Методы оценки качества продукции

  • Вид работы:
    Отчет по практике
  • Предмет:
    Менеджмент
  • Язык:
    Русский
    ,
    Формат файла:
    MS Word
    46 Кб
  • Опубликовано:
    2014-10-21
Вы можете узнать стоимость помощи в написании студенческой работы.
Помощь в написании работы, которую точно примут!

Методы оценки качества продукции















Отчет по практике

Методы оценки качества продукции


Введение


Уже несколько десятилетий во всем мире большое значение придается качеству продукции. Высокое качество продукции стало главным условием успеха организаций в конкурентной борьбе на рынке.

В условиях рыночных отношений успех организации зависит от степени удовлетворения ею требований покупателей. Только в этом случае организация будет иметь устойчивый спрос на свою продукцию и получать прибыль.

Качество - это совокупность потребительских свойств и характеристик продукции (услуги), придающих ей способность удовлетворять обусловленные или предполагаемые потребности.

Значение повышения качества продукции для экономики организации заключается в том, что оно позитивно сказывается на эффективности использования производственных ресурсов, эффективности функционирования организации, а также адаптивности организации к изменяющимся условиям внешней экономической среды, активизирует процесс поиска и внедрения инноваций в производство. Повышение качества продукции на макроуровне способствует формированию экспортного потенциала, усиливающего экономическую независимость государства, а, следовательно, и его безопасность. Кроме того, качество выступает катализатором ускорения научно-технического прогресса, роста благосостояния общества и т.д.

Таким образом, тема данного исследования является актуальной.

Целью данной работы является изучение качества продукции, связанных с ним понятий, категорий, факторов и аспектов.


1.      Понятие качества продукции как экономической категории

В различные исторические эпохи неодинаково определяли понятие «качество». В научной и специальной литературе встречаются самые различные формулировки сущности качества продукции.

Качество продукции представляет собой материальную основу удовлетворения как производственных, так и личных потребностей людей, и этим определяется его уникальная общественная, экономическая и социальная значимость. Чем выше качество продукции, тем большим богатством обладает общество и тем большими материальными возможностями оно располагает для своего дальнейшего прогресса.

Проблема качества продукции имеет много аспектов. Одни исследователи различают философский, социологический, экономический, правовой, статистический аспекты, другие выделяют математическую, техническую, производственную, потребительскую её сторону.

При изучении качества продукции исследуются все вышеобозначенные аспекты. Однако экономический аспект качества является решающим среди других, и исследования других аспектов будут иметь практическое значение только в том случае, если они будут осуществляться на экономической основе. Поэтому решение проблемы обеспечения качества продукции требует, прежде всего, чёткого представления о качестве как предмете экономической науки.

Качество - это универсальная философская категория, охватывающая как явления внешнего мира, так и сознание человека. Качество, как философская категория, впервые было проанализировано Аристотелем (3 в. до н.э.), определившем его как «видовое отличие,… видовой признак, отличающий данную сущность… от другой сущности, принадлежащей к тому же роду». Позже (19 в. н.э.) полно исследовал эту категорию Гегель. По Гегелю «качество есть вообще тождественная с бытием определённость, так что нечто перестаёт быть тем, что оно есть, когда оно теряет своё качество».

Другими словами, как философская категория, качество - это характеристика отличия предмета от всех остальных. Гегель отметил неразрывное единство качества и количества. Те или иные количественные изменения имеют свой предел, свою качественную границу, выход за которую ведёт к установлению нового соотношения количества и качества.

Ф. Энгельс рассматривал качество в двух планах: во-первых, всякое качество имеет бесконечно много количественных градаций, доступных измерению и наблюдению; во-вторых, существуют «…не качества, а только вещи, обладающие качеством, и притом бесконечно многими качествами».

Экономическое содержание понятия «качество продукции» базируется на том, что качество продукции формируется в процессе её изготовления. Поэтому как экономическая категория качество продукции рассматривается как овеществлённый результат производственной деятельности людей, сопряжённый с соответствующими затратами.

Любые вещи создаются для удовлетворения определённых потребностей человека и общества в целом. Это предназначение вещей полностью относится и к их качеству. Учитывая это социальное значение качества продукции, можно охарактеризовать его как социально-экономическую категорию.

Степень удовлетворения личных и общественных потребностей конкретной вещью определяется её свойствами. А качество вещи определяется совокупностью её свойств. Свойства вещи определяются её техническим совершенством, которое закладывается при проектировании и обеспечивается при производстве. Таким образом, как совокупность свойств качество является технической категорией и изучается техническими дисциплинами.

Обобщая рассмотренные аспекты качества продукции, ГОСТ 15467-79 дает ему следующее определение: «Качество продукции» - это совокупность свойств продукции, обусловливающих ее пригодность удовлетворять определенные потребности в соответствии с ее назначением. Международный стандарт ИСО 8402 определяет это понятие следующим образом: качество - совокупность свойств и характеристик продукции или услуги, которые придают им способность удовлетворять обусловленные или предполагаемые потребности.

Покупатель считает качественной ту продукцию, которая отвечает условиям потребления независимо от того, какие специфические потребности ей предназначалось удовлетворять. Действительно, совокупность свойств продукции может быть той же (т.е. качество не изменилось), но для потребителя эта продукция может быть неприемлемой.

Совокупность свойств не может быть плохой или хорошей вообще. Качество может быть только относительным. Если необходимо дать оценку качества продукции, то надо сравнить данный набор свойств (совокупность свойств) с каким-то эталоном. Эталоном могут быть лучшие отечественные или международные образцы, требования, закрепленные в стандартах или технических условиях. При этом применяется термин «уровень качества» (в зарубежной литературе - «относительное качество», «мера качества») - это относительная характеристика качества продукции, основанная на сравнении совокупности показателей ее качества с соответствующей совокупностью базовых показателей. Итак, технический уровень продукции - относительная характеристика ее качества, основанная на сопоставлении значений показателей технического совершенства оцениваемой продукции и ее современных конкурентоспособных аналогов.

Но любой документ или эталон узаконивает определенный набор свойств и характеристик лишь на какой-то период времени, а потребности непрерывно меняются, поэтому организация, изготавливая продукцию даже в точном соответствии с нормативно-технической документацией, рискует выпускать ее некачественной, не устраивающей потребителя.

Таким образом, основное место в оценке качества продукции или услуг отводится потребителю, а стандарты, законы и правила (в том числе и международные) лишь закрепляют и регламентируют прогрессивный опыт, накопленный в области качества.

экономический потребительский рынок

2.      Методы определения показателей качества продукции

Многообразие ПКП по их роли, характеру, природе, возможностям определения количественных значений вызывает необходимость применения различных методов определения разных показателей. Результаты оценки качества продукции в значительной степени зависят от выбранного метода определения значений показателей качества. Неудачно выбранный метод определения значений ПКП может снизить точность и достоверность оценки качества продукции. Методы определения значений ПКП предусматриваются, регламентируются и классифицируются различными НТД (научно-техническая документация), в том числе разделом три ГОСТ 15467-79. В соответствии с ним все методы определения значений ПКП делятся на две группы: 1) по способу получения информации; 2) по источникам получения информации. Методы первой группы в литературе по качеству часто называют объективными, методы второй группы - субъективными. Первая группа методов включает измерительный, регистрационный, расчетный и органолептический, вторая группа - традиционный, экспертный и социологический методы. Определение их сущности дается в ГОСТ 15467-79.

Измерительный метод получил наибольшее распространение в первой группе, в этом методе значения ПКП устанавливаются с использованием технических средств измерений различного назначения, принципа действия и точности, зависящих от характера определяемых ПКП. При этом основной характеристикой этого метода и применяемых средств измерений является точность (погрешность) измерений, требования к которой определяется характером измеряемых показателей качества. Требования к точности измерений определяются не только техническими, но и экономическими соображениями и ограничениями: необходимо, чтобы повышенная точность измерений, требующая, как правило, применения более дорогостоящих измерительных средств, повышенных затрат времени на проведение и обработку результатов измерений, компенсировалось снижением убытков, связанных с ошибками вследствие применения измерительных средств невысокой точности. Измерительный метод является предметом метрологии и метрологического обеспечения качества продукции.

Регистрационный метод определения ПКП - метод определения значений ПКП, осуществляемый на основе наблюдения и подсчета числа определенных событий, предметов или затрат. Этот метод основан на фиксации (регистрации) свершения определенных событий с последующей их статистической обработкой, что характерно для определения показателей надежности путем регистрации отказов и их статистической обработки при эксплуатации или испытаниях изделий; изучения затрат рабочего времени методом моментных наблюдений и определения норм времени на технологические операции методом хронометража; для определения производительности станка-автомата путем подсчета количества операций и деталей в единицу времени и т.п.

Расчетный метод определения ПКП - метод определения значений ПКП, осуществляемый на основе использования теоретических и / или эмпирических зависимостей ПКП от ее параметров. Примерами применения этого метода могут служить определение: дальности действия радиопередатчика от его мощности; точности обнаружения цели от ширины диаграммы направленности антенны радиолокационной станции; зоны уверенного приема телевизионных передач (сигналов) в зависимости от мощности передатчика, высоты подъема передающей и приемной телевизионной антенн, чувствительности телеприемника; результата измерений от их количества и точности измерительного средства; объема грузооборота от грузоподъемности и скорости транспортного средства; времени обработки детали на токарном станке в зависимости от длины и диаметра обрабатываемой детали, скорости вращения шпинделя станка и величины подачи суппорта и др.

Органолептический метод определения ПКП - метод определения значений ПКП, осуществляемый на основе анализа восприятий органов чувств. Этот метод применяется при невозможности использования первых трех методов, что характерно для установления значений некоторых эстетических ПКП (например, чистоты и равномерности покрытия поверхности и т.п.), оценки яркости, контрастности и цветовой насыщенности телевизионного изображения.

Методы определения ПКП, относящиеся ко второй группе и различающиеся источниками информации, характеризуются следующими особенностями.

При традиционном методе источниками информации являются специальные службы, подразделения предприятия (лаборатории, испытательные центры и станции, полигоны и т.д.), осуществляющие отбор, систематизацию, обработку, анализ и предоставление информации, необходимой для принятия решений. Метод относят к субъективным, поскольку его результаты во многом зависят от квалификации, профессионализма, опыта и других качеств персонала этих подразделений.

Экспертный метод определения ПКП - метод определения ПКП, осуществляемый на основе решения, принимаемого экспертами. При отсутствии или недостаточном для принятия решения объеме информации для ее получения приглашаются и по определенным правилам используются эксперты.

Эксперт (от лат. expertus - опытный) - это специалист в определенной области знаний (науки, техники, экономики, менеджмента и др.), приглашаемый для исследования вопросов, решение которых требует специальных знаний и опыта в этой области. Участие в проведении экспертизы таких специалистов и обусловливает отнесение этих методов к субъективным.

Экспертные методы оказываются единственно пригодными для тех задач определения ПКП, в которых исходная информация полностью отсутствует или в связи с необходимостью учета большого количества факторов ее ограниченный объем на момент определения ПКП не позволяет объективно оценить ситуацию и принять обоснованное и объективное решение.

В связи с разнообразием экспертных методов всю их совокупность принято группировать по ряду признаков:

по способу выработки информации (наличие или отсутствие формализованной схемы получения экспертных оценок) - на интуитивные и формализованные (алгоритмические);

по количеству привлекаемых к экспертизе специалистов - на индивидуальные и коллективные;

по форме организации работы экспертов - на гласные и анонимные экспертные опросы;

по характеру взаимодействия экспертов с организаторами экспертизы - на очные и заочные экспертизы;

по характеру процесса выработки экспертной информации - на методы анкетирования, генерирования идей, свободной дискуссии;

Сочетание различных разновидностей экспертных методов на пересечении указанных признаков определяет процедурную специфику их реализации. При наличии специфических особенностей каждой разновидности этих методов процедура их реализации имеет единую структуру, включающую следующие основные этапы:

постановка задачи, выбор метода экспертизы, формирование и анализ задания экспертам;

организационно-методическая подготовка экспертных процедур определения ПКП (выбор принципа подбора экспертов, формы работы с ними, составление программы проведения опросов и опросных документов);

подбор экспертов, формирование экспертной группы, репрезентативность и компетентность которой необходимы для обеспечения статистической достоверности ее выборочного группового суждения;

проведение экспертных исследований по установленным ранее процедурам и на основе разработанных программ и опросных документов;

статистическая обработка, анализ результатов экспертных исследований и формирование рекомендаций с целью получения обобщенного мнения экспертов, используемого для определения ПКП.

Социологический метод определения ПКП - метод определения значений ПКП, осуществляемый на основе сбора и анализа мнений ее фактических или возможных потребителей.

Этот метод позволяет исследовать процессы распространения информации на рынке, выявлять отношение потребителей к продукции, нововведениям, изучать ценностные ориентации потребителей. При этом используются методы анкетирования, «панельных» обследований и др.

Социологические исследования базируются на общих научных принципах и методах, в том числе это относится и к общим требованиям к исследователям, которые должны:

быть объективными, принимать необходимые меры, чтобы не повлиять на интерпретацию зафиксированных данных;

указывать степень погрешности своих данных, имея в виду ограниченные возможности любого метода;

заниматься исследованиями постоянно, чтобы не упустить существенные изменения мнений потребителей и рыночной ситуации.

Процедура социологических исследований состоит из комплекса последовательных действий (этапов), среди которых можно выделить:

разработку концепции исследования (определение целей, постановку проблемы, формирование рабочей гипотезы, определение системы ПКП);

получение и анализ эмпирических данных (разработка рабочего инструментария, процесс получения данных, обработка и анализ данных);

формулирование основных выводов и оформление результатов исследований (разработка выводов и рекомендаций, оформление результатов исследований).

Рассмотренные методы определения ПКП обладают различной точностью, достоверностью, надежностью, трудоемкостью и их выбор и эффективность использования зависят от цели, конкретных задач и предъявляемых требований при определении ПКП, квалификации реализующих методы специалистов.

3.      Методы оценки качества продукции

Под методом оценки качества продукции (МОКП) понимается совокупность логических и математических операций по использованию отдельных ПКП или их определенного сочетания для определения качества изделия в целом на основе их сравнения с аналогичными вариантами изделий для принятия решения о выборе предпочтительного (лучшего) по качеству для потребителя варианта.

ГОСТ 15467-79 предусматривает следующие МОКП: дифференциальный, комплексный, смешанный и статистический методы.

Дифференциальный МОКП - метод оценки качества продукции, основанный на использовании единичных показателей ее качества. Этот метод заключается в систематизации и сравнительном анализе значений совокупности единичных показателей, характерных для каждого из сравниваемых вариантов, и принятии на этой основе решения о предпочтительности одного из вариантов, обладающего лучшим набором единичных показателей. В изложенной сущности этого метода существует противоречие, затрудняющее широкое использование этого метода по прямому назначению, заключающемуся в выборе лучшего варианта изделия из всей совокупности однотипных изделий, различающихся значениями различных единичных показателей. Дело в том, что единичные показатели от варианта к варианту изменяются не одно - направленно, например, только улучшаются.

Обычно каждый вариант изделия отличается от остальных лучшими значениями одного или нескольких показателей и худшими в сравнении с другими вариантами значениями остальных единичных показателей.

Для сложных же изделий, характеризующихся и различающихся десятками и сотнями единичных показателей, принятие решения о выборе предпочтительного варианта становится неразрешимой задачей. Этот недостаток можно ослабить путем использования коэффициентов весомости отдельных единичных показателей, но это значительно повышает трудоемкость реализации метода, поскольку требует применения экспертных оценок для установления коэффициентов весомости показателей качества, что, в свою очередь, усиливает субъективность метода.

Но и при органически присущих дифференциальному МОКП недостатках он имеет самостоятельное применение по основному назначению в следующих основных случаях:

при анализе тенденций изменения отдельных единичных показателей и выработке рекомендаций по их достижению путем включения в опережающие стандарты;

при оценке качества сравнительно простых изделий, у которых один из показателей имеет высокую дискретность изменения значений в их широком диапазоне, а другие показатели имеют небольшую дискретность, например, резисторы, электродвигатели, бытовые электроприборы и т.п.;

при отсутствии вариативности в выборе изделий, поскольку значения большинства единичных показателей вытекают из расчета (например, значение емкости и допустимого напряжения конденсатора, мощность и число оборотов электродвигателя); антропометрических параметров (например, обувь, одежда и т.п., для которых вариативность в размерных показателях отсутствует, но сохраняется в эстетических) и др.;

при необходимости сопрягаемости показателей изделия с условиями его эксплуатации (напряжение питания прибора с напряжением сети, температурный режим эксплуатации изделия с климатическими условиями и т.п.) или сочетания цветового оформления изделия с интерьером и т.п.

Комплексный МОКП - метод оценки качества продукции, основанный на использовании комплексных показателей ее качества, т.е. показателей, характеризующих несколько свойств продукции.

Основным подходом в реализации этого метода является построение комплексного показателя в виде определенной функции нескольких единичных показателей качества оцениваемого и сравниваемых с ним образцов продукции. Такой подход связан с принципиальными трудностями, заключающимися в следующем:

выбор комплексного показателя качества, т.е. показателя некоторого сложного свойства и его размерности;

в содержательном описании сложного свойства продукции, достаточно объективно и полно отражающем совокупность элементарных свойств, характеризуемых единичными показателями, и образующую качество этой продукции;

в установлении функциональной зависимости комплексного показателя качества от единичных показателей, которая во многих случаях неизвестна;

во взаимной компенсации одних показателей за счет других, т.е. при разном наборе значений единичных показателей, комплексный показатель может оказаться одинаковым или близким по величине у сравниваемых вариантов однотипной продукции;

установленная функция может носить немонотонный характер, что приведет к неоднозначности в оценке качества продукции.

Преодоление отмеченных трудностей обеспечивается использованием достижений современной науки в области оцениваемой техники и привлечением опытных специалистов в качестве экспертов для установления неочевидных с точки зрения физико-химических процессов зависимостей между комплексным и единичными показателями.

Другой распространенный подход к построению комплексного ПКП состоит в следующем. Обоснование функциональной зависимости комплексного ПКП от единичных в тех случаях, когда она неизвестна, облегчается тем обстоятельством, что сравнение однотипных видов продукции обычно осуществляется при небольших различиях значений показателей качества сравниваемых вариантов (образцов) продукции. Благодаря этому можно ограничиться при разложении комплексного показателя в ряд Тейлора членами, содержащими первые степени аргумента, в качестве которого фигурируют единичные показатели качества сравниваемых вариантов, с последующей математической обработкой.

Комплексный МОКП, как правило, сопряжен с необходимостью определения коэффициентов весомости единичных показателей, правильность установления которых имеет важное значение для результатов комплексной оценки качества, существенно влияя на ее корректность.

В соответствии с ГОСТ 15467-79 под коэффициентом весомости ПКП понимается количественная характеристика значимости данного показателя качества продукции среди других показателей ее качества.

Для определения коэффициентов весомости ПКП при комплексной оценке ее качества применяются аналитические и экспертные методы соответственно по ГОСТ 24294-80 и ГОСТ 23554.0-79, ГОСТ 23554.1-79.

В ГОСТ 24294-80 приведен метод регрессионных зависимостей и метод эквивалентных соотношений. В основу этого стандарта положен принцип установления соответствия между комплексным ПКП, имеющим реальное смысловое содержание и наиболее полно отражающим степень удовлетворения данной продукцией потребностей, и единичными ПКП. Необходимые для этого исходные данные имеются в каталогах, научной литературе, НТД. В тех случаях, когда таких данных нет, их получают экспериментальным путем.

В ГОСТ 23554.0-79 и ГОСТ 23554.1-79 в комплексе вопросов порядка и организации экспертной оценки качества продукции приведены указания по установлению коэффициентов весомости экспертами.

В практике оценки качества продукции часто встречаются случаи, когда одновременно необходимо знать комплексный ПКП, анализировать единичные показатели, выявлять возможности их улучшения. В этих случаях применяется смешанный метод оценки, под которым согласно ГОСТ 15467-79 понимается метод оценки качества продукции, основанный на одновременном использовании единичных и комплексных показателей ее качества. Этот метод объединяет дифференциальный и комплексный методы, сущность и методические особенности которых были рассмотрены.

В составе МОКП выделяется статистический метод, под которым согласно ГОСТ 15467-79 понимается метод оценки качества продукции, при котором значения показателей качества продукции определяют с использованием правил математической статистики.

Для решения подобных задач оценки качества продукции применяются методы теории вероятностей и математической статистики, среди которых наиболее характерными являются: точечное и интервальное оценивание параметров распределения показателей качества; проверка гипотез; дисперсионный анализ; корреляционный анализ; регрессионный анализ; анализ временных рядов, последовательностей процессов и др.

Статистическая оценка (точечная и интервальная) указанных ПКП в значительной степени зависит от выбора вида его закона распределения, который определяется характером физико-химических процессов в структуре материалов. Выявление и обоснование закона распределения ПКП вызывает необходимость проведения статистических исследований.

Методы интервального оценивания позволяют установить интервал, в котором с заданной доверительной вероятностью находятся значения исследуемых параметров распределения ПКП, что играет важную роль для обоснования предъявляемых к ПКП требований и норм. Для оценки доверительных интервалов параметров нормального, логарифмически нормального, экспоненциального, биномиального распределений, законов Пуассона и Вейбулла, как наиболее характерных для распределения ПКП, используются государственные стандарты серии 11 (ГОСТ 11.010-81 и др.). В этих стандартах содержатся простые правила и таблицы для оценки доверительных интервалов параметров указанных распределений с заданной вероятностью.

Временным рядом в математической статистике называется упорядоченная последовательность результатов наблюдений некоторой величины, определенным образом меняющейся во времени. Временным рядом является, например, упорядоченная последовательность значений ПКП, полученных в последовательные моменты времени. Методы анализа временных рядов могут эффективно применяться при исследовании динамики качества продукции.

Предусмотренные ГОСТ 15467-79 и рассмотренные ранее методы оценки качества продукции имеют определенную результативность и области применения, но не устраняют полностью неопределенность при оценке качества, возникающую вследствие разнонаправленных, неупорядоченных значений ПКП у сравниваемых вариантов продукции (у одних изделий лучше один набор параметров, чем у остальных, у других - свой набор и т.д.). Это затрудняет обоснованный выбор изделия, обладающего более высоким в сравнении с другими однотипными изделиями качеством.

Преодоление этой трудности позволяет осуществить обобщенный метод оценки качества продукции, состоящий в формировании обобщенного ПКП, объединяющего в единый все единичные и комплексные ПКП по определенному алгоритму или правилу. При этом могут быть использованы различные алгоритмы формирования обобщенного ПКП: аддитивный, мультипликативный, метод оптимальной классификации или таксономии и др.

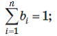
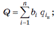
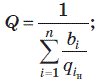
При обозначениях: qi и qin - соответственно абсолютные и нормированные значения i-го единичного показателя; n - количество учитываемых единичных показателей; bi - коэффициент весомости i-го единичного показателя - формирование обобщенного ПКП может строиться по алгоритмам:

аддитивному (средневзвешенному):


гармонически средневзвешенному


при общем условии


мультипликативному



В выражении при коэффициенте весомости ставится знак «+», если при увеличении i-го показателя качество продукции улучшается, и знак «-», если ухудшается, т.е. обобщенный показатель представляется в виде дроби, в числителе которой стоят показатели, при увеличении которых качество повышается, в знаменателе, при уменьшении которых качество повышается.

Основным и общим недостатком всех приведенных алгоритмов является преобладающее влияние на величину обобщенного показателя одного или нескольких единичных показателей при их экстремальных (значительно больших или значительно меньших, чем у остальных) значений, т.е. формирование обобщенного показателя в основном за счет одного или нескольких единичных (например, достаточно устремить к нулю значение одного из показателей, стоящих в знаменателе дроби, при знаке «-» при коэффициенте весомости в выражении, как резко устремляется в да значение обобщенного показателя. Этот недостаток можно преодолеть, если ограничить значения каждого единичного показателя некоторыми, вытекающими из интересов потребителя, пределами.

Все рассмотренные недостатки приведенных алгоритмов формирования обобщенного ПКП можно преодолеть применением метода оптимальной классификации как разновидности методов таксономии, суть которого состоит в следующем. Каждый из обобщенных показателей строится в n-мерном (по количеству n единичных показателей) пространстве. Координатами каждого из векторов обобщенных показателей являются значения соответствующих единичных показателей на i-й оси n-мерного векторного пространства. Решение о выборе лучшего по качеству варианта продукции принимается путем оценки расстояния от вершины вектора или точки в n-мерном пространстве до вершины вектора (точки), соответствующей значению обобщенного показателя качества варианта-эталона, который может быть сформирован путем придания ему лучших значений единичных показателей, присущих сравниваемым вариантам продукции или создан искусственно путем придания желательных потребителю значений каждому из единичных показателей.

Возможны и другие методы и алгоритмы построения обобщенного показателя качества, позволяющие обеспечить повышение объективности и определенности в оценке качества продукции и обоснованность выбора потребителем лучшего по качеству из сравниваемых вариантов

Заключение


Современная рыночная экономика предъявляет принципиально иные требования к качеству продукции и услуг. Качество продукции (услуг) относится к числу важнейших показателей деятельности организации. Повышение качества в значительной степени определяет выживаемость и успех организации в условиях рынка, темпы технического прогресса, внедрения инноваций, рост эффективности производства, экономию всех видов ресурсов, используемых в производстве.

Отсюда вытекает необходимость постоянной, целенаправленной, кропотливой работы по повышению качества продукции и услуг в сравнении с аналогами конкурентов.

Качество прошло многовековой путь развития и развивалось по мере того, как совершенствовались потребности и возрастали возможности производства по их удовлетворению. В настоящее время появилось множество разнообразных аспектов понятия «качество»: экономический, социальный, управленческий, личностный и другие. Каждый из подходов содержит свои трактовки и понимание содержания этой категории в зависимости от объекта исследования. Однако экономический аспект качества является решающим среди других.

Список используемой литературы

4. Белотелов, Н.В. Сложность. Математическое моделирование. Гуманитарный анализ. Исследование исторических, военных, социально-экономических и политических процессов/ Н.В. Белотелов, Ю.И. Бродский, Ю.Н. Павловский. - М.: Либроком, 2009.

5.      Валевич, Р.П. Управление качеством товаров и услуг: учебное пособие / Р.П. Валевич, О.Б. Пароля. Ї Минск: БГЭУ, 2008.

.        Головачёв, А.С. Экономика предприятия: учебное пособие: в 2 ч. / А.С. Головачёв. Ї Минск: Высшая школа, 2008.

.        Казначевская, Г.Б. Менеджмент: учебник / Г.Б. Казначевская. - Ростов-на/Д.: Феникс, 2010.

.        Лавриненко, В.Н. Исследование социально-экономических и политических процессов: учебное пособие/ В.Н. Лавриненко, Л.М. Путилова. - М.: Инфра-М, 2010.

Похожие работы на - Методы оценки качества продукции

 

Не нашли материал для своей работы?
Поможем написать уникальную работу
Без плагиата!
Без нейросетей!