Статистический анализ строительной организации
Содержание
Введение
1.Органы
государственной статистики Российской Федерации
2.
Статистический
анализ строительной организации
2.1
Постановка
задачи анализа СО
2.2
Статистика
строительной продукции
2.3
Статистика
трудовых ресурсов и заработной платы
2.4
Статистика
производительности труда
2.5
Статистика
себестоимости строительно-монтажных работ
2.6
Статистика
основных фондов
2.7
Статистика
оборотных фондов
Заключение
Список
литературы
Введение
Цель работы - закрепление теоретических знаний и
приобретение практических навыков в области статистического анализа СО на
основе самостоятельного изучения и обобщения специальной статистической и
экономической литературы, проведение расчетов по определению статистических
показателей СО.
Задачи курсовой работы:
Определение проблемы по объекту анализа;
Изучение методов статистического анализа СО;
Анализ полученных показателей.
1.Органы
государственной статистики Российской Федерации
В соответствии со ст. 71 Конституции РФ
руководство статистикой в стране осуществляет Госкомстат как федеральный орган
исполнительной власти.
Госкомстат РФ, его органы в республиках, краях,
областях, автономных областях и округах, в городах Москве и Санкт-Петербурге,
других городах и районах, а также подведомственные им организации, учреждения и
учебные заведения составляют единую систему государственной статистики страны.
Формы и методы сбора и обработки статистических
данных, методология расчета статистических показателей, установленные
Госкомстатом, являются статистическими стандартами РФ.
В соответствии с положением основными задачами
Госкомстата России являются:
1) предоставление официальной статистической
информации Президенту, правительству, федеральному собранию РФ, федеральным
органам исполнительной власти, общественности;
) разработка научно обоснованной статистической
методологии, соответствующей международным стандартам;
) координация статистической деятельности в
государстве;
) разработка экономико-статистической
информации, ее анализ, составление национальных счетов, проведение необходимых
балансовых расчетов;
Основные функции Госкомстата России состоят в
том, что он:
1) организует проведение государственных статистических наблюдений по
разработанным им или согласованным с ним программам, формам и методикам;
) обеспечивает функционирование ЕГРПО (Единого
государственного регистра предприятий и организаций);
) обеспечивает сбор, обработку, хранение и
защиту статистической информации, соблюдение государственной и коммерческой
тайны, необходимую конфиденциальность данных (конфиденциальный - секретный,
доверительный);
) сопоставляет основные социально-экономические
показатели России с аналогичными показателями других стран, совместно с
Центробанком составляет платежный баланс страны;
) проводит единую техническую политику в области
сбора, обработки и передачи статистической информации, в разработке и
формировании федеральных программ по вопросам, порученным Госкомстату.
В связи с развитием экономических отношений еще
в древности сформировалась необходимость в статистических операциях (сборе
податей). Дальнейшее развитие производственных сил и систем государственного
управления привело к развитию и систематизации учетно-статистических операций.
При условиях развития рыночных отношений в
России основными целями статистики являются:
) модернизация учета и отчетности, а также
уменьшение документооборота;
) получение экономико-статистических сведений,
их анализ, составление национальных счетов, требуемых балансовых расчетов;
) своевременное обеспечение поступлений
статистической информации в статистические органы, структуры государственной
власти и управления;
) расширение аналитических функций и тематик при
обработке статистических данных. Система органов государственной статистики
России - это иерархическая структура, соответствующая административно-правовому
делению страны. Она состоит из федерального, республиканского, краевого,
областного, окружного, городского, районного уровней. В основе системы органов
государственной статистики лежат такие организационные принципы, как:
) централизованное руководство;
) общее организационное построение и
методология;
) постоянная связь с органами государственного
управления.
Федеральная служба государственной статистики РФ
- это высший орган управления статистикой на территории России. В обязанности
этой службы входят решение базовых проблем, которые стоят перед статистикой
России, формирование и обеспечение единой методологической основы учета,
сведение воедино и анализ полученных сведений, публикация итогов своей
деятельности.
К официальным статистическим стандартам РФ
относятся:
) формы и методы сбора и обработки
статистических сведений, установленных статистической службой;
) методология статистических показателей.
В своей деятельности статистическая служба
руководствуется федеральными статистическими программами, утвержденными по
согласованию с Правительством РФ. Эти статистические программы сформированы с
учетом предложений, вносимых федеральными органами исполнительной и
законодательной власти, органами государственной власти субъектов РФ и различных
организаций.
Реформирование государственной статистики
проводится по таким основным направлениям, как:
) предоставление гласности и доступности
сведений при соблюдении личной конфиденциальности;
) модернизация методологических и
организационных основ статистики, принимая во внимание теоретические разработки
науки;
) модернизация методологии исчисления
статистических показателей с применением международных стандартов;
) формирование взаимосвязи статистических
показателей.
. Статистика строительной организации
2.1 Постановка задачи анализа СО
Основные показатели производственной
деятельности строительной организации приведены в таблице 1.
Таблица 1 - Основные показатели производственной
деятельности СО.
|
Календарный
период
|
№
года
|
Выполненный
объем СМР, за период, тыс.р.
|
Себестоимость
СМР, тыс.р.
|
Затраты
на материалы, тыс.р.
|
ОФ
на начало периода, тыс.р.
|
ОС
на начало периода, тыс.р.
|
Списочная
численность на начало периода, чел
|
Фонд
заработной платы, тыс.р/ мес.
|
|
|
|
|
|
|
|
Работни-ков
|
Рабо-чих
|
работников
|
Рабо-чих
|
|
январь
|
1
|
201,6
|
198
|
153
|
1128,12
|
148,08
|
639
|
484
|
63,48
|
45
|
|
февраль
|
|
259,56
|
256,8
|
198,96
|
1147,8
|
886,56
|
660
|
502
|
77,04
|
57,84
|
|
март
|
|
434,52
|
313,68
|
242,4
|
1169,4
|
647,04
|
677
|
515
|
90,84
|
71,28
|
|
апрель
|
|
267,48
|
251,88
|
178,8
|
1200
|
676,68
|
680
|
517
|
92,88
|
73,08
|
|
май
|
|
257,88
|
250,8
|
178,08
|
1158
|
924,4
|
617
|
469
|
90,6
|
72,36
|
|
июнь
|
|
326,64
|
314,88
|
223,56
|
1224,6
|
688,8
|
700
|
532
|
105,36
|
85,08
|
|
июль
|
|
421,92
|
417,36
|
285,36
|
1291,8
|
963,48
|
742
|
564
|
112,32
|
90,84
|
|
август
|
|
357,6
|
355,2
|
243
|
1264,92
|
1015,68
|
973
|
739
|
140,52
|
112,2
|
|
сентябрь
|
|
290,04
|
286,92
|
196,2
|
1323,12
|
941,04
|
677
|
515
|
101,88
|
82,32
|
|
октябрь
|
|
289,44
|
260,52
|
181,08
|
1656,24
|
1046,16
|
1169
|
888
|
115,8
|
81,84
|
|
ноябрь
|
|
207,12
|
204,6
|
187,56
|
1638,6
|
905,4
|
529
|
402
|
79,68
|
64,32
|
|
декабрь
|
|
299,64
|
334,8
|
232,68
|
1868,4
|
960
|
986
|
750
|
130,68
|
102,12
|
|
январь
|
2
|
294,84
|
285,24
|
210,24
|
1861,08
|
944,76
|
924
|
694
|
105,6
|
75,6
|
|
февраль
|
|
310,56
|
240,72
|
177,36
|
1856,64
|
925,68
|
973
|
730
|
97,32
|
65,64
|
|
март
|
|
274,2
|
334,68
|
242,76
|
1992,12
|
975
|
797
|
598
|
121,56
|
95,64
|
|
апрель
|
|
300,24
|
288,48
|
214,32
|
2042,4
|
935,28
|
814
|
611
|
100,44
|
74,16
|
|
май
|
|
295,08
|
300,96
|
223,56
|
2041,8
|
927,48
|
751
|
565
|
101,64
|
77,4
|
|
июнь
|
|
311,04
|
293,16
|
217,8
|
2030,04
|
968,64
|
671
|
503
|
104,28
|
82,2
|
|
июль
|
|
356,76
|
357,48
|
266,64
|
2007,96
|
1007,28
|
742
|
557
|
114,84
|
90,84
|
|
август
|
|
390,36
|
538,08
|
401,4
|
401,44
|
991,68
|
838
|
629
|
129,6
|
102,48
|
|
сентябрь
|
|
401,04
|
552,16
|
411,8
|
411,84
|
965,76
|
838
|
620
|
124,92
|
98,04
|
|
октябрь
|
|
305,28
|
402,08
|
309,3
|
309,28
|
973,2
|
856
|
642
|
98,64
|
70,92
|
|
ноябрь
|
|
334,56
|
431,84
|
330,4
|
330,4
|
1000,44
|
1086
|
815
|
112,08
|
76,8
|
|
декабрь
|
|
317,28
|
482,88
|
491,7
|
491,68
|
875,88
|
809
|
607
|
122,76
|
96,6
|
|
Январь
|
3
|
197,04
|
280,96
|
257,3
|
257,28
|
885,6
|
584
|
432
|
83,52
|
62,16
|
.2 Статистика строительной продукции
Проанализируем строительную организацию ООО
«СтройКрит», которая занимается строительством жилых домов.
Строительная продукция - прямой полезный
результат строительно-производственной деятельности строительной организации.
Виды строительной продукции:
валовая продукция строительства
укрупненные этапы работ
товарная строительная продукция
объект «под ключ».
Все расчеты выполняются для строительной
организации за 2 года помесячно. Расчеты начинаются с материалоотдачи работ.
Материалоотдача работ рассчитывается по формуле:
Moi = Qi / Mi (1)
где Qi - объем строительно-монтажных работ за i
- период, тыс.р,- затраты на материалы за i - период, тыс.р.
Динамика объемов строительно-монтажных работ
(СМР) анализируется помесячно. Рассчитываются базисные и цепные абсолютные
приросты и темпы роста объемов СМР. Абсолютный базисный прирост вычисляется по
формуле:

(2)
где 
- анализируемый показатель за
i-месяц во 2-ом году;

- анализируемый показатель за
i-месяц в 1-ом году.
Абсолютный базисный прирост
рассчитан в таблице 1 графе 6.
Абсолютные цепные приросты
вычисляются по формуле:

(3)
где 
- анализируемые показатели за i-й
месяц и предыдущий ему периоды одного года.
Темп роста базисный рассчитывается
по формуле:

(4)
Темп роста цепной рассчитывается по
формуле:

(5)
Динамика материалоотдачи работ
анализируется поквартально. Сначала рассчитывается квартальные величины
материалоотдачи работ, для этого предварительно находятся объемы СМР и затраты
на материалы за квартал и подставляются в формулу (1). На основе квартальных
величин материалоотдачи работ находятся абсолютные базисные приросты и темпы
роста по формулам соответственно (2) и (3). В качестве базисных принимаются
значения материалоотдачи работ в предшествующем году за соответствующий
квартал.
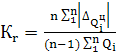
Ритмичной принято считать такую
работу СО, при которой объемы СМР равномерно распределены в течение года. В
условиях Сибири и Севера обеспечить такую ритмичность не возможно из-за влияния
на производительность труда метеорологических факторов. Ритмичность
строительств вычисляется по формуле:

(6)
где 
- суммирование абсолютных цепных
приростов объемов СМР по модулю; n - число месяцев, учитываемых при расчете
коэффициента ритмичности. Коэффициент ритмичности Кr рассчитывается за каждый
год работы СО.
Вывод: В 1-ый год работы выполнялись
равномерно в течении всего года.
По данным: абсолютный базисный прирост
объемов СМР, абсолютный цепной прирост объемов СМР, темп роста базисный объемов
СМР, темп роста цепной объемов СМР абсолютный базисный и темп роста
материалоотдачи построены графики на рисунке 1.
Рисунок 1.1 - Абсолютно базисный
прирост объемов СМР
Вывод: наблюдались колебания в
следующие периоды: спад в июле 1-го года, рост в мае и сентябре 2-го года.
Рисунок 1.2 - Абсолютно цепной
прирост объемов СМР
Вывод: наблюдались колебания в
следующие периоды: резкий спад в феврале, затем рост по июнь и снова спад по
июль и рост с октября по ноябрь 1-го года, во 2-ой год наблюдается спад с
января по февраль, также спад с июля по сентябрь и с октября по декабрь.
Рисунок 1.3 - Темп роста базисный
объемов СМР
Вывод: Темп роста базисный
колеблется в следующие периоды: спад с января по июнь, затем рост по октябрь и
спад по декабрь в 1-ый год; во 2-ом году наблюдается подъем с января по
сентябрь и спад с сентября по декабрь.
Рисунок 1.4 - Темп роста цепной
объемов СМР
Вывод: Темп роста цепной колеблется
в следующие периоды: резкий спад с февраля по март, затем подъем по июнь,
плавный спад в октябрь и скачек в ноябре 1-го года; во 2-ом году ситуация
достаточно стабильна.
Рисунок 1.5 - Абсолютно базисный
прирост квартальной материалоотдачи
Вывод: Абсолютный базисный прирост
материалоотдачи плавно рос в первом квартале и падал с 2-го по 4-ый.
Рисунок 1.6 - Абсолютный цепной
прирост квартальной материалоотдачи
Вывод: Абсолютный цепной прирост
материалоотдачи в 1-ом году резко падал со 2-ого по 3-ий квартал и рос по 4-ый,
а во 2-ом году на протяжение всех 4 кварталов наблюдался уверенный спад
Рисунок 1.7 - Темп роста базисный
квартальной материалоотдачи
Вывод: Базисный темп роста
квартальной материалоотдачи растет с 1-го по 2-ой квартал, а затем наблюдается
спад по 4-ый
Рисунок 1.8 - Цепной темп роста
квартальной материалоотдачи
Вывод: Цепной темп роста квартальной
материалоотдачи стабилен на протяжении всего года.
2.3 Статистика
трудовых ресурсов и заработной платы
Трудовые ресурсы, занятые на СМР
являются объектом статистического учета и отчетности в строительстве.
Численность работников, рабочих, инженерно-технических работников (ИТР),
служащих, младшего обслуживающего персонала и других категорий работников в
любой организации фиксируется на определенный момент времени по списку. Поэтому
эти показатели называются списочной численностью работников, рабочих и т.п. При
выполнении данной курсовой работы среднесписочная численность вычисляется по
каждому отчетному месяцу балансовым методом по формуле:

(7)
где 
- списочная численность
соответственно на начало и конец месяца (за конец месяца принимается начало
следующего месяца).
Доля рабочих определяется отношением
среднесписочной численности рабочих к среднесписочной численности работников,
расчеты представлены в таблице 3.
Расчет средней заработной платы за i
- й месяц определяется по формуле:

(8)
где ФЗП - фонд заработной платы
работников, рабочих или ИТР за i-месяц;

- среднесписочная численность работников,
рабочих или ИТР за i-месяц.
Для расчета средней заработной платы
ИТР и служащих необходимо предварительно рассчитать среднесписочную численность
ИТР как разность между средней численности работников и рабочих. Фонд
заработной платы ИТР определяется как разность между ФЗП работников и ФЗП
рабочих.
Динамика средней заработной платы
анализируется помесячно. Для анализа необходимо рассчитать цепной темп роста
заработной платы у рабочих и ИТР в отдельности по формуле (5).
По данным: динамика доли рабочих;
средние заработные платы рабочих, работников, ИТР; темпы роста заработной платы
рабочих и ИТР строятся графики, которые представлены на рисунке 2.
Рисунок 2.1 - Динамика доли рабочих
в среднесписочной численности работников
|
Вывод:
в первом году доля рабочих остается практически неизменной, а во втором
наблюдается отрицательная тенденція
|
|
Рисунок 2.2. - Средняя заработная плата
работников
|
Вывод:
в течении 2-х лет наблюдается колебание средней заработной платы работников,
самая высокая зарплата - в августе 1-го года, а самая низкая- в октябре 2-го
года
|
|
Рисунок 2.3 - Средняя заработная плата рабочих
|
Вывод: в
течении 2-х лет наблюдается колебание средней заработной платы рабочих, самая
высокая зарплата в декабре 2-го года, а самая низкая- в январе 1-го года
|
|
Рисунок 2.4 Средняя заработная плата ИТР
|
Вывод: в
течении 2-х лет наблюдается колебание средней заработной ИТР, самая высокая
зарплата в октябре 1-го года, а самая низкая- в ноябре 1-го года
|
|
Рисунок 2.5 - Цепной темп роста заработной платы
рабочих
|
Вывод: по
темпу роста зарплаты рабочих видно, что зарплата рабочих сильно колеблется ,
наблюдаются значительные спад и рост зарплаты
|
|
Рисунок 2.6 - Цепной темп роста заработной платы
ИТР
|
Вывод: по
темпу роста зарплаты рабочих видно, что зарплата ИТР колеблется, наблюдаются
значительные спад и рост зарплаты
|
|
2.4 Статистика
производительности труда
Производительность труда - количество продукции,
выпущенной одним работником за единицу времени. В строительстве количество
продукции измеряется в натуральных единицах измерения и в стоимостном
выражении. Производительность труда, рассчитанная в денежном измерении,
называется выработкой.
Выработка рассчитывается по формуле:

(9)
где 
- объем СМР за i - й месяц, тыс.р.;

- среднесписочная численность
рабочих и ИТР за i-й месяц, тыс.р.
Динамика выработки анализируется
помесячно расчетом базисного абсолютного прироста по формуле (2) и цепного
темпа роста по формуле (5) выработки для ИТР и рабочих в отдельности.
Для сопоставления темпов роста
выработки и заработной платы выполняются графики базисного абсолютного прироста
и цепного темпа роста рабочих и ИТР. Необходимо совместить эти два графика для
оценки экономического состояния строительной организации. Графики приведены на
рисунке 3.
Рисунок 3.1 - Абсолютный базисный
прирост выработки ИТР
Вывод: Наблюдается падение выработки
ИТР с апреля по июль, резкий подъем наблюдается с июля по октябрь, затем снова
спад.
Рисунок 3.2 - Абсолютный базисный
прирост выработки рабочих
Вывод: Наблюдается падение выработки
рабочих с апреля по июль, резкий подъем наблюдается с июля по октябрь, затем
снова спад.
Рисунок 3.3 - Темп роста выработки
ИТР
Вывод: Самые наивысшие точки
выработки ИТР наблюдается в феврале, апреле и августе, а самые низкие - в марте
и сентябре
Рисунок 3.4 - Темп роста выработки
робочих
Вывод: Самые наивысшие точки выработки
рабочих наблюдается в феврале, апреле и августе, а самые низкие - в марте и
сентябре
Рисунок 3.5 - Сопоставление темпов
роста зарплаты и выработки рабочих
|
Вывод:
экономическое состояние кризисное в декабре 1-го года, т.к темп роста
зарплаты рабочих больше темпа роста выработки.
|
|
2.5 Статистика
себестоимости строительно-монтажных работ
Себестоимость СМР - затраты всех ресурсов для
выполнения работы в денежном выражении. В строительстве оперируют сметной,
плановой и фактической себестоимостью.
Прибыль - это разница между стоимостью и
себестоимостью выполненных СМР. Прибыль, как и себестоимость, бывает сметной,
плановой и фактической.
Рентабельность - показатель, определяющий
степень эффективности производственно-хозяйственной деятельности СО.
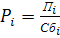
Затраты на 1 р.сметной стоимости представляют
собой:
статистический
строительный себестоимость материалоотдача

(10)
где 
- себестоимость за i - й месяц,
тыс.р.
Прибыль от сдачи СМР рассчитывается
по формуле:

(11)
Рентабельность СМР определяется по
формуле:

(12)
По расчетам затрат на 1 р.сметной
стоимости построен график на рисунке 4.
Рисунок 4.1 - Затраты на 1 р.
Сметной стоимости
Вывод: В ноябре, декабре и январе СО
не получила прибыль от сдачи СМР, также в марте, апреле, сентябре и октябре
2-го года СО также не получила прибыль.
Динамика себестоимости СМР
проанализирована по базисному темпу роста по формуле (4) и цепному темпу роста
по формуле (5) рентабельности.
По полученным расчетам базисного
темпа роста и цепного темпа роста рентабельности построены и проанализированы
графики на рисунке 4.
Рисунок 4.2 - Базисный темп роста
рентабельности
Вывод: Рентабельности резко
подскочила с января по февраль и упала в марте 1-го года, во 2-ом году ситуация
достаточно стабильна
Рисунок 4.3 - Цепной темп роста
рентабельности
Вывод: Рентабельности резко
подскочила с января по февраль и упала в марте, также небольшой рост
наблюдается в марте и спад в ноябре 1-го года, во 2-ом году наблюдается спад с
января по май и подъем в июле.
2.6 Статистика
основных фондов
Основные фонды - совокупность
средств производства, служащие дольше одного производственного цикла, стоимость
которых постепенно переносится в процессе производства на продукцию.
Фондоотдача - отношение объема
произведенной в данном периоде продукции к средней за этот период стоимости
основных производственных фондов
Рентабельность по фондам - отношение
прибыли, отнесенное к стоимости основным фондам.
Средняя за месяц стоимость основных
фондов определяется по формуле:

(13)
где 
- основные фонды соответственно на
начало и конец месяца (за конец месяца принимаю начало следующего месяца).
Фондоотдача определяется по формуле:

(14)
Фондоемкость определяется по
формуле:

(15)
Фондовооруженность определяется по
формуле:

(16)
Рентабельность фондов определяется
по формуле:

(17)
Динамику фондоотдачи необходимо
проанализировать по базисному темпу роста и цепному темпу роста фондоотдачи.
Для анализа динамики фондоотдачи построены графике на рисунке 5, и сделаны
выводы о увеличении фондоотдачи.
Рисунок 5.1 - Базисный темп роста
фондоотдачи
Вывод: фондоотдача выросла по
сравнению с предыдущим годом в период с июля по ноябрь.
Рисунок 5.2 - Цепной темп роста
фондоотдачи
Вывод: благополучие тенденции
изменения фондоотдачи складываются в феврале, июне и ноябре 1-го
.7 Статистика оборотных фондов
Оборотные фонды в строительстве -
это предметы труда, деньги на их приобретение. Оборотные фонды учитываются в
денежных и натуральных единицах измерения. Оборотные фонды измеренные в
денежных единицах измерения называются оборотными средствами. Объем оборотных
фондов фиксируется на 1-ое число каждого месяца. Эффективность использования
оборотных средств оценивается с помощью показателей оборачиваемости оборотных
средств и числа оборотов.
Средняя за месяц стоимость оборотных
средств определяется по формуле:

(18)
где 
- оборотные средства на начало и
конец месяца.
Коэффициент оборачиваемости или
число оборотов определятся по формуле:

(19)
Коэффициент загруженности
определяется по формуле:

(20)
Длительность оборота оборотных
средств за i - й месяц рассчитывается:

(21)
где 
- средняя за i - й месяц стоимость
оборотных средств, тыс.р;

- продолжительность i -ого месяца,
дн.;

- объем СМР, выполненный за i - й
месяц, тыс.р.
По базисному и цепному темпу роста
построены графике на рисунке 6, и сделаны выводы о длительности оборота и
благоприятных тенденциях.
Рисунок 6.1 - Базисный темп роста
длительности оборота оборотных средств
Вывод: длительность оборота
оборотных средств уменьшилась по сравнению с предыдущим годом в период с марта
по апрель, с июля по сентябрь и с октября по ноябрь
Рисунок 6.2 - Цепной темп роста
длительности оборота оборотных средств
Вывод: Самые благоприятные тенденции
длительности оборота оборотных средств в марте 1-го года и в сентябре 2-го.
Заключение
Статистика строительства - это
отрасль экономической статистики, изучающая явления и процессы в строительстве.
Объектом статистики строительства являются явления и процессы, необходимые для
создания сетью подрядных строительных организаций основных фондов. Статистика
строительства вычисляет обобщающие статистические показатели, характеризующие
деятельность строительной организации (СО), изучает конечный результат
производственной деятельности СО - строительную продукцию.
Список использованной литературы
1
Гусаров, В. М. Теория статистики : учеб. пособие для вузов / В. М. Гусаров. -
М. : ЮНИТИ -ДАНА, 2010. - 240 с. - ISBN 5-238-00149-5.
Афанасьев,
В. Н. Анализ временных рядов и прогнозирование : Учебник / В. Н. Афанасьев, М.
М. Юзбашев. - М. : Финансы и статистика, 2001. - 228 с. - ISBN 5-271-00379-5.
Елисеева,
И. И. Общая теория статистики : учебник / И. И. Елисеева, М. М. Юзбашев. - М. :
Финансы и статистика, 2007. - 656 с. - ISBN 5-223-002456-4.
Ильенкова,
С. Д. Экономико-статистический анализ : учеб. пособие для вузов / С. Д.
Ильенкова. - М. : ЮНИТИ - ДАНА, 2009. - 215 с. - ISBN 5-894-76208-1.
Шмойлова,
Р. А. Теория статистики : учебник / Р. А. Шмойлова. - М. : Финансы и
статистика, 2004. - 656 с. - ISBN 5-279-02414-7.
Дубров,
Т. А. Статистические методы прогнозирования : учеб. пособие / Под ред. Т. А.
Дубров. - М. : Проспект, 2011. - 92 с. - ISBN 5-238-00497-4.
Лебедева,
Т. В. Статистические методы прогнозирования в экономике: учеб. пособие для
вузов / Т. В. Лебедева, В. Н. Афанасьев. - М. : Финансы и статистика, 2012. -
76 с. - ISBN 5-278-02419-7.
Гришин,
А. Ф. Статистика : учеб. пособие для вузов / А. Ф. Гришин. - М. : Финансы и
статистика, 2000. - 414 с. - ISBN 5-238-00149-5.
Рафикова,
Н. Т. Основы статистики : учебник / Н. Т. Рафикова. - М. : Экономист, 2006. -
575 с. - ISBN 5-98118-155-0.