Применение теории случайных величин и методов статистического регулирования процессов в управлении качеством
Министерство
образования и науки РФ
Бийский
технологический институт (филиал)
государственного
образовательного учреждения
высшего
профессионального образования
«Алтайский
государственный технический университет
им. И.И. Ползунова»
Кафедра
«Производственная безопасность и управление качеством»
Применение
теории случайных величин и методов статистического регулирования процессов в
управлении качеством
Пояснительная
записка курсовой работе по дисциплине
«Статистические
методы в управлении качеством»
КР220501.04.000ПЗ
Работу выполнила
студентка гр. УК-11
Коноплянная Е.А.
Бийск
2014
Введение
Статистические методы играют важную роль в
объективной оценке
количественных
и качественных характеристик процесса и являются одним из важнейших элементов
системы обеспечения качества продукции и всего процесса управления качеством.
Неслучайно основоположник современной теории менеджмента качества Э. Деминг
много лет работал в Бюро по переписи населения и занимался именно вопросами
статистической обработки данных. Он придавал огромное значение статистическим
методам.
Для получения качественной продукции необходимо
знать реальную точность имеющегося оборудования, определять соответствие
точности выбранного технологического процесса заданной точности изделия,
оценивать стабильность технологического процесса. Решение задач указанного типа
производится в основном путем математической обработки эмпирических данных,
полученных многократными измерениями либо действительных размеров изделий, либо
погрешностей обработки или погрешностей измерения.
Курсовая работа по дисциплине «Статистические
методы в управлении
качеством»
является начальным этапом изучения вопросов связанных с использованием
инструментов качества при анализе процессов и параметров продукции.
Целью курсовой работы является систематизация,
закрепление и расширение теоретических и практических знаний по специальности
путем использования их в решении конкретных инженерных задач, а также
формирование необходимых знаний о роли статистических методов.
Теория вероятности
Задание №1
Имеется 3 контейнера. В первом - 6 годных и 4
дефектных деталей, во второй - 5 дефектных и 5 годных деталей, в третьей - 7
дефектных и 3 годных деталей. Случайно выбирается контейнер, и из него
извлекается деталь, которая оказалась дефектной. Найти вероятность того, что
выбран второй контейнер.
Решение:
H
, H
, H
- контейнеры с соответствующими
номерами. Так как по условию все условия равновозможные, то p(H
)=p(H
)=p(H
) = 1/3.
Пусть А- не годная извлеченная деталь. Найдём условную вероятность А при
реализации каждой гипотезы.
(A/H
) = 4/10 (A/H
) = 5/10(A/H
) = 7/10
Так как вероятность выбора
контейнеров одинакова, то при помощи формулы Байеса, вычислим вероятность того,
что выберут второй контейнер:
p(H
/A) =
Ответ: вероятность того, что выбран
второй контейнер, равна 0,3125.
Дискретные случайные величины
Задание №2
Вероятность успешной сдачи экзамена первым
студентом составляет 0,7, а вторым - 0,8. Составить закон распределения
случайной величины X- числа студентов, успешно сдавших экзамен, если каждый из
них может пересдать один раз экзамен, если он его первый раз не сдал. Найти
математическое ожидание случайной величины X.
Решение:
Х может принимать значения от 0 до 2.
Вероятность сдачи экзамена первым студентом
p1=0,7, вторым - p2=0,8. Следовательно q1=0,3; ; q2=0,2.
Рассчитаем вероятности появления событий А-
любой результат сдачи экзамена.
|
Событие
Аi
|
Сдача
экзамена
|
Вероятность
этого события Ai
|
|
№
попытки
|
1-м
студентом
|
2-м
студентом
|
|
|
X1=0
|
A1
|
1
2
|
не
сдал не сдал
|
не
сдал не сдал
|
|
|
X2=1
|
A2
|
1
2
|
сдал
-
|
не
сдал не сдал
|
|
|
A3
|
1
2
|
не
сдал сдал
|
не
сдал не сдал
|
|
|
A4
|
1
2
|
не
сдал не сдал
|
сдал
-
|
|
|
A5
|
1
2
|
не
сдал не сдал
|
не
сдал сдал
|
|
|
X3=2
|
A6
|
1
2
|
сдал
-
|
сдал
-
|
|
|
A7
|
1
2
|
сдал
-
|
не
сдал сдал
|
|
|
A8
|
1
2
|
не
сдал сдал
|
сдал
-
|
|
|
A9
|
1
2
|
не
сдал сдал
|
не
сдал сдал
|
|
Проверим равенство
.
,0036+0,028+0,0084+0,072+0,0144+0,56+0,112+0,168+0,0336=1
Чтобы найти вероятность сдачи экзамена n
студентами необходимо сложить соответствующие вероятности:
P(X1)=(A1)=0,0036(X2)=P(A2)+ P(A3)+
P(A4)+ P(A5)= 0,1228(X3)=P(A6)+ P(A7)+ P(A8)+ P(A9)= 0,8736
Получаем следующий закон распределения случайной
величины Х
|
Xi
|
0
|
1
|
2
|
|
Pi
|
0,0036
|
0,1228
|
0,8736
|
Найдем математическое ожидание случайной
величины Х
Ответ: Математическое ожидание случайной
величины
Непрерывные случайные величины
Задание №3
)Случайные величины X и Y заданы законами
распределений:
|
xi
|
-2
|
0
|
3
|
|
yi
|
4
|
6
|
|
pi
|
p1
|
0,5
|
0,2
|
|
qi
|
0,5
|
0,5
|
Найти:
а) M(X)-?, D(X)-?,
σ(X)-?, M(Y)-?, D(Y)-?, σ(Y)-?;
б) Составить законы распределения случайных
величин Z=X+Y, V=XY;
Построить многоугольник распределения
вероятностей случайной величины Z;
в) Найти M(W)-?, D(W)-? если W=2X-4Y.
Решение:
а) р3=1-(0,5+0,2)=0,3
M(X)= ∑xipi= (-2)·0,3+0·0,5+3·0,2=0
M(Y) = ∑xipi=4·0,5+6·0,5=5(X)=
M(X2)-(M(X))2 M(X2)= (-2)2·0,3+32·0,2=1,2+1,8=3(X)= 3-0=3(Y )= M(Y2)-(M(Y))2
M(Y2)= 42·0,5+62·0,5=26(Y) = 26-52=1
σ(X) =
=
≈1,73
σ(Y)
=
=
=
1
б) Z=X+Y
|
Zi
|
-2+4
|
0+4
|
3+4
|
-2+6
|
0+6
|
3+6
|
|
pi
|
0,3·0,5
|
0,5·0,5
|
0,2·0,5
|
0,3·0,5
|
0,5·
0,5
|
0,2·
0,5
|
|
Zi
|
2
|
4
|
7
|
4
|
6
|
9
|
|
pi
|
0,15
|
0,25
|
0,1
|
0,15
|
0,25
|
0,1
|
V=XY
|
Zi
|
-8
|
0
|
12
|
-12
|
0
|
18
|
|
pi
|
0,15
|
0,25
|
0,1
|
0,15
|
0,25
|
0,1
|
в) M(W) = M(2X-4Y)=M(2X)- M(4Y)= 2M(X)- 4M(Y)=
(2·0)-(4·5)= -20(W) = D(2X-4Y)= 4D(X)- 16D(Y)= (4·3)- (16·1)= -4
Ответ: M(X)= 0 D(X)= 3 σ(X)
≈1,73
M(Y)= 5 D(Y)= 1 σ(Y)=
1
M(W)= -20 D(W)= -4
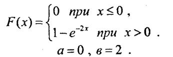
2)Непрерывная случайная величина задана
интегральной функцией (функцией распределения) F(х). Найти: а) вероятность
попадания случайной величины Х в интервал (а; в); б) дифференциальную функцию
(функцию плотности вероятностей) f(х); в) математическое ожидание, дисперсию и
среднее квадратическое отклонение случайной величины X;
Решение:
а) Вероятность того, что x примет значение,
заключенное в интервале (a;b), равна приращению функции распределения на этом
интервале:
Р (а< x <b)=F(b) - F(a)
Так как a= 0 , b=2 получим:
б)
в)
Ответ:
а) вероятность попадания случайной величины Х в
интервал (а;b) равна
;
б)
в) математическое ожидание
дисперсия
среднее квадратическое отклонение
Описательная статистика
Задание №4
По выборке: 2 4 5 3 1 7 5 4 5 7 6 6 5 2 2 1 4 7
2 1
(объем выборки n = 20) выполнить следующие
расчеты и задания:
. Построить вариационный ряд.
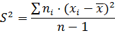
. Вычислить математическое ожидание, моду,
медиану, стандартное отклонение, дисперсию, размах выборки, коэффициент
вариации.
. Построить таблицу частот и накопленных частот
для сгруппированной выборки (число интервалов не менее 4-х).
. Построить гистограмму частот.
. Ввести данные в пакет STATISTICA, выполнить
все расчеты п. 2- 4, сравнить результаты и записать в отчет.
Решение:
. Статистический ряд:
случайная величина дисперсия
квадратическая
|
1
|
1
|
1
|
2
|
2
|
2
|
2
|
3
|
4
|
4
|
4
|
5
|
5
|
5
|
5
|
6
|
6
|
7
|
7
|
7
|
Вариационный ряд:
|
xi
|
1
|
2
|
3
|
4
|
5
|
6
|
7
|
|
ni
|
3
|
4
|
1
|
3
|
4
|
2
|
3
|
|
pi
|
3/20
|
4/20
|
1/20
|
3/20
|
4/20
|
2/20
|
3/20
|
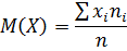
. Математическое ожидание:
Дисперсия:
Мода:
Мо= не определяется
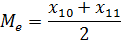
Медиана:
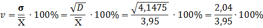
Коэффициент вариации:
=51,65%
Размах выборки:
.Таблица частот и накопленных частот для
сгруппированной выборки:
, где к- число
интервалов, n - объём данных (в данном случае 20)
=6/5=1,2 где h-шаг
Таблица частот и накопленных частот: таб. 3
|
Границы
интервалов
|
Частота,
ni
|
Накопленная
частота,
|
|
[1-2)
|
3
|
3
|
|
[2-3)
|
4
|
7
|
|
[3-4)
|
1
|
8
|
|
[4-5)
|
3
|
11
|
|
[5-6)
|
4
|
15
|
|
[6-7)
|
2
|
17
|
|
[7-8)
|
3
|
20
|
. По данным таблицы 3 строим гистограмму частот:
. Введем данные в пакет STATISTICA, выполним все
расчеты п. 1-4:
Вычислим оценки математического ожидания, моду и
медиану, оценку дисперсии, размах выборки в пакете STATISTICA:
Строим таблицу частот и накопленных частот для
сгруппированной выборки в пакете STATISTICA:
- Построим гистограмму частот в пакете
STATISTICA:
Вывод: Данные, полученные с помощью расчетов,
сходятся с данными, полученными в пакете STATISTICA.
Статистические гипотезы
Задание №5
Необходимо провести обработку статистических
данных с целью получения ответа на те вопросы, которые были поставлены перед
статистиком-аналитиком в каждом конкретном случае (в соответствии с вариантом
задания).
По данным таблиц наблюдений для каждого ряда
распределения необходимо:
.1. Вычислить статистики (оценки) положения,
рассеяния;
.2. Проанализировать исходные данные и
результаты расчетов, сделать предварительные выводы, основываясь на
практических вопросах задания;
.3. Провести проверку статистических гипотез для
всех статистик (оценок);
.4. Провести сравнение результатов расчетов;
Варианты 3.1 Процесс обогащения руды
На обогатительных фабриках происходит отделение
частиц металла от пустой породы (после раздробления руды и последующей ее
обработки). Одним из показателей качества готовой продукции - концентрата -
являются классы крупности Хj (d, мк) частиц металла, входящих в него. В
результате анализов, проведенных на одной из обогатительных фабрик
медно-молибденового рудника, были получены данные по распределениям классов
крупности при различных технологических режимах №1 и №2. При этом проходили
испытания нового автоматического прибора (гранулометра) по измерению классов
крупности. Точность анализов гранулометра сравнивалась с точностью при
традиционных лабораторных способах измерений. Результаты анализов представлены
таблицами 1 - 4.
Таблица 1
Технология №1, лаб. анализ; N1=100
|
Xj
|
6,3
|
6,4
|
6,5
|
6,7
|
6,8
|
7,0
|
7,3
|
7,5
|
7,7
|
7,9
|
8,2
|
8,5
|
|
nj
|
1
|
3
|
1
|
2
|
8
|
5
|
45
|
5
|
7
|
3
|
5
|
Таблица 2
Технология №1, гранулометр; N2=95
|
Xj
|
5,9
|
6,3
|
6,5
|
6,7
|
7,0
|
7,2
|
7,3
|
7,5
|
7,8
|
7,9
|
8,5
|
|
nj
|
1
|
3
|
1
|
2
|
8
|
5
|
45
|
15
|
5
|
7
|
3
|
Таблица 3
Технология №2, лаб. анализ; N3=105
|
Xj
|
6,2
|
6,7
|
6,9
|
7,2
|
7,4
|
7,5
|
7,9
|
8,0
|
8,1
|
8,5
|
|
nj
|
5
|
5
|
10
|
15
|
5
|
45
|
8
|
5
|
2
|
5
|
Таблица 4
Технология №2, гранулометр; N4=100
|
Xj
|
5,8
|
6,4
|
6,7
|
7,0
|
7,2
|
7,3
|
7,6
|
7,9
|
8,0
|
7,3
|
8,9
|
|
nj
|
5
|
5
|
3
|
7
|
5
|
10
|
40
|
10
|
5
|
5
|
5
|
Сформулируйте и проверьте статистические
гипотезы, необходимые для ответа на вопросы:
существенно ли различаются между собой 2
технологии?
можно ли считать успешными испытания
автоматического гранулометра или же лабораторные анализы более точны?
Условия выполнения вариантов 3.1 (таблица 5).
Таблица 5
|
Условия
|
3.1
|
|
Уровень
значимости α
|
для
1-ой гипотезы
|
0,02
|
|
для
2-ой гипотезы
|
0,025
|
Решение:
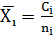
Вычисляем статистики (оценки) положения,
рассеяния; коэффициенты асимметрии, эксцесса;
Используем следующие формулы для нахождения
статистики (оценки):
Положения: 
рассеяния:
коэффициенты асимметрии:
Таблица 1
Технология №1, лаб. анализ; N1=100
|
Xj
|
6,3
|
6,4
|
6,5
|
6,7
|
6,8
|
7,0
|
7,3
|
7,5
|
7,7
|
7,9
|
8,2
|
8,5
|
|
nj
|
1
|
3
|
1
|
2
|
8
|
5
|
45
|
15
|
5
|
7
|
3
|
5
|
0,02
3,756
(x)=7,367
Таблица 2
Технология №1, гранулометр; N2=95
|
Xj
|
5,9
|
6,3
|
6,5
|
6,7
|
7,0
|
7,2
|
7,3
|
7,5
|
7,8
|
7,9
|
8,5
|
|
nj
|
1
|
3
|
1
|
2
|
8
|
5
|
45
|
15
|
5
|
7
|
3
|
0,0166
-2,3234
(x)=7,342
Таблица 3
Технология
№2, лаб. анализ; N3=105
|
Xj
|
6,2
|
6,7
|
6,9
|
7,2
|
7,4
|
7,5
|
7,9
|
8,0
|
8,1
|
8,5
|
|
nj
|
5
|
5
|
10
|
15
|
5
|
45
|
8
|
5
|
2
|
5
|
0,023
2,54
(x)=7,41
Таблица 4
Технология №2 гранулометр; N4=100
|
Xj
|
5,8
|
6,4
|
6,7
|
7,0
|
7,2
|
7,3
|
7,6
|
7,9
|
8,0
|
7,3
|
8,9
|
|
nj
|
5
|
5
|
3
|
7
|
5
|
10
|
40
|
10
|
5
|
5
|
5
|
0,038
(x)=7,43
Предварительные выводы.
Т.к. для всех результатов наблюдений (таблицы
1-4) коэффициенты асимметрии и эксцесса не равны нулю, следовательно, кривые
распределений не симметричны относительно начала координат.
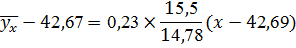
Сравниваем математические ожидания технологий
№1-4 лабораторного анализа и гранулометра:
а) Сравниваем математические ожидания технологий
№1-4 лабораторного анализа: все четыре технологии лабораторного анализа
удовлетворяют ГОСТу на классы крупности: d€[64;84]. Лучшей из технологий
является технология №3 лабораторного анализа, т.к. ее математическое ожидание
ближе всего к номинальному значению:
.
Сравниваем дисперсии гранулометра и
лабораторного анализа технологий №1-4:
а) Сравниваем дисперсии гранулометра и
лабораторного анализа технологии №1: их измерения не отличаются друг от друга,
т.к. их дисперсии равны;
б) Сравниваем дисперсии гранулометра и
лабораторного анализа технологии №2: их измерения отличаются друг от друга,
т.к.их дисперсии различны. Лабораторный анализ технологии №2 более точен,
потому что его дисперсия меньше;
в) Сравниваем дисперсии гранулометра и лабораторного
анализа технологии №3: их измерения не отличаются друг от друга, т.к. их
дисперсии равны.
г) Сравниваем дисперсии гранулометра и
лабораторного анализа технологии №4: их измерения не отличаются друг от друга,
т.к. их дисперсии равны.
Проверка статистических гипотез:
Сравнение различных технологий.
)Н0: технологии №1 и №2 лабораторного анализа не
отличаются, т.е. M(X1)=M(X2)
Н1: M(X1)
M(X2)
- альтернативная гипотеза.

При α=0,02
и k=100+95-2=193 определяем tкр:
, следовательно
гипотеза Н0 отклоняется и принимается альтернативная гипотеза Н1 , значит
технологии №1 и №2 лабораторного анализа отличаются.
) Н0: технологии №1 и №3 лабораторного анализа
не отличаются, т.е. M(X1)=M(X3)
Н1: M(X1)
M(X3)
- альтернативная гипотеза.
При α=0,02
и k=100+105-2=203 определяем tкр:
, следовательно
гипотеза Н1 отклоняется и принимается альтернативная гипотеза Н0 , значит
технологии №1 и №3 лабораторного анализа отличаются.
) Н0: технологии №2 и №3 лабораторного анализа
не отличаются, т.е. M(X2)=M(X3)
Н1: M(X2)
M(X3)
- альтернативная гипотеза.
При α=0,02
и k=95+105-2=198 определяем tкр:
, следовательно
гипотеза Н отклоняется и принимается альтернативная гипотеза Н0 , значит
технологии №2 и №3 лабораторного анализа отличаются.
)Н0: технологии №1 и №4 гранулометра не отличаются,
т.е. M(X1)=M(X4)
Н1: M(X1)
M(X4)
- альтернативная гипотеза.
При α=0,02
и k=100+100-2=198 определяем tкр:
, следовательно
гипотеза Н1 отклоняется и принимается альтернативная гипотеза Н0 , значит
технологии №1 и №4 гранулометра отличаются.
) Н0: технологии №2 и №4 гранулометра не
отличаются, т.е. (X2)=M(X4)
Н1: M(X2)
M(X4)
- альтернативная гипотеза.
При α=0,02
и k=95+100-2=193 определяем tкр:
, следовательно
гипотеза Н1 отклоняется и принимается альтернативная гипотеза Н0 , значит
технологии №2 и №4 гранулометра отличаются.
)Н0: технологии №3 и №4 гранулометра не
отличаются, т.е. (X3)=M(X4)
Н1: M(X3)
M(X4)
- альтернативная гипотеза.
При α=0,02
и k=105+100-2=203 определяем tкр:
, следовательно
гипотеза Н0 отклоняется и принимается альтернативная гипотеза Н1 , значит
технологии №1 и №3 гранулометра отличаются.
Сравнение лабораторного анализа и гранулометра.
Н0: измерения лабораторного анализа и гранулометра
технологии №1 одинаковы, т.е. D(X1)=D(X2)
Н1: D(X1)
D(X2)
- альтернативная гипотеза.
При α=0,025 ,
k1=100-1=99, k2=95-1=94 определяем Fкр:
, следовательно
гипотеза Н0 принимается, значит измерения лабораторного анализа и гранулометра
технологии №1 одинаковы.
Н0: измерения лабораторного анализа и
гранулометра технологии №2 одинаковы, т.е. D(X1)=D(X2)
Н1: D(X1)
D(X2)
- альтернативная гипотеза.
При α=0,025 ,
k1=105-1=104, k2=100-1=99 определяем Fкр:
, следовательно
гипотеза Н0 отклоняется и принимается альтернативная гипотеза Н1 , значит измерения
лабораторного анализа и гранулометра технологии №2 различны.
Н0: измерения лабораторного анализа и
гранулометра технологии №3 одинаковы, т.е. D(X1)=D(X2)
Н1: D(X1)
D(X2)
- альтернативная гипотеза.
При α=0,025 ,
k1=26-1=25, k2=28-1=27 определяем Fкр:
, следовательно
гипотеза Н0 принимается, значит измерения лабораторного анализа и гранулометра
технологии №3 одинаковы.
Вывод: Испытания автоматического гранулометра
можно считать успешными только в технологии №1, лабораторный анализ более точен
во всех трех технологиях.
Дисперсионный анализ
Задание №6
(Все расчеты выполнить вручную и проверить
расчет с помощью ПО)
Для изготовления каждой партии ламп была взята
проволока разных заводов-изготовителей. Все же прочие условия производства были
одинаковыми для каждой партии. Требуется выяснить, отличаются ли партии ламп
между собой по сроку службы. Данные наблюдений представлены в таблицах 3.1
Таблица 3.1 - Исходные данные
|
Партия
|
Результаты
наблюдений, Х - срок службы, тыс. час
|
|
1
|
2
|
3
|
4
|
5
|
6
|
7
|
|
1
|
1,8
|
1,68
|
-
|
1,6
|
1,61
|
1,72
|
1,7
|
|
2
|
-
|
1,7
|
-
|
1,58
|
1,64
|
-
|
1,75
|
|
3
|
1,74
|
1,62
|
1,82
|
1,46
|
1,55
|
1,66
|
1,64
|
Уровень значимости a
= 0,01
Решение:
Но: партии ламп не отличаются между собой по
сроку службы
;
;
;
;
;
;
Таблица 2 - Промежуточные вычисления
|
Партия
|
|
|
|
|
|
|
|
|
|
1
|
6
|
10.11
|
1,685
|
0.115
-0.005 -0.085 -0.075 0.035 0.015
|
0
|
0
|
0,02755
|
|
2
|
4
|
6,67
|
1,668
|
0,032
-0,088 -0,028 0,082
|
-0,002
|
-0,0005
|
0,016276
|
0,000001
|
|
3
|
7
|
11,49
|
1,64
|
0,1
-0,02 0,18 -0,18 -0,09 0,02 0
|
0,01
|
0,0014
|
0,0837
|
0,000014
|
=6+4+7=17
FP =
;
;
=
кр(0,05;2;17)=24,99
Это означает, что партии ламп не отличаются
между собой по сроку службы
По таблице найдем Fкр(
)=
Fкр(
)=3,55р
<Fкр, следовательно гипотеза Н0 принимается.
Контрольные карты
Задание № 7.10
Построить контрольные карты для размахов по
результатам измерений длины металлических пластин, мм. (Таблица 10).
Построить контрольные карты средних значений по
результатам измерений длины металлических пластин, мм. (Таблица 10)
На основании анализа контрольных карт сделать
выводы.
Таблица 10
|
№
выборки
|
X1
|
X2
|
X3
|
X4
|
X5
|
|
1
|
19,5
|
20,3
|
19,1
|
18,7
|
18,9
|
|
2
|
19,1
|
20,5
|
18,3
|
20,0
|
18,3
|
|
3
|
18,7
|
19,3
|
18,2
|
18,7
|
21,0
|
|
4
|
18,1
|
18,0
|
23,2
|
20,6
|
19,2
|
|
5
|
17,6
|
19,1
|
17,0
|
19,1
|
19,4
|
|
6
|
17,4
|
20,4
|
20,1
|
21,4
|
20,1
|
|
7
|
20,8
|
20,3
|
20,1
|
21,1
|
19,4
|
|
8
|
20,9
|
22,1
|
22,2
|
21,9
|
18,7
|
|
9
|
18,1
|
17,8
|
21,5
|
21,4
|
21,3
|
|
10
|
20,3
|
18,8
|
20,2
|
19,6
|
22,7
|
|
11
|
23,2
|
19,7
|
19,9
|
18,1
|
20,0
|
|
12
|
18,1
|
19,8
|
21,0
|
20,5
|
21,9
|
|
13
|
21,3
|
19,0
|
20,1
|
19,4
|
21,9
|
|
14
|
19,0
|
19,0
|
20,0
|
20,5
|
20,5
|
|
15
|
20,6
|
20,4
|
22,4
|
19,7
|
18,8
|
|
16
|
19,2
|
19,0
|
20,2
|
20,3
|
21,9
|
|
17
|
19,9
|
20,3
|
20,3
|
19,7
|
19,2
|
|
18
|
20,9
|
19,8
|
19,7
|
18,7
|
19,0
|
|
19
|
18,4
|
21,2
|
18,5
|
20,2
|
20,9
|
|
20
|
20,9
|
19,0
|
17,8
|
20,7
|
19,3
|
|
21
|
21,2
|
18,1
|
21,6
|
20,9
|
20,2
|
|
22
|
19,4
|
21,2
|
20,1
|
20,0
|
20,0
|
|
23
|
18,3
|
18,5
|
20,4
|
19,0
|
19,7
|
|
24
|
20,3
|
21,0
|
20,2
|
19,4
|
18,9
|
|
25
|
21,9
|
19,1
|
19,7
|
18,3
|
19,5
|
Решение:
Построим контрольную карту для размахов по
результатам измерений длины металлических пластин, мм:
Рассчитаем размах R для каждой выборки:
|
№
|
R-размах
|
|
1
|
1,6
|
|
2
|
2,2
|
|
3
|
2,8
|
|
4
|
5,2
|
|
5
|
2,4
|
|
6
|
4
|
|
7
|
1,7
|
|
8
|
3,5
|
|
9
|
3,4
|
|
10
|
3,9
|
|
11
|
5,1
|
|
12
|
3,8
|
|
13
|
2,9
|
|
14
|
1,5
|
|
15
|
3,6
|
|
16
|
2.9
|
|
17
|
1,1
|
|
18
|
2,2
|
|
19
|
2,8
|
|
20
|
3,1
|
|
21
|
3,5
|
|
22
|
1,8
|
|
23
|
2,1
|
|
24
|
2,1
|
|
25
|
3,6
|
Вычисляем среднее для всех значений R:
, где k-число
выборок.
Вычисляем границы регулирования для R-карты
=2,912
, где D4=2,114
, где D3=0
Строим R-карту, используя полученные значения:
На основании анализа R-карты можно сделать
вывод:
Процесс протекает нормально, т.к. ни одна точка
не выходит за контрольные приделы.
. Построим контрольную карту средних значений по
результатам измерений длины металлических пластин, мм.
Вычисляем среднее значение для каждой выборки:
, где n - объем
выборки.
Получаем следующие значения:
|
№
выборки
|
|
|
1
|
19,3
|
|
2
|
19,24
|
|
3
|
19,18
|
|
4
|
19,82
|
|
5
|
18,44
|
|
6
|
19,88
|
|
7
|
20,34
|
|
8
|
21,16
|
|
9
|
20,02
|
|
10
|
20,32
|
|
11
|
20,18
|
|
12
|
20,26
|
|
13
|
20,34
|
|
14
|
19,8
|
|
15
|
20,38
|
|
16
|
20,12
|
|
17
|
19,88
|
|
18
|
19,62
|
|
19
|
19,84
|
|
20
|
19,54
|
|
21
|
20,4
|
|
22
|
20,14
|
|
23
|
19,18
|
|
24
|
19,96
|
|
25
|
19,7
|
Вычисляем среднее
для
всех значений
:
, где k- число
выборок.
Вычисляем границы регулирования для
-карты:
=19,8816
,
;
;
A2=0,577.
.
Строим
-карту,
используя полученные данные:
На основании анализа Х-карты можно сделать
вывод:
Процесс протекает нормально, т.к. ни одна точка
не выходит за контрольные приделы.
Т.к. большинство точек концентрируются внутри
1,5σ-
границы,
из этого следует, что в подгруппах смешиваются данные различных распределений.
Нужно изменить способ разбиения данных на подгруппы.
Построить контрольную карту суммарного числа
дефектов (С)(Таблица 22).
На основании данных контрольной карты сделать
вывод.
|
1
|
1
|
|
2
|
5
|
|
3
|
0
|
|
4
|
1
|
|
5
|
1
|
|
6
|
0
|
|
7
|
7
|
|
8
|
3
|
|
9
|
1
|
|
10
|
7
|
|
11
|
5
|
2
|
|
13
|
5
|
|
14
|
2
|
|
15
|
0
|
|
16
|
0
|
|
17
|
3
|
|
18
|
2
|
|
19
|
6
|
|
20
|
5
|
|
21
|
7
|
|
22
|
1
|
|
23
|
7
|
|
24
|
4
|
|
25
|
7
|
Решение:
Вычисляем границы регулирования:
.
, где k - число
выборок.
,
т.к. LCL имеет отрицательное значение, то
принимаем её за 0
Получаем: UCL= 8,713= 3,28= 0
Строим С-карту:
На основании анализа С-карты можно сделать
вывод:
Это тот случай, когда четыре из пяти точек
находятся в зоне В, это свидетельствует о том, что процесс тем или иным образом
выходит из-под контроля.
Корреляция и регрессия
Задание №8
Провести корреляционный анализ связи между
показателями (таблица 6), построить диаграмму рассеивания, найти уравнение
линейной регрессии и проверить его значимость при a
= 0,05
Таблица 3
|
X
|
Y
|
|
31,2
|
33,6
|
|
44,3
|
39,7
|
|
54,5
|
50,2
|
|
34,8
|
36,1
|
|
46,9
|
41,2
|
|
37,2
|
39,0
|
|
50,0
|
45,6
|
|
34,2
|
37,4
|
|
35,0
|
38,4
|
|
38,0
|
40,2
|
|
53,8
|
55,7
|
|
52,4
|
54,9
|
Решение :
Найдем выборочное среднее величины x:
Найдем выборочное среднее величины y:
Найдем выборочную дисперсию случайной величины
х:
241,33
Среднее квадратичное отклонение:
Найдем выборочную дисперсию случайной величины
y:
Среднее квадратичное отклонение:
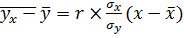
Вычислим коэффициент корреляции r по формуле:
Связь между х и у очень тесная и прямая, т.к.
r>0
Проверим значимость коэффициента корреляции.
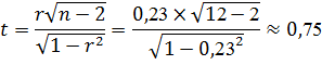
Вычислим статистику критерия по формуле:
Для уровня значимости a
= 0,05 и числа степеней свободы
находим
критическое значение статистики
Т.к.
, то коэффициент корреляции между х и у значимо отличается от нуля.
Уравнение регрессии у на х имеет вид:
, получим
Строим диаграмму рассеивания:
Заключение
Теория статистических методов нацелена на
решение реальных задач. Поэтому в ней постоянно возникают новые постановки
математических задач анализа статистических данных, развиваются и
обосновываются новые методы. Обоснование часто проводится математическими
средствами, то есть путем доказательства теорем. Большую роль играет
методологическая составляющая - как именно ставить задачи, какие предположения
принять с целью дальнейшего математического изучения. Велика роль современных
информационных технологий, в частности, компьютерного эксперимента.
В процессе выполнения курсовой работы были
выполнены задания, при выполнении которых закрепились умения, полученные при
выполнении практических и лабораторных работ.
Научился применять научные методы
статистического исследования и за статистическими показателями видеть
конкретное их содержание;
Развил навыки самостоятельной работы, умения
пользоваться специальной и справочной литературой для решения актуальных задач
соответствующей отрасли.
Данная курсовая работа это один маленький шаг на
пути к развитию высококвалифицированных специалистов.
Список использованной литературы
1.
Гмурман В.Е. «Теория вероятности и математическая статистика», М. -
Высшая
школа, 1997г.
.
Шалавин В.В. «Статистические методы в управлении качеством», М:
Машиностроение,
1999г.
.
Фролов, А.В. Контрольные карты и инструменты качества в программе :
методические рекомендации по выполнению лабораторной
работы
по учебной дисциплине «Статистические методы в управлении
качеством»
для студентов специальности 220501.65 «Управление
качеством»
/ А.В. Фролов; Алт. гос. техн. ун-т, БТИ. - Бийск: Изд-во
Алт.
гос. техн. ун-та, 2010. - 13 с.
.
Фролов, А.В. Корреляционный и регресcионый анализ в программе : методические
рекомендации по выполнению лабораторной
работы
по учебной дисциплине «Статистические методы в управлении
качеством»
для студентов специальности 220501.65 «Управление
качеством»
/ А.В. Фролов; Алт. гос. техн. ун-т, БТИ. - Бийск: Изд-во
Алт.
гос. техн. ун-та, 2010.
.
Макарова, Н.В. Статистика в Excel: учебное пособие / Н.В. Макарова,