Оценка и анализ производственной деятельности предприятия

  • Вид работы:
    Дипломная (ВКР)
  • Предмет:
    Менеджмент
  • Язык:
    Русский
    ,
    Формат файла:
    MS Word
    546,39 kb
  • Опубликовано:
    2010-05-04
Вы можете узнать стоимость помощи в написании студенческой работы.
Помощь в написании работы, которую точно примут!

Оценка и анализ производственной деятельности предприятия












ДИПЛОМНЫЙ ПРОЕКТ

на тему

Оценка и анализ производственной деятельности предприятия

(на примере ОАО "Балаковорезинотехника")













г. Балаково 2009 г.

ПЛАН-ГРАФИК

"Оценка и анализ производственной деятельности предприятия "

№ п/п

Выполненные работы

Срок выполнения

Отметка о выполнении

1.

Поиск литературы и других источников, их предварительное изучение, подготовка списка источников



2.

Формирование концепции исследования, его содержания и структуры



3.

Написание введения, изучение источников



4.

Анализ выбранной для исследования конкретной ситуации



5.

Формирования проекта решения практической задачи



6.

Написание первой главы



7.

Написание второй главы



8.

Формирование выводов и практических рекомендаций. Написание заключения



9.

Доработка текста дипломного проекта



10.

Оформление дипломного проекта



11.

Представление дипломного проекта на кафедру



12.

Подготовка сообщения и иллюстративных материалов для защиты



13.

Изучение отзыва и рецензий.

Подготовка ответов на замечания



 

Исполнитель: ________ ____________ "____"________200____г.


СОДЕРЖАНИЕ

Введение

Глава 1. Теоретические основы анализа и оценки производственной деятельности промышленного предприятия

1.1 Понятие производственной деятельности и ее основные элементы

1.2 Основные направления оценки и анализа производственной деятельности

1.3 Резервы повышения эффективности производственной деятельности

Глава 2. Анализ производственной деятельности ОАО "Балаковорезинотехника"

2.1 Организационно-экономическая характеристика предприятия

2.2 Анализ и оценка эффективности производственной деятельности предприятия

Глава 3. Направления повышения эффективности производственной деятельности ОАО "Балаковорезинотехника"

3.1 Внедрение стратегического подхода к определению целей производственной деятельности

3.2 Внедрение ЕRP-систем управления производственной деятельностью

Заключение

Библиографический список

Введение

Состояние любой экономической системы в значительной степени обусловлена деятельностью субъектов, ее формирующих. В связи с этим, главной характеристикой любого хозяйствующего субъекта, действующего в условиях рыночной экономики, является осуществление им производственной деятельности. При этом производственная деятельность осуществляется в разнообразных формах, в разных отраслях экономики физическими лицами и юридическими лицами. Это деятельность по производству не только материальных благ, но и нематериальных (в образовании, здравоохранении, культуре, науке и др.), включая оказание различных услуг во всех сферах жизнедеятельности человека.

Являясь центральным процессом для любой организации, производственная деятельность в значительной степени определяет экономическую эффективность предприятия. Поэтому актуальнейшей задачей для любого предприятия является анализ производственной деятельности и оценка ее эффективности, а также поиск путей ее совершенствования. В настоящее время проблема управления, анализа и оценки производственной деятельности широко рассмотрена в трудах многих российских и зарубежных авторов. Однако, несмотря на то, что в практически во всей литературе, связанной с управлением и экономикой предприятия, подчеркивается исключительная значимость эффективной производственной деятельности, большая часть исследователей ограничивается анализом отдельных, частных показателей производственной деятельности, и не предоставляет комплексного подхода.

Цель дипломного проекта заключается в выявлении содержания и проведения анализа и оценки производственной деятельности на примере промышленного предприятия, а также в разработке предложений по совершенствованию производственной деятельности.

В связи с поставленной целью в работе решается ряд задач:

- раскрывается сущность понятия и основные элементы производственной деятельности;

- рассматриваются основные направления оценки и анализа производственной деятельности;

- рассматривается методика выявления резервов повышения эффективности производственной деятельности;

- дается организационно-экономическая характеристика предприятия, выступающего объектом исследования ;

- осуществляется анализ и производится оценка эффективности производственной деятельности исследуемого предприятия;

- выявляются направления повышения эффективности производственной деятельности исследуемого предприятия.

Объектом исследования является ОАО "Балаковорезинотехника". Предмет исследования – производственная деятельность ОАО и резервы повышения ее эффективности. Дипломный проект содержит введение, три части, заключение, библиографический список и приложения. В первой части рассматриваются теоретические основы анализа и оценки производственной деятельности.Во второй части проводится всесторонний анализ деятельности предприятия, особое внимание уделено анализу и оценке эффективности производственной деятельности предприятия. В третьей часть определяются резервы повышения эффективности производственной деятельности исследуемого предприятия. В процессе работы над дипломным проектом использовались труды таких авторов, как Сергеев В.И., Савицкая Г.В., Басовский Л.Е., Фатхутдинов Р.А., Козловский В.А., а также труды зарубежных авторов. При работе над аналитической частью дипломного проекта были использованы информационные материалы, данные статистической, управленческой и бухгалтерской отчетности исследуемого предприятия.

Глава 1. Теоретические основы анализа и оценки производственной деятельности промышленного предприятия

1.1 Понятие производственной деятельности и ее основные элементы

Главной характеристикой любого хозяйствующего субъекта, действующего в условиях рыночной экономики, является осуществление им производственной деятельности. При этом производственная деятельность осуществляется в разнообразных формах, в разных отраслях экономики физическими лицами и юридическими лицами. Это деятельность по производству не только материальных благ, но и нематериальных (в образовании, здравоохранении, культуре, науке и др.), включая оказание различных услуг во всех сферах, что определено в Общероссийском классификаторе видов экономической деятельности, продукции и услуг (ОКДП), утвержденном постановлением Госстандарта России от 6 августа 1993 г. № 17.

Обобщая все аспекты и формы проявления, производственную деятельность можно определить как совокупность действий работников с применением средств труда, необходимых для превращения ресурсов в готовую продукцию, включающих в себя производство и переработку различных видов сырья, строительство, оказание различных видов услуг.

С позиций микроэкономики производственную деятельность можно определить как целенаправленную деятельность, результатом которой является превращение отдельных компонентов в полезный продукт или изменение свойств, формы продукта.

Цель производственной деятельности предприятия – выпуск продукта, его реализация и получение прибыли.

Производственная деятельность организации складывается из производственных процессов, которые состоят из хозяйственных операций: снабженческо-заготовительной, непосредственно производственной, финансово-сбытовой и организационной деятельности. Для реализации все совокупности производственных процессов и осуществления производственной деятельности на предприятии формируется производственная система, состоящая из совокупности взаимосвязанных и взаимозависимых компонентов, под которыми обычно понимают различные ресурсы, необходимые для производства, и результат производства. Продукт как цель создания и действия производственной системы выступает в процессе изготовления в разных видах относительно своего исходного материала и готовности. Производство продукта есть определенная технология, в соответствии с которой завершается трансформация затрат в продукцию.

Состав элементов производства определяют технологические схемы. Наиболее простая система представлена на рис. 1.1.

Рис. 1.1. – Взаимосвязь элементов производственной системы предприятия

Каждый элемент рассматриваемой производственной системы выступает в производстве как самостоятельная система, состоящая из более простых компонентов. Системы различаются своими целями, имеют конкретные характеристики и факторы, подчиняются объективным законам экономики.

Система управления производственной деятельностью представляет собой совокупность взаимосвязанных функций и структурных элементов, обеспечивающих реализацию предприятием производственных задач и целей.

Управление производственной деятельностью, в первую очередь, осуществляется через совокупность функций. Они многообразны и могут касаться различных объектов, видов деятельности, задач и др. В этой связи функции управления можно классифицировать по следующим признакам:

· по признаку управляемого объекта: предприятие, цех, участок, бригада, агрегат (рабочий);

· по признаку деятельности: экономическая, организационная, социальная;

· по признаку однородности: общие, специальные;

· по содержанию труда: научные исследования, подготовка производства, оперативное управление, снабжение и сбыт, технико-экономическое планирование и анализ, бухгалтерский учет, управление кадрами, планирование и учет труда и заработной платы, планирование и учет финансов;

· по характеру выполняемых задач: планирование, организация, регулирование, контроль, учет и анализ, стимулирование.

Функции управления характеризуют разделение, специализацию труда в сфере управления и определяют основные стадии реализации воздействий на отношения людей в процессе производства. К основным функциям управления производством относятся: организация, нормирование, планирование, координация, мотивация, учет, контроль, анализ и регулирование.

Функция организации имеет отношение к системе управления, характеризуя присущие ей свойства, структуру, состав, взаимосвязь и процесс взаимодействия указанных элементов. Кроме того, эта функция имеет отношение к организации управления системой и организации работ по реализации каждой функции управления. Применительно к производственному подразделению предприятия или отдельному цеху функция организации в первую очередь отражает структуру управляемой и управляющих систем, обеспечивающих процесс производства продукции и целенаправленное воздействие на коллектив людей, реализующих этот процесс.

На действующем предприятии совершенствование организации производства сопровождается совершенствованием системы управления и, наоборот, необходимость совершенствования системы управления вызывает первоочередное проведение работ по совершенствованию организации производственного процесса. Если не придерживаться этого условия, может возникнуть диспропорция между уровнями организации производственного процесса и системы управления.

Организация управления – это совокупность приемов и методов рационального сочетания элементов и звеньев управляющей системы, и ее взаимосвязи с управляемым объектом и другими управляющими системами во времени и пространстве. В этом значении организация управления обеспечивает создание наиболее благоприятных условий для достижения поставленных целей в установленный период времени при минимальных затратах производственных ресурсов.

Функцию нормирования следует рассматривать как процесс разработки научно обоснованных расчетных величин, устанавливающих количественную и качественную оценку различных элементов, используемых в процессе производства и управления. Эта функция оказывает воздействие на поведение объекта, четкими и строгими нормами дисциплинирует разработку и реализацию производственных заданий, обеспечивает равномерный и ритмичный ход производства, его высокую эффективность. Рассчитываемые по этой функции календарно-плановые нормативы (производственные циклы, размеры партий, заделов деталей и др.) служат основой планирования, определяют продолжительность и порядок движения предметов труда в процессе производства.

Вместе с тем, на предприятиях и цехах создаются и действуют нормативы, определяющие технический уровень выпускаемой продукции (стандарты и технические условия), а также нормативные документы, характеризующие права и обязанности различных звеньев управления, формирующие правила поведения системы в целом (инструкции, методики), и др. В этом понимании они относится к функции организации системы.

Следовательно, функции организации и нормирования имеют двойственный характер. Так, функция организации характеризует создание (совершенствование) системы управления, а на стадии организации работы реализуется при непосредственном управлении производством. Функция нормирования реализуется с помощью нормативных документов, инструкций при создании системы, а разработанные календарно-плановые нормативы используются при планировании производственной деятельности.

Функция планирования занимает центральное место среди всех функций управления, так как призвана строго регламентировать поведение объекта в процессе реализации поставленных перед ним целей. Она предусматривает определение конкретных задач каждому подразделению на различные плановые периоды и разработку производственных программ.

Разрабатываемые на основе календарно-плановых нормативов программы выпуска деталей и изделий предусматривают наиболее полное использование передовой техники и технологии, производственной мощности предприятия, материальных и моральных стимулов повышения производительности труда.

Планирование оказывает непосредственное влияние на уровень активации деятельности руководства и аппарата управления. Высокое качество разработанных программ, особенно с помощью ЭВМ и экономико-математических методов, их строгая увязка по всем подразделениям предприятия и цехов, согласованность с имеющимися в наличии материальными, финансовыми и трудовыми ресурсами позволяет наиболее эффективно управлять производством.

Функция координации позволяет добиться согласованной и слаженной работы участвующих в процессе выполнения плановых заданий производственных и функциональных подразделений предприятия и цехов. Эта функция реализуется в форме воздействия на коллектив людей, занятых в процессе производства, со стороны линейных руководителей и функциональных служб предприятия и цехов, которые регулярно и оперативно координируют их деятельность.

Функция мотивации оказывает влияние на коллектив цеха в форме побудительных мотивов к эффективному труду, общественного воздействия, коллективных и личных поощрительных мер и т.д. Указанные формы воздействия активизируют работу органов управления, повышают эффективность всей системы управления производством.

Функция контроля проявляется в форме воздействия на коллектив людей посредством выявления, обобщения, анализа результатов производственной деятельности каждого цеха и доведения их до руководителей подразделений и служб управления с целью подготовки управленческих решений. Эта функция реализуется на основе информации о ходе выполнения плановых заданий (данных оперативного, статистического, бухгалтерского учета), выявления отклонений от установленных показателей работы (контроля исполнения заданий) и анализа причин отклонений.

Функция регулирования непосредственно смыкается с функциями координации и контроля. В ходе производства разработанные программы подвергаются воздействию со стороны внутренней и внешней среды, в результате чего возникают нарушения в процессе выполнения заданий. Функция регулирования воздействует на коллектив людей, занятых в производстве, посредством принятия оперативных мер по предотвращению и, если это не удается, то по устранению выявленных отклонений и перебоев в ходе производства. Одновременно происходит координация текущей работы взаимосвязанных звеньев производства для поддержания его ритмичности.

Функции контроля и регулирования в процессе управления производством выполняют роль гибких инструментов, с помощью которых ход производства непрерывно (в реальном масштабе времени для каждого производственного подразделения) вводится в строгие рамки, предусмотренные планом.

Система управления производством проявляет себя через определенные элементы. К ним относятся: процесс управления, цели системы, объект управления, субъект управления, контур управления и др.

Производство продукции является основным содержанием производственной деятельности предприятия. Управление этим процессом организуется в масштабе предприятия, в каждом из основных цехов. Содержательной и наиболее ответственной работой по управлению производством является планирование производства изделий, то есть формирование для цехов, участков производственных программ и создание необходимых условий для их выполнения. Эта работа в соответствии с установленными плановыми периодами регулярно повторяется, выполняется функциональными службами и линейными руководителями производственных подразделений.

Управленческий персонал отделов (бюро) предприятия и цехов, участвуя в этом процессе, осуществляет регламентацию всей совокупности указанных выше функций, форм и методов управления, использует необходимые рычаги воздействия для поддержания устойчивости производства и стимулирования работы коллектива каждого подразделения в целях выполнения программы и достижения наибольшей эффективности производства. Указанные процедуры (нематериальные элементы), рассматриваемые в единстве и взаимосвязи, представляют собой механизм, с помощью которого управленческий персонал воздействует на коллектив производственных цехов и предприятия в целом.

Разработка производственных программ и выполнение других функций по управлению производством основываются на использовании управленческим персоналом информации целевого назначения о ходе производства, а также средств вычислительной техники для ее обработки. Здесь персонал, информация, вычислительная техника выступают как материальные элементы, используемые в процессе управления. Между этими элементами имеют место определенные связи и отношения управления. Во взаимосвязи с нематериальными элементами они образуют систему управления производством.

Система управления производственной деятельностью имеет свою структуру. Под структурой управления производством понимается упорядоченная совокупность взаимосвязанных элементов, находящихся между собой в устойчивых отношениях, обеспечивающих их функционирование и развитие как единого целого. Производственная деятельность предприятия и его подразделений должна направляться и координироваться соответствующим руководителем или специальным органом. Чем глубже разделение труда на предприятии и, соответственно, больше видов деятельности и подразделений, тем сложнее оказывается вся структура органов управления, тем больше в ней уровней иерархии. Так, например, уже для двух объектов нужен общий управляющий орган, который более чем десятью объектами обычно руководить не в состоянии. Если на практике таких объектов больше, их приходится объединять в две группы, и тогда возникает потребность в координации деятельности с помощью нового управляющего органа, имеющего более высокий ранг, чем они. Структура становится двухуровневой. При дальнейшем расширении масштабов деятельности предприятия соответствующим образом растет число уровней иерархии.

Органы управления всегда относятся к конкретным подразделениям или их группам, поэтому их структура должна совпадать с общей организационной структурой предприятия. Соответственно, правомерно выделять следующие организационные структуры управления производственной деятельностью: линейную, функциональную, линейно-функциональную, матричную и т.д. Задача менеджера состоит в том, чтобы выбрать структуру, которая лучше всего отвечает целям и задачам организации, а также воздействующим на нее внутренним и внешним факторам. Конкретную организационную структуру управления производственной деятельностью определяют группы показателей, параметров, факторов и признаков.

Ориентирами для деятельности любого предприятия является его планы: план производства, план реализации продукции, план развития и т.д. Производственная программа является одним из таких планов, который отражает основные направления и задачи развития в плановом периоде, производственно-хозяйственные связи с другими предприятиями, профиль и степень специализации производства.

Производственная программа - это основной раздел годового и перспективного бизнес-плана развития предприятия. В ней определяется объем изготовления продукции по номенклатуре, ассортименту и качеству в натуральном и стоимостном выражениях.

Производственная программа включает следующие основные разделы:

· План по производству продукции предприятия.

· План выпуска продукции на экспорт.

· План по повышению качества продукции.

· План реализации продукции.

При формировании производственной программы необходимо ориентироваться на потенциальные и фактические возможности предприятия по производству продукции, т.е. на производственную мощность .

Подготовка производственной программы является ответом на ключевые вопросы управления производством:

·   Какие виды продукции и в каких количествах производить?

·   В какие сроки должна быть готова продукция к отправке покупателю?

·   Какого качества должна быть продукция в планируемом периоде?

·   Сколько продукции предприятие может выпустить дополнительно в случае возникновения срочных заказов, какого вида и качества?

·   Каков нижний предел объема выпуска продукции, при котором следует перейти в режим его консервации или остановить для модернизации?

·   Каковы должны быть объемы потребляемых ресурсов для производства продукции и возможности для их удовлетворения?

При разработке производственной программы необходимо основываться на потребностях регионального и мирового рынков, общей рыночной ситуации, состоянии конкурирующих предприятий и отраслей.

В качестве исходных данных при разработке производственной программы используются:

·   уставные виды деятельности предприятия по производству и реализации продукции;

·   результаты фактического выполнения производственной программы за предыдущие периоды;

·   данные по спросу на продукцию предприятия;

·   сведения о рекламациях, замечаниях по качеству продукции за предыдущий период;

·   сведения о долях продукции предприятия в общем объеме ее выпуска на рынке за предыдущий период по уровням качества;

·   сведения об объеме реализации продукции предприятия за предыдущий период по месяцам (кварталам);

·   расчеты производственной мощности предприятия;

·   прогрессивные технико-экономические нормы и нормативы;

·   решения высших органов управления предприятия о стратегических перспективах его развития.

Основной раздел производственной программы содержит план по производству продукции предприятия, при подготовке которого обычно рассчитывают:

1. Объем производства каждой товарной позиции в натуральном выражении, который определяется по формуле

 

Nпр. = Nпост. - Он.скл.+ Ок.скл. + Nвн (1)

 

где Nпост - объем поставки изделия в натуральном выражении;

Он.скл.иОк.скл - остатки данных изделий на складе готовой продукции на начало и конец планового периода; При этом остатки готовой продукции на складе на начало планового периода рассчитываются на основании фактических остатков изделий на момент расчета, а также прогноза их производства и отгрузки с момента расчета до начала планового периода. Остатки готовой продукции на складе на конец планового периода устанавливаются в зависимости от прогноза сбыта продукции в следующем плановом периоде.

Nвн - количество изделий для внутреннего потребления.

2. Себестоимость продукции по каждой товарной позиции как сумму всех затрат предприятия, связанных с приобретением или производством данного вида продукции.Полная себестоимость продукции определяется как сумма стоимости основных материалов, цеховых расходов, заработной платы работников, расходов по содержанию и эксплуатации оборудования, налоговых отчислений, коммерческих расходов на реализацию продукции.

3. Чистая продукция определяется путем вычитания из товарной продукции (в оптовых ценах предприятия) материальных затрат в тех же ценах, а также суммы амортизации основных фондов.

4. Также в рамках производственного плана предусматриваются задания по снятию с производства устаревших видов изделий, т.е. продукции, не соответствующей современным требованиям экономики и населения, морально устаревшей, и указываются конкретные сроки замены устаревших изделий, а также новые виды изделий (типы, модели), их заменяющие.

5. План выпуска продукции на экспорт.

В случае наличия у предприятия зарубежных клиентов, в этом плане производства обязательно должны быть представлены показатели объемов выпуска продукции предприятия, соответствующей требованиям ее поставок на экспорт на условиях конкретных соглашений и договоров.

6. План по повышению качества продукции – отражает показатели обновления ассортимента и потребительских свойств продукции, обусловленные требованиями международных и отечественных стандартов качества, нововведениями и динамикой развития производства. Качество продукции по своим технико-экономическим показателям должно отвечать принятым стандартам на всех стадиях проектирования и изготовления продукции.

7. План реализации (сбыта) продукции – отражает динамику реализации продукции конкретным покупателям, выявленным в процессе маркетинговых исследований.

В качестве критериев оптимальности производственной программы чаще всего применяется максимум прибыли, получаемой на единицу изделия и критический объем продаж - минимально необходимый объем производства (продаж) изделия, обеспечивающий его безубыточность (т.н. "точка безубыточности).

Формирование производственной программы, обеспечивающую предприятию максимальную прибыль, осуществляется с учетом следующих условий:

1) необходим расчет величины маржинального дохода на единицу продукции по каждому виду.

2) осуществляется ранжирование продукции в порядке убывания маржинального дохода. Порядок расположения изделий будет соответствовать их приоритетности для включения в производственную программу.

3) разработка программы должна сопровождаться расчетами загрузки производственного оборудования и площадей. Первое изделие включается в производственную программу в полном объеме и рассчитывается неиспользованный остаток по существующим производственным мощностям. Затем включается следующее по приоритету изделие и т.д. до тех пор, пока имеющийся ресурс производственных мощностей не будет исчерпан.

4) итоговая программа, как правило, должна быть несколько ниже производственной мощности. Резервирование позволит обеспечить полное и своевременное выполнение обязательств по поставке продукции при сбоях в производстве

5) в отдельных случаях лимитирующими факторами для оптимизации производственной программы могут оказаться недостаток квалифицированных кадров, слабый уровень НИР и ОКР, морально устаревшее оборудование или ограничения по закупкам материалов и комплектующих для различных видов изделий. В этих случаях программа должна быть проверена на потребность в дефицитных видах ресурсов.

В связи с большим число параметров, определяющих эффективность производственной деятельности, важнейшим аспектом управления производством является осуществление анализа и оценки эффективности производственной деятельности предприятия.

1.2 Основные направления оценки и анализа производственной деятельности

Процесс управления производственной деятельностью предприятия основывается на постоянном сопоставлении расходов и полученных результатов. Управление производственной деятельностью является самой сложной и ответственной сферой управления на производственных предприятиях, поскольку на эту сферу приходится основная часть затрат предприятия. В то же время именно в этой сфере создается основа жизнедеятельности предприятия. Поэтому выбор правильных направлений и соответствующих подходов к оценке и анализу производственной деятельности предприятия приобретает особое значение.

Производственная деятельность предприятий характеризуется обширной системой показателей. Важнейшим из них в условиях свободных рыночных отношений являются такие, как спрос на продукцию и объем производства, величина предложения и производственная мощность предприятия, издержки и цены на продукцию, потребность ресурсов и инвестиций, объем продаж и общий доход. Состояние производства также характеризуется его эффективностью, психологическими параметрами, степенью использования достижений научно-технического прогресса, местом и ролью работника в производственных процессах. Ограничение ресурсов и достижение планируемой эффективности требуют постоянного сопоставления расходов и полученных результатов. Эта проблема усиливается под воздействием инфляции, когда данные о производственных затратах необходимо повседневно сверять с данными будущих затрат, которые зависят в большой степени от влияния внешней среды. Кроме того, администрация в целях управления затратами и доходами наблюдает за эффективностью работы каждого подразделения, за полученными результатами от производства каждого вида продукта.

Спрос показывает количество товаров, которые потребители готовы и в состоянии приобрести по действующим рыночным ценам в течение определенного периода времени. А для предприятия или фирмы спрос определяет объем продукции, который они могут продать на рынке в данное время и, следовательно, должны произвести в планируемом периоде. Чтобы величины спроса имели существенное экономическое значение в ходе планирования, они должны относиться к определенному отрезку времени – дню, неделе, месяцу, кварталу, году и т.п. Поэтому следует различать годовые, квартальные, месячные и другие показатели спроса, необходимые для планирования соответствующих объемов производства и продажи продукции. Коренное свойство спроса, как учит рыночная экономика, заключается в том, что при неизменности всех прочих параметров снижение цены на товар ведет к возрастанию величины спроса. Именно поэтому существует обратная, или отрицательная, связь между цепной и величиной спроса, называется экономическим законом спроса, или кривой спроса.

Предложение можно определить как шкалу, показывающую разные количества продукта, которые производитель желает и способен произвести и предложить к продаже на рынке по каждой конкретной цене в течение определенного периода времени. Предложение показывает, какие объемы или количества товаров будут предъявлены к продаже на рынке по разным ценам, когда все прочие факторы остаются неизменными. С повышением цен возрастает и размер предложения, а сокращение цен приводит к соответствующему уменьшению предложения. Закон предложения, или кривая предложения, показывает, что производители хотят изготовить и предложить к продаже большее количество своего товара по высокой цене, а меньшее – по низкой. Равновесие между величиной и ценой достигается в точке пересечения кривой спроса с кривой предложения (точка равновесия). В этой точке при равновесной цене совпадают планы производителей и потребителей по изготовлению и покупке продукции.

Равновесие определяет количество товара, которое покупатели хотят приобрести, а производители предложить при соответствующей рыночной цене, действующей в данное время. Когда цены достигают равновесной величины, они определяют такой объем товаров, что все потребители, которые хотят их покупать по рыночной цене, получают к ним свободный доступ. В то же время производителя, которые хотят продать свой продукт или услугу по данной цене, также могут легко найти покупателя для своих товаров. Таким образом, точка равновесия отражает планы производителей товаров и запросы потребителей, которые совпадают при действующих ценах и соответствующих объемах производства и продажи товаров и услуг.

Объем производства характеризует количество и номенклатуру выпускаемой на предприятии продукции в планируемом периоде времени. При определении объемов выпуска конкретной продукции и включении ее в годовой план производства необходимо учитывать величину существующего спроса, темпы его роста, уровень рыночных цен, размеры получаемой прибыли, степень риска, влияние конкуренции, издержки производства, возможность снижения себестоимости единицы продукции и другие факторы и условия производства и сбыта изделий. Планируемая номенклатура выпускаемой продукции должна в целом обеспечивать равновесие спроса и предложения, а также сбалансированность годового объема выпуска с производственной мощностью соответствующего подразделения или всего предприятия. Поэтому в процессе составления производственного плана необходимо правильно выбрать используемые в расчетах измерители продукции.

Натуральные измерители выражают физический объем конкретных видов выпускаемой продукции в таких единицах, как штуки, тонны, метры, и служат основой для установления трудовых и стоимостных измерителей. Однако на практике диапазон их применения ограничен расчетами объемов выпуска только одной продукции.

Трудовые измерители являются универсальными и наиболее распространены на производстве. Они характеризуют объем выпущенной продукции в нормо-часах (человеко-часах, станко-часах), нормо-рублях и других нормируемых показателях затрат труда или рабочего времени. Эти измерители являются базой технико-экономического, социально-трудового, оперативно-производственного и многих других видов внутрифирменного планирования.

Стоимостные нормативы характеризуют объем производства продукции в денежном измерении. Они позволяют на единой ценовой основе сопоставлять, анализировать, суммировать объем выпуска разнородной продукции. Однако при этом надо учитывать существующий уровень изменения рыночных цен при планировании и измерении объемов выпущенной в разное время продукции.

Поэтому сейчас в ходе планирования производства продукции предприятию предпочтительнее применять натуральные и трудовые нормативы, от которых легко перейти к стоимостному измерению объема продукции, планируемой или выпущенной в соответствующем периоде времени.

Коэффициент обновляемости продукции характеризует соотношение новой и старой продукции в годовом плане производства. Новой в мировом промышленном производстве считается такая продукция, которая в современных динамичных условиях рынка выпускается в течение одного – трех лет, но не более пяти. Коэффициент обновления продукции на многих зарубежных промышленных фирмах задается как плановый показатель в общем объеме производства и продаж.

Исходя из выявленных критериев, эффективность производственной деятельности может быть проанализирована по следующим аспектам:

– анализ объемов, ассортимента и структуры производства

– анализ выполнения производственной программы;

– анализ качества производимой продукции;

– анализ ритмичности производства;

– анализ эффективности использования производственных мощностей (маржинальный анализ "узких мест");

– анализ факторов производства

– оценка резервов роста объемов производства

– анализ затрат на производство

Целью анализа объема выпуска и реализации продукции является выявление резервов роста объема выпуска продукции, формирование ассортимента реализуемой продукции, расширение доли рынка при максимальном использовании производственной мощности, составление прогноза развития производства.

Отраслевые особенности отдельных производств определяют выбор последовательности действий, шагов, этапов анализа и конкретных методов расчета.

Комплексный целевой анализ выпуска и реализации продукции необходимо осуществлять для анализа конкурентных позиций предприятия и его способности гибкого маневрирования ресурсами при изменении конъюнктуры рынка. Этот общий анализ реализуется путем проведения следующих частных анализов: анализ объема и структуры выпуска продукции, анализ выполнения договорных обязательств и реализации продукции, анализ технического уровня и качества продукции, анализ резервов роста объемов производства, анализ безубыточности и оценка запаса финансовой прочности. Объекты анализа отражены на рисунке 1.2.

В качестве источников информации для проведения анализа объема выпуска и реализации продукции может быть использована статистическая отчетность, а также данные бухгалтерского учета предприятия .

Анализ объема и структуры выпуска продукции проводится в несколько этапов:

1.   Изучение динамики выпуска валовой и товарной продукции в сопоставлении с объемом реализованной продукции.

2.   Анализ выполнения производственной программы по ассортименту.

3.   Анализ структуры продукции и влияния структурных сдвигов на выполнение производственной программы.

4.   Оценка точки безубыточности и запаса финансовой прочности предприятия.

Рис. 1.2. –Объекты анализа производственной деятельности

В процессе анализа и оценки производственной деятельности по характеристикам продукции прибегают к таким понятиям, как:

·   валовая продукция - это стоимость всей произведенной продукции и выполненных работ, включая незавершенное производство;

·   товарная продукция - равна валовой за вычетом остатков незавершенного производства и продукции, произведенной для собственных нужд;

·   реализованная продукция.

Целью анализа при этом является выявление динамики, т.е. определение абсолютного (в руб.) и относительного (в %) изменения объема продукции за какой-либо период (месяц) по сравнению с предыдущим периодом или началом года. Анализ динамики очень важен для выявления тенденций в развитии объема выпуска и реализации продукции.

Анализ выполнения производственной программы по ассортименту позволяет оценить:

· степень выполнения договорных обязательств;

· качество планирования;

· качество менеджмента.

Анализ выполнения плана выпуска продукции позволяет установить причины неэффективного использования производственного потенциала.

Оценка выполнения плана по ассортименту основывается на сопоставлении планового и фактического выпуска продукции по основным видам продукции, включенным в номенклатуру.

Выполнение плана по структуре означает сохранение в фактическом выпуске соотношения отдельных видов продукции, определенных планом. Изменение структуры производства продукции оказывает влияние на все экономические показатели: себестоимость товарной продукции, уровень рентабельности, объем товарной продукции в стоимостном выражении. Объем товарной и реализованной продукции может возрасти без увеличения количества продукции в натуральном выражении в результате структурных сдвигов в ассортименте, т.е. по причине увеличения удельного веса более дорогой продукции.

В ходе структурного анализа обычно производится расчет влияния структурных сдвигов на объем выпуска продукции в стоимостном выражении и расчет влияния структурных сдвигов на изменение средней цены.

При расчете влияния структурных сдвигов на объем выпуска продукции в стоимостном выражении определяются и сравниваются между собой объем товарной продукции при фактическом выпуске, плановой структуре и плановой цене и объем товарной продукции при фактическом выпуске, фактической структуре и плановой цене. Полученная разница и будет показывать влияние структурных сдвигов на объем товарной продукции в стоимостном выражении.

Объем продукции в стоимостном выражении определяется как сумма произведений выпуска каждого вида продукции в натуральном выражении на его удельный вес в общем объеме и цену.

Расчет влияния структурных сдвигов на изменение средней цены основан на определении средневзвешенных цен при плановой и фактической структуре и умножении разницы полученных величин на фактический выпуск.

Оценка безубыточности и запаса финансовой прочности предприятия включает:

·   анализ выполнения договорных обязательств по реализации продукции

·   анализ выполнения договорных обязательств по поставкам продукции

·   анализ технического уровня и качества продукции.

Выполнение плана по объему реализации зависит от степени обеспеченности его товарно-сырьевыми ресурсами. Для изучения этого показателя составляется баланс товарной продукции следующего вида:


Показатель

Фактически, тыс. руб.

в действующих отпускных ценах

по себестоимости

Остаток готовой продукции на складах и в товарах, отгруженных на начало отчетного года



Выпуск товарной продукции



Прочие поступления



Реализация



Остаток готовой продукции на складах и в товарах, отгруженных на конец года



Рис. 1.3. – Форма для составления баланса товарной продукции

На изменение объема реализации продукции влияют следующие факторы: отгрузка продукции; остатки товаров отгруженных; остатки готовой продукции на складе на начало периода; выпуск товарной продукции; остатки товаров, отгруженных на начало периода; остатки товаров, отгруженных на конец периода; остатки готовой продукции на складе на конец периода. Факторы изменения объема реализации рассчитываются путем сравнения.

Анализ реализации продукции тесно связан с анализом выполнения договорных обязательств по поставкам продукции. Анализ выполнения договорных обязательств ведется работниками отдела сбыта предприятия. Он должен быть организован в разрезе отдельных договоров, видов продукции, сроков поставки. При этом производится оценка выполнения договорных обязательств нарастающим итогом с начала года.

Источниками информации для оперативного анализа хода поставок служат преимущественно данные оперативно-технического и статистического учета, материалы наблюдений. Бухгалтерский учет может служить источником информации, но в более ограниченных пределах в связи с его запаздывающим характером.

Применение информационных технологий позволяет оперативно получать информацию об отгрузке по каждому получателю в ассортиментном разрезе, а также по срокам поставки.

Анализ технического уровня осуществляется путем сопоставления технико-экономических показателей изделий с лучшими отечественными и зарубежными образцами аналогичной техники. При этом оценка проводится по основным технико-экономическим показателям, характеризующим важнейшие свойства изделий.

На этом же этапе осуществляется анализ использования производственных мощностей предприятия.

Производственная мощность напрямую влияет на объем продукции, который может выпустить предприятие, т.е. на производственную программу, и потому является мощным стратегическим средством в конкурентной борьбе.

В общем виде производственную мощность можно определить как максимально возможный выпуск продукции в соответствующий период времени при определенных условиях использования оборудования и производственных ресурсов (площадей, энергии, сырья, живого труда).

В практике различают несколько видов производственной мощности: проектная; пусковая; освоенная; фактическая; плановая; входная и выходная; вводимая и выводимая; балансовая.

Производственная мощность, как правило, измеряется в тех же единицах, в которых планируется производство данной продукции в натуральном выражении (тонны, штуки, метры и т.д.).

Чем полнее во времени используется производственная мощность, тем больше продукции производится, тем ниже ее себестоимость, тем в более короткие сроки производитель накапливает средства для воспроизводства продукции и совершенствования самой производственной системы: замены оборудования и технологий, осуществления реконструкции производства и организационно-технических нововведений.

Величина производственной мощности обусловлена уровнем технологии производства продукции, ассортиментом и качеством продукции, а также особенностями организации труда, наличием необходимых ресурсов, уровнем специализации и кооперирования и т.д. Неустойчивость факторов, влияющих на величину производственной мощности, порождает множественность этого показателя, поэтому они подлежат периодическому пересмотру. Ведущим фактором, влияющим на производственную мощность и определяющим ее величину, является оборудование.

Производственная мощность может изменяться в течение каждого планируемого периода. Чем больше планируемый период, тем выше вероятность таких изменений. Выделяют следующие основные причины изменения производственной мощности:

·   установка новых единиц оборудования взамен устаревших или аварийных;

·   износ оборудования;

·   ввод в действие новых мощностей;

·   изменение производительности оборудования в связи с интенсификацией режима его работы или в связи с изменением качества сырья;

·   модернизация оборудования (замена узлов, блоков и т.п.);

·   изменения в структуре исходных материалов, состава сырья или полуфабрикатов;

·   продолжительность работы оборудования в течение планового периода с учетом становок на ремонт, профилактику, технологические перерывы;

·   специализация производства;

·   режим работы оборудования;

·   организация ремонтов и текущего эксплуатационного обслуживания.

Для расчета производственной мощности используют следующие исходные данные:

·   перечень производственного оборудования и его количество по видам;

·   режимы использования оборудования и площадей;

·   прогрессивные нормы производительности оборудования и трудоемкости изделий;

·   квалификация рабочих;

·   намеченные номенклатура и ассортимент продукции, непосредственно влияющие на трудоемкость продукции при данном составе оборудования.

При расчете производственной мощности следует придерживаться следующих правил:

·   Учитывается все наличное оборудование независимо от его состояния: действует или бездействует из-за неисправности, находится в ремонте, в резерве или на реконструкции, простаивает из-за отсутствия сырья, энергии, а также монтируемое оборудование. Резервное оборудование, предназначенное для замены ремонтируемого, при расчете мощности учитывать не следует.

·   При вводе новых мощностей предусматривается, что их эксплуатация начинается в следующем квартале после сдачи.

·   Учитывается эффективный максимально возможный фонд времени работы оборудования при заданном режиме сменности.

·   Применяются передовые технические нормы производительности оборудования, трудоемкости продукции, норм выхода продукции из сырья.

·   Ориентирование на наиболее совершенные способы организации производства и сопоставимые измерители работы оборудования и баланса мощностей.

·   При расчете производственных мощностей на планируемый период исходят из возможности обеспечения их полной загрузки.

·   Предусматриваются необходимые резервы мощностей для быстрого реагирования на изменения товарного рыночного спроса.

·   При расчете величины мощности не принимаются во внимание простои оборудования, которые могут быть вызваны недостатками рабочей силы, сырья, топлива, электроэнергии или организационными неполадками, а также потери времени, связанные с ликвидацией брака.

За основу расчета производственной мощности принимают проектные или паспортные нормы производительности оборудования и технически обоснованные нормы времени. Когда же установленные нормы работниками превзойдены, то расчет мощности производится по передовым достигнутым нормам, учитывающим устойчивые достижения.

В общем случае производственная мощность М определяется как произведение паспортной производительности оборудования в единицу времени Н и планового (эффективного) фонда времени его работы Тэф:

(2)

 
Подпись: М = Тэф * Н

ёВ свою очередь эффективный фонд рабочего времени оборудования Тэф определяется как календарный фонд времени Ткал (длительность года - 365 дней) за вычетом выходных и праздничных дней и времени между сменами Тнераб, а также времени простоя оборудования в планово-предупредительных ремонтах Тппр .и времени простоя оборудования по технологическим причинам (загрузка, выгрузка, чистка, промывка и т.д.) Ттехн:

(3)

 
Подпись: Тэф = Ткал - Тнераб - Тппр - Ттехн

Определение конкретных значений производственной мощности осуществляется по каждой производственной единице (участок, цех) с учетом планируемых мероприятий. По мощности ведущей группы оборудования устанавливается производственная мощность участка, по ведущему участку - производственная мощность цеха, по ведущему цеху - производственная мощность предприятия. При установке производственной мощности разрабатываются мероприятия по выявлению "узких мест" с целью достижения наилучшей сбалансированности производственных мощностей производственных структур предприятия, в т.ч. с помощью параллельно-последовательных методов обработки продукции.

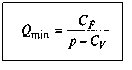
Для определения наиболее оптимальной величины производственной мощности необходимо ее обосновать. Самым распространенным методом экономического обоснования производственной мощности является анализ критической точки. Этот метод успешно применяется при планировании производственных мощностей. При использовании этого метода необходимо построить график зависимости затрат и доходов от объема выпускаемой продукции на основе производственных данных предприятия:

Целью анализа является нахождение точки (в денежных единицах или единицах продукции), в которой затраты равны доходу. Эта точка является критической точкой (точкой безубыточности), от которой область прибыли лежит справа, а область убытков слева. Анализ критической точки предназначен для обоснования мощности путем отбора того объема выпуска продукции, который, с одной стороны, будет оптимальным с точки зрения его реализации на рынке, а, с другой стороны, будет обеспечивать наименьшие общие затраты при достижении наибольшего результата.

Многие владельцы производственных предприятий располагают достаточно ограниченными финансовыми ресурсами и просто не могут себе позволить регулярно приобретать новое, более мощное и современное оборудование. Тем не менее, вопросы увеличения производственных мощностей необходимо решать и желательно с минимальными затратами.

Анализ качества продукции осуществляется с помощью показателей качества. В процессе анализа используют следующие показатели качества:

А) Обобщающие. Характеризуют качество всей произведенной продукции независимо от ее вида и назначения, например, удельный вес: новой продукции в общем ее выпуске; сертифицированной и не сертифицированной продукции; продукции, соответствующей мировым стандартам; экспортируемой продукции, в том числе в высокоразвитые промышленные страны и др.

Б) Индивидуальные (единичные). Характеризуют одно из свойств качества: полезность (например, жирность молока); надежность (долговечность, безотказность в работе); технологичность, отражающую эффективность конструкторских и технологических решений (трудоемкость, энергоемкость и т.п.); эстетичность изделий.

В) Косвенные. Это штрафы за некачественную продукцию, объем и удельный вес забракованной продукции, удельный вес зарекламированной продукции, потери от брака и др.

В процессе анализа качества продукции необходимо:

·   оценить технический уровень продукции;

·   выявить отклонения этого уровня по отдельным изделиям по сравнению с базовым уровнем и теоретически возможным;

·   проанализировать структуру выпуска продукции по параметрам, характеризующим качество ее изготовления и поставки;

·   выявить факторы, сдерживающие рост технического уровня продукции;

·   обосновать возможности повышения качества продукции, сокращения брака и потерь.

Источниками информации для анализа могут быть патенты, нормативно-техническая документация, акты испытаний, данные лабораторного контроля физико-химических показателей, сведения отделов технического контроля (ОТК), журналы и графики бездефектной сдачи продукции и др.

Для оценки выполнения плана по качеству продукции используются разные методы:

– балльный метод: здесь определяется средневзвешенный балл качества продукции и путем сравнения фактического и планового его уровня находится процент выполнения плана по качеству.

– при оценке выполнения плана по сорту фактическую долю каждого сорта в общем объеме продукции сравнивают с плановой, а для изучения динамики качества - с данными прошлых периодов.

– оценка выполнения плана по качеству продукции производится также по удельному весу сертифицированных изделий, удельному весу забракованной и зарекламированной продукции. Данный анализ осуществляется по данным о внутризаводском браке и внешних рекламациях на продукцию.

Показатели качества продукции анализируются путем сравнения фактических данных не только с данными предыдущих отчетных периодов и планом предприятия, но и с аналогичными данными других родственных предприятий.

Помимо перечисленных методов оценки на производственных предприятиях, как правило, используются различные инструменты контроля качества.

Большое значение при анализе производственной деятельности имеет оценка фактического выпуска и реализации в пределах производственной мощности, т.е. в границах "минимальный - максимальный" объем производства. Безубыточный объем производства - это такой объем, при котором достигается равенство доходов и издержек. Сопоставление фактического объема с минимальным (безубыточным, критическим) объемом позволит оценить зону "безопасности" предприятия и при отрицательном значении "безопасности" снять с производства отдельные виды продукции или изменить условия производства.

Сравнение достигнутого объема выпуска с максимальным объемом, определяемым производственным потенциалом предприятия, позволяет оценить возможности роста прибыли при увеличении объемов производства, если увеличатся спрос или доля предприятия на рынке.

В ходе анализа безубыточности необходимо провести:

·   сравнение безубыточного объема за несколько периодов (или сравнение с планом);

·   оценку степени "безопасности" предприятия в динамике;

·   количественную оценку влияния факторов на безубыточный объем производства;

·   расчет планового объема производства для заданной суммы плановой (ожидаемой) прибыли.

(4)

 
Величину безубыточного объема производства можно рассчитать по формуле, основанной на равенстве выручки от реализации продукции и суммы постоянных и переменных издержек, вытекающем из определения безубыточности:

Подпись: р * Q = СF + СV - Q

где р - цена единицы продукции;

Q -количество единиц произведенной (реализованной) продукции;

СF - постоянные издержки в затратах на единицу продукции;

СV - переменные издержки в затратах на единицу продукции.

1. Безубыточный объем выпуска в натуральном выражении рассчитывается по формуле:

(5)

 
Подпись:

2. Для расчета безубыточного объема выпуска в стоимостном выражении левая и правая части выражения умножаются на цену.

3. Безубыточный объем продаж может быть рассчитан с использованием величины маржинального дохода. Маржинальный доход МД определяется как разность между выручкой и переменными издержками. Отсюда:

(6)

 
Подпись: Qmin = CF / МД

С понятием "безубыточный объем" тесно связано понятие "запас финансовой прочности" (зона безопасности), представляющее собой разность между фактическим и безубыточным объемами.

Одним из важнейших направлений анализа и оценки производственной деятельности также является оценка и анализ затрат на производство продукции и определение ее себестоимости.

1.3 Резервы повышения эффективности производственной деятельности

Резервы повышения эффективности производственной деятельности - это количественно измеримые возможности увеличения объемов производства за счет улучшения использования ресурсов предприятия. Структура резервов представлена на рисунке 1.4.

Рассмотрим порядок расчета прироста объема выпуска продукции за счет каждого фактора (вида резервов).

Рис. 1.4. – Структура резервов производства

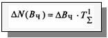
1. Приращение продукции в результате создания дополнительных рабочих мест:

(7)

 
Подпись:

где DМ - дополнительные рабочие места;

В0 - среднегодовая выработка рабочего, руб.

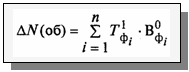
2. Приращение объема продукции от ввода нового оборудования:

(8)

 
Подпись:

где n - количество единиц вновь вводимого оборудования;

Т1Фi - полезное время работы каждого вида оборудования, машино-час;

ВФi - выработка продукции за 1 машино-час каждого вида оборудования, руб.

3. Приращение продукции от ликвидации потерь рабочего времени:

(9)

 
Подпись:

где ТПОТ - количество потерянных часов рабочего времени;

В - среднечасовая выработка.

5.   Приращение продукции от ликвидации потери времени работы оборудования рассчитывается аналогично п.З.

(10)

 
Подпись:

5. Приращение продукции от внедрения мероприятий по совершенствованию технологии и организации производства и труда:

где Т1i - время работы в отчетном периоде i-го вида оборудования;

В0, В1 - выработка продукции до и после внедрения новых технологий.

6.   Приращение выпуска продукции в результате улучшения организации производства и труда (по трудовым ресурсам):

(11)

 
Подпись:

где DВЧ - прирост среднечасовой выработки в результате улучшения организации производства и труда;

ТS - количество часов, отработанное всеми рабочими.

7.   Приращение выпуска продукции от снижения норм расхода сырья и материалов в результате внедрения новых технологий:

(12)

 
Подпись:

где Н1, Н0 - нормы расхода сырья и материалов соответственно до внедрения i-го мероприятия по плану с учетом предполагаемого внедрения этого мероприятия;

р0 - плановая цена единицы сырья и материалов;

Q1 - планируемый выпуск продукции.

Полученные результаты резервов роста выпуска продукции могут быть объединены в таблицу следующего вида:

Показатель

Возможное увеличение выпуска продукции за счет лучшего использования, руб.

трудовых ресурсов

средств труда

предметов труда

Рост количества рабочих мест и укомплектование их оборудованием

Ликвидация потерь рабочего времени и времени работы оборудования

Снижение норм расхода материалов




Итого




Рис. 1.5 – Вид таблицы для подсчета резервов производства

Таким образом, описанные направления анализа производственной деятельности позволяют оценить текущее состояние и выявить возможности предприятия по совершенствованию производственной деятельности, а также выявить диспропорции в использовании ресурсов, которые приводят к снижению эффективности производственной деятельности.

Опираясь на приведенные теоретические основы анализа производственной деятельности, осуществим оценку эффективности производственной деятельности ОАО "Балаковорезинотехника".

Глава 2. Анализ производственной деятельности ОАО "Балаковорезинотехника"

2.1 Организационно-экономическая характеристика предприятия

Датой образования ОАО "Балаковорезинотехника" считается 6 июня 1971г., когда была пущена в ход первая конвейерная линия по производству спинок и сидений из кокосовых очесов для автомобилей "Жигули".

ОАО "Балаковорезинотехника" выпускает более 4500 наименований резинотехнических изделий, шумоизоляционную продукцию, детали интерьера салона автомобиля. Предприятие также выпускает продукцию, которая используется не только в автомобилестроении, но и в других отраслях промышленности- химической, нефтехимической и строительной. Одним из новейших видов продукции, выпускаемых предприятием, является кровельный и гидроизоляционный материал нового поколения "Биэласт", производимый на итальянском оборудовании фирмы ORV. Также к новой продукции ОАО "БРТ" можно отнести мел природный технический дисперсный, предназначенный для использования в качестве наполнителя в лакокрасочной, резинотехнической, полимерной и других отраслей промышленности, а также для производства строительных материалов.

На сегодняшний день предприятие ОАО "БРТ" является одним из крупнейших предприятий отрасли с годовым объемом выпуска продукции более 6044 597 тыс.руб. и является основным поставщиком крупнейших автомобильных заводов страны, таких как ВАЗ, ГАЗ,КАМАЗ.

Предприятие ОАО "БРТ" является акционерным обществом, его уставной капитал составляется из номинальной стоимости акций общества :

-   51% обыкновенных акций у коллектива предприятия

-   29% - продано на аукционе

-   15% - собственность АО "Тадем"

-   5% - передано для бесплатного распространения среди акционеров в фонд акционирования работников предприятия

В состав объединения в качестве производственных единиц входят :

1) Завод резиновых технических изделий для ВАЗа

2) Завод резиновых технических изделий для КАМАЗа

3) Ремонтно-механический завод на базе производства пресс-форм и блока ремонтных цехов

На предприятии ОАО "БРТ" действует линейно-функциональная структура управления. Управление предприятием в современных условиях должно осуществляться на основе сочетания принципов самоуправления трудового коллектива и прав собственника на использование своего имущества.

Собственник может реализовать свои права по управлению предприятием непосредственно или через уполномоченный им орган.

Совет предприятия выполняет следующие функции:

-   вырабатывает общее направление экономического и социального развития предприятия,

-   устанавливает порядок распределения чистой прибыли, принимает решение о выпуске ценных бумаг по представлению руководителя предприятия, о покупке ценных бумаг других предприятий,

-   решает вопросы создания и прекращения деятельности филиалов, дочерних предприятий и других обособленных подразделений.

Предприятие возглавляет директор, который организует всю работу предприятия и несет полную ответственность за его состояния и деятельность прерии государством и трудовым коллективом.

Исполнительный директор на предприятии выполняет такие задачи, как :

-   представляет предприятие во всех учреждениях и организациях,

-   распоряжается имуществом предприятия,

-   заключает договора,

-   издает приказы по предприятию,

-   в соответствии с трудовым законодательством принимает и увольняет работников,

-   применяет меры поощрения и налагает взыскания на работников предприятия,

-   открывает в банках счета предприятия.

Главный инженер руководит работой технических служб предприятия, несет ответственность за выполнение плана, выпуск высококачественной продукции, использование новейшей техники и технологии. Главный инженер возглавляет производственно - технический совет предприятия, являющийся совещательным органом. Ему подчиняются отделы: технический , главного механика, главного энергетика, производственно диспетчерский, технического контроля, техники безопасности.

В задачи технического отдела входят вопросы совершенствования выпускаемой продукции, разработки новых видов продукции, внедрение в производство новейших достижений науки и техники, механизации и автоматизации производственных процессов, соблюдение установленной технологии и др.

Отдел главного механика вместе с подчиненными ему подразделениями обеспечивает контроль за работой и наладку технологического оборудования, проводить все виды ремонта технологического оборудования, а также монтаж нового и демонтаж устаревшего оборудования.

Производственно - диспетчерский отдел осуществляет оперативный контроль за ходом производства, разрабатывает календарные графики работы, устраняет причины, нарушающие нормальный режим производства и др.

Отдел технического контроля осуществляет контроль за комплексностью и качеством готовой продукции, разрабатывает предложение по предупреждению и уменьшению брака, организует контроль за качеством поступающего на предприятие сырья, материалов, полуфабрикатов и др.

Качество продукции является определяющим в общей оценке результатов деятельности трудового коллектива.

Директор по экономике и финансам, являющийся заместителем директора по экономическим вопросам, руководит работой по планированию и экономическому стимулированию на предприятии, повышению производительности труда, выявлению и использованию производственных резервов улучшению организации производства, труда и заработной платы, организации внутризаводского хозрасчета и др. Ему на предприятии подчиняются: планово-экономический отдел, бухгалтерия, финансовый отдел, экономическая служба.

Планово-экономический отдел разрабатывает годовые, квартальные планы предприятия и отдельных цехов, контролирует их выполнение, определяет пути устранения недостатков, организует и совершенствует внутризаводское и внутрицеховое планирование, разрабатывает нормативы для образования фондов экономического стимулирования, ведет оперативный статистический учет, анализ показателей работы основных агрегатов, цехов и заводов, разрабатывает и представляет на утверждение проекты, цены на новую продукцию, изучает и внедряет передовой опыт в организации планово-экономической работы и др.

Бухгалтерия - осуществляет учет средств предприятия и хозяйственных операций с материальными и денежными ресурсами, устанавливает результаты финансово-хозяйственной деятельности предприятия и др.

Финансовый отдел- производит финансовые расчеты с заказчиками и поставщиками, связанные с реализацией готовой продукции, приобретением необходимого сырья, топлива ,материалов и тд. В задачи этого отдела входит также получение кредитов в банке, своевременный возврат ссуд, взаимоотношение с государственным бюджетом.

Экономическая служба проводит всесторонний анализ результатов деятельности предприятия, разрабатывает мероприятия по снижению себестоимости и повышению рентабельности предприятия, улучшению использования производственных фондов, выявлению и использованию резервов на предприятии, осуществляет методическое руководство вопросами научной организации труда, участвует в разработке технико-экономических нормативов и конкретных показателей по экономическому стимулированию и др.

Отдел организации труда и заработной платы разрабатывает штатное расписание, составляет годовые, квартальные, и месячные планы по труду и заработной плате и осуществляет контроль за их выполнением, разрабатывает мероприятия по повышению производительности труда, внедрению прогрессивных систем заработной платы, разрабатывает положение об образовании и расходовании фонда материального поощрения, разрабатывает технически обоснованные нормы выработки и проводит анализ их выполнения, организует и участвует в разработке вопросов научной организации труда, содействует движению за коллективную гарантию трудовой и общественной дисциплины.

Заместитель директора по хозяйственным вопросам руководит материально-техническим снабжением и сбытом продукции, работой жилищно- коммунального хозяйства и др.

Основные результаты производственной и сбытовой деятельности предприятия ОАО "БРТ" за рассматриваемый период представлены в Приложении 3.

На основе сводной таблицы анализа хозяйственной деятельности предприятия можно дать пояснения по отдельным показателям и построить графики динамики данных показателей.

Рис. 2.1. – Динамика показателей производства ОАО "БРТ" за 2006-2008 гг.

Объем товарной продукции возрос за рассматриваемый период на 48,5%, что в основном является результатом расширения производственных мощностей предприятия, внедрения в производство новых, пользующихся повышенным спросом товаров, качественной политикой в области маркетинга (расширенный поиск новых потребителей), повышением производительности труда в результате внедрения в производство более качественного оборудования и улучшения условий работы.

В то же время рост себестоимости товарной продукции, в которую входят затраты на сырье и материалы, заработная плата работников, плата за энергию и другие косвенные и прямые производственные затраты, составил за период с 2006 по 2008 год 48,2%, что не только равно динамике объемов товарной продукции, но и опережает ее. Это говорит о том, что предприятие неэффективно использует свои производственные ресурсы , допускает перерасход и потерю сырья и материалов, в процессе производства не соблюдаются нормативы затрат сырья и материалов, допускается высокий процент брака и внутрицеховых простоев, затраты на оплату труда и другие социальные выплаты неадекватны реальной производственной мощности предприятия.

Такая ситуация может привести к тому, что чересчур быстрый рост себестоимости продукции поглотит дополнительный объем выручки, который планирует получить руководство предприятия за счет расширения объемов производства и сделает сам процесс расширения производства нерентабельным и неприбыльным. Для того, чтобы получить объективную оценку состояния предприятия в сфере производства и реализации продукции следует также оценить результаты сбытовой деятельности предприятия ОАО "БРТ" за рассматриваемый период.

Рис. 2.2. – Динамика показателей реализации ОАО "БРТ" за 2006-2008 гг.

Себестоимость реализованной продукции представляет из себя рыночную цену продукции, в которую закладывается полная производственная себестоимость товара и его реализационная цена. Такая цена должна не только учитывать все затраты на сбыт продукции, но также включать в себя потенциальный размер прибыли, которую желает получить производитель от реализации каждой дополнительной единицы своей продукции. В идеале такая прибыль должна обеспечить пополнение резервов предприятия и позволить ему совершать текущие финансовые расчеты и осуществлять инвестиционную деятельность.

Себестоимость реализованной продукции резко возросла к 2007 году на 34,4% и в совокупности на 74,7% к 2008 году по сравнению с 2006 годом. Динамика объемов реализованной продукции, которые представляют собой выручку от реализации продукции, имела следующее значение : 32,4% - к 2007 году по сравнению с 2006 годом, 72,1% - к 2008 году по сравнению с 2006 годом. Т.е. рост затрат на реализацию продукции предприятия происходил параллельно с ростом самих объемов реализации. При этом если в 2006 году затраты на реализацию продукции составляли 20,6% от выручки от реализации, то в 2008 году это значение составило – 15% от выручки предприятия, что говорит об улучшении сбытовой политики предприятия, поиске новых, более экономных и эффективных рынков и каналов сбыта продукции. Т.о. динамика прибыли предприятия от реализации продукции составила 33,7% к 2007 году по сравнению с 2006 годом и 73,8% к 2008 году по сравнению с 2006 годом. Это положительно характеризует производственную деятельность предприятия, но следует отметить, что проведение ряда мероприятий по снижению себестоимости продукции позволит предприятию получить дополнительную прибыль от сокращения производственных потерь.

Рис. 2.3. – Динамика затрат на 1 руб. реализованной продукции ОАО "БРТ" за 2006-2008 гг.

Затраты на рубль реализованной продукции возросли к 2007 году по сравнению с 2006 на 2,5% - это незначительный показатель динамики если учесть, что сам объем реализации возрос к 2007 году на 72%. За период с 2007 по 2008 год показатель удельных затрат по реализованной продукции вообще не претерпел никаких изменений. Это говорит о снижении затрат на реализацию продукции за счет поиска новых, более экономичных рынков сбыта, сокращения транспортных издержек и т.д. и позволяет предприятию получить больший процент от выручки в качестве прибыли от реализации.

Рис. 2.4. – Динамика показателей рентабельности ОАО "БРТ" за 2006-2008 гг.

Рентабельность производства, так же, как и рентабельность продаж находится как соотношение прибыли предприятия в объему товарной продукции или выручки от реализации соответственно и характеризует эффективность сбытовой и производственной деятельности предприятия в экономическом отношении.

Рентабельность производства возросла к 2008 году на 17%, в то время, как рентабельность продаж выросла всего на 0,8% за три года и составила 19,45% в 2008 году. Рентабельность продаж показывает, сколько прибыли предприятие получило с каждого рубля реализованной продукции. Такая незначительная динамика рентабельности продаж может быть связана с незначительным размером реализации по сравнению с себестоимостью реализованной продукции, высокая доля которой в выручке предприятия связана с ростом затрат на производство продукции. Небольшой рост рентабельности продаж обусловлен снижением затрат на реализацию продукции. Дальнейший рост рентабельности продаж можно обеспечить либо дальнейшим расширением объемов реализации вкупе с поиском новых, более экономичных методов и способов сбыта продукции, либо за счет оптимизации затрат на производство продукции.

На основе проведенного технико-экономического анализа можно сделать вывод о поддержании финансово-хозяйственной деятельности предприятия на высоком уровне. Рост объемов товарной продукции за анализируемый период сопровождался увеличением объемов реализации, что способствовало прибыльности предприятия ОАО "БРТ". К негативным процессам, произошедшим в производственной сфере предприятия ОАО "БРТ" в период с 2006 по 2008 год можно отнести рост себестоимости товарной продукции, который не только соответствовал темпам роста объемов производства, но и превысил их к 2007 году. Рост прибыльности за данный период сопровождался снижением материалоемкости, что говорит о повышении эффективности производственного процесса.

Увеличение эффективности производственной и сбытовой деятельности предприятия подтверждается ростом таких показателей, как рентабельность производства и продаж. Недостаток заключается в том, что по сравнению с существующей производственной базой предприятия сложившаяся на анализируемый период динамика показателей прибыльности и рентабельности имеет недостаточно высокое значение.

В связи с этим актуальным является более подробный анализ и оценка эффективности производственной деятельности предприятия.

2.2 Анализ и оценка эффективности производственной деятельности предприятия

Исходя из направлений анализа, рассмотренных в теоретической части дипломного проекта, проанализируем следующие аспекты производственной деятельности ОАО "Балаковорезинотехника":

– общие характеристики производственной деятельности предприятия.

– динамику и выполнение производственной программы предприятия;

– ритмичность производства и уровень загрузки производственных мощностей;

– изменение затрат на производство в результате изменения структуры и объема производства;

– показатели использования ресурсов производства.

По типу производства и объему выпускаемой продукции ОАО "БРТ" можно отнести крупносерийным производствам, с применением комплектных методов планирования производства. Ассортимент выпускаемой продукции одновременно включает более 5000 наименований продукции для автомобилестроения. Планирование производства осуществляется в разрезе по цехам, наименованиям продукции, а также в разрезе по потребителям. Без наличия заказа (заявки или спецификации) от потребителя планирование продукции в производство не происходит. Длительность производственного цикла от 1,5 суток до 5 суток.

Для ОАО "БРТ" характерно выделение элементов производственной структуры нескольких уровней: на уровне предприятия – цехи; внутри цеха – участки; на отдельных участках – рабочие места. Основным элементом производственной структуры ОАО "БРТ" является цех, таким образом, производственная структура предприятия является цеховой. Управление производственной структурой осуществляется на трех иерархических уровнях:

1) аппарат заводоуправления, представленный директором предприятия и заместителями директора, начальником Управления производства и продаж, диспетчерами Производственно-диспетчерской службы предприятия;

2) аппарат управления цехом, состоящий из начальника цеха, экономиста, технолога, конструктора, механика;

3) руководство участком в виде должностей старшего мастера и мастера участка.

Производственная структура предприятия ОАО "БРТ" является производственной структурой с полным технологическим циклом и представлена основными и вспомогательными цехами, а так же обслуживающим хозяйством.

К основным цехам относятся:

1 подготовительные цехи , включающие участки резиноварения;      рубки; штамповочный

2 обрабатывающие цехи, включают участки : вулканизации (термический) ;         обработки ; намазки ; г) вулканизации;         

3. сборочные цехи с участками: испытательными ;  сборочно-сварочными; комплектации и упаковки

К вспомогательным цехам относятся: инструментальные цехи; механическое производство и тд

В обслуживающее хозяйство входят: складское хозяйство, энергетическое хозяйство, транспортное хозяйство, санитарно-техническое хозяйство и центральная лаборатория.

Загрузка оборудования в среднем составляет 88%, коэффициент использования прессового оборудования – 88%, оставшиеся 12% включают: 1,62% - аварийный простои; ТР и ТО – 2,3%; 8,08% - простои цеха: смена оснастки, обогрев пресс-форм, отсутствие заготовок, людей, технологические испытания, настройка оборудования. При проведении текущего ремонта прессового оборудования и сдачи его с текущего ремонта заполняется карточка отклонения от паспортных данных.

Производственная структура ОАО "БРТ" зависит от многих факторов, основными из которых являются:

1) характер продукции и технологии ее изготовления;

2) масштаб производства;

3) уровень и форма специализации предприятия, его кооперирования с другими предприятиями.

Кооперирование в изготовлении и поставках комплектующих, инструмента, запасных частей, производство которых не соответствует профилю предприятия или экономически нецелесообразно из-за ограниченного масштаба производства, исключает необходимость иметь в составе предприятия соответствующие цехи, склады и другие подразделения. Чем выше уровень специализации предприятия и кооперирования его производства, тем ограниченнее номенклатура выпускаемой продукции, однороднее технология производства и проще производственная структура завода.

Начиная с 1999 года политика предприятия по производству и реализации, наращиванию объемов производства заключается в организации работы по заказам потребителей. То есть предприятием производится только те виды продукции, на которые имеется заявка от потребителя, что гарантирует ее быструю реализацию. При этом выполненный потребительский заказ практически не хранится на складах готовой продукции, а сразу по мере выполнения отправляется в адрес потребителя, зачастую за счет самого потребителя.

В последние годы предприятие строит свою работу со все большей ориентацией на условия рынка и конкуренции. Процесс переориентации предприятия осложняется масштабами производства, широтой ассортимента, и тем, что на предприятии параллельно развивается несколько перспективных направлений. По этим же причинам маркетинг предприятия основан на нескольких стратегиях, разработанных для разных групп товаров. Системы стратегий предприятия можно свести к вариантам матрицы БКГ.

Такое положение прежде всего объясняется широким ассортиментом.

Производство изделий, условно относимых к группе товаров народного потребления, до недавнего времени не являлось направлением, находящимся в сфере особого внимания и развивалось слабо по сравнению с производством РТИ для автомобилей. Однако на сегодняшний день такая продукция завода занимает значительную долю в производственном ассортименте. Ассортимент продукции, не предназначенной для автомобилестроения, включает: клея, транспортерную ленту различных характеристик, мел, полиэтиленовые мешочки, моноблоки, резиновая крошка, уплотнительные профили различных сечений для оконных и тепличных конструкций, мастики и изолирующие гермиты, кровельные материалы, полимерное напольное покрытие, поливочный шлаг и многое другое.

Успешно работает цех по переработке отходов основного производства; продукцией этого цеха являются изделия, используемые на ж/дорогах (подрельсовые прокладки, детали для стрелочных переводов) и комплекты для оборудования ж/д переездов. Также из отходов производятся различные резиновые покрытия (дорожки для стадионов, садовые дорожки, плиты для оборудования животноводческих помещений). Прорабатывается возможность нетрадиционного применения резиновой крошки.

Широта ассортимента обусловливает дополнительные трудности при организации планирования производственного процесса. Каждая запасная часть из более чем шеститысячной производственной номенклатуры предприятия представляет собой отдельный товар и требует индивидуального подхода в планировании производства и сбыта в связи в различными сроками износа деталей машин и принадлежностью к конкретным моделям. Реализация РТИ ограничена определенными физическими объемами на единицу эксплуатационного парка машин в определенный период; спрос на запчасти неравномерен, его колебания объясняются множеством факторов: технических, экономических, климатических, сезонных и др.

При оптимизации производимой номенклатуры большое значение играет рентабельность продукции. В зависимости от технологии производства, затрат на сырье и материалы, количества задействованного персонала, степени риска, связанного с выходом деталей на рынок, сезонностью спроса, конъюнктурой и динамикой цен, рентабельность производства тех или иных деталей значительно колеблется. Однако, будучи поставщиком конвейеров, АО "БРТ" имеет заказы автозаводов на производство некоторых изделий, нерентабельных для предприятия. Сглаживание затрат по производству нерентабельной продукции происходит за счет производства группы высокорентабельных деталей.

Широкая номенклатура производимой продукции затрудняет организацию четкого контроля за позициями деталей на рынке.

В настоящее время все большую долю в производстве и получаемой прибыли составляют изделия интерьера салона автомобилей, а также изделия для оборудования железнодорожных переездов.

Создание ОАО "БРТ" в качестве смежника автозаводов – поставщика резинотехнических комплектующих для автостроения обусловило применение определенных технологических процессов. Так, с начала своей деятельности предприятием был освоен выпуск формовых РТИ: манжет, сальников, колпачков, колец и т.д. для автомобильного производства ВАЗ и КамАЗ. В дальнейшем ОАО "БРТ" расширило ассортимент выпускаемой продукции, освоив выпуск неформовых изделий: автомобильных ремней, рукавов, шлангов, а также РТИ для автомобилей автозаводов: ГАЗ, АЗЛК, УАЗ, УралАЗ, МАЗ, автобусов и пр.

То обстоятельство, что ОАО "БРТ" осуществляло выпуск РТИ только для автомобилестроения, делало предприятие слишком зависимым от деятельности смежников-автозаводов. Поэтому в целях повышения мобильности предприятия было начато освоение изделий не автомобильного назначения, так называемые товары народного потребления, ТНП: резиновая обувь, спортивные резиновые дорожки, резиновый кровельный материал и т.д. Это также преследовало цель сокращения издержек путем более эффективного использования отходов основного производства.

Особенно актуальным освоение новых видов продукции стало в последние годы. Именно мобильность и широта выпускаемого ассортимента и независимость предприятия от автозаводов-смежников позволили обеспечить выживание и экономический рост предприятия в послекризисных экономических условиях.

Предприятие ориентировано на постоянное обновление ассортимента и поддержание на высоком уровне технологий. За последние пять-шесть лет, были полностью переоборудованы несколько цехов предприятия, что позволило освоить выпуск нескольких видов новой продукции.

Производственная структура предприятия включает два завода: завод по производству комплектующих РТИ для а/м ВАЗ (первый завод) и завод по производству комплектующих РТИ для а/м КАМАЗ (второй завод). Такое разделение было осуществлено в 1977 году, когда предприятие было преобразовано в производственное объединение. Сегодня оно достаточно условно, так как за более чем 30 лет существования предприятия ассортимент выпускаемой продукции существенно расширился, и сейчас гораздо точнее рассматривать производственную структуру завода с точки зрения номенклатуры выпускаемой продукции в каждом из отдельных цехов предприятия.

Сложность анализа производственной деятельности для исследуемого предприятия обусловлена масштабами его деятельности и широтой производимой номенклатуры. В связи с этим анализ производственной деятельности ОАО "Балаковорезинотехника" проведем на данных одного их цехов предприятия, удельная доля выпуска продукции которого является наиболее значительной для предприятия.

О производственной деятельности предприятия можно судить по следующим показателям за 2008 год:

Объем выручки от производства неформовых РТИ 574407,9тыс. руб., доля объема выручки от данного вида хозяйственной деятельности в общем объеме выручки ОАО "БРТ", 13,3%

Объем выручки от производства шумоизоляционных прокладок 538252,9 тыс. руб., доля объема выручки от данного вида хозяйственной деятельности в общем объеме выручки ОАО "БРТ", 12,4%

Объем выручки от производства рукавов 679641,5 тыс. руб., доля объема выручки от данного вида хозяйственной деятельности в общем объеме выручки ОАО "БРТ", 15,7%.

По сравнению с соответствующим отчетным периодом предыдущего года изменение размера выручки ОАО "БРТ" от основной производственной деятельности не превышает 10 %. Можно видеть, что наибольший удельный вес в общей продукции составляет продукция неформового производства (неформовые РТИ и рукава). При этом значительная часть объема неформовой продукции выпускается в одном цехе предприятия. Таким образом, по удельному весу в объеме производства одним из самых крупных производственных подразделений ОАО "БРТ" является цех № 110 - неформового производства. Производственная программа данного цеха в укрупненном варианте имеет следующий вид:

Таблица 2.1 Показатели выполнения производственной программы по цеху № 110 за 2008 год (тыс. руб.)

Укрупненная группа продукции

Объем производства по цеху

план

факт

абс. отклон.

относ.отклон.

Ремни вентиляторные

30 357,00

29 780,60

-576,40

-1,90

Ремни плоскозубчатые

12 995,00

14 566,30

1 571,30

12,09

Неформовые

90 610,00

90 609,00

-1,00

0,00

Рукава

64 540,00

64 546,00

6,00

0,01

Всего

198 502,00

199 501,90

999,90

0,50


Можно видеть, что по показателям производственной программы имеется перевыполнение плана цеха на 999,9 тыс. руб., что составляет 0,50%. При этом из четырех рассматриваемых групп продукции по двум группам имеется недовыполнение плана, в том числе по ремням вентиляторным на – 1,9%, по двум группам имеется перевыполнение плана, в том числе наиболее значительное по ремням плоскозубчатым – на 12,09 %. В целом, можно видеть, что результаты производственной деятельности цеха соответствуют плановым показателям и плана производства по ассортиментным группам выполняется, на что указывает анализ структуры производственного ассортимента:

Таблица 2.2. Структурный анализ выполнения производственной программы цеха

Укрупненная группа продукции

Объем производства по цеху

план

факт

абс. отклон.

Ремни вентиляторные

15,29

14,93

-0,37

Ремни плоскозубчатые

6,55

7,30

0,75

Неформовые

45,65

45,42

-0,23

Рукава

32,51

32,35

-0,16

Всего

100

100



В результате изменения структуры и объема производства произошло изменение затрат на производство, что отражено в таблице:

Таблица 2.3. Затраты на производство продукции по группам (тыс. руб.)

Укрупненная группа продукции

Объем производства по цеху

план

факт

абс. отклон.

относ.отклон.

Ремни вентиляторные

23351,54

22908,15

-443,38

-1,90

Ремни плоскозубчатые

11262,33

12624,13

1361,79

12,09

Неформовые

66987,94

66987,20

-0,74

0,00

Рукава

50952,63

50957,37

4,74

0,01

Всего

152554,44

153476,85

922,41

0,60


Можно видеть, что в результате изменения структуры производства произошло изменение затрат на выпуск продукции, при этом по первой группе продукции (ремни вентиляторные) наблюдается снижение расходов на сумму 443,38 тыс. рублей, по второй группе продукции (ремни плоскозубчатые) и по четвертой группе (рукава) имеется перерасход в размере 1361,79 тыс. рублей и 4,74 тыс. рублей соответственно. В целом отклонения дали рост затрат на производство на 922,41 тыс. рублей. Однако в масштабах общего расхода в производстве материальных ресурсов за анализируемый период имеется следующая динамика:

Рис. 2.5. – Динамика показателей использования сырья и материалов ОАО "БРТ" за 2006-2008 гг.

В 2006 году доля материальных затрат в себестоимости товарной продукции составляла 45%, к 2008 году этот показатель сократился на 12% и составил 33% материальных затрат в себестоимости каждой единицы продукции. Таким образом, за рассматриваемый период материалоемкость продукции сократилась в целом на 27%, а обратный показатель материалоотдачи возрос на 36%. Выявленная динамика обусловлена наращиванием объемов производства и может являться следствием снижение цен на отдельные виды ресурсов, выходом на новые, более дешевые источники сырья и переходом на более экономные технологии. Снижение материалоемкости позволяет сэкономить средства, отправляемые на пополнение производственных запасов и получить дополнительную прибыль от реализации.

Выявленные отклонения в выполнении производственной программы по цеху № 110 предприятия связаны с изменениями в условиях договорных поставок, а также с отклонениями в поставках сырья ( сырье по низкой цене было закуплено в большем объеме, чем необходимо, все поступило в производство, в результате чего произошло перевыполнение плана по отдельному виду продукции) .

Ритмичность производства и уровень загрузки производственных мощностей цеха могут быть проанализированы по показателям :

Таблица 2.4.

Показатели загрузки оборудования цеха № 110

Группа оборудования

Кол-во работающих единиц по группе

Загрузка оборудования,%

план

факт

абс.

отклон.

относ. отклон.

план

факт

"Пирелли"

25

22

-3,00

-12,00

89

99,68

Десма"

40

37

-3,00

-7,50

93

99,975

"Шольц"

35

35

0,00

0,00

97

97

Соляные ванны

15

13

-2,00

-13,33

89

100,87

Средний уровень загрузки оборудования

115

107

-8,00

-6,96

92

98,4


Исходя из плановой загрузки оборудования на уровне 92%, можно определить, что полная мощность цеха обеспечивается 125 единицами оборудования, из которых 10 единиц не используются в запланированной производственной программе по различным причинам. Анализ загрузки оборудования цеха выявляет, что по всем группам оборудования имеется отрицательное отклонение фактического количества используемого оборудования от планового. В течение анализируемого периода в простое находится дополнительно восемь единиц оборудования.

Таким образом, средняя общая загрузка по цеху в течение анализируемого периода снизилась с 92% до 85,6%. При этом фактическая загрузка задействованных единиц оборудования в цехе составила 98,4% . По одной из групп оборудования имеется более чем стопроцентная загрузка. Данные показатели можно рассматривать как положительную тенденцию, так как в цехе применен более оптимальный вариант загрузки по сравнению с плановым, при условии выполнения и небольшого перевыполнения производственной программы.

С другой стороны, наблюдается сокращение использования производственных мощностей, что указывает на неполную обеспеченность производства заказами и, в целом – на неоптимальную загрузку производства. Это обусловлено кризисными явлениями в экономике и общим снижением хозяйственной активности предприятия. Это не могло не отразиться на показателях использования основных фондов:

Рис. 2.6. – Динамика показателей использования ОПФ ОАО "БРТ"

Фондоотдача предприятия характеризует эффективность использования основных производственных фондов предприятия и представляет собой объем товарной продукции в натуральном или денежном выражении, который получается на каждой единице оборудования за определенный период времени. Фондоемкость является обратным показателем, характеризующим количество ОПФ, которое необходимо для производства одной единицы продукции. Фондоотдача на предприятии ОАО "БРТ" сократилась за период с 2006 по 2008 год на 31,9%. Причинами этому могут являться :

- малый процент активной части ОПФ (низкая задействованность производственного оборудования)

- высокий процент простоев по вине работников или по причине поломки производственного оборудования

- устаревшее оборудование, низкая степень автоматизации и механизации производства

- недостаточное использование имеющихся производственных мощностей предприятия

- сохранение на балансе предприятия недействующего оборудования, исключенного из производства, которое подлежит списанию

Соответственно увеличилась фондоемкость продукции – на 60% к 2008 году по сравнению с 2006г. Такая ситуация вызывает повышение доли ОПФ в себестоимости продукции и ее рост. А, соответственно, рост себестоимости товарной продукции является причиной сокращения прибыли от реализации продукции. Сокращение фондорентабельности говорит о низкой финансовой результативности от расширения объемов ОПФ и необходимости сокращения неэффективных производственных мощностей предприятия, сокращении устаревшего оборудования или расширения объемов производства для более полного использования парка производственного оборудования предприятия.

Влияние трудовых ресурсов на результаты производственной деятельности можно проанализировать по показателям использования трудовых ресурсов:

Рис.2.7. – Динамика показателей использования трудовых ресурсов ОАО "БРТ" за 2006-2008 гг.

Среднесписочная численность возросла за рассматриваемый период на 0,8%. Такая незначительная динамика говорит о том, что предприятие расширяет свои объемы производства не за счет увеличения численности работников, а за счет более эффективного использования имеющихся трудовых ресурсов.

Динамика производительности труда составила к 2008 году - 48,8%. Т.е. руководство предприятия ведет политику улучшения условий труда работников, автоматизации и механизации производства, которая обеспечивает рост производительности труда, т.е. объем производства одного работника за определенный период времени.

Еще одной причиной роста производительности труда может являться повышение мотивации к труду за счет роста оплаты труда. Рост фонда заработной платы составил 12% за три года. При этом заработная плата одного работника возросла на 22% к 2007 году, но затем к 2008 году сократилась по сравнению с предыдущим на 9%. Такая динамика не соотносится с динамикой производительности труда. Эта ситуация может вызвать снижение мотивации работников на повышение качества своей производственной деятельности, т.к. любое улучшение производственной деятельности должно сопровождаться материальным поощрением. Такая экономия финансов на трудовых ресурсах вызовет негативный процесс снижения не только производительности труда, но и качества производимой продукции предприятия.

Таким образом, анализ производственной деятельности ОАО "Балаковорезинотехника", проведенный в разрезе одного из ведущих цехов предприятия, выявил следующие положительные моменты:

– высокий уровень соответствия фактических показателей производства планируемым;

– отклонения от плановых показателей производства по отдельным видам продукции в целом дают перевыполнение плана по цеху;

– фактические показатели загрузки оборудования указывают на оптимизацию загрузки производственных мощностей по отдельным группам оборудования.

Наряду с положительными, выявлены и негативные моменты:

– имеется отрицательное отклонение по количеству единиц оборудования, запланированных для использования в производственном процессе. В целом, при неиспользовании 18 единиц оборудования цеха, наблюдается общее снижение загрузки производственных мощностей с 92% в среднем по цеху до 85,6%; и общее ухудшение показателей исползования основных фондов.

– в связи с перевыполнением плана производства по отдельным видам продукции и недовыполнением по другим группам, что привело к изменению структуры производства, по цеху выявлен перерасход средств на сырье и материалы и рост издержек на производства в сумме 922,41 тыс. руб.

Отклонения от плана в производственной программе связаны, в первую очередь, с изменениями в договорных поставках, а также с отклонениями в поставках сырья. Общее снижение загрузки цеха связано с негативными явлениями в экономике в целом.

К негативным процессам, произошедшим в производственной сфере предприятия ОАО "БРТ" в период с 2006 по 2008 год можно отнести рост себестоимости товарной продукции, который не соответствовал темпам роста объемов производства, и превысил их по сравнению с 2007 годом.

Рост прибыльности за данный период сопровождался снижением материалоемкости, что говорит о повышении эффективности производственного процесса. Однако снижение фондоотдачи и соответственное повышение фондоемкости является свидетельством того, что, не смотря на наращивание производственных мощностей, предприятие неэффективно использует свои основные производственные фонды.

Таким образом, необходимо наметить такие направления совершенствования производственной деятельности ОАО "Балаковореизнотехника", которые будут способствовать повышению оперативности контроля за выполнение договорных обязательств, оптимизации загрузки производственных мощностей, повышению координации действий подразделений предприятия в процессе осуществления производственной деятельности.

В связи с этим, в целях повышения эффективности производственной деятельности ОАО "БРТ" с этим предлагается:

- обеспечить стратегический подход к установлению целей производственной деятельности, что будет способствовать лучшей координации и контролю производственной деятельности.

- внедрять современные системы управления для повышения оперативности управления производственной деятельностью.

- провести ряд мероприятий по совершенствованию технологических процессов производства, что будет способствовать повышению эффективности производственной деятельности.

Глава 3. Направления повышения эффективности производственной деятельности ОАО "Балаковорезинотехника"

3.1 Внедрение стратегического подхода к определению целей производственной деятельности

Управление производственным процессом включает в себя несколько функций. В их число входят планирование и прогнозирование, организация, регулирование, учет, контроль, анализ и стимулирование.

Функции управления всегда направлены на достижение организацией определенных целей. Любая цель формируется в рамках функции "планирование - прогнозирование", а это означает, что данная функция в системе функций управления занимает центральное звено.

Функция прогнозирования производства предшествует в управленческом цикле планированию и ставит своей задачей научное предвидение развития производственного процесса, а также поиск решений, которые обеспечивают развитие производства в оптимальном режиме.

Процесс планирования по содержанию и форме проявления можно подразделить на несколько видов. Рассмотрим наиболее важные из них.

В зависимости от обязательности плановых заданий можно выделить директивное и индикативное планирование.

Директивное планирование заключается в принятии решений, имеющих обязательный характер для объектов планирования.

Индикативное планирование, в отличие от директивного, не носит обязательный для исполнения характер. В целом индикативный план имеет направляющий, рекомендательный характер, хотя в его составе могут быть и обязательные задания, но их число весьма ограничено.

В зависимости от срока и степени детализации плановых расчетов планирование бывает долгосрочным (перспективное планирование), среднесрочным и краткосрочным (текущее планирование).

Перспективное планирование охватывает период более 5 лет и предназначено для определения долговременной стратегии организации.

По форме перспективное планирование и прогнозирование представляют собой один и тот же процесс, но они отличаются по содержанию. Прогнозирование представляет собой процесс предвидения, построенный на вероятностном, научно обоснованном суждении о перспективах развития объекта в будущем, его возможном состоянии. Прогнозирование позволяет выявить альтернативные варианты развития планируемого процесса или объекта и обосновать выбор оптимального варианта. В этом смысле прогнозирование является одним из этапов перспективного планирования. Без прогнозирования перспективное планирование являлось бы гаданием, а не научным предвидением.

По содержанию плановых решений выделяют стратегическое, тактическое, оперативно-календарное планирование, а также бизнес-планирование.

Стратегическое планирование, как правило, определяет основные направления развития организации, ставит перспективные цели и вырабатывает средства их достижения. По сути, это поиск новых возможностей для организации.

Тактическое планирование – это процесс создания предпосылок для реализации новых возможностей организации, определенных на этапе стратегического планирования.

Тактическое планирование позволяет реализовать имеющиеся резервы организации и предусматривает, например, увеличение объемов производства, рост производительности труда, снижение затрат, повышение качества продукции, уменьшение потребности в капитальных затратах и т.д.

Тактическое планирование реализуется путем сопоставления технико-экономических планов, в которых отражаются мероприятия по расширению производства и повышению его технического уровня, обновлению продукции и росту ее качества, наиболее полному использованию научно-технических достижений и т.п. В результате тактического планирования составляется план экономического и социального развития фирмы, представляющий комплексную программу производственной, хозяйственной и социальной деятельности организации на соответствующий период.

На основании технико-экономического плана устанавливается связь между структурными подразделениями организации, осуществляется разработка бюджетов (смет) по основным видам деятельности, а также контроль за их выполнением.

Бюджеты являются главным средством планирования и контроля деятельности организации. Бюджет фирмы представляет собой план, охватывающий все хозяйственные операции на определенный срок и содержащий цели и политику фирмы, утвержденные руководством как для организации в целом, так и для каждого подразделения.

Оперативно-календарное планирование состоит в конкретизации показателей тактического плана с целью организации повседневной планомерной и ритмичной работы организации и ее структурных подразделений.

Оперативно-календарное планирование увязывает все элементы организации в единый производственный организм, включая техническую подготовку производства, материально-техническое обеспечение производства, создание и поддержание необходимых запасов материальных ресурсов, сбыт продукции и т.п.

Бизнес-планирование предназначено для оценки целесообразности внедрения того или иного мероприятия. Особое значение бизнес-планирование имеет тогда, когда речь идет об инновациях, требующих для своей реализации крупных инвестиций.

Составной частью процесса планирования является разработка производственной программы организации.

Производственная программа определяет необходимый объем производства продукции, соответствующий по номенклатуре, ассортименту и качеству требованиям плана продаж в натуральном и стоимостном выражениях. В программе содержатся задания по вводу в действие новых производственных мощностей, потребность в материально-сырьевых ресурсах, численности персонала, транспорте и т. д.

Производственная программа состоит из двух разделов: план производства продукции в натуральном (условно-натуральном) выражении и план производства в стоимостном выражении.

План производства продукции в натуральном выражении содержит показатели выпуска продукции определенной номенклатуры, ассортимента и качества изделий в физических единицах. Это дает возможность согласовать выпуск конкретных видов продукции с потребностями рынка, производственными мощностями организации, потребностью в ресурсах, необходимых для производства. Однако натуральные измерители не всегда позволяют точно определить общий объем и структуру производства, рассчитать издержки, доход и прибыль от реализации продукции (например, в многопрофильных организациях). Для решения этих и других вопросов разрабатывается план производства в стоимостном выражении. Он содержит следующие показатели: реализованная продукция (валовой доход); товарная продукция; валовая продукция.

Реализованная продукция (валовой доход) - это продукция, оплаченная покупателями. Она представляет собой стоимость предназначенных к поставке по плану и подлежащих оплате заказчиком готовых изделий и полуфабрикатов собственного производства, запасных частей всех видов и назначений, товаров народного потребления, выполняемых работ и оказываемых услуг, реализуемых потребителям.

Товарная продукция представляет собой стоимость запланированных к выпуску готовых изделий; полуфабрикатов, комплектующих изделий, предназначенных для реализации на сторону; капитального ремонта, выполненного собственными силами, а также изделий и запасных частей, изготовленных для капитального ремонта, капитального строительства и собственных непромышленных хозяйств; инструментов и приспособлений для собственного производства. Товарная продукция выражается в оптовых ценах – для увязки плана производства с финансовым планом, а также в сопоставимых ценах – для определения темпов, динамики и изменения структуры производства.

Валовая продукция представляет собой стоимость всей произведенной продукции и выполненных работ, включая незавершенное производство. Чаще всего выражается в сопоставимых ценах.

Кроме этих показателей широко применяется показатель чистой продукции, которых характеризует вновь созданную в организации стоимость. В состав чистой продукции включаются трудовые расходы и прибыль организации.

Как указывалось выше, при разработке производственной программы организации используются натуральные, условно-натуральные и стоимостные измерители.

Натуральные показатели объемов производства (штуки, метры, тонны и т.д.) используются для оценки отдельных видов однородной продукции.

Условно-натуральные показатели, как и стоимостные, применяются для обобщенной характеристики объемов производства продукции, например на консервных заводах используется такой показатель, как тысяча условных банок (туб), на ремонтных предприятиях – количество условных ремонтов.

Деятельность организации должна планироваться не только по общему объему продукции, но и по ассортименту (номенклатуре).

Номенклатура – перечень наименований изделий и их кодов, установленных для соответствующих видов продукции в общесоюзном классификаторе промышленной продукции (ОКПП).

Ассортимент – перечень наименований продукции с указанием ее объема выпуска по каждому виду.

Структура выпускаемой продукции также является важным показателем производственной программы. Изменение структуры производства оказывает большое влияние на все экономические показатели организации: объем выпуска в стоимостном выражении, материалоемкость, себестоимость товарной продукции, прибыль, рентабельность. Если увеличивается удельный вес более дорогой продукции, то объем ее выпуска в стоимостном выражении возрастает, и наоборот. Размер прибыли также возрастает при увеличении удельного веса высокорентабельной и соответственном уменьшении доли низкорентабельной продукции.

Важным показателем деятельности промышленных предприятий является качество продукции. Ее повышение не только обеспечивает экономию трудовых и материальных ресурсов, но и позволяет более полно удовлетворять потребности покупателей. Высокий уровень качества продукции способствует повышению спроса на нее и увеличению суммы прибыли не только за счет объема продаж, но и за счет более высоких цен.

Качество продукции – комплексное понятие, характеризующее параметрические, эксплуатационные, потребительские, технологические, дизайнерские свойства продукции, уровень ее стандартизации и унификации, надежность и долговечность.

При разработке производственной программы необходимо предусмотреть обеспеченность организации трудовыми ресурсами, а также производительность труда.

Обобщающим показателем производительности труда являются среднегодовая, среднедневная и среднечасовая выработка продукции одним рабочим, а также среднегодовая выработка продукции на одного работающего в стоимостном выражении.

Частные показатели производительности труда – затраты времени на производство единицы продукции определенного вида (трудоемкость продукции) или выпуск продукции определенного вида в натуральном выражении за один человеко-день или человеко-час.

Вспомогательные показатели характеризуют затраты времени на выполнение единицы определенного вида работ или объем выполненных работ за единицу времени.

В производственной программе необходимо предусмотреть не только показатели производительности труда, но и оплаты труда. При этом планируются как переменная, так и постоянная ее части.

Переменная часть фонда оплаты труда зависит от объема производства продукции, его структуры, удельной трудоемкости и уровня среднечасовой оплаты труда.

Постоянная часть состоит из оплаты труда работников-повременщиков, служащих и т.д.

Одним из важнейших факторов повышения эффективности производства, которые необходимо запланировать – обеспеченность организации основными производственными фондами в необходимом ассортименте и более полное их использование.

Необходимым условием выполнения производственной программы является полное и своевременное обеспечение организации сырьем и материалами необходимого ассортимента и качества.

Потребность организации в материальных ресурсах может быть удовлетворена за счет внешних и внутренних источников.

Внешние источники – поступление материальных ресурсов от поставщиков.

Внутренние источники – это сокращение отходов сырья, использование вторичного сырья, собственное изготовление материалов и полуфабрикатов, экономия материалов в результате внедрения достижений научно-технического прогресса.

Производственная программа организации рассчитывается как на перспективу, так и на год с разбивкой по кварталам и по месяцам. В планах структурных подразделений задания производственной программы могут распределяться по более коротким периодам.

Разработка производственных программ связана не только с особенностями функционирования каждой конкретной организации, но и с теми целями, которые ставит перед собой организация.

По отношению к основной цели организации (получение прибыли) менее приоритетными целями производства могут быть следующие:

· наращивание объемов выпуска продукции, работ, услуг;

· использование достижений научно-технического прогресса и обеспечение на этой основе высокого уровня производства и выпускаемой продукции (услуг);

· маневренность и мобильность деятельности, то есть способность в кратчайшие сроки перепрофилировать производство с одних видов изделий на другие или выпускать их параллельно в нужных количествах в зависимости от складывающейся конъюнктуры рынка, конкуренции по уровню качества продукции;

· гибкая ценовая политика;

· рациональное использование всех ресурсов, снижение себестоимости и обеспечение высокой эффективности производства;

· более полное использование отходов производства;

· обеспечение оптимальных условий труда и социального развития участников производства;

· экологичность всех видов производственно-хозяйственной деятельности.

Каждая из перечисленных целей служит средством достижения основной цели производства.

Рассматривая систему целей, стоящих перед предприятием в ходе его производственно-хозяйственной деятельности, важно подчеркнуть, что эти цели могут быть сгруппированы и по масштабу задач, выполняемых в процессе их реализации, и по объектам, которые охватываются этими целями

Между различными уровнями реализации целей производства существуют тесные взаимопроникающие связи.

В связи с такой многоуровневостью, важно не только анализировать природу целей деятельности предприятия, но и определять их взаимосвязь с другими элементами системы управления, формировать индивидуальные (1-й и 2-й уровни), групповые (3-й уровень) и организационные (4-й и 5-й уровни) цели в соответствии с их функциями, типами и предъявляемыми к ним требованиями.

Тогда поставленные таким образом цели будут являться масштабом для оценки достигнутых результатов на соответствующем уровне.

Приведенная характеристика ориентации предприятия и его подразделений на достижение основного конечного результата (максимум прибыли, дохода) производственно-хозяйственной деятельности позволяет перейти к анализу процесса разработки стратегии развития. Такая разработка, в свою очередь, невозможна без определения четкой последовательности действий при формировании стратегии и создания механизма ее реализации.

Сама стратегия развития предполагает постановку целей, ориентиров, приоритетов деятельности и формирование политики, обеспечивающей их реализацию в соответствующей перспективе.

Систематизация и многообразие целей производственно-хозяйственной деятельности ставят на первое место вопрос о последовательности их достижения на основе их относительной самостоятельности, с одной стороны, и периодической соподчиненности, с другой.

Любая из выделенных целей производственной деятельности может быть представлена и как важнейшая самостоятельная цель любого производства вне зависимости от того, с точки зрения каких интересов она рассматривается: с позиций собственников данного производственного звена либо с позиций требований к нему со стороны государства, общества.

Рис. 3.1. – Масштаб и последовательность реализации целей производственной деятельности

В частности, без использования достижений научно-технического прогресса, обеспечения высокого технического и организационного уровня производства не стоит говорить в современных условиях о значительных доходах, прибыли производителя, собственника. В условиях свободной конкуренции невозможно достичь высокой рентабельности производства без использования передовых научно-технических достижений. В то же время, само по себе использование научно-технических достижений представляется важнейшей целью производства, в которой заинтересованы и сама организация, и государство в целом. Поэтому деятельность товаропроизводителей в этом направлении должна всячески стимулироваться и поощряться со стороны государства.

Не менее важны и все остальные вышеперечисленные цели производства как цели перспективного плана, предполагающие его дальнейшее развитие и совершенствование, но они важны именно как цели, конкретизирующие основную цель, как характеризующие средства ее достижения.

Таким образом, самостоятельность, и при этом определенная соподчиненность целей, их иерархия предусматривают последовательность приоритетов, когда цели более высокого уровня являются главенствующими, определяющими для целей низлежащих уровней. Именно тогда в агрегированном виде схема построения всей системы целей принимает вид "иерархии целей", представленный на рис. 3.2.

Важно подчеркнуть и следующую особенность целей производственной деятельности, получаемую в результате ее системного анализа. Системный подход предполагает рассмотрение любой системы как части другой, более крупной системы. По этой причине и целевая функция (основная цель) любой системы задается системой более высокого порядка. По отношению к экономической сфере такой системой более высокого порядка является социальная сфера, которая и задает цели развития экономической системы в целом и предприятия в частности.

Все цели производства зависят от социальной сферы и требований удовлетворения конкретных социальных потребностей в определенной продукции достаточного качества и ассортимента, в создании нормальных условий труда и социального развития, обеспечения экологической безопасности и т. д.

Рис. 3.2. – Схематичное изображение системы целей

Все цели организации могут быть сгруппированы по двум категориям – это цели стабилизации и цели развития.

Стабилизационные цели предполагают сохранение достигнутого уровня производства, потребления, использования ресурсов либо сохранение определенного состояния производственной системы.

Цели развития направлены на достижение новых, более совершенных состояний либо на создание дополнительных ресурсов, которыми предприятие не обладает и которые ведут к достижению желаемого состояния.

Совокупность целей, устанавливаемых предприятием, зависит от влияния разнообразных факторов, характеризующих обеспеченность предприятия собственными ресурсами, а также рыночной ситуацией. Среди них можно выделить следующие:

· наличие и объем платежеспособного спроса на продукцию (работы, услуги) предприятия;

· наличие надежных поставщиков сырья, материалов, комплектующих изделий, оборудования, необходимых для изготовления продукции;

· наличие инженерных решений для изготовления новой или модифицированной продукции, расширения, диверсификации деятельности;

· наличие квалифицированных кадров;

· намерения, а также сильные и слабые стороны конкурентов;

· степень международных связей в области торговли продукцией, интересующей данное предприятие;

· наличие земельных площадей для строительства и возможного расширения предприятия;

· вид, мощность и надежность транспортных связей;

· наличие рыночной, коммунальной и прочей инфраструктуры для обслуживания действующего предприятия.

Принципиально важно, чтобы все перечисленные факторы были учтены при разработке и реализации стратегии развития предприятия.

Влияние их может быть таким, что в различные временные промежутки цели деятельности могут меняться, либо меняется приоритетность этих целей. Все это зависит от конкретных обстоятельств деятельности предприятия.

Например, основной целью предприятия на определенном этапе может быть не получение максимальной прибыли, а завоевание рынка. В этом случае получение максимальной прибыли как бы отодвигается на второй план, но в будущем, в случае завоевания рынка, предприятие сможет возместить недополученную ранее прибыль, реализуя свою основную долговременную цель.

В современных условиях руководители многих предприятий считают, что для них основной задачей является реализация продукции, возможность выплаты заработной платы работникам, погашение задолженности перед бюджетом, финансовыми институтами и поставщиками, предотвращение банкротства. И лишь в случае реализации этих задач появится возможность достижения стратегической цели – максимизации прибыли.

Определение целей производства не позволяет напрямую перейти к формированию программы развития и функционирования производства на данный календарный период. Для этого необходимо осуществить еще несколько этапов работы. Прежде всего, это – определение путей достижения поставленных целей. Этот этап предусматривает определение полного набора возможных вариантов достижения поставленных целей с тем, чтобы выбрать из них наиболее оптимальный.

Такой производственный выбор может быть осуществлен только при выработке приоритетов, устраивающих предприятие, отвечающих целям его деятельности. Заметим, что они, в свою очередь, должны быть согласованы и не противоречить ранее разработанным целям.

Так, например, различные варианты производственной деятельности отличаются друг от друга не только объемами производства продукции или услуг. Это связано с тем, что для достижения целей не всегда имеется неограниченное количество ресурсов. Поэтому оценка вариантов достижения цели производства должна включать анализ объемов требуемых ресурсов, их распределение, степень их дефицитности, приоритетность их получения и использования.

В частности, любое изделие может быть изготовлено, во-первых, со значительной долей применения ручного, высококвалифицированного труда рабочих-профессионалов и, во-вторых, на высокомеханизированном, автоматизированном производстве с минимальным участием человека.

Естественно, что варианты производства данной продукции, которые обеспечивают больший выход этого вида изделия из имеющихся в наличии ресурсов, обеспечивают более полное удовлетворение соответствующей потребности человека и общества и будут признаны более предпочтительными.

Таким образом, решение проблемы выбора во многом определяется результативностью того или иного варианта производства данного вида продукции (варианта удовлетворения соответствующей потребности).

Однако различные варианты технологии производства продукта или удовлетворения какой-либо потребности требуют, как правило, и различных затрат, издержек, связанных с их внедрением. Каждый новый, прогрессивный вариант технологии производства продукта чаще всего связан с новыми, повышенными издержками по его внедрению и использованию.

Поэтому проблема выбора оптимального варианта развития производства связана с оценкой, сопоставлением возможных вариантов, а также выгоды от использования новой технологии с затратами различных видов ресурсов, которые потребуются для его внедрения.

На этапе оценки вариантов по объему и составу ресурсов очень важно определить оптимальное сочетание экстенсивных и интенсивных факторов развития производства. Как известно, использование первых предполагает вовлечение в процесс производства дополнительных ресурсов для роста объемов производства, а использование вторых – увеличение выхода готовой продукции благодаря более эффективному использованию ресурсов. Важнейшей особенностью использования этих групп факторов является их взаимозаменяемость.

Конечный этап системного анализа – формирование такой модели развития предприятия, которая позволяет определить свойства и впоследствии результативно управлять его развитием. Чтобы определить действенность и эффективность функционирования системы по созданной модели в практической жизни, необходимо определить ее результативность, а значит оценить конечный результат производственной деятельности.

Конечные результаты производственной деятельности характеризуют степень реализации на определенный момент времени основной цели организации и ее локальных целей. Исходя из этого, в качестве конечных результатов деятельности используют категории прибыли, дохода, выполнения хозяйственных договоров на поставку продукции надлежащего качества, ассортимента и в установленные сроки.

Для формирования обоснованной, количественной оценки деятельности выделяют критерий – условие или признак, по которому определяется наиболее предпочтительный вариант достижения конкретной цели.

В качестве такого критерия оценки результативности производственной деятельности могут выступать многие показатели – показатели собственно результата (эффекта), затрат ресурсов, качества продукции и т. д. Однако поскольку конечный результат – это степень достижения цели производства, прежде всего основной цели, есть объективная возможность дать обобщающую оценку хозяйственной деятельности по критерию достижения этой цели при минимальных затратах.

Частные же критерии оценки результативности производства могут быть представлены в виде одного из следующих показателей:

· уровень рентабельности (как отношение цены или прибыли в цене изделия к его себестоимости);

· ресурсоемкость (трудо-, материало-, капиталоемкость) продукции (как отношение количества определенного вида ресурса к объему продукции конкретного вида, либо как отношение среднегодовой стоимости всех используемых ресурсов к стоимости всей произведенной в течение года продукции);

· ресурсоотдача (выработка, фондоотдача) как отношение стоимости (количества) произведенной продукции к стоимости (объему) используемых в течение данного периода ресурсов.

Всю последовательность действий по разработке и реализации стратегии развития предприятия можно представить в следующем виде (. рис. 3.3.).

Весь процесс формирования стратегии развития предприятия заключается в циклическом выполнении ряда последовательных этапов работ по анализу, оценке, планированию (прогнозированию) целей и результатов деятельности на соответствующий период. Причем исходными при реализации этого алгоритма формирования стратегии являются такие элементы, как собственная оценка предприятием своих позиций в бизнесе и установленные на основе этой оценки цели производственно-хозяйственной деятельности. С этой точки зрения определяющим в общем процессе управления предприятием является управление целями в виде обоснованной постановки и последовательного достижения целей на каждом из их иерархических уровней.

Рис. 3.3. – Алгоритм формирования стратегии развития производственной деятельности предприятия

Производственная программа зависит от планового объема реализации готовой продукции и от величины запасов готовой продукции, имеющейся на складе.

Объем производства определяется как объем продаж с остатками готовой продукции на конец периода за минусом остатков готовой продукции на начало планируемого периода.

После того как определен оптимальный уровень запасов, можно рассчитать производственную программу предприятия.

3.2 Внедрение ЕRP-систем управления производственной деятельностью

Комплексное управление операционной деятельностью предприятия открывает новые возможности повышения эффективности производственного и связанных с ним процессов. Внедрение ЕRP-системы позволит предприятию совершенствовать управление операциями на всех этапах производства – управление запасами и складами, производством, заказами, качеством продукции, основными фондами.

Подпрограмма по управлению закупками, включенная в интегрированную ЕRP-систему, охватывает все процессы, связанные с управлением материальными запасами и хозяйственными операциями по закупке материалов и комплектующих. Функциональность решения обеспечивает введение современных инструментов, облегчающих процесс закупки для нужд производства. В частности, используя инструменты удаленного доступа к системе, поставщики могут самостоятельно отслеживать потребности в сырье и материалах и своевременно осуществлять необходимые поставки.

Инструменты управления складами позволяют оптимизировать уровень складских запасов, снижая показатель "точки перезаказа" и затоваривание складов. Реализация функции штрих-кодирования позволяет всегда оперировать только актуальной информацией, поштучно учитывая точное количество материалов, готовых к передаче в производство. Возможность резервирования комплектующих для производства позволяет оперативно отслеживать потребности в тех или иных комплектующих. Решение также позволяет автоматизировать процесс отгрузки товаров клиентам, а интеграция решения с финансовой системой – автоматически формировать необходимый комплект документов.

Повышение эффективности производственной деятельности достигается за счет точного контроля за всеми этапами производственного процесса. ЕRP-система поддерживает все передовые концепции производства, включая just-in-time, lean и производство на заказ. Последняя сегодня наиболее актуальная для предприятий с дискретным типом производства, так как большинство из них направлено на удовлетворение индивидуальных потребностей клиентов. Гибкое планирование производства позволяет предприятиям оперативно реагировать на возникающие срочные заказы клиентов и в максимально короткие сроки разрабатывать новый график производства, основанный на данных по оборудованию и наличию необходимых комплектующих на складах.

ЕRP-система по управлению производством позволяет анализировать все этапы производственного процесса, выявлять и устранять "узкие" места. Последовательное отслеживание производственного процесса позволяет существенно сокращать затраты и снижать себестоимость продукции, оптимизировать производственные бизнес-процессы, повысить производительность оборудования и качество выпускаемой продукции, планировать потребности в материалах и мощностях, расширять объемы производства и контролировать затраты на выпуск каждой единицы продукции.

Управление заказами клиентов в комплексе операционной деятельности предприятия позволяет максимально полно и быстро удовлетворять потребности клиентов. Возможность оперативного конфигурирования изделий с автоматическим расчетом цен обеспечивает сокращение сроков на обработку заказов и выставление предложений. Также решение позволяет контролировать процесс выполнения заказа клиента, повышая качество обслуживания за счет уведомлений об актуальном состоянии заказа.

В рамках операционной деятельности управление жизненным циклом продукта имеет ключевое значение, так как позволяет отслеживать все стадии – от конструкторской разработки и технологических особенностей производства до управления сервисным обслуживанием и списанием. Также в рамках решения осуществляется комплексный документооборот, включающий все, даже самые несущественные, материалы, касающиеся жизненного цикла изделия.

ERP-система также позволяет поддерживать процессы проектирования продукции, сокращая время на конструирование, разработку и производство. Решение предоставляет удобные инструменты для совместной работы над проектами, обеспечивая эффективное взаимодействие всех участников и контролем хода работ на каждой стадии проекта. В рамках решения осуществляется полный анализ затрат и бюджетирование, учитывающее происходящие изменения и позволяющее оперативно изменять статьи бюджета. Работа в едином информационном пространстве позволяет оперировать только актуальными данными, что снижает вероятность возникновения ошибок при передаче работ в различные подразделения. Интеграция решения с логистической системой обеспечивает быстрый поиск и поставку необходимых для производства материалов.

Повышением качества продукции озабочены все производители товаров и услуг, не зависимо от области их деятельности. Поэтому управление качеством один из основополагающих принципов повышения конкурентоспособности продукции на рынке. Применение ЕRP-системы в области управления качеством позволяет поддерживать процессы планирования и контроля качества изделий, а также предлагает инструменты, для непрерывного совершенствования качества производимой продукции.

Потребности производственных предприятий в управлении основными фондами заключаются в необходимости отслеживать состояние оборудования, оперативно осуществлять техническую поддержку и ремонт, поддерживать соблюдение законодательства в области охраны труда. Предлагаемое внедрение ЕRP-системы управления производством обеспечивает качественное управление жизненным циклом основных фондов. В частности, позволяет не только проводить мониторинг оборудования, но и в соответствии с введенными в систему данными об актуальном техническом состоянии основных средств осуществлять техническое обслуживание. Такой подход экономически оправдан, так как он позволяет сократить стоимость ремонтных работ и время простоя оборудования.

Внедрение ЕRP-системы формирует следующие производственные преимущества предприятия:

Снижение затрат на всех этапах производственного процесса

Повышение производительности оборудования

Снижение незапланированных простоев и стоимости ремонтных работ

Повышение качества продукции

Эффективная разработка и быстрый вывод на рынок новой продукции

Повышение качества сервисного обслуживания и уровня удовлетворенности клиентов

Сокращение затрат на работу с заказами клиентов

Поддержка всех типов производства

Оптимизация процесса закупки и снижение уровня складских запасов

Учитывая, что предлагаемые мероприятия носят организационный характер и не связаны с серьезными капиталовложениями, результат мероприятий по совершенствованию управления производственной деятельности ОАО "БРТ" можно отразить в виде роста эффективности производства, который выражается:

– в росте производительности труда на 5% от показателей 2008 за счет более четкого и оперативного управления и снижения потерь времени из-за простоев производства;

– повышении рентабельности основных фондов на 4% за счет более полного использования имеющейся производственной базы;

- снижение себестоимости товарной продукции на 1% за счет снижения материалоемкости и повышения материалоотдачи

– повышение объемов производства не менее чем на 5% от показателя 2008 года, за счет лучшего использования трудовых ресурсов, оборудования, сырья и материалов.

Заключение

Проведенное исследование позволило сделать следующие выводы.

Производственную деятельность можно определить как целенаправленную деятельность, результатом которой является превращение отдельных компонентов в полезный продукт или изменение свойств, формы продукта.

Система управления производственной деятельностью представляет собой совокупность взаимосвязанных функций и структурных элементов, обеспечивающих реализацию предприятием производственных задач и целей. Система управления производственной деятельностью имеет свою структуру. Под структурой управления производством понимается упорядоченная совокупность взаимосвязанных элементов, находящихся между собой в устойчивых отношениях, обеспечивающих их функционирование и развитие как единого целого. Производственная деятельность предприятия и его подразделений должна направляться и координироваться соответствующим руководителем или специальным органом. Чем глубже разделение труда на предприятии и, соответственно, больше видов деятельности и подразделений, тем сложнее оказывается вся структура органов управления, тем больше в ней уровней иерархии.

Ориентирами для деятельности любого предприятия является его планы: план производства, план реализации продукции, план развития и т.д. Производственная программа является одним из таких планов, который отражает основные направления и задачи развития в плановом периоде, производственно-хозяйственные связи с другими предприятиями, профиль и степень специализации производства.

Процесс управления производственной деятельностью предприятия основывается на постоянном сопоставлении расходов и полученных результатов. Процесс управления производственной деятельностью предприятия основывается на постоянном сопоставлении расходов и полученных результатов. Производственная деятельность предприятий характеризуется обширной системой показателей. Важнейшим из них в условиях свободных рыночных отношений являются такие, как спрос на продукцию и объем производства, величина предложения и производственная мощность предприятия, издержки и цены на продукцию, потребность ресурсов и инвестиций, объем продаж и общий доход. Состояние производства также характеризуется его эффективностью, психологическими параметрами, степенью использования достижений научно-технического прогресса, местом и ролью работника в производственных процессах.

Исходя из выявленных критериев, эффективность производственной деятельности может быть проанализирована по следующим аспектам: анализ объемов, ассортимента и структуры производства, анализ выполнения производственной программы; анализ качества производимой продукции; анализ ритмичности производства; анализ эффективности использования производственных мощностей (маржинальный анализ "узких мест"); анализ факторов производства, оценка резервов роста объемов производства, анализ затрат на производство. Анализа производственной деятельности позволяют оценить текущее состояние и выявить возможности предприятия по совершенствованию производственной деятельности, а также выявить диспропорции в использовании ресурсов, которые приводят к снижению эффективности производственной деятельности.

Анализ производственной деятельности ОАО "Балаковорезинотехника", проведенный в разрезе одного из ведущих цехов предприятия, выявил следующие положительные моменты:

– высокий уровень соответствия фактических показателей производства планируемым;

– отклонения от плановых показателей производства по отдельным видам продукции в целом дают перевыполнение плана по цеху;

– фактические показатели загрузки оборудования указывают на оптимизацию загрузки производственных мощностей по отдельным группам оборудования.

Наряду с положительными, выявлены и негативные моменты:

– имеется отрицательное отклонение по количеству единиц оборудования, запланированных для использования в производственном процессе. В целом, при неиспользовании 18 единиц оборудования цеха, наблюдается общее снижение загрузки производственных мощностей с 92% в среднем по цеху до 85,6%; и общее ухудшение показателей исползования основных фондов.

– в связи с перевыполнением плана производства по отдельным видам продукции и недовыполнением по другим группам, что привело к изменению структуры производства, по цеху выявлен перерасход средств на сырье и материалы и рост издержек на производства в сумме 922,41 тыс. руб.

Отклонения от плана в производственной программе связаны, в первую очередь, с изменениями в договорных поставках, а также с отклонениями в поставках сырья. Общее снижение загрузки цеха связано с негативными явлениями в экономике в целом.

К негативным процессам, произошедшим в производственной сфере предприятия ОАО "БРТ" в период с 2006 по 2008 год можно отнести рост себестоимости товарной продукции, который не соответствовал темпам роста объемов производства, и превысил их по сравнению с 2007 годом.

Рост прибыльности за данный период сопровождался снижением материалоемкости, что говорит о повышении эффективности производственного процесса. Однако снижение фондоотдачи и соответственное повышение фондоемкости является свидетельством того, что, не смотря на наращивание производственных мощностей, предприятие неэффективно использует свои основные производственные фонды.

Таким образом, необходимо наметить такие направления совершенствования производственной деятельности ОАО "Балаковореизнотехника", которые будут способствовать повышению оперативности контроля за выполнение договорных обязательств, оптимизации загрузки производственных мощностей, повышению координации действий подразделений предприятия в процессе осуществления производственной деятельности.

В связи с этим, в целях повышения эффективности производственной деятельности ОАО "БРТ" с этим предлагается:

- обеспечить стратегический подход к установлению целей производственной деятельности, что будет способствовать лучшей координации и контролю производственной деятельности.

- внедрять современные системы управления для повышения оперативности управления производственной деятельностью.

- провести ряд мероприятий по совершенствованию технологических процессов производства, что будет способствовать повышению эффективности производственной деятельности.

Учитывая, что предлагаемые мероприятия носят организационный характер и не связаны с серьезными капиталовложениями, результат мероприятий по совершенствованию управления производственной деятельности ОАО "БРТ" можно отразить в виде роста эффективности производства, который выражается :

– в росте производительности труда на 5% от показателей 2008 за счет более четкого и оперативного управления и снижения потерь времени из-за простоев производства;

– повышении рентабельности основных фондов на 4% за счет более полного использования имеющейся производственной базы;

- снижение себестоимости товарной продукции на 1% за счет снижения материалоемкости и повышения материалоотдачи

– повышение объемов производства не менее чем на 5% от показателя 2008 года, за счет лучшего использования трудовых ресурсов, оборудования, сырья и материалов.

Библиографический список

1. Гражданский кодекс Российской Федерации.

2. Налоговый кодекс Российской Федерации.

3. Трудовой Кодекс Российской Федерации

4. Федеральный закон от 21 ноября 1996 г. № 129-ФЗ "О бухгалтерском учете".

5. Болт Г. Дж. Практическое руководство по управлению сбытом./Пер. с англ. – М.: 1991.

6. Бухалков М.И. Планирование на предприятиях машиностроения. Учебное пособие. – Самара: СамГТУ, 1995. – 56с.

7. Вахрушина М.А. Управленческий учет. Учебник. – М.: Финансы и статистика, 2002.

8. Годин А.М. Статистика. Учебник. – М.: ИТК "Дашков и К°", 2002.

9. Голиков Е.А. Маркетинг и логистика. Учебное пособие – М.: ИД "Дашков и К", 2002.

10.   Дейян А., Троадек А. Стимулирование сбыта и реклама на месте продаж/ Пер. с франц. – М., 1994.

11.   Дракер П.Ф. Управление нацеленное на результаты/ Пер. с англ. – М, 1994.

12.   Друри К. Введение в управленческий и производственный учет. М.: - Аудит, ЮНИТИ, 1997.

13.   Иванов А.П. Менеджмент. Учебник. - СПб. Изд. Михайлова В.А., 2002.

14.   Ильенкова С.Д. Инновационный менеджмент. Учебник – М.: ЮНИТИ, 2001.

15.   Ильин А.И. Планирование на предприятии. Учебник. - Мн. Новое знание, 2001

16.   Карпова Т.П. Управленческий учет. Учебник. – М. ЮНИТИ, 2002.

17.   Керимов В.Э. Управленческий учет. Учебник. – М.: ИКЦ "Маркетинг", 2001.

18.   Керимов В.Э. и др. Организация управленческого учета производственной деятельности. – М.: Юнити, 2007 г.

19.   Макаренко М.В., Михалина О.М. Производственный менеджмент. Учебное пособие. – М.: Издательство "ПРИОР", 1988.

20.   Макконел К.Р., Брю С.Л. Экономикс: Принципы, проблемы и политика. В 2-х т./Пер. с англ. – М.: Республика, 1992. – 400с.

21.   Маркетинг в отраслях и сферах деятельности. Учебник/Под ред. В.А. Алексунина. – М.: ИКЦ "Маркетинг", 2001.

22.   Микроэкономика: теория и российская практика. Учебник для вузов/ под ред. А.Г. Грязновой и А.Ю . Юданова – М.: ИТД "Кнорус", 2002 – С. 59

23.   Производственный менеджмент. Учебник/Под ред. С.Д. Ильенковой. – М.: ЮНИТИ-ДАНА, 2000.

24.   Пиндайк Р., Рубинфельд Д. Микроэкономика/ пер. с англ. – М.: Экономика, Дело, 2002

25.   Развитие рыночного механизма управления персоналом. Материалы республиканской научно-практической конференции/Под ред. М.И.Бухалкова. – Самара: СамГТУ, 2005. – 104с.

26.   Раицкий К.А. Экономика предприятия. Учебник. - М.: ИТК "Дашков и К°", 2002.

27.   Савицкая Г.В. Анализ хозяйственной деятельности предприятия. Учебное пособие. - Мн. Новое знание, 2006.

28.   Сергеев И.В. Экономика предприятия Учебник – М.: Финансы и статистика, 2006

29.   Фатхутдинов Р.А. Производственный менеджмент. Учебник. – М.: "Дашков и К°", 2002.

30.   Хайман Д.Н. Современная микроэкономика: анализ и применение. В 2-х т./Пер. с англ. – М.: Финансы и статистика, 1992. – 384с.

31.   Чернов В.А. Управленческий учет и анализ коммерческой деятельности/ под. ред. Баканова М.И. - М.: Финансы и статистика, 2001.

32.   Шеремет А.Д. Управленческий учет. Учебное пособие. - М.: ФБК - ПРЕСС, 2002.

33.   Щиборщ К.В. Бюджетирование деятельности промышленных предприятий России. – М.: Издательство "Дела и Сервис", 2001.

34.   Эванс Д.Р., Берман б. Маркетинг/Сокр. Пер. с англ. – М.: Инфра – М, 1997. – 350с.

35.   Экономика предприятия. Учебник/Под ред. О.И.Волкова. – М.: Инфра – М, 1997. – 416с.

36.   Экономический анализ: Учебное пособие/ под ред. Л.Е. Басовского – М. ИНФРА-М, 2004

37.   Ясинский А.И., Смирнов В.М., Фрезе В.И. и др. Ускорение социально-экономического развития объединения: Опыт АвтоВАЗа. – М.: Машиностроение, 1998. – 264с.

Похожие работы на - Оценка и анализ производственной деятельности предприятия

 

Не нашли материал для своей работы?
Поможем написать уникальную работу
Без плагиата!
Без нейросетей!