Структура и методы синтеза полимеров
Контрольная
работа
СТРУКТУРА И
МЕТОДЫ СИНТЕЗА ПОЛИМЕРОВ
Содержание
1. Структура макромолекул
. Надмолекулярная структура
. Свободнорадикальная полимеризация
. Ионная полимеризация
. Сополимеризация
. Ступенчатые реакции синтеза
полимеров
. Технологическое оформление синтеза
промышленных полимеров
Литература
1. Структура
макромолекул
Структура макромолекул включает их химическое
строение и длину, распределение по длинам и молекулярным массам, форму и
пространственное расположение звеньев. По химическому строению основной цепи
различают гомоцепные (с цепью из атомов углерода - карбоцепные) и гетероцепные
полимеры, а по химическому строению макромолекул в целом - полимеры:
· органические - цепь состоит из
атомов углерода, кислорода, азота и серы;
· элементоорганические - цепь состоит
из кремния, фосфора и других атомов, к которым присоединены углеродные атомы
или группы, или наоборот;
· неорганические - полностью
отсутствуют атомы углерода или карбоцепные с кратными (двойными или тройными) связями
без боковых групп.
Наиболее распространены органические карбоцепные
полимеры, включающие и различные их производные (галогенсодержащие, эфиры,
спирты, кислоты и др.), название которых образуется названием мономера с
приставкой «поли». К предельным алифатическим карбоцепным полимерам относятся
полиэтилен, полипропилен, поливинилхлорид, политетрафторэтилен,
политрифторхлорэтилен, поливиниловый спирт, поливинилацетат, полиакриламид,
полиакрилонитрил, полиметилметакрилат и другие. Непредельными являются
полибутадиен, полиизопрен и полихлоропрен, примером жирноароматических
полимеров - полиэтиленфенилен, а ароматических - полифенилен. Число
неорганических гомоцепных полимеров ограничено - карбоцепные карбин (~C≡C-C≡C~)
и кумулен (=С=С=С=), а также полисера (~S-S-S~),
полисилан (~SiH2-SiH2~),
полигерман (~GeH2-GeH2~)
и др. Более распространены элементоорганические гомоцепные полимеры из
органических цепей (карбоцепные) с элементоорганическими боковыми группами или
из неорганических цепей с органическими радикалами: поливинилалкилсиланы,
полиоргансиланы, борсодержащие полимеры.
Органические гетероцепные полимеры делят на
классы в зависимости от природы функциональных групп в основной цепи. Они могут
быть алифатическими или ароматическими в зависимости от строения углеводородных
группировок между функциональными группами (табл.1).
Таблица 1.
Гетероцепные полимеры различных классов:
|
Функциональная
группа
|
Полимер
|
|
Название
класса
|
Представители
|
|
К
и с л о р о д с о д е р ж а щ и е
|
|
Простая
эфирная
|
Простые
полиэфиры
|
Полиметиленоксид
(~CH2-O~)
|
|
|
Полиэтиленоксид
(~CH2-CH2-O~)
|
|
Сложноэфирная
|
Сложные
полиэфиры
|
Полиэтилентерефталат
([-СН2-СН2-О-ОС-Ar-СО-О-]n)
|
|
|
Полиарилаты
([-ОС-R-СОО-R`-О-]n)
|
|
|
Поликарбонаты
([-О-Ar-СН2-Ar-O-CO-O-Ar-CH2-Ar-]n)
|
|
А
з о т с о д е р ж а щ и е
|
|
Ацетальная
|
Ацетали
|
Целлюлоза
(C6Н10О5)n
|
|
Амидная
|
Полиамиды
(-СО-NН-)
|
Полигексаметиленадипамид
|
|
Имидная
|
Полиимиды
|
Полипиромеллитимид
|
|
Мочевиновая
|
Полимочевина
|
Полинонаметиленмочевина
|
|
Уретановая
|
Полиуретаны
(-HN-CO-O)
|
~(CH2)4-O-CO-NH-(CH2)2~
|
|
С
е р у с о д е р ж а щ и е
|
|
Тиоэфирная
|
Полисульфиды
|
Полиэтиленсульфид
(~CH2-CH2-S~)
|
|
Сульфоновая
|
Полисульфоны
|
Поли-n,n`-оксидифенилсульфон
|
Неорганические гетероцепные полимеры
представляют полиборазол, поликремниевая кислота, полифосфонитрилхлорид.
Элементоорганические гетероцепные полимеры включают большую группу наиболее
востребованных соединений из неорганических цепей с органическими боковыми
группами. К ним относятся кремнийсодержащие полимеры, цепи которых состоят из
чередующихся атомов кремния и кислорода (полиорганосилоксаны) или азота
(полиорганосилазаны). Полимеры с третьим гетероатомом в основной цепи -
металлом называются полиметаллорганосилоксанами (полиалюмоорганосил-оксаны,
полиборорганосилоксаны и полититанорганосилоксаны). Существуют также полимеры с
органонеорганическими цепями из атомов углерода, кремния, кислорода
(поликарбосилоксаны, поликарбосиланы, поликарбораны), которые могут содержать
алифатические или ароматические звенья.
Все атомы в звеньях рассмотренных полимеров
соединены химическими ковалентными связями. Существуют также координационные
(хелатные, внутрикомплексные) гетероцепные полимеры, в которых звенья соединены
донорно-акцепторным взаимодействием с ионом металла, образующим координационную
связь (побочная валентность) и ионную связь (главная валентность). Химические и
металлические связи при длине 0,1-0,2 нм значительно превышают по величине
энергии физические связи и даже водородную связь (длина 0,24-0,32 нм), которая
занимает промежуточное положение между физическими и химическими связями
(табл.2).
Таблица 2.
Энергия различных связей между структурными
единицами макромолекулы:
|
Тип
химической связи
|
Энергия,
кДж/моль
|
Тип
связи
|
Энергия,
кДж/моль
|
|
|
Водородная
|
17-50
|
|
Ионная
|
590-1050
|
Дисперсионная
|
до
40
|
|
Ковалентная
|
до
710
|
Ориентационная
|
до
20
|
|
Металлическая
|
110-350
|
Индукционная
|
до
2
|
макромолекула полимеризация синтез
ионный
От химического строения и состава звеньев
зависит и полярность связей, которую количественно оценивают величиной
дипольного момента μо, равного
произведению заряда на расстояние между зарядами (табл.3), а также уровень
межмолекулярного взаимодействия в полимере. В зависимости от полярности связей
полимер может быть полярным и неполярным. Дипольный момент всех органических
карбоцепных алифатических (неполярных) полимеров близок к нулю. В зависимости
от строения макромолекул между ними могут проявляться дисперсионные,
ориентационные и индукционные связи. Дисперсионные связи обусловлены
возникновением мгновенных диполей в атомах при вращении электронов вокруг ядер.
Для полярных макромолекул характерны ориентационные (диполь-дипольные) связи. В
поле диполей полярных макромолекул могут поляризоваться и неполярные
макромолекулы. Между постоянным и наведенным диполями возникают индукционные
связи.
Таблица 3.
Значения диполных моментов для ряда производных
метана:
|
Заместитель
|
μо.1030,
Кл.м
|
Заместитель
|
μо.1030,
Кл.м
|
|
-СН3
|
0,00
|
-Cl
|
6.104
|
|
-СН=СН2
|
1,167
|
-СОСН3
|
9,640
|
|
-ОСН3
|
4,302
|
-CN
|
13,142
|
|
-ОН
|
5,637
|
-NHCOCH3
|
13.743
|
|
-СООСН3
|
5,737
|
-SO2CH3
|
14,810
|
Межмолекулярное взаимодействие определяет
способность полимера к растворению в низкомолекулярных жидкостях, поведение при
низких температурах, эластические и другие свойства. Уровень его измеряют
параметром растворимости - отношением произведения плотности полимера на сумму
констант притяжения отдельных групп атомов в составном звене к молекулярной
массе звена. Для этого используют также плотность энергии когезии (кДж/моль),
которая эквивалентна работе удаления взаимодействующих макромолекул или групп
атомов друг от друга на бесконечно большие расстояния. При температуре
стеклования Тс энергия межмолекулярного взаимодействия становится выше энергии
теплового движения, и полимер переходит в твердое застеклованное состояние.
Полимеры с Тс выше комнатной называют пластмассами, а ниже комнатной и
параметром растворимости 14-19 (М.Дж/м3)1/2 - эластомерами (каучуками).
Молекулярная масса (ММ) - важная характеристика
структуры полимеров, определяющая уровень механических свойств и принадлежность
к определенной их группе: олигомеры (реактопласты) - 103-104, кристаллические
термопласты - 104-5.104, аморфные термопласты - 5.104-2.105, каучуки - 105-106.
Чем меньше ММ полимеров, тем ниже вязкость их расплавов и легче они формуются.
Механические же свойства определяются больше степенью отверждения (олигомеры) и
кристалличности (полиамиды, полиэфиры) или переходом в стеклообразное
состояние. Наибольшую ММ имеют каучуки, которые трудно формуются, но изделия из
них имеют высокую эластичность. Поскольку при большой ММ не получается
одинаковая степень полимеризации, макромолекулы различаются по размерам.
Полидисперсность (полимолекулярность) - одно из основных понятий в физикохимии
полимеров, а тип молекулярно-массового распределения (ММР) - важный показатель,
влияющий на физико-механические свойства полимеров не меньше, чем ММ.
Поскольку ММ - среднестатистическая величина,
различные методы ее определения дают разные значения. Среднечисловые методы
основаны на определении числа макромолекул в разбавленных растворах полимеров,
например, путем измерения их осмотического давления, а среднемассовые - на
определении массы макромолекул, например, путем измерения светорассеяния.
Среднечисловую ММ (Mn)
получают простым делением массы образца полимера на число макромолекул в нем, а
среднемассовую ММ: Mw=M1w1+M2w2+…+Miwi,
где w1, w2,
wi - массовые доли
фракций; M1, M2,
Mi - среднемассовые
ММ фракций. Средневязкостная ММ, приближающаяся к среднемассовой ММ,
определяется по вязкости разбавленных растворов. Полимер называется
монодисперсным, если состоит из одной фракции с очень близкими друг к другу
размерами макромолекул, и для него отношение Mw/Mn=1,02-1,05.
В остальных случаях среднемассовая ММ больше среднечисловой ММ, а их отношение
(Mw/Mn=2,0-5,0)
является мерой полидисперсности полимера. Чем больше Mw/Mn,
тем шире ММР. На кривой ММР полимера значение Mn
приходится на максимум, т.е. на фракцию, доля которой в составе полимера
наибольшая, а Mw сдвинуто
вправо по оси абсцисс.
Большие размеры макромолекул полимеров
обусловили еще одну особенность их структуры. Они могут быть линейными или
разветвленными (с боковыми ответвлениями от основной цепи или звездообразной
формы). При близких значениях ММ они становятся изомерами. Свойства полимеров,
состоящих из макромолекул линейных и разветвленных, сильно различаются. Разветвленность
- нежелательный показатель структуры макромолекул, снижающий их регулярность и
затрудняющий кристаллизацию полимера. Соединение макромолекул химическими
связями приводит к формированию сетчатых структур, еще больше изменяющих
свойства полимеров. В соответствии с такими различиями по строению макромолекул
(рис.1) и полимеры называют линейными, разветвленными и сетчатыми (сшитыми).
Рис.1. Схематическое изображение различных видов
макромолекул:
-линейная; 2-4-разветвленные виды
(звездообразная, с короткими ветвями на одной макромолекуле и с большим числом
ветвлений); 5-сетчатая структура, образованная сшиванием химическими
поперечными связями исходных линейных макромолекул.
В последнем случае понятие «макромолекула»
утрачивает смысл, так как весь образец сшитого полимера становится одной
гигантской молекулой. Поэтому в сшитых полимерах определяют среднее значение ММ
отрезка цепи между химическими связями (узлами сетки), соединяющими
макромолекулы.
Сополимеры содержат в основной цепи звенья двух
и более разных мономеров (например, бутадиен-стирольный каучук) и имеют более
сложное строение, чем гомополимеры, состоящие из звеньев одного мономера.
Сополимер с беспорядочным соединением звеньев мономеров в макромолекуле называют
статистическим, с правильным их чередованием - чередующимся, а с большой
протяженностью участков (блоков) из звеньев одного мономера - блок-сополимером.
Если блоки одного из мономеров присоединены к основной цепи макромолекулы,
составленной из звеньев другого мономера, в виде больших боковых ответвлений,
то сополимер называют привитым. Структура сополимера характеризуется химическим
составом и длиной блоков или привитых цепей и числом блоков или прививок в
макромолекуле. Звенья одинаковых или разных мономеров могут соединяться
регулярно (конец одного - начало другого) или нерегулярно (конец одного - конец
другого, начало другого - начало третьего звена, и др.), а заместители в
боковых группах могут иметь регулярное или нерегулярное пространственное расположение.
Структуру макромолекулы определяют также ее конфигурация и конформация.
Конфигурация макромолекулы - это определенное
пространственное расположение ее атомов, не изменяющееся при тепловом движении,
вследствие чего разные ее виды являются стабильными изомерами. Цис-изомеры
характеризуются расположением разных заместителей по разные стороны от двойной
связи в каждом повторяющемся звене, а транс-изомеры - наличием разных
заместителей по одну сторону от двойной связи. Примером таких изомеров являются
НК и гуттаперча - идентичные по химическому строению природные полиизопрены.
Гуттаперча является пластмассой с кристаллической структурой, плавящейся при
50-70ОС, а НК - эластомером в интервале температур от +100оС до -72оС, так как
их макромолекулы имеют разные периоды идентичности. В цис-полиизопрене (НК)
ориентированные в одном направлении метильные группы встречаются через одно
составное звено, что равно 0,82 нм, а в его транс-изомере (гуттаперче) - через
0,48 нм:

цис-1,4-полиизопрен (НК) транс-1.4-полиизопрен.
Из макромолекул оптических полимеров с
асимметрическим атомом углерода специальными методами синтеза получают
стереорегулярные изомеры - изотактические (заместители - по одну сторону
плоскости макромолекулы) и синдиотактические (заместители - по разные стороны):
.
Они отличаются по свойствам от атактических
полимеров с нерегулярным расположением заместителей. Взаимное отталкивание
заместителей приводит к их смещению относительно друг друга в пространстве, и
поэтому плоскость симметрии изгибается в виде спирали. Структура спиралей
характерна и для биологически активных полимеров (например, двойная спираль
ДНК). Структура макромолекул стереоизомеров является носителем информации о
способах их синтеза, а в белках двойные спирали ДНК несут огромную информацию о
их биологической наследственности.
Конформация макромолекулы - это пространственное
расположение атомов или групп атомов, которое может изменяться под действием
теплового движения без разрушения химических связей между ними. Большая длина
макромолекулы при возможности вращения ее частей вокруг постых химических
связей обуславливает поворотную изомерию, выражающуюся в возникновении
различных конформаций. Чем ближе друг к другу находятся атомы водорода
(цис-положение), тем больше их отталкивание и соответственно потенциальная
энергия макромолекулы. Взаимодействие усиливают полярные заместители, например
атомы хлора. В транс-изомерах потенциальная энергия макромолекулы меньше,
расположение атомов выгоднее, чем в цис-изомерах. Энергетический барьер
вращения частей макромолекулы, который делает его заторможенным, складывающимся
из ряда колебаний, помогают преодолеть флуктуации тепловой энергии.
Совокупность колебаний и перемещений вокруг простых связей приводит к
искривлению макромолекулы в пространстве, которое может идти в разных
направлениях и меняться во времени. Иными словами, макромолекула обладает гибкостью
- способностью к изменению своей конформации в результате теплового движения
или действия внешних сил. При большом числе атомов цепь может не просто
искривляться, а даже сворачиваться в очень рыхлый макромолекулярный клубок,
размер которого можно охарактеризовать среднеквадратичным расстоянием между ее
концами и рассчитать математически, зная число составных звеньев в ней. Из-за
цепной структуры макромолекул перемещение одного атома или группировки приведет
к перемещению и других, в результате чего возникает движение, подобное
перемещению гусеницы или червя, которое называется рептационным (рис.2).
Отрезок цепи, перемещающийся как единое целое в элементарном акте движения,
называется сегментом цепи.
Рис.2. Перемещение сегментов макромолекулы под
действием направленных импульсов тепловой энергии: а - случайное перемещение; б
- рептационное (червеобразное) перемещение.
Термодинамическая гибкость характеризует
способность цепи изменять свою конформацию под действием теплового движения и
может быть оценена параметром жесткости, длиной термодинамического сегмента или
параметром гибкости Флори. Чем меньше эти показатели, тем выше вероятность
перехода макромолекулы из одной конформации в другую (табл.4). Параметр жесткости
оценивают отношением среднеквадратичных расстояний между концами реальной и
свободно-сочлененной цепей в разбавленных растворах полимера. Длина
термодинамического сегмента А (сегмента Куна) характеризует такую
последовательность звеньев, при которой каждое звено ведет себя независимо от
других, и также связана со среднеквадратичным расстоянием между концами цепи.
Она равна гидродинамической длине макромолекулы для предельно жестких и длине
повторяющегося звена для предельно гибких цепей. Полимеры диенового ряда и со
связями ~Si-O~
или ~C-O~
в основной цепи характеризуются большей гибкостью по сравнению с полимерами
винилового ряда, так как у них из-за уменьшения обменных взаимодействий между
СН2-группами в 100 раз ниже энергия поворотных изомеров. Природа заместителей
мало влияет на гибкость макромолекул. Параметр гибкости Флори fо
показывает содержание гибких связей в макромолекуле и служит критерием
гибкости, по которому полимеры делят на гибкоцепные (fо>0,63;
А<10нм) и жесткоцепные (fо<0,63;
А>35нм). Последние не бывают в конформации макромолекулярного клубка и имеют
вытянутую форму макромолекул - упругой струны (полиалкилизоцианат, А=100),
коленча-того вала (поли-п-бензамид, А=210) или спирали (биополимеры, А=240).
Таблица 4.
Показатели термодинамической гибкости полимеров
в конформации макромолекулярного клубка:
|
Полимер
|
Параметр
жесткости σж
|
Сегмент
Куна А, нм
|
Число
звеньев в сегменте
|
|
Сложный
полиэфир
|
1,3-1,8
|
1
|
-
|
|
Полиамид
|
1,65-1,85
|
1,66
|
6,6
|
|
Полидиметилсилоксан
|
1,4-1,6
|
1,4
|
4,9
|
|
Полидиметилфенилсилоксан
|
1,5
|
1,4
|
4,9
|
|
цис-1,4-Полибутадиен
|
1,7
|
1,39
|
2-3
|
|
цис-1,4-Полиизопрен
|
1,7
|
1,39
|
2-3
|
|
транс-1,4-Полихлоропрен
|
1,4-1,67
|
1,39
|
2-3
|
|
Полиэтилен
|
2,2-2,4
|
2,08
|
8,3
|
|
Полипропилен
|
2,4
|
2,17
|
8,6
|
|
Полиизобутилен
|
2,2
|
1,83
|
7,3
|
|
Полистирол
|
2,2-2,4
|
2,00
|
7,9
|
|
Поливинилхлорид
|
2,8
|
2,96
|
11,7
|
|
Полиакрилонитрил
|
2,6-3,2
|
3,17
|
12,6
|
|
Полиметилметакрилат
|
1,8-2,2
|
1,51
|
6,0
|
|
Полиоктилметакрилат
|
2,3
|
2,0
|
7,0
|
|
Этилцеллюлоза
|
4
|
20,0
|
20
|
Кинетическая гибкость макромолекулы отражает
скорость ее перехода в силовом поле из одной конформации в другую и
определяется величиной кинетического сегмента, т.е. той части макромолекулы,
которая отзывается на внешнее воздействие как единое целое. В отличие от
термодинамического сегмента, он определяется температурой и скоростью внешнего
воздействия. С повышением температуры растут кинетическая энергия и гибкость
макромолекулы и уменьшается величина кинетического сегмента. В условиях, когда
время действия силы больше, чем время перехода из одной конформации в другую,
кинетическая гибкость высока, а кинетический сегмент по величине приближается к
термодинамическому сегменту. При быстрой деформации кинетический сегмент близок
к гидродинамической длине макромолекулы, и даже термодинамически гибкая цепь
ведет себя как жесткая. Кинетическая гибкость изолированной макромолекулы
определяется по вязкоупругим свойствам сильно разбавленных растворов с
последующей их экстраполяцией к нулевой коцентрации. Макромолекулы гибкоцепного
аморфного полимера имеют клубкообразную форму как в изолированном виде, так и в
массе. При этом структура полимера не похожа на структуру «молекулярного
войлока», в котором макромолекулы перепутаны хаотически, как считали ранее.
Идея об упорядоченных областях в аморфных полимерах высказана в 1948 г.
Алфреем.
2. Надмолекулярная
структура
При низкой плотности отдельных клубков
(0,01-0,03 г/см3) плотность полимеров колеблется в пределах 1-2 г/см3, т.е. в
100 раз больше расчетной, что достигается проникновением клубков друг в друга и
параллельностью укладки сегментов в микрообъемах с повышенной плотностью
(упорядочения ближнего порядка). Размеры таких микрообъемов колеблются в разных
полимерах от 2 до 15 нм. Отношения экспериментальных плотностей
кристаллического и стеклообразного полимеров (1,06-1,17) намного выше
расчетного показателя (1,54), что указывает на высокую упорядоченность
структуры и аморфных полимеров. Возникает своеобразная надмолекулярная
структура хаотически перепутанных макромолекул, которые сохраняют форму
клубков, а их части (сегменты) образуют микрообъемы упорядоченного взаимного
расположения. Формирование даже в аморфном полимере структуры с высокой
плотнстью упаковки сегментов и малым свободным объемом обеспечивается высокой
гибкостью макромолекул, придающей ему, подобно низкомолекулярной жидкости,
небольшую объемную сжимаемость.
Важным признаком надмолекулярной структуры
является связанность всех флуктуаций плотности полимера проходными
макромолекулами (рис.3). Каждая из них проходит через несколько уплотненных
микрообъ-емов, создавая пространственную сетку, узлы которой образованы
доменами ближнего порядка (ассоциатами) и переплетениями (зацеплениями), всегда
возникающими при большой длине макромолекул. Под воздействием теплового
движения и механических напряжений узлы сетки могут распадаться в одном месте и
возникать в другом, поэтому такой тип структуры называют флуктуационной сеткой,
что подчеркивает динамический характер ее возникновения и распада. По
результатам расчета ММ участков проходных макромолекул, соединяющих узлы
флуктуационной сетки, она очень рыхлая: в расплаве полиэтилена - 4.103,
полиизопрена - 10.103 и полистирола - 35.103.
Рис.3. Схематическое изображение возможного
строения флуктуационной сетки и ее узлов: а - ассоциат с параллельной укладкой
сегментов; б - ассоциат складчатый с параллельной укладкой «сложенных»
сегментов (пунктиром выделен узел зацепления); в - схема флуктуационной сетки с
проходными макромолекулами, соединяющими ее узлы.
Цепное строение макромолекул и наличие
флуктуационной сетки обуславливают фундаментальную особенность механического
поведения полимеров - вязкоэластичность. Деформация в полимере от приложенной
внешней силы развивается во времени ее действия. При малом времени (первые доли
секунды) перемещаются «свободные» сегменты, не входящие в узлы сетки, что
искажает форму макромолекулярных клубков, вытягивает их в направлении действия
силы. Поскольку время оседлой жизни «связанных» сегментов (в узлах сетки)
больше, узлы не распадаются, и целостность флуктуационной сетки сохраняется.
При снятии внешней силы сегменты возвратятся в исходное состояние. Это -
обратимая эластическая деформация. При длительном действии нагрузки начнутся
распад узлов сетки, перемещение «связанных» сегментов и макромолекул друг
относительно друга, что вызовет необратимую вязкую деформацию (течение).
Отсутствие четкой границы между окончанием эластической и началом вязкой
деформации, одновременное их развитие с преобладанием сначала упругой, а
позднее - вязкой и отличают высокоэластическую (вязкоупругую) деформацию,
которая может составлять десятки, сотни и даже тысячи процентов. Большие
обратимые деформации являются основным признаком полимерной природы материалов,
а деформирование - единственным способом оценки их механических свойств.
При охлаждении кристаллизующегося полимера ассоциаты
становятся зародышами кристаллизации, которая при температуре плавления
происходит медленно, но получаются наиболее совершенные структуры. Только при
кристаллизации полиэтилена с ММ около 10000 получены кристаллы с выпрямленными
цепями, в которых макромолекулы уложены как карандаши в коробке. Большие гибкие
макромолекулы в расплавах полимеров не успевают распрямиться и складываются
«гармошкой», создавая многообразие структур. Кристаллит - наименьшее
образование из многократно сложенных макромолекул. Монокристалл построен так
же, но отличается более высокой степенью упорядоченности и бывает пластинчатым,
фибриллярным или глобулярным. Пластинчатые монокристаллы получены для многих
полимеров из разбавленных растворов (0,01-0,1%) и состоят из пластинок толщиной
10-26 нм и размерами сторон до 1 мкм которые называют ламелями. Поэтому часто и
пластинчатые монокристаллы называют ламелярными.
При неравновесной кристаллизации получают
кристаллы из сложенных цепей. Из кристаллических ламелей выходят петли разной
длины, свободные концы макромолекул и длинные участки, которые могут входить в
структуру соседней ламели. Возникает структура, когда ламели разделены слоями
аморфного полимера и соединены проходными макромолекулами (рис.4). Большая
дефектность отличает такие структуры от монокристаллов.
Рис.4. Образование ламели из
сложенных цепей (а) и схема
их соединения проходными
макромолекулами в аморфной области (б)
При медленном охлаждении расплавов образуются
пластинчатые и фибриллярные кристаллы больших размеров. Характерная черта
полимеров - возникновение сферолитов - кристаллических образований округлой
формы диаметром от сотен микрон до 1см, которые построены из ламелей, растущих
из единого центра, от одного зародыша кристаллизации, и изгибающихся иногда в
виде спирали. Плоские ламели образуют радиальный сферолит, а спиральные в
полиэтилене высокой плотности - кольцевой сферолит (рис.5).
Рис 5. Схема укладки макромолекул и расположение
ламелей
в радиальном (а) и кольцевом (б) сферолитах
Таким образом, для кристаллических полимеров
характерен большой набор структурных элементов, характеризующих различные
уровни надмолекулярной организации (рис.6). Полимеры не бывают полностью
закристаллизованы. Соотношение между аморфной и кристаллической фазами
оценивается степенью кристалличности Ко (по объему) или Км (по массе).
Рис.6. Упрощенная модель возникновения
кристаллитов в массе полимера
Средняя плотность полимера (ρ)
меньше
плотности его кристаллической фазы ρкр,
в которой макромолекулы расположены наиболее упорядоченно, но больше плотноти
аморфной фазы ρам (табл.5).
Степень кристалличности характеризуетет долю полимера в закристаллизованном
состоянии и может быть определена по его плотности: Ко=(ρ-ρам)/(ρкр-ρам);
Км=Коρкр/ρ.
При
комнатной температуре степень кристалличности наиболее распространенных
полимеров лежит в пределах 10-90%, зависит от условий кристаллизации и
повышается с ростом регулярности строения и степени ориентированности
макромолекул. Например, менее разветвленный полиэтилен, полученный при низком
давлении, имеет более высокие значения плотности и степени кристалличности.
Особенности структуры полимеров являются причиной и других особенностей их
кристаллического состояния. Отношение объема, занятого макромолекулами, к
общему объему (коэффициент молекулярной упаковки) у полимерных кристаллов
намного ниже, чем у кристаллов низкомолекулярных веществ, и находится в
пределах 0,65-0,73. Четкая фазовая граница между кристаллической и аморфной
частями отсутствует, а размер кристаллитов мал и на два порядка меньше длины
макромолекул. Кристаллы характеризуются значительной дефектностью и складчатой
структурой, при образовании которой дефекты «выталкиваются» на поверхность
складок, но могут входить и в складчатое образование (ламель). Один и тот же
полимер характеризуется набором кристаллических структур различной морфологии и
различной дефектности. Причины подобной неоднородности кроются, в первую очередь,
в полидисперсности по молекулярной массе, регулярности, конфигурации
макромолекул и т. д.
Таблица 5.
Значения плотностей фаз для некоторых полимеров
|
Полимер
|
ρкр,
кг/м3
|
ρам,
кг/м3
|
ρ,
кг/м3
|
|
Полиэтилен
высокой плотности
|
1000
|
850
|
940-960
|
|
Полиэтилен
низкой плотности
|
990
|
850
|
920-930
|
|
Полиэтилентерефталат
|
1450
|
1330
|
1380
|
|
Поливинилхлорид
|
1450
|
1100
|
1140
|
|
Полихлортрифторэтилен
|
2190
|
2030
|
2090-2160
|
|
Полиформальдегид
|
1500
|
1250
|
1400
|
Рассмотренные выше надмолекулярные структуры
формируются при доминирующем влиянии теплового движения. При наложении внешних
деформирующих напряжений надмолекулярная структура изменяется, и полимер
переходит в ориентированное состояние, при котором оси макромолекул и
надмолекулярных образований располагаются вдоль осей ориентации. Ориентированные
полимеры широко распространены в природе: волокна хлопка и льна, шелковые нити
и шерсть, сухожилия и мышечная ткань. Синтетические ориентированные полимеры
можно получить в процессе их синтеза, например полимеризацией в твердой фазе,
когда мономер существует в форме монокристалла, или путем их одноосного или
двухосного растяжения.
Методы синтеза полимеров играют важную роль в
формировании их структуры. Существуют два основных метода синтеза полимеров -
цепные (полимеризация) и ступенчатые (поликонденсация) реакции. Цепные реакции
реализуются при раскрытии кратных (двойных или тройных) связей или циклов
молекул мономеров и проходят в три стадии: инициирование, рост цепи и обрыв
цепи. Все промышленные мономеры являются производными этилена или бутадиена и
вступают во взаимодействие по механизму цепных реакций, которые подразделяют на
свободнорадикальную или ионную полимеризацию.
3. Свободнорадикальная
полимеризация
Механизм этого метода синтеза был установлен еще
в 30-х годах в работах С.С. Медведева и Г. Штаудингера. Полимеризацию
инициируют свободные радикалы, генерированные тепловым, световым или
радиоактивным воздействиями, которые малоэффективны или сопровождаются
побочными явлениями. Поэтому применяют химические инициаторы (пероксид бензоила,
гидропероксид изопропилбензола, динитрил азоизомасляной кислоты и др.):
(С6Н5СОО)2→2С6Н5СОО*→2С*6Н5+2СО2,
,
.
Для ускорения распада инициаторов на радикалы
вводят восстановители (амины, сульфиты, тиосульфаты, оксикислоты, соли
двухвалентного железа). Окислительно-восстановительные системы снижают энергию
активации стадии инициирования со 146 до 50-84 кДж/моль. При распаде
гидропероксида в присутствии солей Fe2+
ронгалит (НО-СН2-SO2Na)
позволяет легко переводить ионы Fe3+
в Fe2+, и цикл распада
инициатора повторяется:
+Fe2+→RO*+НО-+Fe3+;
2Fe3++2НO-+НО-СН2-SO2Na→2Fe2++HO-CH2-SO3Na+H2O.
Неорганическая система персульфат-тиосульфат
действует по схеме:
O8-2-+ S2O3-2-→ SO4-2-+ S*O4-+
S*2O3-; S*O4-+Н2О
→ НSO4-+О*Н.
Образующиеся свободные радикалы инициируют
полимеризацию мономеров.
На стадии обрыва цепи образуются нейтральные
макромолекулы при рекомбинации (столкновении) макрорадикалов или в результате
их диспропорционирования до двух нейтральных макромолекул:
(-CH2-CHX-)n-CH2-XHC*+R-(-CH2-CHX-)m-CH2XHC*→
→R-(-CH2-СНХ-)n-CH2-CHX-CHX-CH2-(-CHX-CH2-)m-R
(рекомбинация),(-CH2-CHX-)n-CH2-XHC*
+ XHC*-CH2-(-CHX-CH2-)m-R→
→R-(-CH2-CHX-)n-CH2-CH2X+XHC=CH-(-CHX-CH2-)m-R
(диспропорционирование).
Вид реакции обрыва цепи зависит от строения
молекул мономера. Если мономер содержит электроноотрицательный или громоздкий
заместитель (метилметакрилат), то цепь обрывается путем диспропорционирования:
.
При полимеризации стирола преобладает
рекомбинация макрорадикалов:
По мере роста цепи увеличивается вязкость
системы, уменьшаются подвижность макрорадикалов и скорость их рекомбинации,
растут время их жизни и концентрация, что приводит к ускорению полимеризации на
поздних стадиях (гель-эффект) и ухудшению механических свойств полимера. Для
регулирования ММ полимера используют реакцию передачи цепи путем введения в
систему регулятора, например меркаптана (RSH),
или растворителя, особенно галогенсодержащего, например тетрахлорида углерода:
~CH2-HXC*+RSH→~CH2-CH2X+RS*
(обрыв материальной цепи),
RS*+CH2=СHX→RSCH2-HXC*
(начало новой материальной цепи); или
~CH2-HXC*+CCl4→~CH2-HXCCl+C*Cl3
(обрыв материальной цепи),
CH2=СHX+C*Cl3→Cl3C-СН2-HXC*
(начало новой материальной цепи),
или повышения концентрации инициатора до его
индуцированного распада:
~CH2-HXC*+ROOR →
~CH2-CHX-OR+RO*;*+CH2=СHX
→ RО-CH2-HXC* и
т.д.
В отличие от реакции обрыва цепи, они обрывают
только материальную цепь - перестает расти число звеньев в макромолекуле. При
этом они сами становятся свободным радикалом и продолжают кинетическую цепь,
которая измеряется числом элементарных актов присоединения молекул мономера к
активному центру в расчете на один свободный радикал, образовавшийся при
инициировании реакции полимеризации. С повышением температуры и количества
регулятора вследствие ускорения реакций передачи цепи и подавления реакций
роста цепи образуются низкомолекулярные вещества (реакция теломеризации), которые
можно выделить и использовать для получения новых полимеров.
Кинетика цепной полимеризации по конверсии
(степени превращения) мономера характеризуется S-образной
кривой с пятью участками (рис.7):
· участок ингибирования, когда
концентрация свободных радикалов мала, и они не могут начать цепной процесс
полимеризации (1);
· участок ускорения полимеризации, где
начинается основная реакция превращения мономера в полимер, при этом скорость
реакции растет (2);
· участок стационарного состояния
(прямолинейный участок), где расходуется основное количество мономера с
постоянной скоростью (3);
· участок замедления полимеризации в
связи с резким уменьшением концентрации мономера (4);
· прекращение основной реакции в связи
исчерпанием всего мономера (5).
Рис.7. Типичная кинетическая кривая цепной
радикальной реакции
Скорость реакции инициирования пропорциональна
концентрации введенного инициатора [I]:
vи=kи[I],
где kи - константа
скорости реакции инициирования. Скорость реакции роста цепи пропорциональна
произведению концентраций растущих макрорадикалов [М*] и молекул свободного
мономера [М]: vр=kр[М*][М],
где kр-константа
скорости реакции роста цепи. Скорость реакции обрыва цепи пропорциональна
квадрату концентрации соударяющихся макрорадикалов: vобр=kобр[М*]2.
Скорость полимеризации является алгебраической суммой скоростей трех ее стадий:
vобщ=vи+vр-vобр.
Для кинетического анализа интересен стационарный
период реакции, когда полимеризация идет с постоянной скоростью, и число вновь
образующихся свободных радикалов равно количеству исчезающих макрорадикалов при
обрыве цепей (vи=vобр):
kи[I]=kобр[М*]2.
Отсюда следует, что скорость конверсии мономера пропорциональна квадратному
корню из концентрации инициатора. Степень полимеризации пропорциональна
скорости роста цепи и обратно пропорциональна скорости обрыва цепи, так как
макромолекула образуется при столкновении двух макрорадикалов. Иными словами,
степень полимеризации и средняя молекулярная масса полимера обратно
пропорциональны квадратному корню из концентрации инициатора:
Таким образом, параметры процесса и размер
макромолекул для стационарного периода можно выразить через концентрацию
химического инициатора.
При повышении температуры на 10оС возрастает в
2-3 раза скорость полимеризации, а со снижением температуры растут регулярность
чередования звеньев и величина ММ, уменьшаются доля низкомолекулярных фракций,
разветвленность макромолекул и побочные реакции. Для повышения скорости полимеризации
при низких температурах вводят промоторы, активирующие распад молекул
инициатора. Кинетические закономерности процесса полимеризации поддаются
регулированию за счет изменения:
· времени до начала полимеризации
(длины индукционного периода) путем введения ингибиторов, реагирующих с
начальными радикалами;
· наклона прямолинейного участка
кинетической кривой к оси абсцисс путем введения замедлителей полимеризации
(бензохинон, нитробензол), которые снижают концентрацию радикалов и уменьшают
время их жизни, что приводит к уменьшению длины полимерной цепи. Ингибитор не
влияет на скорость полимеризации, но удлиняет индукционный период. В
зависимости от природы мономера одно и то же вещество может быть и ингибитором,
и замедлителем, и регулятором полимеризации. Бензохинон действует по схеме:
,
.
В радикальной полимеризации способно участвовать
большинство выпускаемых промышленностью мономеров этиленового и диенового ряда.
Активность мономеров этиленового ряда зависит от химической природы
заместителей при двойной связи и определяется активностью свободного радикала,
образующегося при разрыве π-связи.
Активность радикала зависит от электроноакцепторных свойств замещающей группы и
растет с увеличением ее способности к делокализации электронного облака.
Наилучшим акцептором электронов является бензольное кольцо стирола, а больше
донорами электронов - алкоксигруппы винилалкиловых эфиров. Радикалы же этих
мономеров дают обратную (антибатную) последовательность активностей: время
жизни радикала тем меньше, чем он активнее и чем меньше эффект сопряжения его
неспаренного электрона с электронной структурой заместителя в молекуле
мономера. Поэтому в порядке убывания активности виниловые мономеры располагаются
в следующий ряд:
Активность радикалов может быть количественно
определена и растет с увеличением соотношения констант kобр/kр.
Например, активности радикалов винилацетата, метилметакрилата и стирола в
реакции роста цепи соотносятся количественно как 20:2:1. На активность
радикалов влияют также условия полимеризации, а на активность мономеров -
количество заместителей. Наличие двух бензольных колец при одном атоме углерода
в молекуле мономера полностью подавляет его способность к полимеризации из-за
сильной стабилизации неспаренного электрона.
Одна из особенностей свободнорадикальной
полимеризации состоит в том, что по длине одной макромолекулы могут
существовать различные типы соединения звеньев мономеров - «голова к хвосту»
(а), «голова к голове» (б), так как радикал может атаковать молекулу мономера с
любого ее конца:
а) ~CH2-НC-CH2-HC~
б) ~НC-CH2-CH2-HC-НC-CH2~.
ï
ï ï
ï ï
R
R R
R R
Нет и порядка в пространственном расположении
заместителей у мономерных звеньев из-за отсутствия координирующего действия при
присоединении каждой следующей молекулы мономера. Для полимеров винилового ряда
характерно чередование звеньев в положении «голова к хвосту», что обеспечивает
высокий уровень свойств полимеров, несмотря на отсутствие пространственной
регулярности их макромолекул. Поэтому методом свободнорадикальной полимеризации
производят основную массу промышленных полимеров этого типа - полистирол,
полиакрилонитрил, полиметилметакрилат, поливинилхлорид, поливинилацетат.
По сравнению с мономерами винилового ряда
диеновые мономеры дают наибольшее разнообразие структур макромолекул, так как
каждая молекула содержит две двойные связи. Существуют пять основных типов
соединения звеньев в макромолекуле - в положениях 1,4; 1,1; 4,4; 1,2 и 3,4. В
двух последних случаях их можно рассматривать как полимеры винилового ряда:
Для несимметричных диенов (изопрен, хлоропрен)
при соединении их звеньев в положениях 1,1 и 4,4 может нарушаться регулярность
их чередования:
.
Как отмечалось выше, 1,4-полидиены могут
различаться пространственным расположением СН2-групп в цепях относительно
плоскости двойной связи:

.
По длине цепи могут существовать все виды
структур полидиенов, что приводит к нестабильности и невоспроизводимости их
свойств. Структуры-1,4 формируются преимущественно в транс-положении, особенно
при полимеризации активного и поляризованного хлоропрена, поэтому полихлоропрен
производится в промышленном масштабе методом свободнорадикальной полимеризации.
Полибутадиен и полиизопрен наиболее ценны в основном как цис-1,4-изомеры,
поэтому в промышленности все чаще их получают методами ионно-координационной
полимеризации.
4. Ионная полимеризация
Ионная полимеризация сопровождается координацией
мономера на поверхности катализатора и отличается от радикальной реакции тем,
что:
· растущие частицы (ионы) более
активны, чем свободные радикалы;
· инициаторы каталитические
(восстанавливают структуру, а не расходуются необратимо) и позволяют получать
стереорегулярные полимеры;
· суммарная энергия активации меньше
по сравнению с радикальной, и это позволяет снизить температуру реакции вплоть
до отрицательных температур;
· среда - не вода, а растворитель с
сольватирующим действием на ионы;
· большие значения ММ и узкое ММР
полимера, высокая степень химической регулярности макромолекул при полном
отсутствии разветвлений.
Она уступает радикальной полимеризации по
сложности технологического оформления процесса и по масштабам применения при
производстве большинства промышленных полимеров.
Катализаторами катионной полимеризации являются
доноры протона - сильные протонные кислоты (H2SO4)
и кислоты Льюиса (AlCl3,
BF3, TiCl4).
Последние образуют с сокатализатором (Н2О, HCl)
комплексные соединения, которые на стадии инициирования создают с мономером
ионную пару:
СН2=С(СН3)2+Н+[ВF3.ОН]-→
(СН3)3С+[ВF3.ОН]-.
Низкая энергия активации (до 65 кДж/моль)
обеспечивает высокую скорость процесса, увеличивающуюся со снижением
температуры (температурный коэффициент отрицателен). Например, под действием BF3
изобутилен полимеризуется за несколько секунд при -100оС до полимера большой
ММ. В процессе роста цепи ионная пара реагирует со следующей молекулой
мономера, а на конце цепи сохраняется карбкатион с противоанионом:
(СН3)3С+[ВF3.ОН]-+СН2=С(СН3)2→(СН3)3СН2(СН3)2С+[ВF3.ОН]-
и т. д.
Поляризация молекулы мономера обеспечивает
регулярное присоединение звеньев («голова к хвосту»), а обрыв цепи невозможен
рекомбинацией одноименно заряженных ионов. Поэтому ионная пара при уменьшении
кинетической подвижности макроиона (с ростом его размеров) перестраивается в
макромолекулу с двойной связью или образует гидроксильную группу и регенерирует
комплекс катализатор-сокатализатор или катализатор:
;
.
Катализатор многократно инициирует рост цепи,
поэтому при синтезе эффективны даже малые его количества. Энергия активации
реакции обрыва цепи через разрыв σ-связи
больше, а энергия активации реакции роста цепи, которая определяет весь процесс
синтеза и связана с атакой двойной связи мономера ионом карбония, - меньше, чем
при свободнорадикальной полимеризации. Поэтому повышение температуры и ведет к
снижению скорости реакции синтеза и средней молекулярной массы полимера.
Катализаторами анионной полимеризации являются
щелочные металлы, их амиды, алкилы или комплексы с ароматическими
углеводородами. Полимеризацию с амидом щелочного металла проводят в среде
жидкого аммиака, выполняющего роль растворителя и передатчика реакционной цепи:
Обрыв цепи происходит путем ее передачи на
растворитель:
Регенерированный катализатор начинает новую
цепь, и реакция идет до конца при регулярном присоединении мономера «голова к
хвосту». Полимеризация мономеров щелочным металлом проходит через образование
ион-радикала и затем бианиона, по обоим концам которого и присоединяются
последующие молекулы до образования макромолекулы:
;
;
.
Регулирование молекулярной массы полимера
улучшается каталитическим комплексом щелочного металла с нафталином в среде
полярного растворителя тетрагидрофурана (полимеризация с переносом электрона).
Образующийся комплекс передает свой электрон мономеру, а нафталин
регенерируется:
;
.
В присутствии металлического натрия вновь
образуется комплекс, повторяются акты инициирования и роста цепи. При отсутствии
примесей обеспечивается рост цепи без обрыва до полного исчерпания мономера с
образованием «живых» полимеров, состоящих из заряженных отрицательно
макроионов. При добавлении того же мономера продолжается рост цепи, а порции
другого мономера - образуется блок-сополимер.
Алкилы щелочного металла отличаются от других
систем высокой способностью координировать молекулу мономера, поэтому
полимеризацию изопрена с н-бутиллитием называют анионно-координационной:
Молекула изопрена внедряется в поле двух центров
катализатора - между отрицательно заряженным алкильным остатком и положительно
заряженным ионом лития (двухцентровый механизм), принимая цис-конфигурацию,
которая и сохраняется при последующих актах роста цепи. Так получают
синтетический аналог НК, а процесс такого синтеза в среде неполярных или
малополярных растворителей, когда полярность растворителя меньше полярности
мономера, является оптимальным. Так же получают полимеры с концевыми
функциональными группами - карбоксильными (+СО2) или гидроксильными (+оксид
этилена) и звездообразной структуры (в CCl4).
Ионно-координационная полимеризация виниловых
мономеров обладает высоким координирующим действием, специфичным для каждого из
катализаторов Циглера-Натта, но наиболее востребованы комплексы хлоридов титана
с алкилпроизводными алюминия. Они образуют четырехчленный комплекс, который
координирует молекулу этилена или его производного у атома титана с
образованием π-комплекса и
поляризует ее:
,
.
После разделения зарядов одна
из связей в комплексе разрушается, и в его структуру входит молекула мономера,
образуя новый шестичленный цикл. При последующей его перестройке в новом
четырехчленном цикле остается один из атомов углерода молекулы мономера и
выделяется исходная этильная группа вместе с другим атомом углерода молекулы
мономера:
.
Таким образом, разрыв π-связи
в молекуле мономера приводит к образованию σ-связи
молекулы мономера с атомом углерода этильной группы и возникновению новой
структуры исходного комплекса, в которой с атомами титана и алюминия соединен
уже углерод молекулы мономера. Следующая молекула мономера реагирует так же,
вытесняя образующуюся полимерную молекулу из структуры катализатора и сохраняя
свое строго определенное пространственное расположение относительно плоскости
цепи:
.
Мономер присоединяется только
по типу «голова к хвосту», в макромолекулах отсутствуют разветвления и возможны
два вида стереорегулярных структур: изотактическая и синдиотактическая.
При полимеризации диеновых
мономеров образуется π-аллильный
комплекс мономера с переходным металлом, который также работает по принципу
вытеснения предыдущего мономерного звена последующим. Цепь обрывается путем
отщепления растущей макромолекулы от каталитического комплекса и передачи цепи
на мономер или при реакции с молекулой триалкилалюминия, не связанного с TiCl3:
Каталитические системы
обеспечивают формирование регулярных полимеров, а наиболее важна
цис-1,4-структура (табл.6), придающая полимеру высоко-эластические свойства в
широком интервале температур. Структура транс-1,4-полидиенов придает им
свойства пластмасс - синтетических заменителей гуттаперчи. Структуры типа 1,2 и
3,4 изо- и синдиотактических полидиенов по свойствам близки к структурам
виниловых стереорегулярных полимеров. В отличие от атактических, стереорегулярные
полимеры с комплексными катализаторами при регулярно чередующихся звеньях имеют
правильное пространственное расположение заместителей вдоль цепи.
Таблица 6.
Типы структур полибутадиена и
полиизопрена, получаемые на катализаторах Циглера-Натта
|
Каталитическая
система
|
Молярное
соотношение компонентов
|
Содержание
структурных звеньев, %
|
|
|
цис-1,4
|
транс-1,4
|
1,2
и 3,4 (ПИ)
|
|
В
полибутадиене:
|
|
Неодимовая
(NdP3)
|
|
96-98
|
3,6-1,2
|
0,6-0,7
|
|
Al(C2H5)3-TiСI4
|
5
|
92
|
4
|
4
|
|
Al(C2H5)3-VCl4
|
2
|
-
|
95-100
|
-
|
|
Al(C2H5)3-TiCl4
|
1
|
49
|
49
|
2
|
|
Al(C2H5)3-Ti(OC4H9)4
|
3
|
10
|
-
|
90
|
|
В
полиизопрене:
|
|
Al(C2H5)3-TiCl4
|
1
|
95
|
-
|
4
|
|
Al(C2H5)3-VCl4
|
2
|
-
|
95-100
|
-
|
|
Al(C2H5)3-Ti(OR)4
|
5
|
-
|
-
|
95
|
Ниже приведены возможные
стереорегулярные структуры полибутадиена:
.
Аналогично выглядят и структуры
полиизопрена, но есть еще 3,4-структура:

.
Перспективным направлением
использования ионной и ионно-коорди-национной реакций - полимеризация с
раскрытием циклов циклических мономеров (оксиды этилена и пропилена, триоксан,
капролактам). Полимеры линейной природы образуются за счет разрыва в цикле σ-связи:
.
Катализаторы Циглера-Натта
позволяют из циклопентена получить различные по структуре полипентенамеры,
которые при регулярном строении по типу «голова к хвосту» содержат в каждом
мономерном звене одну двойную связь, разделенную тремя метиленовыми группами:
.
Различия в свойствах между цис-
и транс-изомерами у них не так велики, как у изомеров полибутадиена или
полиизопрена. С производными молибдена формируется цис-структура, а титана или
вольфрама - транс-структура. При этом транс-1,5-полипентенамер является хорошим
эластомером. Интересным видом реакции полимеризации циклических соединений с
вольфрамовым катализатором является реакция метатезиса, при которой из двух
молекул циклоолефина образуется через переходное состояние одна молекула
циклодиена, способная полимеризоваться за счет разрыва σ-связей:
.
В каждом мономерном звене
получаемого полимера содержатся две двойные связи. Эти примеры подтверждают
возможности ионно-координационной полимеризации лучше, чем других видов
полимеризации, получать полимеры заданной регулярности структуры.
5.
Сополимеризация
Сополимеризацию мономеров
применяют при синтезе статистических, привитых и блок-сополимеров, но ее
закономерности сложны из-за различий в реакционной способности двух мономеров
по отношению к инициаторам и катализаторам. При равной реакционной способности
радикалов обоих мономеров по отношению к молекулам обоих мономеров
сополимеризация будет идеальной, звенья мономеров беспорядочно распределятся в
макромолекулах в соотношении, равном соотношению мономеров в их смеси. Если
радикал одного мономера реагирует преимущественно с молекулой другого мономера,
то сополимеризация будет чередующейся (альтернативная). Например, малеиновый
ангидрид один не полимеризуется, но со стиролом или винилхлоридом
сополимеризуется с регулярным чередованием звеньев мономеров вдоль цепи
макромолекулы независимо от соотношения мономеров в смеси: ~М1-М2-М1-М2-М1-М2~.
Чаще имеет место промежуточный вариант, когда звенья мономеров расположены
беспорядочно, и состав сополимера отличается от состава смеси мономеров. Такой
сополимер называется статистическим. При сополимеризации стирола и винилацетата
образуется не сополимер, а смесь двух гомополимеров, т.к. радикалы этих
мономеров лучше реагируют с молекулами этих же мономеров.
В настоящее время теоретические
представления о сополимеризации двух мономеров (М1 и М2) развиты достаточно
глубоко. На первой стадии их радикальной сополимеризации возможны четыре типа
соединения звеньев:
М*1+М1→М1М1* (1); М*1+М2→М1М2*
(2);
М*2+М1→М2М1* (3); М*2+М2→М2М2*
(4).
Когда в системе присутствуют
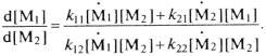
два типа растущих цепей, она характеризуется четырьмя константами роста цепи: k11;
k12; k21;k22.
Скорости расхода мономера по этой схеме выражаются уравнением: d[M1]/dt=k11[М*1][М1]+k21[М*2][М1],
если мономер M1 реагирует с
радикалами своего (М*1) и «чужого» (М*2) мономеров, или d[M2]/dt=k12[М*1][М2]+k22[М*2][М2],
если мономер М2 тоже расходуется в реакции с радикалами своего (М*2) и «чужого»
(М*1) мономеров. Относительную скорость (d[М1]/d[М2])
расхода мономера М1 по мономеру М2 получают делением первого уравнения на
второе:
.
Наиболее важным для
формирования сополимера, а не гомополимеров из М1 и М2, являются скорости
реакций (2) и (3) с константами k12
и k21. Если эти
скорости равны, то такое состояние называется стационарным, подобным стационарному
состоянию в свободнорадикальной гомополимеризации. Тогда
k12[М*1][М2]=k21[М*2][М1],
и концентрацию радикалов [М*2] можно выразить через концентрацию радикалов
[М*1] и мономеров [М1] и [М2]:
.
Подставляя выражение для [М*2]
в уравнение относительной скорости расхода мономеров (d[М1]/d[М2]),
получаем окончательный вариант уравнения
,
в котором отношения констант (k11/k12=r1,
k22/k21=r2)
называют константами сополимеризации. Количественные значения r1
и r2 являются
важнейшими характеристиками реакции сополимеризации и определяют состав и
структуру сополимера. Они зависят от свойств мономеров и механизма
полимеризации.
Направление реакции радикалов
определяется значениями констант r1
и r2 (рис.8а). Если r1<1,
а r2>1 (кривая 1),
то это означает, что радикал М*2 предпочтительнее реагирует со своим мономером
М2, и состав обогащается им в сравнении с составом исходной смеси мономеров.
При r1>1 и r2<1
(кривая 2) радикал М*1 предпочтительнее реагирует со своим мономером М1, и
состав сополимера обогащается им. Для случая, когда r1<1
и r2<1, т.е. оба
радикала предпочтительнее реагируют с чужими мономерами, наблюдается близкое
соответствие составов сополимера и исходной смеси мономеров (кривая 3), а в
одной точке составов они совпадают. Эта точка соответствует условию азеотропной
смеси, для которой М1/М2=(r2-1)/(r1-1).
Полное соответствие состава сополимера составу исходной смеси мономеров
наблюдается в одном случае, когда r1=r2=1,
т.е. реакционные способности М*1 и М*2 одинаковы (кривая 3). Это и будет случай
идеальной сополимеризации. При сополимеризации по ионному механизму тип
каталитической системы и полярность среды влияют на значения констант, состав,
структуру и свойства сополимера (рис.8б). Метилметакрилат и стирол образуют
статистический сополимер, который при радикальной сополимеризации близок по
составу к смеси мономеров (r1<1,
r2<1), при
катионной сополимеризации с хлоридом олова обогащен стиролом (r1>1,
r2<1), а при
анионной сополимеризации с металлическим натрием обогащен метилметакрилатом (r1<1,
r2>1).

а б
Рис. 8. Зависимость состава
статистического сополимера от состава исходной смеси мономеров М1 и М2 при
различных значениях констант сополимеризации (а) и при сополимеризации стирола
с метилметакрилатом по различным механизмам (б):
-катионная с тетрахлоридом
олова; 2-свободнорадикальная с пероксидом бензоила; 3-анионная с металлическим
натрием.
Примеры свободнорадикальной
сополимеризации различных пар мономеров даны в табл. 7. В соответствии с тремя
возможными вариантами значений констант сополимеризации сополимер стирола с
метилметакрилатом имеет структуру статистического, с малеиновым ангидридом -
чередующегося, а с винилацетатом - оба мономера дают свои гомополимеры. Таким
образом, при сополимеризации можно ввести в структуру сополимера мономер,
который вообще не способен к гомополимеризации (малеиновый аггидрид), но нельзя
получить сополимер из двух мономеров, каждый из которых способен
полимеризоваться (стирол и винилацетат). Сополимер этилена с винилацетатом
получить удается, так как значения констант лишь незначительно превышают
единицу. Состав сополимера в этом случае близок к составу смеси мономеров.
Значения констант сополимеризации определяются реакционной способностью мономеров
и не зависят от типа инициирующей системы. Для сравнения разных типов
полимеризующихся систем по их относительной активности используется
произведение констант сополимеризации.
Таблица.7.
Значения констант
сополимеризации некоторых пар мономеров
|
Мономер
М1
|
Мономер
М2
|
Константы
сополимеризации
|
|
|
r1
|
r2
|
r1.r2
|
|
Стирол
|
Метилметакрилат
|
0,52
|
0,46
|
0,24
|
|
Стирол
|
Малеиновый
ангидрид
|
0,04
|
0
|
0
|
|
Стирол
|
Винилацетат
|
55
|
0
|
0
|
|
Стирол
|
Бутадиен
|
0,78
|
1,39
|
1,08
|
|
Винилацетат
|
Этилен
|
1,07
|
1,08
|
1,16
|
|
Винилацетат
|
Винилхлорид
|
0,23
|
1,68
|
0,39
|
|
Акрилонитрил
|
Бутадиен
|
0,05
|
0,35
|
0,02
|
Таким образом, по сравнению со
свободнорадикальной сополимеризацией стирол более реакционноспособен в
катионной сополимеризации, а метилмет-акрилат - в анионной. В зависимости от
механизма сополимеризации из одного и того же состава смеси мономеров можно
получить сополимер близкого состава (свободнорадикальный), с более высоким
содержанием стирола (катионный) или метилметакрилата (анионный). Влияние
констант r1 и r2
на состав сополимеров можно суммировать так:
· при r1<1
и r2<1, r1>1
и r2<1, r1<1
и r2>1 происходит
статистическая сополимеризация, и составы сополимеров и исходных смесей
мономеров различны, кроме одной точки азеотропа при r1<1
и r2<1;
· при r1.r2=1
или (частный случай) r1=r2=1
происходит идеальная сополимеризация, и состав сополимера соответствует составу
смеси мономеров;
· при r1=r2=0
(k11=k22=0)
происходит чередующаяся сополимеризация, соотно-шение мономеров в исходной
смеси не влияет на состав сополимера, так как звенья регулярно чередуются, и в
каждой макромолекуле их поровну, а сополимеризация идет до исчерпания того
мономера, которого в смеси меньше;
· при r1=r2=∞
образуется смесь гомополимеров, т.е. сополимеризация не происходит из-за
реакций растущих радикалов только со своим мономером.
Классическим примером
радикальной статистической сополимеризации бутадиена и стирола является синтез
бутадиен-стирольного каучука:
СН2=СН-СН=СН2+mСН2=СНAr
→ [~СН2-СН=СН-СН2~]n-[~СН2-СНAr~]m.
Аналогичным методом
сополимеризации бутадиена и акрилонитрила получают большую группу
бутадиен-нитрильных каучуков для маслобензостойких резиновых изделий. Путем
добавки 1-10% третьего винилового мономера с функциональной группой
(2-метил-5-винилпиридина, метакриловой кислоты, метакриламида, винилпероксида и
других) получают тройные сополимеры, способные к межмакромолекулярным реакциям
формирования уникальных сетчатых структур. При сополимеризации бутадиена и
стирола с небольшим количеством (0,3-0,5%) тетрафункционального мономера,
например дивинилбензола, получается эластомер, пространственно сшитый в
пределах глобул латекса, что придает ему свойства эластичного наполнителя,
повышающего каркасность и технологические свойства резиновых смесей. Как и
гомополимеризация, сополимеризация включает инициирование, рост, обрыв и
передачу цепи. Однако все стадии осложнены присутствием нескольких мономеров,
взаимодействие которых проходит с различной интенсивностью, что влияет на
кинетику процесса, состав и свойства получаемых сополимеров.
Статистическая сополимеризация
изобутилена с малым количеством изопрена (до 3%) по катионному механизму
положена в основу технологии синтеза бутилкаучука. Сополимеризацию этилена и
пропилена осуществляют на катализаторах Циглера-Натта. В последние годы
разработана технология производства статистических стереорегулярных
бутадиен-стирольных каучуков с содержанием виниловых звеньев до 80%, в том
числе и с концевыми функциональными группами. Более сложны по технологическому
оформлению и воспроизводству структуры и свойств полимера процессы сополимеризации
трех и более мономеров. Сополимеризацией этилена, пропилена и небольшого
количества мономера с двойными связями (этилиденнорборнена) получают полимер,
способный к вулканизации серой. Получают также тройные сополимеры бутадиена,
изопрена и стирола с 60% транс-звеньев,
Кроме статистических и
чередующихся, можно получить сополимеры, содержащие участки большой
протяженности звеньев (блоки) одного и затем другого мономера. В привитом
сополимере блоки являются боковыми ответвлениями цепей одного мономера от
основной цепи из звеньев другого мономера, а в блок-сополимере - расположены
вдоль цепи макромолекулы. Продуктом привитой сополимеризации стирола с
бутадиеновым или бутадиен-стирольным каучуком по радикальному механизму
является ударопрочный полистирол. Привитой сополимеризацией стирола и
акрилонитрила с бутадиеновым или бутадиенстирольным каучуком получают
ударопрочные пластики АБС. Привитые сополимеры можно получить также с помощью
механохимических реакций полимеров. Блок-сополимеры со свойствами термоэластопласта
получают анионной полимеризацией мономера в среде полярного растворителя
(тетрагидрофурана) на комплексном катализаторе с последующим добавлением к
полученному «живому» полимеру, макромолекулы которого являются отрицательно
заряженными ионами, другого мономера. Другим способом получения
блок-сополимеров является разрыв цепей эластомера под воздействием излучений
или механической энергии и полимеризация стирола, этилена или пропилена на
свободных радикалах в местах разрыва цепей с образованием больших жестких
блоков. Известны термоэластопласты типа полистирол-полибутадиен-полистирол,
содержащие концевые полистирольные блоки с ММ 15-20 тыс. и центральный
полибутадиеновый блок с ММ 50-70 тыс. ед. (рис.9). Жесткие блоки образуют в
матрице эластичных блоков плотно упакованные структуры, называемые доменами,
существенно упрочняющие всю систему. Блок-сополимеры прочны и эластичны при
комнатной температуре и термопластичны при 80-100оС.
Рис.9. Схема структуры
блок-сополимера (а) и его макромолекулы (б)
6. Ступенчатые реакции
синтеза полимеров
Ступенчатый синтез (поликонденсация и
ступенчатая полимеризация) протекает по концевым функциональным группам
мономеров, растущая цепь после каждого акта присоединения остается устойчивым
соединением, процесс образования полимера протекает ступенями с низкой
скоростью. При этом ММ растет постепенно, а молекулярно-массовое распределение
изменяется непрерывно (рис.10). Полимеры с узким распределением по молекулярным
массам образуются на начальных стадиях реакции, а с ростом конверсии мономеров
оно становится шире. Поэтому для завершения роста цепи требуется больше
времени, чем при цепных процессах.

а б
Рис.10. Зависимость степени полимеризации п (а)
и молекулярно-массового распределения (б) от
глубины превращения р функциональных групп: Мх - молекулярная масса фракции; Wх
- массовая доля фракции.
Поликонденсацией называется процесс образования
полимеров из би- или полифункциональных мономеров с выделением побочных
низкомолекулярных продуктов (вода, спирты и др.), поэтому элементный состав их
звеньев не соответствует составу мономеров:
п(А-R-A)
+ п(B-R1-B)
®
A-[-R-R1-]n-B + (2n-1)AB,
где A-R-A
и B-R1-B
-
исходные мономеры; A и B
-
функциональные группы; AB-побочное
низкомолекулярное соединение. Сначала образуются димеры, затем тримеры,
тетрамеры и далее олигомеры, реагирующие друг с другом до полимера, который
образуется на стадии высокой завершенности реакции (более 98%). Выход и ММ
полимера зависят от времени реакции. Благодаря устойчивости молекул олигомеры
могут быть выделены и использованы в дальнейших реакциях конденсации друг с
другом или с другими мономерами для синтеза новых полимеров. Реакции однородных
молекул с разными или с одинаковыми функциональными группами называют
гомополиконденсацией:
N(CH2)6COOH ®
[-NH(CH2)6CO-]n + (n-1)Н2O,НО-(СН2)x-СO-ОН
®
Н[-О-(СН2)x-СO-]nОН
+ (n-1)Н2О.
nНО(СН2)2ОН
®
[-CH2-O-]n
+ (n-1)Н2O.
В гетерополиконденсации
участвуют разнородные молекулы с разными функциональными группами, например при
синтезе полиамидов:
N(CH2)6NH2+nНООС(СН2)4СООН®[-NH(CH2)6NHCO(CH2)4CO-]n-OH+(2n-1)Н2O.
Процесс получения
высокомолекулярных соединений, в котором участвуют два или большее число
мономеров, каждый из которых способен образовывать собственный полимер,
называют сополиконденсацией:
nH2N(CH2)6NH2+nНООС(СН2)4СООН+nНООС(СН2)8СООН®
[-NH(CH2)6NHCO(CH2)4CONH(CH2)6NHCO(CH2)8CO-]n+4nН2O.
Бифункциональные мономеры
подразделяются на три основных класса:
· с различными
функциональными группами, взаимодействующие друг с другом: аминокислоты (H2N-R-СООН),
оксикислоты (НО-R-СООН) и
др., для поликонденсации можно использовать один мономер этого класса;
· с одинаковыми
функциональными группами, не взаимодействующие друг с другом: диамины (H2N-R-NH2),
дикарбоновые кислоты их производные, поэтому для поликонденсации необходимы два
мономера;
· мономеры с
одинаковыми функциональными группами, способные взаимодействовать друг с
другом, например гликоли (НО-R-ОН);
в этом случае синтез проводят, используя один мономер с одинаковыми
функциональными группами. В качестве примера может служить реакция синтеза
простых эфиров из гликоля. Бифункциональные мономеры образуют линейные
макромолекулы (линейная поликонденсация), а мономеры с тремя и большим числом
функциональных групп (например, фенолформальдегидные смолы) образуют
разветвленные и сетчатые структуры.
Ступенчатая или миграционная
полимеризация (полиприсоединение) по закономерностям процесса сходна с
поликонденсацией. Молекулы мономера присоединяются к растущей цепи, являющейся
устойчивой частицей, без выделения низкомолекулярных продуктов путем
перемещения (миграции) водорода. Полиприсоединение аналогично полимеризации по
соответствию составов звеньев и мономеров, но состоит из отдельных независимых
стадий и подчиняется основным закономерностям равновесной поликонденсации. В
реакции участвуют два би- или полифункциональных мономера, один из которых
содержит подвижный атом водорода (амины, фенолы, спирты, кислоты), а второй -
группы, способные присоединять его. По ступенчатому механизму полимеризации
идут реакции диэпоксидов с дикарбоновыми кислотами, полиаминами, бисфенолами и
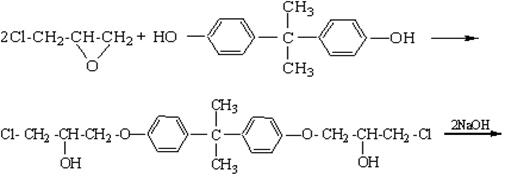
полиспиртами. Эпихлоргидрин с дигидроксидифенилпропаном в щелочной среде
образуют разнообразные продукты от вязкожидких до твердой консистенции:
.
Наряду с концевыми эпоксидными
группами, в макромолекуле имеются вторичные гидроксильные группы, также
способные вступать в дальнейшие реакции с бифункциональными соединениями с
образованием трехмерных полимеров. Для отверждения эпоксиолигомеров используют,
кроме перечисленных выше, ангидриды дикарбоновых кислот, диизоцианаты, и
различные олигомеры, содержащие функциональные группы (полиамиды,
полисульфиды), которые взаимодействуют с вторичными гидроксилами. Реагируя с
концевыми эпоксидными группами, они увеличивают длину цепей и прочность
полимеров.
При взаимодействии диаминов с
концевыми эпоксидными группами возникают вторичные гидроксильные группы,
способные также реагировать с диизоцианатами или диангидридами с образованием
«сшитых» структур:
~CH-CH2 + H2N-R-NH2
® ~CH-CH2-HN-R-NH-CH2-CH~ .
При взаимодействии дикарбоновых
кислот с концевыми эпоксидными группами получаются олигомеры, содержащие и
сложноэфирные группы. Аналогичен синтез полиуретанов из изоцианатов и гликолей:
.
Для получения полимера
необходимо, чтобы исходные мономеры содержали не менее двух функциональных
групп. Если заменить гликоль многоатомным спиртом (глицерин, пентаэритрит и
др.) или диизоцианат - триизоцианатом, то получаются пространственно сшитые
полимеры, подобные продуктам реакции трехмерной поликонденсации. Ароматические
изоцианаты и спирты жирного ряда проявляют более высокую реакционную
способность, чем алифатические изоцианаты и бисфенолы. ММ полиуретанов повышается
с увеличением продолжительности реакции полиприсоединения. Существенно влияют
на ММ соотношение диизоцианата и гликоля и температура синтеза.
Полимеризация с раскрытием
циклов мономерных молекул (оксиды этилена и пропилена, триоксан, ε-капролактам,
циклопентен) также часто идет как ступенчатая реакция. Капролактам активируется
водой, кислотой или основанием, которые присоединяются только к первой молекуле
мономера, а далее реализуется механизм миграционной полимеризации:
Ступенчатый синтез полимеров
включает равновесные (обратимые) и неравновесные (необратимые) процессы.
Особенность равновесных процессов, например синтез полиамидов при нагревании
дикарбоновых кислот с диаминами, - протекание обратных реакций с низкомолекулярным
продуктом, приводящих к распаду полимерных цепей. Выделяющийся
низкомолекулярный продукт (вода из диамина) может реагировать с амидными
группами, и в результате гидролиза образуются исходные структуры или выделяются
из макромолекул низкомолекулярные фрагменты. Синтез фенолформальдегидных смол
сетчатого строения является примером неравновесной реакции. Выделяющиеся вода и
формальдегид не могут вновь реагировать с простыми эфирными связями или
метиленовыми группами между фенольными ядрами соответственно, и равновесие
реакции практически полностью сдвинуто в сторону образования сетчатого
полимера. Кроме того, сама сетчатая структура полимера способствует сдвигу
реакции вправо, так как система становится нерастворимой и неплавкой. Поэтому
ее функциональные группы даже в тех случаях, когда они могут реагировать с
низкомолекулярными компонентами, недоступны для них, и обратная реакция
практически не протекает.
Низкомолекулярный продукт
линейной поликонденсации дигалогенугле-водородов и полисульфида натрия, не
способный к реакции с функциональ-ными группами в макромолекулах
полисульфидного эластомера, является также причиной неравновесности реакции,
даже если система не теряет своей растворимости и плавкости: nCl-R-Cl+nNa2Sx®-(-R-Sx-)n-+2nNaCl.
Выделение низкомолекулярного компонента в газообразном состоянии на границе
раздела фаз мономеров, не смешивающихся друг с другом, также обеспечивает
неравновесность реакции. При синтезе полиамидов из дихлорангидридов кислот и
диаминов реакция образования полимера также проходит в узкой области - на
границе раздела фаз двух несмешивающихся растворов мономеров. Образующийся в
виде тонкой пленки полиамид можно непрерывно удалять механическим путем, что
позволяет провести реакцию практически в неравновесных условиях до полного
исчерпания мономеров.
Обратимые и необратимые реакции
синтеза полимеров по ступенчатому механизму количественно оценивают константой
равновесия - отношением констант скоростей прямой и обратной реакций:
Кр=Кпрям/Кобратн. Считают реакцию синтеза полимера равновесной при Кр не более
102 и неравновесной при Кр более 103. При промежуточных значениях Кр
равновесность оценивают по условиям проведения реакции: для обратимых реакций -
малые скорости и большая энергия активации (80-170 кДж/моль), а необратимых -
высокие скорости и малая энергия активации (8-42 кДж/моль).
По закономерностям протекания ступенчатые
реакции существенно отличаются от цепных реакций. Два фактора определяют размер
и структуру макромолекул полимера: стехиометрия, если число компонентов больше
одного, и степень завершенности реакции по расходу функциональных групп
реагирующих компонентов. Если функциональные группы содержатся в исходной
композиции в эквимолярных соотношениях, то ступенчатые реакции их друг с другом
продолжаются до полного исчерпания, а на концах макромолекул всегда
присутствуют свободные функциональные группы. Если в системе имеется избыток
функциональных групп одной природы, то функциональные группы противоположной
природы быстро израсходуются в реакциях. Избыточные концевые функциональные
группы одной природы не могут реагировать друг с другом, и рост макромолекул
прекратится. Чем больше избыток одних групп по отношению к другим, тем раньше
прекратится рост макромолекул и меньше будет значение средней ММ конечного продукта.
Таким образом, избыток функциональных групп одного из мономеров играет роль
стоппера реакции образования полимера и прерывает эту реакцию на стадии
низкомолекулярных продуктов или олигомеров. Основные отличия ступенчатых
процессов синтеза от цепных радикальных и ионных реакций:
· постепенное увеличение ММ во
времени, а в цепных реакциях - быстрое образование макромолекул, размер которых
мало изменяется во времени;
· исходные мономеры быстро расходуются
на низкомолекулярные и олигомерные продукты, реагирующие друг с другом с
образованием полимера, а в цепных реакциях - постепенно расходуются и
присутствуют на любой стадии вплоть до полной конверсии;
· промежуточные продукты реакции -
устойчивые молекулы, в отличие от неустойчивых свободных радикалов или ионов с
малым временем жизни;
· высокомолекулярные продукты
присутствуют в реакционной системе в ощутимых количествах лишь при высоких
степенях превращения функциональных групп, т.е. при большом времени реакции, а
в цепных реакциях - присутствуют при любой конверсии мономеров;
· исходные, промежуточные и конечные
продукты количественно определяют на любой стадии реакции, так как они
устойчивы, и их размеры непрерывно изменяются, а в цепных процессах
промежуточные продукты отсутствуют, и на любой стадии реакции присутствуют
только исходные и конечные продукты.
Из изложенного следует, что по целому ряду
показателей ступенчатые процессы уступают цепным реакциям синтеза полимеров. К
этому надо добавить, что исходные мономеры для цепных процессов в основном более
доступны и дешевы, чем мономеры с функциональными группами для ступенчатого
синтеза. По этим причинам в производстве многотоннажных полимеров общего
назначения больше применяют цепные процессы синтеза. Однако природа мономеров,
сырьевые источники их получения для обоих видов процессов существенно
различаются. Ряд важнейших промышленных полимеров (полиамиды, полиуретаны,
различные полиэфиры, включая полиарилены и политиоэфиры, а также
фенолоформальдегидные и другие смолы) можно получить только в результате
ступенчатых процессов синтеза. Выбор этих процессов определяется не только
доступностью и стоимостью сырья, но и теми требованиями, которые предъявляет
техника к свойствам полимеров, а также возможностями их удовлетворения за счет
структуры соответствующих полимеров.
7. Технологическое
оформление синтеза промышленных полимеров
Кроме механизма реакций синтеза, на структуру и
свойства полимера влияют и технические решения, по которым реализуются эти
реакции. Таких решений для одного и того же механизма реакции может быть
несколько. В зависимости от технологии радикальной полимеризации могут
существенно изменяться ММ и молекулярно-массовое распределение полимеров,
соотношение в макромолекуле звеньев различной структуры и их взаимное
расположение. Не менее важно наличие примесей от использования инициирующей
системы, стабилизаторов и других добавок, которые могут оставаться в полимере.
Это влияет не только на механические свойства полимеров, но и на стойкость их к
тепловым и другим воздействиям. Среди технических методов осуществления цепных
реакций известны процессы полимеризации в газовой фазе, в массе жидкого
мономера, в твердой фазе, в растворе, в эмульсии или в суспензии. Ступенчатые
реакции синтеза полимеров обычно ведут в расплаве мономеров, в растворе на
границе раздела фаз двух растворителей мономеров и в твердой фазе мономеров или
олигомеров.
Цепную полимеризацию в газовой фазе используют
для получения полиэтилена при высоких давлениях и температурах по
свободнорадикальному механизму, а для ее инициирования применяют кислород или
пероксиды. Полимеризацию в твердой фазе из-за трудностей распределения
инициатора применяют редко, проводят при температуре ниже температуры плавления
мономера и инициировании светом или излучениями высоких энергий. Реакция может
проходить по радикальному, ионному или смешанному механизмам. Радикальную
полимеризацию в массе (блоке) мономера инициируют органическими пероксидами, а
мономер помещают в сосуд заданной формы, которую и принимает получаемый
полимер. В процессе синтеза полимера нарастает вязкость системы, из-за чего
затрудняются ее перемешивание и отвод выделяющегося тепла. Полимер (полистирол
и полиметилметакрилат) получается с низкой ММ и широким молекулярно-массовым
распределением.
Ионные реакции проводят в массе или растворах
мономеров, а синтез идет быстро и при низких температурах, что повышает
регулярность построения макромолекул и ММ полимера. При полимеризации в
растворе мономеров каталитические системы могут быть растворены в растворителе
или присутствовать в виде суспензии, что существенно влияет на структуру
получающегося полимера. Растворитель не должен взаимодействовать с
катализаторами. Если получаемый полимер нерастворим в растворителе, то он
выпадает в осадок, и его выделение упрощается. Растворы полимера могут быть
использованы непосредственно для нанесения полимерных покрытий на различные
подложки с последующим удалением растворителя, если в этом есть необходимость.
Полимер выделяют из раствора различными приемами - добавлением осадителя или
упариванием растворителя. В этом случае следует учитывать, что при неполной
конверсии мономер может оставаться в полимере.
Полимеризация в растворе существенно облегчает
регулирование молекулярной массы и молекулярно-массового распределения
полимера, отвод тепла из реакционных объемов, процессы перемешивания и
транспортирования и управление процессом. Углеводородные мономеры и их
производные полимеризуют в растворе гексана, гептана, бензина, толуола,
циклогексана и других углеводородов при концентрации не выше 20%, чтобы
избежать роста вязкости. Полимеризацией в растворе получают все
стереорегулярные эластомеры, блок-сополимеры бутадиена и стирола, некоторые
виды статистических сополимеров, полиэтилен высокой плотности, некоторые виды
полистирола, сополимеры этилена и пропилена, полиметилметакрилат,
стереорегулярный полипропилен и другие полимеры.
Радикальная полимеризация углеводородных
мономеров в водной эмульсии наиболее распространена. Система эмульсионной
полимеризации содержит мономер, воду, инициаторы, эмульгаторы и различные
добавки. В результате эмульгирования мономеров образуется коллоидная система с
развитой межфазной поверхностью, в которой полимеризация может протекать на
границе раздела фаз мономер-вода, в мицеллах эмульгатора, содержащих мономер, а
также иногда в истинном растворе мономера в воде. В процессе полимеризации
образуется высокодисперсная суспензия (латекс), многокомпонентность которой
затрудняет выделение полимера в чистом виде. Поэтому используют различные
приемы его отмывки. Преимуществами эмульсионной полимеризации являются меньшая
пожароопасность и токсичность процесса, так как применяется вода как основная
дисперсионная среда, а также легкость перемешивания реагентов и отвода тепла,
регулирования скорости реакции, структуры и молекулярной массы полимера.
Процесс эмульсионной полимеризации идет в
мицеллах эмульгатора, куда диффундирует мономер из капель эмульсии и образуются
полимерно-мономерные частицы размером 10-100нм, в которых концентрация полимера
достигает 60%. Скорость полимеризации увеличивается с ростом температуры и
концентрации инициатора и эмульгатора. Роль эмульгатора состоит в увеличении
числа частиц, что повышает устойчивость системы. Инициаторы полимеризации
растворимы в воде и начинают реакцию на границе полимерно-мономерных частиц.
Далее реакция захватывает объем мономера в мицеллах, и большие капли мономера
постепенно заменяются малыми латексными частицами, т.е. средний размер частиц
уменьшается, а мицеллы эмульгатора исчезают. В латексе размеры частиц полимера
на несколько порядков меньше, чем в исходной эмульсии мономера, а скорость
полимеризации и молекулярная масса полимера на 1-2 порядка выше, чем в массе
того же мономера. Эмульсионной полимеризацией получают полистирол,
полиметилметакрилат, поливинилхлорид, полиакрилонитрил, поливинилацетат,
двойные и тройные сополимеры этих и многих других мономеров с бутадиеном и
полихлоропрен.
Полимеризация в суспензии (суспензионная или
гранульная) также инициируется органическими пероксидами, растворимыми в каплях
мономера, но более крупных (0,1-5 мм) и стабилизированных в воде с помощью
полимерных водорастворимых стабилизаторов. Продукт полимеризации образуется в
виде гранул полимера, которые на несколько порядков крупнее частиц полимера в
латексе и оседают самопроизвольно без специальной коагуляции. Такие гранулы
легче отмываются от стабилизаторов и других примесей, поэтому суспензионные
полимеры являются более чистыми по сравнению с эмульсионными. Полимеризация в
суспензии по закономерностям близка к полимеризации в массе, при этом
существенно облегчаются теплоотвод из системы и перемешивание ее компонентов.
Ступенчатые реакции синтеза полимеров проводят
чаще всего в расплаве мономеров при температуре выше 200оС, иногда в атмосфере
инертных газов, чтобы исключить их деструкцию и другие побочные реакции, после
чего систему вакуумируют с целью удаления низкомолекулярных продуктов.
Оставшуюся массу полимера измельчают для последующей переработки в изделия.
Ступенчатый синтез полимеров осуществляют также в растворе мономеров, что позволяет
снизить до комнатной температуру реакции. При поликонденсации на границе
раздела фаз несмешивающихся растворов каждого из мономеров образующуюся пленку
полимера постоянно удаляют с границы до полного завершения реакции. Так
получают полиэфиры, полиамиды, полиуретаны. Молекулярная масса получаемых
полимеров выше, чем при других способах проведения ступенчатой реакции.
Таким образом, технический синтез полимеров
возможен несколькими способами, которые существенно влияют на структуру и
свойства конечных продуктов. Свободнорадикальный механизм синтеза позволяет
наиболее широко варьировать технические способы его проведения и использовать
водные среды для упрощения аппаратурного оформления процессов, регулирования
температуры и теплоотвода. Ионные реакции проводят в растворах или массе
мономеров, а ступенчатые - чаще в расплавах мономеров.
Литература
1.
Кулезнев В.Н., Шершнев В.А. Химия и физика полимеров. М.: КолосС, 2007.-367с.
. Тагер
А.А. Физикохимия полимеров. М.: «Научный мир», 2007.-576с.
. Корнев
А.Е., Буканов А.М., Шевердяев О.Н. Технология эластомерных материалов. М.: НППА
«Исток», 2009.-504с.
. Семчиков
Ю.Д. Высокомолекулярные соединения. М.: Академия, 2005.-368с.
. Власов
С.В., Кандырин Л.Б., Кулезнев В.Н. и др. Основы технологии переработки пластмасс.
/ Под ред. В.Н. Кулезнева и В.К. Гусева. М.: Химия, 2004.-598с.
. Шутилин
Ю.Ф. Справочное пособие по свойствам и применению эластомеров. Воронеж: ВГТА,
2003.-870с.
. Карташов
Э.М., Цой Б., Шевелев В.В. Структурно-статистическая кинетика разрушения полимеров.
М.: Химия, 2002.-736с.
. Новаков
И.А., Новопольцева О.М., Кракшин М.А. Методы оценки и регулирования
пластоэластических и вулканизационных свойств эластомеров и композиций на их
основе. М.: Химия, 2010.-240с.
. Аскадский
А.А., Кондрющенко В.И. Компьютерное материаловедение полимеров. М.: Научный
мир, 2009.-544с.
. Гуль
В.Е., Кулезнев В.Н. Структура и механические свойства .полимеров, М.: Лабиринт,
1994.-367с.
. Киреев
В.В. Высокомолекулярные соединения. М.: Высшая школа, 2012.-512с.
. Денисов
Е.Т. Окисление и деструкция карбоцепных полимеров. Л.: Химия, 2000.-288с.
. Натуральный
каучук. / Пер. с англ. З.З. Высоцкого. М.: Мир, 2000. В 2 частях. Ч.1 - 656с.,
ч.2 - 720с.