Управленческая экономика

  • Вид работы:
    Контрольная работа
  • Предмет:
    Эктеория
  • Язык:
    Русский
    ,
    Формат файла:
    MS Word
    124,58 Кб
  • Опубликовано:
    2015-01-08
Вы можете узнать стоимость помощи в написании студенческой работы.
Помощь в написании работы, которую точно примут!

Управленческая экономика

Задание 1. Спрос и предложение

Предположим, что функция спроса на продукцию компании задается выражением

= 10 - 2P.

спрос цена издержка затрата

а. Какова будет в данном случае обратная функция спроса?

б. Какова будет в данном случае функция предельных поступлений?

в. Определите, при каких значениях объема выпускаемой продукции и цене спрос на продукцию будет соответствовать единичной эластичности?

г. Определите, при каких значениях объема выпускаемой продукции и цене спрос на нее становится эластичным?

д. Определите, при каких значениях объема выпускаемой продукции и цене спрос на нее становится неэластичным? Решение:

а) Р =  = 5 - 0,5Q

б) TR = P*Q = (5 - 0,5Q)*Q = 5Q - 0,5Q²

MR = 5 - Q

в) |Ep| = -1; Ep = ; Ep = -2* ;

= -2* ; -10+2P = -2P; 4P = 10;

При P = 2,5; Q = 5 спрос на продукцию будет соответствовать единичной эластичности.

г) |Ep| < 1, спрос эластичен при P < 2,5; Q > 5

д) |Ep| > 1, спрос эластичен при P > 2,5; Q < 5

Задание 2. Производственная функция


а.       Предположим, что вводится К единиц капитала (L труда); составьте таблицу, содержащую значения общего выпуска продукции, среднего продукта, предельного продукта при вводимом факторе - труде (капитале), меняющемся от 1 до 8 единиц труда (капитала). Пременный фактор - капитал, К.

б.      Используя указанные данные, постройте график с кривыми общего выпуска продукции, среднего продукта и предельного продукта. Укажите на графике: численное значение рабочей силы (капитала) как вводимого фактора производства, максимизирующее предельный продукт; численное значение рабочей силы (капитала) как вводимого фактора производства, максимизирующее средний продукт; численное значение рабочей силы (капитала) как вводимого фактора производства, максимизирующее общий выпуск продукции.

в.       Объясните, как закон убывающей доходности отражается на кривой общего выпуска продукции.

№ вар.

1

2

3

4

5

6

7

8

К,ед.

1

2

3

4

1-8

1-8

1-8

1-8

L. ед.

1-8

1-8

1-8

1-8

1

2

3

4


Решение:

а) APk = Q/K; MPk = ΔQ/ΔK

L

K

Q

APk

MPk

4

1

9

9

9

4

2

21

10,5

12

4

3

52

17,3

4

4

72

18

20

4

5

80

16

8

4

6

88

14,7

8

4

7

91

13

3

4

8

92

11,5

1


б) График с кривыми общего выпуска продукции, среднего продукта и предельного продукта.


Численное значение капитала как вводимого фактора производства, максимизирующее предельный продукт равно 3;

численное значение капитала как вводимого фактора производства, максимизирующее средний продукт равно 4;

численное значение капитала как вводимого фактора производства, максимизирующее общий выпуск продукции равно 8.

в) На графике видно, что рост значения фактора капитал, не обеспечивает эквивалентный прирост дохода, то есть доход растёт медленнее, чем фактор. Кривая общего выпуска продукции сначала резко увеличивается, а затем становится более плоской, рост замедляется. Продуктивность используемых ресурсов сокращается.

Задание 3. Анализ издержек

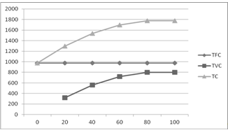
Функция общих затрат будет иметь вид: ТС= 975 + 18Q - 0,1Q2.

а.       Постройте таблицу затрат для выпуска от 0 до 100 единиц с приращением выпуска на 20 единиц.

б.      Используя таблицу затрат, постройте функцию полной стоимости. Включите кривые ТVС и ТFС.

в.       На следующем графике покажите кривые для АТС, АVС и MС.

a) TC = TFC +TVC; AFC = TFC/Q; AVC = TVC/Q; ATC = TC/Q; MC =ΔTC/ΔQ

Q

TFC

TVC

TC

AFC

AVC

ATC

MC

0

975

-

975

-

-

-

-

20

975

320

1295

48,8

16

64,8

16

40

975

560

1535

24,4

14

38,4

12

60

720

1695

16,3

12

28,3

8

80

975

800

1775

12,2

10

22,2

4

100

975

800

1775

9,8

8

17,8

0


б) Используя таблицу затрат, постройте функцию полной стоимости. Включите кривые ТVС и ТFС.


в) Покажите кривые для АТС, АVС и MС на графике

Похожие работы на - Управленческая экономика

 

Не нашли материал для своей работы?
Поможем написать уникальную работу
Без плагиата!
Без нейросетей!