохозяйству) совокупного дохода, потребление основных продуктов
питания, непродовольственных товаров и услуг населением с разным уровнем
среднедушевого (среднего по домохозяйству) совокупного дохода, структура
потребительских расходов населения с разным уровнем среднедушевого (среднего по
домохозяйству) дохода, динамика стоимости фактической и нормативной
потребительской корзин различных слоев населения, индекс концентрации доходов
(коэффициент Джини), децильные коэффициенты дифференциации доходов и
потребления населения, соотношение средних значений дохода и потребления в
границах верхней и нижней децилей, доля квинтельних (децильных) групп населения
(домашних хозяйств) по уровню среднедушевого (среднего по домохозяйству) дохода
в совокупном доходе общества. . Малообеспеченные слои населения: прожиточный
минимум (порог бедности), минимальный потребительский бюджет, минимальный
размер заработной платы, минимальный размер пенсии, покупательная способность
минимальной заработной платы, покупательная способность минимальной пенсии,
коэффициент (уровень) бедности, дефицит дохода, зоны бедности, социальный
портрет бедности.
Наиболее важные 12 показателей из перечисленных
39 включены в Систему показателей для оценки хода экономической реформы в
России в раздел 10 "Социальная сфера, жизненный уровень населения" и
в подраздел 10.3 "Уровень жизни". Эта система показателей разработана
Министерством
экономики
РФ и Госкомстатом России, согласована с заинтересованными министерствами и
ведомствами, администрациями регионов и введена в действие с 1993 г. Она
рекомендована органам исполнительной власти республик в составе Российской
Федерации, краев, областей, автономных образований, городов Москвы и
Санкт-Петербурга для использования в анализе хода экономической реформы на
соответствующих территориях.
Система социальных показателей изменяется вместе
с преобразованием социальных отношений.
Международная статистика уровня жизни стала
развиваться недавно. В 1960 г. рабочей группой ООН был подготовлен доклад о
принципах определения и измерения уровня жизни в международном масштабе. Это
была первая попытка создания системы показателей. Ранее уровень оценивался
индексом реальной заработной платы (индексом номинальной заработной платы,
деленным на индекс цен), а затем индексами прожиточного минимума и стоимости
жизни (индексом потребительских цен на товары и услуги определенного набора).
Каждый из индексов значим, но применяемые индексы не дают всесторонней
характеристики этого уровня. К тому же индексы реальной заработной платы и
стоимости жизни относятся лишь к наемному труду, тогда как при нахождении
уровня жизни некоторых категорий населения (например, крестьян) указанные
индексы не используются.
Последний вариант системы показателей уровня
жизни в международной статистике ООН разработан в 1978 г. и включает 12
основных групп показателей.
Система показателей США состоит из 13 разделов.
Особой подробностью и завершенностью отличается
Система показателей социальной статистики Франции, разработанная Национальным
институтом статистики и экономических исследований. В ней выделено 4 группы
показателей, в каждой из которых большая часть показателей
имеет
прямое или косвенное отношение к оценке.
Оценка уровня жизни
Разработка обобщающего (интегрального)
показателя уровня жизни населения составляет одну из важнейших задач всей
социальной статистики.
Рабочая группа по социальной статистике ООН
предлагала в качестве таких показателей национальный доход на душу населения,
долю расходов на питание в общих расходах домохозяйства, относительный
коэффициент смертности, определяемый как отношение числа смертей лиц в возрасте
50
лет
и старше к общему количеству смертей, среднюю продолжительность жизни
населения.
Применение в этих целях агрегированных
экономических показателей основано на предположении о том, что страны, наиболее
развитые в экономическом отношении, имеют более высокий уровень социального
развития. Часто за основу межстранового сравнения применяется валовой
внутренний
продукт или национальный доход на душу населения, выраженный в валюте одной из
стран, либо в долларах США, либо в паритетах покупательной способности валют.
Национальный доход в разных странах трудно
сравнивать, так как существуют разная методология его исчисления и различия в
структуре дохода, особенно в части распределения его на потребление и
накопление. К тому же фонд накопления не имеет непосредственного отношения к
уровню жизни населения, да и фонд потребления включает не очень связанные с
уровнем жизни расходы на науку и управление.
Два следующих предлагаемых показателя - доля
расходов на питание и относительный коэффициент смертности, безусловно,
характеризуют разницу в уровнях жизни, но вряд ли они являются интегральными.
Скорее всего, они представляют собой частные показатели и их место в
соответствующих группах. Наконец, средняя продолжительность жизни не всегда
однозначно оценивает общее улучшение уровня жизни. В развивающихся странах
повышение этого показателя может быть связано с улучшением санитарных условий,
применением современных лекарств и т. д., что может не сопровождаться
улучшением питания, жилищного обслуживания и др.
В статистике нашей страны также нередко
какой-либо из показателей выдается за обобщающую оценку уровня жизни населения,
например тот же показатель национального дохода на душу населения. При этом
делается оговорка, что его материально-вещественная структура (соотношение
фондов
потребления
и накопления) отвечает структуре общественных потребностей. Или предлагается
использование показателя общего фонда потребления населением материальных благ
и услуг, в том числе и на душу населения. Этот показатель, конечно, лучше,
нежели показатели национального дохода
и,
тем более, общественного продукта, но и он не отражает многих составляющих
уровня жизни и прежде всего условий жизни. Кроме того, его размерность (руб.,
руб./чел.) неприемлема для обобщающего показателя, даже если применяемые в
расчетах цены и тарифы соответствуют потребительским свойствам благ и услуг.
Подобного недостатка лишен показатель свободного
времени, выдвигавшийся недавно в качестве возможной общей оценки уровня жизни,
исходя из известного высказывания К. Маркса о том, что свободное время,
используемое на досуг, учебу, самообразование, спорт и т. п., в будущем станет
мерой общественного богатства. Такое будущее еще не наступило, и современная
статистика не обеспечивает постоянного наблюдения за этим показателем, его
изучение возможно с помощью периодических специально организованных выборочных
обследований. Таким образом, показатель свободного времени непригоден при
международных сопоставлениях уровня жизни населения.
В научной литературе обсуждаются разные
предложения по конструированию обобщающего показателя уровня жизни на основе
частных показателей. Высказано было предложение о расчете обобщающего показателя
в виде средней взвешенной величины из частных показателей уровня жизни (групп
показателей). Весами служат экспертные оценки их долевой значимости
(весомости), т. е. сумма весов равна 1. При этом важно предварительно привести
все частные показатели уровня жизни к единой размерности (единой шкале), и эта
задача решается с использованием относительных величин их динамики. Примером
такого показателя может служить "индикатор напряженности". Его
составляющими являются:
• степень обеспеченности потребительскими
товарами;
• уровень преступности;
• степень недовольства населения комплексом
нерешенных социально-политических, экономических и экологических проблем.
На базе этих данных более чем в 100 городах и во
всех регионах страны был исчислен индекс. Величина индекса от 0 до 0,4
свидетельствует о социальной стабильности; от 0,4 до 0,8 - о социальной
напряженности; от 0,8 до 1,4-0 локальных конфликтах; от 1,4 до 2,0 - о
социальных взрывах в регионе; свыше 2,0 - о массовых социальных взрывах.
Поскольку частных показателей уровня и качества
жизни много и они имеют разную размерность, построение интегрального показателя
предполагает переход к неким единообразным характеристикам. В качестве таковых
могут быть использованы ранги стран по каждому показателю. В
этом
случае страны упорядочиваются по каждому из рассматриваемых показателей от 1 до
n (n - число стран) для показателей - стимулянт (таких, например, как средняя
ожидаемая продолжительность жизни при рождении или число телевизоров на 10 000
жителей и т. д.); для показателей - дестимулянт порядок упорядочивания
обратный, т. е. на 1-м месте будет та страна, для которой
показатель-дестимулянта имеет наименьшее значение (примерами дестимулянт
являются коэффициент младенческой смертности,
показатель
смертности женщин при родах, число несчастных случаев и т. д.). Присвоив ранги
по отдельным показателям, находят средний ранг страны по всем показателям:
- ранг i-й страны по j-му показателю;
т - число показателей.
Чем меньше значение Ri, тем более развита страна
(или регион) с точки зрения совокупности рассматриваемых характеристик.
К недостаткам данного метода относятся:
во-первых, механическое соединение исходных показателей; во-вторых, то, что
полученные средние ранги не отражают фактического расстояния между объектами
исследования. В этом смысле упорядочивание стран по значениям главных компонент
или
главных
факторов предпочтительнее. В статистике качества и уровня жизни могут быть
использованы экспертные оценки.
Все большее признание получает оценка
достигнутого уровня жизни населения путем сопоставления фактических его
показателей с нормативными, т. е. по степени удовлетворения потребностей
населения в жизненных благах и разнообразных услугах. В этом случае устраняются
многие трудности и недостатки, присущие другим оценкам. Однако, при таком
подходе к оценке уровня жизни в задачу статистики не входит обсуждение самих
норм - они принимаются за рациональные, хотя они будут постоянно
пересматриваться и совершенствоваться. Нормы воспринимаются не только как цель,
но и как условия для всестороннего развития личности. В этом плане особенно
важны продуктовый состав норм, их согласование с показателями статистики
потребления и спроса, торговли и общественного питания, цен и сбережений. Более
четкими должны быть социально-демографические параметры типичных потребителей,
без чего невозможно создать стабильные эталоны потребления.
Учитывая практические потребности статистики,
можно предложить упрощенный вариант расчета обобщающего показателя уровня жизни
населения. Он представляется как средняя взвешенная величина из частных
показателей уровня жизни, выражающих соотношение фактического потребления
материальных благ и услуг по их группам и видам в среднем на одного человека с
нормами этого потребления.
Весами в средней величине выступает доля
стоимости каждого фактического потребления в общей стоимости нормативного
набора благ и услуг. При этом каждое фактическое потребление принимается в
объеме не выше нормативного. Значит, любое превышение нормы должно оцениваться
в 1,0, и, следовательно, в целом критериальным значением такого показателя
уровня жизни является та же 1,0 (это будет при условии, что по всему набору
благ и услуг, вошедших в расчет показателя, фактическое их потребление достигло
нормативного). Если та или иная услуга не планируется и нет норм по ее
потребностям, то в числителе и знаменателе показателя уровня жизни она
учитывается по фактической стоимости.
Иногда предлагается ранжировать отдельные виды
благ и услуг по их значимости в потреблении, прежде чем находить среднюю
величину общего показателя уровня жизни. На наш взгляд, нет достаточных причин
для деления потребляемого на главное и неглавное, основное и второстепенное
(раз
оно составляет рациональную норму потребления), а только это может
способствовать его дифференциации в структуре потребления. Другое дело, что в
самом потреблении и соответственно в частных показателях уровня жизни нужно
обеспечить достаточное количество видов благ и услуг, включая и услуги первой необходимости.
Возможно лишь одно "неравноправие"
потребляемого - по стоимости, но здесь берутся затраты общества на блага и
услуги, а не их значимость в потреблении. Вместе с тем даже стоимость может
оказать искажающее влияние на обобщающий показатель уровня жизни, поскольку она
определяет весовые коэффициенты частных показателей. В этой связи целесообразно
находить общий показатель уровня жизни не только в виде средней взвешенной
величины из частных показателей, но и в виде простой их средней (соблюдая при
этом критериальное значение частных показателей - 1,0). Конечно, и при таком
подходе к общей оценке уровня жизни методологические проблемы остаются. В
частности, не все характеристики условий уровня жизни населения и всестороннего
развития личности могут быть учтены. Однако именно взятые совместно потребление
благ и потребление услуг выражают расширяющуюся и обогащающуюся материальную
базу жизни.²
Понятие семьи и домохозяйства. Система
показателей домохозяйств
Одной из важнейших предпосылок решения социальных
задач является изучение семьи и семейной структуры населения. Семья -
самостоятельная ячейка общества, тесно связанная с другими социальными
институтами.
Под домохозяйством понимается
социально-экономическая ячейка, объединяющая людей отношениями, возникающими
при организации их совместного быта; ведения общего домашнего хозяйства,
совместном проживании и т.д. Таким образом, домохозяйство рассматривается
преимущественно как экономическая ячейка общества. Оно шире по своему составу
за счет лиц не состоящих в родстве с членами семьи (няни, воспитатели, прислуга
и т.д.).
Основным приемом анализа структуры домохозяйств
является их распределение по величине и типам. Для нахождения влияния различных
факторов на величину и структуру домохозяйств эти распределения могут
использоваться в сочетании с распределением членов домохозяйств по
социально-демографическим признакам (по возрасту, брачному состоянию, числу
детей моложе 18 лет, национальности, экономической активности, занятости и.
др.). Одним из принципов выбора варианта типологии домохозяйств выступает учет
области практического применения получаемых статистических данных.
Анализ структуры домохозяйств складывается из
двух последовательных этапов. Первоначально определяется перечень типов,
которые следует выделить при классификации домохозяйств. Далее все выделенные
типы должны быть охарактеризованы с помощью ряда числовых показателей. Прежде
всего определяются число домохозяйств каждого типа и их доля в общей
численности домохозяйств. При более детальном анализе вычисляют такие
показатели, как средний размер домохозяйства, доля домохозяйств с
несовершеннолетними детьми, доля лиц, живущих совместно, и доля лиц,
проживающих отдельно от домохозяйства. Простейшим показателем служит
распределение домохозяйств по числу членов. В качестве иллюстрации в табл. 1
приводятся некоторые показатели домохозяйств по отдельным странам Европы.
Таблица 1. Распределение домохозяйств по размеру
на 1 января 1993 в(%)
|
Страна
|
Количество
домохозяйств состоящих из числа человек
|
Доля
домохозяйств с детьми моложе 18 лет в общем числе
|
|
1
|
2
|
3
|
4
и более
|
|
|
Дания
|
35
|
33
|
15
|
17
|
27,9
|
|
Финляндия
|
34
|
30
|
15
|
21
|
30,6
|
|
Норвегия
|
45
|
22
|
13
|
20
|
28,3
|
|
Швеция
|
40
|
31
|
12
|
17
|
26,7
|
На основе распределения домохозяйств по числу
членов обычно рассчитывается средний размер, определяемый делением величины
всех членов домохозяйств на число домохозяйств. Данный показатель может быть
найден для всех домохозяйств в разрезе отдельных их типов, по территориальным
единицам, городскому и сельскому населению.
Кроме расчета среднего размера домохозяйства,
могут быть вычислены другие показатели: среднее число детей моложе 18 лет,
приходящихся на одно домохозяйство, средний возраст несовершеннолетних детей,
среднее число занятых, приходящихся на одно домохозяйство, процент мужчин и
процент женщин среди членов домохозяйств, средний и медианный возраст членов
домохозяйств.
Перечисленные выше средние характеристики
домохозяйств можно дополнить показателями вариации: среднее линейное
отклонение, среднеквадратическое отклонение, коэффициент вариации. Важным
аспектом анализа структуры домохозяйств является изучение ее динамики. При этом
вычисляются показатели абсолютных приростов, темпов прироста за определенный
промежуток времени. Могут быть вычислены динамические средние по отдельным
этапам развития (средний уровень, средний абсолютный прирост, средний темп
роста).
Показатели могут быть представлены графически.
Для характеристики удельного веса отдельных типов в общем числе домохозяйств
удобнее всего использовать круговую диаграмму. Размер каждого сектора круга
соответствует доле каждого типа.
Можно выделить три важнейших направления
исследования структуры домохозяйств:
) демографический прогноз на предстоящие годы;
) анализ факторов, влияющих на формирование
структуры;
) изучение зависимости тех или иных
демографических, социальных процессов от особенностей структуры домохозяйств.
Первое направление изучения домохозяйств.
Наиболее ценную информацию получают при использовании приемов
математико-статистического моделирования. Их можно применять для характеристики
структуры домохозяйств по материалам специально организованных выборочных
обследований. Такие обследования дают возможность провести углубленный анализ
изменения структуры домохозяйств во времени, т. е. в процессе их развития.
Может быть построен демографический прогноз на
предстоящие годы. Все виды таких изменений могут быть представлены в виде
показателей вероятности наступления конкретного вида событий.
При разработке прогноза структуры домохозяйств
первостепенным является вопрос об исходной классификации домохозяйств. Для того
чтобы обеспечить многоцелевой прогноз, необходима подробная группировка
домохозяйств, учитывающая родственные отношения, возраст членов домохозяйств и
число поколений в них. В домохозяйствах с несколькими поколениями решение
вопроса об их типе требует выделения одного из поколений, которое считается
основным и по отношению к которому определяется положение остальных членов
домохозяйств.
Это приводит к выделению по демографическому
составу нескольких типов домохозяйств. Однако один и тот же тип может включать
домохозяйства разных размеров, поэтому необходимо расчленение каждого
выделенного типа на группы по числу членов для получения групп домохозяйств,
однородных по составу и числу человек, т. е. получаем демографические
типоразмеры. Теоретически группировка домохозяйств по типоразмерам допускает
образование большого числа групп, но на практике всегда возникают некоторые
ограничения в соответствии с конкретными условиями.
Разработка прогноза структуры домохозяйств
предполагает, что имеются данные многолетних наблюдений (не менее чем за 10
лет) некоторой выборочной совокупности домохозяйств, в которых учтены все
изменения в структуре домохозяйств и в изменении семейного состояния одиночек.
На этой основе определяются частости (вероятности) перехода домохозяйств из
одного типоразмера в другой. Прогноз, составленный на базе динамики структуры
домохозяйств за ряд лет, предполагает использование экстраполяции, т. е.
продолжение существующих тенденций развития структуры домохозяйств на будущее.
Экстраполируются средние частости переходов - параметры взаимосвязи между
различными демографическими группами домохозяйств. Частости переходов
формируются под влиянием как демографических, так и социально-экономических
факторов. Поэтому предположение о постоянстве частостей перехода из одного
типоразмера в другой равносильно предположению о том, что совокупное влияние
всех факторов по частости перехода в будущем останется таким же, каким оно было
в период, предшествующий прогнозу.
Вторым направлением углубленного
детализированного исследования структуры домохозяйств является анализ факторов,
влияющих на ее формирование. Такой анализ представляет собой реимущественно
текстовое описание без приведения математических моделей. Основное внимание при
этом
уделяется определению перечня наиболее существенных факторов и их ранжированию
по значимости, здесь же выявляются направленность, условия и характер их
воздействия.
К основным факторам, изменяющим структуру
домохозяйств, относятся: демографические, социальные, экономические, правовые,
этнические, политические. Их воздействие может происходить на разных уровнях
(страны, региона, групп семей, отдельно взятых семей) и соответственно
оказывать влияние либо на многие домохозяйства, либо на ограниченный их круг.
Например, такие факторы, как состояние войны или
вступление страны в полосу затяжного экономического кризиса, имеют всеобщее
значение и преобразуют структуру домохозяйств всего населения.
Региональные факторы оказывают существенное
влияние только на структуру домохозяйств в данном регионе, и лишь в ослабленной
форме это может отразиться на демографической ситуации в смежных регионах.
Трудность исследования факторов вызывается
числовым измерением их воздействия и сложностью определения их
взаимозависимости и взаимовлияния. Например, в условиях войны исходным фактором
служат военные действия, но одновременно активизируются многие другие
неблагоприятные факторы: разрыв семейных связей и снижение рождаемости (демографический
фактор) в связи с мобилизацией мужчин; резкое снижение уровня жизни
(экономический фактор); ухудшение условий труда и условий воспитания детей
(социальный фактор) и т. д.
Задача моделирования развития домохозяйства чаще
всего решается путем введения некоторых ограничений: исследуется лишь
конкретный тип домохозяйств, рассматривается лишь отдельно взятая группа
факторов, анализ проводится по отдельным регионам.
Третьим направлением можно считать исследования,
в которых структура домохозяйств рассматривается как фактор. Примером такого
исследования является изучение влияния брачности на продолжительность жизни
мужчин и женщин и др.
В целом возможности статистического анализа
структуры домохозяйств во многом определяются содержанием исходной информации.
Общие сведения о домохозяйствах по стране и по всем регионам содержатся в
переписях населения. Материалы специальных обследований, как правило,
бывают
локальными, частными и не всегда могут быть распространены на все население.
Обычно проведение специальных обследований домохозяйств диктуется острой
необходимостью получения дополнительной информации, требующейся для решения
конкретных социальных проблем страны или отдельных регионов. Большое их
преимущество состоит в детальности программ обследования, позволяющих раскрыть
механизмы развития домохозяйств, тщательно рассмотреть их структуру.²
2.Методы изучения дифференциации доходов
населения, уровня и границ бедности
Важнейшим инструментом для анализа
социально-экономической дифференциации населения является построение
распределения населения по уровню среднедушевого денежного дохода, позволяющее
проводить сравнительную оценку благосостояния отдельных групп населения. Особое
внимание при этом уделяется низкодоходным социальным группам, поскольку данный
аспект изучения необходим для выработки целенаправленной социальной политики
государства.
Для нахождения частот распределения населения по
доходам используется функция логарифмически нормального распределения, которая
имеет следующий вид:
(u)=
,
при x>0
где u=
µ -- среднедушевой денежный доход за месяц,
рассчитанный по данным баланса денежных доходов и расходов населения.
-- среднее
квадратическое отклонение случайной величины Ln x, которое определяется по
формуле:
,
при этом
,
а
где xi - среднемесячный доход i-го члена
выборочной совокупности; - средняя численность выборочной совокупности за
рассматриваемый период.
В таблице 2 приведены данные о распределении
населения России по размеру среднедушевого денежного дохода в январе-апреле
1997 г.
Таблица 2 [4]
|
Среднедушевой
денежный доход в месяц (руб)
|
Млн
человек
|
В
% к итогу
|
|
До
400,0
|
12,9
|
8,8
|
|
400,1
-- 600,0
|
16,7
|
11,4
|
|
600,1
-- 800,0
|
17,4
|
11,9
|
|
800,1
-- 1000,0
|
15,8
|
10,8
|
|
1000,1
-- 1200,0
|
13,6
|
9,3
|
|
1200,1
-- 1600,0
|
20,8
|
14,2
|
|
1600,1
-- 2000,0
|
14,2
|
9,7
|
|
Свыше
2000,0
|
34,9
|
23,9
|
|
Всего
|
146,3
|
100
|
Для характеристики распределения населения по
доходу рассчитывается ряд показателей:
модальный доход, т. е. уровень дохода, наиболее
часто встречающийся среди населения;
медианный доход - показатель дохода,
находящегося в середине ранжированного ряда распределения. Половина населения
имеет доход ниже медианного, а вторая половина - выше;
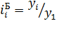
Децильный коэффициент дифференциации доходов
населения (Kd), характеризующий, во сколько раз минимальные доходы 10% самого
богатого населения превышают максимальные доходы 10% наименее обеспеченного
населения:
где d9 и d1 - соответственно девятый и первый
дециль;
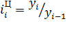
коэффициент фондов (К), определяемый как
соотношение между средними доходами населения в десятой и первой децильной
группах:
=
где
--
среднедушевой доход в есяц соответственно у 10% населения, имеющего минимальный
доход, и у 10% самой богатой его части. Учитывая, что при расчете среднего
дохода для 10% населения в знаменателе показателей
и
находятся
одинаковые значения, коэффициент фондов можно определить в следующем виде:
где d1 и d10 - соответственно суммарный доход
10% самого бедного и 10% наиболее богатого населения;
коэффициент концентрации доходов Джини (К),
характеризующий степень неравенства в распределении доходов населения. Он
рассчитывается по формуле:
где рi - доля населения, имеющего доход не выше,
чем его максимальный уровень в i-й группе; - доля доходов i-й группы в общей
сумме доходов населения, исчисленная нарастающим итогом; рассчитывается
аналогично pi, но не для показателя численности населения а для показателя
денежного дохода.
Коэффициент Джини изменяется в пределах от 0 до
1. Причем чем больше его значение отклоняется от нуля и приближается к единице
тем в большей степени доходы сконцентрированы в руках отдельных групп
населения.
При статистическом изучении уровня и границ
бедности прежде всего устанавливается граница дохода, обеспечивающего
потребление на минимально допустимом уровне, т. е. определяется стоимостная
величина прожиточного минимума, с которой и сравниваются фактические доходы
отдельных слоев населения. Прожиточный минимум включает набор продуктов
питания, обеспечивающий минимально необходимую для жизни их калорийность и
питательную ценность, расходы на непродовольственные товары и услуги, налоги и
другие обязательные платежи, соответствующие затратам на эти цели семей,
имеющих наиболее низкие доходы.
Минимальная продовольственная корзина в России
разработана как для всего населения, так и для его отдельных половозрастных
групп. Например, минимальный объем потребления хлебопродуктов для всего
населения составляет 130,8 кг в год; для мужчин в возрасте 16-59 лет - 177 кг;
для женщин в трудоспособном возрасте - 124,9 кг; для пенсионеров - 119 кг; для
детей в возрасте 0-6 лет - 64,4 кг, а в возрасте от 7 до 15 лет - 112,3 кг. С
учетом того, что существуют территориальные различия в структуре потребления
населения, структура минимальной потребительской корзины также дифференцирована
по восьми природно-климатическим зонам Российской Федерации.
Стоимость минимальной продовольственной
«корзины» определяется как произведение норматива потребления по каждому
продукту на его среднюю цену. Для определения минимально необходимого объема
потребления непродовольственных товаров и услуг, а также расходов на уплату налогов
и других обязательных платежей используются данные выборочных бюджетных
обследований о расходах на эти цели 10% наименее обеспеченного населения.
На основе данных о распределении населения по
размеру среднедушевого денежного дохода определяется численность населения с
доходами ниже прожиточного минимума. Сведения о динамике прожиточного минимума
в России и доле населения с более низкими доходами приведены в табл. 3.
Таблица 3. Динамика прожиточного минимума в
России [4]
|
Годы
|
Прожиточный
минимум (на душу населения; тыс. руб в месяц)
|
Доля
населения с доходами ниже прожиточного минимума (%)
|
|
1994
|
86,6
|
22,4
|
|
1995
|
264,1
|
24,7
|
|
1996
|
369,4
|
21,6
|
|
1997
|
411,2
|
20,8
|
|
1998
|
493,0
|
23,8
|
На основе данных о доходах бедного населения
рассчитывается показатель дефицита дохода, равный суммарному доходу населения,
недостающему до величины прожиточного минимума. В 1997 г. в России дефицит
дохода был равен 41,8 трлн. руб., т. е. 2,6% от общего объема денежных доходов.
За год он сократился на 0,5%.
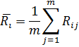
Для анализа динамики уровня бедности в стране
могут быть исчислены два показателя: индекс глубины бедности (/,) и индекс
остроты бедности (1г).
Индекс глубины бедности:
Индекс остроты бедности:
где N - общая численность обследуемых домашних
хозяйств;
п - численность домашних хозяйств с доходами
ниже прожиточного минимума; - их порядковые номера;
- среднедушевая
величина прожиточного минимума для i-го домашнего хозяйства, рассчитанная с
учетом его половозрастной структуры;
Дi - среднедушевой доход i-го домашнего
хозяйства, имеющего доходы ниже прожиточного минимума.
Динамика приведенных выше показателей,
отражающих степень социально-экономического расслоения населения, нередко носит
противоречивый характер, поэтому несмотря на то, что данный блок показателей
занимает важное место в системе показателей уровня жизни, вопрос о
необходимости построения единого индикатора, отражающего уровень благосостояния
общества или по крайней мере позволяющего анализировать основные тенденции его
изменения, не утрачивает своей актуальности.
В США для анализа уровня бедности и
равномерности распределения доходов применяется метод, получивший название
«шкалы эквивалентности». В основе этого метода лежит оценка расходов различных
групп домашних хозяйств на минимальный набор продовольственных товаров. В
начале 60-х гг. в США было проведено обследование, в результате которого
установлено, что медианная семья тратит 30% своего дохода на покупки продовольствия.
Исходя из этого стоимость минимального набора продовольственных товаров для
различных групп домашних хозяйств умножается на 3, чтобы получить оценку дохода
бедной семьи. Этот метод широко используется для оценки бедности в
правительственных документах. Аналогичный метод применяется и в Германии. [3]
Показатели накопленного имущества и
обеспеченности населения жильем
доход население бедность имущество
Важным аспектом статистического изучения уровня
жизни населения является определение объема накопленного домашнего имущества, а
также сбережений домашних хозяйств. При определении национального богатства
страны накопленное имущество домашних хозяйств, т. е. запасы потребительских
товаров длительного пользования, выделяется в качестве справочной статьи,
поскольку, как было отмечено в §3 данной главы, все расходы на приобретение
таких товаров относятся к конечному потреблению.
Основными источниками статистической информации
об объеме накопленного домашнего имущества являются материалы выборочных бюджетных
обследований, а также данные торговой статистики о товарообороте по отдельным
группам товаров.
Следует отметить, что затраты на приобретение
непродовольственных товаров являются вторым по величине элементом
потребительских расходов населения. При определении расходов домашних хозяйств,
направленных на приобретение товаров длительного пользования, указанную статью
затрат также необходимо корректировать, поскольку в ее состав включаются
элементы, не связанные с накоплением домашнего имущества, например, расходы на
товары, срок службы которых не превышает одного года (табачные изделия, мыло и
другие моющие средства, товары бытовой химии и парфюмерно-косметические изделия
и др.).
Для изучения обеспеченности населения отдельными
материальными благами, входящими в состав накопленного домашнего имущества, в
отечественной статистике рассчитываются и публикуются данные о наличии таких
товаров в домашних хозяйствах в расчете на 100 семей и на 1000 человек (табл.
4).
Таблица 4.Обеспеченность населения России некоторыми
предметами культурно-бытового и хозяйственного назначения длительного
пользования (на конец года). [6]
|
|
На
100 семей
|
На
1000 человек
|
|
|
1993г.
|
1994г.
|
1995г.
|
1993
г.
|
1994г.
|
1995
г.
|
|
Телевизоры
|
115
|
116
|
116
|
378
|
380
|
382
|
|
Холодильники
и морозильники
|
95
|
95
|
95
|
308
|
309
|
309
|
|
Стиральные
машины
|
80
|
81
|
81
|
264
|
265
|
265
|
|
Легковые
автомобили
|
23
|
26
|
28
|
76
|
84
|
93
|
Часть располагаемого дохода домашних хозяйств,
не использованная на конечное потребление, составляет их валовое сбережение,
которое является основным источником финансирования операций с капиталом. Кроме
того, для осуществления таких операций домашние хозяйства используют
капитальные трансферты, предоставляемые им другими секторами экономики, за
вычетом переданных остальным секторам. Операции домашних хозяйств с
нефинансовыми активами отражаются в счете операций с капиталом. Указанные
средства используются данным сектором на накопление основных фондов и
увеличение запасов материальных оборотных средств.
Из всех элементов, составляющих накопление
основных фондов, для анализа уровня благосостояния населения особое значение
имеют затраты на приобретение или строительство собственного жилья. Однако
жилищное строительство осуществляется не только домашними хозяйствами, но также
предприятиями и организациями других секторов экономики. Соответствующие
затраты включаются в объем валового накопления основного капитала. Их доля в
общем объеме валового накопления является одним из индикаторов социальной
направленности проводимой в стране инвестиционной политики.
Оценка жилищных условий населения основана как
на данных СНС, так и на материалах статистики жилищно-коммунального хозяйства.
Показатели жилищного строительства используются для качественной характеристики
уровня жизни населения. К ним относятся: обеспеченность населения жильем и
показатели благоустройства жилищного фонда.
Обеспеченность населения жильем рассчитывается
как частное отделения всего жилищного фонда по состоянию на конец года на
численность постоянного населения (по стране в целом или отдельным регионам) на
ту же дату. Этот показатель может исчисляться с учетом общей площади или только
жилой. Общая площадь жилых домов -это площадь жилья и подсобных помещений
квартир. Жилая площадь включает только площадь жилых комнат в жилых домах и
помещениях; к ней не относится площадь кухонь, коридоров, ванных, кладовых и
других подсобных и вспомогательных помещений.
Для более глубокого изучения обеспеченности
населения жильем определение указанных показателей, как правило, включается в
программы проводимых в России переписей населения и выборочных
социально-демографических обследований. Полученные таким образом данные
позволяют охарактеризовать распределение населения по типам занимаемых жилых
помещений (отдельная квартира, индивидуальный дом, общежитие и т. п.) и степени
их благоустройства (наличие водопровода, центрального отопления и т. п.).
В международной статистической практике к числу
показателей жилищного строительства относятся также данные о вводе в действие
жилых домов, числе построенных квартир и их среднем размере. [1]
Обобщающие показатели уровня жизни и нищеты
населения
Анализ основных блоков подсистемы показателей
уровня жизни показывает, что каждый из включенных в них показателей отражает
количественную или качественную характеристику одного из аспектов
благосостояния общества. Однако дать единую количественную оценку динамики
уровня жизни или провести ее сравнительный анализ по регионам, используя
рассмотренные показатели, практически невозможно. В связи с этим встает вопрос
об исчислении обобщающего показателя, позволяющего решить указанную проблему.
Учитывая дискуссионный характер данного вопроса, остановимся лишь на тех
показателях, которые либо широко применяются на практике в качестве измерителей
уровня жизни населения, либо представляют определенный научный интерес. [1]
Обобщающие показатели уровня жизни и нищеты
населения:
.Макроэкономические показатели - ВВП,
национальный доход, чистый национальный располагаемый доход. Для изучения
динамики уровня жизни и сравнительных оценок по регионам объем ВВП
рассчитывается в реальном выражении (в постоянных ценах) на душу населения; для
международных сопоставлений - в долларах США на основе паритета покупательной
способности валюты. Недостаток: эти показатели содержат элементы, прямо не
связанные с уровнем жизни (например, расходы на содержание госаппарата).
.Демографические показатели -коэффициент
младенческой смертности, ожидаемая продолжительность жизни при рождении. Тесно
коррелируют с макроэкономическими показателями, отражают качественную характеристику
уровня жизни.
.Индекс стоимости жизни. Рассчитывается в нашей
стране с 1920-х гг. Стоимость жизни зависит от а) динамики потребительских цен
и б) структуры потребления. Метод расчета:
определяется набор потребительских благ
(потребительская корзина), типичный для определенной группы населения;
сопоставляется стоимость потребительской корзины
в текущих и базисных ценах.
В конце 50-х -начале 60-х гг. в большинстве
зарубежных стран название показателя изменено на “индекс потребительских цен”.
.Индекс развития человеческого потенциала
(ИРЧП). Предложен группой специалистов Программы развития ООН. Включает 3
показателя, отражающих наиболее важные аспекты уровня жизни:
ожидаемая продолжительность жизни при рождении
(I1);
достигнутый уровень образования (I2);
реальный объем ВВП в расчете на душу населения в
долларах США на основе паритета покупательной способности (ППС) (I3).
ИРЧП = (I1 + I2 + I3) : 3
Расчет индекса каждого показателя (за
исключением индекса реального объема ВВП):
где xi, xi min, xi max -фактическое, минимальное
и максимальное значение i-го показателя.
) Индекс ожидаемой продолжительности жизни при
рождении (I1):
) Индекс достигнутого уровня образования (I2):
где i21 - индекс грамотности взрослого населения
(в возрасте 15 лет и старше);- индекс коэффициента поступивших в начальные,
средние и высшие учебные заведения. Рассчитывается для лиц моложе 24 лет.
) Индекс реального объема ВВП в расчете на душу
населения:
Таблица 5. Предельные значения исходных
показателей ИРЧП
|
Показатель
|
Максимальное
значение
|
Минимальное
значение
|
|
Ожидаемая
продолжительность жизни при рождении (лет)
|
min
|
85
|
max
|
25
|
|
Уровень
грамотности взрослого населения (%)
|
min
|
100
|
max
|
0
|
|
Коэффициент
поступивших в начальные, средние и высшие учебные заведения (%)
|
min
|
100
|
max
|
0
|
|
Реальный
ВВП на душу населения (долл. США по ППС)
|
40000
|
max
|
100
|
В 2002 г. среднее значение ИРЧП для 55 стран с
высоким уровнем развития - 0,915, для 86 стран со средним уровнем развития -
0,695, для 36 стран с низким уровнем развития - 0,438. Россия занимала 57 место
из 177 стран.
.Индекс развития человеческого потенциала с
учетом гендерного фактора (ИРГФ). Отличие от схемы расчета ИРЧП:
каждый из составных индексов рассчитывается
отдельно для мужчин и женщин. При этом вместо реального ВВП на душу населения
используется величина заработанного дохода в долларах США по ППС;
для каждого из составных индексов определяется
равномерно распределенный индекс (I’i), в котором в качестве весов берутся
данные о доле мужчин и женщин в численности населения страны:
где dж и dм - доля женщин и мужчин в общей
численности населения страны.
.Индексы нищеты населения:
.1для развивающихся стран (ИНН-1). Показатель
учитывает те же аспекты уровня жизни, что и ИРЧП, но с помощью других
показателей:
доля населения, не доживающего до 40 лет (исходя
из ожидаемой продолжительности жизни при рождении) (P1);
доля неграмотных среди взрослого населения (P2);
уровень доступа к экономическим ресурсам (P3 =
(P31 + P32) : 2):
доля населения, не имеющего устойчивого доступа к
безопасным источникам воды (P31);
доля детей с пониженной для своего возраста
массой тела (P32).
Все перечисленные показатели измеряются в
процентах.
.2для развитых стран-членов ОЭСР (ИНН-2). При
расчете учитываются:
доля населения, не доживающего до 60 лет (исходя
из ожидаемой продолжительности жизни при рождении) (P1);
доля функционально неграмотного населения (не
умеющего читать) (P2);
доля людей, живущих ниже черты бедности, т.е.
имеющих доходы менее 50% медианного скорректированного располагаемого дохода
(P3);
уровень застойной безработицы
(продолжительностью 12 месяцев и более) (P4). [7]
Заключение
Прогнозирование уровня жизни и социальная защита
населения являются важной функцией государства. Рынок сам по себе не может
регулировать эту сферу, поэтому обязанность регулирования в этой сфере
возлагается на государство. Непродуманная политика государства в этой области
может привести к росту социальной напряженности.
Доходы населения определяют социальное положение
в обществе, также уровень доходов каждого человека зависит от экономики страны,
в которой он проживает. Таким образом, реализация результативного
перераспределения доходов должна осуществляться посредством разработки
государственных программ, предусматривающих конкретные меры, прежде всего в
области регулирования доходов граждан, справедливого налогообложения и
совершенствования системы социальной защиты граждан.
По данным курсовой работы, можно сказать, что
уровень жизни населения России постоянно изменяется.
На основании этого можно сделать ряд выводов:
Во-первых, доходы и расходы населения с каждым
годом растут, разница между доходами и расходами снижается.
Во-вторых, экономико-статистический анализ
уровня жизни населения России проводится для того, чтобы улучшать те или иные
условия жизни населения.
Важнейшим приоритетом правительственной политики
в социальной сфере является увеличение инвестиций в человеческий капитал,
прежде всего образование и здравоохранение. Начиная с 2000 года, каждый год в
рамках федерального бюджета повышается объём средств, выделяемых на эти сферы.
В связи с этим в образовании одной из важнейших мер станет повышение
эффективности использования средств, выделяемых на образование из бюджетов всех
уровней.
В сфере социальной поддержки в числе важнейших
приоритетов деятельности Правительства были и остаются снижение масштабов
бедности,, обеспечение эффективной защиты социально уязвимых семей, не
обладающих возможностями для самостоятельного решения социальных проблем,
повышение эффективности социального обслуживания населения, решение проблем
беспризорности. В 2007 году политика Правительства в этой сфере была направлена
на рост реальных доходов, поддержку малоимущих семей - многократно индексировались
заработная плата бюджетников и пенсии пенсионеров.
В целом, трудно переоценить роль государства в
экономике. Оно создаёт условия для экономической деятельности, обеспечивают
социальную защиту малообеспеченных слоёв населения и способствует развитию
рыночных отношений, что положительно влияет на измерение качества жизни
населения.
Практическая часть
Задача 1. Имеются следующие данные по 20
предприятиям.
|
Номер
предприятия
|
Среднегодовая
стоимость основных фондов, тыс. руб.
|
Стоимость
произведенной продукции, тыс. руб.
|
|
1
|
15
|
35
|
|
2
|
180
|
300
|
|
3
|
70
|
80
|
|
4
|
150
|
100
|
|
5
|
670
|
830
|
|
6
|
240
|
280
|
|
7
|
10
|
35
|
|
8
|
330
|
300
|
|
9
|
520
|
570
|
|
10
|
490
|
620
|
|
11
|
380
|
350
|
|
12
|
320
|
240
|
|
13
|
620
|
600
|
|
14
|
500
|
510
|
|
15
|
440
|
400
|
|
16
|
220
|
310
|
|
17
|
550
|
700
|
|
18
|
710
|
690
|
|
19
|
120
|
100
|
|
20
|
280
|
290
|
Для изучения зависимости между среднегодовой
стоимостью основных фондов и стоимостью произведенной продукции произвести
группировку предприятий по среднегодовой стоимости основных фондов, образовав
четыре группы с равными интервалами.
По каждой группе и в целом по всем предприятиям
рассчитать:
число предприятий;
среднегодовую стоимость основных
производственных фондов - всего и в среднем на одно предприятие;
стоимость произведенной продукции - всего и в
среднем на одно предприятие;
фондоотдачу.
Результаты представить в виде таблицы и дать
анализ ее показателей.
Решение:
Вычислим величину интервала группировочного
признака (среднегодовой стоимости основных производственных фондов).
= (xmax - xmin)/n, где:
наибольшее значение признака;- наименьшее
значение признака;- число групп
То есть величина интервала равна:
=(710-10)/4=175
Следовательно, первая группа имеет среднегодовую
стоимость основных производственных фондов -- 10-185 тыс. руб.; вторая --
185-360 тыс.руб.; третья -- 360-535 тыс.руб.; четвертая -- 535-710 тыс.руб.
По каждой группе и по всем предприятиям
подсчитаем:
Число предприятий
Результаты оформим в виде таблицы
|
№
подгруппы
|
Группы
предприятий по среднегодовой ст-ти ОПФ, тыс. руб
|
Число
предприятий
|
Число
предприятий в %
|
|
1
|
10-185
|
6
|
30
|
|
2
|
185,001-360
|
5
|
25
|
|
3
|
360,001-535
|
5
|
25
|
|
4
|
535,001-710
|
4
|
20
|
Среднегодовую стоимость основных
производственных фондов и стоимость произведенной продукции всего и в среднем
на одно предприятие
Составим таблицу №1:
|
№
подгруппы
|
Группы
предприятий по среднегодовой ст-ти ОПФ, тыс.руб
|
Номер
предприятия
|
Среднегодовая
ст-ть основных производственных фондов, тыс.руб
|
Стоимость
произведенной продукции, тыс.руб
|
|
1
|
10-185
Итого:
|
1
2 3 4 7 19 6
|
15
180 70 150 10 120 545
|
35
300 80 100 35 100 550
|
|
2
|
185,001-360
Итого:
|
6
8 12 16 20 5
|
240
330 320 220 280 1390
|
280
300 240 310 290 1420
|
|
3
|
360,001-535
Итого:
|
9
10 11 14 15 5
|
520
490 380 500 440 2330
|
570
620 350 510 400 2450
|
|
4
|
535,001-710
Итого:
|
5
13 17 18 4
|
670
620 550 710 2550
|
830
600 700 690 2820
|
Составим рабочую таблицу №2: (анализируем и
преобразовываем рабочую таблицу №1)
|
Группы
предприятий по среднегодовой стоимости основных производственных фондов
|
Число
предприятий
|
Среднегодовая
стоимость основных производственных фондов, тыс. руб (общая)
|
Стоимость
произведенной продукции, тыс. руб (общая)
|
|
Штук
|
В
процентах
|
|
|
|
10-185
|
6
|
30
|
545
|
550
|
|
185-360
|
5
|
25
|
1390
|
1420
|
|
360-535
|
5
|
25
|
2330
|
2450
|
|
535-710
|
4
|
20
|
2550
|
2820
|
Среднегодовую стоимость основных
производственных фондов на одно предприятие рассчитываем как отношение общей
стоимости на количество предприятий в группе:
/6 ≈ 90,833;
/5 = 278;
/5 = 466;
/4 = 637,5.
Рассчитываем среднюю стоимость произведенной
продукции на одно предприятие как отношение стоимости произведенной продукции
на количество предприятий в группе:
/6 ≈ 91,667;
/5 = 284;
/5 = 490;
/4 = 705.
Фондоотдачу
Фондоотдача рассчитывается как отношение
стоимости произведенной продукции к среднегодовой стоимости основных
производственных фондов:
/545 = 1,009
/1390 = 1,022
/2330 = 1,052
/2550 = 1,106
Таким образом, проанализировав данные, можно
сказать, что при увеличении среднегодовой стоимости основных производственных
фондов, соответственно увеличивается и фондоотдача - показатель эффективности
использования основных средств, это говорит об эффективной работе предприятий.
Задача 2. Для изучения вкладов населения в
коммерческом банке города была проведена 5%-я бесповторная случайная выборка
лицевых счетов, в результате которой получено следующее распределение
вкладчиков по размеру вкладов:
|
Размер
вклада, руб.
|
Число
вкладчиков, чел.
|
|
До
10000
|
60
|
|
10
000 - 20 000
|
40
|
|
20
000 - 30 000
|
120
|
|
30
000 - 40 000
|
80
|
|
Свыше
40 000
|
50
|
|
Итого
|
350
|
Определить:
средний размер вклада;
размах вариации, дисперсию и коэффициент
вариации;
с вероятностью 0,954 предельную ошибку выборочной
средней и возможные пределы, в которых ожидается средний размер вклада для всех
вкладчиков коммерческого банка;
с вероятностью 0,954 предельную ошибку
выборочной доли и возможные пределы, в которых ожидается доля вкладчиков с
размером вклада свыше 40000 руб.
Решение:
. Средний размер вклада:
Для начала расчетов перейдем от группировочного
ряда. Интервал в группах равен 10000, следовательно, делим его пополам. Тогда
получим следующее:
|
Итого:
|
Размер
вклада, руб
|
Число
вкладчиков, чел.
|
|
5
000
|
60
|
|
15
000
|
40
|
|
25
000
|
120
|
|
35
000
|
80
|
|
45
000
|
50
|
|
125
000
|
350
|
Среднее значение признака по данным
вариационного ряда распределения определяется по средней арифметической
взвешенной:
, где:
- меняющееся значение признака;-
«вес» (частота);
- среднее значение признака.
Получим:
(5 000 × 60 + 15 000 × 40 +
25 000 × 120 + 35000 × 80 + 45000 × 50)/350 = 25571
Таким образом, средний размер вклада
населения в коммерческом банке города равен 25571 рублей.
. Размах вариации, дисперсия и
коэффициент вариации
Размах вариации рассчитывается по
формуле:
,где:-- размах вариации, --
максимальное значение признака,-- минимальное значение признака.= 45000 - 5000
= 40000
Таким образом, разность между
наибольшим и наименьшим значением вклада равна 40000 руб.
Взвешенная дисперсия:
D=((5000 -25571)2 × 60 + (15000 -
25571)2 ×40 + (25000 - 25571)2 × 120 + (35000 - 25571)2 × 80
+ (45000 - 25571)2 × 50)/350= 159673470
Таким образом, данная дисперсия,
равная 159673470 будет характеризовать колеблемость изучаемого признака.
Коэффициент вариации:
а) Линейный коэффициент
рассчитывается по формуле:
, где:
Л - линейное отклонение,- среднее
значение признака.
Вычислим линейное отклонение по
формуле:
Л = ((5000 - 25571) × 60 +
(15000 - 25571) × 40 + (25000 - 25571) × 120+(35000 - 25571)
× 80+(45000 - 25571) × 50)/350 = 150/350 ≈0,429
λ = 0,429/25571 ≈ 0,017
б) Квадратический коэффициент
вариации:
, где:
σ - среднее квадратическое
отклонение,- среднее значение признака.
Необходимо найти среднее
квадратическое отклонение:
, или
σ =
≈ 12636,197
ν = 12636,197/25571 ≈ 0,494
В процентах линейный коэффициент
равен 53,7%. Этот коэффициент характеризует количественную однородность
статистической совокупности. Если данный коэффициент < 50%, то это говорит
об однородности статистической совокупности.
С вероятностью 0,954 предельную
ошибку выборочной средней и возможные пределы, в которых ожидается средний
размер вклада для всех вкладчиков коммерческого банка:
= t
,где:
Δ- предельная ошибка выборочной
средней;- коэффициент доверия (смотрим таблицу Лапласа, при вероятности 0,954
он равен 2)
Находим среднюю ошибку выборки по
формуле (бесповторная выборка):
=
.
-- выборочная дисперсия:
((5000-25571)2+(15000-25571)2+(25000-25571)2+(35000-25571)2+(45000-25571)2)/350
≈ 2633185,157= 350/0,05 = 7000= 350
2633185,157/350×(1 - 0, 05) ≈7147,217
Δ = 2 × 7147,217 = 14294,434
После расчета предельной ошибки
найдем доверительный интервал обобщающей характеристики генеральной
совокупности. Такой интервал для генеральной средней величины имеет вид:
(
-
)

(
+
)
Определим возможные пределы, в
которых ожидается средний размер вклада для всех вкладчиков коммерческого
банка:
(25571 - 14294б434) ≤ 25571 ≤
(25571 + 14294б434)
,566 ≤ 25571 ≤ 39865,434
То есть средний размер вклада для
всех вкладчиков коммерческого банка лежит в интервале от 11276,566 руб до
39865,434
С вероятностью 0,954 предельную
ошибку выборочной доли и возможные пределы, в которых ожидается доля вкладчиков
с размером вклада свыше 40000 руб.
Рассчитаем долю вкладчиков с
размером вклада свыше 40000 руб:
= 50/350 = 0,143 (14,3%)
Рассчитываем долю дисперсии:
альт.=
× (1 -
)альт.=
0,143 ×
(1 - 0,143) ≈ 0, 123
По теореме Я. Бернулли рассчитаем
среднюю ошибку выборки для доли:
=
, где:- объем выборки;
- средняя ошибка выборки для доли;
- дисперсия доли признака в
генеральной совокупности.
Находим предельную ошибку доли:
Δ = 2 × 0,0003 = 0,0006
Возможные пределы, в которых
ожидается доля вкладчиков с размером вклада свыше 40 000 руб:
(
-
)
d
(
+
)
(0,143 - 0,0006) ≤ 0,143 ≤
(0,143 + 0,0006)
,142 ≤ 0,143≤0,143
Таким образом, доля вкладчиков с
размером вклада свыше 40 000 руб. лежит в интервале от 0,142 руб до 0,143 руб.
Задача 3. Используя материалы
периодической печати, привести ряд динамики, характеризующий
социально-экономические процессы. (Обязательна ссылка на источник информации)
Для анализа процесса динамики
представленных данных вычислить:
) цепные и базисные абсолютные
приросты, темпы роста и темпы прироста, абсолютное содержание 1% прироста;
Полученные данные представить в
таблице.
) средние темпы роста и прироста
представленных показателей;
Графически проиллюстрировать
сделанные расчеты.
Проанализируем данные о ВВП,
представленные в текущих ценах, млрд. руб., в период с 2007 по 2012 годы.
Источник информации:
www.gsk.ru/free_doc/new-site/vvp/tab1.xis
|
Годы
|
2007
|
2008
|
2009
|
2010
|
2011
|
2012
|
|
ВВП
в текущих ценах(млрд руб.)
|
33247,5
|
41276,8
|
38807,2
|
46308,5
|
55799,6
|
62599,1
|
.Абсолютные изменения:
абсолютный базисный прирост рассчитывается как
разность между двумя уровнями ряда по формуле:
, где:
‒ данные за
исследуемый год;
‒ данные за
базисный год.
(2008) = 41276,8 ‒
33247,5 = 8029,3
(2009) = 38807,2 ‒
33247,5 = 5559,7
(2010) = 46308,5 ‒
33247,5 = 13061,1
(2011) = 55799,6 ‒
33247,5 = 22552,1
(2012) = 62599,1 ‒
33247,5 = 29351,6
Полученные результаты показывают, на сколько
млрд. руб. уровень одного (i-того) периода больше или меньше первого
(базисного) уровня.
абсолютный цепной прирост рассчитывается как
разность между уровнями по формуле:
, где:
‒ данные за
исследуемый год;
‒ данные за
предыдущий год.
(2008) = 41276,8 ‒
33247,5 = 8029,3
(2009) = 38807,2 ‒
41276,8 = -2469,6
(2011) = 55799,6 ‒
46308,5 = 9491,1
(2012) = 62599,1 ‒
55799,6 = 6799,5
Полученные результаты показывают, на сколько
млрд. руб. уровень одного (i-того) периода больше или меньше предыдущего
уровня.
.Темп роста:
для базисного способа сравнения рассчитывается
по формуле:
, где
‒ данные за
исследуемый год;
‒ данные за
базисный год.
Путем домножения относительного изменения на
100%, представим данные в процентах:
(2008) =
41276,8/33247,5 × 100 ≈ 124,2
(2009) = 38807,2/33247,5
× 100 ≈ 116,7
(2010) = 46308,5/33247,5
× 100 ≈ 139,3
(2011) = 55799,6/33247,5
× 100 ≈ 167.8
(2012) = 62599,1/33247,5
× 100 ≈ 188,3
для цепного способа сравнения рассчитывается по
формуле:
, где
‒ данные за
исследуемый год;
‒ данные за
предыдущий год.
Путем домножения относительного изменения на
100%, представим данные в процентах:
(2008) =
41276,8/33247,5×100≈124,2
(2009) = 38807,2/41276,8×100≈
94,0
(2010) = 46308,5/38807,2×100≈
119,3
(2011) = 55788,6/46308,5×100≈
120,5
(2012) = 62599,1/55799,6×100≈
112,2
Данные значения показывают во сколько раз
уровень данного периода больше уровня какого-либо предшествующего периода
(цепной темп роста) или базисного периода.
В период с 2008 по 2012 гг. наблюдается рост
уровня данного ряда динамики; за исключением 2009 года.
Данный показатель говорит нам о том, какое
абсолютное значение скрывается за относительным показателем -- 1% прироста.
|
Год
|
ВВП
|
Темп
роста %
|
Темп
прироста %
|
Абсолютный
прирост (млрд. руб.)
|
Абсолютный
прирост 1%
|
|
|
Базис.
|
Цепн.
|
Базис.
|
Цепн.
|
Базисн.
|
Цепн.
|
|
|
2007
|
33247,5
|
‒
|
‒
|
‒
|
‒
|
‒
|
‒
|
‒
|
|
2008
|
41276,8
|
124,2
|
124,2
|
24,2
|
24,2
|
8029,3
|
8029,3
|
332,475
|
|
2009
|
38807,2
|
116,7
|
94,0
|
16,7
|
-6,0
|
5559,7
|
-2469,6
|
412,786
|
|
2010
|
46308,5
|
139,3
|
119,3
|
39,3
|
19,3
|
13061,1
|
7501,3
|
388,072
|
|
2011
|
55799,6
|
167,8
|
120,5
|
67,8
|
20,5
|
22552,1
|
9491,1
|
463,085
|
|
2012
|
62599,1
|
188,3
|
112,2
|
88,3
|
12,2
|
29351,6
|
6799,5
|
557,996
|
Задача 4. Имеются следующие данные о продажах
одноименного продукта на 3 рынках
|
Рынок
|
Цена
за единицу продукта, руб.
|
Объем
продаж, тыс. штук
|
|
1
квартал
|
2
квартал
|
1
квартал
|
2
квартал
|
|
A
|
53
|
52
|
93
|
86
|
|
B
|
50
|
51
|
107
|
111
|
|
C
|
54
|
56
|
97
|
94
|
Определить:
Индивидуальные индексы цен;
Индексы цен переменного и постоянного составов,
индекс структурных сдвигов;
Общий абсолютный прирост товарооборота только за
счет изменений цен на рынках.
По итогам расчетов сделать аргументированные
выводы.
Решение:
Индивидуальный индекс цен:
=
Где:
р0 - цена в отчетном периоде (1
квартал),- цена в базисном периоде (2 квартал)
Рынок А:= 52/53 = 0,981, то есть
произошло снижение цены на 1%
Рынок В:= 51/50 = 1,02, то есть
произошло увеличение цены на 2%
Рынок С:= 56/54 ≈ 1,037, то
есть произошло увеличение цены на 3,7%
. Индексы цен переменного и
постоянного составов:
Индекс переменного состава:
=
,где:
-- индекс переменного состава;
р0 -- цена в отчетном периоде (1
квартал);-- цена в базисном периоде (2 квартал);
(52×86 + 51×111 +
56×94)/(53×93 +50×107 + 54×97) = 15397/15517 ≈
0,992
Таким образом, средняя цена в
базисном периоде (2 квартал) упала приблизительно на 0,08%.
Индекс постоянного состава:
=
,где:
р0 -- цена в отчетном периоде (1
квартал);-- цена в базисном периоде (2 квартал);
Таким образом, средняя цена в
базисном периоде выросла приблизительно на 1,4%, за счет увеличения самой цены.
Индекс структурных сдвигов:
То есть структурный сдвиг должен был
уменьшить выручку второго квартала приблизительно на 2,1%.
таким образом, прирост товарооборота
в результате изменения цен при сопоставлении товарооборота отчетного периода и
базисного товарооборота в базисных ценах составил 763 руб.
Список литературы
1.
.Экономическая статистика: Учебник.- 3-е изд., перераб. и доп./ Под ред.проф.
Ю.Н.Иванова. - М.:ИНФРА-М, 2007. - 736с. - (Классический университетский
учебник).
.
Социальная статистика: учебное пособие; Автор: Титкова Л.С.
.
Социально-экономическое положение России. 1998. № 12.
.
Социальное положение и уровень жизни населения России: Стат. сб. - М.:
Росстат,2004.
.
Россия в цифрах: Крат. стат. сб./Госкомстат России. - М., 1997.
.
http://adept.srcc.msu.ru/adept/urov_blag/method/method_015.htm