Управління ризиками операційної діяльності підприємства
МІНІСТЕРСТВО
ОСВІТИ ТА НАУКИ, МОЛОДІ ТА СПОРТУ УКРАЇНИ
ОДЕСЬКИЙ
НАЦІОНАЛЬНИЙ МОРСЬКИЙ УНІВЕРСИТЕТ
Кафедра:
«Системний аналіз і логістика»
«Управління
ризиками операційної діяльності підприємства»
Виконала: студентка ЦПО
та ПК Буюклі І.І.
Прийняла: Петрова О. С.
ОДЕСА.
2014
Зміст
Вступ
Розділ 1.Опис бізнес-ідеї інвестиційного проекту
Розділ 2. Якісний аналіз ризиків експлуатаційної фази життєвого
циклу інвестиційного проекту
.1 Ідентифікація ситуацій ризику.
.2 Специфікація ситуацій ризику
.3 Визначення впливу ситуацій ризику на вхідні параметри
інвестиційного проекту
Розділ 3. Кількісний аналіз ризиків експлуатаційної фази життєвого
циклу інвестиційного проекту
.1 Розрахунки можливих значень критерію ефективності проекту
- чистої сучасної вартості
.2 Оцінка рівня ризику експлуатаційної фази життєвого циклу
інвестиційного проекту
.3 Аналіз чутливості критерію ефективності до зміни значень
вхідних параметрів інвестиційного проекту
.4 Аналіз стійкості критерію ефективності до зміни значень
вхідних параметрів інвестиційного проекту
Розділ 4. Пропозиції по управлінню ризиками експлуатаційної фази
життєвого циклу проекту
Літературні джерела
Вступ
Туризм є важливою частиною
зовнішньоекономічної діяльності багатьох розвинених країнах і країн. Ця галузь
належить до числа високоприбуткових і найбільш динамічних галузей економіки.
Перехід української економіки на ринкові засади господарювання, об'єктивно
обусловивший докорінні зміни в умовах функціонування курортно- туристського
комплексу, не спричинив за собою відповідних змін ні в концептуальних підходах
до його розвитку, ні в конкретних рішеннях і діях державних органів. На мій
погляд, особливої уваги заслуговує питання створення заходів щодо подальшого
розвитку і розширення масштабів сфери туризму в Україні.
У зв'язку із збільшенням чисельності
туристів найактуальнішою проблемою України на сьогодні є мала чисельність (а в
деяких регіонах - повна відсутність) інформаційно- туристичних центрів. У
сучасному світі, жодна розвинена країна не обходиться без установ такого типу.
Інформаційно -туристичні центри - це сервісна служба, яка надає інформацію про
місцеві туристичні продукти, визначні пам'ятки, історичні цінності регіону,
заходах, екскурсійних маршрутах, транспорті, шопінг, розвагах і другом. ІТЦ
можуть також продавати квитки на місцевий громадський транспорт, продавати або
безкоштовно роздавати туристичні матеріали - карти, буклети, краєзнавчу та
історичну літературу, та ін ІТЦ також можуть торгувати сувенірами, продукцією
місцевих ремісників, майстрів, художників. В Україні загальна кількість таких
центрів становить не більше 40. В Одеському регіоні - 3 центру, один з яких
знаходиться в м. Вилкове, а інші два - в м. Одеса. Порівнюючи одеські ІТЦ,
перше про що можна сказати, це те, що один центр - є приватною установою і
виконує в основному функцію залучення людей в туристичні агентства, надаючи вже
там всілякі платні туристичні послуги, а другий центр - є муніципальним
закладом міста, фінансується за рахунок міського бюджету, а також укладаючи
договори з туристичними агентствами, вокзалами, аеропортом і т.п.
Якщо говорити про розвиток туризму в
Україні, то мене звичайно ж більше цікавлять державні та муніципальні установи,
ніж приватні. Тому, в моєму проекті, я буду розглядати комунальне підприємство
" Туристичний Інформаційний Центр " м.Одеси. Я хочу вивчити повністю
всю інформацію про нього, починаючи з появи ідеї створення такого центру і
закінчуючи нинішньою діяльністю, принципами роботи, фінансовою підтримкою. На
мій погляд ІТЦ м.Одеси на жаль не користується такою популярністю і попитом, як
міг би, враховуючи туристичний потенціал одеського регіону. Сьогоднішні
можливості дозволяють добре вивчити ринок, провести аналіз, розробити свої
пропозиції та заходи щодо поліпшення діяльності центру. Можливо, в майбутньому
мої зауваження і пропозиції могли б послужити поштовхом до популяризації даного
центру в одеському регіоні та в Україні в цілому, і як наслідок - до збільшення
туристичного потоку.
У всьому світі ТІЦи - це саме той
атрибут, наявність (або відсутність) якого може розповісти про ступінь розвитку
туристичної індустрії тієї чи іншої країни. Україна не повинна бути винятком і
зобов'язана піклуватися не тільки про кількість, а й про якість ТИЦ, щоб
представляти свій туристичний потенціал в найбільш привабливому і вигідному
світлі.
Розділ 1. Опис бізнес-ідеї
інвестиційного проекту
Одеса - гордість України. Це не
тільки найбільший порт і культурно-промисловий центр країни, а й відомий
курорт. Завдяки незліченним барам, ресторанам, клубам і пляжам Одеса давно
стала одним з найпопулярніших курортів. Що літа сюди приїжджають тисячі
туристів для того, щоб вдосталь накупатися, придбати загар і запастися
хвилюючими враженнями на весь рік. Сьогодні ця легендарна столиця гумору стала
ще й центром розваг для молодих і енергійних.
Щоб ознайомитися з усіма визначними
пам'ятками Одеси, доведеться витратити далеко не один день і пройти далеко не
один екскурсійний маршрут, так як в Одесі дійсно є на що подивитися. Уваги
туристів заслуговують дивовижні монастирі і храми, історичні та архітектурні
пам'ятки, музеї та арт-галереї, палаци, Університет і Театр опери та балету.
Найбільшого розвитку в Одесі набули:
історико-культурний туризм, що
ґрунтується на екскурсійному інтересі до пам'ятників історії й культури на
території міста, як з боку внутрішньо українських споживачів (в основному, у
форматах освітнього туризму, поїздок вихідного дня й т.д.), так і з боку
іноземних гостей.
діловий туризм, пов'язаний з
функціонуванням на території міста центрів адміністративного й
бізнес-управління, розвиненою мережею автодоріг, розташуванням міста у
близькості від рік Дунай, Дністер, Південний Буг і Дніпро, а також наявністю
великих морських портів Одеса, Іллічівськ і Южний - у сполученні з Одеським
міжнародним аеропортом і залізницею. Унікальні передумови створюють сприятливі
для прийому, обробки, зберігання й транспортування вантажів, обробки потужних
пасажиропотоків. Наявність у місті більше, ніж 467 спільних підприємств з
іноземним капіталом і т.п., що включають власне ділову (відрядження, зустрічі,
переговори, робочі візити, конференції й т. ін.), пізнавальну (знайомство з
визначними пам'ятками, культурна програма), рекреаційну (відпочинок,
оздоровлення й розваги), - складові, які повинні бути віднесені до туристичної
діяльності;
рекреаційний відпочинок у санаторіях
і на базах відпочинку, в основному жителів України та ближнього зарубіжжя, а
також у меншій мірі - відпочиваючих з інших регіонів;
шопінг, дозвілля й розваги, у першу
чергу для жителів Одеського регіону.
Місто Одеса виступає на турринкові
України як адміністративна й ділова столиця регіону в певних напрямках
подорожей з діловими цілями, однак через те, що місто не є українським центром
економічної й політичної активності в порівнянні з Києвом, такий туризм поки не
став чіткою спеціалізацією Одеси.
Найбільшою мірою
культурно-ознайомлювальний туризм розвинений у формі екскурсійного й
самостійного огляду визначних пам'яток у м. Одесі. За оцінками туроператорів
Одеської області, до 90% екскурсійних маршрутів зосереджено на напрямку Одеси.
Таблиця 1.3. SWOT-аналіз розвитку
туризму в Одесі
|
Переваги (сильні сторони)
|
Недоліки (слабкі сторони)
|
|
- Значний природно-екологічний, історико-культурний і
рекреаційний потенціал. - Можливість проведення виставок, семінарів і
тематичних конференцій. - Наявність культурних й історичних пам'ятників
світового й всеукраїнського значення. - Наявність суспільних і комерційних
організацій, які можуть сприяти розвитку туризму - Проведення масових заходів
ділового й розважального плану, тобто організації подієвого туризму. -
Впізнаваність і привабливість образа міста в Україні, СНД і світі.
|
- Недостатньо розвинена туристична інфраструктура. - Слабка
система просування турпродуктів Одеси на внутрішньому й міжнародному ринках.
- Відсутність галузевої статистики, що забезпечує інформаційну й управлінську
підтримку розвитку туризму. - Нестача професійно підготовлених кадрів в
індустрії туризму. - Невідповідність ціни та якості послуг. -
Непідготовленість населення міста до роботи з туристами. - Існуюча в м. Одесі
асоціація об'єднань туроператорів не дозволяє ефективно координувати спільні
зусилля по розвитку туризму в місті. Відсутність вибудуваної системи безпеки
й супроводи туристів на території міста.
|
|
Можливості
|
Загрози
|
|
- Вигідне географічне положення, що дозволяє залучати туристів
(на перетинанні транспортних коридорів: Захід-Схід, Північ-Південь). -
Можливість росту ринку турпослуг, при ефективному використанні наявних
турресурсів й інфраструктури. - Залучення іноземних й українських інвесторів
для фінансування розвитку туристичної інфраструктури. - Стійке сприйняття
образа Одеси як міста, привабливого для внутрішнього туризму групами
споживачів (усередині області, країни, за рубежем). - Зростаючий інтерес
громадян до історико-культурної спадщини.
|
- Зростаюча конкуренція серед туристичних регіонів України. -
Зниження платоспроможного попиту населення внаслідок скорочення прибутковості
основних галузей економіки. - Ризик зниження туристичного потоку при
погіршенні криміногенної обстановки в місцях дислокації туристичних об'єктів.
- Посилення виїзного туризму в сусідні регіони й за кордон у зв'язку з
низьким рівнем надаваних послуг і високих цін на них у м. Одесі. -
Відсутність бюджетних можливостей, що дозволяють здійснювати цільову фінансову
підтримку туристичної галузі. Низький платоспроможний попит і нестабільна
соціально-економічна ситуація в області, що негативно впливають на формування
регіонального попиту на турпослуги.
|
З розвитком туристичних компаній,
інфраструктури туристичного бізнесу суміжних регіонів, Одеса перебуватиме в
конкурентних відносинах з регіонами України.
Для посилення конкурентоздатності
Одеси необхідно реально оцінити потенційний ринок турпослуг міста, розробити й
почати реалізовувати програму активного просування міського турпродукту,
провести цільову перепідготовку персоналу, відробити принципи й механізми
підтримки міською владою й підвищення інвестиційної привабливості туристичної
галузі Одеси. Необхідна організація єдиної (координаційної) служби, відповідальної
за все, що пов'язане із прийомом приїжджаючих, виділити на її роботу бюджетні
кошти, тобто перед владою міста стоїть задача налагодження роботи туристичного
інформаційного центра в м. Одесі.
Розділ 2. Якісний аналіз ризиків
експлуатаційної фази життєвого циклу інвестиційного проекту
Таблиця 2.1 Характеристика
параметрів експлуатаційної фази проекту
|
Параметр
|
Одиниці виміру
|
Значення параметру
|
|
Постійні витрати
|
грн./міс.
|
0
|
|
Змінні витрати
|
грн./посл.
|
6
|
|
Кількість послуг
|
посл.
|
10 000
|
|
Ціна послуги
|
грн./посл.
|
15
|
|
Ставка дисконтування (індекс інфляції)
|
%
|
103,3
|
.1 Ідентифікація ситуацій ризику
В підприємницькому кліматі,
найголовнішою зоною ризику, на мою думку - є політичні умови. Політичний ризик
- дія на суб'єкти ринкових і соціальних відносин, чинників, зумовлених
особливостями державного устрою, нестабільністю діяльності державних органів
влади, здійсненням керівництвом неефективної економічної політики, етнічними і
регіональними проблемами, поляризацією інтересів соціальних груп тощо. Ризик в
політичних умовах, може викликати такі ситуації ризику, як ризик військових дій
та цивільних безпорядків, ризик нестабільності політичного режиму. Ці ситуації
ризику, погано позначаться на туристичних потоках, це може злякати іноземних
туристів.
В проектному середовищі я виділила
дві зони ризику, а саме: ринок збуту товарів(послуг) та клієнти. На ринку збуту
товарів, можуть виникнути такі ситуації, як ризик збільшення кількості
конкурентів на ринку, або ризик появи несумлінної конкуренції. У зоні ризику
клієнтів, може виникнути ризик незацікавленості в запропонованих
товарах(послугах).
В проектному потенціалі я виділила
дві зони ризику: персонал та інформаційний потенціал. Для персоналу я виділила
ситуацію кваліфікаційного ризику, який полягає в ймовірності втрат внаслідок
недостатньої кваліфікації, досвіду чи навиків у працівника на певній посаді. А
для інформаційного потенціалу, найважливішою ситуацією ризику, на мою думку, є
ризик дезінформації, нечіткої інформації. (див. табл. 2.2).
Таблиця 2.2 Ідентифікація ситуацій
ризику
|
Проектне оточення
|
Зони ризику
|
Ситуації ризику
|
|
Підприємницький клімат
|
1.1.Політичні умови.
|
1.1.1. Ризик військових дій та цивільних безпорядків,
нестабільності політичного режиму.
|
|
Проектне середовище
|
2.1.Ринок збуту товару(послуг)
|
2.1.1.Ризик збільшення кількості конкурентів на ринку;
|
|
|
2.1.2.Ризик несумлінної конкуренції;
|
|
2.2.Клієнти
|
2.2.1.Ризик незацікавленості послугами.
|
|
Проектний потенціал
|
3.1.Персонал
|
3.1.1. Кваліфікаційний ризик;
|
|
3.2.Інформаційний потенціал
|
3.2.1. Ризик дезінформації, нечіткої інформації.
|
.2 Специфікація ситуацій ризику
За сферою виникнення ризики
поділяють на зовнішні та внутрішні.
За характером ризики розрізняють на
статичні та динамічні. Статичні ризики завжди несуть у собі втрати. Залежно від
причини втрат статичні ризики поділяються на такі групи:
ймовірні втрати внаслідок
негативного впливу на активи фірми стихійних лих;
ймовірні втрати внаслідок злочинних
дій;
ймовірні втрати внаслідок прийняття
несприятливого для підприємницької фірми законодавства;
ймовірні втрати внаслідок погрози
власності третіх осіб, що приводить до змушеного припинення діяльності
основного постачальника чи споживача;
втрати внаслідок смерті чи
недієздатності ключових працівників фірми або основного власника
підприємницької фірми.
Динамічний ризик несе в собі або
втрати, або прибуток. Вони є складними для управління. До них відносять різні
види політичних ризиків, економічних ризиків, галузевих ризиків.
За рівнем фінансових втрат ризики
поділяються на допустимі, критичні та катастрофічні (або недопустимі).
За ступеню керованості виділяють:
цілком керовані(детерміновані), частково керовані, некеровані ситуації ризику.
Таблиця 2.3 Специфікація ситуацій
ризику
|
Ситуація ризику
|
Класифікаційна характеристика
|
|
середовище прояву
|
термін дії
|
характер наслідків
|
ступінь впливу
|
ступінь керованості
|
|
1.1.1. Ризик військових дій та цивільних безпорядків,
нестабільності політичного режиму
|
зовнішній
|
середньостроковий
|
статичний
|
критичний
|
некерований
|
|
2.1.1.Ризик збільшення кількості конкурентів на ринку
|
внутрішній
|
довгостроковий
|
статичний
|
катастрофічний
|
некерований
|
|
2.2.1.Ризик незацікавленості послугами
|
внутрішній
|
короткостроковий
|
статичний
|
катастрофічний
|
некерований
|
|
3.1.1.Кваліфіка-ційний ризик
|
внутрішній
|
довгостроковий
|
статичний
|
допустимі
|
частково керований
|
|
3.2.1. Ризик дезінформації, нечіткої інформації
|
внутрішній
|
короткостроковий
|
статичний
|
допустимі
|
детермінований
|
2.3 Визначення впливу ситуацій
ризику на вхідні параметри інвестиційного проекту
Вплив ситуацій ризику на
результативність проекту обумовлюються зміною значень вхідних параметрів
(кількість послуг, ціни, постійних витрат, змінних витрат, ставки
дисконтування), що (в %) представлені у табл. 2.3.
Таблиця 2.4 Вплив ситуацій ризику на
вхідні характеристики проекту
|
Ситуація ризику
|
Параметр операційної діяльності
|
Зміна параметра операційної діяльності,%
|
|
1.1.1. Ризик військових дій та цивільних безпорядків,
нестабільності політичного режиму
|
кількість послуг
|
5
|
|
2.1.1.Ризик збільшення кількості конкурентів на ринку
|
кількість послуг
|
9
|
|
змінні витрати
|
16
|
|
2.2.1.Ризик незацікавленості послугами
|
кількість послуг
|
10
|
|
змінні витрати
|
23
|
|
3.1.1.Кваліфікаційний ризик
|
змінні витрати
|
9
|
|
ціна послуг
|
22
|
Значення вхідних параметрів, заданих
в РГЗ, відповідають оптимістичному сценарію проекту, комбінація найгірших
значень параметрів-песимістичному сценарію. Крім того існує множина проміжних
значень параметрів і їх комбінацій(вплив деяких ситуацій ризику)
Таблиця 2.5 Якісна характеристика
сценаріїв проекту
|
Сценарій
|
Імовірність настання сценарію
|
Ситуація ризику
|
|
Оптимістичний
|
0,13
|
---
|
|
Проміжний 1
|
0,06
|
1.1.1. Ризик військових дій та цивільних безпорядків,
нестабільності політичного режиму
|
|
Проміжний 2
|
0,08
|
2.1.1.Ризик збільшення кількості конкурентів на ринку
|
|
Проміжний 3
|
0,03
|
2.2.1.Ризик незацікавленості послугами
|
|
Проміжний 4
|
0,02
|
3.1.1.Кваліфікаційний ризик
|
|
Проміжний 5
|
0,07
|
1.1.1. Ризик військових дій та цивільних безпорядків,
нестабільності політичного режиму
|
|
|
2.1.1.Ризик збільшення кількості конкурентів на ринку
|
|
Проміжний 6
|
0,05
|
1.1.1. Ризик військових дій та цивільних безпорядків,
нестабільності політичного режиму
|
|
|
2.1.1.Ризик збільшення кількості конкурентів на ринку
|
|
|
2.2.1.Ризик незацікавленості послугами
|
|
Проміжний 7
|
0,05
|
1.1.1. Ризик військових дій та цивільних безпорядків,
нестабільності політичного режиму
|
|
|
2.1.1.Ризик збільшення кількості конкурентів на ринку
|
|
|
3.1.1.Кваліфікаційний ризик
|
|
Проміжний 8
|
0,08
|
1.1.1. Ризик військових дій та цивільних безпорядків,
нестабільності політичного режиму
|
|
|
2.2.1.Ризик незацікавленості послугами
|
|
|
3.1.1.Кваліфікаційний ризик
|
|
Проміжний 9
|
0,1
|
1.1.1. Ризик військових дій та цивільних безпорядків,
нестабільності політичного режиму
|
|
|
3.1.1.Кваліфікаційний ризик
|
|
Проміжний 10
|
0,11
|
1.1.1. Ризик військових дій та цивільних безпорядків,
нестабільності політичного режиму
|
|
|
2.2.1.Ризик незацікавленості послугами
|
|
Проміжний 11
|
0,08
|
2.1.1.Ризик збільшення кількості конкурентів на ринку
|
|
|
2.2.1.Ризик незацікавленості послугами
|
|
Проміжний 12
|
0,03
|
2.1.1.Ризик збільшення кількості конкурентів на ринку
|
|
|
3.1.1.Кваліфікаційний ризик
|
|
Проміжний 13
|
0,04
|
2.2.1.Ризик незацікавленості послугами
|
|
|
3.1.1.Кваліфікаційний ризик
|
|
Проміжний 14
|
0,05
|
2.1.1.Ризик збільшення кількості конкурентів на ринку
|
|
|
2.2.1.Ризик незацікавленості послугами
|
|
|
3.1.1.Кваліфікаційний ризик
|
|
Песимістичний
|
0,02
|
1.1.1. Ризик військових дій та цивільних безпорядків,
нестабільності політичного режиму
|
|
|
2.1.1.Ризик збільшення кількості конкурентів на ринку
|
|
|
2.2.1.Ризик незацікавленості послугами
|
|
|
3.1.1.Кваліфікаційний ризик
|
Можливі комбінації вхідних
параметрів представлені в табл. 2.6.
Таблиця 2.6 Комбінації параметрів
операційної діяльності підприємства
|
Параметр
|
Сценарії
|
|
оптимістичний
|
проміжний 1
|
проміжний 2
|
проміжний 3
|
|
змінна, %
|
значен.
|
змінна, %
|
значен.
|
змінна, %
|
значен.
|
змінна, %
|
значен.
|
|
Постійні витрати
|
0
|
0
|
0
|
0
|
0
|
0
|
0
|
0
|
|
Змінні витрати
|
0
|
6
|
0
|
6
|
-16
|
5,04
|
-23
|
4,62
|
|
Кількість послуг
|
0
|
10000
|
-5
|
9500
|
-9
|
9100
|
-10
|
9000
|
|
Ціна послуг
|
0
|
15
|
0
|
15
|
0
|
15
|
0
|
15
|
|
Ставка дисконтування
|
0
|
103,3%
|
0
|
103,3%
|
0
|
103,3%
|
0
|
103,3%
|
|
Постійні витрати
|
0
|
0
|
0
|
0
|
0
|
0
|
0
|
0
|
|
Змінні витрати
|
9
|
5,46
|
16
|
5,04
|
39
|
3,66
|
25
|
4,5
|
|
Кількість послуг
|
0
|
10000
|
14
|
8600
|
24
|
7600
|
14
|
8600
|
|
Ціна послуг
|
22
|
18,3
|
0
|
15
|
0
|
15
|
22
|
18,3
|
|
Ставка дисконтування
|
0
|
103,3%
|
0
|
103,3%
|
0
|
103,3%
|
0
|
103,3%
|
|
Постійні витрати
|
0
|
0
|
0
|
0
|
0
|
0
|
0
|
0
|
|
Змінні витрати
|
32
|
4,08
|
5,46
|
23
|
4,62
|
39
|
3,66
|
|
Кількість послуг
|
15
|
8500
|
5
|
9500
|
15
|
8500
|
19
|
8100
|
|
Ціна послуг
|
22
|
18,3
|
22
|
18,3
|
0
|
15
|
0
|
15
|
|
Ставка дисконтування
|
0
|
103,3%
|
0
|
103,3%
|
0
|
103,3%
|
0
|
103,3%
|
|
Постійні витрати
|
0
|
0
|
0
|
0
|
0
|
0
|
0
|
0
|
|
Змінні витрати
|
25
|
4,5
|
32
|
4,08
|
48
|
3,12
|
48
|
3,12
|
|
Кількість послуг
|
9
|
9100
|
10
|
9000
|
19
|
8100
|
24
|
7600
|
|
Ціна послуг
|
22
|
18,3
|
22
|
18,3
|
22
|
18,3
|
22
|
18,3
|
|
Ставка дисконтування
|
0
|
103,3%
|
0
|
103,3%
|
0
|
103,3%
|
0
|
103,3%
|
|
|
|
|
|
|
|
|
|
|
|
|
|
|
|
|
|
Розділ 3. Кількісний аналіз ризиків
експлуатаційної фази життєвого циклу інвестиційного проекту
Розрахунки можливих значень критерію
ефективності проекту - чистої сучасної вартості.
Я буду розглядати кожний сценарій,
надаючи коефіцієнтам індекс відповідно до порядкового номеру сценаріїв, а саме:
оптимістичний - «1», проміжний 1 - «2» і так далі.
Річний прибуток підприємства:
Р=D-Rзаг=Q*C-Rпост-Q*Rзмін,

(грн.)
|
P1=
|
90000
|
|
P2=
|
85500
|
|
P3=
|
90636
|
|
P4=
|
93420
|
|
P5=
|
128400
|
|
P6=
|
85656
|
|
P7=
|
86184
|
|
P8=
|
118680
|
|
P9=
|
120870
|
|
P10=
|
121980
|
|
P11=
|
88230
|
|
P12=
|
91854
|
|
P13=
|
125580
|
|
P14=
|
127980
|
|
P15=
|
122958
|
|
P16=
|
115368
|
Через те, що амортизаційні та
соціальні відрахування КП ІТЦ мають пільги, та припадають на міський бюджет,
сама організація не покриває збитки по ним, тоді грошовий потік буде
дорівнювати річному прибутку, тобто CF=P.

=40000
|
CF1=
|
P1=
|
90000
|
|
CF2=
|
P2=
|
85500
|
|
CF3=
|
P3=
|
90636
|
|
CF4=
|
P4=
|
93420
|
|
CF5=
|
P5=
|
128400
|
|
CF6=
|
P6=
|
85656
|
|
CF7=
|
P7=
|
86184
|
|
CF8=
|
P8=
|
118680
|
|
CF9=
|
P9=
|
120870
|
|
CF10=
|
P10=
|
121980
|
|
CF11=
|
P11=
|
88230
|
|
CF12=
|
P12=
|
91854
|
|
CF13=
|
P13=
|
125580
|
|
CF14=
|
P14=
|
127980
|
|
CF15=
|
P15=
|
122958
|
|
CF16=
|
P16=
|
115368
|
Кожному сценарію проекту відповідає
певне значення критерію ефективності - чистої сучасної вартості (табл.3.1).
інвестиційний проект ризик
Таблиця 3.1 Ефективність
інвестиційного проекту
|
Оптимістичний
|
NPV1=
|
24600
|
|
Проміжний 1
|
NPV2=
|
20370
|
|
Проміжний 2
|
NPV3=
|
25197,84
|
|
Проміжний 3
|
NPV4=
|
27814,8
|
|
Проміжний 4
|
NPV5=
|
60696
|
|
Проміжний 5
|
NPV6=
|
20516,64
|
|
Проміжний 6
|
NPV7=
|
21012,96
|
|
Проміжний 7
|
NPV8=
|
51559,2
|
|
Проміжний 8
|
NPV9=
|
53617,8
|
|
Проміжний 9
|
NPV10=
|
54661,2
|
|
Проміжний 10
|
NPV11=
|
22936,2
|
|
Проміжний 11
|
NPV12=
|
26342,76
|
|
Проміжний 12
|
NPV13=
|
58045,2
|
|
Проміжний 13
|
NPV14=
|
60301,2
|
|
Проміжний 14
|
NPV15=
|
55580,52
|
|
Песимістичний
|
NPV16=
|
48445,92
|
|
|
|
|
|
Оцінка рівня ризику експлуатаційної
фази життєвого циклу інвестиційного проекту.
Таблиця 3.2 Кількісна характеристика
критеріїв ефективності
|
Сценарій
|
Імовірність настання сценарію
|
Значення критерію ефективності
|
|
Оптимістичний
|
0,13
|
24600
|
|
Проміжний 1
|
0,06
|
20370
|
|
Проміжний 2
|
0,08
|
25198
|
|
Проміжний 3
|
0,03
|
27815
|
|
Проміжний 4
|
0,02
|
60696
|
|
Проміжний 5
|
0,07
|
20517
|
|
Проміжний 6
|
0,05
|
21013
|
|
Проміжний 7
|
0,05
|
51559
|
|
Проміжний 8
|
0,08
|
53618
|
|
Проміжний 9
|
0,1
|
54661
|
|
Проміжний 10
|
0,11
|
22936
|
|
Проміжний 11
|
0,08
|
26343
|
|
Проміжний 12
|
0,03
|
58045
|
|
Проміжний 13
|
0,04
|
60301
|
|
Проміжний 14
|
0,05
|
55581
|
|
Песимістичний
|
0,02
|
48446
|
Математичне очікування:
Дисперсія:
(x) =
(0.13) × (24600)2 + (0.06) × (20370)2 +
(0.08) × (25198)2 + (0.03) × (27815)2 +
(0.02) × (60696)2 + (0.07) × (20517)2 +
(0.05) × (21013)2 + (0.05) × (51559)2 +
(0.08) × (53617)2 + (0.1) × (54661)2 +
(0.11) × (22936)2 + (0.08) × (26343)2 +
(0.03) × (58045)2 + (0.04) × (60301)2 +
(0.05) × (55581)2 + (0.02) × (48446)2 - M2(x) = 1525788378.98
- 35836.422 = 241539380.56
Середньоквадратичне
відхилення:
Коефіцієнт варіації:
Таблиця 3.3 Шкала
коефіцієнта варіації
|
Коефіцієнт варіації
|
Ступень ризику
|
|
<=0,25
|
низька
|
|
0,25-0,75
|
середня
|
|
>=0,75
|
висока
|
Згідно моїх розрахунків, рівень
ризику експлуатаційної фази інвестиційного проекту має середній ступень.
Аналіз чутливості критерію
ефективності до зміни значень вхідних параметрів інвестиційного проекту.
Таблиця 3.4 Ранжирування вхідних
параметрів проекту
|
Параметр
|
Зміна параметра, %
|
Зміна критерію ефективності, %
|
Еластичність значення критерію ефективності
|
Рейтинг параметра
|
|
Постійні витрати
|
1%
|
0,0%
|
0,0%
|
5
|
|
Змінні витрати
|
1%
|
2,3%
|
2,3%
|
4
|
|
Кількість послуг
|
1%
|
-3,4%
|
3,4%
|
3
|
|
Ціна послуги
|
1%
|
-5,7%
|
5,7%
|
1
|
|
Ставка дисконтування
|
1%
|
3,7%
|
3,7%
|
2
|
(базове)=24600
Р=D-Rзаг=Q*C-Rпост-Q*Rзмін,

(грн.)

(грн.)

(грн.)

грн.)
|
% изменения
|
|
|
24600
|
0,0%
|
24600
|
|
24600
|
2,3%
|
25164
|
|
24600
|
-3,4%
|
23754
|
|
24600
|
-5,7%
|
|
24600
|
3,7%
|
25500
|
Вплив зміни кожного параметра на
значення критерію ефективності зображено в табл.3.5-3.7.
Таблиця 3.5 Аналіз чутливості
критерію ефективності до зміни змінних витрат
|
Зміна вхідного параметра,%
|
-25
|
-20
|
-15
|
-10
|
-5
|
0
|
5
|
10
|
15
|
20
|
25
|
|
Зміна показника ефектив.,%
|
38700
|
35880
|
33060
|
30240
|
27420
|
24600
|
21780
|
18960
|
16140
|
13320
|
10500
|
Таблиця 3.6 Аналіз чутливості
критерію ефективності до зміни кількості послуг
|
Зміна вхідного параметра,%
|
-25
|
-20
|
-15
|
-10
|
-5
|
0
|
5
|
10
|
15
|
20
|
25
|
|
Зміна показника ефектив.,%
|
3450
|
7680
|
11910
|
16140
|
20370
|
24600
|
28830
|
33060
|
37290
|
41520
|
45750
|
Таблиця 3.7 Аналіз чутливості
критерію ефективності до зміни ціни послуг
|
Зміна вхід. параметра,%
|
-25
|
-20
|
-15
|
-10
|
-5
|
0
|
5
|
10
|
15
|
20
|
25
|
|
Зміна показника ефектив.,%
|
-10650
|
-3600
|
3450
|
10500
|
17550
|
24600
|
31650
|
38700
|
45750
|
52800
|
59850
|
Рис. 3.1 Аналіз чутливості критерію
ефективності до зміни значень вхідних параметрів
Зміна значень
|
%
|
Зміна ставки дисконтування
|
Зміна ціни послуг
|
|
-30
|
72,31
|
10,5
|
|
-20
|
82,64
|
12
|
|
-10
|
92,97
|
13,5
|
|
0
|
103,3
|
15
|
|
10
|
113,63
|
16,5
|
|
20
|
123,96
|
18
|
|
30
|
134,29
|
19,5
|
Використовуючи дані ранжирування
параметрів, необхідно врахувати взаємний вплив на значення критерію
ефективності двох параметрів, що зайняли перше й друге місце в рейтингу
(табл.3.8).
Таблиця 3.8 Аналіз чутливості
критерію ефективності до спільної зміни ціни послуг та ставки дисконтування
|
зм.парам.ціни посл.,%
|
-30
|
-20
|
-10
|
0
|
10
|
20
|
30
|
|
зм.парам.став.дискон.%
|
|
|
|
|
|
|
|
|
-30
|
-1865
|
17513
|
36892
|
56270
|
75649
|
95027
|
114405
|
|
-20
|
-8226
|
9031
|
26289
|
43547
|
60805
|
78063
|
95321
|
|
-10
|
-13406
|
2125
|
17656
|
33188
|
48719
|
64250
|
79781
|
|
0
|
-17692
|
-3589
|
10513
|
24600
|
38719
|
52822
|
66924
|
|
10
|
-21288
|
-8384
|
4520
|
17424
|
30328
|
43232
|
56137
|
|
20
|
-24342
|
-12456
|
-570
|
11315
|
23201
|
35087
|
46973
|
|
30
|
-26965
|
-15953
|
-4942
|
6070
|
17081
|
28093
|
39105
|
Графічне зображення аналізу впливу
спільної зміни двох параметрів на значення критерію ефективності представлено
на рис. 3.2
Рис. 3.2 Аналіз
чутливості критерію ефективності до спільної зміни значень двох вхідних
параметрів проекту
Опираючись на розрахунки
аналізу чутливості, я можу стверджувати що найнебезпечнішими ситуаціями ризику,
які можуть привести до максимального падіння значення критерію ефективності
мого проекту є ті ситуації, які впливають на найчутливіші параметри,а саме на
ціну та ставку дисконтування(індекс інфляції). Такою ситуацією є
кваліфікаційний ризик.
Аналіз стійкості
критерію ефективності до зміни значень вхідних параметрів інвестиційного
проекту.
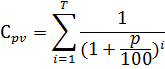
Таблиця 3.9 Змінення
ставки дисконтування
|
Ставка диск.%
|
Cpv
|
NPV
|
|
103,3
|
0,94
|
24600
|
|
108,3
|
0,90
|
20983
|
|
113,3
|
0,86
|
17636
|
|
118,3
|
0,83
|
14543
|
|
123,3
|
0,80
|
11678
|
|
128,3
|
0,77
|
9017
|
|
133,3
|
0,74
|
6540
|
|
138,3
|
0,71
|
4229
|
|
143,3
|
0,69
|
2069
|
|
148,3
|
0,67
|
45
|
|
153,3
|
0,65
|
-1855
|
Граничне значення ставки
дисконтування складає 148,42.
Для ціни граничне
значення
.
Для змінних витрат -
.
Для кількості послуг -
Таблиця 3.10 Граничні
значення вхідних параметрів проекту
|
Параметр
|
Граничний рівень
|
|
Постійні витрати
|
0
|
|
Змінні витрати
|
8,62
|
|
Кількість послуг
|
7091
|
|
Ціна послуги
|
12,38
|
|
Ставка дисконтування
|
148,42
|
При граничних параметрах
.
Визначення показників граничного рівня дозволяє контролювати зміни вихідних
параметрів проекту й при значному відхиленні від них - вжити відповідні заходи.
Розділ 4. Пропозиції по
управлінню ризиками експлуатаційної фази життєвого циклу проекту
Ряд заходів щодо
запобігання або мінімізації можливих наслідків найнебезпечніших ситуацій ризику
представлені у табл.4.1.
Таблиця 4.1
Характеристика антикризових заходів
|
Ситуація ризику
|
Антикризовий захід
|
|
1.1.1. Ризик військових дій та цивільних безпорядків,
нестабільності політичного режиму
|
1. Розширення асортименту послуг, що надаються.
|
|
2.1.1.Ризик збільшення кількості конкурентів на ринку
|
1. Зниження ціни послуг 2.Підвищення якості(об’єму) послуг
|
|
2.2.1.Ризик незацікавленості послугами
|
1. Дослідження кон’юктури ринку; 2. Організація рекламних
заходів
|
|
3.1.1.Кваліфікаційний ризик
|
1. Тотальний контроль при прийомі на роботу з боку відділу
кадрів; 2. Організація тренінгів, курсів, лекцій для працівників, з метою
підвищення кваліфікації.
|
Кожний захід з одного боку дозволить
зменшити негативні наслідки впливу ситуації ризику, а з іншого, потребує певних
витрат коштів. Для ухвалення рішення про необхідність проведення антиризикового
заходу, необхідно оцінити ефект, який одержить підприємство в результаті його
реалізації (табл.4.2).
Для 1 ситуації ризику, яка впливає
на зменшення кількості послуг, при розширенні асортименту послуг, що надаються,
я збільшу змінні витрати і, власне, кількість наданих послуг. Наприклад, Q буде
дорівнювати 12000, при цьому Rзмін.=7 грн.
Ефект від заходу:
Для 2 ситуації ризику,
застосовуючи антикризові заходи, будуть змінюватись ціна послуг(наприклад
середня ціна складе С=14,5 грн.), та припустимо кількість наданих послуг
збільшаться до 9700 і середнє значення змінних витрат Rзмін.=5,35 грн. При
таких параметрах:
Ефект від заходу:
Для 3 ситуації, при
маркетингових заходах, збільшиться значення змінних витрат, а також зросте
кількість пропонованих послуг, наприклад Rзмін.=5,65 грн та Q=12000, тоді:
Ефект від заходу:
Для 4 ситуації ризику,
спостерігатиметься підвищення змінних витрат та ціни, при незмінній кількості
послуг, наприклад Rзмін.=6,3 грн, С=20 грн.
Ефект від заходу:
Таблиця 4.2
Характеристика антикризових заходів
|
Ситуація ризику
|
Зміна критерію ефективності,грн.
|
Антикризовий захід
|
Зміна критерію ефективності, грн.
|
Ефект від заходу
|
|
1.1.1. Ризик військових дій та цивільних безпорядків,
нестабільності політичного режиму
|
20370
|
1. Розширення асортименту послуг, що надаються.
|
30240
|
9870
|
|
2.1.1.Ризик збільшення кількості конкурентів на ринку
|
25198
|
1. Зниження ціни послуг
|
25253
|
55
|
|
|
2.Впровадження системи цінових знижок
|
|
|
|
2.2.1.Ризик незацікавленості послугами
|
27815
|
1. Дослідження кон’юнктури ринку;
|
32285
|
4470
|
|
|
2.Удосконалення рекламної діяльності, стимулювання збуту
продукції
|
|
|
|
3.1.1.Кваліфікаційний ризик
|
60696
|
1. Тотальний контроль при прийомі на роботу з боку відділу
кадрів;
|
68780
|
8084
|
|
|
2. Організація тренінгів, курсів, лекцій для працівників, з
метою підвищення кваліфікації.
|
|
|
На підставі отриманих даних, можна
сказати, що антикризові заходи для ризику збільшення конкурентів на ринку є
майже неефективними, тому що коефіцієнт ефективності збільшився лише на 55
грн., проте усі інші заходи в разі виникнення таких ризиків і застосовуючи до
них цих антикризових заходів збільшать коефіцієнт ефективності.
Висновки
В умовах нинішньої економічної
невизначеності, туризм є одним з небагатьох секторів економіки в Україні, який
активно розвивається, стимулює економічний прогрес як в розвиваючих, так і в
розвинених регіонах і, що ще більш важливо, створює такі потрібні робочі місця.
Туризм перетворюється на одну з пріоритетних сфер в економіці, стимулює
розвиток як окремих галузей, так і соціально-економічний розвиток цілої країни.
У деяких регіонах туристична галузь формує більшу частину регіонального
багатства. В Одесі, на жаль, туристична сфера знаходиться лише на початковому
етапі розвитку, однак розвивається вона досить швидко й успішно. Ідея мого
проекту полягає у створенні комунального підприємства з обслуговування
туристів, а саме - Інформаційно-туристичного центру. У розвинених країнах, такі
центри давно обжилися і є дуже затребуваними, корисними і цікавими для
туристів. Там можна отримати всю необхідну інформацію: що відвідати, куди піти,
на що подивитися, де розважитися, де оселитися та інші інформаційні послуги,
так само можна придбати картки, туристичні маршрути, квитки, сувеніри,
подарунки та інш. Яка зацікавленість міської влади, у створенні такого центру?
Очевидно, що із створенням сприятливих умов подорожей для туристів, потік
людей, охочих відвідати настільки відоме туристичне місто, однозначно
збільшиться.
У даній роботі, я виділила
найважливіші, на мою думку, ризики, які можуть негативно вплинути на проект.
Вихідні дані я брала за оптимістичним сценарієм, коли виключені будь-які
варіанти ризиків, проте я спробувала зобразити всілякі проміжні сценарії, коли
на проект впливає один, два, і більше ризиків, і для кожного сценарію, з
урахуванням на які параметри він впливає, перерахувала показник ефективності
(NPV). Це дозволило побачити, як реагуватиме мій проект, потрапивши під вплив
одного або кілька ризиків, визначити які сценарії є найнебезпечнішими для мого
проекту, які параметри вхідних значень мають найбільший вплив на коефіцієнт
ефективності, визначити наскільки чутливий отриманий NPV до зміни кожного
вхідного параметру окремо. Також я розрахувала граничні значення моїх вхідних
параметрів, що дозволить контролювати їх зміни і при значних відхиленнях вжити
необхідні заходи.
У підсумку, мною були запропоновані
антикризові дії, і оцінено наскільки ефективно було б їх застосування, в
результаті розрахунків, було видно, що для однієї ситуації ризику запропоновані
антикризові дії не дадуть необхідний результат.
Вся робота полягала в теоретичному
описі можливих ризиків мого проекту і розрахункової частини показників
ефективності, підданих змінам. У практичному застосуванні, ситуація можливо
буде мати трохи інший результат, ніж я отримала, однак можна зробити висновок,
якщо постійно відслідковувати ситуацію, і перераховувати всі необхідні
показники, можна уникнути негативні наслідки багатьох ризиків, або принаймні,
зменшити їх негативний вплив на ефективність проекту.
Літературні джерела
І.О. Лапкіна, Т.А. Ковтун, Управління ризиками, Методичні вказівки
до розрахунково-графічного завдання на тему «Управління ризиками операційної
діяльності підприємства». Одеса-2014.