Статистические показатели, характеризующие уровень жизни населения

  • Вид работы:
    Курсовая работа (т)
  • Предмет:
    Эктеория
  • Язык:
    Русский
    ,
    Формат файла:
    MS Word
    130,13 Кб
  • Опубликовано:
    2014-10-16
Вы можете узнать стоимость помощи в написании студенческой работы.
Помощь в написании работы, которую точно примут!

Статистические показатели, характеризующие уровень жизни населения

Содержание

Введение

. Статистические показатели, характеризующие уровень жизни населения

.1 Общее представление о системе показателей уровня жизни населения

.2 Статистика доходов и благосостояния населения

.3 Показатели статистики расходов населения и потребления материальных благ и услуг

. Динамика уровня жизни населения, структура доходов и расходов

Заключение

Список литературы


Введение

При изучении вопроса об уровне жизни основной проблемой является проблема неравенства благосостояния, а также порождаемого ею социального напряжения в обществе. В настоящее время статистике доходов и расходов населения отводится важная роль. Она даёт оценку достигнутого состояния и динамики стоимости жизни, уровня обеспеченности населения материальными благами. Именно статистика доходов и расходов населения показывает размеры и изменение использования денежных средств, получаемых населением страны. С этой целью формируется система показателей для характеристики расслоения населения по уровню доходов, определяются объёмы и темпы бедности.

Неравенство доходов может достигать огромных масштабов и создавать угрозу для политической и экономической стабильности в стране, поэтому практически все развитые страны мира вынуждены постоянно сокращать разрыв в доходах различных групп населения. Но разработка такого рода мер возможна лишь при умении точно определять степень дифференциации доходов и богатства и воздействовать на нее с помощью государственной политики.

В задачи статистики уровня жизни входит изучение процессов, явлений и факторов, оказывающих влияние на жизнедеятельность людей, их материальные условия, выявление ключевых проблем социально-экономического развития, подлежащих приоритетному решению. Хорошо отлаженная система показателей уровня жизни имеет большое значение для эффективной разработки социальной политики, принятия обоснованных решений по оказанию помощи малоимущему населению, оценки социально-экономических последствий проводимых в стране реформ, осуществление контроля за ходом реализации важнейших федеральных и региональных социальных программ.

Решение задач, стоящих перед социальной статистикой, достигается на базе использования различных методов и приемов: общих и специальных статистических наблюдений, единовременных обследований и учетов, статистической и административной отчетности предприятий, переписей и социально-демографических обследований населения, социологических опросов и др.

Глава 1. Статистические показатели, характеризующие уровень жизни населения

1.1 Общее представление о системе показателей уровня жизни населения

Различают понятие уровня жизни в широком и узком смысле слова. В широком смысле слова уровень жизни - это взаимосвязанный комплекс экономических, социальных, культурных, природных, экономических и других условий жизни людей. Он характеризуется всей системой социально - экономической статистики. В качестве наиболее общего показателя, синтезирующего все условия в одном результате, часто применяется продолжительность жизни населения. Рост средней продолжительности жизни в России в два раза по сравнению с дореволюционным периодом в начале века несомненно характеризуется повышением ее уровня. Тогда как сокращение продолжительности жизни за последние годы на 5 лет, особенно по мужскому населению, отставание по этому показателю от развитых стран на 10-15 лет свидетельствует о низком уровне жизни в России и его дальнейшем падении. Об уровне жизни можно судить также по показателям жизненности населения и стабильности условий жизни - наличию резких спадов и подъемов, социальных потрясений и т.п.

В узком смысле слова уровень жизни - это степень удовлетворения личных потребностей людей в условиях существования. Он характеризуется обширной системой показателей, охватывающих ряд разделов: обобщающие показатели; доходы населения; расходы и потребление; сбережения, накопленное имущество и жилье; социальная дифференциация населения; положение малообеспеченных слоев населения.

Ввиду отсутствия единого обобщающего показателя, характеризующего уровень жизни населения, для его анализа рассчитывается целый ряд статистических показателей, отражающих различные стороны данной категории и сгруппированных в следующие основные блоки:

·   показатели доходов населения;

·        показатели расходов и потребления населением материальных благ и услуг;

·        сбережение;

·        показатели накопленного имущества и обеспеченности населения жильем;

·        показатели дифференциации доходов населения, уровня и границ бедности;

·        социально-демографические характеристики;

·        обобщающие оценки уровня жизни населения.

Приведенная подсистема показателей уровня жизни занимает особое место в общей системе показателей социально-экономической статистики, так как многие из них используются для общей характеристики состояния экономики, при проведении международных сопоставлений уровней экономического развития различных стран, а также для разработки социальной политики государства и определения первоочередных направлений социальной политики государства и определения первоочередных направлений социальной поддержки отдельных групп населения.

ИРЧП является составным индексом, включающим три показателя, отражающих наиболее важные аспекты уровня жизни:

·        ожидаемую продолжительность жизни при рождении;

·        достигнутый уровень образования;

·        реальный объем ВВП в расчете на душу населения (в долларах США на основе паритета покупательной способности).

ИРЧП определяется как средняя арифметическая из индексов трех указанных показателей.

Индекс каждого показателя рассчитывается по формуле:


где, Хmin, Хmax - фактическое, минимальное и максимальное Хфакт значения i-го показателя соответственно.

Для расчета индекса ожидаемой продолжительности жизни при рождении (I1) минимальное значение принимается равным 25 годам, а максимальное - 85 годам.


Индекс достигнутого уровня образования (I2) рассчитывается как средняя арифметическая, взятая из двух субиндексов: индекса грамотности среди взрослого (в возрасте от 15 лет и старше) населения (i1) весом ⅔ и индекса совокупной доли учащихся начальных, средних и высших учебных заведений (для лиц моложе 24 лет) (i2) с весом ⅓ :

2 = i1∙ ⅔ + i2 ∙ ⅓

При исчислении индексов грамотности i1 и i2 Хmin принимается равным 0, а Хmax = 100%.

При расчете индекса реального ВВП на душу населения принимается Хmin равным 100 дол. ППС, а Хmax = 40000 дол. ППС.

Таким образом,


Чем ближе значение этого индекса к 1, тем выше степень развития человеческого потенциала в стране и тем ближе общество находится на пути к желаемым целям. На данном этапе такими целями специалисты ПРООН считают повышение средней продолжительности жизни до 85 лет, доступность образования для всех и обеспечение достойного уровня доходов населения.

Естественно, рассматриваемый показатель нельзя считать всеобъемлющей единицей измерения развития человеческого потенциала, но анализ его значений достаточно наглядно показывает, сколько еще предстоит сделать стране для достижения вышеназванных ориентиров.

1.2    Статистика доходов и благосостояния населения

Уровень жизни во многом определяется доходами населения, от размера которых главным образом и зависит степень удовлетворения личных потребностей населения в материальных благах и услугах.

Основными источниками доходов населения являются:

·             заработная плата и другие выплаты, которые работники получают за свой труд (в денежной и натуральной форме) - например, премии, комиссионные, отпускные, различные надбавки и др.;

·        доходы от индивидуальной трудовой деятельности;

·        выплаты и льготы из общественных фондов потребления (трансферты - пенсии, стипендии, пособия и т.д.), специальных фондов, ежегодные выплаты по страхованию жизни;

·        доходы от собственности (например, платежи за использование финансовых активов, зданий, земли, авторских прав, патентов и т.д.);

·        доходы от личного подсобного хозяйства, сада, огорода (стоимость чистой продукции).

Возможны и другие источники и структуры дохода (выигрыш в лотерею, приз за победу в соревновании, конкурсе и т.д.)

Для измерения уровня и структуры доходов населения используется ряд показателей, характеризующих их в различных аспектах.

Одним из показателей доходов является объем личных доходов населения (ЛДН) - все виды доходов населения, полученные в денежной форме или натуре.

Совокупные (общие) доходы населения (СДН) определяются суммированием личных доходов и стоимости бесплатных или льготных услуг, оказываемых населению за счет социальных фондов.

Показатели, рассчитанные в ценах текущего периода, называются номинальными показателями доходов. Они не определяют реального содержания доходов, т.е. не показывают, какое количество материальных благ и услуг доступно населению при сложившемся уровне доходов.

Вычитая из личных номинальных доходов населения (ЛДН) налоги, обязательные платежи и взносы в общественные организации (НП), находят личные располагаемые доходы (ЛРД) населения - ту часть личных доходов, которую их владельцы направляют на потребление и содержание:

ЛРД = ЛДН - НП

Доля этой части в общем объеме составит:


Среднедушевые денежные доходы населения (или средние по домашним хозяйствам) исчисляют делением общей суммы денежного дохода за год на среднегодовую численность населения (или число домохозяйств).

Однако не всякий темп роста денежных доходов при наличии инфляции в экономике может свидетельствовать об улучшении уровня жизни населения.

С целью устранения фактора изменения цен, приводящего к изменению покупательной способности денег, номинальные и располагаемые денежные доходы (расходы) населения рассчитываются в реальном выражении с корректировкой на индексы потребительских цен (сводный и субиндексы на отдельные товарные группы).

Расчет показателей в реальном выражении осуществляется делением соответствующих показателей текущего периода на индекс потребительских цен (ИПЦ рубля), или умножением на индекс покупательной способности денег (ИПЦ).

Реальные располагаемые доходы населения рассчитываются по формуле:

РРД = (ЛДН - НП) ∙ I п.с.р.,


Аналогично рассчитываются реальные общие доходы (РОД) населения - как совокупные доходы (СДН) с поправкой на покупательную способность денег:


Для характеристики динамики этих показателей строятся соответствующие индексы, например, индекс реальных располагаемых доходов:

IЛНД∙Id ЛРД∙Iп.с.р.

Следовательно, скорость изменения реальных располагаемых доходов зависит от трех факторов: темпов роста номинальных доходов, изменения ставок налоговых платежей и изменения покупательной способности денег.

В связи с переходом к рыночным отношениям в последние годы в России резко обострился процесс расслоения общества, возникла необходимость применения широко используемых в международной статистической практике методик анализа социально-экономической дифференциации населения по денежным доходам на основе выборочного обследования бюджетов домашних хозяйств.

Важнейшим инструментом такого анализа является построение распределения населения по уровню среднедушевого денежного дохода, позволяющее производить сравнительную оценку благосостояния отдельных групп населения. Особое внимание при этом уделяется низкодоходным социальным группам, нуждающимся в целенаправленной социальной политике государства.

К числу важнейших методов изучения дифференциации доходов населения относится построение вариационных рядов, и на их основе, - статистических рядов распределения населения по уровню среднедушевых денежных доходов, представляющих собой ранжированные и сгруппированные в определенных интервалах по величине дохода результаты наблюдения.

Для характеристики дифференциации доходов населения и уровня бедности рассчитываются следующие показатели:

·        модальный доход - уровень дохода наиболее часто встречающихся среди населения;

·        медианный доход - показатель дохода, находящегося в середине ранжированного ряда распределения. Половина населения имеет доход ниже медианного, а вторая половина - выше;

·        средний доход - общий средний уровень дохода всего населения;

·        дециальный коэффициент дифференциации доходов населения (Кd), показывающий, во сколько раз минимальные доходы 10% самого богатого населения превышают максимальные доходы 10% наименее обеспеченного населения:

,

где d9, d1 - девятый и первый дециль соответственно.

Нижний дециль (d1) (самые низкие доходы) определяются по формуле:


Верхний предел (d9) - (самые высокие доходы) определяются по формуле:


Коэффициент фондов (Кд) - соотношение между средними доходами в десятой и первой дециальной группах:

,

где  и  - среднедушевой доход 10% населения с наименьшими доходами и 10% населения с самыми высокими доходами.

При расчете среднего дохода 10% населения в знаменателе показателей  и  находятся одинаковые значения, поэтому коэффициент фондов можно исчислить как:

,

где Д1 и Д10 - суммарный доход 10% самой бедной и 10% самой богатой частей населения соответственно.

Коэффициент концентрации доходов Джини (КG), характеризующий степень неравенства в распределении доходов населения, определяется по формуле:

,

где xi - доля населения, принадлежащая к (i-1) социальной группе в общей численности населения;

yi - доля доходов, сосредоточенная у i-той социальной группы населения;

n - число социальных групп;

cum yi - кумулятивная (исчисленная нарастающим итогом) доля дохода.

Коэффициент Джини изменяется в пределах от 0 до 1. При равномерном распределении этот коэффициент стремится к нулю, а чем выше поляризация доходов в обществе, тем он ближе к единице.

При статическом изучении уровня и границ бедности, прежде всего, устанавливается граница дохода, обеспечивающая потребление на минимально допустимом уровне, т.е. определяется стоимостная величина прожиточного минимума, с которой сравниваются фактические доходы отдельных слоев населения.

Прожиточный минимум представляет собой стоимостную оценку минимального набора продуктов питания, необходимого для сохранения здоровья человека и поддержания его жизнедеятельности, а также расходы на непродовольственные товары и услуги, налоги и обязательные платежи, исходя из доли затрат на эти цели в бюджетах низкодоходных групп населения; используется в качестве критерия бедности при характеристике процессов социально-экономической дифференциации.

Рассчитывается величина прожиточного минимума на основе методических рекомендаций, утвержденных Министерством труда Российской Федерации 10 ноября 1992г.

Она определяется в расчете на «среднестатистического» жителя и для различных социально-демографических групп населения с учетом научно обоснованных норм, национальных и других особенностей потребления, а так же реальных возможностей экономики. По отдельным половозрастным группам прожиточный минимум заметно различается.

Прожиточный минимум существенно зависит от цен, поэтому в условиях инфляции он непрерывно изменяется.

В настоящее время наряду с общим прожиточным минимумом определяется физиологический минимум.

Прожиточный (физиологический) минимум - суммарная стоимость товаров и услуг, которую можно рассматривать как нижний предел, позволяющий поддержать физическое состояние, но лишь в течение определенного времени. Жизненно необходимый уровень потребления включает только расходы на питание, самые необходимые предметы санитарии и гигиены, лекарства, коммуникальные услуги и другие обязательные платежи.

Бедность является одной из важнейших характеристик неравенства в распределении доходов. Уровень бедности - удельный вес населения с доходами ниже прожиточного минимума в общей численности населения выступает информативным показателем социально-экономического положения страны. Обычно бедность определяется как состояние, когда экономических ресурсов не хватает для обеспечения прожиточного минимума.

На основе данных о доходах бедного населения рассчитываются относительно новые для социальной статистики показатели:

·        дефицит дохода оценивается как суммарный доход малоимущего недостающий до величины прожиточного минимума.

·        коэффициент глубины бедности характеризует дефицит дохода обследуемых домохозяйств в виде среднего простого отклонения их доходов от прожиточного минимума в расчете на одно домохозяйство.

·        коэффициент остроты бедности также отражает дефицит дохода обследуемых домохозяйств, но рассчитывается по средневзвешенному отклонению их доходов от прожиточного минимума (т.е. придается больший вес домохозяйствам с более высоким дефицитом дохода).

Денежные расходы населения - это использование доходов населения на покупку товаров и оплату услуг и различного рода платежи: обязательные платежи и профсоюзные взносы (налоги, сборы, платежи по страхованию, взносы в общественные и кооперативные организации, возврат банковских ссуд), покупку иностранной валюты, а также прирост сбережений во вкладах и ценных бумагах. При этом в СНС проводится различие между расходами на конечное потребление и объемом фактического конечного потребления.

Расходы на конечное потребление домашних хозяйств включают:

1.       расходы за счет личного бюджета на покупку потребительских товаров;

2.      расходы на оплату потребительских товаров;

.        потребление продуктов в натуральной форме, произведенных домашними хозяйствами для собственного конечного потребления;

.        потребление продуктов, полученных домашними хозяйствами в натуральной форме в качестве оплаты труда;

.        услуги по проживанию в собственном жилище

Объем фактического потребления домашних хозяйств - реальная величина конечного потребления, которое обеспечивается как за счет реального дохода, так и за счет социальных трансфертов в натуральной форме, предоставляемых населению органами государственного управления, и некоммерческими организациями, обслуживающими домашние хозяйства.

Основным показателем потребления служит уровень индивидуального потребления как средний размер потребления определенных товаров и услуг на душу населения. Он рассчитывается в виде отношения годового объема потребляемых товаров и услуг по видам к среднегодовой численности населения как в целом, так и по отдельным социальным группам, группам по доходу, возрасту, характеру занятий.

Сравнение фактического потребления отдельных товаров с нормативным позволяет определить уровень удовлетворения потребности населения в данном товаре.

Коэффициент удовлетворения потребности в i-м товаре имеет вид:

,

где факт - фактическое потребление i-го товара в среднем на душу населения;

норм - нормативный уровень потребления i-го товара в среднем на душу населения;

Коэффициент удовлетворения потребностей населения по всем потребительским товарам и услугам (К у.п.о.) определяется в агрегатной форме:

,

система показатель статистика уровень

где p - цена товара;

q- количество фактически потребленных товаров;

s - количество фактически потребленных услуг;

t - фактический тариф за определенную услугу;

qн - норматив потребления определенного товара на душу населения;

sн - норматив потребления определенного вида услуг на душу населения;

 - средняя численность населения за период.

Разность числителя и знаменате6ля этого показателя определяет стоимость общего недопотребления товаров и услуг по сравнению с нормативным его уровнем.

Динамика общего и среднедушевого потребления изучается с помощью индексов. По отдельным видам товаров рассчитываются индивидуальные индексы изменения потребления:

·        общего потребления i-го товара: ,

где ∑qi1, ∑qi10 - объемы потребления i - го товара в натуральном выражении в отчетном и базисном периодах соответственно;

·        среднедушевого потребления i-го товара:

,

где ,  - средняя численность населения в отчетном и базисном периодах, соответственно;

·        разница между числителем и знаменателем индексов показывает абсолютное изменение соответственно общего и среднедушевого потребления i-го товара: Δ;

.

Потребление населением услуг измеряется так же, как и товаров. При этом должна быть обеспечена сопоставимость цен (тарифов - t) на услуги в отчетном и базисном периодах в результате использования сопоставимой (базисной) цены или применения метода дефлятирования.

Динамика общего потребления населением товаров и услуг характеризуется агрегатным индексом объема потребления:

,

где q1, q0; s1,s0 - количество потребленных в отчетном и базисном периодах соответственно товаров и услуг;

p0, t0 - цена товара и тариф за определенную услугу в базисном периоде.

Для изучения динамики потребления отдельных групп товаров или услуг применяется средний гармонический индекс физического объема следующего вида:

,

где ip - индивидуальные индексы цен на отдельные товары и услуги.

Для изучения зависимости объема потребления от дохода в социальной статистике на практике используется коэффициент эластичности потребления от изменения дохода, который показывает, насколько процентов возрастает (или снижается) потребление товаров и услуг при росте дохода на 1% (формула А. Маршалла):

,

где x, y - начальный доход и потребление;

Δx, Δy - их приращение за некоторый период.

Если коэффициент эластичности отрицательный, то с ростом доходов потребление «малоценных» (низкого качества) товаров уменьшается

Если Кэ>1, то потребление растет быстрее доходов.

Если Кэ=1, то между доходом и потреблением существует пропорциональная зависимость.

Если Кэ<1, то потребление увеличивается медленнее, чем доход.

Кроме рассмотренных показателей социальная статистика изучает жизненные условия и бытовое обслуживание населения, свободное время населения, здоровье населения, уровень образования и развитие системы обучения, культуру, искусство, отдых и др.

Глава 2. Динамика уровня жизни населения, структура доходов и расходов

Ряд динамики - ряд значений признака, изменяющихся во времени.

Динамические ряды содержат всегда два необходимых элемента - время и конкретное значение показателей (уровни ряда).

Существуют различные классификации временных рядов. По времени различают моментные (характеризующие изучаемые явления в конкретный момент времени) и интервальные (характеризующие признак за определенный момент времени).

По форме представления бывают ряды абсолютных, относительных и средних величин.

При построении рядов динамики необходимо соблюдать сдедующие требования:

.Требование сопоставимости территории к которой относятся данные;

. Требование сопоставимости по кругу охватываемых явлений;

. Статистические показатели должны определяться по единой методологии;

. Сопоставимость показателей по периоду или моменту наблюдения;

5. Сопоставимость по единицам измерения

В данной курсовой работе проведем анализ динамики размера денежных доходов населения в Орловской области за 2000-2011 г.

Таблица 1 - Исходные данные о среднемесячной номинальной начисленной заработной плате в Орловской области за 2000-2011 г.

годы

среднемесячная заработная плата одного работника в Орловской области, руб.

1

2

2000

1535

2001

2245,8

2002

3028,7

2003

3563,5

2004

4392,9

2005

5430,6

2006

6773,7

2007

8610,7

2008

11152,2

2009

11854,3

2010

13174,2

2011

14528,6



Таблица 2 - Динамика среднемесячной номинальной начисленной заработной платы в Орловской области за 2000-2011 годы

годы

среднемесячная номинальная заработная плата, руб.

абсолютный прирост,млн. руб.

темп роста,%

темп прироста,%

абсолютное значение 1 % прироста



цепной

базисный

цепной

базисный

цепной

базисный


2000

1535

0

0

0

0


0

0

2001

2245,8

710,8

710,8

146,3

146,3

46,3

46,3

15,4

2002

3028,7

782,9

1493,7

134,9

197,3

34,9

97,3

22,5

2003

3563,5

534,8

2028,5

117,7

232,1

17,7

132,1

30,3

2004

4392,9

829,4

2857,9

123,3

286,2

23,3

186,2

35,6

2005

5430,6

1037,7

3895,6

123,6

353,8

23,6

253,8

43,9

2006

6773,7

1343,1

5238,7

124,7

441,3

24,7

341,3

54,3

2007

8610,7

1837

7075,7

127,1

561,0

27,1

461,0

67,7

2008

11152,2

2541,5

9617,2

129,5

726,5

29,5

626,5

86,1

2009

11854,3

702,1

10319,3

106,3

772,3

6,3

672,3

111,5

2010

13174,2

1319,9

11639,2

111,1

858,3

11,1

758,3

118,5

2011

14528,6

1354,4

12993,6

110,3

946,5

10,3

846,5

131,7


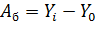
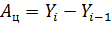
.        Рассчитаем абсолютные показатели динамики:

Цепной абсолютный прирост

 

 

 

Базисный абсолютный прирост

 

 

 

2.       Рассчитаем относительные показатели динамики:

Цепной темп роста

*100%

 

 и т. д.

Базисный темп роста

 

 

 и т. д.

Цепной темп прироста

 

 

 и т. д.

Базисный темп прироста

 

 и т. д.

Анализируя данные таблицы 1, можно сделать вывод о том, что цепные показатели динамики имеют положительную тенденцию роста в 2001 г. - на 5599,3 млн. руб. или на 37,5%; в 2002 г. - на 6586,2 млн. руб. или 31,8%; в 2003 г. - на 5989,7 млн. руб. или 22,1%; в 2004 г. - на 6327,5 млн. руб. или на 19,1%; в 2005 году - на 8902,6 млн. руб. или 22,6%; в 2006 г. - на 10242,5 млн. руб. или на 21,2%; в 2007 г. - на 12514,6 млн. руб. или 21,4%; в 2008 г. - на 25458 млн. руб. или на 35,8%; в 2009 г. - на 7864 млн. руб. или на 8,1%; в 2010 г. - на 19856,4 млн. руб. или 19%; в 2011 г. - на 15140,8 млн. руб. или на 12,2%. Базисные показатели динамики свидетельствуют о том, что в Орловской области выявлены тенденции к росту денежных доходов населения (т.к. рассчитанные показатели темпа роста выше 100%). Анализируя абсолютные значения 1% прироста, мы видим, что замедление темпа прироста сопровождается уменьшением абсолютных приростов. Абсолютное значение 1% прироста наблюдается в 2001 - 2011 годах, поскольку размер денежных доходов населения колеблется из года в год, общий вывод по абсолютным и относительным показателям динамики мы сделать не можем. Поэтому определим среднегодовые показатели динамики:

Средний абсолютный прирост

 

руб.

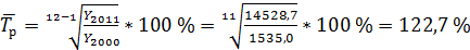
Среднегодовой темп роста

 

 

Таким образом, за период 2000 - 2011 годы уровень денежных доходов населения в Орловской области увеличился на 1181,25 руб. или на 22,7 %.

Проведем выравнивание ряда динамики денежных доходов населения методом укрупнения интервалов, по трехлетней скользящей средней и методом аналитического выравнивания по среднегодовому абсолютному приросту по данным таблицы 3.

Таблица 3 - Динамика денежных доходов населения в Орловской области в 2000 - 2011 гг.

годы

среднемесячная номинальная зарабртная плата, руб.

укрупнение периодов

по трехлетней скользящей средней

по среднегодовому абсолютному приросту



сумма

средняя

сумма

средняя

t

средняя

2000

1535

0

0

0

0

0

1535,0

2001

2245,8

6809,5

2269,8

6809,5

2269,8

1

3427,1

2002

3028,7

0

0

8838,0

2946,0

2

5391,2

2003

3563,5

0

0

10985,1

3661,7

3

7107,3

2004

4392,9

13387,0

4462,3

13387,0

4462,3

4

9117,9

2005

5430,6

0

0

16597,2

5532,4

5

11336,9

2006

6773,7

0

0

20815,0

6938,3

6

13861,2

2007

8610,7

26536,6

8845,5

26536,6

8845,5

7

16879,5

2008

11152,2

0

0

31617,2

10539,1

8

20602,2

2009

11854,3

0

0

36180,7

12060,2

9

22485,6

2010

13174,2

39557,1

13185,7

39557,1

13185,7

10

24986,7

2011

14528,6

0

0

0

0

11

27522,4


Таким образом, укрупнение периодов по трехлетию осуществляется по следующим формулам:

 

 

 

 

Использование метода укрупнения периодов не позволяет сделать вывод о наличии установленной тенденции роста или сокращения денежных доходов населения в Орловской области.

Таким образом, воспользуемся методом трехлетней скользящей средней:

 

 

 и т. д.

Исходя из полученных данных методом трехлетней скользящей средней, мы не можем сделать вывод о наличии установленной тенденции роста или сокращения уровня денежных доходов населения в Орловской области.

Наиболее эффективным способом выявления основной тенденции развития является аналитическое выравнивание, которое позволяет получить аналитическую модель тренда. Тренд динамического ряда - это математическое уравнение, выражающее основную тенденцию динамики, изучаемых уровней, и позволяющее установить закономерность развития явлений во времени.

Аналитическое выравнивание по среднегодовому абсолютному приросту, если изменение уровней идет примерно с одинаковой интенсивностью осуществляется по уравнению:

 

 - теоретические уровни

 - уровень года, принятого за начало отсчета

 - среднегодовой прирост

t - время

Так как  руб., то уравнение прямой линии примет вид:

 

Подставим в данное уравнение значение t для каждого года, рассчитаем теоретический уровень денежных доходов населения в таблице 3. Изобразим фактический и теоретический уровни графически на рисунке 1.

Рисунок 1 - Фактический и теоретический уровни денежных доходов населения

В целях анализа динамики проведем аналитическое выравнивание способом наименьших квадратов по данным представленным в таблице 3.

Таблица 4 - Динамика денежных доходов населения в Орловской области

годы

среднемесячная начисленная заработная плата, руб.

аналитическое выравнивание по уравнению прямой линии



t

    

    

    

  

    

2001

2245,8

-5

25

-11229

1179,2

1066,6

1137548,3

2002

3028,7

-4

16

-12114,8

2484,4

544,3

296266,4

2003

3563,5

-3

9

-10690,5

3789,6

226,1

51099,4

2004

4392,9

-2

4

-8785,8

5094,7

701,8

492533,4

2005

5430,6

-1

1

-5430,6

6399,9

969,3

939470,2

2006

6773,7

0

0

0

7705,0

931,3

867353,6

2007

8610,7

1

1

8610,7

9010,2

399,5

159579,2

2008

11152,2

2

4

22304,4

10315,3

836,9

700352,9

2009

11854,3

3

9

35562,9

11620,5

233,8

54669,7

2010

13174,2

4

16

52696,8

12925,6

248,6

61782,1

2011

14528,6

5

25

72643

14230,8

297,8

88687,5

итого:

84755,2

0

110

143567,1

84755,2

6455,8

4849342,8


Выравнивание динамического ряда осуществляется по следующему уравнению:

 

 - теоретический уровень ряда, рассчитанный по уравнению;

a - уровень ряда, принятый за базу отсчета;

b - среднегодовой абсолютный прирост в теоретическом или выровненном ряду;

t - порядковый номер периодов или моментов времени.

Определим значения параметров a и b по формулам:

                                                     

 7705,02 руб.                       1305,16 руб.

Таким образом, уравнение тренда примет вид:

 

За период с 2001 по 2011 годы денежные доходы населения в Орловской области увеличивались в среднем на 1305,16 (руб.), то есть получали среднегодовой прирост, а средний размер доходов за изученный период составил 7705,02 (руб.).

Подставим в уравнение тренда значения t для каждого года и осуществим расчет теоретического уровня денежных доходов населения, например:

 руб.

Изобразим фактический и теоретический уровни денежных доходов населения, рассчитанные по уравнению тренда, графически на рисунке 2.

Рисунок 2 - Фактический и теоретический уровни денежных доходов населения

Выравнивание объема уровня денежных доходов населения по уравнению прямой линии показывает тенденцию роста за последние 11 лет.

Рассчитаем показатели колеблемости динамического ряда:

1.       Размах колеблемости

 

 

Таким образом, в Орловской области разница между максимальным и минимальным размером денежных доходов населения за период 2001 - 2011 гг. составила 12993,6 руб.

2.       Среднее линейное отклонение

 

 ( руб.)

В период с 2001 по 2011 годы уровень денежных доходов населения в Орловской области отклонилась от уровня тренда в среднем на 717,31 руб.

3.       Среднее квадратическое отклонение

 

 ( руб.)

Среднее квадратическое отклонение показывает, что уровень денежных доходов отклонился от уровня тренда в среднем на 734,04 руб.

4.       Коэффициент колеблемости

 

%

Отсюда можно сделать вывод, что колеблемость денежных доходов населения умеренная и составляет 9,53 % среднего многолетнего уровня, то есть ежегодно уровень денежных доходов отклоняется от среднего многолетнего уровня в среднем на 9,53 %.

Рассчитаем коэффициент устойчивости по формуле:

 

.

В среднем в виду ежегодной колеблемости уровня денежных доходов населения обеспечивается 90 % уровня денежных доходов, рассчитанного по тренду.

Рассчитаем коэффициент корреляции рангов Ч. Спирмена:

 

Таблица 4 - Расчет коэффициента корреляции рангов Ч. Спирмена

Годы

среднемесячная начисленная заработная плата, руб.

Ранг заработной платы

Ранг лет

d = ру - рл

d2




рл



2001

2245,8

1

1

0

0

2002

3028,7

2

2

0

0

2003

3563,5

3

3

0

0

2004

4392,9

4

4

0

0

2005

5430,6

5

5

0

0

2006

6773,7

6

6

0

0

2007

8610,7

7

7

0

0

2008

11152,2

8

8

0

0

2009

11854,3

9

9

0

2010

13174,2

10

10

0

0

2011

14528,6

11

11

0

0

итого:




0

0


 

Коэффициент корреляции Ч. Спирмена показывает, что размер денежных доходов населения в Орловской области имеет высокий устойчивый рост, равный 100%. Таким образом, при значительных колебаниях ежегодных уровней по сравнению со средним за период уровнем в целом в Орловской области наблюдается устойчивый рост денежных доходов населения.

По результатам аналитического выравнивания уровней ряда составим статистический прогноз.

Составим точечный прогноз денежных доходов населения в Орловской области на 2013- 2014 годы.

Уравнение тренда имеет вид:

 

Если в 2011 г. t = 5, то в 2013 году t = 7 и в 2014 г. t = 8, то уровень денежных доходов будет равна

 руб.

 руб.

На основании точечного прогноза уровень денежных доходов населения в Орловской области в 2013 г. составит 16841,14 руб., в 2014 г. -18146,3 руб.

Интервальный прогноз учитывает уровень колеблемости денежных доходов и определяется по формуле:

 

Рассчитаем интервальный прогноз:

 ( руб.)

 ( руб.)

 ( руб.)

 ( руб.)

Из точечного и интервального прогнозирования следует, что в дальнейшем среднегодовой уровень денежных доходов в Орловской области будет иметь тенденцию к росту. Данную тенденцию следует оценить как положительную. Денежные доходы в 2013г. будут находиться в интервале от 15157,03 до 18525,25 руб. Уровень денежных доходов в 2014г. будет находиться в интервале от 16331,67 до 19960,93 руб.

Заключение

Социально-экономическая жизнь общества проявляется в различного рода массовых явлениях. Они являются предметом исследования статистики, которая изучает их количественную сторону в неразрывной связи с их качественным содержанием в конкретных условиях места и времени. В каждый исторический момент социально-экономические явления имеют конкретные размеры, структуру, интенсивность развития, ту или иную распространенность и определенные соотношения друг с другом. Статистика при помощи статистических показателей характеризует размеры изучаемых явлений, их особенности, закономерности развития и их взаимосвязь.

Социальная статистика представляет собой одно из важнейших приложений статистических методов, исследующих количественную характеристику структуры общества, жизни и деятельности людей, позволяет выявить и измерить основные закономерности в распределении благ между социальными группами.

К числу наиболее значимых направлений исследования в социальной статистике относятся: социальная и демографическая структура населения, её динамика, уровень жизни населения, уровень благосостояния, уровень здоровья населения, культура и образования, моральная статистика, общественное мнение, политическая жизнь. Применительно к каждой области исследования разрабатывается и система показателей, определяются источники информации и существуют специфические подходы к использованию статистических материалов в целях регулирования социальной обстановки в стране и регионах. Вместе с тем все эти направления дают, в конечном счёте, единую, последовательную и интегрированную информацию о картине социальной жизни, о тенденциях и закономерностях развития общества.

Список литературы

1.       А.С. Колесов. Финансовая политика: цели и задачи // Финансы.- 2012.- №10.

2.      В.Г. Ермилов. Взаимодействие макроэкономической и финансовой политик: перспективы и проблемы // Финансы.- 2012.- №10.

.        Глущенко В.В., Глущенко И.И. Финансы. Финансовая политика, маркетинг, менеджмент. Финансовый риск. Ценные бумаги. Страхование.- г. Железнодорожный, Моск. обл.: ТОО НЦП «Крылья», 2009.- 416с.

.        Гончарова М.В. Экономическое содержание социальной поддержки населения как элемента социально ориентированной финансовой политики// Финансы и кредит.- 2012.- №13.

.        Грязнова А.Г. Проблемы усиления воздействия государственных финансов на экономику и социальную сферу России // Финансы и кредит.- 2011.- №25.

.        Д.М. Сахаров. Финансовая политика государства в свете проблем глобализации.- Финансы.- №2.

.        Деева А.И. Финансы. Учебное пособие / А.И. Деева - М.: Экзамен, 2007.- 320с.

.        Лаврушин О.И. Взаимодействие денежно-кредитной и финансовой политики // Финансы и кредит.- 2013.- №1.

.        Поляк Г.Б. Финансы. Денежное обращение. Кредит: учебник для вузов / Под ред. проф. Г.Б. Поляка.- М.: ЮНИТИ-ДАНА, 2-е изд. 2009.- 512 с.

.        Финансовая система и экономика / Под ред. В.В. Нестерова, Н.С. Желтова.- М.: Финансы и статистика, 2010.- 402с.: ил.

.        Финансовые проблемы и перспективы современной экономики: Межвузовский сборник статей / Под ред. В.В. Мищенко, Н.Б. Грищенко, О.В. Немировской.- Барнаул: изд-во Алт. ун-та, 2011.- 176с.

Похожие работы на - Статистические показатели, характеризующие уровень жизни населения

 

Не нашли материал для своей работы?
Поможем написать уникальную работу
Без плагиата!
Без нейросетей!