Синтез разветвлённых полифениленов и исследование их люминесцентных свойств
Министерство
образования и науки Российской Федерации
Российский
химико-технологический университет
имени Д.И.
Менделеева
Факультет
химико-фармацевтических технологий и биомедицинских препаратов
Кафедра химии
и технологии биомедицинских препаратов
ДИПЛОМНАЯ РАБОТА
на тему
«Синтез разветвлённых полифениленов и
исследование их люминесцентных свойств»
Москва 2013
Введение
В настоящее время наблюдается прогресс в создании многоцветных дисплеев,
а также источников белого света на основе полимерных светодиодов. Наравне с
жидкими кристаллами, которые успешно используются и по сей день, как
элементоорганические матрицы в большинстве устройств отображения информации,
полимерные люминофоры заслуженно обращают на себя всё большее внимание многих исследователей
оптических свойств полимерных соединений. Обладая хорошими показателями
люминесценции в видимой области, полимеры всё чаще стали использоваться для
создания на их основе светодиодных устройств. Преимуществами таких устройств
являются энергоэффективность, хорошие яркость и контрастность, а также
безусловно их меньший размер в сравнении с обычными устройствами. Важной
проблемой продвижения в жизнь этой замечательной технологии является получение
полимерных материалов голубого свечения. Несмотря на то, что на сегодняшний
день ряд зарубежных фирм уже разработали серийный выпуск практически
полноцветных дисплеев на базе полимерных материалов, диоды синего свечения
по-прежнему являются узким звеном в данном технологическом процессе. Подобные
мониторы имеют высокую стоимость, а также небольшие размеры отображающей
площади, к тому же ещё не получено полимерных структур устойчивых к окислению,
так что на долговечность качественной работы таких устройств можно только
надеяться. Поэтому в настоящее время получение новых полимеров голубого
свечения является перспективнейшей задачей, которую пытаются решить многие
научные коллективы во всём мире.
В связи с вышесказанным, целью дипломной работы является синтез
разветвлённых растворимых полифениленов, перспективных для использования в
качестве активных слоёв в светоизлучающих приборах.
1.
Литературный обзор
На сегодняшний день достигнут значительный успех в изучении
физико-химических свойств органических соединений. В частности широко изучены
их люминесцентные свойства, такие как электролюминесценция, фосфоресценция,
фотолюминесценция и т.п. Исследование полупроводниковых свойств некоторых
органических соединений, как элементоорганической, так и полимерной природы,
показали перспективу их применения во многих областях жизнедеятельности. Одна
из наиболее интенсивно развивающихся областей - создание электролюминесцентных
устройств нового поколения: инжекционных светодиодов, солнечных элементов,
полевых транзисторов и устройств отображения информации (различные дисплеи,
телевизоры нового поколения, мониторы и т.п.).
Для того, чтобы соединение обладало флуоресценцией, оно должно содержать
достаточное количество π-электронов, делокализованных на некотором участке
молекулы [1]. Этим требованиям отвечают многие сопряженные и ароматические
низкомолекулярные и высокомолекулярные соединения, которые называют
люминофорами. Включение таких фрагментов в структуру полимера или синтез
целевых продуктов на их основе позволяет получать материалы, обладающими
свойством люминесценции и представляющие интерес для различного практического
применения.
Полимеры, обладающие свойством флуоресценции известны достаточно давно. В
50-х годах ХХ в. было обнаружено, что многие из природных полимеров - белков -
обладают свечением в области 280 - 360 нм, связанным с излучением света за счет
остатков ароматических аминокислот (триптофана, тирозина, фенилаланина) [2]. В
начале 60-х годов ХХ века советским химиком А.Н. Быковым были синтезированы
полиамиды и поликапролактамы, обладающие яркой окраской и флуоресценцией.
Поскольку полисопряженные молекулы чаще всего имеют низкую растворимость
в технологичных растворителях, то прогресс в области синтеза флуоресцентных
полимеров будет определяться, прежде всего, успехами в создании таких
соединений, которые могли бы легко перерабатываться в изделия, т.е. хорошо
растворялись бы в органических растворителях, а метод их синтеза был бы
технологичным и базировался бы на доступных исходных мономерах [3]. С целью
улучшения растворимости и снижения агрегации макромолекул, в них вводят
объемные боковые группы или получают разветвлённые полимеры.
Большой интерес представляют разветвлённые высокомолекулярные структуры,
на основе которых могут быть получены полимерные материалы, пригодные для
создания оптоэлектронных устройств. Несмотря на то, что соединения с
разветвленной структурой давно известны и часто встречаются в живой и неживой
природе, синтетические разветвленные полимеры до сих пор представляют собой
один из новых и малоизученных классов высокомолекулярных соединений. Один из
первых примеров получения разветвленных макромолекул относится к концу XIX
века, когда Берцелиус сообщил об образовании резины из винной кислоты и
глицерина. Но детальное исследование свойств и строения соединений этой группы
были начаты спустя более чем 100 лет - только в 90-е годы XX века, когда были
исследованы их флуоресцентные свойства [4].
В зависимости от вида ветвления, разветвленные макромолекулы можно
разделить на шесть классов (рисунок 1): дендримеры (а), линейно-разветвленные
гибриды (б), гребнеобразные полимеры (в), высокоразветвленные полимеры (г),
звездообразные полимеры (д) и привитые полимеры (е).
диод
никель полифенилен реакция
Рисунок
1 - Типы разветвлённых структур
Представители
первых трех классов имеют четко определенную структуру, в то время как для
последних трех классов ветвление носит случайный (статистический) характер. Для
получения разветвленных макромолекул с четко определенной структурой (рисунок
1, а - в) были разработаны многоступенчатые методы синтеза, требующие очистки
промежуточных продуктов на каждой стадии. Структура таких соединений
определяется числом поколений и функциональностью звеньев. Преимуществом
разветвленных полимеров (рисунок 1, г) является то, что они могут быть получены
в одну стадию. Однако поскольку такие соединения образуются случайным образом,
для характеристики их строения необходимо учитывать распределение по
молекулярной массе и числу ветвей.
Преимуществом
разветвленных флуоресцирующих макромолекул по сравнению с линейными является
то, что в них, за счет ветвления, снижено взаимодействие между группами
хромофора, что создает предпосылки для получения материалов со сниженной
вероятностью концентрационного тушения люминесценции, к тому же если рассматривать
ненасыщенные молекулы, то наличие π-электронов в таких соединениях выше на несколько порядков.
.1 Синтез
разветвлённых высокомолекулярных соединений
Для получения разветвленных органических и элементорганических соединений
- полифениленполигерманов, кремнийорганических дендримеров, сополиэфиримидов,
полифлуоренов, полифениленов - были использованы мономеры, уже содержащие
группы люминофора, которые взаимодействовали с сомономером, являющимся центром
ветвления. Описаны следующие методы получения разветвленных полимеров:
тримеризационная конденсация терминальных ацетиленов [5, 6], поликонденсация
2,3-бис(3-аминогидрокси-фенил)хиноксалин-6-карбоновой кислоты [7],
самоконденсация виниловых мономеров, реакция Гилча, через реактив Гриньяра,
«click»-полимеризация [8], радикальная полимеризация.
В последние два десятилетия для получения фениленовых разветвленных
структур, которые наиболее вероятно являются люминесцентными, широкое
распространение получили методы синтеза, в присутствии металло-комплексных
катализаторов (реакции кросс-сочетания: реакция Соногашира, реакция Стилле,
кросс-сочетание по Кумада и т.д.) [9], в результате которых образуется новая
связь углерод-углерод.
.2 Развитие
методик реакций кросс-сочетания
Создание связи углерод-углерод играет ключевую роль в синтезе многих
органических молекул. Так для синтеза многих полифениленов и полифлуоренов,
которые являются основными соединениями, на основе которых получается
полимерная матрица для диодов, используются реакции Соногаширы, катализируемые комплексами
палладия [10]. В 1970-х годах был открыт и изучен широкий спектр реакций
образования С-С связи, катализируемых комплексами палладия (реакции
кросс-сочетания, cross-coupling reaction), что позволило им стать необходимым
условием для получения связи С-С (углерод-углерод). В настоящий момент известны
разнообразные каталитические реакции с участием Pd(0).
Основные реакции данного типа представлены на схеме (рисунок 2), где 1 -
реакция Хека, 2 - реакция Стиле [11], 3 - реакция Негиши [12], 4 - реакция Сузуки
[13], 5 - реакция Соногаширы [14].
Реакциями кросс-сочетания синтезированы такие классы соединений, как
биарилы, стиролы, арилацетилены с участием соединений: лития и магния, цинка,
олова, а также органических производных бора.
Рисунок
2 - Основные реакции образования связи углерод-углерод с участием комплексов Pd
Миаура
(Miyaura) и Сузуки (Suzuki) в 1995 году предложили проводить реакцию
палладий-катализируемого кросс-сочетания арилгалогенидов с боралкенильными производными
в присутствии оснований[15]. Они показали, что при взаимодействии
стирил-1,3,2-бензодиоксаборола с бромбензолом в кипящем бензоле в присутствии
этилата натрия и комплекса тетракис(трифенилфосфин)палладий(0) образуется
стильбен (рисунок 3)
Рисунок
3 - Образование стильбена
В
отсутствии основания стильбен в данной реакции не образовывался. Таким образом,
добавление основания позволило использовать арил- и алкенилбораны в реакциях
кросс-сочетания , которые до этого в указанных реакциях считались инертными.
.2.1
Получение полимеров по реакции кросс-сочетания
Впервые реакцию кросс-сочетания для синтеза полимеров использовал в 1978
году Ямамото, когда он из 1,4-дибромбензола в присутствии комплексов
циклооктадиенил (дифенилфосфин)никель(0) и PdCl2(bpy) (бипиридилдихлорид
палладия(II)) получил нерастворимые п-фенилены со степенью полимеризации n
порядка 20 (из данных элементного анализа по брому) (рисунок 4)
Рисунок
4 - Получение n-фениленов со степенью полимеризации n≈20
А
уже в конце 80-х годов был получен уже растворимый п-фенилен co значением n
порядка 30 из 4-бром-2,5-ди-н-гексил-фенилборной кислоты в присутствии основания
и палладиевого катализатора (рисунок 5)
Рисунок
5 - Получение n-фениленов со степенью полимеризации n≈30
Благодаря
своей простоте и высоким выходам эти методики стали основными в химии линейных
и разветвленных ароматических макромолекул.
Разветвленные
полимеры получают методами различных конденсацией мономеров, функциональность
хотя бы одного из которых больше двух. Впервые разветвленные полифенилены с
использованием методов металло-комплексного катализа получили в 1988 году Ким и
Вебстер по реакции конденсации одного мономера AB2-типа (1 или 2, рисунок 6)
при использовании в качестве катализатора трифенилфосфиновых комплексов Pd и Ni
(полимеры 3 и 4 соответственно) [16, 17, 18].
Рисунок
6 - Получение разветвлённых полифениленов 3 и 4 по реакции гомополиконденсации
одного мономера «А2В»-типа
Среднечисловые
молекулярные массы (Mn) полученных соединений составили примерно 3 900 Da.
Аналогичные синтезы были проведены на основе производных трифениламина 5 и 6
(рисунок 7). Ими были получены разветвленные полимеры 7 и 8, средневесовые
значения молекулярных масс (Mw) которых составили 9 800 и 169 000 Da (т.е.
содержащие примерно 23 и 143 звена соответственно). Таким образом, в условиях реакции
Сузуки удалось получить более высокие значения молекулярных масс по сравнению с
полимерами, синтезированными ранее через реактив Гриньяра (Mw
порядка 4 000 Da), а также в условиях реакции Негиши (Mw порядка 24 400
Da ).
Рисунок
7 - Получение разветвлённых полимеров 7 и 8 по реакции Сузуки «А2В»-типа
В
дальнейшем для получения разветвленных полифениленов большее развитие получила
конденсация двух и более сомономеров. При этом большинство полимеров получено в
условиях реакции Сузуки - при взаимодействии арилгалогенидов c ароматическими
борными кислотами (или их эфирами) при использовании комплексов Pd(0) или
Pd(II) в качестве катализатора и 2М водного раствора карбоната натрия или калия
в качестве основания.
В
литературе описаны способы синтеза разветвленных полимеров при различном
сочетании двух и более сомономеров, функциональность одного из которых не менее
трех (An, где n≥3), а у остальных она равна двум (А2, В2 и т.д.). Так синтезированы
разветвленные полифлуорены 15 - 19 по реакции Сузуки «А3+В2»-типа (рисунок 8).
Mw этих полимеров были определены методом
гель-проникающей хроматографии и составили примерно 15 000 - 19 000 Da.
Поскольку в реакциях такого типа возможно образование сшитых нерастворимых
макромолекул, реакцию заканчивали за несколько минут до точки гелеобразования
(через 30 мин. для олигомеров 17 и 18 и через 315 мин для 19).
Рисунок
8 - Получение разветвлённых полимеров 15-19 по реакции Сузуки «А3+В2»-типа
Аналогичным
образом по реакции Сузуки были получены разветвленные полиариленсиланы 24 - 27
(рисунок 9), Mw которых составили 3 500 - 7 500 Da.
Рисунок
9 - Получение разветвлённых полимеров 24-27 по реакции Сузуки «А4+В2»-типа
Поскольку
при концентрации тетрафункционального мономера 0,5 - 1 М был получен полностью
нерастворимый полимер, для получения растворимых макромолекул реакции проводили
при пониженной концентрации тетрафункционального мономера (0,005 М). Было
отмечено, что в одних и тех же условиях полимер 25 имел более низкое значение Mw (~3
500 Da) по сравнению с 24 (~7 500 Da), поэтому для получения полимера 26 с
более высокой молекулярной массой время реакции было увеличено в два раза, до 8
ч.
В
соответствии со схемой реакции межузловые фрагменты в структуре образующихся
макромолекул имеют постоянную длину.
В
литературе также описаны способы синтеза разветвленных полифлуоренов, в которых
в процессе полимеризации могут образовываться межузловые фрагменты различной
длины. Такая ситуация возникает, например, при использовании реакции Сузуки
«AnB+AB»- или «Аn+В2+А2»-типа. Это затрудняет установление корреляций
«структура-свойства» для синтезируемых соединений. Сообщается [19] о синтезе разветвленных
полифлуоренов 30 - 32 при взаимодействии 3,5-дибромфенилборной кислоты 28
(A2B-мономер) с 7-бром-9,9-диоктилфлуорен-2-борной кислотой 29 (AB-мономер),
взятых в различных соотношениях (100:5, 100:15 и 100:40 соответственно, рисунок
10).
Рисунок
10 - Получение разветвлённых полифлуоренов 30-32 с межузловыми фрагментами
различной длины по реакции Сузуки «А2В+АВ»-типа
Количество
остаточного брома для полимеров 30 - 32 по данным элементного анализа составило
порядка 3%, а их Mw составили 40 000 - 130 000 Da. По данным 1Н
ЯМР-спектроскопии степень ветвления этих полимеров (сигналы протонов
1,3,5-тризамещенного бензольного кольца находятся в области λ = 7,80 м.д.), возрастает с увеличением доли
трифункционального мономера и составляет 27% для полимера 32. Вен (Wen) c
сотрудниками сообщают [20] о получении по реакции Сузуки «А3+B2+А2»-типа
разветвленных полифлуоренов 37 и 38 при взаимодействии
2,7-дибром-9,9’-диоктилфлуорена 36 (A2-мономер) и 9,9’-диоктилфлуорен-2,7-бис(триметиленобороната)
14 (В2-мономер) с 2,4,6-трифенил-1,3,5-триазином 33 (В3-мономер) (рисунок 11),
сомономеры 36, 14 и 33 были взяты в двух мольных соотношениях - 5:6.5:1
(полимер 37) и 10:11.5:1 (полимер 38).
Рисунок
11 - Получение полифлуоренов 37-42 с межузловыми фрагментами различной длины по
реакции Сузуки «А3+В2+А2»-типа
Значения
Mw полимеров 37 и 38 составили 48 000 и 52 500 Da, а степень ветвления - 11% и
6% соответственно (сигналы протонов 2,4,6-трифенил-1,3,5-триазиновых фрагментов
в структуре этих полимеров расположены в области λ = 8,90 м.д.). Этой же группой исследователей был
использован также другой трифункциональный мономер -
2-(4-бромфенил)-5-(3,5-дибромфенил)-1,3,4-оксадиазол 34. Аналогичную работу
провел Ву (Wu) [21], который в качестве трифункционального мономера
использовал 3,6-дибром-9-(4-бромфенил)-9Н-карбазол 35.
В
этих работах были получены примерно такие же значения Mw и степени
ветвления, как и для полимеров 37 и 38 [22].
Проведенный
анализ работ, посвященных получению разветвленных полимеров, позволяет
заключить, что данная область химии ВМС является новой и динамично
развивающейся. К настоящему времени получен ряд разветвленных ароматических
полимеров различного строения. К сожалению, во многих случаях не удается
получить растворимые макромолекулы с высокими значениями молекулярных масс,
поскольку часто увеличение молекулярной массы приводит к образованию
нерастворимых продуктов. Другой нерешенной проблемой является определение
молекулярной структуры получаемых полимеров (в частности, определение
соотношения центров ветвления, межузловых фрагментов и концевых групп). Решению
этих вопросов могли бы способствовать спектральные исследования, в частности
методы ЯМР-спектроскопии, спектрофотометрии и различные методы исследования
люминесценции.
.3
Светоизлучающие диоды
Для создания органических светодиодов (OLED) используются тонкопленочные
многослойные структуры, состоящие из слоев нескольких полимеров. При подаче на
анод положительного относительно катода напряжения, поток электронов протекает
через прибор от катода к аноду. Таким образом, катод отдает электроны в
эмиссионный слой, а анод забирает электроны из проводящего слоя, или другими
словами анод отдает дырки в проводящий слой. Эмиссионный слой получает
отрицательный заряд, а проводящий слой положительный. Под действием
электростатических сил электроны и дырки движутся навстречу друг к другу и при
встрече рекомбинируют. Это происходит ближе к эмиссионному слою, потому что в
органических полупроводниках дырки обладают большей подвижностью, чем
электроны. При рекомбинации происходит понижение энергии электрона, которое
сопровождается испусканием (эмиссией) электромагнитного излучения в области
видимого света. Поэтому слой и называется эмиссионным.
Прибор не работает при подаче на анод отрицательного относительно катода
напряжения. В этом случае дырки движутся к аноду, а электроны в противоположном
направлении к катоду, и рекомбинации не происходит.
В качестве материала анода обычно используется оксид индия, легированный
оловом. Он прозрачный для видимого света и имеет высокую работу выхода, которая
способствует инжекции дырок в полимерный слой. Для изготовления катода часто
используют металлы, такие как алюминий и кальций, так как они обладают низкой
работой выхода, способствующей инжекции электронов в полимерный слой.
Органический светодиод, как правило, это анод, катод, слой чистого
люминофора или с примесями, добавляемыми для повышения квантового выхода и как
следствие лучшей работы диода. Слой между анодом и катодом стараются сделать
максимально тонким, не превышающим 100 нм по толщине. Обычно, если в качестве
примера приводить простейший диод, роль подложки играет стекло с уже нанесённым
слоем анода из оксида сплава индия и олова (ITO), преимуществом которого является его прозрачность.
Далее на специальной установке методом вращательного нанесения, для
равномерного распределения анод покрывается слоем люминофора, который затем
покрывается т.н. маской с необходимым числом отверстий для получения
соответствующего количества пикселей, на которую затем путём напыления наносят
слой катода с рассчитанными характеристиками. Сверху катод покрывают обычно
эпоксидной смолой или другим изолирующим материалом для исключения доступа
кислорода и влаги. После к полученным пикселям прикрепляют серебряные провода,
по которым подводят ток к светодиоду. На рисунок12 представлена модель
светодиода, в котором вещества эмиттеры (зелёный, красный и голубой) уложены
параллельно, однако возможно и послойное нанесение друг на друга слоёв
люминофора.
Применение полимерных люминофоров, даёт возможность уменьшить толщину
слоя между анодом и катодом, вследствие предрасположенности полимеров к
пленкообразованию и как следствие уменьшения размеров конечных продуктов.
Основным элементом электролюминесцентного диода на основе полимеров
служит полимерная плёнка, помещенная между двумя электродами, из которых катод
инжектирует электроны (носители n-типа), а анод - дырки (носители p-типа).
Практически всегда помимо элементоорганической или полимерной матрицы в диоде
можно встретить слои вспомогательных веществ, предназначенных для более
эффективного ввода (инжекции) носителей заряда, для чего в слой люминофора
между ним и электродами встраивают дополнительные слои с электронной или
дырочной проводимостью [23, 24, 25]. При приложении напряжения электроны и
дырки движутся от противоположных электродов, а электроны рекомбинируют [26]
при этом с излучением света.
Рисунок 12 - Схема органического светодиода
Полимерные слои в таких устройствах имеют принципиальные преимущества по
сравнению с неорганическими и низкомолекулярными органическими слоями - это
технологическая простота их получения, значительно меньший размер - они гораздо
тоньше «жидких кристаллов» и возможность достаточно просто формировать
электронные схемы и, как следствие, более низкая стоимость изготавливаемых
изделий.
.3.1
Преимущества и недостатки
Преимущества в сравнении c плазменными дисплеями:
· меньшие габариты и вес
· более низкое энергопотребление при той же яркости
· возможность создания гибких экранов
· В сравнении c жидкокристаллическими дисплеями:
· меньшие габариты и вес
· отсутствие необходимости в подсветке
· отсутствие такого параметра как угол обзора - изображение
видно без потери качества с любого угла
· мгновенный отклик (на порядок выше, чем у LCD) - по сути
полное отсутствие инерционности
· более качественная цветопередача (высокий контраст)
· возможность создания гибких экранов
· большой диапазон рабочих температур (от −40 до +70 °C)
Яркость.дисплеи обеспечивают яркость излучения от нескольких кд/м2 (для
ночной работы) до очень высоких яркостей - свыше 100 000 кд/м2, причем их
яркость может регулироваться в очень широком динамическом диапазоне. Так как
срок службы дисплея обратно пропорционален его яркости, для приборов
рекомендуется работа при более умеренных уровнях яркости до 1000 кд/м2. При
освещении LCD-дисплея ярким лучом света появляются блики, а картинка на
OLED-экране останется яркой и насыщенной при любом уровне освещенности (даже
при прямом попадании солнечных лучей на дисплей).
Контрастность.
Здесь OLED также лидер. OLED-дисплеи обладают контрастностью 1000000:1
(Контрастность LCD 1300:1, CRT 2000:1)
Углы обзора.
Технология OLED позволяет смотреть на дисплей с любой стороны и под любым
углом, причем без потери качества изображения. Впрочем, современные ЖКИ дисплеи
(за исключением основанных на TN+Film матрицах) также сохраняют приемлемое
качество картинки при больших углах обзора.
Недостатки.
· маленький срок службы люминофоров некоторых цветов (порядка 2-3 лет)
· как следствие первого, невозможность создания долговечных
полноценных TrueColor дисплеев
· дороговизна и неотработанность технологии по созданию больших
матриц.
Главная проблема для OLED - время непрерывной работы должно быть более 15
тыс. часов. Одна проблема, которая в настоящее время препятствует широкому
распространению этой технологии, состоит в том, что «красный» OLED и «зелёный»
OLED могут непрерывно работать на десятки тысяч часов дольше, чем «синий» OLED.
Это визуально искажает изображение, причем время качественного показа
неприемлемо для коммерчески жизнеспособного устройства. Хотя сегодня «синий»
OLED всё-таки добрался до отметки в 17,5 тыс. часов непрерывной работы.
При этом для дисплеев телефонов, фотокамер и иных малых устройств
достаточно 5 тысяч часов непрерывной работы. Поэтому в них OLED успешно
применяется уже сегодня.
Можно считать это временными трудностями становления новой технологии,
поскольку разрабатываются новые долговечные люминофоры. Также растут мощности
по производству матриц. Потребность в преимуществах, демонстрируемых
органическими дисплеями с каждым годом растёт. Этот факт позволяет заключить, что
в скором времени человечество увидит расцвет данной технологии.
.3.2
Применение OLED
На сегодняшний день OLED-технология применяется многими разработчиками
узкой направленности, например, для создания приборов ночного видения. Дисплеи
OLED встраиваются в телефоны, цифровые камеры и другую технику, где не
требуется большого полноцветного экрана. Такие дисплеи широко применяются в
мобильных телефонах, GPS-навигаторах, для создания приборов ночного видения.
Органические дисплеи встраиваются в телефоны, цифровые фотоаппараты,
автомобильные бортовые компьютеры, коммерческие OLED-телевизоры, выпускаются
небольшие OLED-дисплеи для цифровых индикаторов, лицевых панелей автомагнитол,
MP3-плееров и т. д.
Также есть и мониторы на основе органики (Epson, Samsung - достигнут
40" предел).
В 2013 году компания LG
представила первый в мире OLED телевизор. OLED (Organic Light-Emitting Diode) -
органический светоизлучающий диод. Светодиодный экран данного телевизора сделан
на основе технологии 4-х цветного пикселя (белый/красный/зелёный/синий).
Светодиодный экран - устройство отображения и передачи визуальной информации, в
котором каждой точкой, пикселем являются светодиоды - небольшие
полупроводниковые приборы, излучающие свет при прохождении электрического тока.
.3.3 Голубые
эмиттеры
Важной проблемой для OLED
является сложность получения эмиттеров, обладающих свечением в голубой области
(430-460 нм). Так для OLED
устройств была синтезирована серия соединений со свечением в голубой области на
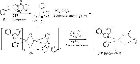
основе иридиевого (3) комплекса с одним постоянным лигандом - N-оксидом пиколиновой кислоты [27].
Были изучены их фотофизические, электрохимические и электролюминесцентные (ЭЛ)
свойства. Было выяснено, что когда в качестве двух остальных лигандов были
использованы молекулы 2,4 - дифенилхинолина (DPQ), то для полученного комплекса
(рисунок 13) ЭЛ составила 26,9 кд/А, что эквивалентно внешнему квантовому
выходу (ВКВ) в 14,2 %.
Рисунок 13 - Получение ди(2,4-дифенилхинолина)иридий(3) N-оксида
пиколиновой кислоты
Также был получен комплекс иридия (3) в качестве лигандов в котором
выступали 2 молекулы 4-фенил-2-(2,3,4,5-тетрафлуорофенил)хинолин (F4PPQ)
(рисунок14)
Рисунок 14 Получение 4-фенил-2-(2,3,4,5-тетрафлуорофенил)хинолина
иридия(3) N-оксида пиколиновой кислоты
Ещё одно производное было получено по реакции с
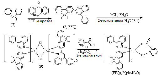
2-(9,9-диэтил-9H-флуорен-2-ил)-4-фенилхинолином (FPQ) (рисунок15)
Рисунок 15 - Получение 2-(9,9-диэтил-9H-флуорен-2-ил)-4-фенилхинолина
иридия (3) N-оксида пиколиновой кислоты
Все
полученные комплексы иридия (III) оказались перспективными для создания диодов
голубого свечения на их основе, благодаря их электрохимической и термической
стабильности, лёгкости преодоления энергетической щели экситоном и коротким
периодом существования данных соединений в возбуждённом состоянии.
Китайскими
совместно с корейскими учёными [28] были получены и изучены люминесцентные
свойства комплексов иридия в которых высокие квантовые выходы (свыше 20%)
достигались за счёт комбинации лигандов новых, недавно полученных и уже хорошо
извесных, таких как: Ir (III) бис[(4,6-дифлуорофенил)пиридинато-N,C 20]пиколината
(FIrpic), Ir (III)
бис(40,60-дифлуорофенилпиридинато)тетракис(1-пиразолил)бората (FIr6) и Ir (III)
бис((3,5-дифлуоро-4-цианофенил)пиридин)пиколината (FCNIrpic) и т.д.[29, 30, 31,
32, 33] На рисунок16 представлены иридиевые комплексы с хорошим глубоко-голубым
свечением отвечающие общей формуле: Ir(C^N)2(L^X), где C^N это два лиганда
20,60-дифлуоро-2,3’-бипиридина (dfpypy) [34], а L^X это чередуемые лиганды, в
данном случае: пиколинат (1), ацетилацетонат (2) и дипивалоилметаноат (3).
Рисунок
16 - Структуры комплексов 1, 2 и 3
Соединения
показали средние показатели эффективности свечения (ВКВ = 10-15%) [35] и
продемонстрировали чистое голубое свечение, благодаря чему они могут являться
хорошими голубыми эмиттерами.
.3.4 OLED синего свечения на основе полимеров
Наряду с соединениями элементоорганической природы, в состав которых
могут входить атомы переходных металлов и редкоземельных элементов,
перспективным материалом для создания матрицы светодиодов могут служить полимеры
и мономеры, обладающие люминесценцией. Использование высокоразветвлённых
полимеров, таких как полифенилены и полифлуорены с хорошими плёнкообразующими
свойствами облегчают технологический процесс. Основная проблема полимерных
люминофоров, также как и элементоорганических, заключается в том, что получение
высокоэффективного полимерного люминофора голубого свечения затруднено в силу
физико-химических особенностей голубого свечения. Однако последние исследования
в этой области дают полагать, что полимерные материалы могут стать основной
концепцией LED. В настоящее время основному
изучению подвергнуты три класса полимеров это полифенилены, полифлуорены и
полифениленвинилены.
Первое PLED устройство на основе соединения
полифлуоренового ряда было изготовлено и прошло испытания в 1991 году [36, 37].
Этим соединением было поли(9,9-ди-н-гексилфлуорен) (PDHF) (1) (рисунок 17). Графики электролюминесценции PDHF показали максимум испускания образца
при 470 нм с плечом в области 420 нм, что соответствует голубой области
спектра. Поли(9,9-ди-н-гексилфлуорен) обладал средним значением растворимости в
органических растворителях и в дальнейших исследованиях было выяснено, что при
замене одного из гексильных заместителей в 9 положении на алкильную цепь,
растворимость повышалась. Полифлуорены замещённые в 9 положении одним
циклогексильным звеньем (2) а также двумя гексадецильными звеньями (3) давали
изменение значения температуры стеклования соединений (Tg), но изменений в их фотолюминесцентных спектрах обнаружено
не было[38].
Рисунок 17 - Структуры 1-PDHF; 2- поли(9-н-гексил-9’-Н-флуорена); 3-
поли(9,9’-ди-н-гексадецилфлуорена)
Ещё два производных полифлуоренов - поли(9,9’-диоктилфлуорен) (4) и
поли[9,9’-бис(3,6-диоксагептил)-флуорен] (5), представленные на рис были
получены и исследованы в ходе данной работы.
Рисунок 18 Структуры 4- поли(9,9’-диоктилфлуорена); 5-
поли[9,9’-бис(3,6-диоксагептил)-флуорена]
Максимум на графике люминесценции зафиксирован в области 436 нм (голубая
область), квантовый выход фотолюминесценции для соединения составляет около
55%.
В плёночном состоянии фотолюминесцентный максимум для
поли(9,9’-диоктилфлуорен) составил 436 нм. Внешний квантовый выход (ВКВ) PLED устройства на его основе составил
около 0,2%, позволивший предположить, что причиной такого низкого ВКВ может
являться обратимое окисление соединения.
Поли[9,9’-бис(3,6-диоксагептил)-флуорен] хорошо растворяется во многих
органических растворителях. Раствор поли[9,9’-бис(3,6-диоксагептил)-флуорена]
проявил слабый эффект сольватохромизма (с увеличением полярности растворителя
лучше стабилизируется более полярная структура). Также в ходе работы было
выяснено, что полиэфирные заместители в положении 9 обеспечивают ионную проводимость,
необходимую для эффективной работы светоизлучающих электрохимических ячеек. На
фотолюминесцентных спектрах раствора поли[9,9’-бис(3,6-диоксагептил)-флуорена]
в ТГФ с фотовозбуждением при 367 нм, максимум квантового выхода составил около
77%, что является довольно хорошим результатом. Триплетная энергия флуоренового
фрагмента находится на уровне 2,95 эВ, что ограничивает молекулярный дизайн
производных флуоренового ряда. Реакции бромирования в 2 и 7 положениях молекулы
являются малоперспективными, поскольку повышают внутреннее сопряжение, но
уменьшают триплетную энергию. В подтверждение предположения о том, что
единственным вариантом добиться высоких значений триплетной энергии флуоренов
это замещение в 9 положении, был получен и исследован ряд его производных [39].
Так соединения 1,3-бис(9-фенил-9H-флуорен-9-ил)бензол (mDPFB, 6) и 1,4-бис(9-фенил-9H-флуорен-9-ил)бензол (pDPFB, 7) (рисунок19) обладали высоким
значением триплетной энергии (выше 2,8эВ) [40], однако их температура
стеклования была ниже 100ºС, а шероховатость поверхности имела значение около 1
нм, несмотря на её аморфность.
Устройства
на основе pDPFB с примесью Ir (III)
бис(40,60-дифлуорофенилпиридинато)тетракис(1-пиразолил)борат (FIr6)
обладают квантовой эффективностью около 24,3 кд/А.
Рисунок
19 - Структуры 1,3-бис(9-фенил-9H-флуорен-9-ил)бензола (6) и
1,4-бис(9-фенил-9H-флуорен-9-ил)бензола (7)
Комбинирование
соединения на основе флуорена и карбазола были получены и изучены. Связь
карбозольных звеньев в этих соединениях осуществляется через sp3
гибридизованный атом углерода флуорена, так чтобы избежать сопряжения, например
такого, какое есть в фенил-фенильной связи между флуореновыми фрагментами, что
в итоге понижает триплетную энергию молекулы. Триплетная энергия соединений
9-фенил-3,6-бис(9-фенилфлуорен-9-ил)карбазол (CBZ1-F2,
8), 9-фенил-3-(9-фенилфлуорен-9-ил)карбазол (CBZ1-F1,
9), 9,9-бис(9-фенилкарбазол-3-ил)флуорен (CBZ2-F1,
10) и 9,9-бис[3-(9-фенилфлуорен-9-ил)-9-фенилкарбазол-6-ил]флуорен (CBZ2-F3,
11) (рисунок 20) превышает 2,85эВ из-за прерывания сопряжения в молекуле между
карбазолом и флуореном [41]. Полученные соединения имеют хорошие показатели
температуры стеклования 108-231ºС, что
обуславливает их перспективность использования как голубых эмиттеров.
Рисунок
20 - Структуры 8 - CBZ1-F1; 9 - CBZ1-F2; 10 - CBZ2-F1; 11 - CBZ2 - F3
Группа
шведских учёных [42] добивается хороших показателей фотолюминесценции
синтезируемых ими соединений, путём замещения в 9 положении полифлуоренов
алкоксифенильными заместителями, а также варьированием содержания в соседнем
фрагменте полифлуорена трифениламиновых заместителей (0%, 10%, 25% и 50%). В
данном случае учёные утверждают, что трифениламиновые заместители, в зависимости
от содержания в цепи, выступают в качестве сегментов улучшающих дырочную
проводимость. Все полимеры: P0, P1, P2 и P3 (рисунок 21) получаются по реакции кросс-сочетания
Сузуки, катализируемой комплексом палладия Pd(PPh3)4.
Рисунок
21 - Структуры полимеров Р1, Р2, Р3 и Р0
Спектры
фото- и электролюминесценции этих соединений имели интенсивное поглощение в
голубой области спектра. ВКВ электролюминесценции светодиодов на основе P1
оказался наилучшим, он намного превышал ВКВ светодиодов на основе P2 и P3 и
в 6 раз - диодов на основе P0.
В
последние два десятилетия полифенилены превратились в наиболее
быстроразвивающуюся область проводящих полимеров и используются во многих
органических электронных устройствах [43,44]. Поли-п-фенилены (Poly-para-phenylene, PPP) являются самыми простыми и в то же время одними из
самых важных сопряжённых полимеров, а их производные начали исследоваться в
50-е годы 20 века [45, 46]. Тот факт, что не замещённые полифенилены являются
нерастворимыми, сильно ограничивает их использование. Введение боковых
заместителей в боковую цепь для повышения растворимости, действительно улучшает
их растворимость, но в тоже время увеличивается угол вращения соседних звеньев
относительно друг друга, что нарушает сопряжение [47]. Для повышения сопряжения
используются несколько методов включающих использование фениленвиниленов в
основной цепи и полное или частичное разделение фениленовых фрагментов
углеродным или гетероатомом (Si, N). Это дало огромный толчок развитию линейных
полифениленов, таких как полифениленвинилены (poly-phenylenvinylene, PPV) и лестничных поли-п-фениленов (Ladder-type Poly-para-phenylene, LPPP). Вышеуказанные методы могут позволить уменьшать угол
взаимного вращения звеньев в скелете, а также повышать растворимость и
стабильность конечных полимеров. Так соединения первого типа (рисунок1) имеют
хорошую термическую стабильность и большую разницу между ВЗМО и НСМО порядка
3,5 эВ и поэтому перспективны для использования в качестве голубых эмиттеров.
Соединения второго типа (рисунок1) демонстрирует хорошую растворимость, однако
для них зафиксированы эмиссионные сдвиги в УФ область.
Соединения
третьего типа - незамещённые полифениленвинилены (рисунок 22) изначально
использовались как электролюминесцентные полимеры для широкоформатных устройств
с эмиссией в жёлто-зелёной области [48]. Позже исследования этих соединений
заключались в основном на достижении их высокой растворимости, за счёт введения
боковых заместителей в основную цепь (метод Гилча [49]), вследствие чего
перспективность полифениленвиниленов, как голубых эмиттеров, значительно
возросла.
Рисунок
22 - Структуры поли-п-фениленов и полифениленвиниленов
Рисунок
23 - Структуры 4 - MEH-PPV и 5 - CN-PPV
Среди
большого разнообразия полифениленов особо примечательны разветвлённые
полифенилены (РПФ) в виду их структурной упорядоченности и высокой термической
стабильности [52, 53, 54]. На сегодняшний день используются три основных метода
для синтеза РПФ: синтез по реакции Дильса-Альдера, когда взаимодействуют
этинильные и циклопентадиенильные фрагменты ароматических молекул;
циклотримеризация диэтинильных [55] или диацетилароматических соединений;
синтез по реакциям кросс-сочетания, катализируемых комплексами переходных металлов,
с образованием новой связи С-С.
Так
немецкими химиками был синтезирован полимер с высоким значением средней
молекулярной массы, по реакции Дильса-Альдера, представленной на рисунок 24
Рисунок
24 - Синтез РПФ по реакции Дильса-Альдера
Интересно
отметить, что полученный полимер хорошо растворялся в толуоле и бензоле,
несмотря на очень плотное расположение бензольных фрагментов [56]. Выяснилось,
что такие полифенилены имеют низкую эффективность люминесценции, вероятно в
связи с отсутствием сопряжения на п-фениленовых участках цепей. Поэтому был
сделан вывод, что залог хороших показателей люминесценции для полифениленов это
высокое сопряжение фрагментов в молекуле.
Таким
образом, анализ литературных данный показал, что развитие новых методик синтеза
полимеров, обладающих люминесцентными свойствами, а также более глубокое и
детальное изучение их структуры и оптических свойств является перспективным
направлением в химии.
2. Обсуждение
результатов
.1 Синтез
исходного мономера методом циклоконденсации моноацетилароматических соединений
Циклоконденсация моноацетилароматических соединений - наиболее простой и
надежный способ синтеза разветвленных циклотримеров. В результате этой реакции
генерируется новое 1,3,5-трифенилзамещённое бензольное ядро.
Тримеризационной циклоконденсацией 4-бромацетофенона в присутствии
орто-муравьиного эфира и газообразного хлористого водорода был синтезирован
мономер - 1,3,5-трис(п-бромфенил)бензол (1) (схема 1). Хлористый водород
получали непосредственно в ходе реакции прикапыванием серной кислоты на сухой
хлорид натрия. Свойства соединения 1 представлены в таблице1.
Схема
1 - Получение 1,3,5-трис(п-бромфенил)бензола (1)
Таблица
1 - Свойства 1,3,5-трис(п-бромфенил)бензола (1)
|
Соединение
|
Тпл , оС
|
M: m
|
Элементный анализ,
найдено/вычислено, %
|
|
|
|
|
С
|
Н
|
Br
|
|
1
|
267-270
|
543
|
53,48 53,04
|
3,08 2,76
|
43,48 44,20
|
|
|
|
|
|
|
|
Проведённый ИК-спектроскопический анализ подтвердил наличие
соответствующих групп в фениленовом циклотримере. Соответствующий ИК-спектр
циклотримера 1 приведён на рисунке 25
Рисунок 25 - ИК-спектр для 1,3,5 - трис(п-бромфенил)бензола
Полоса 1595 см-1 показывает валентное С-С колебание бензольного кольца,
характерное для 1,3,5-замещённых молекул бензола;
см-1, 1440 см-1 и 1380 см-1 - относятся к колебаниям С-С связей фенильных
колец;
см-1 и 1007 см-1- это плоские деформационные колебания С-Н связей
фенильных колец. Отнести однозначно колебание связи С-Br затруднительно вследствии нехарактеристичности этого
колебания, т.к. оно попадает в область скелетных колебаний.
Также полученное соединение было охарактеризовано методом
ЯМР-спектроскопии. В спектре ПМР мономера 1 (рисунок 26) можно четко отнести
сигналы протонов центрального бензольного кольца (синглет при 7,71 м.д.), а
также сигналы, характеризующие 1,4-замещенное бензольное кольцо: дублет при
7,44 - 7,56 м.д. (о-положение) и дуплет при 7,62-7,65 м.д. (м-положение).
Рисунок 26 - ПМР-спектр 1,3,5 - трис(п-бромфенил)бензола (1)
Масс-спектр соединения 1 (M = 543) представлен на рисунке 27
Рисунок 27 - Масс-спектр соединения 1
2.2 Получение
разветвлённых полифениленов
.2.1 Синтез
разветвлённых полифениленов по реакции Сузуки
Синтез разветвленного полифенилена P1 был осуществлен по реакции Сузуки взаимодействием
трибромароматического соединения (1) с биспинаколовым эфиром 1,4-фенилдиборной
кислоты (2) (схема 2)
Схема
2 - Получение полимера P1
Синтез
полимера Р1 проводили в ДМФА в присутствии водного ацетата калия в качестве
основания и PdCl2[dppf] в качестве катализатора (рисунок 28).
Рисунок
28 - [1,1′бис(дифенилфосфино)ферроцен]палладия(II) дихлорид PdCl2[dppf]
Молекулярную массу полимера лимитировали исходным мольным соотношением
сомономеров (1:1,5 соответственно), при этом полифенилен содержал концевые
бром-группы. Случайный характер образования разветвленных полимеров в одну
стадию характеризуется наличием большого количества непрореагировавших
(остаточных) функциональных групп, которые способствуют снижению эффективности
люминесценции. Поэтому очень часто с целью предотвращения процесса
гелеобразования и повышения эффективности люминесценции на второй стадии
синтеза полимера в реакционную среду вводят монофункциональные соединения,
блокирующие реакционноспособные группы полимера. Поэтому на второй стадии
синтеза в зону реакции была добавлена монофункциональное соединение -
фенилборная кислота, после чего реакция продолжалась еще 6 часов.
Для определения строения полимера использовали ЯМР спектроскопию. В
спектре ПМР (1Н ЯМР) для ароматической части молекулы разветвленного
полифенилена Р1 (рисунок 29), четко можно отнести сигналы протонов
1,3,5-замещенного бензольного кольца (синглет при 7,92 м.д.), а также сигналы,
характеризующие внешнее бензольное кольцо: триплет при 7,40-7,42 м.д.
(п-положение) и триплет при 7,49-7,52 м.д. (м-положение).
Рисунок 29 - ПМР спектр полифенилена Р1
Полученный полимер был растворим в толуоле, ТГФ, ДМФА, хлороформе. По
данным элементного анализа количество остаточного брома составило 17,58 %.
Полученный полимер Р1 также был охарактеризован ИК-спектроскопическим
анализом (рисунок 30)
Рисунок 30 - ИК-спектр Р1
Полосы в области 1490 см-1 и 1595 см-1 соответствуют валентным колебаниям
С-С связи фенильных фрагментов.
Полосы в области 3027 см-1 отвечают за валентные колебания С-Н связей
фенильных фрагментов.
Полосы в области 1075 см-1 и 1008 см-1 относятся к плоским деформационным
колебаниям С-Н связи фенильных фрагментов молекулы.
Полоса поглощения 812 см-1 - неплоские деформационные колебания С-Н
связи, соответствующие колебаниям в 1,4 дизамещённых фенильных фрагментах.
Разветвлённый полифенилен Р2 также был получен по реакции Сузуки,
взаимодействием 1,3,5-трис(п-бромфенил)бензола (1) с биспинаколовым эфиром
1,4-фенилдиборной кислоты (2), а также с трис(п-бромфенил)амином (3) (схема 3):
катализируемой комплексом палладия PdCl2[dppf].
Схема
3 - Получение полимера P2
Соединение
Р2 также обладало хорошей растворимостью в ДМФА, ТГФ, хлороформе.
Полученный
полимер Р2 был охарактеризован ИК-спектроскопическим анализом (рисунок 31)
Рисунок
31 - ИК-спектр соединения Р2
Полосы
поглощения связей С-Н и С-С аналогичны полосам поглощения ИК-спектра полимера
Р1.
Полосы
в области 1380 см-1 и 1449 см-1 соответствуют скелетным валентным колебаниям
связи С-N молекулы.
Для
разветвлённого полифенилена Р2 также был получен ПМР-спектр (рисунок 32)
Рисунок
32 - ПМР-спектр ароматической части полифенилена Р2
.2.2 Синтез
разветвлённых полифениленов по реакции гомополиконденсации, катализируемой
комплексами никеля
Полимер Р3 был получен по реакции гомополиконденсации между соединениями
1 и 3 (схема 4):
Схема
4 - Синтез полифенилена Р3
В
качестве растворителя использовали ДМФА, а лигандами для NiCl2
выступали молекулы PPh3. Полученный разветвлённый полифенилен содержал
концевые бром-группы, которые ухудшают люминесцентные свойства соединений.
Поэтому для их удаления на второй стадии реакции в реакционную среду добавляли
бромбензол, который заменяет галогеновые фрагменты на фенильные, тем самым
увеличивая сопряжение в молекуле.
Полученный
полимер Р3 был исследован ИК-спектроскопическим анализом (рисунок 33).
Полосы
в области 1488 см-1 и 1592 см-1 соответствуют валентным колебаниям С-С связи
фенильных фрагментов.
Полосы
в области 3030 см-1 отвечают за валентные колебания С-Н связей фенильных
фрагментов.
Полосы
в области 1073 см-1 и 1006 см-1 относятся к плоским деформационным колебаниям
фенильных фрагментов молекулы.
Полоса
поглощения 817 см-1 - неплоские деформационные колебания С-Н связи,
соответствующие колебаниям в 1,4-дизамещённых фенильных фрагментах.
Полосы
в области 754 см-1 и 696 см-1 относятся к деформационным неплоским колебаниям
С-Н связи бензольного кольца, характерным для 1,3,5-тризамещённых производных
бензола.
Полосы
поглощения 1276 см-1 и 1314 см-1 отвечают за скелетные валентные колебания С-С
связи между фенильными кольцами.
Рисунок
33 - ИК-спектр полифенилена Р3
Для
полифенилена Р3 получен ПМР-спектр, на спектре представлена ароматическая часть
молекулы (рисунок 34)
Рисунок
34 - ПМР-спектр ароматической части полифенилена Р3
Полифенилен
Р4, также как и полифенилен Р3 был синтезирован реакцией гомополиконденсации
между соединениями 1 и 4 (схема 5)
Схема
5 - Синтез полимера Р4
Реакция
также катализировалась комплексом никеля. На второй стадии для предотвращения
негативного влияния галогеновых атомов на люминесцентные свойства соединения
концевые бром-группы замещали на фенильные фрагменты.
Полученный
ИК-спектр Р4 (рисунок 35) был аналогичен ИК-спектру Р3, за исключением наличия
высокоинтенсивных полос поглощения в области 2840 см-1 и 2780 см-1.
Рисунок
35 - ИК-спектр полифенилена Р4
ЯМР-анализ
Р4 подтвердил наличие протонов фенильного фрагмента молекулы.
На
рисунке 36 представлен ПМР-спектр ароматической части Р4:
Рисунок
36 - ПМР-спектр ароматической части для Р4
.2.3
Исследование люминесцентных свойств синтезированных полифениленов
Были
исследованы спектры поглощения и фотолюминесценции синтезированных
полифениленов Р1 - Р4, а также исходного мономера
1,3,5-трис(п-бромфенил)бензола (рисунок 37). Квантовый выход (КВ) флуоресценции
циклотримера 1 составил не более 1%.
Исследование
спектров флуоресценции (ФЛ) полифениленов Р1, Р2, Р3 и Р4 в растворе CHCl3
(рисунок 38, 39, 40(а, б) и 41 соответственно) показало, что синтезированные
полимеры, обладают эмиссией в синей области спектра. КВ для полимеров Р1 и Р2 в
растворе составил 65% и 37% соответственно.
Рисунок
37 - Спектр поглощения и флуоресценции 1
Рисунок
38
Рисунок
39
Спектры поглощение-фотолюминесценция для полифениленов Р3 (два спектра в
зависимости от длины волны возбуждения) и Р4 показаны на рисунок 45а и 45б,
рисунок 46 соответственно:

Рисунок
40а Рисунок 40б
Рисунок
41
КВ для Р3 составил 51% и 58%, в зависимости от длины волны возбуждения -
350 нм и 300 нм соответственно. Для Р4 КВ составил 38%.
Исследование люминесцентных свойств синтезированных соединений показало,
что они обладают флуоресценцией в синей области видимого света и имеют
относительно высокие квантовые выходы флуоресценции в растворах вплоть до 65%.
3.
Экспериментальная часть
.1 Реагенты и
приборы
В
работе использовали следующие реактивы: хлороформ, ацетон, петролейный эфир,
этиловый спирт, натрий, хлороводород, диэтиловый эфир, диметилформамид,
триэтиламин, ортомуравьиный эфир, тетрагидрофуран, цинк («Aldrich»), [1,1′-бис(дифенилфосфино)ферроцен]палладия(II)
дихлорид - PdCl2(dppf) («Aldrich»), дихлорид никеля, 2,2′-бипиридил
(«Aldrich»), ацетат калия, фенилборная кислота («Aldrich»), 4-бромацетофенон
(«Aldrich»), серная кислота, хлорид натрия, диметилсульфоксид, бензол,
биспинаколовый эфир 1,4-фенилдиборной кислоты («Aldrich»). Коммерческие
продукты фирмы «Aldrich» использовали без дополнительной очистки. Растворители
подготавливали по стандартным методикам.
H
ЯМР-спектры снимали на приборах Brucker DMX 600 и Brucker AM-400. Триметилсилан
был использован в качестве внешнего стандарта (химический сдвиг- 0,00 м.д.).
ИК-спектры
индивидуальных соединений и полимеров снимали в таблетках с KВr на
спектрометрах Bruker IFS 48 и UR-20 фирмы «Карл Цейс».
УФ-спектры
были сняты на спектрометрах Hitachi 150-20, Specord M400 и Varian Cary-2400.
Для определения максимумов поглощения. Толщина кюветы составляла 2 мм.
Масс-спектры
соединений были получены на приборе VG ZAB 2-SE-FPD.
Молекулярные
массы полимеров определяли седиментационным ультрацентрифугированием по методу
неустановившегося равновесия (метод Арчибальда). Измерения проводили на
аналитической ультрацентрифуге 3180 (МОМ, Венгрия) в N-метилпирролидоне при 25 ± 0,1°C.
3.2
Методики синтезов
Синтез
1,3,5 - трис(п-бромфенил)бензола (1):
В
предварительно продутую аргоном круглодонную колбу загрузили п-бромацетофенон
30 г (0,151 моль), триэтилортоформиат 24 мл (0,18 моль) и бензол (100 мл).
Через полученную смесь пропускали газообразный HCl. После того, как реакционная
смесь стала бордового цвета, её охладили до 5оС. Реакцию вели до выпадения
осадка. Осадок отфильтровали, промыли ацетоном, спиртом и высушили. Вещество
очищали перекристаллизацией из ацетона с этанолом.
Выход
составил 10,03 г (34%).
Синтез
полимера Р1
В
пробирку Шлёнка снабженную обратным холодильником в токе аргоне помещали 2,0 г
1,3,5-трис(п-бромфенил)бензола (1) (3,7 ммоль), 15 мл ДМФА и трехкратный
избыток ацетата калия. Пробирку откачивали и заполняли сухим обескислороженным
аргоном пять раз. Отдельно растворяли 1,8 г биспинаколового эфира
1,4-фенилдиборной кислоты (2) (5,5 ммоль) в 5 мл ДМСО. При интенсивном
перемешивании и Т = 90 ºС раствор 2 постепенно прикапывали в раствор 1. Синтез
проводили в присутствии катализатора PdCl2(dppf). Через 24 ч в реакционную
смесь при интенсивном перемешивании прикапывали раствор четырёхкратного избытка
фенилборной кислоты в ДМСО. Ход реакции контролировали методом тонкослойной
хроматографии (ТСХ). Реакцию продолжали вести ещё в течение 6 часов.
Полученную
реакционную смесь экстрагировали хлороформом и промывали дистиллированной
водой. Органическую часть сушили над CaCl2.
После
упаривания растворителя получали готовый продукт.
Р1
(MW = 8 020):
Вычислено
для C606H406,% C - 94,71 H - 5,29
Найдено,
% C - 82,72 H - 4,64 Br - 17,58
Выход
Р1 составил 68 %.
Синтез
полимера Р2
Синтез
проводили по методике, аналогичной получению полифенилена Р1.
Р2
(MW = 7 822):
Вычислено
для C612H420N10, % C-91,80 H-5,25 N-1,75
Найдено,
% C-79,79 H-2,80 N-3,15
Br-14,24
Выход
P2 составил 61 %.
Синтез
полимера P3
В
пробирку Шлёнка помещали безводный NiCl2 (2,6 мг; 0,02 ммоль), Zn (200 мг),
Ph3P (11,2 мг; 0,043 ммоль), бипиридил (3,2 мг; 0,02 ммоль) и мономеры 1 (2 г;
3,68 ммоль) и 3 (0,59 г; 1,23 ммоль). Пробирку откачивали и заполняли сухим
обескислороженным аргоном пять раз. Затем в токе аргона вносили
свежеперегнанный ДМФА (10 мл). Смесь перемешивали при 90˚C в течение 6
часов. Примерно через 10 мин от начала нагревания смесь становится
красно-коричневой, что свидетельствует об образовании Ni(0)-комплекса с трифенилфосфином
in situ. Ход реакции контролировали методом ТСХ. Через 3 часа реакционный
раствор охлаждали и выливали в метанол. Осадок отделяли, промывали разбавленной
HCl, затем водой, метанолом и сушили в вакууме при комнатной температуре в
течение 10 часов.
Р3
(MW = 6 568):
Вычислено
для C492H340N10, % C-92,48 H-5,33 N-2,19
Найдено,
% C-76,15 H-3,90 N-2,46
Br-16,88
Синтез
полимера Р4
Синтез
проводили по методике, аналогичной получению полимера Р3.
Р4
(MW = 4 712):
Вычислено
для C348H238N4, % C-93,43 H-5,33 N-1,25
Найдено,
% C-79,79 H-2,80 N-3,15
Br-14,24
Выход
P4 составил 58 %.
ВЫВОДЫ
1. По реакции циклотримеризации получен исходный мономер с
1,3,5-трифенилзамещенным бензольным ядром.
2. Впервые синтезированы полимеры Р2 - Р4 с применением реакций
кросс-сочетания.
. Изучены спектральные свойства полученных полифениленов.
. Выявлен ряд закономерностей доказывающих, что синтезированные
полимеры перспективны для использования в качестве активных слоев в приборах
оптоэлектроники.
Список
литературы
1. Valeur
B. Molecular fluorescence: principles and applications. Wiley-VHC, Weinheim. -
2001. - 437 с.
2. Владимиров
Ю. А. Фотохимия и люминесценция белков. М.: Наука. 1965. 232 с.
. Тепляков
М. М. Тримеризационная полициклоконденсация ацетилароматических соединений и их
кеталей. // Успехи химии. - 1979. - № XLVIII. - С. 2.
4. Furukawa
K., Fujino M., Matsumoto N. Optical properties of silicon network polymers. //
Macromolecules. - 1990. - Vol. 23. - P. 3423 - 3426.
. Zhang
Y., Zhao C., Yang J., Kapiamba M., Haze O., Rothberg L. J., Ng M.-K. Synthesis,
Optical, and Electrochemical Properties of a New Family of Dendritic
Oligothiophenes. // J. Org. Chem. - 2006. - Vol. 71. - P. 9475.
. Ковалев
А. И. Олигофенилены с реакционноспособными группами аценафтиленового типа и
полимеры на их основе. М. 1992. 177 с.
7. Häussler M., Liu J., Zheng
R., Lam J. W. Y., Qin A., Tang B. Z. Synthesis, thermal stability, and linear
and nonlinear optical properties of hyperbranchedpolyarylenes containing
carbazole and/or fluorene moieties. // Macromolecules. - 2007. - Vol. 40. - P.
1914 - 1925.
. Baek
J. B., Simko S. R., Tan L. S. Synthesis and chain-end modification of a novel
hyperbranched polymer containing alternating quinoxaline and benzoxazole repeat
units. // Macromolecules. - 2006. - Vol. 39. - P. 7959 - 7966.
9. Ли Д.
Д. Именные реакции, механизмы органических реакций. М.: БИНОМ. 2006. 456 с.
10. McCrindle R., Ferguson G., Arsenault G. J., McAlees A. J., Parvez M. A novel product derived from reaction of 3,3-dimethyl-4-methylthio-1-butyne with dichlorobis(benzonitrile)-palladium; X-ray crystal structure of chloro(2,4-bis-(1',1'-dimethyl-2'-(methylthio)ethyl)-3-furyl-C,S,S)-palladium(II). // J. Chem.Res.(S). -
1983. - Vol. 246. - P. 19-22.
11. Lin
S.-Y., Chen C.-L., Lee Y.-J. Total synthesis of ailanthoidol and precursor XH14
by Stille coupling. // J. Org. Chem. - 2003. - Vol. 68. - P. 2968-2971.
12. Lutzen
A., Hapke M. Synthesis of 5-substituted 2,2'-bipiridines from substituted 2-chloropyridines
by a modified Negishi cross-coupling reaction. // Eur.J.Org.Chem. - 2002. -
Vol. 2002. - P. 2292-2297.
. Miyaura
N., Suzuki A. Palladium catalyzed cross-coupling reactions of organoboron
compounds. // Chem. Rev.
- 1995. - Vol. 95. - P. 2457-2483.
14. Rossi
R., Carpita A., Bellina F. Palladium- and/or copper-mediated cross-coupling
reactions between 1-alkynes and vinyl, aryl, 1-alkynyl, 1,2-propadienyl,
propargyl and allylic halides or related compounds. // Org. Prep. Proc. Int. - 1995. - Vol. 27. -
P. 127-160.
15. Miyaura
N., Yamada K., Suzuki A. New Stereospecific Cross-Coupling by the
Palladium-Catalyzed Reaction of 1-Alkenylboranes with 1-Alkenyl Halides. //
Tetrahedron Letters. - 1979. - Vol. 36. - P. 3437.
. Kim
Y. H., Webster O. W. Water soluble hyperbranched polyphenylene: “a unimolecular
micelle” // J Am Chem Soc. - 1990. - Vol. 112. - P. 4592.
. Kim
Y. H., Webster O. W. Hyperbranched polyphenylenes // Macromolecules. - 1992. -
Vol. 25. - P. 5561.
. Kim
Y. H., Webster O. W. Hyperbranched polyphenylenes. // Polym.Prep. - 1988. -
Vol. 29. - P. 310.
. Li
J., Bo Z. “AB2 + AB” approach to hyperbranched polymers used as polymer blue
light emitting materials. // Macromolecules. - 2004. - Vol. 37. - P. 2013 -
2015.
. Wen
G. A., Xin Y., Zhu X. R., Zeng W. J., Feng J. C., Cao Y., Zhao L., Wang L. H.,
Wei W., Peng B., Huang W. Hyperbranchedtriazine-containing polyfluorenes:
efficient blue emitters for polymer light-emitting diodes (PLEDs). // Polymer.
- 2007. - Vol. 48. - P. 1824 - 1829.
. Wu
C. W., Lin H. C. Synthesis and characterization of kinked and hyperbranched
carbazole/fluorene-based copolymers. // Macromolecules. - 2006. - Vol. 39. - P.
7232 - 7240.
. Li
Z., Di C., Zhu Z., Yu G., Li Z., Zeng Q., Li Q., Liu Y., Qin J. New
light-emitting hyperbranched polymers prepared from tribromoaryls and
9,9-dihexylfluorene-2,7-bis(trimethyleneborate). // Polymer. - 2006. - Vol. 47.
- P. 7889-7899.
23. Ванников
А. В., Гришина А. Д., Новиков С. В. Электронный транспорт и
электролюминесценция в полимерных слоях. // Успехи химии. - 1994. - Vol. 63. -
P. 103-123.
24. Kulkarni
A. P., Tonzola C. J., Babel A., Jenekhe S. A. Electron transport materials for
organic light-emitting diodes. // Chem. of mater. - 2004. - Vol. 16. - P.
4556-4573.
. Zacharias
P., Gather M. C., Rojahn M., Nuyken O., Meerholz K. New crosslinkable hole
conductors for blue phosphorescent organic light-emitting diodes. // Angew. Chem. - 2007. - Vol. 46. - P.
4388-4392.
. Касьянов
В. А. Физика 11 кл.:учеб. Для общеобразоват. Учреждений. М.: Дрофа. 2007. 412
с.
27. Park
J., Park J. S., Park Y. G., Lee J. Y., Kang J. W., Liu J., Dai L., Jin S.-H.
Synthesis, characterization of the phenylquinoline-based on iridium(III)
complexes for solution processable phosphorescent organic light-emitting
diodes. // Organic Electronics. - 2013. - Vol. 14. - P. 2114-2123.
. Park
J., Oh H., Oh S., Kim J., Park H. J., Kim O. Y., Lee J. Y., Kang Y. Deep blue
phosphorescent organic light-emitting diodes with excellent external quantum
efficiency. // Organic Electronics. - 2013. - Vol. 14. - P. 3228-3233.
. Su
S.-J., Gonmori E., Sasabe H., Kido J. Highly efficient organic blue and white
light-emitting devices having a carrier- and exciton-confining structure for
reduced efficiency roll-of. // Adv. Mater. - 2008. - Vol. 20. - P. 4189-4194.
30. Holmes
R. J., D’Andrade B. W., Forrest S. R., Ren X., Li J., Thompson M. E. Efficient,
deep blue organic electrophosphorescence by guest charge trapping. // Appl. Phys. Lett. - 2003. - Vol. 83. - P.
31. Xiao
L., Su S.-J., Agata Y., Lan H., Kido J. Nearly 100% internal quantum efficiency
in an organic blue light electrophosphorescent device using a weak electron
transporting materials with a wide energy gap. // Adv. Mater. - 2009. - Vol. 21. - P.
1271-1274.
32. Zheng
Y., Eom S.-H., Chopra N., Lee J., So F., Xue J. Efficient deep blue
phosphorescent organic light-emitting device with imroved electron and exciton
confinement // Appl. Phys.
Lett. - 2008. - Vol. 92. - P. 223301-223303.
33. Jeon
S. O., Jang S. E., Son H. S., Lee J. Y. External quantum efficiency above 20%
in deep blue light-emitting diodes. // Adv. Mater. - 2011. - Vol. 23. - P. 1436-1441.
34. Lee S. J., Park K.-M., Yang K., Kang Y. Blue phosphorescent Ir(III) complex with high color purity: fac-tris(2',6'-difluoro-2,3'-bipyridinato-N,C(4'))iridium(III). Inorg.
Chem. - 2009. - Vol. 48. - P. 1030-1037.
35. Kang
Y., Chang Y.-L., Lu J.-S., Ko S.-B., Rao Y., Varlan M., Lu Z.-H., Wang S.
Highly efficient blue phosphorescent and electroluminescent Ir(III) compounds.
// J. Mater. Chem. C. -
2013. - Vol. 1. - P. 441-450.
36. Ohmori Y., Uchida M., Muro K. Blue electroluminescent diodes utilizing poly(alkylfluorene). // Jpn J Appl Phys. - 1991. - Vol. 30. - P. 1941-1943.
37. Kim
D. Y., Cho H. N., Kim C. Y. Blue light emitting polymers. // Prog. Polym. Sci. - 2000. - Vol. 25. - P.
1089-1139.
38. Fukuda
M., Sawada K., Yoshino K. Synthesis of fusible and soluble conducting
polyfluorene derivatives and their characteristics. // J Polym Sci. - 1997. -
Vol. 31. - P. 2465-2471.
. Yook
K. S., Lee J. Y. Organic Materials for Deep Blue Phosphorescent Organic
Light-Emitting Diodes. // Adv. Mater. - 2012. - Vol. 24. - P. 3169-3190.
40. Ye
S., Liu Y., Di C., Xi H., Wu W., Wen Y., Lu K., Du C., Liu Y., Yu G. Wide
energy gap host materials for blue phosphorescent organic light-emitting
diodes. // Chem. Mater.
- 2009. - Vol. 21. - P. 1333-1342.
41. Shih
P.-I., Chiang C.-L., Dixit A. K., Chen C.-K., Yuan M.-C., Lee R.-Y., Chen
C.-T., Diau E. W.-G., Shu C.-F. Novel carbazole/fluorene hybrids: host
materials for blue phosphorescent OLEDs. // Org. Lett. - 2006. - Vol. 8. - P. 2799.
42. Lindgrena L. J., Zhangb F., Admassieb S., Wangb X., Anderssona M. R., Ingana O. Blue light-emitting diodes based on novel polyfluorene copolymers. // Journal of Luminescence. - 2007. - Vol. 122-123. - P. 610-613.
43. Grimsdale
A. C., Müllen K. Oligomers and polymers based
on bridgedphenylenes as electronic materials. // Macromol Rapid Commun. - 2007.
- Vol. 28. - P. 1676-1702.
. Guo
X., Baumgarten M., Müllen K. Designing p-conjugated
polymers for organic electronics. // Progress in Polymer Science. - 2013. -
Vol. 38. - P. 1832- 1908.
. Mainthia
S., Kronick P. L., Ur H., Chapman E. F., Labes M. M. Electronicconductivity of
complexes of poly-p-phenylene. // Polym Prepr AmChem Soc. - 1963. - Vol. 4. -
P. 208-212.
. Akiyama
M., Iwakura Y., Shiraishi S., Imai Y. J. Poly-p-phenylene-1,2,4-oxadiazole from
p-cyanobenzonitrile oxide by a solid-statecycloaddition polymerization // J
Polym Sci. - 1966. - Vol. 4. - P. 305-308.
. Vahlenkamp
T., Wegner G. Poly(2,5-dialkoxy-p-phenylene)s-synthesis and properties. //
Macromol Chem Phys. - 1994. - Vol. 195. - P. 1933-1952.
. Burroughes
J., Bradley D., Brown A., Marks R., Mackay K., Friend R., Burns P., Holmes A.
Light-emitting diodes based on conjugated polymer. // Nature. - 1990. - Vol.
347. - P. 539-541.
. Gilch
H., Wheelwright W. Polymerization of -halogenated p-xylenes with base. // J
Polym Sci. - 1966. - Vol. 4. - P. 1337-1349.
. Sariciftci
N., Smilowitz L., Heeger A., Wudl F. Photoinduced elec-tron transfer from a
conducting polymer to buckminsterfullerene. // Science. - 1992. - Vol. 258. -
P. 1474-1476.
. Greenham
N., Moratti S., Bradley D., Friend R., Holmes A. Efficient light-emitting diodes
based on polymers with high electronaffinities. // Nature. - 1993. - Vol. 365.
- P. 628-630.
. Tour
J. M. Soluble oligo- and polyphenylenes. // Adv. Mater. - 1994. - Vol. 6. P. 190-198.
53. Liu
J., Lam J. W. Y., Tang B. Z. Acetylenic polymers: syntheses, structure and
functions. // Chem. Rev.
- 2009. - Vol. 109. - P. 5799-5867.
54. Martin
S. J., Godschalx J. P., Mills M. E., Shaffer E. O., Townsend P. H. Development
of a low-dielectric-constant polymer for the fabrication of integrated circuit
interconnect. // Adv. Mater.
- 2000. - Vol. 12. - P. 1769-1778.
55. Xu K., H.Peng, Q.Sun, Y.Dong, F.Salhi, J.Luo, J.Chen, Y.Huang, D.Zhang, Z.Xu, B.Z.Tang. Polycyclotrimerization of diynes: synthesis and properties of hyperbranched polyphenylenes. // Macromolecules. - 2002. - Vol. 35. - P.
5821-5834.
. Ковалев
А. И., Кушакова Н. С., Шаповалов А. В., Бабушкина М. А., Хотина И. А. Синтез и
перспективы использования разветвленных сопряженных полимеров в оптических
устройствах. // Успехи химии. -2013. В печати - 58с.
. Казицына
Л. А., Куплетская Н. Б. Применение УФ-, ИК- и ЯМР-спектроскопии в органической
химии. М.: Высшая школа. 1971. 264 с.