Анализ производственной деятельности предприятия

  • Вид работы:
    Курсовая работа (т)
  • Предмет:
    Эктеория
  • Язык:
    Русский
    ,
    Формат файла:
    MS Word
    145,22 Кб
  • Опубликовано:
    2014-10-04
Вы можете узнать стоимость помощи в написании студенческой работы.
Помощь в написании работы, которую точно примут!

Анализ производственной деятельности предприятия

Национальный исследовательский университет

Московский энергетический институт

Институт менеджмента и экономики в энергетике и промышленности

Кафедра экономики и антикризисного управления






Курсовая работа

По дисциплине: Экономика фирмы

Тема:

Анализ производственной деятельности предприятия



Выполнил: Бексеитов Е.Т.

Гр. ИМз-51-13






Алматы - 2014

Содержание

Введение

. Расчет потребности в основных средствах

. Расчет потребности во внеоборотных активах

3. Расчет потребности в трудовых ресурсах

4. Расчет текущих затрат на производство и реализацию продукции

. Расчет общей суммы издержек и определение цены продукции

. Расчет дохода, прибыли, рентабельности

Заключение

Список литературы

Введение

Для оценки деятельности предприятия вводятся различные количественные показатели, используя которые можно сделать вывод об эффективности и рентабельности предприятия.

Для более глубокого понимания и практического применения теоретических знаний предложено соответствующее практическое задание в форме курсовой работы. По своей сути выполняемая работа представляет собой технико-экономическое обоснование создания нового производственного предприятия. В рамках выполнения курсовой работы требуется самостоятельное применение знаний следующих разделов теоретической части курса:

Структура и формирование ресурсов предприятия,

Финансовые ресурсы, основные средства предприятия,

Трудовые ресурсы и оплата труда,

Формирование дохода и прибыли предприятия,

Структура затрат и себестоимость продукции.

Одновременно при выполнении работы потребуется умение самостоятельно использовать справочную, нормативную, бухгалтерскую и финансовую информацию. Типовой расчет выполняется с использованием таблиц Excel.

Объектом анализа является производственное предприятие. Производственная программа этого предприятия зависит от варианта.

Основными этапами (задачами) выполняемой работы являются:

·   Расчет основных показателей на базе исходной информации;

·   Расчет численности персонала и фонда оплаты труда;

·   Составление сметы затрат на производство;

·   Расчет себестоимости единицы продукции;

·   Планирование цены товара.

Исходные данные:

. Годовой объем производства продукции составляет 98 тыс. шт.

. Для выполнения всех вариантов типовых расчетов следует принять:

Режим работы предприятия:

Количество смен 1,1 смена/день;

Продолжительность рабочей смены - 8 час/смена;

Число рабочих дней в плановом периоде (год) 365 дней/год;

Потери времени на плановые ремонты - 5% от режимного фонда времени;

Коэффициент выполнения норм - 1,1;

Количество выходных 101 день/год;

Количество предпраздничных дней - 7 дней/год;

Сокращение длительности предпраздничного дня - 1 час/день;

Планируемые невыходы на работу 7 дней/год;

Продолжительность отпуска в рабочих днях - 28 дней/год.

1. Расчет потребности в основных средствах

Основную долю в структуре основных средств составляет технологическое оборудование. Необходимое количество оборудования определяется технологией производства и объемом производимой продукции.

Суммарная стоимость технологического оборудования Косн, тыс. р.:

,

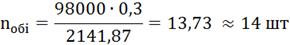
где m0 - число технологических операций; Цобi - цена единицы оборудования, используемого на i-той операции, тыс.р.; nобi - необходимое количество единиц оборудования на i-той операции:

,

где tопер - время обработки изделия или услуги, Nпл - планируемый объем производства в рассматриваемом периоде, шт/год.


Эффективный фонд времени работы единицы технологического оборудования , ч/период:


где Ткал - число календарных дней в рассматриваемом периоде;

Твых - число выходных дней;

Тпр - число праздничных дней;

ксм - число смен в сутки;

dсм - число часов в одной смене;

Тппр - количество предпраздничных дней;

dпр - сокращение длительности предпраздничного дня (1 час);

кпр - планируемые простои оборудования для проведения плановых ремонтов в долях единицы.


Таблица 1

Количество единиц оборудования по операциям и суммарная балансовая стоимость технологического оборудования

Наименование показателя

Единица измерения

Токарная операция

Фрезерная операция

Шлифовальная операция

Технологическая трудоемкость

час/шт

0,2

0,26

0,3

Планируемый объем производства

шт/год

98000

98000

98000

Эффективный фонд времени работы единицы оборудования

час/год

2141,87

2141,87

2141,87

Расчетное количество единиц оборудования необходимое на каждой операции

шт.

9

12

14

Принятое количество единиц оборудования необходимое на каждой операции

Шт

9

12

14

Цена единицы оборудования, используемого на каждой операции

тыс. руб./шт.

160

115

202

Суммарная стоимость оборудования

тыс. руб.

6492

Суммарная первоначальная стоимость оборудования

тыс. руб.

5453

Суммарная первоначальная стоимость технологического оборудования

тыс. руб.

1209,6

1159,2

2375,52


Таблица 2

Стоимостная структура основных средств

Наименование

Стоимость, руб.

Удельный вес, %

Оборудование, в т.ч. на:



Токарное Фрезерное Шлифовальное

1440 1380 2828

22,18 21,26 43,56

Транспортные средства

584

9

Вычислительная техника

260

4

Потребность в основных средствах

6492

100%


2. Расчет потребности во внеоборотных активах

Внеоборотные активы предприятия составляют ту часть его имущества, срок полезного использования которой превышает 12 месяцев. Структура внеоборотных активов представлена нематериальными активами, основными средствами и незавершенным строительством. Наибольший удельный вес составляют основные средства -84%. Нематериальные активы по условию задания составляют 4%, а незавершенное строительство -12%.

Таблица 3

Стоимостная структура внеоборотных активов

Наименование

Стоимость, руб.

Удельный вес, %

Внеоборотные активы, в т.ч. на:



Нематериальные активы Основные средства

260 5453

4 84

Незавершенное строительство

779

12

Потребность во внеоборотных активах

6492

100%



3. Расчет потребности в трудовых ресурсах

Состав персонала в соответствии с их функциями в процессе производства и реализации продукции представлен в таблице 4.

Таблица 4

Состав персонала

Должность

Количество, чел

Генеральный директор

1

Главный бухгалтер

1

Главный технолог

1

Основные производственные рабочие:


Токарь

12

Фрезеровщик

15

Шлифовальщик

17

Вспомогательные рабочие

2

Водитель

1

Уборщик

1

ИТОГО

51


Списочная численность администрации и вспомогательных рабочих определяется штатным расписанием, а основных производственных рабочих (Чосн) определяется по следующей формуле:

,

где tштучнi - штучное время на i-той операции, час/шт:

,

где tобс - время обслуживания рабочего места на i-той операции, час/шт (составляет 12% оперативного времени); tотд - время на отдых и личные надобности на i-той операции, час/шт(составляет примерно 3,5% оперативного времени).

Эффективный фонд времени одного работника в рассматриваемом преиоде, ч/год

,

,

где Тотп - продолжительность отпуска в рабочих днях/год; Тнв - планируемые невыходы, раб.дни/год; квн - коэффициент выполнения норм.


Таблица 5

Расчет численности основных производственных рабочих

Cписочная численность основных производственных рабочих:

tопер

tобс

tотд

tшт

Nгодtшт

,

Токарь

0,2

0,024

0,007

0,231

22638

12

Фрезеровщик

0,26

0,0312

0,0091

0,3003

29429,4

15

Шлифовальщик

0,3

0,036

0,0105

0,3465

33957

17


Таблица 6

Состав и структура персонала

Должность

Количество, чел

Удельный вес в общей численности, %

Генеральный директор

1

1,96

Главный бухгалтер

1

1,96

Главный технолог

1

1,96

Основные производственные рабочие:



Токарь

12

23,53

Фрезеровщик

15

29,42

Шлифовальщик

17

33,33

Вспомогательные рабочие:

2

3,92

Рабочие по обслуживанию оборудования



Водитель

1

1,96

Уборщик

1

1,96

ИТОГО

51

100%


4. Расчет текущих затрат на производство и реализацию продукции

Затраты организации в зависимости от характера расходов, условий осуществления и направлений деятельности организации делятся.

Все виды затрат могут классифицироваться по различным признакам: по составу, по экономическому содержанию, по местам возникновения, и так далее. Основным из перечисленных признаков, осуществленных организацией затрат, является их экономическое содержание. В связи с чем, пункт 8 ПБУ 10/99 требует при формировании расходов по обычным видам деятельности обеспечить их группировку по следующим элементам:

материальные затраты;

затраты на оплату труда;

отчисления на социальные нужды;

амортизация;

прочие затраты.

Для целей управления в бухгалтерском учете организуется учет затрат по статьям калькуляции. Перечень статей затрат устанавливается организацией самостоятельно в соответствии с отраслевыми особенностями.

Организации машиностроительного комплекса, осуществляющие промышленную деятельность, используют типовую группировку затрат, которая содержит следующие статьи:

)   сырье и материалы;

2)      возвратные отходы (вычитаются);

)        покупные изделия, полуфабрикаты и услуги производственного характера сторонних организаций;

)        топливо и энергия на технологические цели;

)        заработная плата основных производственных рабочих;

)        отчисления на социальные нужды;

)        расходы на подготовку и освоение производства;

)        общепроизводственные расходы;

Производственная себестоимость

)   общехозяйственные расходы;

10)    потери от брака;

Полная производственная себестоимость продукции;

)   коммерческие расходы;

Итого коммерческая себестоимость продукции:

В отчете о прибылях и убытках предприятие в соответствии с выбранной учетной политикой может рассчитывать сокращенную (частичную) производственную себестоимость продукции. При этом, общехозяйственные расходы делят на условно-переменные и условно-постоянные. Условно-переменная составляющая «Общехозяйственных расходов» учитывается в составе себестоимости, а условно-постоянная в составе «Управленческих расходов».

Производственная себестоимость (Спр)

Расчет затрат на сырье, материалы и комплектующие изделия (Ссм):

В данном разделе осуществляется расчет необходимого количества сырья и материалов для производства заданного объема продукции в натуральном и стоимостном измерении.

В статью «Сырье и материалы» включаются сырье и материалы, из которых изготавливается навесной замок, проходящий все соответствующие технологические процессы. Здесь, также, учитываются вспомогательные материалы и покупные комплектующие изделия. Транспортно-заготовительные расходы, связанные с доставкой и складированием материалов составляют 13% от цены соответствующего материала. Покупными комплектующими считается то, что не проходит на данном предприятии обработку, а включается в изделие в том виде, в каком приобретено. В данном случае это - шурупы, гвозди, уголки металлические и ручки мебельные.

Таблица 7

Расчет сырья, материалов и комплектующих изделий

Сырье, материалы, комплектующие изделия

Наименование

Назначение

ед. изм

Расход на 1 замок

Цена, руб.

Сумма затраты на 1 един. прод., руб.

Сумм. затраты за мес., руб.

Сумм. затраты за год, руб.

Основные материалы

Стальной лист

Корпус, планка, запорная

м2

0,04

550,2

22

179667

2156000

Полоса латунная

Ключ, цилиндр

М

0,15

822,5

123,4

1007767

12093200

Круг стальной

Ригель

М

0,04

613,4

24,5

200083

2401000

Итого:

169,9

1387517

16650200

Вспомогательные материалы

Полимерная краска

Покрытие корпуса и планки

кг

0,08

126,6

10,1

82483

989800

Масло И12А

Смазка цилиндрового механизма

кг

0,01

18,4

1633

19600

Итого:

10,3

84116

1009400

Итого материалов:

180,2

1471633

17659600

Покупные комплектующие

Шуруп 4х30

Крепление

шт

4

0,5

2

16333

196000

Шуруп 4х50

Крепление

шт

4

0,7

2,8

22867

274400

Шуруп 3х16

Крепление

шт

1

0,8

0,8

6533

78400

Рукоять полистироловая

Движение рабочих частей

шт

1

10,73

10,73

87628

1051540

Планка полистироловая

Корпус

шт

1

10,46

10,46

85423

1025080

Итого покупных комплектующих

26,8

218784

2625420

Итого материалов и покупных комплектующих

207

1690417

20285020

Итого с учетом транспортно-заготовительных расходов

233,9

1910171

22922073


Затраты на электроэнергию, потребляемую на предприятии технологическим оборудованием для производства продукции за год:

Расход силовой электроэнергии рассчитывается исходя из мощности установленных на оборудовании двигателей (т.е. нагрузки) и количества часов их работы, необходимого для производства продукции. Затраты на силовую электроэнергию, потребляемую технологическим оборудованием определяют по формуле:

,

где Wуст - установленная мощность электродвигателей оборудования и транспортных средств, кВт; Fэф.обор.i - эффективный фонд времени работы оборудования за период час/год; Кисп - коэффициент использования по мощности; Цэ - тариф за 1 кВтчас электроэнергии (тариф взят согласно [1]).


Таблица 8

Расход средств на электроэнергию

№ п/п

Наименование

Wуст, кВт

Fэф.обор.i, ч/год

Кисп

Цэ

, руб/год

, руб/мес

, руб/шт


Электроэнергия всего в т.ч.








1

Оборудование








1.1 1.2 1.3

Токарный фрезерный шлифовальный

81 86,4 78,4

2141,87 2141,87 2141,87

0,8 0,8 0,7

4,5 4,5 4,5

624569,3 666207,2 528956,2

52047,4 55517,3 44079,7

6,37 6,8 5,4



Расчет затрат на заработную плату основных производственных рабочих с отчислениями:

В себестоимости продукции затраты труда производственных рабочих учитываются в форме основной и дополнительной заработной платы. Годовая величина затрат на основную и дополнительную заработную плату составляет фонд оплаты труда (= ФОТ ). Он рассчитывается на основе штатного расписания, системы оплаты труда, тарифов и расценок, а также на основе анализа количества, качества и сложности труда. Фонд оплаты труда (ФОТ) определяется следующим образом:

. Оплата за труд (тарифный фонд). Если рабочий является сдельщиком, то его труд оплачивается исходя из количества выработанной им продукции. Это называется системой сдельной оплаты труда. Тарифный фонд рабочих-сдельщиков равен произведению тарифной ставки (за единицу произведенной продукции) рабочего- повременщика (руб.) и количества произведенной продукции (ед.).Годовые затраты на заработную плату основных производственных рабочих-сдельщиков по тарифу рассчитывают по формуле:


где Срасi - расценка за единицу продукции при обработке на i-той операции, n - количество операций технологического процесса изготовления продукции.

Кроме заработной платы по тарифу рабочие получают премии () за качество выполненной работы. Годовой размер премии основных производственных рабочих рассчитывается по формуле:


 - коэффициент, учитывающий премии по премиальной системе (0,25 для основных рабочих).

. Размеры и условия выплаты премий регламентируются нормативными документами предприятия - Положением о премировании.

Дополнительная заработная () плата основных производственных рабочих за год включает выплаты, предусмотренные законодательством о труде и положениями по оплате труда на предприятии. Сюда входят выплаты за непроработанное время: оплата очередных отпусков, оплата льготных часов подростков и др.


 - коэффициент дополнительной заработной платы (в диапазоне 0,2-0,4).

3. Размеры и условия выплаты различных надбавок и доплат регламентируются нормативными документами предприятия - Положением об оплате труда - и Трудовым Кодексом Российской Федерации. Это могут быть:

•надбавки за работу в ночное время (с 22.00 до 06.00).;

•доплаты за работу в выходные и праздничные дни;

•доплаты за сверхурочно отработанное время и т.д.

•оплата очередных отпусков;

•оплата учебных отпусков;

•оплата дней выполнения государственных обязанностей и т.д.

Данные выплаты рассчитываются на основе среднедневного заработка.

Годовой фонд оплаты труда рабочих равен сумме тарифного фонда, доплат, надбавок, премий и оплаты за отпуск и выполнение государственных обязанностей. Также не забудьте учесть районный коэффициент, если это необходимо. Годовой фонд оплаты труда (ФОТ) рассчитывается по формуле:


Для того чтобы рассчитать среднегодовую зарплату одного рабочего, необходимо разделить годовой фонд оплаты труда на списочную численность рабочих. Аналогично, но с использованием месячного фонда оплаты труда, можно рассчитать среднемесячную зарплату одного рабочего.

4. Затраты на социальные отчисления ()

Таблица 9

Отчисления в государственные социальные внебюджетные фонды

Характер отчисления

%

Токарь, руб

Фрезеровщик, руб

Шлифовальщик, руб

Фонд социального страхования

2,90%

4803

2956

7805

Пенсионный фонд

22%

36436

22422

59209

Фонд обязательного медицинского страхования

5,10%

8447

5198

13726

Итого

30%

49686

30576

95550

Затраты на подготовку и освоение производства ():

К ним относят:

расходы на освоение новых предприятий, производств, цехов и агрегатов (пусковые расходы);

расходы на подготовку и освоение производства новых видов продукции и новых технологических процессов;

другие единовременные затраты, перечень которых устанавливается в отраслевых инструкциях.

К расходам на подготовку и освоение производства новых видов продукции и новых технологических процессов относятся затраты на проектирование и конструирование, на разработку технологического процесса изготовления нового изделия, на перестановку и переналадку оборудования, а также стоимость изделия, используемого в качестве образца. На предприятиях с многономенклатурным производством изделий, где период освоения производства непродолжителен и расходы относительно невелики, они могут планироваться и учитываться в составе цеховых расходов. При изготовлении изделий по индивидуальным заказам плановые и фактические затраты на подготовку производства относятся полностью на себестоимость соответствующего изделия или партий изделий.

К статье "Расходы на подготовку и освоение производства" относятся также другие единовременные затраты (не возмещаемые за счет капитальных вложений) на подготовку производства, производимые до начала выпуска продукции или связанные с расширением масштабов производства.

Размер затрат определяют по формуле:


Где - коэффициент расходов на освоение производства.

Общепроизводственные затраты:

Общепроизводственные расходы (ОПР), включают затраты по содержанию помещений, а также затраты связанные с организацией, обслуживанием и управлением производством. Сюда входит ряд статей:

расходы по эксплуатации машин и оборудования

износ основных средств производственного назначения;

затраты на ремонт основных средств;

расходы по управлению (заработная плата персонала, обслуживающего производство с отчислениями на социальное страхование);

хозяйственные расходы (отопление, освещение, содержание помещений, арендная плата за основные средства) и др.

ОПР являются условно-постоянными затратами, т.к. они напрямую не зависят от объема выпуска продукции. Эти выплаты будут производиться в полном размере даже при значительном снижении объемов производства продукции. производство затрата прибыль рентабельность

В том случае, если организация выпускается более одного вида продукции, то общепроизводственные расходы при списании распределяются по видам выпускаемой продукции. Способы распределения могут быть различными - пропорционально заработной плате производственных рабочих, пропорционально сумме прямых расходов, пропорционально объему выпущенной продукции (в натуральном или стоимостном выражении), пропорционально выручке от реализации продукции и другие. В зависимости от выбранного способа распределения суммы общепроизводственных расходов, списанных на разные виды продукции, могут быть различными.

На практике в большинстве случаев рассчитывается смета общепроизводственных расходов и делится на заработную плату основных производственных рабочих. Таким образом, определяется процент накладных общепроизводственных расходов для отнесения их стоимости на единицу готовой продукции. Если объем производства будет падать, то пропорционально уменьшится и заработная плата основных рабочих. В этом случае отношение суммы общецеховых расходов и заработной платы основных рабочих будет больше, чем в первом случае.

Рассчитаем некоторые из вышеперечисленных статей общецеховых расходов для предприятия по производству изделий.

. Расходы на содержание и эксплуатацию оборудования

На данную статью относят: 

Похожие работы на - Анализ производственной деятельности предприятия

 

Не нашли материал для своей работы?
Поможем написать уникальную работу
Без плагиата!
Без нейросетей!