Управління оборотним капіталом підприємства
Міністерство освіти і науки
України
Київський університет
ринкових відносин
Кафедра фінансів та
банківської справи
Спеціальність 8.050.104
«Фінанси»
Спеціалізація «Фінансовий
менеджмент»
ВИПУСКНА МАГІСТЕРСЬКА РОБОТА
на тему:
Управління оборотним капіталом
підприємства
Магістрант студентка
Шкарупа Олена Василівна
Науковий керівник: к.е.н.,
доцент
Герасьов Віктор Васильович
Київ - 2013
ЗМІСТ
ВСТУП
РОЗДІЛ
1. ТЕОРЕТИЧНІ ЗАСАДИ УПРАВЛІННЯ ОБОРОТНИМИ АКТИВАМ
.1
Сутність оборотного капіталу та його значення в системі управління фінансами
підприємства
.2
Управління оборотними активами підприємств
.3
Особливості формування та використання оборотного капіталу торговельних
підприємств
Висновки
до розділу 1
РОЗДІЛ
2. АНАЛІЗ ЕФЕКТИВНОСТІ ФОРМУВАННЯ ОБОРОТНОГО КАПІТАЛУ ПІДПРИЄМСТВ
.1
Оцінка ринкових умов формування оборотного капіталу та
активів
торгівельних підприємств
.2
Аналіз стану оборотних активів торговельних підприємств та джерел їх
авансування на прикладі ТОВ « АД Шина»
.3
Аналіз ефективності авансування оборотного капіталу підприємств
Розділ 3. Напрями
удосконалення управління оборотним капіталом підприємств
Висновки до розділу 2
РОЗДІЛ
3. НАПРЯМИ УДОСКОНАЛЕННЯ УПРАВЛІННЯ ОБОРОТНИМ КАПІТАЛОМ ПІДПРИЄМСТВ
.1
Формування напрямів управління оборотним капіталом
3.2
Впровадження методів управління оборотним капіталом підприємства
.3
Напрями оптимізації оборотного капіталу торговельних підприємств
Висновки
до розділу 3
ВИСНОВКИ
СПИСОК
ВИКОРИСТАНОЇ ЛІТЕРАТУРИ
ДОДАТКИ
ВСТУП
Управління оборотним капіталом відносно нова сфера
функціонального управління підприємством. Воно являє собою одну з найбільш
комплексних управляючих систем, в якій інтегруються методологічні принципи
фінансового, операційного, інноваційного менеджменту, бухгалтерського обліку,
контролінгу, логістики та інших спеціальних областей знань.
Основи управління оборотним капіталом пов`язані зі
здійсненням операційної чи інвестиційної діяльності підприємства. Тому загальна
увага в системі менеджменту оборотного капіталу приділяється забезпеченню
ефективності формування операційним чи інвестиційним процесом. Разом з тим на
сучасному етапі все більшого розвитку отримують і відносно нові інтегровані
системи менеджменту оборотного капіталу тому, що управління оборотним капіталом
є складовою загальної економічної стратегії підприємства. Вона передбачає
формування оптимального обсягу та складу оборотних активів і джерел їх
авансування, що потребує аналізу і визначення принципових підходів до їх
оптимізації за видами, серед яких потрібно виділити: обґрунтування оптимальних
значень оцінних показників стану оборотного капіталу в залежності від чинної
політики його формування, управління дебіторською заборгованістю, управління
грошовими потоками, управління запасами, управління поточними фінансовими інвестиціями,
управління ризиками використання оборотних активів, також забезпечення
необхідної ліквідності і підвищення рентабельності, обґрунтування загального
обсягу оборотного капіталу і джерел його формування. Особливу увагу в вирішені
задач управління оборотними активами торгівельних підприємств треба поділяти
розв`язанню оптимізаційних задач шляхом побудови моделі формування оптимального
складу оборотних активів з урахуванням обмежень, які відображають ефективність
управління оборотними активами,моделі для оптимізації складу джерел авансування
оборотних активів з урахуванням обмежень, які характеризують фінансовий стан
підприємства.
Ефективне управління оборотними капіталом і активами вирішує
цілий комплекс проблем стратегічного розвитку підприємства і забезпечує високі
кінцеві результати всієї господарської його діяльності. З врахуванням цієї
високої ролі менеджмент оборотного капіталу на кожному підприємстві повинен
базуватися на широкому спектрі вже накопичених системних знань в цій області та
ефективному практичному використанні моделей, фінансових інструментів,
механізмів та методів.
Тому вибрана тема дипломного дослідження є актуальною та
практично значимою.
Основною метою дослідження є удосконалення управління
оборотним капіталом підприємства та складу джерел авансування оборотних активів
, а також розробка практичних рекомендацій по їх застосуванню в діяльності
конкретного підприємства.
Згідно із метою дослідження в процесі вивчення теми були
поставлені наступні завдання:
1. Дослідження сутності оборотного капіталу та його значення
в системі управління фінансами підприємства.
2. Вивчення системи управління оборотним капіталом
підприємства.
. Дослідження правового забезпечення та нормування як
методу управління оборотним капіталом підприємства.
. Оцінка ринкових умов формування оборотного капіталу
та активів підприємств - об’єкта дослідження ТОВ «АД Шина».
. Аналіз стану оборотних активів торговельних
підприємств та джерел їх авансування на прикладі ТОВ «АД Шина».
. Аналіз ефективності авансування оборотного капіталу
підприємств.
. Впровадження методів управління оборотним капіталом
підприємства.
Об’єктом дослідження є оборотні активи підприємства ТОВ «АД
Шина».
Предметом дослідження є сукупність теоретичних, методичних і
практичних проблем, пов’язаних з функціонуванням оборотного капіталу на
підприємстві і підвищенням ефективності управління ним.
Основними методами дослідження є економіко-статистичні
методи, економіко-математичні. Для розрахунків використано табличний процесор
Microsoft Excel 7,0 для Windows 98, що входить до програмного пакету Microsoft
Offise для ПЕОМ.
Інформаційною базою дипломного дослідження є статистичні дані
Державного комітету статистики України, різноманітні посібники, підручники,
словники та інша література щодо оцінки та методів управління оборотним
капіталом підприємства.
Структура роботи.
Робота складається зі вступу, трьох розділів (кожен з яких
складається з трьох підрозділів), висновків і списку використаної літератури.
У вступі висвітлені загальні риси управління оборотним капіталом
підприємства, мета і завдання дипломної роботи.
В першому розділі висвітлені теоретичні засади управління
оборотним капіталом підприємства.
У другому розділі проведено аналіз ефективності формування
оборотного капіталу підприємства.
В третьому розділі проведено розробку методик удосконалення
управління оборотним капіталом, вплив управлінням оборотними активами на
витрати підприємства, впровадження методів управління оборотним капіталом
підприємства, поточними фінансовими інвестиціями та моделювання механізмів
управління.
РОЗДІЛ 1. ТЕОРЕТИЧНІ ЗАСАДИ
УПРАВЛІННЯ ОБОРОТНИМ КАПІТАЛОМ
.1 Сутність оборотного капіталу та його значення в системі
управління фінансами підприємства
Капітал підприємства характеризує загальну вартість засобів у
грошовій, матеріальній і нематеріальній формах, які інвестуються у формування
його активів.
Капітал - одна з найбільш використовуваних економічних
категорій. Він є базою створення і розвитку підприємства й у процесі
функціонування забезпечує інтереси держави, власників і персоналу. Будь-яка
організація, що веде виробничу чи іншу комерційну діяльність повинна мати
визначений капітал, що представляє собою сукупність матеріальних цінностей і
коштів, фінансових вкладень і витрат на придбання прав і привілеїв, необхідних
для здійснення його господарської діяльності.
Під загальним поняттям «капітал підприємства» розуміють різні
його види, які характеризуються десятками термінів. Все це потребує відповідної
систематизації термінів, які використовуються. Така систематизація проведена за
найбільш важливими класифікаційними ознаками (Дод. А, табл. 1, табл. 2).
Таблиця
1.1
Види капіталу підприємства
|
Ознаки
|
Обґрунтування
ознаки
|
|
1. За належністю
підприємству
|
1. Власний капітал
характеризує загальну вартість засобів підприємства, які належать йому на
правах власності та використовуються ним для формування відповідної частини
його активів.
|
|
2. Позиковий
капітал характеризує залучення для фінансування розвитку підприємства на
основі повернення коштів або інших майнових цінностей.
|
|
2. За цілями
використання
|
2. Позиковий
капітал є тією його частиною, яка використовується у процесі інвестування в
грошові інструменти (короткострокові та довгострокові депозитні вклади в
комерційних банках), а також боргові фондові інструменти (облігації, депозитні
сертифікати, векселі тощо)
|
|
3. Спекулятивний
капітал характеризує ту частину, яка використовується у процесі здійснення
спекулятивних фінансових операцій
|
|
3. За формами
інвестування
|
1. Капітал у
фінансовій формі.
|
|
2. Капітал у
матеріальній формі.
|
|
3. Капітал у
нематеріальній формі.
|
|
4. За об’єктом
інвестування
|
1. Основний капітал
характеризує ту частину капіталу, яку використовує підприємство, тобто яка
інвестована в усі види його позаоборотних активів (але тільки в основні
засоби, як це часто трактується в літературі).
|
|
2. Оборотний
капітал характеризує ту його частину, яка інвестована в усі види його
оборотних активів
|
|
7. За
організаційно-правовими формами діяльності
|
1. Акціонерний
капітал - капітал підприємств, створених у формі акціонерних товариств.
|
|
2. Пайовий капітал
- капітал партнерських підприємств-товариств з обмеженою відповідальністю,
командитних товариств тощо.
|
|
3. Індивідуальний
капітал - капітал індивідуальних підприємств, тобто сімейних
|
Капітал будь-якого підприємства представлений двома
складовими: власними та позиковими коштами.
У сучасних умовах для багатьох вітчизняних підприємств
типовим наслідком кризових явищ їх економічного розвитку є гостра нестача
оборотного капіталу, яка супроводжується низьким рівнем його використання.
Оборотному капіталу належить особливе місце у структурі капіталу підприємства,
оскільки від якості управління ним залежить безперервність процесу виробництва
та реалізації продукції, ліквідність підприємства, його платоспроможність та
рентабельність. На сучасному етапі розвитку економіки України оборотний капітал
як економічна категорія потребує глибшого дослідження та удосконалення
організації управління ним на практиці.
Термін «оборотний капітал» походить від англійського поняття
«circulating capital». Для української економіки термін «оборотний капітал» є
відносно новим, більш звичним і застосованим є термін «оборотні активи»,
поточні активи», «оборотні кошти».
Деякі автори ідентифікують оборотний капітал з оборотними
коштами. Треба відмітити, що оборотний капітал ширше поняття оборотних коштів.
Оскільки, враховуючи вищевикладене, в сучасних умовах до складу оборотних
активів підприємства враховують і короткострокові фінансові інвестиції, то це
свідчить про неідентичність понять «оборотний капітал» та «оборотні кошти».
Оборотні активи і оборотний капітал є двома категоріями, які
характеризують одні й ті ж об’єкти: грошові кошти, короткострокові фінансові
інвестиції, запаси, дебіторську заборгованість, тому поняття «оборотний
капітал» та «оборотні активи» ототожнюються багатьма науковцями. Вважається, що
це ототожнення має обмеження . Оборотний капітал на відміну від оборотних
активів не споживається та витрачається, а інвестується з подальшим його
збільшенням. Як економічна категорія, оборотний капітал виражає відносини
купівлі-продажу грошових коштів, які на ринку виступають своєрідним товаром.
Придбання такого товару підприємцем означає появу фінансових ресурсів для
авансування оборотних активів, які на відміну від капіталу мають
натурально-речову форму і повністю споживаються в одному
торговельно-комерційному циклі. Неадекватність ототожнення оборотного капіталу
з оборотними активами викликана тим, що авансований в оборотні активи капітал
приймає їх натурально-речову форму і тільки по закінченню операційного циклу
використання оборотних активів повертається в тому ж обсязі і формі.
Дослідивши різні підходи науковців в економічній літературі
до визначення оборотного капіталу в роботі виділені три підходи до тлумачення
сутності оборотного капіталу.
Перший підхід визначає оборотний капітал як грошові кошти,
авансовані для формування оборотних виробничих фондів і фондів обігу. Ці
науковці визначають його грошову природу, функцію платіжного обслуговування
кругообігу. Зелгавілс І.В. визначає оборотний капітал як «грошові кошти й
мобільні активи, які перетворяться в грошові кошти впродовж одного виробничого
циклу, що забезпечує безперервність виробничого процесу виробництва й обороту
та отримання прибутку» [6, с 68]. До такої точки зору схиляються Парфаняк П.О. [8,
с. 47], Усатов І.А. [11, с. 96]. Гриньова В.М., Коюда В.О. надають таке
трактування: «оборотний капітал - це кошти, що обслуговують процес
господарської діяльності, які беруть участь одночасно і в процесі виробництва,
і в процесі реалізації продукції» [12, с. 62].
Друга група економістів визначають оборотний капітал як
мобільні активи, які використовуються і реалізуються підприємством протягом
року або операційного циклу. Володькіна М.В. дає таке трактування досліджуваній
економічній категорії: «оборотний капітал - це частина активів підприємства,
яка включає оборотні кошти та короткострокові фінансові інвестиції» [5, с. 39].
Але це визначення розглядає тільки склад оборотних активів, а не відображає
економічну суть оборотного капіталу і не розкриває повного його значення.
Ковальов В.В. вважає, що оборотний капітал належить до
мобільних активів підприємства, які є грошовими коштами або можуть бути
перетворені в них протягом року або одного виробничого циклу [7, с. 330]. До
аналогічної точки зору схиляється і Русак Н.А. [10, с. 107]. Це визначення
досить точно відображає суть оборотного капіталу, проте воно не розкриває
економічної природи даної категорії. Таке формулювання, є дуже невизначеним,
оскільки не відображає суті досліджуваної категорії.
Третя група економістів визначає оборотний капітал як
авансовану вартість. На відміну від розглянутих вище визначень, тут
підкреслюється, по-перше, рухомий відновлюваний характер вартості, яка лише
авансується й повертається після кожного кругообігу в грошовій формі. По-друге,
у характеристиці оборотного капіталу як авансованої вартості підкреслюється, що
створений додатковий продукт до оборотного капіталу не відноситься. За таким
підходом: оборотний капітал - фінансові ресурси, вкладені в об'єкти,
використання яких здійснюється фірмою або в рамках одного відтворювального
циклу, або в рамках відносно короткого періоду часу» [1, с 302]. Кулішов В.В.
зазначає, що «оборотний капітал (оборотні засоби) - частина продуктивного
капіталу, вартість якого в процесі споживання цілком переноситься на продукт і
повертається до підприємця в грошовій формі протягом кожного кругообігу
капіталу» [7, с. 83]. Поддєрьогін А.М. об`єднує терміни «оборотний капітал» і
«оборотні кошти». В його редакції «оборотний капітал (оборотні кошти) - це кошти,
авансовані в оборотні виробничі фонди й у фонди обігу для забезпечення
безперервності процесу виробництва, реалізації продукції та отримання прибутку»
[9, с. 83]. Ми вважаємо це визначення найбільш виправданим. Воно розкриває суть
та економічну природу оборотного капіталу. На думку авторів, бухгалтера,
використовуючи поняття «оборотний капітал» мають на увазі «чистий оборотний
капітал» (net working capital), який представляє різницю між оборотними
(поточними) активами і поточними зобов`язаннями. На відміну від бухгалтерів,
фінансові аналітики під оборотним капіталом розуміють оборотні активи (оборотні
кошти, поточні активи) тобто брутто-оборотний капітал (gross working capital),
який визначається як інвестиції підприємства в оборотні активи, такі як грошові
кошти, ринкові цінні папери, дебіторську заборгованість, товарно-матеріальні
запаси. Як бачимо, представлене визначення також відображає напрями
використання фінансових ресурсів підприємства, але, не розкриває основних рис
оборотних активів.
Арутюнов Ю.А. вважає, що «оборотний капітал - це інвестиції в
поточні активи, які називають також оборотними коштами. Особливістю оборотного
капіталу є те, що він не витрачається, не споживається, а авансується, що
припускає повернення коштів після кожного виробничого циклу або кругообігу, що
включає виробництво продукції, її реалізацію, одержання виручки» [2, с.137]. У
своєму визначенні автор точно характеризує економічну природу оборотного
капіталу, але як вже визначалося до складу оборотних активів не включаються
короткострокові фінансові інвестиції. Тому більш виправданим було б таке
визначення: оборотний капітал - інвестиції в оборотні активи.
Отже, оборотний капітал слід розглядати як авансовану
вартість в елементи оборотних виробничих фондів і фондів обігу для забезпечення
безперервного процесу виробництва та реалізації продукції з метою досягнення
достатнього рівня прибутковості підприємства. Цим наголошено, по-перше,
вартісну природу оборотного капіталу, по-друге, виділяється його речове
втілення-оборотні виробничі фонди і фонди обігу, по-третє, визначається мета
авансування-досягнення достатнього рівня прибутковості.
Окреслення економічної сутності категорії «оборотний капітал»
- це перший, але дуже важливий етап на шляху управління оборотним капіталом
підприємства в сучасних умовах господарювання.
Оборотний капітал або оборотні (поточні) активи це сукупність
майнових цінностей підприємства, що обслуговують поточний господарський процес
і цілком споживаних протягом одного операційного (виробничо-комерційного) циклу
[123]. Часто поняття оборотного капіталу розглядають як рішення по
короткостроковому фінансуванню, що узагальнюють за назвою управління оборотним
капіталом. Оборотний капітал складається з коштів і інших ліквідних активів, що
можуть бути конвертовані в грошові кошти протягом року або операційного циклу.
Склад оборотних активів відрізняється в залежності від області діяльності
підприємства (Рис. 1.1).
Оборотний капітал виробничого підприємства характеризується
обсягом, структурою авансування i показниками ефективності його використання.
Оптимальні обсяги, структура, лiквiднiсть та швидкість обігу оборотних активів
забезпечують максимальну ефективнiсть авансування в них капiталу. В практичнiй
діяльності показники ефективностi авансованого оборотного капiталу аналогiчнi
показникам ефективностi використання оборотних активiв.
Рисунок 1.1 Оборотні активи виробничого підприємства
Будучи основою фiнансового стану, авансований оборотний
капiтал стає важливим iнструментом економiчного механiзму функцiонування
пiдприємницьких структур, оскiльки виступає найбiльш мобiльною частиною
капiтального ресурсу. Як будь-який iнструмент економiчного механiзму
пiдприємства оборотний капiтал пiдлягає плануванню i контролю за рацiональним
його використанням. Авансований оборотний капiтал стає об’єктом економiчного
управлiння пiдприємством. Слiд зазначити й таке, що оборотний капiтал
формується на ринкових засадах, а тому є об’єктом ринкових вiдносин. Ефективне
виконання оборотним капіталом функцій iнструмента управлiння економiчним
механiзмом дiяльностi пiдприємств пов`язане з такими його властивостями:
по-перше, авансування капiталу має спiльну мету з
функцiонуванням економiчного механiзму, а саме, досягнення стратегiчних цiлей i
пiдвищення ринкової вартостi пiдприємства;
по-друге, авансований оборотний капiтал - це найбiльш активна
форма залучення капiталу в економiчний механiзм, хоча є й пасивна його частина
- страховий та резервний фонди, які пов’язані з запобіганням ризикiв;
по-третє, процес авансування оборотного капiталу
характеризується можливiстю його використання в альтернативних формах активiв,
що призводить до вiдхилення вiд основного призначеня;
по-четверте, оборотний капiтал, незалежно вiд етапу його
кругообороту, виступає об’єктом ринкових відносин, приймає участь у формуваннi
ринку iнвестицiй і пов’язаний з фiнансовим управлiнням пiдприємством;
по-п’яте, оборотний капiтал є носiєм фактора лiквiдностi,
iнакше кажучи «дезавансування» активів. Лiквiднiсть при цьому розглядається як
здатнiсть оборотних активiв бути реалiзованими при необхiдностi по своїй
реальнiй ринковiй цiнi [23, 16-17]. Це особливо важливо при настаннi
несприятиливих умов для господарювання;
накiнець, оборотний капiтал як інструмент управління є
показником оцiнки загального фiнансового стану пiдприємства і сам виступає
об’єктом економiчного управлiння ресурсами підприємницької структури.
Узагальнення властивостей оборотного капiталу дають пiдстави
стверджувати, що в системi функцiонування торговельних пiдприємств оборотний
капiтал вiдiграє важливу роль (рис. 1.2). Як показано на рис. 1.2, авансування
оборотного капiталу забезпечує не тiльки формування оборотних активiв, а й
виступає важливою умовою вирішення практично всiх стратегічних і тактичних
завдань діяльності підприємств. I як наслідок ефективного застосуваня
оборотного капіталу - розвиток пiдприємства, зростання його ринкової вартостi,
пiдвищення економiчної, соцiальної ефективностi.
Головною відмінністю структури оборотних коштів виробничих
підприємств від структури оборотних коштів торговельних компаній є відсутність
в останніх виробничих запасів, незавершеного виробництва і готової продукції.
Замість цих активів у торговельних компаній присутня група активів за назвою
«Товари» (рис. 1.3).
Склад i структура капiталу торговельних пiдприємств
визначається особливостями торговельної дiяльності, але сутнiсть i роль
капіталу не залежать вiд виду пiдприємництва.
Рисунок 1.2 Роль оборотного капiталу в економiчному механiзмi
функціонування підприємства
Рисунок 1.3 Оборотні активи торгового підприємства
Головною вiдмiннiстю структури всього капiталу в торгiвлi від
інших галузей економіки є домiнуюче положення оборотного капiталу. Це потребує
обґрунтування ефективних механізмів його формування та використання кожним
суб`єктом торговельної діяльності.
Оборотний капiтал торговельних пiдприємств як економiчна
категорiя характеризується широким дiапазоном економiчних вiдносин. До них
належать економічні вiдносини торговельних пiдприємств з: юридичними та
фiзичними особами стосовно формування первiсного капiталу, а при необхiдностi -
його поповнення; учасниками логiстичної системи щодо відшкодування витрат
обігу; постачальниками товарiв i послуг вiдносно розрахункiв за них i утворення
кредиторської i дебiторськоi заборгованостей; покупцями товарiв i торговельних
послуг, пов`язаних з оплатою покупок і наданням товарного кредиту; податковими
службами щодо сплати податкiв і виникнення кредиторської заборгованості;
системою законодавчого регулювання питань дотримання підприємницького
законодавства щодо формування та використання оборотного капіталу; окремими
підрозділами внутрішнього механiзму економiчного управлiння підприємством.
Для більш глибокого дослiдження ролi оборотного капiталу в
діяльності торговельних підприємств необхідно розглянути кожну стадію його
кругообігу. В узагальненому виглядi кругообіг капіталу в системi економiчного
управлiння торговельною дiяльнiстю пiдприємства можна подати схематично
формулою:
де ОКг - оборотний капiтал у грошовiй формi;
ОА - оборотнi активи, авансованi оборотним капiталом;
ЛП - логiстичнi потоковi процеси (торговельно-технологiчна
дiяльнiсть разом з інформаційними, платiжно-розрахунковими та сервісними
операцiями);
Тпот - вихiдний товарний потiк (реалiзацiя товарiв оптом або
в роздрiб);
Пт - послуги торговельного пiдприємства;
Г¢ - сума виручених грошей за реалiзованi товари й торговельнi
послуги.
Наведена формула iлюструє стадiї змiни форм оборотного
капiталу відповідно до етапів торговельної дiяльностi, якi, за Положенням
(стандартом) бухгалтерського облiку 3 «Звiт про фiнансовi результати»,
вiдносяться до основної операцiйноi дiяльностi торговельних пiдприємств [24, п.
4] і розпочинаються з закупiвлi товарiв i послуг. Взаємини (розрахунки) мiж
постачальником i покупцем товарiв можуть мати просту (пряму) форму, коли
розрахунки ведуться в момент купiвлi-продажу (Г -Т; Т - Г), або ускладнюються
(опосередковуються) допомiжними процесами, пов`язаними з вiдстрочкою платежу,
введенням авансових платежiв, одержанням кредитiв, застосуванням факторингу
тощо. Змiст першого етапу торговельної дiяльностi проявляється у взаємному
вiдчуженнi грошей i товарiв, а з точки зору кругообороту капiталу перша його
стадiя означає авансування грошових коштiв в оборотнi активи пiдприємств.
З купiвлi оборотних активiв розпочинаються логiстичнi
потоковi процеси: грошово-товарний потік і документальне його оформлення,
транспортування, зберiгання, сортування, передпродажна пiдготовка, фасування,
пакування товарiв та інші послуги. Цi процеси формують торговельнi послуги, якi
на останнiй стадiї товароруху реалiзуються разом з товарами оптовим покупцям
або безпосереднiм споживачам. Пiдприємство на цьому етапі виступає продавцем
товарiв i торговельних послуг. Розрахунки мiж ним i покупцями як і на першому
етапі, можуть мати просту (пряму) або ускладнену (опосередковану) форму.
Особливо слiд пiдкреслити, що на кiнцевому етапі торговельної
дiяльностi сума виручки у грошовiй формi (Г¢) перевищує обсяг
авансованого оборотного капiталу на суму торговельного доходу, який є виручкою
вiд реалiзацiї торговельних послуг, що вiдображається у звiтi про фiнансовi
результати по рядку 050 i називається валовим прибутком. Відтак, логiстичнi
потоки розпочинаються i закiнчуються грошовими потоками, якi мають зворотний до
товарних потокiв напрямок, конкретнiше, вхiдний товарний потiк (надходження
товарно-матерiальних цiнностей) супроводжується вихiдним грошовим потоком,
тобто оплатою товарно-матерiальних цiнностей i навпаки. Варто наголосити:
вхідний грошовий потiк (виручка вiд реалiзацii) повинен перевищувати вихiдний
(оплату товарно-матеріальних цінностей).
Отже, поглиблене вивчення сутностi авансування оборотного
капiталу показало, що кожнiй стадiї кругообороту вiдповiдає властива тiльки цiй
стадiї функція, що означає: кожна форма оборотного капiталу вiдiграє свою
особливу роль в економiчнiй дiяльностi пiдприємства. Загальним є тiльки те, що
всі вони виступають об’єктами економiчного управлiння пiдприємством в механiзмі
його функціонування.
Формування оборотного капiталу торговельних підприємств в
грошовiй формi охоплює всi сторони суспiльного вiдтворення, починаючи з
виробництва, включаючи систему кругообiгу доходiв населення, суб’єктiв
пiдприємництва, держави i закiнчуючи сферою споживання.
Сформувавшись як сума грошових коштiв, оборотний капiтал
виконує всi функцiї грошей i в цьому його роль в економiчному механiзмi
функцiонування пiдприємства. Наприклад, оборотний капiтал виконує функцiю мiри
вартостi кожного виду необхiдних для забезпечення пiдприємницької дiяльностi
оборотних активiв. I в цiй функцiї вiн використовується в бухгалтерському
облiку на протязi всього кругообороту авансованих активiв. Властивiсть
оборотного капiталу трансформуватися iз однiєї капiтальної форми в iншу робить
його засобом обертання. Особливо яскраво в оборотному капiталi проявляється
його функцiя платiжного засобу. Кожен цикл операцiйної і фiнансової дiяльностi
супроводжується платiжно-розрахунковими операцiями у вiдповiдному режимi.
У фінансових організацій, таких як банки, страхові компанії,
пенсійні фонди відсутні товарні активи. Товаром у даному випадку виступають
кошти [124]. Тому структура оборотних коштів, відображаючи специфіку роботи
фінансових організацій, містить кошти, цінні папери різної ліквідності і
кредити, і заборгованість клієнтів, як аналог дебіторської заборгованості
промислових і торговельних підприємств (рис. 1.4).
Дослiдження сутностi та ролi оборотного капiталу в будь-якій
пiдприємницькiй дiяльностi за умов ринкових вiдносин дозволяє зробити висновок,
що його слiд розглядати з двох бокiв: з теоретичного боку - як економiчну
категорiю, а з практичного - як показник оцінки фiнансового стану суб’єктiв
пiдприємництва та ресурс їхнього економiчного механiзму.
Рисунок 1.4 Оборотні активи фінансової організації на
прикладі комерційного банка
Як економiчна категорiя оборотний капiтал виражає ринкові
вiдносини щодо формування й авансування грошових коштiв у необхiднi для
пiдприємництва оборотнi активи та повернення його по закiнченню кожного обороту
в тiй же грошовiй формi. Виходячи з цього пiдходу, капiтал будь-якої
пiдприємницької структури за джерелами формування може бути внутрішнього
походження і залученим ззовні. Економiчнi вiдносини формування капiталу мають
великий вплив на ефективнiсть його використання. Тому виникає необхiднiсть
завчасних розрахункiв ефективностi рiзних джерел формування капiталу i,
зокрема, оборотного.
Зрозумiло, коли торговельне пiдприємство має достатній обсяг
оборотного капiталу в грошовiй, тобто в абсолютно лiквiднiй формi, то воно
спроможне вчасно авансувати всi свої логiстичнi потоковi процеси, інакше
кажучи, без затримки оплачувати закупiвлю товарно-матерiальних цiнностей, їх
транспортування, зберiгання, складування, пiдготовку до продажу; покривати iншi
логiстичнi витрати, включаючи й заробiтну плату працiвникам; формувати резервнi
та страховi фонди, пов’язанi з логiстичними потоками; забезпечувати сплату
податкiв та iнших обов’язкових платежiв, а також виплату дивiдендiв на акцiї,
доходу власникам капiталу, вiдсоткiв на облiгацiї тощо [123].
При нестачi у пiдприємства оборотного капiталу процеси
розрахункiв за купленi оборотнi активи порушуються i виникає борг перед
постачальниками, тобто кредиторська заборгованiсть (товарний кредит) як
вимушене джерело залучення коштiв ззовнi.
Але пiдприємства мають i своїх боржникiв (дебiторiв), борг
яких називається дебiторською заборгованiстю i означає вiдволiкання оборотного
капiталу вiд ефективного використання - забезпечення товароруху, починаючи з
закупiвлi i закiнчуючи реалiзацiєю товарiв. Вiдрив оборотного капiталу вiд
логiстичного процесу проявляється й на стадiї реалiзацiї товарiв в роздрiбнiй
торговельнiй мережi безпосереднiм споживачам, коли товари продаються в кредит.
Такий спосiб розрахункiв за проданi товари теж призводить до дебiторської
заборгованостi, що означає затримку кругообороту авансованого в них капiталу.
Таким чином, кредиторська та дебiторська заборгованостi як по
одинцi, так i разом означають збої у забезпченнi оборотним капіталом
логiстичних потокових процесiв.
Оскiльки оборотний капiтал на початку i в кiнцi свого
кругообороту має форму грошей, то йому властива й така функцiя грошей як
нагромадження та заощадження. Роль даної функцiї для пiдприємства полягає у
формуваннi страхових i резервних фондiв, якi iммобiлiзуються з товароруху i
використовуються для покриття непередбачуваних потреб та втрат вiд надзвичайних
подiй. На стадiї нагромаджень i заощаджень оборотний капiтал має властивiсть
активів з абсолютною лiквiдностю, тобто вiн може бути використаним як засiб
платежу у будь-який момент.
Отже, функцiї оборотного капiталу проявляються в
обслуговуваннi кругообороту оборотних активiв, який в торгiвлi виступає
логiстичним потоковим процесом.
Наявнiсть оборотного капiталу є об’єктивною передумовою як
заснування пiдприємницької дiяльностi, пов`язаною зі стадією кругообороту
капіталу, так i її продовження з використанням наступних етапів кругообороту.
Капiтал на вiдмiну вiд активiв, в які вiн авансований, не
збiльшується i не зменшується, крiм випадкiв псування або знищення активів
(зрозумiло: псування, пошкодження або знищення майна призводить до втрат
капiталу в нього авансованого), а тiльки опосередковує економiчний їх кругообіг.
Оборотний капiтал, що авансується в торговельну дiяльнiсть у грошовiй формi,
виходить з неї у тiй же грошовiй формi i в тому ж обсязi, аби знову
забезпечувати кругообігу вiдповiдних активiв.
Економiчним результатом авансування оборотного капiталу в
активи підприємства виступає одержаний прибуток (надлишок над авансованим
капiталом), який означає, що авансованi кошти вiдбулися як капiтал (стали
капiталом), бо забезпечили отримання прибутку, тобто досягли мети авансування
капiталу в оборотні активи підприємств.
Планування оборотного капіталу ґрунтується на визначенні
потреб в оборотних активах для досягнення поставлених цілей і задач на плановий
період, тобто воно є похідним від планових потреб в оборотних активах.
Дослiдження сутностi та ролi оборотного капiталу в системi
економiчного управлiння дiяльнiстю торговельних пiдприємств дозволяє зробити
висновок, що оборотний капiтал виступає як економiчна категорiя, як об’єкт
економiчного управлiння та iнструмент економiчного механiзму функцiонування пiдприємств.
Головне призначення оборотного капiталу полягає в авансуванні оборотних
активiв.
Оборотнi активи торговельних пiдприємств використовуються
переважно в забезпеченнi логiстичих потокових процесiв, тобто в
торговельно-технологiчних процесах, які відносяться до основної операційної
діяльності в торгівлі.
Завершується кругооборот оборотного капiталу в торгiвлi
виручкою вiд реалiзацiї товарiв, яка перевищує обсяг авансованого обсягу
капiталу на суму реалiзованого торговельного доходу, тобто на суму виручки вiд
реалiзацiї торговельних послуг, якi супроводжують товарний потік [127].
Торговельний дохід покликаний покривати витрати обiгу i
забезпечувати отримання прибутку або соцiального ефекту. Якщо пiдприємство
отримує прибуток або iнший зиск, то авансування капiталу досягло своєї мети.
На кожнiй стадiї кругообороту оборотний капiтал виконує
вiдповiднi функцiї. Загалом же достатність, структура та швидкiсть обертання
оборотного капiталу забезпечують фiнансове становище пiдприємства.
Оборотний капiтал є важливим iнструментом економiчного
механiзму функціонування пiдприємств i незамінним засобом пiдвищення
ефективностi торговельної діяльності.
Треба відмітити, що операційний цикл - це тривалість часу,
необхідного для придбання запасів, їхньої переробки і продажу, і одержання за
це грошей. Цикл має два окремих періоду. У перший входить час, необхідний для
придбання, переробки і продажу запасів [123]. Він називається періодом обороту
запасів (Рис. 1.5).
Другий період це час, протягом якого оплачуються рахунки до одержання,
і називається періодом обороту або обертання дебіторської заборгованості.
Операційний цикл показує, яким чином продукт рухається по рахунках поточних
активів. З кожним новим періодом актив стає більш Грошовий відтік для
підприємства наступає не відразу, а через якийсь час, що називається періодом
оплати кредиторської заборгованості. Він складається з періоду оплати поточної
заборгованості перед постачальниками (товарна кредиторська заборгованість),
періоду оплати поточної заборгованості перед бюджетом і персоналом, а також
періоду обороту авансових платежів покупців (середній термін передоплати
продукції і/або товарів покупцями).
Рисунок 1.5 Грошовий потік у часі та короткострокова
операційна діяльність виробничого підприємства
Такий розрив між притоками і відтоками коштів, що є не
профінансований іншими учасниками операційного циклу, викликає необхідність або
позики, або збереження ліквідного запасу у формі коштів або цінних паперів, що
легко реалізуються. Тривалість грошового циклу і, відповідно, необхідна сума
коштів, може регулюватися зміною періодів обороту запасів, оплати дебіторської
і кредиторської заборгованості. Між грошовим циклом і прибутковістю власного
капіталу ROE існує безпосередній зв'язок. Одним з факторів, що визначає ROE, є
оборотність всіх активів. Ніж коротше грошовий цикл, тим менше підприємство
фінансує запаси і дебіторську заборгованість.
Треба відмітити, що Арутюнов Ю.А. вважає, що «оборотний
капітал - це інвестиції в поточні активи, які називають також оборотними
коштами. Особливістю оборотного капіталу є те, що він не витрачається, не
споживається, а авансується, що припускає повернення коштів після кожного
виробничого циклу або кругообігу, що включає виробництво продукції, її реалізацію,
одержання виручки» [23, с. 137]. У своєму визначенні автор точно характеризує
економічну природу оборотного капіталу, але як вже визначалося до складу
оборотних коштів не включаються короткострокові фінансові інвестиції. Тому
більш виправданим було б таке визначення: оборотний капітал - інвестиції в
оборотні активи.
Таким чином виявлено, що в економічній літературі існують
різні підходи до визначення суті оборотного капіталу. Ці підходи узагальнено у
таблиці 1.2.
Таблиця
1.2
Підходи до визначення суті оборотного капіталу
|
Підхід
|
Автор
|
Визначення
|
|
1
|
2
|
3
|
|
I. Грошові ресурси,
вкладені до оборотних виробничих фондів і фондів обігу для забезпечення
безперервного виробництва і реалізації виробленої продукції
|
Роштейна Л.О.
|
Оборотні кошти - це
грошові кошти, що знаходяться в розпорядженні об’єднання для створення
запасів сировини, матеріалів і інших матеріальних цінностей [1, с. 61].
|
|
Зві Боді, Роберт
Мертон
|
Оборотні активи -
сума грошових коштів компанії та всі інші статті балансу, які протягом року
передбачається перетворити в гроші [5, с. 114].
|
|
II. Активи, які на
протязі одного виробничого циклу або одного календарного року можуть бути
перетворені в гроші
|
Крейніна М.Н.
|
Оборотні активи -
це мобільна частина майна підприємства, тобто вся вартість тих оборотних активів,
які при нормальних умовах роботи протягом року (або навіть більш коротшого
періоду в межах року) перетворюються в грошові кошти в результаті отримання
виручки від реалізації, обігу цінних паперів і т.п. [6, с. 35]
|
|
Білик М.Д
|
Оборотні активи -
група мобільних активів із періодом використання до одного року, що
безпосередньо обслуговують операційну діяльність підприємства і внаслідок
високого рівня їх ліквідності мають забезпечувати його платоспроможність за
поточними фінансовими зобов’язаннями[8, с.161].
|
|
Володькіна М.В.
|
Оборотний капітал -
це частина активів підприємства, яка включає оборотні кошти та
короткострокові фінансові інвестиції [9].
|
|
Ковальов В.В.,
Русак Н.А.
|
Оборотний капітал
належить до мобільних активів підприємства, які є грошовими коштами або
можуть бути перетворені в них протягом року або одного виробничого циклу [10;
11].
|
|
Холт Р.Н.
|
Оборотний капітал -
активи, які можуть бути переведені в готівку протягом одного року» [12].
|
|
Бланк І.О.
|
Оборотні (поточні)
активи - сукупність майнових цінностей підприємства, що обслуговують поточний
господарський процес і повністю споживаються протягом одного операційного
циклу [13, с.62]
|
|
III. Авансована
вартість у оборотні виробничі фонди і фонди обігу.
|
Ільєнкова С.Д.
|
Оборотний капітал -
фінансові ресурси, вкладені в об'єкти, використання яких здійснюється фірмою
або в рамках одного відтворювального циклу, або в рамках відносно короткого
періоду часу [16].
|
|
Поддєрьогін А.М.
|
Оборотний капітал
(оборотні кошти) - це кошти, авансовані в оборотні виробничі фонди й у фонди
обігу для забезпечення безперервності процесу виробництва, реалізації
продукції та отримання прибутку [17].
|
|
Ермасова Н.Б.
|
Оборотні кошти
(поточні активи) - засоби інвестовані підприємством в поточні операції в час
кожного операційного циклу [21, с.78].
|
|
Смагін В.Н
|
Оборотні кошти -
кошти, які інвестуються підприємством у свої поточні операції [22, с.71].
|
|
Арутюнов Ю.А
|
Оборотний капітал -
це інвестиції в поточні активи, які називають також оборотними коштами.
Особливістю оборотного капіталу є те, що він не витрачається, не
споживається, а авансується, що припускає повернення коштів після кожного
виробничого циклу або кругообігу, що включає виробництво продукції, її
реалізацію, одержання виручки [23, с.137].
|
На підставі проведеного аналізу та узагальнення наукових
підходів до визначення сутності оборотного капіталу його можна визначити таким
чином. Оборотний капітал - це авансована вартість в елементи оборотних
виробничих фондів і фондів обігу на рік чи операційний цикл для забезпечення
безперервного процесу виробництва та реалізації продукції з метою досягнення
достатнього рівня прибутковості підприємства.
1.2 Управління оборотними активами підприємств
Для здійснення будь-якої підприємницької діяльності
підприємство повинно, мати певний обсяг майна, яке може належати йому на правах
власності або користування. Усе майно кожної підприємницької структури
відображається в бухгалтерському балансі, незалежно від схеми бухгалтерського
обліку, і називається її активами.
За визначенням Положення (стандарту) бухгалтерського обліку 2
«Баланс» (далі П(с)БО 2), активи - це «ресурси, контрольовані підприємством в
результаті минулих подій, використання яких, як очікується, приведе до
надходження економічних вигод у майбутньому [25, п.4]. Активи визначаються
стандартом як економічні ресурси у формі сукупних майнових цінностей, які
призначені для використання у господарській діяльності з метою одержання
економічного зиску (вигод) найчастіше у вигляді прибутку.
За характером участі в підприємницькій діяльності та
швидкістю обороту активи підприємств поділяються на оборотні та необоротні. У
вищеназваному пункті Положення оборотні активи визначаються як «грошові кошти
та їх еквіваленти, що не обмежені у використанні, а також інші активи,
призначені для реалізації чи споживання протягом операційного циклу чи протягом
дванадцяти місяців з дати балансу».
Розкриваючи економічну сутність товарно-матеріальних
оборотних активів підприємств торгівлі, слід зазначити що вони виступають
сукупністю речових цінностей підприємства, які використовуються у операційній
діяльності протягом одного комерційного циклу, виходячи з нього в грошовій
формі. У торгівлі комерційна діяльність є основною операційною діяльністю. Вона
забезпечує одержання доходу від реалізації товарів, робіт, послуг, курсових
різниць, від реалізації інших оборотних активів (окрім фінансових інвестицій).
На відміну від оборотних необоротні активи являють собою
сукупність майнових цінностей підприємства, які багаторазово беруть участь у
процесі господарської діяльності і переносять на витрати підприємства свою
вартість відповідно до спрацювання.
В основу такого поділу активів покладено часовий критерій їх
оборотності - термін, протягом якого активи можуть бути реалізовані або
використані у господарській діяльності підприємства. Терміном оборотності
можуть виступати: календарний рік (дванадцять місяців) або операційний цикл -
проміжок часу між придбанням товарно-матеріальних цінностей для здійснення
діяльності і отриманням коштів від реалізації виробленої з них продукції або
закуплених для продажу товарів (послуг).
Стосовно Положень (стандартів) бухгалтерського обліку
(П(с)БО) підприємства самостійно здійснюють поділ активів на оборотні і
необоротні, виходячи з часового критерію оборотності.
За визначенням провідних вітчизняних учених, «Особливістю
кругообороту обігових активів торговельних підприємств є відсутність виробничої
стадії, тобто сукупності операцій, що пов’язані з придбанням та використанням
матеріально-технічних ресурсів, виготовленням продукції підприємства» [19,
526]. Ця особливість визначає процес формування структури майна торговельних
підприємств загалом і оборотних активів зокрема. Головною особливістю активів
торговельних підприємств є домінування оборотних активів. Наприклад, у
загальній вартості активів відібраної для дослідження сукупності торговельних
підприємств частка оборотних активів коливається від 65 до 98%. Такі коливання,
як показав аналіз, залежать найперше від того, чи має підприємство у своїй
власності необоротні активи, зокрема основні фонди, чи ні. У тих підприємств,
які мають власні основні фонди, частка оборотних активів менша ніж у
підприємств, які орендують такі фонди.
Треба відмітити, що домінуюче положення оборотних активів у
майнових ресурсах торговельних підприємств обумовлене специфікою їх діяльності,
пов’язаною з закупівлею товарів та формуванням запасів з метою забезпечення
безперервної їх реалізації.
Збільшення питомої ваги оборотних активів, авансованих чистим
оборотним капіталом, у структурі майна торговельного підприємства свідчить про
зростання можливостей фінансового забезпечення основної операційної діяльності,
яка пов’язана з логістичними потоковими процесами.
Тому головне місце серед функцій формування оборотних активів
торговельних підприємств посідає обслуговування логістичних потоків, починаючи
з закупівлі товарів у виробників і постачальників, включаючи їх
транспортування, складування, зберігання, підготовку до продажу і закінчуючи
реалізацією товарів в оптовій торгівлі для подальшого перепродажу, а в роздрібній
- безпосереднім споживачам та після продажним сервісом. Стає зрозумілим, що
об’єктом логістики в торгівлі є товаропотоки, які супроводжуються
інформаційними, опосередковуються грошовими і забезпечуються сервісними
потоками [26, 27, 125,147; 28, 46-47].
Управління та узгодження організаційних, технологічних,
економічних, екологічних та інших процесів товароруху потребує фінансового
забезпечення, яке полягає в авансуванні найперше оборотного капіталу у
відповідні активи. Оборотний капітал при цьому опосередковує товарорух і
авансує логістичні витрати. Активи, пов’язані з товарорухом, з упевненістю
можна називати логістичними активами, тобто активами основної операційної
діяльності в торгівлі. Інша операційна та фінансова діяльність також
супроводжується відповідними активами. За цією ознакою можна виділити три види
активів: логістичні, інші операційні та фінансові (рис. 1.6)
Через канали торговельної мережі проходять великі потоки
товарно-матеріальних цінностей, опосередкованих оборотним капіталом, які підтверджені
ризикам, а саме небезпека втрат як матеріальних цінностей і авансованого в них
оборотного капіталу. Ризики втрат оборотного капіталу в процесі його
авансування в товари більше пов’язані з інфляцією, ніж з матеріальними
втратами.
Отже, крім інформаційних і грошових процесів, що
супроводжують товарорух, до сфери логістичних витрат слід віднести й витрати,
пов’язані з кадровим забезпеченням, інноваціями та сервісом. Обґрунтування
стратегії управління грошовими потоками охоплює й управління формуванням і
використанням оборотного капіталу на основі потреб в оборотних активах.
Найскладнішим процесом економічного управління торговельним
підприємством є розробка плану ефективного товароруху, який повинен передбачати
постачання потрібної кількості товарів, в потрібному асортименті за вигідними
цінами, в потрібний час і в потрібне місце з мінімальними витратами.
Останнім часом до потоків, які обслуговують товарорух, крім
інформаційних і фінансових, відносять ще й сервісний потік [28, 46-47].
Логістичні потокові процеси обумовлюють особливості операційного циклу
торговельного підприємства, пов'язані з авансуванням оборотного капіталу у
відповідні активи.
Вивчення елементів оборотних активів в системі логістичних
потоків показало, що у їхньому складі переважають матеріальні активи у формі
товарних запасів і запасів інших матеріальних цінностей, зокрема, товарні
запаси займають до 70% обсягу цих активів.
Виходячи з визначень запасів, наведених у П(с)БО 9 «Запаси»,
під запасами в торгівлі слід розуміти активи, які утримуються для подальшого
продажу за умов торговельної діяльності [ 29, п. 4].
Основною метою формування запасів в торгівлі виступає
забезпечення широкого асортименту та безперервності реалізації товарів
покупцям, повне задоволення їх попиту і отримання прибутку підприємством.
Рисунок 1.6 Класифікація оборотних активів підприємств
Врахування мети формування товарних запасів є життєво
необхідним для підприємства, оскільки забезпечує основу для його нормальної
діяльності в плановому періоді. Досягнення такої мети пов’язане з оборотним
капіталом, необхідним для авансування товарних запасів.
Особливістю структури оборотних активів торговельних
підприємств є те, що до їх складу включаються товарні запаси не тільки за
купівельною вартістю, а й з урахуванням витрат обігу, які відносяться на
товарні запаси, тобто на залишок нереалізованих товарів. Ці витрати
відображаються в активах торговельного підприємства в статті балансу
«Незавершене виробництво». Їх розмір визначається часткою логістичних витрат
обігу, пов’язаних з транспортуванням, зберіганням, обробкою, підсортуванням та
передпродажною підготовкою нереалізованих товарів і теж потребує використання
оборотного капіталу для відшкодування.
Період перебування оборотного капіталу у формі товарних
запасів призупиняє його кругооборот і викликає додаткову потребу в капіталі для
авансування товарів, які знаходяться в дорозі під час транспортування, на
складах під час технологічно вимушеного зберігання, в процесі підготовки до
продажу і власне продажу. Управління товарними запасами передбачає оптимізацію
часу на виконання логістичних операцій товароруху.
Крім витрат, пов’язаних з накопиченням і зберіганням товарних
запасів, до оборотних активів відносяться також інші операційні активи, наприклад,
відсотки за кредити, використані на придбання цих товарів.
Велика частка в оборотних активах належить дебіторській
заборгованості, яка згідно П(с)БО 10 «Дебіторська заборгованість» являє собою
суму заборгованості дебіторів підприємству на певну дату. Дебіторами є юридичні
та фізичні особи, які в результаті минулих подій заборгували підприємству певні
суми грошових коштів, їх еквівалентів або інших активів [30, п.4]. До того ж
дебіторська заборгованість поділяється на довгострокову, яка виникає при збоях
в операційному циклі і погашається в строки, що перевищують дванадцять місяців
з дати балансу, та поточну, яка виникає в ході нормального операційного циклу і
погашається протягом дванадцяти місяців з дати балансу.
Дебіторська заборгованість як елемент оборотних активів
підприємницьких структур в торгівлі виникає в процесі ринкової трансформації
оборотного капіталу в оборотні активи і залежить від форми розрахунків при
формуванні активів через ринковий механізм купівлі-продажу.
Оскільки трансформування оборотного капіталу у відповідні
товарно-матеріальні активи здійснюється через купівлю-продаж з різними
варіантами розрахунків, то виникають елементи оборотних активів, похідні від
ринкових відносин, зокрема від варіанту (способу) розрахунків. Можливі, як
відомо, три варіанти розрахунків, які визначають форми авансування оборотного
капіталу в товарно-матеріальні активи.
Перший варіант є найбільш оптимальним. При ньому оплата
оборотних активів проводиться за фактом їх поставки, а це означає, що оборотний
капітал відразу вкладається в свої еквіваленти в формі натурально-речових
оборотних активів і ніяких боргів не виникає, а вкладення капіталу при такому
варіанті розрахунків носить форму авансування накопичення товарних запасів.
Другий варіант розрахунків передбачає завчасну (явно
авансову) оплату товарно-матеріальних оборотних активів. За таких умов виникає
окремий елемент оборотних активів - дебіторська заборгованість постачальників,
яка означає, що торговельні підприємства, авансувавши капітал, отримають
належні їм активи тільки через певний проміжок часу, обумовлений договором.
Порушення строків договору спричиняє прострочену дебіторську заборгованість і
підвищує ризик недопостачання вже оплачених активів.
Третій варіант розрахунків пов’язаний з реалізацією оборотних
активів (товарів) покупцям у кредит. Це зумовлює появу дебіторської
заборгованості покупців, яка означає: торговельні підприємства передали
покупцям оборотні активи, але належну платню (гроші) отримають через
обумовлений договором період часу. За таких умов оборотний капітал підприємства
авансується навіть в реалізовані покупцям товари.
Слід особливо підкреслити: другий та третій варіанти
розрахунків таять у собі підстави для сумнівів не тільки щодо вчасності сплати
боргів, а й щодо їх погашення взагалі. Коротше кажучи, за таких умов існує
загроза (ризик) втрат від несплати або невчасної сплати боргів. Тому
підприємства вимушені створювати ще й такий елемент дебіторської
заборгованості, як «Резерв сумнівних боргів», який пов’язаний з ризиками невиконання
платіжних зобов’язань. Це спричиняє необхідність визначення ймовірності ризиків
невиконання взаємних домовленостей щодо розрахунків при купівлі-продажу
матеріально-речових оборотних активів.
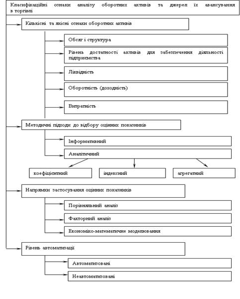
В роботі детальне вивчення закономірностей формування елементів
та структури оборотних активів торговельних підприємств, проведене на основі
нових Положень (стандартів) бухгалтерського обліку, дозволяє виділити такі
головні ознаки класифікації цих активів як об’єктів аналізу та економічного
управління:
- види оборотних активів за формами функціонування;
- структура оборотних активів відповідно до стадій
життєвого циклу підприємств;
показники ефективності використання оборотних
активів;
джерела авансування оборотних активів;
рівень ризикованості застосування оборотних активів;
відповідність оборотних активів стратегічним
завданням управління логістичними потоками і діяльністю підприємств загалом.
Економічне управління оборотними активами і методи його
здійснення найперше залежать від тієї форми, в якій виступають окремі елементи
оборотних активів як об`єкти управління. За цією ознакою можна виділити чотири
головні об’єкти економічного управління оборотними активами торговельних
підприємств - це товарно-матеріальні запаси, дебіторська заборгованість,
поточні фінансові інвестиції та грошові кошти і витрати майбутніх періодів та
інші оборотні активи (рис. 1.7).
Особливої уваги в процесі економічного управління оборотними
активами підприємств заслуговують показники ефективності їх використання [31,
96].
Загалом же використання оборотних активів характеризується як
позитивними, так і негативними показниками. Серед позитивних слід виділяти
високий рівень ліквідності, ефективність структурної трансформації, легкість
впливу на швидкість обертання, велику пристосованість до змін кон’юнктури
ринку, інфляційну захищеність, високу прибутковість та ін. Але не можна
ігнорувати й негативними показниками використання оборотних активів, серед яких
найперше слід виділяти те, що товари під час транспортування, зберігання,
підготовки до продажу і самого продажу супроводжують ризики не тільки природних
втрат, а й втрат вартості під впливом інфляції та конкурентної боротьби.
Найбільш вагомими показниками відповідності планових
оборотних активів стратегічним завданням розвитку підприємницьких структур в
торгівлі є їх рентабельність та ліквідність, в яких відображаються всі інші
показники. Безнадійна дебіторська заборгованість і витрати майбутніх періодів
потребують особливої уваги при управлінні оборотними активами.
Рисунок 1.7 Види оборотних активів
торговельних підприємств за формами функціонування
Підсумовуючи сказане, варто наголосити: об`єднання елементів
оборотних активів у однорідні групи для економічного управління має практичну
спрямованість і може бути використаним при розробці стратегії і тактики
господарювання торговельних підприємств.
Вивчення оборотних активів як об’єктів економічного
управління торговельною діяльністю на основі розкриття їх сутності і оцінки
ролі в економіці підприємницьких структур дозволило:
охарактеризувати склад оборотних активів в розрізі окремих
видів за формами функціонування, встановленими новими Положеннями (стандартами)
бухгалтерського обліку. За цією ознакою виділено чотири види оборотних активів,
а саме: товарно-матеріальні запаси, дебіторська заборгованість, поточні
фінансові інвестиції та грошові кошти, а також витрати майбутніх періодів та
інші оборотні активи;
виявити особливості структури оборотних активів залежно від
життєвого циклу підприємств. Встановлено: на стадії створення нового
підприємства структура оборотних активів характеризується мінімальним
накопиченням товарних запасів та відсутністю дебіторської заборгованості, а на
стадії старіння - нераціональними обсягами товарних запасів та дебіторської
заборгованості;
виділити найбільш прийнятні показники оцінки оборотних
активів, застосування яких слід вважати обов’язковим при економічному
управлінні - це рентабельність та ліквідність;
обґрунтувати ознаки відповідності оборотних активів
стратегічним завданням управління логістичними потоками торговельних
підприємств.
Отже, ефективне управління оборотними активами виступає
основою розробки стратегії формування оборотного капіталу і обґрунтування
принципових підходів до застосування політики його використання при авансуванні
оборотних активів.
.3 Особливості формування та використання оборотного капіталу
торговельних підприємств
Розробка стратегії управління оборотним капіталом
торговельних підприємств потребує врахування особливостей його формування та
використання на кожній стадії кругообігу в умовах ринкових перетворень.
В цілісному механізмі стратегії управління торговельними
підприємствами управління оборотним капіталом є визначальною ланкою, бо
оборотний капітал в торгівлі займає домінуючу (70%) частку в загальному обсязі
капіталу, забезпечуючи логістичні потокові процеси. Йдеться, по суті, про те,
що оборотний капітал, виступаючи засобом авансування оборотних активів
підприємства, стає об’єктом економічного управління як в процесі його
формування, так і використання, на кожній стадії кругообігу, охоплюючи увесь
торговельний процес.
Діяльність торговельних підприємств в ринкових умовах без
надійних прогнозних оцінок рівня забезпеченості оборотним капіталом не може
бути ефективною. Цілісність управління, починаючи з формування і закінчуючи
ефективністю використання оборотного капіталу, має стати визначальною ланкою в
загальному механізмі економічного управління і розробки нової моделі фінансової
політики підприємства.
У контексті цих проблем формування капіталу, необхідного для
придбання оборотних активів, які забезпечують діяльність підприємницьких
структур, виступає першою стадією його управління.
Використання капіталу на придбання оборотних активів слід
називати авансуванням, бо в загальному значенні термін «авансування» вживається
як видача коштів в рахунок майбутніх витрат, по-іншому, - надання авансу [33,
8]. Поряд з авансуванням вживаються поняття «фінансування» та «інвестування».
Фінансування підприємств найчастіше вживається у значенні вибору напрямків,
форм і методів використання фінансових ресурсів з метою забезпечення їх
економічного розвитку [34, 360; 35, 473; 36, 508]. Діапазон визначень поняття
«інвестиції» в значенні інвестування досить широкий. Найбільш повним і
ґрунтовним, на наш погляд, є визначення інвестицій як вкладення капіталу в
грошовій, матеріальній та нематеріальній формах в об’єкти підприємницької
діяльності з метою отримання прибутку або досягнення соціального ефекту [33,
117; 35, 398;].
Головним орієнтиром при визначенні та застосуванні поняття
«інвестиції» є Закон України «Про інвестиційну діяльність», за яким до
інвестицій відносяться усі види цінностей, що вкладаються в об’єкти
підприємницької діяльності з метою отримання прибутку або досягнення
соціального ефекту [41, ст. 646]. Тому інвестиції підприємства розглядаються
вітчизняними економістами як вкладення капіталу в усіх його формах в різні
об’єкти (інструменти) господарської діяльності з метою отримання поточного
доходу (прибутку), досягнення економічного, а також забезпечення зростання
рівня ринкової вартості підприємства [23, 17-18].
Утворений підприємством капітал відображається в
бухгалтерському балансі у відповідних розділах «пасиву», де вказуються джерела
його формування, а в «активі» балансу відображаються напрямки його вкладення,
тобто вказуються види активів, в які авансовано оборотний капітал.
На основі законодавства щодо підприємницької діяльності у
сфері формування капіталу можна обґрунтувати головні принципи утворення та
використання оборотного капіталу торговельних підприємств (рис. 1.8)
Рисунок 1.8 Основні принципи формування оборотного капіталу
підприємств
Ефективне формування капіталу неможливе без мінімізації
витрат на його залучення з різних джерел, без співставлення плати за позиковий
капітал з упущеною вигодою при використанні власного, без максимізації зиску
при розподілі (використанні) оборотного капіталу в процесі його авансування.
Важливим принципом формування й використання оборотного капіталу є принцип
синхронізації його надходження, трансформування в оборотні активи та повернення
в свою початкову (грошову) форму. Така синхронізація потребує складання
спеціального графіку з визначенням чітких термінів надходження оборотного
капіталу у необхідних обсягах для придбання потрібних для торговельної
діяльності оборотних активів.
Підвищення ефективності залучення та використання оборотного
капіталу в торгівлі характеризується підвищенням рівня його рентабельності та
ростом питомої ваги прибутку, одержаного від основної операційної діяльності, в
загальній сумі прибутку, одержаного від усіх видів діяльності [42, 180-184].
Оскільки потреба в оборотних активах є мотивом формування
оборотного капіталу, то саме ці фактори диктують вибір головних джерел
задоволення потреби в оборотному капіталі і враховуються при розробці політики
його формування на поточний та перспективний періоди. Особливо важливим
орієнтиром при цьому виступає, окрім життєвого циклу підприємства, життєвий
цикл кожного товару, що реалізується.
Складнiсть, багатоаспектнiсть та унiкальна здатнiсть
оборотного капiталу бути авансованим у різні види активів обумовили можливiсть
його класифiкацiї за ознаками єдностi спiвiснування в процесi управління
торговельною дiяльністю (табл. 1.2).
Наведена класифiкацiя вiдображає функцiональнi стадiї
кругообороту капiталу та його вiдповiднi форми, рiвень охоплення бухгалтерським
облiком, джерела формування, особливостi й напрямки використання. В окремi
ознаки класифiкацiї оборотного капіталу слід видiляти оборотність, рентабельність,
рівень ризикованості авансування, особливості планування, принципи формування й
використання в торгiвлi.
Підвищення ефективності використання оборотного капіталу
обумовлює необхідну етапність обґрунтування джерел його формування на
підприємствах (рис. 1.8). Наведені на рисунку етапи дають загальне уявлення про
формування оборотного капіталу будь-яких підприємницьких структур.
Особливості торговельної діяльності в ринкових умовах
визначають специфіку вибору джерел формування оборотного капіталу в торгівлі.
Загальні джерела формування капіталу підприємств визначені Законом України «Про
підприємства в Україні» [1, п.4, ст.10].
Таблиця
1.2
Класифiкацiя оборотного капiталу торговельних пiдприємств
|
Класифiкацiйнi
ознаки капiталу
|
Види і форми
оборотного капiталу в процесі використання
|
|
1
|
2
|
|
Функцiональнi
стадiї кругообороту
|
Грошова форма; 2.
Товарно-речова форма
|
|
Склад елементiв
формування
|
Валовий Чистий
|
|
Вид дiяльностi
|
Операцiйний
Фiнансовий Капiтал для надзвичайних подiй
|
|
Джерела формування
|
Власний Тимчасово
привласнений Позиковий
|
|
Особливостi
використання
|
Безперервного
використання Епiзодичного використання
|
|
Об’єкти авансування
|
Товарнi запаси
Запаси матерiалiв, малоцінних та швидкозношуваних предметів Дебiторська
заборгованiсть Грошовi активи Фінансові вкладення Iншi оборотнi активи
|
|
Оборотність
|
Швидкооборотні
Середньооборотні Повільнооборотні Нелiквiднi
|
|
Рiвень
рентабельностi авансованого капіталу
|
Високорентабельний
Середньорентабельний Низькорентабельний Збитковий
|
|
Рiвень
ризикованостi
|
Безризиковий Низькоризиковий
Середньоризиковий Високоризиковий
|
|
Особливості
планування і принципи формування
|
Нормований
Ненормований
|
Слід особливо підкреслити, що існування різних видів
підприємств за формами власності, організаційно-правовим статусом та життєвими
циклами викликає специфіку формування оборотного капіталу (Рис. 1.9).
Оскільки серед суб’єктів торговельної діяльності підприємства
державної форми власності займають незначну частку (менше 4 відсотків), то
дослідження джерел формування капіталу загалом і оборотного зокрема зосереджено
в роботі на прикладі вибірки підприємств недержавної форми власності, які не
мають ні бюджетного фінансування, ні цільового державного кредитування.
Досліджені підприємства є типовими для торговельної мережі України загалом.
З урахуванням термінології, введеної Положеннями
бухгалтерського обліку, та стандартних вимог щодо оборотного капіталу серед
джерел його формування в торгівлі можна виділити такі:
- грошові та матеріальні внески засновників підприємств;
- прибутки, отримані від операційної та фінансової
діяльності, які спрямовуються на поповнення оборотного капіталу;
безплатні або благодійні внески, пожертви
організацій, підприємств і громадян;
кредити банків та інших кредиторів під авансування
оборотних активів;
Найбільш обмежені можливості формування капіталу
спостерігаються у приватних підприємств, особливо в період їх створення та на
першому етапі діяльності, бо початковий капітал, у тому числі й оборотний,
формується виключно за рахунок засновників і тільки з часом появляються
можливості залучення інших джерел як власного, так і позикового капіталу. Отже,
приватним підприємствам торгівлі найскладніше сформувати оборотний капітал, бо
вони змушені орієнтуватись переважно на фінансові можливості своїх засновників,
і тільки через деякий час функціонування можуть з’явитись інші джерела
надходження, точніше кажучи, поповнення капіталу.
Проведені дослідження показало, що діючі приватні
підприємства в торгівлі крім капіталу власників, все частіше залучають кошти
ззовні, найчастіше - це короткострокові кредити банківських установ і товарні
(комерційні) кредити. Останній вид кредиту виступає, як правило, у формі
надання товарів під реалізацію з розрахунками за фактично продані товари.
Рисунок 1.9 Основні етапи обґрунтування джерел залучення
оборотного капіталу підприємств інші джерела, не заборонені законодавчими
актами України
Значно більші можливості для формування капіталу мають
колективні підприємства, серед яких в торгівлі найбільшу питому вагу становлять
акціонерні товариства, створені в процесі приватизації підприємств, що в
минулому були в державній або в комунальній власності. За Законом України «Про
господарські товариства, від 15.12.2009 року №1759 всі акціонерні товариства як
ті, що появилися в процесі приватизації, так і знов створені при формуванні
капіталу можуть скористатися всіма джерелами фінансових ресурсів, крім
бюджетних коштів [43, ст.13].
До внутрішніх джерел формування власного оборотного капіталу
в торгівлі відноситься частка капіталізованого прибутку, отриманого в процесі
операційно-фінансової діяльності, а також частка надходжень від
загальногосподарської діяльності, пов’язаної, по-перше з щорічною індексацією
активів, у тому числі й оборотних, з урахуванням рівня інфляції, а по-друге, з
нарахуванням амортизаційного фонду підприємницьких структур.
Структуру обох груп джерел формування власного оборотного
капіталу торговельних підприємств недержавної форми власності можна
класифікувати за ознакою їх мобілізації (рис. 1.10).
Серед джерел мобілізації коштів для поповнення оборотного
капіталу (як показано на рис. 1.7) чільне місце посідають внутрішні джерела,
пов’язані найперше з реінвестуванням прибутку, використанням тимчасово вільних
коштів самостійно створюваних цільових фондів підприємств та амортизаційних
відрахувань. Внутрішні джерела формування капіталу підприємств забезпечують їм
умови розширеного відтворення, фінансову стабільність, незалежність та
інвестиційну привабливість для інвесторів. Серед джерел поповнення власного оборотного
капіталу найголовнішим з погляду на мету підприємництва є нерозподілений
прибуток, який відноситься до фонду накопичення. Саме він відіграє головну роль
в забезпеченні саморозвитку підприємств.
Рисунок 1.10 Класифікація джерел формування власного оборотного капіталу
торговельного підприємства
Позиковий оборотний капітал, як відомо, також може
утворюватись за рахунок зовнішніх і внутрішніх джерел. Серед зовнішніх джерел
утворення позикового оборотного капіталу торговельних підприємств в сучасних
умовах головними є короткострокові та довгострокові позики (кредити),
призначення яких пов’язане найперше з формуванням логістичних потоків, тобто з
закупівлею, транспортуванням, складуванням, пакуванням, підготовкою до продажу,
реалізацією товарів споживачам і сервісним обслуговуванням (п. 1.2).
Доречно зазначити, що та частка оборотного капіталу, яка
формується за рахунок власного та довгострокового позикового капіталу,
вітчизняними ученими називається чистим робочим капіталом [20, 391; 35, 486].
Сьогодні для забезпечення товароруху при нестачі власного
оборотного капіталу підприємства використовують насамперед короткострокові
банківські кредити з оплатою відсотків, встановлених на ринкових засадах.
Особливе місце серед зовнішніх джерел позичок займає кредиторська
заборгованість за товари.
До внутрішніх джерел позикових коштів, необхідних для
забезпечення потреби в фінансових ресурсах, вітчизняні економісти відносять
відстрочені і прострочені зовнішні довгострокові і короткострокові зобов’язання
[43, 79], з чим не можна не погодитись. Дійсно, в сучасних умовах, як показали
розрахунки, 75% досліджених збиткових підприємств не мають власного оборотного
капіталу, а тому досить активно для формування оборотного капіталу використовують
внутрішні позикові кошти, а саме: прострочені короткострокові банківські та
комерційні кредити, внутрішню та зовнішню кредиторську заборгованість. Особливо
негативною характеристикою для іміджу торговельного підприємства є прострочена
внутрішня i зовнішня кредиторська заборгованість, бо вона означає, що
підприємство працює за рахунок своєї заборгованості, точніше - «живе в борг».
Незважаючи на це, вивчення та оцінка сьогоднішньої системи
формування оборотного капіталу суб’єктiв пiдприємницькоi дiяльностi в межах
законодавчого поля України та нацiональних Положень (стандартiв)
бухгалтерського облiку дає пiдстави стверджувати, що вона вiдображає основнi
ринковi трансформацiйнi процеси в цiй сферi економiчної дiяльностi. Для
пiдтвердження цього висновку на рис. 1.11 подано узагальнену структуру сучасної
системи утворення сукупного оборотного капiталу торговельних пiдприємств.
Вивчення структури джерел формування оборотного капiталу за
ознакою платності дозволяє констатувати, що всi джерела, крiм кредиторської
заборгованостi, поточних зобов’язань за розрахунками та доходiв майбутнiх
перiодiв, є платними. Платнiсть власного капiталу проявляється в тому, що
частка прибутку, одержаного вiд господарської дiяльностi, розподiляється мiж
власниками капiталу пiдприємств пропорцiйно внескам i є платою за них. Розмiри
цих плат попередньо не встановлюються, крiм дивiдендiв на привiлейованi акцiї.
В усiх iнших випадках власники капiталу отримують плату, яка визначається за
наслiдками роботи у вiдповiдному перiодi (частiше за рiк). Обсяги плати можуть
коливатися, але сутнiсть платностi власного капiталу вiд цього не змiнюється.
Рис. 1.11 Структура джерел формування оборотного капiталу
торговельних пiдприємств
На вiдмiну вiд власного позичений оборотний капiтал
оплачується за попередньо встановленими ставками (відсотки за кредити,
облігації, вексельний дисконт тощо).деальним для підприємцiв є варiант
безкоштовного залучення оборотного капiталу до дiяльностi пiдприємств. До
безкоштовних джерел залучення оборотного капiталу вiдносяться кредиторська
заборгованiсть за товари, роботи, послуги протягом часу, обумовленого
договором, поточнi зобов’язання за одержаними авансами, зобов’язання за
розрахунками з бюджетом, з позабюджетних платежiв, зi страхування тощо, а також
доходи майбутнiх перiодiв. Такі джерела носять досить стійкий характер, а тому
називаються стійкими пасивами.
Треба відмітити, що: рiзнi види пiдприємств за формами
власностi, органiзацiйно-правовим статусом та життєвим циклом мають великі
відмінності формування оборотного капiталу. Найбiльш обмежені можливості
формування капiталу притаманні приватним пiдприємствам. Бiльше можливостей, що
характерно й для країн з розвиненою ринковою економiкою, мають колективнi
пiдприємства, а серед них - акцiонернi товариства, особливо створенi в процесi
приватизацiї державних пiдприємств.
Разом з тим виявлено, що сучасні умови ринкових перетворень
змушують вітчизняних підприємців застосовувати не тільки поточне планування, а
й розробробляти стратегію управління фінансовими ресурсами на основі їх
оптимізації.
Висновки до розділу 1:
Дослідження сутності, ролі та особливостей формування й
використання оборотного капіталу підприємств в умовах набуття Україною статусу
держави з ринковою економікою дозволяє зробити такі висновки.
.Оборотний капітал в системі механізмів і методів
економічного управління діяльністю підприємств слід розглядати в теоретичному
сенсі, що виражає відносини купівлі-продажу грошових коштів, які на ринку
виступають своєрідними товарами, призначеними для авансування оборотних активів
з метою отримання прибутку, і в практичному значенні як показник фінансового
стану підприємств і найбільш мобільний ресурс економічного механізму
функціонування підприємства.
. Серед факторів підприємницької діяльності оборотному
капіталу належить пріоритетна роль, оскільки він об’єднує всі ресурси в єдиний
господарський механізм через свій кругообіг, внаслідок якого його обсяг не
змінюється. Економічним результатом авансування капіталу в активи
підприємницької структури виступає одержаний прибуток, який означає, що
авансовані в активи кошти відбулися як капітал, тобто стали капіталом.
. На кожній стадії свого кругообігу оборотний капітал виконує
функції обміну, сприяє забезпеченню підприємств оборотними активами, створює
їхню фінансову стійкість та привабливість для інвесторів. Головні функції
оборотного капіталу проявляються в обслуговуванні кругообігу оборотних активів.
. Розглянуті особливості формування та використання
оборотного капіталу торгівельних підприємств.
У структурі оборотних активів як об’єктів авансування
оборотного капіталу домінують товарні запаси. Оборотні активи, пов’язані з
товарорухом, слід називати логістичними активами. Групування активів за видами
діяльності потребує достовірної інформації про їх величину, склад, структуру.
Тому для ефективного управління оборотними активами торговельних підприємств
слід розробляти внутрішньогосподарську систему обліку і спостережень, яка б
забезпечувала інформацією процес обґрунтування стратегії управління оборотним
капіталом на основі оптимізації оборотних активів.
. Розкриття сутності і ролі оборотних активів як об’єктів
авансування оборотного капіталу торговельних підприємств дозволило:
- уточнити їх склад відповідно до чинних Положень
(стандартів) бухгалтерського обліку;
- виявити залежність структури оборотних активів від
життєвого циклу підприємств;
обґрунтувати ознаки відповідності оборотних активів
стратегічним завданням управління логістичними потоками підприємств;
установити появу нових джерел формування оборотного
капіталу в торгівлі, пов’язаних зі змінами форм власності підприємств.
РОЗДІЛ 2. АНАЛІЗ ЕФЕКТИВНОСТІ
ФОРМУВАННЯ ОБОРОТНОГО КАПІТАЛУ ПІДПРИЄМСТВ
.1 Оцінка ринкових умов формування оборотного капіталу та
активів торгівельних підприємств
Розробка стратегії управління оборотним капіталом
торговельних підприємств потребує врахування особливостей його формування та
кругообігу. Управління оборотним капіталом має бути адаптованим до умов
ринкових перетворень. Тому основою обґрунтування стратегії управління оборотним
капіталом торговельних підприємств мають стати результати аналізу особливостей
його формування та використання в перехідній економіці країни.
В єдиному механізмі стратегічного управління торговельними
підприємствами ланка управління оборотним капіталом є визначальною. Відмітимо,
що оборотний капітал, виступаючи засобом авансування мобільної частини майна
підприємства, стає об`єктом управління його кругообігу, який охоплює весь
процес діяльності підприємства.
Актуальність дослідження показників ефективного використання
оборотного капіталу в торгівлі пов`язана з тим, що оборотні активи як об’єкти
авансування капіталу становлять більше 80% усіх активів торговельних
підприємств і являють собою найбільш мобільну їхню частину.
Забезпечення підприємств оборотним капіталом пов’язане з
вибором ефективних джерел його утворення. Сучасні умови діяльності підприємств
вимагають більш ретельного й кваліфікованого підходу до формування й
використання оборотного капіталу підприємств з метою максимізації його
оборотності, скорочення витрат та збільшення генерованого ним прибутку. Для
цього необхідно перш за все детально вивчати й аналізувати як внутрішні, так і
зовнішні фактори, динаміку, тенденції та показники ефективності використання
об’єктів авансування оборотного капіталу, тобто оборотних активів
Це особливо важливо в умовах, коли першочерговим завданням у
вирішенні фінансових проблем в економіці України вважається зміцнення
фінансового стану кожного суб’єкта господарювання. Водночас треба враховувати
покращення сучасних умов залучення оборотного капіталу, що для торгівлі має
винятково велике значення. Становлення економіки супроводжується зменшенням
середньої відсоткової ставки комерційних банків за кредитами у національній
валюті. Наприклад, у 2011 р. ця ставка порівняно з 2010 р. зменшилась на 4%, а
за 2013 рік на лідерський рівень 18,37% вийшов банк «Південний», однаковий
тариф 20,7%-20,9% утримують п’ять банків «Урксиббанк», «Укрсоцбанк»,
«Укргазбанк», «РайфайзенБанк Аваль», «Ощадбанк» [46].
Та все ж ставки за кредитами комерційних банків у
національній валюті дуже високі. В середньому ставка становить 22,7% при
обліковій ставці Національного банку України - 7,5%, а за 2010 р. вона
становила 24,8% при обліковій ставці Національного банку 9,5% тобто ставки за
кредитами комерційних банків в 2,77 рази перевищували облікову ставку
Національного банку [47, 5]. Але й за таких умов банківських кредитів
катастрофічно не вистачає. Відтак є всі підстави стверджувати, що головним
пріоритетом забезпечення сталих темпів розвитку торговельних підприємств
виступає формування ефективної системи забезпечення оборотним капіталом.
Аналіз показує, що характерним є обмеженість інформаційної
бази торговельних підприємств як необхідної умови ефективного господарювання, а
також відсутність дієвих механізмів управління оборотними активами і капіталом.
Розвиток торгівлі у нинішніх умовах найбільше потерпає від
нестачі оборотного капіталу. Збільшення товарообороту, формування ефективних
логістичних потокових процесів потребують кредитних ресурсів, а в умовах їх
нестачі та високої плати виникає дилема: брати чи не брати кредити. Оскільки
перший варіант для багатьох торговельних підприємств неприйнятний, то
залишається другий - обходитися власними коштами. Такий висновок підтверджує
аналіз фінансового стану досліджених підприємств (див. п. 2.2).
Найважливішою умовою стабілізації фінансової ситуації в
торгівлі виступає прискорення обігу оборотного капіталу через прискорення
оборотності відповідних активів та оптимізацію співвідношень між усіма їхніми
структурними елементами. Для визначення загальних умов формування оборотного
капіталу в торгівлі розглянемо сучасний стан економічних умов розвитку
підприємств загалом і торгівлі зокрема.
До позитивних якісних зрушень слід віднести розширення
параметрів внутрішнього ринку. Частка обороту роздрібної торгівлі у структурі
ВВП зросла з 16,5% у 2010 р. до 27,4% у 2012 р. За означені роки спостерігалось
зниження рівня тінізації економіки країни з 40% у 2010 р. до 34% у 2012 р.;
скорочення частки бартерних операцій з 17,1% до 8% відповідно [50, 6]. При
порівнянні темпів зростання ВВП з іншими економічними показниками привертає
особливу увагу збільшення обороту підприємств оптової торгівлі у 2010 р. на
27,8%, роздрібної - на 11,7%, ресторанного господарства - на 8%, реальної
заробітної плати - на 19,3% [52]. Зростання фізичного обсягу роздрібного
товарообороту на 8,1% у 2010 р., на 12,6% у 2011 р. [50, 6] на 16,4% у 2012 р.
[53, 9] та на 19,4% у 2013 р. [51, 7] є результатом позитивних економічних
зрушень, які сприяли підвищенню місткості споживчого ринку, що за роки
економічної кризи скоротилась майже вдвічі [50, 16].
Тенденція позитивних зрушень макроекономічних показників, що
формують споживчий ринок і роздрібний товарооборот, чітко виражена, починаючи з
1998 року (табл. 2.1).
Як видно з таблиці, фінансова криза в Росії в кінці 2006 року
найбільше вдарила по роздрібному товарообороту і тільки з 2010 року почалось
зростання його обсягів в порівнянних цінах темпами, що перевищують реальний
ВВП. Дані таблиці також засвідчують: зростання роздрібного товарообороту
пов’язане з підвищенням заробітної плати і реальних грошових доходів населення.
Таблиця
2.1
Індекси основних
соціально-економічних показників в Україні за 2006-2012 рр. (відсотки до
попереднього року)
|
Найменування
показника
|
Рік
|
2007
|
2008
|
2009
|
2010
|
2011
|
2012 р. у% до 2006
р.
|
|
Реальний ВВП
|
97,0
|
98,1
|
99,8
|
105,9
|
109,2
|
104,8
|
115,1
|
|
Товари народного
споживання
|
88,1
|
100,0
|
107,2
|
124,5
|
117,7
|
108,4
|
150,0
|
|
Реальні грошові
доходи населення
|
106,3
|
98,4
|
92,0
|
109,9
|
109,0
|
122,2
|
140,9
|
|
Реальна заробітна
плата за грудень (до грудня попереднього року)
|
97,6
|
87,1
|
103,4
|
103,6
|
120,4
|
115,6
|
126,7
|
|
Індекс споживчих
цін
|
110,1
|
120,0
|
119,2
|
125,8
|
106,1
|
99,4
|
208,9
|
Розраховано за даними Статистичного щорічника України за 2012
рік Держкомстату України [54, 32] та поточної інформації [55, 4].
Однак, незважаючи на позитивні зрушення в динаміці
товарообігу, далекою від оптимальної для розвитку торгівлі залишається проблема
оборотного капіталу, створюваного як за рахунок внутрішніх джерел, так і з
використанням кредитів. Про нестачу кредитних ресурсів красномовно говорить той
факт, що за рівнем надання банківських кредитів Україна посідає 119 місце серед
147 країн, що обліковуються за відповідним рейтингом [56, 3]. Можливості
банківського сектора в Україні поки що дуже обмежені, бо сума капіталу
українських банків станом на початок 2012 р. складає 6% ВВП, в той час, як
навіть у країнах з перехідною економікою цей показник сягає 40%.
Тому серед невирішених проблем розвитку торговельних
підприємств першочерговим залишається кредитування, оскільки оборотні активи
підприємств торговельної галузі авансуються переважно за рахунок позикових
коштів. Якщо на початок 2009 р. частка власного капіталу у загальному капіталі
торговельних підприємств становила 28,8%, то на початок 2012 р. вона
скоротилася на 9,5% [50, 16], хоча з 2011 р. почалось незначне її зростання і
на кінець 2011 р. вона зросла на 11,1% [54, 78]. Відтак проблема кредитування
оборотного капіталу для забезпечення розвитку діяльності підприємств
загострюється у зв’язку з відсутністю та нестачею власного оборотного капіталу
на багатьох торговельних підприємствах (див. 2.3).
Оскільки процес розвитку підприємства являє собою результат
певної композиції довгих та коротких (операційних) циклів, то стійкий
економічний розвиток підприємства та динамічна рівновага його мікроекономічної
системи досягається в умовах оптимальної узгодженості та збалансованого
поєднання даних циклів у єдиний процес. Основою довгих циклів виступає, як
відомо, інвестування необоротних активів, а короткострокові цикли пов’язані з
Розрахунки показали, що серед головних галузей економіки
України протягом останніх п’яти років (2007 - 2013) торгівлі та громадському
харчуванню притаманні найвищі темпи зростання оборотного капіталу, що зумовило
підвищення питомої ваги цієї галузі в загальному обсязі оборотного капіталу з
13% на початок 2007 р. до 34,6% на початок 2013 р., тобто у 2,7 рази.
Співставлення темпів зростання товарообороту та оборотних
активів у період з 2008 по 2012 рр. дозволило установити співвідношення, яке
виявилось не на користь ефективності використання оборотних активів, бо темпи
росту оборотних активів (табл. 2.3) перевищували темпи росту товарообороту
(табл. 2.1), що засвідчує екстенсивний шлях використання оборотних активів,
зростання ресурсів та витратності товарообіту. Разом з тим слід наголосити:
розраховані в роботі коефіцієнти екстенсивності використання оборотних активів
мають чітку тенденцію до скорочення, тобто до покращення.
Якщо ці коефіцієнти більші за одиницю, то вони означають
екстенсивність використання оборотного капіталу та авансованих ним оборотних
активів, а якщо менші, то, навпаки, інтенсивність. У 2012 р. коефіцієнт
екстенсивності виявився найнижчим за весь досліджуваний період - 1,27, тобто
використання оборотних активів найбільш наблизилось до можливості бути
інтенсивним.
Таблиця
2.2
Характеристика оборотних активів торговельної мережі України
за 2008-2012 рр. (на початок року)
|
Найменування
|
2008
|
2009
|
2010
|
2011
|
2012
|
|
Питома вага
оборотних активів торгівлі у їхньому обсязі за усіма галузями, %
|
13,0
|
13,9
|
26,4
|
31,9
|
34,6
|
|
Оборотні активи
торговельних підприємств, тис. грн.
|
|
|
у порівнянних цінах
|
20673
|
29403
|
67411
|
113967
|
150373
|
|
у фактичних цінах
|
24808
|
35049
|
84803
|
121551
|
149471
|
|
Цепний індекс росту
оборотних активів, %
|
|
|
у порівнянних цінах
|
255,4
|
142,2
|
229,3
|
169,1
|
131,9
|
|
у фактичних цінах
|
281,2
|
141,3
|
242,0
|
143,3
|
123,6
|
|
Темпи росту
кількості підприємств торгівлі на 10000 населення, % до попереднього року
|
92,3
|
91,7
|
100,0
|
101,2
|
99,6
|
|
Темпи росту
торговельної площі на 10000 населення, % до попереднього року
|
84,1
|
88,0
|
99,7
|
99,6
|
102,3
|
|
Коефіцієнт
екстенсивності використання оборотних активів в порівнянних цінах за рік
|
1,92
|
1,88
|
1,79
|
1,65
|
1,27
|
Розраховано за даними Статистичного щорічника України за 2012
рік Держкомстату України [54, 72].
Для оцінки рівня забезпеченості торгівлі оборотним капіталом
і ефективності його використання досліджено зміни структури активів, що
авансуються оборотним капіталом (табл. 2.3).
Таблиця
2.3
Зміни структури оборотних активів торговельних підприємств
|
Види оборотних
активів
|
Структура оборотних
активів на початок року, %
|
Відхилення від
попереднього року, 0/п
|
|
2005
|
2006
|
2007
|
2008
|
2009
|
2010
|
2011
|
2012
|
2006
|
2007
|
2008
|
2009
|
2010
|
2011
|
2012
|
|
Оборотні активи,
всього
|
100
|
100
|
100
|
100
|
100
|
100
|
100
|
100
|
|
|
|
|
|
|
|
|
у тому числі:
|
|
товарно-матеріальні
цінності
|
61,2
|
64,3
|
48,0
|
32,6
|
27,1
|
23,9
|
23,1
|
21,6
|
3,1
|
-16,3
|
-15,4
|
-5,5
|
-3,2
|
-0,8
|
-1,5
|
|
грошові кошти
|
5,9
|
2,1
|
1,8
|
2,0
|
2,2
|
3,5
|
3,4
|
3,9
|
-3,8
|
-0,3
|
0,2
|
0,2
|
1,3
|
-0,1
|
0,5
|
|
дебіторська
заборгованість
|
28,3
|
29,1
|
47,5
|
62,1
|
67,1
|
65,9
|
68,5
|
69,5
|
0,8
|
18,4
|
14,6
|
5,0
|
-1,2
|
2,6
|
1,0
|
|
інші оборотні активи
|
4,6
|
4,5
|
2,7
|
3,3
|
3,6
|
6,7
|
3,5
|
3,3
|
-0,1
|
-1,8
|
0,6
|
0,3
|
3,1
|
-3,2
|
-0,2
|
|
поточні фінансові
інвестиції
|
-
|
-
|
-
|
-
|
-
|
-
|
1,5
|
1,7
|
-
|
-
|
-
|
-
|
-
|
-
|
0,2
|
Примітка. Розраховано за даними Статистичного щорічника
України за 2012 р. [54, 73] та за 2012 р. [52, 74]
Як бачимо, за період з 2008 по 2012 рік відбулась значна
деформація структури оборотних активів торговельних підприємств. Різко
скоротились частки запасів товарно-матеріальних цінностей, грошових коштів
(крім двох останніх років). Зате значно збільшилася питома вага дебіторської
заборгованості у загальному обсязі оборотних активів. Отже, витіснення
дебіторською заборгованістю товарно-матеріальних цінностей із структури
оборотних активів торгівлі є негативним явищем. Загалом же дебіторська
заборгованість суб’єктів господарювання, за статистичними даними, станом на 1
червня 2012 р. порівняно з2006 р. зросла в 11 разів і становили на 1 січні 2012
р. - 240,0 млрд. грн., а на 1 грудня 2012 р. зросла до 273,1 млрд. грн. [51,
7].
Особливої уваги потребує боргова проблема збиткових
підприємств, хоч їх кількість останнім часом скорочується. Якщо, на кінець 2009
р. кількість збиткових підприємств становила майже 52%, а протягом 2010-2011
рр. - збитково працювали 43% підприємств [51,9], то протягом січня - листопада
2012 р. - 39% [50,6]. Говорячи про джерела формування оборотного капіталу в
економіці України, слід сказати, що власного капіталу підприємств не вистачало
навіть на необоротні активи. Тому оборотний капітал формувався за рахунок
кредиторської заборгованості, рідше за рахунок короткострокових кредитів.
Кредиторська заборгованість в роздрібній торгівлі, наприклад, покривала на
початку 2012 р. 83,4% потреби в оборотному капіталі, а на кінець року - 81,8%
[52,73].
Незважаючи на позитивні зрушення, проблема удосконалення структури
оборотних активів шляхом підвищення значення головного елемента - товарних
запасів залишається найактуальнішою. Прямою причиною скорочення
товарно-матеріальних цінностей було зменшення власного оборотного капіталу та
відволікання його в дебіторську заборгованість, що пояснюється відсутністю
дієвих механізмів управління цим капіталом у взаємозв’язку з оборотними
активами.
Дослідження процесів забезпечення оборотними активами
підприємств свідчить про необхідність залучення позикових коштів.
Ситуація, що склалася в Україні з оборотним капіталом і
оборотними активами підприємств, значною мірою визначається відсутністю
виваженого законодавчого регулювання у даній сфері. В сучасних умовах більшість
підприємств не займається нормуванням оборотних активів і не обґрунтовує
потреби в оборотному капіталі. Це й спричинило ситуацію, за якої переважна
більшість збиткових підприємств не має власного оборотного капіталу, що
означає: такі підприємства живуть в борг і за рахунок тіньового бізнесу, бо чим
можна пояснити, що в балансах підприємств значення власного капіталу
виражається негативними сумами.
Отже, вивчення умов формування і використання оборотного
капіталу в торгівлі дозволяє виявити проблеми, з якими зіткнулася економіка
Україна в останні роки. З одного боку, розвиток ринку вимагає від торгівлі
накопичення такого обсягу й асортименту якісних і безпечних товарів, який буде
задовольняти зростаючий попит споживачів, що потребує відповідних грошових
коштів, тобто оборотного капіталу. З іншого боку, економічна криза в Україні,
позбавила торговельні підприємства головного ресурсу підприємницької діяльності
- оборотного капіталу. Такі умови поставили складну проблему пошуків ефективних
джерел формування оборотного капіталу та цілеспрямованого його використання.
На перше місце в формуванні оборотного капіталу вийшли
безоплатно запозичені кошти - це кредиторська заборгованість. Найвагоміше
відволікання оборотного капіталу від прямого призначення (авансування товарних
запасів) пов`язане з непомірно обтяжливими обсягами дебіторської
заборгованості.
Підсумовуючи сказане слід відзначити, що аналіз стану
оборотних активів і ефективності їх авансування в торговельних підприємствах
виступає першим етапом в обґрунтуванні стратегії управління оборотним
капіталом.
2.2 Аналіз стану оборотних активів торговельних підприємств
та джерел їх авансування на прикладі ТОВ «АД Шина»
При аналізі оборотних активів торговельних підприємств
використовуються різні підходи [31, 111]. На практиці виділяються
класифікаційні ознаки показників: кількісні та якісні, методичні підходи до
відбору показників, напрямки застосування оцінних показників, рівень
автоматизації розрахунків, рівень автоматизації розрахунків (рис. 2.1).
Рис. 2.1 Класифікація показників оборотних активів у
взаємозв`язку з оборотним капіталом
Оцінка стану та структури оборотних активів, розрахунки
коефіцієнтів ліквідності майна та платоспроможності підприємств стали основою
аналізу діяльності підприємств. Відповідно до функцій аналізу оборотних активів
і капіталу в дослідженні використана система абсолютних і відносних показників,
яка дозволила сформувати інформаційну базу для оцінки стану оборотних активів і
забезпеченості їх оборотним капіталом з метою розробки напрямків оптимізації
при обґрунтуванні стратегії формування і використання оборотного капіталу
торговельними підприємствами. За базу для порівняння розрахованих показників
використовувались відповідні дані за минулі роки, а також середньогалузеві їх
значення та нормативи, обґрунтовані такими економістами, як Бланк І.О. [20,
311], Лігоненко Л.О. [31, 111], Мазаракі А.А. [19, 535-537], Ковальов В.В. [64,
212-245], Раіцький К.О. [65, 82-94] та інші.
Аналіз оборотних активів та джерел їх авансування в роботі
розглянуто на прикладі фінансового стану підприємства ТОВ « АД Шина». ТОВ «АД
шина» займається продажем автомобільних шин для вантажних та легкових
автомобілів з Германій і Китаю та надає послуги з шиповки, шино монтажу,
системи контролю тиску в шинах. Засноване у 2008 роціі входить до складу
концерну «АД Україна», який в свою чергу входить міжнародний концерн» АД
Інтернешнл», який є крупним постачальником автомобільних нових та відновлених
шин в Европі: RET (Германия), Michelin, Kormoran, Continental, Barum. Дане
підприємство відноситься досерелніх підприємств. Також присутні філії в різних
містах України. В роботі проведено аналіз даного підприємства за останні три
роки - 2010-2012 рр.
Основними факторами, які впливають на структуру оборотного
капіталу та основних виробничих засобів підприємств, є: рівень автоматизації і
механізації, рівень спеціалізації і кооперування, кліматичні та географічні
умови розміщення підприємств.
Кожний фактор по-різному впливає на структуру виробничих
засобів. Поліпшити структуру основних виробничих засобів можна за рахунок:
оновлення та модернізації устаткування, установленням додаткового устаткування
на вільній площі; ліквідації зайвого й малоефективного устаткування
ефективнішого використання виробничих приміщень.
Необхідність оновлення оборотних активів підприємства за
ринкових відносин визначається передовсім конкуренцією товаровиробників. Саме
конкуренція спонукує підприємства здійснювати прискорене списання основних
виробничих засобів з метою нагромадження фінансових ресурсів для наступного
вкладання засобів у придбання більш прогресивного устаткування, впровадження
нових технологій та іншого поліпшення основних виробничих засобів.
Треба відмітити, що на базі одного підприємства ТОВ «АД Шина»
провести аналіз названих показників не представляється можливим. Тому в роботі
для більш показового аналізу вибрана інформація фінансової та статистичної
звітності торговельних підприємств конкуруючих в галузі виготовлення та продажу
автомобільних шин, а також матеріали оперативного та фінансового обліку цих
підприємств по більш широкому спектру показників.
Інформаційною базою для проведення аналізу приведених
показників є застосування таких джерел інформації як Найкращі актуальні бази
даних на підприємствах України REGION.INFO, що дозволило розрахувати
фінансово-економічні показники, необхідні для всебічного аналізу стану
оборотних активів у взаємозв`язку з оборотним капіталом досліджуваних
підприємств.
При аналізі оборотного капіталу та активів, що ним
авансуються використано дані на початок 2009-2012 рр. різних торговельних
підприємств, які об`єднано в дві групи за однорідністю класифікаційних ознак
щодо ефективності залучення та використання оборотних активів і капіталу - це
стабільність діяльності, динаміка товарообороту і рентабельність. До першої
групи віднесено підприємства зі стабільним товарооборотом, до другої - з
повільними темпами його зростання. При класифікації підприємств враховувалась
динаміка їхнього товарообороту (дод. А). Дослідження підприємств, згрупованих
за названими ознаками (дод. Б), проводилось з визначення стратегії формування
оборотних активів і обґрунтування завдань підвищення ефективності їх
використання.
На першому етапі аналізу вивчалися чинні підходи до
формування оборотних активів та оцінювався рівень ліквідності за видами цих
активів і в цілому. На другому етапі аналізувалися стан і структура джерел
авансування оборотних активів. На третьому етапі вивчалася ефективність
управління оборотними активами з метою розробки основних напрямів її підвищення
при обґрунтуванні стратегії формування оборотного капіталу.
На основі вищеозначених методологічних підходів і
загальновідомих алгоритмів було сформовано систему оцінних показників для
аналізу оборотних активів торговельних підприємств. Спершу виділено п’ять
найважливіших груп показників, в основу яких вітчизняними ученими [31, 122-123;
64, 236] покладено ознаку функціонального призначення оборотних активів. Для
кожної групи підприємств визначено ті показники, які дають змогу
охарактеризувати ефективність використання оборотних активів (рис. 2.2).
Наприклад, для оцінки рівня забезпеченості підприємств
оборотними активами було застосовано показники, які характеризуються їхньою
структурою, а для оцінки ефективності використання - показники оборотності та
рентабельності досліджуваних активів.
Оскільки оборотні активи авансуються оборотним капіталом, то
їхня оцінка буде пов’язана з достатністю цього капіталу для формування
ефективної структури оборотних активів та забезпечення платоспроможності
підприємств. Початком дослідження стало співставлення динаміки загального
обсягу оборотних активів і товарообороту, що дало змогу визначити коефіцієнти
інтенсивного та екстенсивного використання оборотних активів (табл. 2.4).
Рис. 2.2 Дерево оцінних показників стану та ефективності
управління оборотними активами
Результати розрахунків, наведених у табл. 2.4, показують, що
починаючи з 2010 р. зростання товарообороту здебільшого супроводжувалось більш
низькими темпами зростання загального обсягу оборотних активів, а зменшення товарообороту
- вищими темпами скорочення оборотних активів. Такі зміни у співвідношеннях
росту (падіння) товарообороту і оборотних активів означають перехід
торговельних підприємств на інтенсивний шлях їх використання, а тому й на
авансування оборотного капіталу.
Таблиця
2.4
Розрахунки коефіцієнтів інтенсивності та екстенсивності
використання оборотних активів ТОВ «АД Шина»
|
Найменування
підприємств
|
Темп росту
товарообороту за рік, %
|
Темп росту
оборотних активів за рік, %
|
Коефіцієнт
інтенсивності (екстенсивності) використання оборотних активів за рік
|
Відхилення
коефіцієнтів (+, -) від попереднього року
|
|
2010
|
2011
|
2012
|
2010
|
2011
|
2012
|
2010
|
2011
|
2012
|
2010
|
2012
|
|
1 група
|
|
|
|
|
|
|
|
|
|
|
|
|
ТОВ « АД Шина «
|
91,1
|
92,1
|
120,7
|
112,4
|
76,2
|
101,9
|
(1,23)
|
0,83
|
0,84
|
-0,41
|
0,01
|
|
ТОВ «Росава»
|
115,0
|
95,5
|
149,2
|
91,7
|
73,9
|
129,8
|
0,80
|
0,77
|
0,87
|
-0,02
|
0,10
|
|
ТОВ « Автолюкс»
|
98,1
|
95,8
|
132,9
|
58,8
|
179,3
|
123,1
|
0,60
|
(1,87)
|
0,93
|
1,27
|
-0,95
|
|
2 група
|
|
|
|
|
|
|
|
|
|
|
|
|
ТОВ «Трейд Лайн»
|
82,0
|
33,3
|
87,5
|
92,4
|
35,5
|
64,6
|
(1,13)
|
(1,07)
|
0,74
|
-0,06
|
-0,33
|
|
ТОВ «Наша Шина»
|
85,0
|
76,9
|
123,1
|
82,8
|
60,6
|
153,8
|
0,97
|
0,79
|
(1,25)
|
-0,19
|
0,46
|
|
ТОВ «Новая Шина
|
90,0
|
115,7
|
114,2
|
69,3
|
69,0
|
83,7
|
0,97
|
0,60
|
0,73
|
-0,17
|
0,14
|
Прим. Коефіцієнти екстенсивного використання оборотних
активів характеризуються значенням більшим одиниці, а інтенсивності - меншим
одиниці
Аналіз показує, що ТОВ»АД Шина» перейшло від екстенсивного до
інтенсивного використання оборотних активів у 2012 р. Це свідчить про
підвищення ефективності економічної діяльності, пов`язаної з посиленням
інтенсивності використання наявних оборотних активів ТОВ»АД Шина» .
Однак аналіз динаміки оборотних активів і товарообороту
підприємства ТОВ»АД Шина» дозволяє зазначити, що підприємство використовувало
оборотні активи інтенсивно. В другій групі спостерігалися як позитивні зрушення,
тобто перехід від екстенсивного до інтенсивного використання оборотних активів,
так і негативні - посилення і навіть повернення до екстенсивного використання
оборотних активів.
Особливе значення для оцінки складу оборотних активів ТОВ»АД
Шина» має визначення їхньої частки у загальній сумі активів підприємств, яка
характеризує рівень мобільності активів (табл. 2.5). Для невеликих і середніх
підприємств характерним є високий рівень мобільності активів (вищий за 50%), а
для великих підприємств, що займаються роздрібною торгівлею, цей показник
нижчий за 50%.
Важливо виділити й те, що у підприємства ТОВ»АД Шина» з
нестійким товарооборотом і рентабельністю коефіцієнти мобільності за період
2009 - 2012 рр. має не велика амплітуду коливань від 50.4% до 71.6% а інші
підприємства першої групи мали велику амплітуду коливань від 1,3% до 71,6, а в
другій - від 6,5% до 84,3%. До того ж для збиткових підприємств характерним
було зниження коефіцієнтів мобільності, що засвідчує негативні тенденції в
змінах структури загального обсягу активів цих підприємств, бо збільшення
частки необоротних активів завжди супроводжується зростанням постійних витрат і
призводить до послаблення дії операційного важеля.
Детальний аналіз структури оборотних активів (табл. 2.6)
показав, що в оборотних активах оптових і роздрібних торговельних підприємств
традиційно привалюють товарні запаси. Виняток становлять знов створені і
збиткові підприємства, де перевага належить дебіторській заборгованості та
активам у формі грошових коштів.
Таблиця
2.5
|
Найменування
підприємств
|
Коефіцієнти
мобільності активів на початок року, %
|
Відхилення 2012 р.
від 2009 р, о/п
|
|
2009
|
2010
|
2011
|
2012
|
|
|
І група
|
|
ТОВ « АД Шина
|
71,6
|
54,7
|
60,3
|
50,4
|
-21,2
|
|
ТОВ « Росава «
|
1,3
|
0,7
|
0,9
|
1,3
|
0,0
|
|
ТОВ « Автолюкс»
|
38,1
|
27,5
|
59,2
|
46,1
|
8,0
|
|
2 група
|
|
ТОВ «Трейд Лайн «
|
37,9
|
20,1
|
6,5
|
15,9
|
-22,0
|
|
ТОВ « Наша Шина «
|
27,3
|
12,6
|
16,6
|
33,7
|
6,4
|
|
ТОВ « Новая Шина «
|
84,3
|
73,7
|
73,7
|
68,5
|
-15,8
|
Примітка. Розраховано за первинними даними досліджених
підприємств і дод. А.
Найвища питома вага товарних запасів (80-90%) характерна для
оборотних активів великих підприємств з універсальним асортиментом. Крім того,
на більшості підприємств спостерігалось зростання значення запасів в оборотних
активах, що засвідчує краще товарне забезпечення товарообороту. Ті
підприємства, які мали невелику частку товарних запасів у загальному обсязі цих
активів на початку 2009 р. поступово збільшували її впродовж досліджуваного
періоду. Винятком стали лише підприємства першої групи, бо починаючи з 2009 р.
більш характерним для них було зменшення питомої ваги товарних запасів в
оборотних активах до того ж темпами значно вищими ніж обсяг реалізації, що
підтверджує перехід до інтенсивного шляху використання товарних запасів.
Найбільшу стабільність у підтриманні частки товарних запасів на приблизно
однаковому рівні мають підприємства другої групи, динаміка товарних запасів
яких найбільш наближена до динаміки товарообороту.
В практиці управління оборотними активами, зокрема товарними
запасами, найбільш раціональним прийнято вважати таке співвідношення між
темпами приросту товарних запасів та товарообороту, яке виражається формулою
[19, 194]:
(2.1)
де
- темп приросту товарних запасів, %;
-
темп приросту товарообороту, %.
Наведена формула засвідчує, що раціональним є таке нарощування товарних
запасів, яке забезпечує приріст товарообороту на рівні темпу приросту товарних
запасів у другій степені.
Розрахунки показників раціональності використання товарних
запасів торговельними підприємствами за 2012 р., незважаючи на покращення
структури оборотних активів і зростання товарообороту ТОВ «АД Шина»,
підтвердили нераціональність використання товарних запасів в системі
забезпечення приросту товарообороту (табл. 2.7).
Як видно з таблиці, характерним для ТОВ «АД Шина» та інших
підприємств на ринку торгівлі було відхилення фактичних темпів приросту або
скорочення товарних запасів від раціональних. Таке відхилення було неефективним
для діяльності підприємства ТОВ «АД Шина». Фактичний приріст товарних запасів
перевищував раціональні потреби у забезпеченні приросту товарообороту, що
негативно вплинуло на ефективність використання оборотного капіталу при
авансуванні зайвих обсягів товарних запасів. Отже, дослідження показало, що
підприємство не застосовує ефективних підходів до формування та використання
товарних запасів, бо не має стратегії забезпечення оборотними активами, без яких
не можливе ефективне управління формуванням і використанням оборотного
капіталу.
авансування торговельний оборотний капітал
Таблиця
2.6
Динаміка структури оборотних активів торговельних підприємств
|
Найменування
підприємств
|
Питома вага в
оборотних активах на початок року, %
|
|
Товарні запаси
|
Дебіторська
заборгованість
|
Грошові кошти та їх
еквіваленти
|
Інші оборотні
активи
|
|
2009
|
2010
|
2011
|
2012
|
2009
|
2010
|
2011
|
2012
|
2009
|
2010
|
2011
|
2012
|
2009
|
2010
|
2011
|
2012
|
|
І група
|
|
|
|
|
|
|
|
|
|
|
|
|
|
|
|
|
|
ТОВ «« АД Шина «
|
54,5
|
60,9
|
60,1
|
64,4
|
11,0
|
13,3
|
6,9
|
5,0
|
31,3
|
25,8
|
33,0
|
30,6
|
3,2
|
0,0
|
0,0
|
0,0
|
|
ТОВ « Росава «
|
86,3
|
56,8
|
34,7
|
58,2
|
9,6
|
28,6
|
34,4
|
22,1
|
4,0
|
14,6
|
30,9
|
19,7
|
0,1
|
0,0
|
0,0
|
0,0
|
|
ТОВ « Автолюкс «
|
52,9
|
58,3
|
72,9
|
43,2
|
40,5
|
35,8
|
23,0
|
41,7
|
2,8
|
5,9
|
4,1
|
15,1
|
3,8
|
0,0
|
0,0
|
0,0
|
|
2група
|
|
|
|
|
|
|
|
|
|
|
|
|
|
|
|
|
|
ТОВ» Трейд Лайн «
|
81,3
|
67,3
|
88,5
|
19,0
|
15,6
|
29,8
|
7,7
|
0,0
|
3,1
|
2,9
|
3,8
|
81,0
|
0,0
|
0,0
|
0,0
|
0,0
|
|
ТОВ « Наша Шина «
|
17,1
|
30,0
|
16,8
|
10,1
|
20,4
|
57,5
|
82,6
|
85,4
|
7,8
|
12,5
|
0,6
|
4,5
|
54,7
|
0,0
|
0,0
|
0,0
|
|
ТОВ « Новая Шина «
|
26,8
|
35,1
|
51,3
|
58,4
|
62,6
|
46,4
|
23,1
|
34,5
|
4,4
|
7,0
|
13,8
|
7,1
|
6,2
|
11,5
|
11,8
|
0,0
|
Примітка. Розраховано за даними дод. А.
Таблиця
2.7
Аналіз раціональності використання
товарних запасів у 2012 році ТОВ «АД Шина»
|
Торговельні
підприємства
|
Темп приросту
(падіння) товарообороту, %
|
Темп приросту
(падіння) середніх товарних запасів, %
|
Темп раціонального
приросту товарних запасів, %
|
Відхилення
фактичних темпів приросту (падіння) товарних запасів від раціональних (+, -),
0/п
|
|
1 група
|
|
|
|
|
|
ТОВ «АД Шина»
|
20,7
|
7,6
|
4,5
|
3,0
|
|
ТОВ « « Росава «
|
49,2
|
-80,4
|
7,0
|
73,4
|
|
ТОВ « Автолюкс «
|
32,9
|
10,3
|
5,7
|
4,6
|
|
2 група
|
|
|
|
|
|
ТОВ « Трейд Лайн «
|
-12,5
|
-77,8
|
-3,5
|
-74,3
|
|
ТОВ « Наша Шина «
|
23,1
|
33,3
|
4,8
|
28,5
|
|
ТОВ « Новая Шина «
|
14,2
|
11,1
|
3,8
|
7,4
|
Примітка. Розраховано за даними додатку А.
На другому місці за значенням знаходиться, на жаль,
дебіторська заборгованість, частка якої за досліджений період мала тенденцію до
зростання. На підприємстві ТОВ «АД Шина», як підприємства оптової торгівлі на
початок 2012 року прослідковувалось поступове збільшення питомої ваги
дебіторської заборгованості, що цілком співпадає з загальними тенденціями змін
структури активів на українських підприємствах (див. п. 2.1). У першу чергу це
пов`язано з уповільненням платіжного обороту в країні.
Аналіз структури дебіторської заборгованості показав, що на ТОВ
«АД Шина» та більшості підприємств привалює дебіторська заборгованість за
товари, роботи, послуги (табл. 2.8).
Таблиця
2.8
Структура дебіторської заборгованості ТОВ «АД Шина»
|
Торговельні
підприємства
|
Питома вага
дебіторської заборгованості на початок року,% до підсумку
|
|
за товари, роботи,
послуги
|
за векселями
|
за розрахунками з
бюджетом
|
за іншими
розрахунками
|
|
1 група
|
2011
|
2012
|
2011
|
2012
|
2011
|
2012
|
2011
|
2012
|
|
ТОВ «АД Шина»
|
24,5
|
69,2
|
3,2
|
3,6
|
8,9
|
11,2
|
63,4
|
16
|
|
ТОВ « Росава «
|
30,2
|
12,7
|
4,8
|
4,9
|
12,4
|
11,6
|
52,6
|
70,8
|
|
ТОВ « Автолюкс «
|
73,6
|
59,1
|
1,2
|
2,4
|
11,7
|
22,5
|
13,5
|
16
|
|
2 група
|
|
|
|
|
|
|
|
|
|
ТОВ « Трейд Лайн «
|
6,5
|
50,0
|
4,0
|
4,8
|
22,8
|
25,7
|
66,7
|
19,5
|
|
ТОВ « Наша Шина «
|
2,9
|
0,8
|
3,4
|
14,2
|
14,1
|
11,6
|
79,6
|
73,4
|
|
ТОВ « Новая Шина «
|
6,4
|
10,1
|
27,1
|
34,4
|
10,2
|
13,9
|
56,3
|
41,6
|
Примітка: Розрахунки проведено на основі первинних даних
досліджуваних підприємств (дод. А).
На підприємствах оптової торгівлі (на прикладі ТОВ «АД
Шина»), як показали розрахунки, частка дебіторської заборгованості значно
перевищує аналогічний показник підприємств роздрібної торгівлі. Головною
причиною високого рівня дебіторської заборгованості у структурі оборотних
активів є введення обов’язкової попередньої оплати товарів і порушення строків
постачання завчасно оплачених товарів. І тільки ті підприємства, які
застосовують оплату товарів з відстроченням платежів або на умовах комерційного
(товарного) кредиту, мають раціональну структуру оборотних активів.
З метою оцінки достатності оборотних активів для забезпечення
ефективності торгівлі обчислено коефіцієнти операційної платоспроможності та
негайної ліквідності (табл. 2.9).
На основі проведених розрахунків можна зробити висновки:
рівень операційної платоспроможності виявився задовільним у 60% досліджених
підприємств, що свідчить про достатність їхніх грошових коштів для покриття
поточних витрат на здійснення господарсько-фінансової діяльності. Дефіцит
грошових коштів на початок 2012 р. постійно відчували більшість підприємств.
Таблиця
2.9
Розрахунки коефіцієнтів достатності грошових коштів ТОВ» АД
Шина» (на початок року)
|
Торговельні
підприємства
|
Операційна
платоспроможність
|
Негайна ліквідність
|
|
2009
|
2010
|
2011
|
2012
|
2009
|
2010
|
2011
|
2012
|
|
1 група
|
|
|
|
|
|
|
|
|
|
ТОВ «АД Шина»
|
8,68
|
5,02
|
1,21
|
7,89
|
0,31
|
0,28
|
0,13
|
0,44
|
|
ТОВ « Росава «
|
1,46
|
2,96
|
4,48
|
6,09
|
0,01
|
0,05
|
0,18
|
0,29
|
|
ТОВ « Автолюкс «
|
1,45
|
1,87
|
1,91
|
6,08
|
0,03
|
0,06
|
0,01
|
0,04
|
|
2 група
|
|
|
|
|
|
|
|
|
|
ТОВ « Трейд Лайн «
|
1,29
|
0,48
|
0,85
|
0,42
|
0,02
|
0,01
|
0,00
|
|
ТОВ «« Наша Шина
|
2,57
|
1,48
|
0,38
|
0,13
|
0,05
|
0,02
|
0,00
|
0,00
|
|
ТОВ « Новая Шина «
|
5,94
|
5,02
|
4,68
|
9,02
|
0,04
|
0,05
|
0,06
|
0,10
|
Примітка. При розрахунках використано первинні дані
досліджених підприємств (додаток А)
Теорія фінансового менеджменту [20; 31; 66; 67; 68]
виокремлює три принципові підходи до формування оборотних активів підприємств -
консервативний, помірний та агресивний.
В торгівлі основою цих підходів має стати рівень достатності
оборотних активів для забезпечення операційної діяльності підприємств, якою є
реалізація товарів і торговельне обслуговування покупців. Для визначення
підходів, які застосовувалися при формуванні оборотних активів ТОВ АД «Шина» та
підприємств в сфері торгівлі автомобільними шинами, в роботі запропоновано
коефіцієнт достатності оборотних активів для забезпечення основної операційної
діяльності підприємства. Для торговельних підприємств цей коефіцієнт можна
обчислювати за формулою:
(2.2)
де
- коефіцієнт достатності оборотних активів для
забезпечення товарообігу;
-
середньорічний обсяг оборотних активів;
Т - річний обсяг товарообороту.
Для оцінки підходів до формування оборотних активів в роботі
використано такі граничні величини цього показника:
для агресивної стратегії -
<
0,3;
для помірної - 0,3
0,7;
для консервативної -
>
0,7.
Проведений аналіз дозволив визначити види стратегічних підходів до
формування оборотних активів, які застосовувалися дослідженими торговельними
підприємствами у 2010 - 2012 роках (табл. 2.10).
Таблиця
2.10
Види стратегічних підходів до формування оборотних активів
підприємств
|
Торговельні
підприємства
|
2010 рік
|
2011 рік
|
2012 рік
|
|
|
Вид стратегії
|
|
Вид стратегії
|
|
Вид стратегії
|
|
1
|
2
|
3
|
4
|
5
|
6
|
7
|
|
1 група
|
|
|
|
|
|
|
|
ТОВ «АД Шина»
|
0,06
|
агресивна
|
0,04
|
агресивна
|
0,04
|
Агресивна
|
|
ТОВ « Росава «
|
0,05
|
агресивна
|
0,05
|
агресивна
|
0,03
|
Агресивна
|
|
ТОВ « Автолюкс «
|
0,11
|
агресивна
|
0,26
|
агресивна
|
0,20
|
Агресивна
|
|
2 група
|
|
|
|
|
|
|
|
ТОВ « Трейд Лайн «
|
0,07
|
агресивна
|
0,07
|
агресивна
|
0,05
|
Агресивна
|
|
ТОВ « Наша Шина «
|
0,06
|
агресивна
|
0,06
|
агресивна
|
0,04
|
Агресивна
|
|
ТОВ « Новая Шина «
|
0,7
|
помірна
|
0,73
|
консервативна
|
0,11
|
Агресивна
|
Установлено, що починаючі з 2010 підприємство ТОВ «АД Шина»
дотримувались агресивної стратегії формування оборотних активів. Наскільки
ефективним виявилось застосування визначеної стратегії показано в п.п. 2.3
роботи.
.3 Аналіз ефективності авансування оборотного капіталу
підприємств
Вибір системи авансування оборотного капіталу в активи
торговельних підприємств відноситься до стратегії фінансового управління.
Розробка такої стратегії потребує оцінки достатності наявного оборотного
капіталу для авансування необхідних активів підприємств, аналізу ефективності
його формування й використання, розробки заходів щодо оптимізації обсягів
оборотного капіталу, швидкості його обертання, забезпечення високого рівня
ліквідності та фінансової стійкості підприємства.
Мета стратегії управління фінансовою діяльністю підприємства
полягає насамперед у забезпеченні необхідного рівня самофінансування, який
характеризується питомою вагою власних фінансових ресурсів у загальному обсязі
і виражається коефіцієнтом фінансової автономії (незалежності). Підґрунтям
розробки такої стратегії є аналіз рівня фінансової незалежності (табл. 2.11).
Таблиця
2.11
Динаміка коефіцієнтів фінансової незалежності ТОВ»АД Шина»
|
Торговельні
підприємства
|
Коефіцієнти на
початок року
|
індекс росту %
|
2012 р. у % до 2009
р.
|
|
2009
|
2010
|
2011
|
2012
|
2010
|
2011
|
2012
|
2012 р.
|
|
1 група
|
|
|
|
|
|
|
|
|
|
ТОВ «АД Шина»
|
0,03
|
0,28
|
0,39
|
0,48
|
93,33
|
139,29
|
123,08
|
1600,00
|
|
ТОВ « Росава «
|
0,95
|
0,98
|
0,99
|
0,98
|
103,16
|
101,02
|
98,99
|
103,16
|
|
ТОВ « Автолюкс «
|
0,61
|
0,74
|
0,44
|
0,63
|
121,31
|
59,46
|
143,18
|
103,28
|
|
2 група
|
|
|
|
|
|
|
|
|
|
ТОВ « Трейд Лайн «
|
0,41
|
0,32
|
0,09
|
0,82
|
78,05
|
28,13
|
911,11
|
200,00
|
|
ТОВ « Наша Шина «
|
0,61
|
0,24
|
0,22
|
0,14
|
39,34
|
91,67
|
63,64
|
22,95
|
|
ТОВ « Новая Шина «
|
0,11
|
0,88
|
0,98
|
0,30
|
800,00
|
111,36
|
30,61
|
272,73
|
Примітка. Коефіцієнти фінансової незалежності розраховано за
даними статистичної звітності підприємств (дод. Б ) як відношення власного
капіталу (без урахування збитків минулого і звітних періодів) до позиченого.
Розрахунки показали, що на початок 2012 року ТОВ «АД Шина»
працювало зі стабільним товарооборотом і мало середній рівень забезпеченості
власним капіталом. Аналіз показує, що зменшення власного капіталу є особливо
характерним для збиткових підприємств, що призводить до повної їх залежності
від внутрішніх і зовнішніх кредиторів. Таке становище відображається в балансах
негативним значенням власного капіталу, що означає нестачу власного капіталу
навіть на відшкодування збитків.
Нестачу власних коштів підтверджують і обчислені в роботі коефіцієнти
фінансового левериджу (табл. 2.12), які виражаються відношенням власного
капіталу до позикового [31, 127]. Цей показник дає можливість оцінити рівень
забезпеченості позиковим капіталом і вірогідність повернення кредитів. Як видно
з розрахунків, рівень забезпеченості позик власним капіталом протягом 2009-2012
рр. погіршився. І тільки на початку 2012 р. ситуація дещо покращилася, але
підприємство ТОВ «АД Шина» ще не досягло нормативного рівня цього показника
(норматив цього коефіцієнта
1).
Для порівняння діяльності ТОВ «АД Шина» з іншими підприємствами показано, що
надійну вірогідність повернення боргів мають підприємства першої групи.
Таблиця
2.12
Аналіз коефіцієнтів фінансового левериджу
|
Торговельні
підприємства
|
Коефіцієнти на
початок року
|
Індекс росту, %
|
2012 р. у % до 2009
р.
|
|
2009
|
2010
|
2011
|
2012
|
2010
|
2011
|
2012
|
2012 р.
|
|
1 група
|
|
|
|
|
|
|
|
|
|
ТОВ «АД Шина»
|
0,03
|
0,39
|
0,64
|
0,92
|
1300,00
|
164,10
|
143,75
|
3066,67
|
|
ТОВ « Росава «
|
19,00
|
49,00
|
99,00
|
49,00
|
257,89
|
202,04
|
49,49
|
257,89
|
|
ТОВ « Автолюкс «
|
1,56
|
2,85
|
0,79
|
1,70
|
182,69
|
27,72
|
215,19
|
108,97
|
|
2 група
|
|
|
|
|
|
|
|
|
|
ЗАТ ТПК « Трейд
Лайн «
|
0,69
|
0,47
|
0,10
|
4,50
|
68,12
|
21,28
|
4500,00
|
652,17
|
|
ТОВ « Наша Шина «
|
1,56
|
0,32
|
0,28
|
0,16
|
20,51
|
87,50
|
57,14
|
10,26
|
|
ТОВ « Новая Шина «
|
0,12
|
7,33
|
49,00
|
0,43
|
610,33
|
668,49
|
0,88
|
358,33
|
Примітка. Розраховано за звітними даними досліджуваних
підприємств (дод. Б).
Проведений аналіз стану капіталу підприємства ТОВ «АД Шина»,
засвідчує, що воно характеризується недостатністю власного капіталу, а тому
підвищеним ризиком втрати фінансової незалежності. Треба відмітити, що ті
підприємства, що мають достатню забезпеченість власним капіталом, стикаються з
іншою проблемою, пов’язаною з падінням ефективності його використання.
За визначенням вітчизняних науковців, підвищення ефективності
використання власного капіталу пов’язане з оптимальним співвідношенням між
темпами росту активів підприємства і темпами росту його власного капіталу [19,
661].
Вивчення таких співвідношень показало, що темпи зростання,
зокрема, оборотних активів підприємства ТОВ «АД Шина» протягом досліджуваного
періоду були вищими ніж темпи росту власного оборотного капіталу.
Аналіз структури кредиторської заборгованості дозволив
виявити, що в ній найбільшу питому вагу складає поточний борг за товари,
роботи, послуги на переважній більшості. Звертає на себе увагу перевищення
кредиторської заборгованості над дебіторською ТОВ» АД Шина» (табл. 2.13).
Таблиця
2.13
Динаміка співвідношень кредиторської та дебіторської заборгованостей
підприємств
|
Торговельні
підприємства
|
Коефіцієнт на
початок року
|
Відхилення від
попереднього року (+, -)
|
2012 р. у %, до
2009 р.
|
|
2009
|
2010
|
2011
|
2012
|
2010
|
2011
|
2012
|
2012 р.
|
|
1 група
|
|
|
|
|
|
|
|
|
|
ТОВ «АД Шина»
|
9,29
|
6,85
|
10,82
|
20,73
|
-2,44
|
3,97
|
9,91
|
223,14
|
|
ТОВ « Росава «
|
41,73
|
10,72
|
3,06
|
8,25
|
-31,01
|
-7,66
|
5,19
|
19,77
|
|
ТОВ « Автолюкс «
|
2,56
|
2,65
|
4,14
|
1,91
|
0,09
|
1,49
|
-2,23
|
74,61
|
|
2 група
|
|
|
|
|
|
|
|
|
|
ЗАТ ТПК « Трейд
Лайн «
|
10,02
|
11,29
|
182
|
0
|
1,27
|
170,71
|
-182,00
|
0,00
|
|
ТОВ « Наша Шина «
|
6,99
|
10,48
|
5,72
|
4,03
|
3,49
|
-4,76
|
-1,69
|
57,65
|
|
ТОВ « Новая Шина «
|
1,69
|
3,14
|
5,88
|
2,97
|
1,45
|
2,74
|
-2,91
|
175,74
|
Примітка. Розраховано за звітними даними досліджуваних
підприємств [дод. А, Б].
Аналіз показує, що оборотний капітал підприємства ТОВ «АД
Шина» формується переважно за рахунок кредиторської заборгованості, у тому
числі й простроченої і також має місце тенденція до поступового збільшення
коефіцієнта співвідношення кредиторської і дебіторської заборгованостей. Треба
відмітити, що прострочену кредиторську заборгованість можна виражати
коефіцієнтами її ліквідності, які дозволяють оцінити можливість негайного
погашення кредиторської заборгованості, термін сплати якої минув, і
розраховуються як відношення залишку грошових коштів, їх еквівалентів та
поточних фінансових інвестицій до простроченої кредиторської заборгованості
(табл. 2.14).
Значення цих коефіцієнтів менші одиниці означають
неспроможність підприємств швидко погасити навіть ту частку кредиторської
заборгованості, яка прострочена. Як показали розрахунки у 2012 р. ситуація
підприємства ТОВ « АД Шина» покращилась з обслуговування прострочених боргів в
порівнянні з 2009 р. Тобто фінансовий стан підприємства ТОВ «АД Шина», як
прибуткового, характеризується нестачею оборотного капіталу найперше в
абсолютно ліквідній (грошовій) формі.
Таблиця
2.14
Розрахунки та аналіз ліквідності простроченої кредиторської
заборгованості ТОВ «АД Шина»
|
Торговельні
підприємства
|
Коефіцієнт
ліквідності на початок року
|
Базисний темп росту
ліквідності ,%
|
Відхилення
ліквідності 2012 р. від 2009 р.
|
|
2009
|
2010
|
2011
|
2012
|
2010
|
2011
|
2012
|
2012 р.
|
|
1 група
|
|
|
|
|
|
|
|
|
|
ТОВ «АД Шина»
|
1,67
|
2,6
|
3,85
|
3,94
|
155,69
|
230,54
|
235,93
|
2,27
|
|
ТОВ «Росава»
|
0,05
|
0,22
|
0,69
|
0,71
|
440,00
|
1420,00
|
0,66
|
|
ТОВ «Автолюкс»
|
0,18
|
0,46
|
0,62
|
0,89
|
255,56
|
344,44
|
494,44
|
0,71
|
|
2 група
|
|
|
|
|
|
|
|
|
|
ТОВ «Трейд Лайн»
|
0,03
|
0,01
|
0,0
|
0,0
|
33,33
|
0,00
|
0,00
|
-0,03
|
|
ТОВ «Наша Шина»
|
0,14
|
0,06
|
0,0
|
0,0
|
42,86
|
0,00
|
0,00
|
-0,14
|
|
ТОВ «Новая Шина»
|
0,15
|
0,14
|
0,37
|
0,48
|
93,33
|
246,67
|
320,00
|
0,32
|
Примітка. Розраховано за звітними даними досліджуваних
підприємств (дод. В).
Обґрунтування фінансової стратегії потребує визначення
ефективних джерел залучення оборотного капіталу для авансування оборотних
активів, оскільки власного капіталу у підприємства не вистачає навіть на
інвестування необоротних активів підприємств. Складність розв`язання питань
формування оборотного капіталу пов`язана з необхідністю забезпечення
ефективності його залучення. Треба відмітити, що за умов одержання дорогих
кредитів підприємства змушені авансувати частину власних грошових коштів (капіталу)
в оборотні активи.
Таким чином, вибір ефективної стратегії формування оборотного
капіталу зводиться до пошуків оптимальних джерел його залучення, що потребує
аналізу структури оборотного капіталу за основними джерелами формування за
попередній період, виходячи з наявності власного оборотного капіталу і оцінки
рівня забезпеченості оборотних активів власним капіталом. Такий рівень
(коефіцієнт) характеризується часткою власного капіталу у загальному обсязі
оборотного капіталу.
Аналіз показує, що економічній літературі виділяють абсолютні
і відносні показники фінансової стійкості [69, 87; 70, 222-224]. До абсолютних
показників найперше відносять наявність власних оборотних коштів, тобто чистого
оборотного капіталу, який розраховується як різниця між обсягом власного та
прирівняного до нього (довгострокові кредити) капіталу і обсягом капіталу,
інвестованого в необоротні активи, або як різниця між обсягом авансованого в
оборотні активи капіталу і поточною (короткостроковою) кредиторською
заборгованістю. До відносних показників належить рівень забезпеченості
оборотних активів власним капіталом. Оптимальне значення останнього показника
визначено на рівні 30-40% [31, 127]. В ньому враховується співвідношення між
низьколіквідними та високоліквідними активами. Нині економісти вважають, що
власний оборотний капітал необхідно вкладати в оборотні активи низької
ліквідності, до яких відносять ті оборотні активи, обсяг яких є практично
незмінним у короткостроковому періоді. Також відзначається, що на практиці
іноді до групи низьколіквідних відносять мінімально необхідний обсяг оборотних
активів. Він може бути визначений, наприклад, на основі спостережень за
декілька минулих років [71, 178]. Також до низьколіквідних активів відносять
частку товарних запасів або інших матеріальних активів, які мають низьку
швидкість реалізації [19, 530]. В роботі пропонується, до низьколіквідних
оборотних активів, крім товарно-матеріальних запасів з низькою швидкістю
реалізації, слід відносити й прострочену дебіторську заборгованість.
Проведені розрахунки дозволяють зробити висновок, що чим
вищою є частка товарно-матеріальних запасів на підприємстві і чим довший термін
їх обертання, тим вищим повинен бути коефіцієнт забезпеченості оборотних
активів власним капіталом. Аналіз рівня забезпеченості оборотних активів
власним капіталом (табл. 2.15) показав, що протягом 2009-2012 рр. підприємство
ТОВ «АД Шина», які іньші підприємства галузі не мало власного оборотного
капіталу. Треба відмітити, що це характерно для збиткових підприємств, які не
мають власного капіталу для авансування оборотних активів, але й серед
рентабельних є такі, що протягом досліджуваного періоду не авансують власний
капіталу в оборотні активи.
Таблиця
2.15
Аналіз рівня авансування оборотних активів ТОВ «АД Шина»
власним оборотним капіталом
|
Торговельні
підприємства
|
Рівень
забезпеченості на початок року, %
|
Відхилення 2012 р.
від 2009 р., 0/п (+, -)
|
|
2009
|
2010
|
2011
|
2012
|
|
|
1 група
|
|
|
|
|
|
|
ТОВ «АД Шина»
|
0,0
|
8,7
|
25,5
|
1,2
|
1,2
|
|
ТОВ «Росава»
|
0,0
|
0,0
|
0,0
|
0,0
|
0,0
|
|
ТОВ «Автолюкс»
|
0,0
|
5,1
|
4,8
|
20,3
|
20,3
|
|
2 група
|
|
|
|
|
|
|
ТОВ «Трейд Лайн»
|
0,0
|
0,0
|
0,0
|
0,0
|
0,0
|
|
ТОВ «Наша Шина»
|
0,0
|
0,0
|
0,0
|
0,0
|
0,0
|
|
ТОВ «Новая Шина»
|
0,0
|
0,0
|
0,0
|
0,0
|
0,0
|
Примітка. Розраховано за звітними даними досліджуваних
підприємств (дод. А, Б).
Виявлено також, що найбільш позитивні тенденції щодо
забезпечення власним оборотним капіталом притаманні підприємствам зі стабільним
товарооборотом. Досить високе значення показника забезпечення власним оборотним
капіталом пояснюється високою часткою товарно-матеріальних запасів в оборотних активах
та уповільненим їх обертанням.
Нульові значення коефіцієнта забезпеченості оборотних активів
власним капіталом на початок 2012 року, навіть за умов невеликої частки
низьколіквідних оборотних активів, вказують на вкрай ризиковані умови
функціонування підприємства.
Найгірше фінансове становище, як уже відзначається, на
збиткових підприємствах при падінні товарообороту. Треба відмітити, що чим
вищою є частка оборотного капіталу у загальному обсязі власного капіталу
підприємства, тим швидше воно зможе відреагувати на зміни кон’юнктури ринку,
тим вища гнучкість використання власного капіталу. Дотримання відносно
стабільного значення цього показника ТОВ «АД Шина» в межах 40 - 60% вважається
оптимальним [19, 536]. За умов, якщо обсяг необоротних активів на підприємстві
значно перевищує обсяг оборотних активів через високий рівень
матеріально-технічної бази і різке падіння обсягів товарообороту рекомендоване
оптимальне значення цього показника можливо зменшити до 15-25%. Особливе
значення при цьому має маневреність капіталу, яка визначається коефіцієнтами
маневреності активів підприємств та часткою низьколіквідних оборотних активів і
характеризує можливість швидкої реакції на зміни кон’юнктури ринку.
Аналіз коефіцієнтів маневреності з урахуванням запропонованих
оптимальних рівнів (табл. 2.16) показав, що на початок 2012 р. підприємство ТОВ
«АД Шина» не досягло запропонованого рівня маневреності капіталу, а тому
характеризуються уповільненою реакцією на зміни кон’юнктури ринку.
Таблиця
2.16
Динаміка коефіцієнтів маневреності власного капіталу ТОВ» АД
Шина»
|
Торговельні
підприємства
|
Коефіцієнти на
початок року, %
|
2012 р. у% до 2011
р.
|
|
2009
|
2010
|
2011
|
2012
|
|
|
1 група
|
|
|
|
|
|
|
ТОВ «АД Шина»
|
0,0
|
17,4
|
40,0
|
1,3
|
3,3
|
|
ТОВ «Росава»
|
0,0
|
0,0
|
0,0
|
0,0
|
-
|
|
ТОВ «Автолюкс»
|
0,0
|
1,9
|
6,6
|
14,8
|
24,2
|
|
2 група
|
|
|
|
|
|
|
ТОВ «Трейд Лайн»
|
0,0
|
0,0
|
0,0
|
0,0
|
-
|
|
ТОВ «Наша Шина»
|
0,0
|
0,0
|
0,0
|
0,0
|
-
|
|
ТОВ «Новая Шина»
|
0,0
|
0,0
|
0,0
|
0,0
|
-
|
Примітка. Розраховано за звітними даними досліджуваних
підприємств (дод. Б).
Результатом проведеного в розділі аналізу ТОВ» АД Шина «
стало визначення принципових підходів до оцінки та формування оборотного
капіталу торговельних підприємств на базі системи формування оборотного
капіталу з позицій вибору прийнятного рівня доходності та ризиків фінансової
діяльності, розкритої в [19; 20; 33; 64; 69; 70; 72].
Для обґрунтування цих підходів оборотний капітал поділено на
дві частини. Перша - це змінний оборотний капітал, що формується за рахунок
короткострокових зобов`язань підприємств, а друга - постійний, що формується за
рахунок власного і прирівняного до нього довгострокового позикового капіталу,
тобто перманентного капіталу. Після виділення постійної та змінної частин
оборотного капіталу оцінено рівень його спроможності авансувати потребу в
постійних і змінних оборотних активах.
Аналіз діяльності підприємств [20, 311] показує, що
виділяються три принципових стратегії формування оборотних активів, а тому й
оборотного капіталу підприємств - це агресивна, помірна та консервативна. Якщо
агресивний підхід полягає в мінімізації всіх видів оборотних активів, а
відповідно й потреби в оборотному капіталі, то консервативний передбачає
формування великих резервних обсягів оборотних активів, зокрема, товарних
запасів на випадок активізації споживчого попиту та інших непередбачуваних обставин,
що вимагає додаткових обсягів найперше власного оборотного капіталу. При
нестачі власного оборотного капіталу, як підтверджує практика, підприємства
вдаються до збільшення змінної його частини за рахунок позикового капіталу.
Агресивний підхід до формування оборотного капіталу передбачає, що за рахунок
власного оборотного капіталу авансується не більше 50% постійної частини
оборотних активів, а решта постійних оборотних активів і вся змінна їхня
частина авансується за рахунок короткострокового позикового капіталу. При
помірному підході до формування оборотного капіталу власний оборотний капітал
має повністю покривати лише постійну частину оборотних активів. У даному
випадку частка власного оборотного капіталу у загальному обсязі оборотного
капіталу дорівнює частці постійної частини оборотних активів у загальному
обсязі оборотних активів. Консервативним вважається такий підхід, при якому за
рахунок власного оборотного капіталу покривається не тільки вся постійна
частина оборотних активів, а щонайменше 50% змінної їх частини.
У процесі вибору політики формування оборотного капіталу ТОВ»
АД Шина» велику роль відіграє оцінка сезонної частини оборотних активів, яка
визначається як різниця між максимальною і мінімальною потребою в них протягом
року. Оскільки співвідношення постійної і змінної частин оборотних активів є
основою управління їх обертанням і вибору конкретних джерел авансування, то
першим етапом визначення політику формування оборотного капіталу повинна стати
оптимізація співвідношення між постійною та змінною частинами оборотних активів
як об’єктів авансування оборотного капіталу.
Висновки до розділу 2:
Діагностика трансформації споживчого ринку в Україні,
вивчення джерел і умов формування та аналіз ефективності використання
оборотного капіталу суб’єктами торговельної діяльності дозволили зробити ряд
висновків. За умов, коли економічна криза позбавила фінансові структури і
господарюючі суб’єкти оборотного капіталу, пошуки коштів для авансування
оборотних активів стали досить проблематичними і викликали необхідність
наукового обґрунтування стратегії забезпечення підприємств оборотним капіталом.
1. В роботі проведена оцінка умов формування оборотного
капіталу та активів торгівельних підприємств та показано, що за обсягами
оборотного капіталу торгівля нині займає друге місце після промисловості,
обігнавши такі галузі, як транспорт разом зі зв’язком і сільське господарство.
Нарощування оборотного капіталу в торгівлі супроводжувалося деформацією його
структури, викликаною найперше відволіканням від основної діяльності і
авансуванням дебіторів. На 40% досліджених підприємств спостерігалося поступове
збільшення питомої ваги дебіторської заборгованості при скороченні товарних
запасів у структурі оборотних активів. І тільки ті підприємства, які
застосовують оплату товарів з відстроченням платежів або на умовах комерційного
(товарного) кредиту, мають раціональну структуру оборотних активів.
2. За розрахованими коефіцієнтами інтенсивного та
екстенсивного використання оборотного капіталу в обслуговуванні товарообороту
підприємств виявлено, що сучасний етап розвитку торговельної діяльності
характеризується позитивною тенденцією переходу від екстенсивного до
інтенсивного використання оборотних активів. Виходячи з рівня достатності
власного оборотного капіталу підприємств, який визначає їх фінансову
незалежність і можливості самофінансування, установлено, що досліджене в роботі
підприємство ТОВ «АД Шина» є кредитозалежним. Обсяг позиченого капіталу
перевищує вартість наявних активів, бо використовувався не тільки за призначенням,
а й на відшкодування збитків підприємства. Це засвідчує високий ризик втрати
підприємством фінансової незалежності.
. На основі вищеозначених методологічних підходів було
сформовано систему оцінних показників для аналізу оборотних активів торговельних
підприємств. Виділено п’ять найважливіших груп показників, в основу яких
покладено ознаку функціонального призначення оборотних активів і для кожної
групи підприємств визначено ті показники, які дають змогу охарактеризувати
ефективність використання оборотних активів
. Вагомим негативним наслідком формування оборотного
капіталу в торгівлі є відсутність або нестача чистого (власного) оборотного
капіталу. Так, на початку 2012 р. 52% досліджених підприємств не мали власного
капіталу для авансування оборотних активів, а тому авансували оборотні активи
виключно за рахунок кредиторської заборгованості, більша частка якої була
простроченою. Тільки підприємства зі стабільно зростаючим товарооборотом мали
оптимальні обсяги власного оборотного капіталу і стійкий фінансовий стан.
. Результатом проведеного в розділі аналізу ТОВ «АД Шина» стало визначення принципових
підходів до оцінки та формування оборотного капіталу торговельних підприємств
на базі системи формування оборотного капіталу з позицій вибору прийнятного
рівня доходності та ризиків фінансової діяльності, розкритої в [19; 20; 33; 64;
69; 70; 72].
Для обґрунтування цих підходів оборотний капітал поділено на
дві частини. Перша - це змінний оборотний капітал, що формується за рахунок
короткострокових зобов`язань підприємств, а друга - постійний, що формується за
рахунок власного і прирівняного до нього довгострокового позикового капіталу,
тобто перманентного капіталу. Після виділення постійної та змінної частин
оборотного капіталу оцінено рівень його спроможності авансувати потребу в
постійних і змінних оборотних активах.
. Аналіз діяльності підприємств [20, 311] показує, що
виділяються три принципових стратегії формування оборотних активів, а тому й
оборотного капіталу підприємств - це агресивна, помірна та консервативна.
РОЗДІЛ 3. НАПРЯМИ УДОСКОНАЛЕННЯ
УПРАВЛІННЯ ОБОРОТНИМ КАПІТАЛОМ ПІДПРИЄМСТВ
.1 Формування напрямів управління оборотним капіталом
Основою обґрунтування напрямів управління оборотним капіталом
підприємств в роботі на прикладі торговельних підприємств вибрано інтенсивний
напрямок розвитку бюджету підприємства, який неможливий без визначення
оптимальних обсягів оборотних активів і пошуків ефективних джерел формування
капіталу для їх авансування. Такий підхід потребує цілісного механізму управління
кругообігом капіталу, фінансових потоків, починаючи з закупівлі товарів і
закінчуючи їх реалізацією.
Треба відмітити, що розробка напрямів управління оборотним
капіталом має спиратися на загальну стратегію управління підприємницькою
діяльністю, обґрунтування якої обов’язково передує стратегічному плануванню
оборотного капіталу.
Відомо, що початковим етапом розробки стратегії управління є
визначення місії, мети і задач діяльності підприємства [77, 23; 87, 9]. В
процесі обґрунтування перспективних напрямів функціонування підприємств можуть
формуватися різні типи стратегії й розвитку.
При обґрунтуванні стратегії управління оборотним капіталом
необхідно виходити з оцінки діючої на підприємстві загальної стратегії [40, 53;
81, 57]. Розробка стратегії управління оборотним капіталом вимагає чіткого
взаємозв`язку її з загальними стратегічними установками підприємства.
Для торговельних підприємств головними класифікаційними
ознаками будь-якої загальної стратегії є динаміка товарообороту і
рентабельності. Аналіз в 2 розділі практики торговельної діяльності підприємств
( прикладом є ТОВ «АД Шина») дозволило виявити, що в сучасних умовах найбільш
поширеною є стратегія «обмеженого зростання». Вона характерна для прибуткових
підприємств з невисокими темпами зростання товарообороту і стійким положенням
на.
В роботі показано, що серед принципів формування й
використання оборотного капіталу основним є орієнтація на потребу в оборотних
активах, обґрунтування напряму управління оборотним капіталом повинно
базуватись і постійно ув’язуватись з маркетинговою стратегією підприємства.
Загальний обсяг і структура оборотних активів підприємств, як відомо,
визначається саме маркетинговою програмою [86, 122-124], в основі якої лежить
обґрунтування товарної (продуктової) політики підприємства. Відмітимо, що після
визначення стратегічних напрямів формування оборотних активів підприємства
починається пошук джерел авансування цих активів, тобто обґрунтування стратегії
формування і використання оборотного капіталу.
Процес розробки напрямів удосконалення управління оборотним
капіталом передбачає виконання таких основних етапів: визначення стратегічних
цілей управління оборотним капіталом, формування задач управління, аналіз
оборотного капіталу, розробка плану управління оборотним капіталом, контроль і
коригування стратегічних рішень при реалізації задач поточного і оперативного
рівнів управління[78]. (рис. 3.1) На рис.3.1 прим. ОА - загальний обсяг
оборотних активів, ОК - загальний обсяг оборотного капіталу.
Система цілей управління оборотним капіталом є
багаторівневою. Реальність і ефективність стратегії забезпечуються конкретністю
і вимірюваністю цілей, їх збалансованістю та забезпеченістю ресурсами, чіткою
орієнтацією за часом. Слід зазначити, що генеральна ціль управління оборотним
капіталом і субпідрядні цілі першого рівня є практично однаковими при
застосуванні підприємством будь-якої базової стратегії. Стратегічні ж цілі
другого рівня не є однаковими для усіх підприємств. Хоча за своїм змістом всі
наведені на рисунку цілі є актуальними для підприємства, пріоритетність тих чи
інших цілей визначається кожним підприємством окремо. Ця ієрархія зумовлюється
головним чином обраною базовою та фінансовою стратегіями підприємства.
Наступним етапом є проведення всебічного аналізу оборотного
капіталу як стратегічного ресурсу підприємства. Аналіз необхідно проводити за
двома напрямами: діагностика зовнішніх умов формування і авансування оборотного
капіталу підприємств на основі чіткої діагностики ефективності управління
формуванням і використанням оборотного капіталу окремого підприємства.
Результатом аналізу має стати всебічна оцінка оборотного
капіталу, виявлення особливостей його формування та авансування, тенденцій
зміни, можливих і неможливих шляхів поповнення та вартості залучення. Етапність
проведення аналізу принципового значення не має, оскільки аналіз внутрішнього
середовища викликає необхідність урахування і зовнішнього впливу, а вивчення
впливу зовнішнього середовища в свою чергу вимагає аналізу внутрішніх факторів.
Досвід показує, що управління оборотним капіталом повинно
забезпечити пошук компромісу між ризиком втрати ліквідності і ефективністю
діяльності. Це зводиться до вирішення двох важливих завдань:
перше - забезпечення платоспроможності. Таке завдання не може
ставитися перед підприємством, яке невзмозі оплачувати рахунки, виконувати
зобов’язання і знаходиться на межі банкрутства. Підприємство, яке має
недостатній рівень оборотного капіталу, може зіштовхнутись з ризиком
неплатоспроможності;
друге - забезпечення достатнього обсягу, структури і
рентабельності оборотних активів, що потребує оптимізації цих показників.
Наприклад, високий рівень товарних запасів потребує відповідно значних поточних
витрат, проте широкий асортимент товарної продукції у подальшому може сприяти
підвищенню обсягів товарообороту. Кожне рішення, пов’язане з формуванням і
використанням оборотного капіталу, повинно обґрунтовуватися як з позицій
рентабельності, так і з позицій авансування оптимальної структури оборотних
активів.
Особливої уваги потребує обґрунтування оптимальних значень
оцінних показників стану оборотного капіталу. Значення головних фінансових
коефіцієнтів, які пропонуються в економічній літературі, як правило, стосуються
промислових підприємств. Обґрунтування оптимальних значень цих коефіцієнтів для
підприємств торгівлі повинно базуватись на інших принципах. Розрахунку
оптимальних значень ключових фінансових показників, необхідних для
обґрунтування стратегії управління оборотним капіталом, повинні проводитись
кожним підприємством самостійно.
Враховуючи загальні положення теорії і виявлені практичні
підходи до застосування політики формування оборотного капіталу, в роботі
приведено методику обчислення оптимальних значень основних показників оцінки
стану оборотного капіталу і загального фінансового стану підприємства (табл.
3.1). Запропоновані алгоритми ґрунтуються на нормативних показниках,
установлених для кожного виду політики формування оборотного капіталу. Для
проведення комплексної якісної оцінки стану оборотного капіталу підприємств
можна застосовувати методику, запропоновану провідними економістами
«ФТК-Инжиниринг» [88, 107].
Основні висновки проведеного аналізу стану оборотних активів
і діагностики достатності та ефективності авансування оборотного капіталу в активи
дослідженої сукупності торговельних підприємствах використано в процесі
оптимізації потреби в оборотних активах і капіталі для їх авансування (п.п. 2.2
і 2.3).
Для узагальнення результатів діагностики зовнішніх умов
формування та авансування оборотного капіталу і діагностики стану та
ефективності управління оборотним капіталом застосовується SWOT-аналіз, аналіз
стратегічної позиції (матриця MacKinsey) [117, 451]. Проведення SWOT-аналізу
передбачає оцінку сильних та слабких сторін внутрішнього середовища, а також
впливу зовнішнього середовища підприємства з метою ранжування всіх цих факторів
за рівнем впливу на стан оборотного капіталу і об’єктів його авансування[77,
171].
Таблиця
3.1
Обґрунтування оптимальних значень оцінних показників стану
оборотного капіталу в залежності від чинної політики його формування
|
Вид політики
|
Найменування
показника
|
|
Коефіцієнт
фінансової незалежності
|
Коефіцієнт
фінансового левериджу
|
Коефіцієнт
забезпечення оборотних активів власним оборотним капіталом
|
Коефіцієнт
маневреності власного капіталу
|
|
Агресивна
|
Кфн опт=(1-Кмоб) +
+ Кмоб* ЧОАпост.*0,5
|
Кфл опт =  =
|
|
|
|
Помірна
|
Кфн опт =(1-Кмоб) +
+ Кмоб* ЧОАпост
|
Кфл опт =  =
|
|
|
|
Консервативна
|
Кфн опт =(1-Кмоб) +
+ Кмоб* ЧОАпост + + Кмоб* ЧОАзмін.*0,5
|
Кфл опт =  =
|
|
|
|
Умовні позначення
|
Кмоб - коефіцієнт
мобільності; ЧОАпост - частка постійних оборотних активів у загальному обсязі
оборотних активів; ЧОАзмін - частка оборотних активів змінних у загальному
обсязі оборотних активів
|
Кфл опт -
коефіцієнт фінансового левериджу; Кфн опт - коефіцієнт фінансової
незалежності оптимальний
|
- коефіцієнт забезпечення оборотних активів власним
оборотним капіталом; ОА - загальний обсяг оборотних активів
|
Кман - коефіцієнт
маневреності власного капіталу; НОА - загальний обсяг необоротних активів
|
Заключним етапом SWOT-аналізу є встановлення зв’язків між
найбільш впливовими слабкими і сильними сторонами, загрозами і можливостями
зовнішнього середовища. Для цього будується типова матриця. Слід також
зазначити, що, незважаючи на чисельні переваги даного аналітичного методу, його
застосування може давати похибки. Це пояснюється тим, що при проведенні
SWOT-аналізу нерідко застосовується інформація, отримана методом експертних
оцінок. Побудовою результуючої SWOT-матриці закінчується блок стратегічного
аналізу і розпочинається безпосередньо стратегічне планування.
Провідна роль при обґрунтуванні стратегії управління
оборотним капіталом, як показано в роботі, належить моделюванню і оптимізації.
В нинішніх умовах обмеженості джерел поповнення оборотного капіталу найбільш прийнятним
слід вважати планування оборотного капіталу і оборотних активів на основі
оптимізації. Процес обґрунтування стратегії управління оборотним капіталом
потребує використання економіко-математичного інструментарію, який включає
розробку економіко-математичних моделей, вибір методів і засобів для проведення
розрахунків, пошук та аналіз отриманих результатів, прийняття рішень та
контроль за їх виконанням.
Виходячи з принципів розробки стратегії управління, в роботі
обґрунтовано засади та практичні підходи розв’язання задач управління оборотним
капіталом на основі оптимізації його обсягів і мінімізації витрат на
формування.
.2 Впровадження методів управління оборотним капіталом
підприємства
Основою формування та використання оборотного капіталу в
системі фінансової політики підприємства виступає оптимізація загального обсягу
і структури оборотних активів. Головні підходи до оптимізації оборотних активів
визначаються стратегією управління підприємством, яка ґрунтується на основі
діючої фінансової політики і потребує її коригування в напрямах скорочення
фінансових ризиків.
При обґрунтуванні стратегії управління оборотними активами
підприємств слід виходити з вибору ефективних джерел їх авансування, тобто
враховувати вартість залучення окремих видів капіталу. Такі методологічні
засади дозволяють вирішувати питання підвищення ефективності формування і
використання оборотних активів у взаємозв’язку з джерелами їх авансування
забезпеченням фінансової стійкості, платоспроможності та ліквідності
підприємств. Визначені засади підпорядковуються єдиній меті - забезпеченню
безперебійного процесу реалізації товарів при мінімальних поточних і
капітальних витратах.
Система формування і авансування оборотного капіталу має
багаторівневий характер. Початковий її рівень охоплює оптимізацію основних
параметрів, які визначають обсяги і структуру оборотних активів, а завершальний
- розробку політики управління оборотним капіталом на основі оптимізації
оборотних активів.
Треба відмітити, що оптимізація оборотного капіталу за усіма
параметрами неможлива. Тому необхідна структуризація задач оптимізації
управління оборотними активами по групі параметрів та джерелами їх авансування
на стратегічному, поточному і оперативному рівнях .
Управління оборотними активами на стратегічному рівні повинно
вирішувати такі задачі:
- оптимізацію загального обсягу оборотних активів на основі
обґрунтування ефективної політики їх формування та використання;
- забезпечення ліквідності, платоспроможності
підприємства на основі оптимізації структури оборотних активів та джерел їх
авансування;
прискорення обертання оборотних активів і капіталу;
підвищення фінансової стійкості підприємства;
скорочення середнього періоду погашення
кредиторської заборгованості.
На поточному та оперативному рівнях управління можна
розв`язувати більш конкретні задачі, зокрема, такі:
- розробляти оптимальні графіки платежів;
- оптимізувати рух дебіторської заборгованості на
основі визначення доцільності кредитування постачальників;
вибирати раціональні форми і способи розрахунків з
контрагентами;
оперативно коригувати обсяги товарних запасів з
метою їхньої оптимізації.
В економічній літературі досить повно викладено методи
розв’язання задач поточного та оперативного рівнів управління оборотними
активами у локальній постановці [64, 71, 113, 132, 134]. Оптимізація основних
параметрів управління оборотним капіталом повинна носити характер
збалансованості оборотних активів і джерел їх авансування.
В роботі приводиться методика вирішення задач оптимізації
основних параметрів, які характеризують стратегію управління оборотним
капіталом. Центральне місце в цій методиці належить оптимізації складу
оборотних активів та структури джерел їх авансування за умов стабільного
товарообігу, для ТОВ «АД Шина» та для типових підприємств приведених (табл. В.1
дод. В).
Формування стратегії управління оборотними активами
торговельних підприємств здійснюється на основі врахування таких факторів:
- загальної економічної стратегії діяльності підприємства;
- управління товарооборотом, товарними запасами, поточними
витратами,
доходами та прибутком;
політики формування власних та позикових фінансових
ресурсів.
Напрями управління оборотним капіталом є складовою загальної
економічної стратегії підприємства. Вона передбачає формування оптимального
обсягу та складу оборотних активів і джерел їх авансування, що потребує аналізу
і визначення принципових підходів до їх оптимізації за видами, забезпечення
необхідної ліквідності і підвищення рентабельності, обґрунтування загального
обсягу оборотного капіталу і джерел його формування.
Для вирішення основних задач управління оборотним капіталом
підприємств ТОВ «АД Шина» в роботі показано можливість використання два підходи
: перший - аналітичні розрахунки по цільовим функціям (3.1 і 3.14) на
конкретних даних для заданого підприємства по сформованій системі обмежень;
другій - розрахунок на основі балансової економіко-математичної моделі.
Треба відмітити, що ряд практиків зосереджені на розробці і
використанні багатомірних статистичних моделей, які передбачають збирання відповідної
інформації, формування вибірки даних, визначення найсуттєвіших факторних ознак,
розробку факторної моделі з застосуванням кореляційного аналізу і використанням
моделі, прийнятної для управління оборотними активами підприємств [119, 112].
Відмітимо, що нині підприємства усіх форм власності, як
правило, не використовують в управлінні нормативи власного оборотного капіталу
тому, що відсутність єдиної методичної бази для розрахунку нормативів оборотних
активів і джерел їх авансування, яка відповідала б сучасним вимогам перехідного
періоду, призводить до ігнорування нормативів при управлінні оборотними
активами і капіталом.
Також використання кореляційного аналізу підтверджує, що в
сучасних умовах відсутні закономірності, які можна було б відобразити за допомогою
багатомірних статистичних моделей. Це свідчить про те, що використання
статистичних факторних моделей для управління оборотним капіталом не відповідає
умовам ефективного їх використання згідно реалій сьогодення.
Досвід діяльності торгівельних підприємств показує, що
розв`язання оптимізаційних задач доцільно здійснювати за двома моделями. Модель
ОА призначається для визначення оптимального складу оборотних активів з
урахуванням обмежень, які відображають ефективність управління оборотними
активами, а модель ДА - для оптимізації складу джерел авансування оборотних
активів з урахуванням обмежень, які характеризують фінансовий стан
підприємства. Моделі ОА і ДА збалансовані між собою і передбачають взаємний
зв`язок в процесі розв`язання задач управління оборотним капіталом.
До параметрів, що оптимізуються при застосуванні моделі ОА,
відносяться середньорічні обсяги товарних запасів, дебіторської заборгованості,
грошових коштів та інших оборотних активів. Основна мета - мінімізація
операційних та альтернативних витрат, пов`язаних з функціонуванням оборотних
активів.
Модель ДА призначена для оптимізації структури джерел
авансування оборотних активів, до яких належать власний оборотний капітал,
довгострокові позики, короткострокові кредити банків, товарні кредити та інша
кредиторська заборгованість. Основною метою є мінімізація середньозваженої
вартості формування оборотного капіталу.
Постановка оптимізаційних задач основана на таких основних
характеристиках:
- збалансованість, тобто рівнозначність обсягів оборотних
активів і джерел їх авансування;
- рівень оптимальності загального обсягу та складу
оборотних активів, який визначається сумою витрат обігу та альтернативної
вартості джерел формування оборотного капіталу;
рівень оптимальності структури джерел авансування
оборотних активів, прийнятого як середньозважена вартість формування оборотного
капіталу;
систему обмежень, яка охоплює показники ефективності
управління оборотними активами та фінансовим станом підприємства (поточна і
швидка ліквідність підприємства, рівень покриття короткострокових зобов’язань
товарними запасами, питома вага матеріальних оборотних активів у їх загальній
сумі, інфляційна захищеність оборотних активів, оборотність
товарно-матеріальних запасів, дебіторської заборгованості, грошових коштів,
тривалість операційного циклу і обороту грошових коштів, середній індекс
ліквідності оборотних активів), а також показники оцінки структури джерел
фінансування оборотних активів (рівень маневреності власного капіталу, середній
період погашення кредиторської заборгованості, фінансова стійкість
підприємства).
Рентабельність оборотних активів характеризується відношенням
прибутку від операційної діяльності до суми цих активів. Кількісно прибуток від
операційної діяльності в торгівлі виражається алгебраїчною сумою валового
прибутку, тобто торговельного доходу, іншого операційного доходу,
адміністративних витрат, витрат на збут та інших операційних витрат.
За умов стабільного товарообігу зміна загального обсягу і
структури оборотних активів впливає на операційні витрати. Тому показник
оптимальності повинен охоплювати витрати обігу, які залежать від товарних
запасів, і альтернативні витрати, що відображають втрати при відволіканні
оборотного капіталу у дебіторську заборгованість, грошові кошти та інші оборотні
активи.
Цільова функція моделі оптимізації обсягу і структури
оборотних активів при стабільному товарообігу відображає витрати обігу,
пов’язані з придбанням та реалізацією товарів, формуванням і використанням
капіталу при авансуванні оборотних активів.
,
(3.1)
де
- цільова функція моделі А;
-
витрати обігу, віднесені на товарні запаси, долі одиниці;
-
обсяг товарних запасів, тис. грн.;
-
розмір дебіторської заборгованості, тис. грн.;
-
запас грошових коштів, тис. грн.;
-
розмір інших оборотних активів, тис. грн.;
-
альтернативна вартість капіталу, який використовується для авансування
відповідно дебіторської заборгованості, грошових коштів та інших оборотних
активів, долі одиниці.
Оптимізаційна модель включає обмеження, яке відображає умови рівності
загального обсягу оборотних активів сумі їхніх окремих елементів:
,
(3.2)
де ОА - обсяг оборотних активів підприємства, тис.грн.
В процесі обґрунтування стратегії управління оборотними активами
підприємства необхідно застосовувати ряд обмежень, які умови прискорення
оборотності товарно-матеріальних запасів, дебіторської заборгованості і
грошових коштів з урахуванням їх достатнього обсягу для нормальної торговельної
діяльності, допустимі обсяги товарних запасів, дебіторської заборгованості,
грошових коштів та інших оборотних активів, необхідних для нормального
функціонування підприємства (табл. 3.2).
Таблиця
3.2
Система обмежень моделі оптимізації оборотних активів
торговельних підприємств
|
№ п/п
|
Найменування
обмеження
|
Математичний вигляд
обмеження
|
Номер обмеження
|
|
1
|
2
|
3
|
4
|
1 Норматив коефіцієнта поточної ліквідності
, де ОА - обсяг оборотних активів, тис. грн.;
-
обсяг поточних зобов’язань, тис. грн.;
|
k - ідентифіковане
для кожного підприємства максимальне значення коефіцієнта поточної
ліквідності3.3
|
|
|
|
2
|
Оптимальний рівень
коефіцієнта швидкої ліквідності
|
, де ГК - запас грошових коштів, тис. грн.3.4
|
|
|
3
|
Стабільне значення
коефіцієнта покриття поточних зобов’язань товарними запасами
|
, де -
ідентифіковані для кожного підприємства мінімально і максимально можливі
значення коефіцієнта покриття поточних зобов’язань товарними запасами, долі
одиниці; - обсяг товарних запасів, тис. грн.3.5
|
|
4 Стабільне значення коефіцієнта інфляційної захищеності
оборотних активів
,
де
- ідентифіковані для кожного підприємства мінімально
і максимально можливі значення коефіцієнта інфляційної захищеності оборотних
активів, долі одиниці;
|
- обсяг інфляційно захищених оборотних активів, тис.
грн.3.6
|
|
5 Дотримання нормативу оборотності товарних запасів
, де
-
нормативна для кожного підприємства оборотності товарних запасів, рази;
|
- обсяг товарообороту за собівартістю, тис.грн.3.7
|
|
6 Норматив оборотності дебіторської заборгованості
, де
-
нормативна для кожного підприємства оборотність дебіторської заборгованості,
рази;
- обсяг товарообороту, який реалізується з відстрочкою
платежу, тис.грн.
|
- обсяг дебіторської заборгованості, тис.грн.3.8
|
|
7 Норматив оборотності грошових коштів
, де
-
нормативна для кожного підприємства оборотність грошових коштів, рази;
|
- обсяг платіжного обороту, тис. грн.;3.9
|
|
|
|
8
|
Обсяг товарних
запасів, необхідний для нормальної діяльності
|
, де -
ідентифіковані для кожного підприємства мінімально і максимально можливі
обсяги товарних запасів, тис. грн.3.10
|
|
|
9
|
Обсяг дебіторської
заборгованості, необхідний для нормальної діяльності
|
, де -
ідентифіковані для кожного підприємства мінімально і максимально можливі
обсяги дебіторської заборгованості, тис. грн.3.11
|
|
|
10
|
Обсяг грошових
коштів, необхідний для нормальної діяльності
|
, де -
ідентифіковані для кожного підприємства мінімально і максимально можливі
обсяги грошових коштів, тис. грн.3.12
|
|
11 Обсяг інших оборотних активів, необхідний для нормальної
діяльності
, де
-
ідентифіковані для кожного підприємства мінімально і максимально можливі обсяги
інших оборотних активів, тис. грн.;
|
І - обсяг інших
оборотних активів, тис. грн.3.13
|
|
Математичний вираз процесу оптимізації джерел авансування
оборотних активів аналогічний моделі оптимізації складу оборотних активів,
тобто формули 3.1. розкрито виразом цільової функції (3.14).
Цільова функція
передбачає мінімізацію середньозваженої вартості
залучення капіталу, який використовується для авансування оборотних активів.
,
(3.14)
де
- цільова функція моделі Б;
-
обсяг власного оборотного капіталу, тис.грн.;
-
вартість формування власного оборотного капіталу, долі одиниці;
-
довгострокові зобов’язання, тис.грн.;
-
вартість довгострокових зобов’язань, долі одиниці;
-обсяг
товарного кредиту, тис.грн.;
-
вартість залучення товарного кредиту, долі одиниці;
-
ставка податку на прибуток та податку на додану вартість, долі одиниці;
-
інша короткострокова кредиторська заборгованість, тис.грн.,
-
вартість іншої короткострокової кредиторської заборгованості, долі одиниці;
-
короткострокові кредити банку, тис.грн.,
-
вартість залучення короткострокових кредитів банку, долі одиниці.
Початковою умовою оптимізації оборотного капіталу прийнято рівність між
його обсягом і вартістю оборотних активів:
(3.15)
Запропонована економіко-математична модель охоплює оптимізацію всіх
джерел формування оборотного капіталу з урахуванням системи обмежень, яка
формує діапазон їхніх можливих значень (табл. 3.3).
Наведені моделі являють собою єдину балансову систему. Їх реалізація
здійснюється методом математичного програмування з використанням стандартного
пакета Microsoft Excel.
В процесі оптимізації структури джерел авансування оборотних активів
використано показники вартості залучення окремих джерел капіталу.
Вартість власного капіталу оцінюється прибутком, який отримує
торговельне підприємство за результатами господарсько-фінансової діяльності
після покриття всіх витрат і відрахувань до фондів загально відомою формулою
(3.24)
де
- вартість формування власного капіталу, долі
одиниці;
-
обсяг чистого прибутку підприємства, призначеного для виплати власникам капіталу,
тис. грн;
ВК - обсяг власного капіталу підприємства, тис. грн.
Вартість залучення довгострокових та короткострокових кредитів
визначається як сума всіх витрат підприємства, пов’язаних з отриманням та
обслуговуванням позики. Основною складовою цих витрат є відсотки за кредит, які
залежать від кон`юнктури фінансового ринку, темпів інфляції, рівня ризику
кредитування конкретного підприємства в залежності від його фінансової
стійкості та інших чинників. Витрати за отримані кредити банку необхідно
оцінювати з урахуванням податку на прибуток. Відповідно до нормативних
документів відсотки за кредит включаються до витрат обігу, тому вартість такого
джерела фінансування менша ніж величина відсотка на величину податкового
коректора, який визначається економією прибутку за рахунок звільнення від
податку того прибутку, який використовується для сплати відсотків за кредит.
Таблиця
3.3
Система обмежень моделі оптимізації оборотного капіталу
торговельних підприємств
|
№ п/п
|
Найменування
обмеження
|
Математичний вигляд
обмеження
|
Номер обмеження
|
1 Нормальний рівень фінансової стійкості підприємства
, де ЗВ - обсяг запасів і витрат, тис. грн.;
|
ТНЗ - обсяг
короткострокової кредиторської заборгованості товарного і нетоварного
характеру, тис. грн.3.16
|
|
|
|
2
|
Стабільність
коефіцієнта чистого оборотного капіталу
|
, де n i m - ідентифіковане для кожного підприємства
мінімальне і максимальне значення коефіцієнта забезпеченості власним
оборотним капіталом3.17
|
|
3 Норматив коефіцієнта маневреності власного капіталу
, де
-
обсяг власного капіталу підприємства, тис. грн.;
|
k i l -
ідентифіковане для кожного підприємства мінімальне і максимальне значення
коефіцієнта маневреності власного капіталу3.18
|
|
|
|
4
|
Обсяг власного
оборотного капіталу, необхідний для нормальної діяльності
|
, де -
ідентифікований для кожного підприємства мінімальний і максимальний обсяг
власного оборотного капіталу, тис. грн.3.19
|
|
|
5
|
Обсяг довгострокових
зобов’язань, необхідний для нормальної діяльності
|
, де -
ідентифікований для кожного підприємства мінімальний і максимальний обсяг
довгострокових зобов’язань, тис. грн.3.20
|
|
|
6
|
Обсяг товарного
кредиту, необхідний для нормальної діяльності
|
, де -
ідентифікований для кожного підприємства мінімальний і максимальний обсяг
товарного кредиту, тис. грн.3.21
|
|
|
7
|
Обсяг
короткострокових кредитів банку, необхідний для нормальної діяльності
|
, де -
ідентифікований для кожного підприємства мінімальний і максимальний обсяг
короткострокових кредитів банку, тис. грн.3.22
|
|
|
8
|
Обсяг іншої
короткострокової кредиторської заборгованості, необхідний для нормальної
діяльності
|
, де -
ідентифікований для кожного підприємства мінімальний і максимальний обсяг
іншої короткострокової кредиторської заборгованості, тис. грн.3.23
|
|
Вартість кредиторської заборгованості товарного характеру
оцінюється розміром знижок з цін на товари за умов готівкової оплати. Якщо
згідно з умовами контракту, застосовується пільга при відстроченні платежів на
один місяць, то місячна вартість залучення товарного кредиту буде дорівнювати
розміру цінової знижки, яку можна розрахувати за загальновідомою формулою
відсотків за кредит:
(3.25)
де
- вартість залучення товарного кредиту на умовах
короткострокової відстрочки платні , долі одиниці;
-
розмір цінової знижки при готівкових розрахунках за товар, долі одиниці;
Вартість стійких пасивів (внутрішньої кредиторської заборгованості)
умовно приймається нульовою як спонтанне джерело авансування [19, 705]. З точки
зору оцінки вартості капіталу це джерело авансування не належить до чинників
авансування, що підлягають управлінню на основі витрат на залучення капіталу.
Визначення мінімальних і максимальних рівнів різних обмежень
здійснювалося з використанням відомих статистичних і аналітичних методів [19;
120-131, 172;]. В основу цих методів покладено розрахунки допустимих значень
досліджуваних показників в ретроспективному періоді.
Розв`язання задачі оптимізації складу оборотних активів і джерел їх
авансування ТОВ «АД Шина « охоплює слідуючі основні етапи (рис. 3.4).
На першому етапі готуються вхідні дані для оптимізації складу оборотних
активів, а саме: середній обсяг та склад оборотних активів за їх видами; питомі
витрати обігу на 1 грн. товарних запасів; альтернативна вартість залучення
оборотного капіталу, який використовується для авансування товарних запасів і
дебіторської заборгованості, формування грошових коштів та інших оборотних
активів; показники ефективності управління оборотними активами (коефіцієнти
поточної і швидкої ліквідності, а також участі матеріальних запасів у покритті
короткострокових зобов`язань); фактичний обсяг поточних зобов’язань
підприємства; період обороту товарних запасів, дебіторської заборгованості та
грошових коштів; коефіцієнт інфляційної захищеності оборотних активів; обсяг
товарообороту по собівартості; обсяг товарообороту, отриманий з відстрочкою
платежу; мінімально і максимально можливі значення оборотних активів за їх
видами.
Рис. 3.4 Процес вирішення задачі
оптимізації оборотного капіталу
На другому етапі розробляється модель оптимізації складу і
структури оборотних активів (модель ОА) на основі математичного програмування.
Вона включає цільову функцію, яка мінімізується, і обмеження у вигляді
рівностей або нерівностей (дод. Л).
На третьому етапі розв`язується оптимізаційна задача за
моделлю ОА. При пошуку рішення використовується алгоритм лінійної або
нелінійної оптимізації, який ґрунтується на використанні ітераційних
розрахунків за ньютонівським методом розв`язання системи рівнянь [120,
189-191].
До моделі ОА включаються: фактичний склад оборотних активів
за їх видами; показники вартісної оцінки окремих видів оборотних активів;
величина критерію оптимальності при фактичному складі оборотних активів;
оптимальний склад оборотних активів; величина критерію оптимальності складу
оборотних активів; система непрямих обмежень моделі; показники ефективності
управління оборотними активами; система прямих обмежень параметрів, що
оптимізуються.
Результатами вирішення задачі мають бути оптимальні значення
товарних запасів, дебіторської заборгованості, грошових коштів та інших
оборотних активів, а також величина критерію оптимальності (витрати обігу і
альтернативна вартість оборотних активів при фактичному і оптимальному їхньому
складі).
Четвертий етап охоплює збір і підготовку вхідних даних для
оптимізації структури джерел авансування оборотних активів, головним серед яких
є загальний обсяг оборотних активів, джерела їх авансування і вартість
залучення оборотного капіталу, обсяги власного капіталу підприємства, величина
запасів і витрат, торговельної надбавки, ставки податків на прибуток і на
додану вартість, мінімальні та максимальні обсяги джерел авансування оборотних
активів.
На п’ятому етапі формирується модель оптимізації джерел авансування
оборотних активів, тобто модель ДА, яка аналогічна моделі оптимізації складу
оборотних активів (модель ОА). Цільова функція моделі ДА ґрунтується на
середньозваженій вартості залучення капіталу для авансування оборотних активів.
Система обмежень математичної моделі формує діапазон можливих значень джерел
формування оборотного капіталу.
Реалізація моделі ДА здійснюється на шостому етапі з
використанням програми Microsoft Excel «Пошук рішення». Серед елементів моделі
ДА слід виділяти фактичну структуру джерел авансування оборотних активів,
середньозважену вартість формування оборотного капіталу при фактичному складі
джерел авансування, вартість окремих елементів оборотного капіталу (джерел
авансування), оптимальні обсяги оборотного капіталу (джерел авансування),
середньозважену вартість формування оборотного капіталу при оптимальному складі
джерел авансування (елементів оборотного капіталу), систему непрямих обмежень
моделі, показники фінансового стану підприємства і систему прямих обмежень
параметрів, що оптимізуються.
Розв`язання поставленої задачі дозволить визначити оптимальні
обсяги власного оборотного капіталу, довгострокових позик, товарного кредиту,
короткострокових кредитів банку, а також середньозважену вартість формування
капіталу при фактичному і оптимальному складі джерел авансування оборотних
активів.
На завершальному етапі оптимізації оборотних активів і
капіталу, що в них авансований, досягається збалансованість параметрів моделей
ОА і ДА методом ітерацій, що означає: після кожного циклу пошуку рішення задачі
здійснюється передача інформації від однієї моделі до іншої за схемою
інформаційних потоків (рис. 3.5).
Рис. 3.5 Інформаційні потоки між моделями ОА і ДА
На рисунку показано, що оптимальний обсяг оборотних активів
як результат реалізації моделі ОА передається в модель ДА для формування прямих
і непрямих обмежень, а оптимальні обсяги джерел авансування, визначені за
моделлю ДА, передаються в модель ОА для розрахунків вартісних оцінок оборотних
активів і формування прямих і непрямих обмежень моделі.
Запропоновану методику доцільно застосовувати при оптимізації
джерел формування і напрямків використання оборотного капіталу як окремого
підприємства та і торговельних підприємств з різними базовими економічними
стратегіями (п.п. 3.3).
3.3 Напрями оптимізації оборотного капіталу торговельних
підприємств
Вибір напрямів управління оборотним капіталом в роботі
розглядається як комплекс заходів, який передбачає механізми оптимізації джерел
формування оборотним капіталом і використання кожним окремим підприємством.
Результатом виступає досягнення довгострокових конкурентних переваг
підприємства, що потребує вибору прийнятних для практики механізмів
обґрунтування ефективної політики залучення і розподілу оборотного капіталу -
головного фінансового ресурсу підприємств[132-136].
Основою обґрунтування напрямів формування й розподілу
оборотного капіталу є визначення потреби в оборотних активах. Така потреба
залежить від ефективності логістичного потоку на кожному підприємстві і
пов’язана найперше з факторами обсягу і витрат товарообігу[137].Треба
відмітити, що результати аналізу динаміки товарообігу і рівня рентабельності
дослідити на прикладі одного підприємства не дозволяє повністю розкрити питання
формування й розподілу оборотного капіталу, тому в роботі розглянуто для
прикладу декілько типових торгівельних підприємств, які можуть бути основою
диференційованого підходу до розробки механізмів оптимізації оборотного
капіталу з використанням запропонованих цільових функцій (модель ОА і ДА).
Вихідним етапом оптимізації оборотного капіталу виступає її
основа - оборотні активи. За допомогою запропонованої моделі оптимізації
оборотних активів (п.п.3.2) визначено оптимальний їх склад з урахуванням
рентабельності та інших показників ефективності фінансово-господарської
діяльності підприємств.
Аналіз структури оборотних активів у взаємозв’язку з
джерелами їх авансування та основними економічними показниками діяльності
підприємств показує, що в сучасних економічних умовах (при нестачі або
відсутності власного оборотного капіталу) ймовірність збоїв у ході операційної
діяльності є досить великою. Нераціональне забезпечення потреби в оборотному
капіталі неодмінно призводить до збільшення операційних витрат, фінансових
втрат і втраченої вигоди [138-140]. Для підприємств, що застосовують агресивний
підхід до формування оборотних активів ці втрати виявляються найбільш вагомими.
Як показали розрахунки на прикладі торговельного підприємства ТОВ «АД Шина» зі
стабільним товарооборотом (табл. 3.4), фактичний склад оборотних активів
суттєво відрізняється від оптимального, визначеного за цільовою моделлю А.
Таблиця
3.4
Оцінка оптимальності складу оборотних активів ТОВ «АД Шина»
за 2012 р. на основі цільової функції (модель ОА)
|
№
|
Найменування показника
|
Умовні позначення
|
Значення показника
|
Відхилення
фактичного значення від оптимального (+, -)
|
|
|
|
фактичне
|
Оптим.
|
|
|
1
|
2
|
3
|
4
|
5
|
6
|
|
1
|
Товарні запаси,
тис. грн.
|
ТЗ
|
53,10
|
44,70
|
8,40
|
|
2
|
Дебіторська
заборгованість, тис. грн.
|
ДЗ
|
5,30
|
16,40
|
-11,10
|
|
3
|
Грошові кошти, тис.
грн.
|
ГК
|
28,30
|
21,60
|
6,70
|
|
4
|
Інші оборотні
активи, тис. грн.
|
І
|
1,00
|
5,00
|
-4,00
|
|
5
|
Мінімальне значення
врахованих витрат за моделлю А, тис. грн.
|
Z
|
80,26
|
63,92
|
16,34
|
|
6
|
Обмеження 1:
загальний обсяг оборотних активів, тис. грн.
|
У1
|
87,70
|
87,70
|
-
|
|
Загальний обсяг
поточних зобов'язань, тис. грн.
|
ПЗ
|
83,70
|
83,70
|
-
|
|
7
|
Обмеження 2:
поточна ліквідність, коеф.
|
У2
|
1,05
|
1,05
|
-
|
|
1
|
2
|
3
|
4
|
5
|
6
|
|
8
|
Обмеження 3:
негайна ліквідність, коеф.
|
У3
|
0,34
|
0,25
|
0,09
|
|
9
|
Обмеження 4: участь
запасів у покритті поточної заборгованості, коеф.
|
У4
|
0,63
|
0,53
|
0,10
|
|
10
|
Обмеження 5:
інфляційна захищеність, коеф.
|
У5
|
0,62
|
0,57
|
0,05
|
|
11
|
Обмеження 6: період
обороту товарних запасів, дні
|
У6
|
28,96
|
36,62
|
-7,66
|
|
12
|
Обмеження 7: період
обороту дебіторської заборгованості, дні
|
У7
|
407,02
|
107,86
|
299,16
|
|
13
|
Обмеження 8: період
обороту грошових коштів, дні
|
У8
|
2,47
|
3,37
|
-0,90
|
|
14
|
Обмеження 9:
мінімальне значення товарних запасів, тис. грн.
|
У10
|
42,00
|
42,00
|
-
|
|
15
|
Обмеження 10:
мінімальне значення дебіторської заборгованості, тис. грн.
|
У11
|
5,00
|
5,00
|
-
|
|
16
|
Обмеження 11:
мінімальне значення обсягу грошових коштів, тис. грн.
|
У12
|
12,60
|
12,60
|
-
|
|
17
|
Обмеження 12:
мінімальне значення інших оборотних активів, тис. грн.
|
У13
|
1,00
|
1,00
|
-
|
|
18
|
Обмеження 13:
максимальне значення дебіторської заборгованості, тис. грн.
|
У14
|
20,00
|
20,00
|
-
|
|
19
|
Обмеження 14:
максимальне значення грошових коштів, тис. грн.
|
У15
|
31,00
|
31,00
|
-
|
|
20
|
Обмеження 15:
максимальне значення обсягу інших оборотних активів, тис. грн.
|
У16
|
5,00
|
5,00
|
-
|
|
21
|
Питомі витрати,
пов'язані з придбанням і продажем товарних запасів, долі одиниці
|
ВОТЗ
|
0,06
|
0,06
|
-
|
|
22
|
Альтернативна
вартість дебіторської заборгованості, долі одиниці
|
Вдз
|
0,02
|
0,02
|
-
|
|
23
|
Альтернативна
вартість грошових коштів, долі одиниці
|
Вгк
|
0,1
|
0,1
|
-
|
|
24
|
Альтернативна
вартість інших оборотних активів, долі одиниці
|
Ві
|
0,07
|
0,07
|
-
|
|
25
|
Мінімальне значення
коефіцієнта поточної ліквідності
|
Пот. лікв.
|
1,1
|
1,1
|
-
|
|
26
|
Мінімальне значення
коефіцієнта швидкої ліквідності
|
Шв. лікв
|
0,15
|
0,15
|
-
|
|
27
|
Мінімальне значення
коефіцієнта покриття товарних запасів
|
Покр. ТЗ
|
0,4
|
0,4
|
-
|
|
28
|
Мінімальне значення
коефіцієнта інфляційної захищеності
|
Інф. зах.
|
0,4
|
0,4
|
-
|
Враховані витрати при оптимальній структурі оборотних активів
будуть на 20,4% меншими від фактичних.
Дослідження впливу загального обсягу оборотних активів на
оптимальну їх структуру показало, що збільшення обсягів оборотних активів у ТОВ
«АД Шина» з 80 до 120 тис. грн. (табл. 3.5) викликає необхідність підвищення
обсягів товарних запасів на 15,7%, а грошових коштів - у 3,4 рази. Дебіторську
заборгованість та інші оборотні активи можна залишити без змін. Витрати, які
пов’язані з обслуговуванням зростаючих оборотних активів теж зростають, але
нижчими темпами, крім останнього етапу (підвищення до 120 тис. грн.), що
пояснюється стабілізацією обсягів товарних запасів збільшенням обсягів товарних
запасів.
Таблиця
3.5
Розрахунки оптимального складу оборотних активів ТОВ «АД
Шина»
при зміні їх загальних обсягів
|
Найменування
показника
|
Значення показників
при різних обсягах оборотних активів
|
|
Оборотні активи,
всього, тис. грн.
|
80,00
|
87,70*
|
100,00
|
110,00
|
120,00
|
|
Товарні запаси,
тис. грн.
|
44,70
|
44,70
|
44,70
|
44,70
|
51,70
|
|
Дебіторська
заборгованість, тис. грн.
|
16,40
|
16,40
|
16,40
|
16,40
|
16,40
|
|
Грошові кошти і їх
еквіваленти, тис. грн.
|
13,90
|
21,60
|
33,90
|
43,90
|
46,90
|
|
Інші оборотні
активи, тис. грн.
|
5,00
|
5,00
|
5,00
|
5,00
|
5,00
|
|
Враховані витрати,
тис. грн.
|
67,10
|
67,87
|
69,10
|
70,10
|
80,58
|
|
Поточна
ліквідність, коеф.
|
0,96
|
1,05
|
1,19
|
1,31
|
1,43
|
|
Швидка ліквідність,
коеф.
|
0,17
|
0,26
|
0,41
|
0,52
|
0,56
|
|
Покриття запасами
поточної заборгованості, коеф.
|
0,53
|
0,53
|
0,53
|
0,53
|
0,62
|
|
Інфляційна
захищеність, коеф.
|
0,62
|
0,57
|
0,50
|
0,45
|
0,47
|
|
Період обороту
товарних запасів, дні
|
14,60
|
14,60
|
14,60
|
14,60
|
17,16
|
|
Період обороту
дебіторської заборгованості, дні
|
4,36
|
4,36
|
4,36
|
4,36
|
4,36
|
|
Період обороту
грошових коштів, дні
|
2,56
|
5,03
|
8,38
|
11,29
|
11,64
|
* Фактичний обсяг оборотних активів за 2012 р.
Оптимізація структури оборотних активів потребує ув’язки з
джерелами їх авансування. І тільки при наявності оборотного капіталу для
авансування оптимальних обсягів оборотних активів вони включаються в стратегію
розвитку підприємства.
Для оптимізації структури джерел авансування оборотних
активів застосовано цільову модель ДА (табл. 3.6).
Таблиця
3.6
Оптимізація джерел авансування оборотних активів ТОВ «АД
Шина» за 2012 р.
|
№
|
Найменування
показника
|
Умовні позначення
|
Значення показника
|
Відхилення
фактичного значення від оптимального (+, -
|
|
|
|
фактичне
|
оптимальне
|
|
|
1
|
Власний оборотний
капітал, тис. грн.
|
ВОК
|
0,00
|
13,92
|
-13,92
|
|
2
|
Довгострокові
зобов’язання, тис. грн.
|
ДСЗ
|
4,00
|
0,00
|
4,00
|
|
3
|
Кредиторська
заборгованість за товари, тис. грн.
|
ТК
|
80,10
|
68,14
|
11,96
|
|
4
|
Короткострокові
кредити банків, тис. грн.
|
ККБ
|
0,00
|
0,00
|
0,00
|
|
5
|
Інша
короткострокова кредиторська заборгованість, тис. грн.
|
ІКЗ
|
3,60
|
5,60
|
-2,00
|
|
6
|
Середньозважена
вартість залучення капіталу за моделлю Б, долі одиниці
|
Z
|
0,039
|
-0,027
|
|
7
|
Загальний обсяг
оборотних активів, тис. грн.
|
ОА
|
87,70
|
87,70
|
0,00
|
|
8
|
Обмеження 1:
загальний обсяг оборотного капіталу, тис. грн.
|
У1
|
87,70
|
87,70
|
0,00
|
|
9
|
Обмеження 2:
фінансова стійкість
|
У2
|
80,10
|
82,10
|
-2,00
|
|
10
|
Обмеження 3:
маневреність капіталу
|
У3
|
0,00
|
0,15
|
-0,15
|
|
11
|
Обмеження 4:
мінімум власного оборотного капіталу, тис. грн.
|
У4
|
10,52
|
10,52
|
0,00
|
|
12
|
Обмеження 5:
мінімум довгострокових кредитів, тис. грн.
|
У5
|
0,00
|
0,00
|
0,00
|
|
13
|
Обмеження 6: мінімум
кредиторської заборгованості за товари, тис. грн.
|
У6
|
63,72
|
50,40
|
-13,32
|
|
14
|
Обмеження 7:
мінімум короткострокових кредитів банків, тис. грн.
|
У7
|
0,00
|
0,00
|
0,00
|
|
15
|
Обмеження 8:
мінімум іншої короткострокової кредиторської заборгованості, тис. грн.
|
У8
|
1,08
|
1,68
|
-0,60
|
|
16
|
Вартість власного
оборотного капіталу, долі одиниці
|
Ввок
|
0,35
|
0,35
|
-
|
|
17
|
Вартість
довгострокових зобов’язань, долі одиниці
|
Вдсз
|
0,30
|
0,30
|
-
|
|
18
|
Вартість залучення
товарного кредиту, долі одиниці
|
Втк
|
0,05
|
0,05
|
-
|
|
19
|
Вартість
короткострокових банківських кредитів, долі одиниці
|
Вккб
|
0,25
|
0,25
|
-
|
|
20
|
Вартість іншої
короткострокової кредиторської заборгованості, долі одиниці
|
Вікз
|
0,02
|
0,02
|
-
|
|
21
|
Обсяг товарних
запасів, тис. грн.
|
ТЗ
|
53,10
|
42,00
|
11,10
|
|
22
|
Обсяг власного
капіталу, тис. грн.
|
ВК
|
69,60
|
69,60
|
0,00
|
|
23
|
Обмеження 9:
максимум іншої короткострокової кредиторської заборгованості, тис. грн.
|
У9
|
8,20
|
5,60
|
2,60
|
Примітка. Таблиця ілюструє розміщення інформації в процесі
реалізації моделі ДА
Як видно з розрахунків, фактична структура джерел авансування
оборотних активів далека від оптимальної, а тому потребує удосконалення.
Насамперед, для забезпечення оптимальної структури джерел формування оборотного
капіталу дослідженому підприємству необхідно мати власний оборотний капітал в
обсязі 14 тис. грн., якого фактично не було. Залучення довгострокових позик
виявилося недоцільним, тому від нього слід відмовитись. Обсяги кредиторської
заборгованості за товари слід скоротити майже на 12 тис. грн., тобто на 15%.
Збільшення загального обсягу оборотних активів, яке означає
перехід до менш агресивної політики їх формування, також потребує удосконалення
структури джерел залучення оборотного капіталу.
Проведені розрахунки (табл. 3.7) підтвердили, що оптимізація
складу оборотного капіталу при переході до менш агресивної політики формування
оборотних активів пов’язана з нарощуванням найперше власного оборотного
капіталу і кредиторської заборгованості за товари.
Таблиця
3.7
Визначення оптимального складу оборотного капіталу при зміні
оборотних активів ТОВ «АД Шина»
|
Найменування
показника
|
Оптимальний склад
оборотного капіталу при різних обсягах оборотних активів, тис. грн.
|
|
Оборотні активи,
всього
|
80,0
|
87,7*
|
100,0
|
110,0
|
120,0
|
|
Джерела формування
оборотного капіталу: власний капітал
|
9,6
|
10,5
|
12,0
|
13,2
|
14,4
|
|
товарний кредит
|
64,8
|
71,6
|
82,4
|
91,2
|
100,0
|
|
інша
короткострокова кредиторська заборгованість
|
5,6
|
5,6
|
5,6
|
5,6
|
5,6
|
|
Середньозважена
вартість залучення капіталу, долі одиниці
|
0,066
|
0,066
|
0,066
|
0,066
|
0,066
|
* Фактичний обсяг оборотних активів за 2012 р.
Оптимальний склад оборотних активів та структури оборотного
капіталу впливає на підвищення показників ліквідності, хоча скорочує інфляційну
захищеність і уповільнює обертання товарних запасів і грошових коштів. Це дає
підстави стверджувати, що переходити до більш помірної політики формування
оборотних активів при стабільному товарообороті ТОВ «АД Шина» недоцільно. Тому
головним механізмом розвитку цього підприємства є нарощування обсягів
товарообороту на основі оптимізації оборотних активів і джерел їх авансування.
З урахуванням зміни товарообороту цільова функція і обмеження
в математичній моделі оптимізації обсягу і структури оборотних активів ТОВ «АД
Шина» мають такий вигляд:
Z = (Втз +2,15+0,0024* Т)*ТЗ+Вдз* ДЗ + Вгк* ГК + Ві*І
; (3.26)
ТЗ + ДЗ + ГК + І = 34,08 + 0,029* Т . (3.27)
Як показали розрахунки, підвищення товарообороту в діапазоні 2010-2012
тис. грн. потребує поповнення товарних запасів, яке супроводжується зростанням
витрат (дод. Г). Авансувати поповнення товарних запасів доцільно здійснювати за
рахунок кредиторської заборгованості та короткострокових кредитів банку.
Вартість власного капіталу при розрахунках середньозваженої вартості залучення
оборотного капіталу визначено, виходячи з коефіцієнтів рентабельності власного
капіталу. Динаміка товарообороту, обсягів і структури оборотних активів решти
торговельних підприємств другої групи, а також структура джерел авансування
оборотних активів за 2010-2012 рр. (дод. Г) характеризується посиленням
інтенсивності використання оборотних активів.
Прогноз оптимальної структури оборотних активів на основі зростання
товарообороту для підприємств представлено у табл. 3.8. Для підприємств зі
стабільним товарооборотом (перша група) вид стратегії формування і оптимальний
склад оборотним активів визначено на основі диференційованих темпів приросту
товарообороту.
Як показали дослідження, при зростанні товарообороту змінюються
загальний обсяг і структура оборотних активів, склад джерел їх авансування,
розміри витрат обігу та чистого прибутку підприємства, вартість залучення
власного оборотного капіталу та інші показники, які визначають політику
управління оборотними активами.
Таблиця
3.8
Прогноз оптимальної структури оборотних активів на основі
зростання товарообороту ТОВ «АД Шина»
|
Торговельні
підприємства
|
Приріст
товарообороту, %
|
Оптимальний склад
оборотних активів, тис. грн.
|
Приріст оборотних
активів, %
|
|
|
Всього
|
в тому числі
|
|
|
|
|
товарні запаси
|
дебіторська
заборгованість
|
грошові кошти
|
інші оборотні
активи
|
|
|
1 група
|
|
|
|
|
|
|
|
|
ТОВ «АД Шина»
|
12,0
|
100,9
|
51,4
|
18,9
|
24,9
|
5,8
|
15,1
|
|
ТОВ «Росава»*
|
16,0
|
50,0
|
18,0
|
8,0
|
6,7
|
17,3
|
19,6
|
|
ТОВ «Автолюкс»
|
7,0
|
700,0
|
343,7
|
256,9
|
89,6
|
9,8
|
6,9
|
|
2 група
|
|
|
|
|
|
|
|
|
ТОВ « Трейд Лайн «
|
174,9
|
9,4
|
1,2
|
4,4
|
3,3
|
0,5
|
123,8
|
|
ТОВ « Наша Шина «
|
14,1
|
19,3
|
8,9
|
6,3
|
2,0
|
2,2
|
-9,0
|
|
ТОВ « Новая Шина «*
|
2,7
|
120,7
|
27,8
|
67,6
|
10,9
|
14,5
|
3,8
|
Примітка. Розраховано за даними табл. А.1, А.2 дод. А.
Висновки до розділу 3:
1. Обґрунтовано послідовність розробки напрямів управління
оборотним капіталом в залежності від фінансової стратегії підприємства.
. Сформовано багаторівневу систему цілей управління оборотним
капіталом, пріоритетність яких визначається кожним підприємством окремо і
зумовлюється головним чином обраною базовою та фінансовою стратегіями
підприємства.
. Визначено систему критеріїв оцінки ефективності управління
оборотними активами торговельних підприємств. До таких критеріїв віднесені
витрати обігу, пов’язані з придбанням і реалізацією товарів; оборотність
оборотних активів; поточна і швидка ліквідність підприємства; участь матеріальних
запасів у покритті короткострокових зобов’язань; питома вага матеріальних
оборотних активів у загальній сумі оборотних активів; інфляційна захищеність
оборотних активів; оборотність товарно-матеріальних запасів; оборотність
дебіторської заборгованості;
. Сформульовано задачу оптимізації загального обсягу і
структури оборотних активів, розроблено математичну модель, її інформаційне
забезпечення, обрано метод реалізації моделі. Розв`язання оптимізаційної задачі
здійснюється з використанням програми Microsoft Excel. Результати вирішення
задачі містять оптимальні значення загального обсягу оборотних активів,
товарних запасів, дебіторської заборгованості, грошових коштів та інших
оборотних активів.
. Розроблено принципову схему оптимізації параметрів на
основі збалансованості оборотних активів і джерел їх авансування. Розроблено
схему інформаційних потоків, які забезпечують збалансованість активів і пасивів
в процесі реалізації оптимізаційних задач.
6. Оптимізаційні розрахунки показали, що ТОВ «АД Шина»
необхідно суттєво змінити структуру джерел авансування оборотних активів, що
дозволить підвищити фінансову стійкість підприємства і ефективність управління
оборотними активами.
ВИСНОВКИ
. В системі економічного механізму функціонування підприємств
оборотний капітал слід розглядати як економічну категорію, яка виражає ринкові
відносини, пов’язані з залученням грошових коштів як першооснови кругообороту
капіталу, і в практичному значенні як показник фінансового стану і найбільш
мобільний ресурс підприємств.
. Дослідження сутності і ролі оборотних активів як об’єктів
авансування оборотного капіталу дозволило уточнити їх склад відповідно до
чинних Положень (стандартів) бухгалтерського обліку, виявити залежність
структури оборотних активів від життєвого циклу підприємств, установити появу
нових джерел формування оборотного капіталу в торгівлі, пов’язаних зі змінами
форм власності та організаційно-правових основ функціонування підприємств .
. Залучення показників інтенсивності та екстенсивності
показало, що сучасний етап фінансової діяльності торговельних підприємств має
позитивну тенденцію, пов’язану з переходом до інтенсивного використання
оборотних активів і пом’якшенням рівня агресивності політики залучення і
використання оборотного капіталу.
. Сформовано багаторівневу систему цілей управління оборотним
капіталом, пріоритетність яких визначається кожним підприємством окремо і
зумовлюється головним чином обраною базовою та функціональними стратегіями
підприємства.
. Обґрунтовано критеріальні показники оцінки різних підходів
до формування оборотного капіталу в залежності від політики забезпечення
підприємств власним оборотним капіталом, тобто від рівня фінансової
незалежності та ефективності використання капіталу.
. Для забезпечення ефективного управління оборотними активами
торговельних підприємств як основою формування оборотного капіталу розроблено
модель їх оптимізації, сформовано інформаційну базу даних та обрано метод
реалізації моделі. Результатами вирішення поставлених задач стали оптимальні
значення обсягу оборотних активів і окремих їх елементів на досліджених
підприємствах за умов мінімізації витрат обігу та альтернативної вартості їх
авансування.
. З метою удосконалення управління оборотним капіталом
розроблено методику реалізації економіко-математичної моделі оптимізації
структури джерел його формування на основі мінімізації середньозваженої
вартості залучення капіталу.
. Застосування запропонованої методики при оптимізації джерел
формування і напрямків використання оборотного капіталу торговельних підприємств
з різними базовими економічними стратегіями дозволило виявити загальні підходи
до підвищення ефективності торговельної діяльності і нарощування фінансових
ресурсів.
СПИСОК ВИКОРИСТАНИХ ДЖЕРЕЛ
1. Закон України
«Про підприємства в Україні» // зі змінами, внесеними згідно із Законами
№2340-IV (2340-15 <#"825461.files/image024.gif">0)
|
ТОВ «Трейд Лайн»
ТОВ «Наша Шина» ТОВ «Новая Шина»
|
2
|
Темпи падіння
товарообороту від понад 34,9%
|
Збитковість
|
ДОДАТОК В
Таблиця
1
Динаміка загального обсягу активів торговельних підприємств
за 2009-2012 рр. тис. грн.
|
Торговельні
підприємства
|
На початок року
|
В середньому за рік
|
|
1999
|
2000
|
2001
|
2002
|
1999
|
2000
|
2001
|
|
І група
|
|
|
|
|
|
|
|
|
ТОВ АД Шина
|
209,1
|
151,0
|
156,6
|
163,9
|
180,0
|
153,8
|
160,2
|
|
ТОВ Росава
|
4384,6
|
4300,0
|
3811,1
|
3792,3
|
4342,3
|
4055,6
|
3801,7
|
|
ТОВ Автолюкс
|
1191,9
|
1004,4
|
1745,4
|
1254,9
|
1098,1
|
1374,9
|
1500,2
|
|
IV група
|
|
|
|
|
|
|
|
|
ТОВ Трейд Лайн
|
69,1
|
51,7
|
40,0
|
36,5
|
60,4
|
45,9
|
38,2
|
|
ТОВ Наша Шина
|
122,3
|
95,2
|
93,4
|
79,5
|
108,8
|
94,3
|
86,4
|
|
ТОВ Новая Шина
|
310,6
|
191,0
|
185,8
|
139,6
|
250,8
|
188,4
|
162,7
|
Примітка. Таблицю складено на основі даних статистичної
звітності наведених підприємств.
ДОДАТОК Г
Розрахунки оптимальних обсягів оборотних активів і капіталу,
що в них авансується
Таблиця
1
Фактичний склад джерел авансування оборотних активів
торговельних підприємств другої групи (тис. грн..)
|
Торговельні
підприємства
|
Роки
|
Власний оборотний
капітал
|
Довго-строкові
зобов’яз.
|
Кредитор.
заборгован. за товари
|
Коротко-строкові
кредити банків
|
Інша
коротко-строкова кредит. заборгованість
|
Оборотні активи,
Всього
|
|
ТОВ «АД Шина»
|
2010
|
7,8
|
0,0
|
38,9
|
0,0
|
24,8
|
71,5
|
|
2011
|
3,0
|
0,0
|
48,7
|
0,0
|
30,4
|
82,1
|
|
2012
|
0,0
|
0,0
|
60,5
|
0,0
|
29,9
|
90,4
|
|
ТОВ»Росава «
|
2010
|
1369,9
|
0,0
|
1481,7
|
102,5
|
444,0
|
3398,1
|
|
2011
|
1651,7
|
0,0
|
1718,4
|
437,5
|
578,4
|
4386,0
|
|
2012
|
1425,5
|
0,4
|
782,7
|
137,8
|
5685,9
|
|
ТОВ « Автолюкс»
|
2010
|
590,8
|
0,0
|
1527,7
|
67,4
|
188,1
|
2853,7
|
|
2011
|
697,0
|
0,0
|
1948,5
|
22,5
|
185,8
|
3816,8
|
|
2012
|
670,9
|
0,0
|
4014,6
|
58,9
|
846,8
|
5591,2
|
Примітка. Розраховано на основі первинних даних досліджуваних
підприємств
Таблиця
2
Склад джерел фінансування оборотних активів торговельних
підприємств першої групи (тис. грн..)
|
Торговельні
підприємства
|
Роки
|
Власний оборотний
капітал
|
Довгостр. зобов’яз.
|
Кредитор. заборгов.
за товари
|
Короткостр. кредити
банку
|
Інша короткостр.
кредитор. заборг.
|
|
ТОВ «АД Шина»
|
2010
|
0,0
|
0,0
|
16,4
|
0,0
|
12,3
|
|
2011
|
0,0
|
0,0
|
12,0
|
0,0
|
6,4
|
|
2012
|
0,0
|
0,0
|
3,0
|
0,0
|
3,0
|
|
ТОВ «Росава»
|
2010
|
0,0
|
0,0
|
20,7
|
0,0
|
8,9
|
|
2011
|
0,0
|
0,0
|
14,9
|
0,0
|
7,9
|
|
2012
|
0,0
|
0,0
|
6,9
|
0,0
|
6,9
|
|
ТОВ «Автолюкс»
|
1999
|
0,0
|
0,0
|
230,2
|
0,0
|
24,5
|
|
2000
|
0,0
|
0,0
|
158,5
|
23,0
|
19,9
|
|
2001
|
0,0
|
0,0
|
102,9
|
0,0
|
36,0
|
Примітка. Розраховано на основі первинних даних досліджуваних
підприємств
ДОДАТОК Д
Перелік параметрів, що характеризують обсяг і структуру
оборотних активів і джерел їх авансування
Оборотність оборотних активів
Поточна і швидка ліквідність підприємства
Участь матеріальних запасів у покритті короткострокових
зобов’язань
Питома вага матеріальних оборотних активів у їх загальній
сумі
Інфляційна захищеність оборотних активів
Рівень маневреності власного капіталу підприємства
Оборотність товарних запасів
Оборотність дебіторської заборгованості
Оборотність грошових коштів
Тривалість операційного циклу
Середній період погашення кредиторської заборгованості
Тривалість обороту грошових коштів
Середній індекс ліквідності оборотних активів
Фінансова стійкість підприємства