Статистический анализ оплаты труда (на примере ОАО 'Белкнига')
Министерство
образования Республики Беларусь
Белорусский
национальный технический университет
Кафедра
«Экономика и управление научными исследованиями, проектированием и
производством»
КУРСОВОЙ
ПРОЕКТ
На
тему «Статистический анализ оплаты труда (на примере ОАО «Белкнига»)
по
дисциплине «Статистика предприятия»
Выполнила: Грудина
О. С.
Гр. 313710, курс ,
ПСФ
Проверила: ст.
преподаватель
Минько М.В.
Минск,
2013
Реферат
Объём курсового проекта 59 стр., рис.1, табл. 6,
источников 10.
Тема: Статистический анализ оплаты труда (на
примере ОАО «Белкнига»).
Ключевые слова: оплата труда, структура
заработной платы, формы оплаты труда, системы оплаты труда, статистические
показатели оплаты труда.
Объект исследования: ОАО «Белкнига».
Цель работы: изучение понятия заработной платы и
механизма ее начисления, рассмотрение форм и систем оплаты труда.
В процессе изучения объекта исследования
проведен анализ оплаты труда за 2011 и 2012 годы.
На основе рассчитанных в результате анализа
показателей были сформированы соответствующие выводы об изменениях в структуре
фонда заработной платы в отчетном году по сравнению с базисным; о средней
заработной плате в отчетном и базисном годах; о влиянии различных факторов на
динамику средней заработной платы. Также были рассчитаны система индексов
(индекс переменного, постоянного составов и индекс структурных сдвигов),
изменение фонда заработной платы за счет изменения средней заработной платы и
численности работников, изменение фонда заработной платы за счет средней производительности
труда.
Содержание
Введение
1
Заработная плата как инструмент государственного регулирования экономики
1.1
Факторы, формирующие уровень заработной платы. Функции и принципы заработной
платы
1.2
Понятие заработной платы
1.3
Теоретические понятия форм и систем оплаты труда
1.4
Статистические показатели заработной платы
2.
Статистический анализ заработной платы (оплаты труда) на примере ОАО «Белкнига»
2.1
Характеристика предприятия
2.2
Статистический анализ оплаты труда на примере ОАО «Белкнига»
Заключение
Список
использованной литературы
Введение
Термин «заработная плата» означает
вознаграждение за труд, выплачиваемое работникам, состоящим в трудовых
отношениях с организацией (независимо от ее организационно-правовой формы), за
их труд. Одновременно работнику гарантируется сохранение определенного уровня
вознаграждения за труд, для чего государством устанавливается минимальный
размер оплаты труда.
Гарантийный характер минимального размера оплаты
труда выражается в том, что работающие вправе претендовать на определенный
месячный уровень вознаграждения за труд. Право получить установленную
государством сумму каждый работник имеет лишь в том случае, если он, полностью
выполнил норму рабочего времени и свои трудовые обязанности (нормы труда). Этот
уровень не снижается, если норма рабочего времени и нормы труда не выполнены не
по вине работника.
Минимальный размер оплаты труда периодически
пересматривается с учетом роста стоимости жизни, изменения минимального
потребительского бюджета и социально-экономического положения Республики
Беларусь.
Заработная плата имеет экономический и правовой
аспекты. При рассмотрении заработной платы с экономических позиций специалисты
обращают внимание, как правило, на ее денежный характер, на связь размеров
заработной платы с результатами работы организации и, как следствие этого, с ее
финансовыми возможностями, а также на зависимость оплаты труда каждого
конкретного работника от результатов, затраченного им труда.
В определении заработной платы как правовой
категории, сложившемся в белорусском трудовом праве, тоже подчеркивается
зависимость вознаграждения от количества и качества труда, личного вклада
работника в общие результаты работы коллектива. В то же время для правового
определения заработной платы имеет значение обязанность работодателя
выплачивать работнику вознаграждение за его труд, наличие у работника
субъективного права на получение этого вознаграждения и установление заранее
норм труда, тарифных ставок (окладов), сдельных расценок и иных факторов, с помощью
которых подсчитывается сумма вознаграждения. С учетом сказанного и
сформулировано правовое определение заработной платы: заработная плата - это
вознаграждение, которое работодатель обязан выплачивать работающим у него по
трудовому договору (контракту) гражданам по заранее установленным нормам и
расценкам, учитывая количество и качество затраченного ими труда, личный вклад
каждого в конечные результаты работы.
ЗАРАБОТНАЯ ПЛАТА КАК ИНСТРУМЕНТ ГОСУДАРСТВЕННОГО
РЕГУЛИРОВАНИЯ ЭКОНОМИКИ
.1 Факторы, формирующие уровень заработной
платы. Функции и принципы заработной платы
В процессе перехода к рыночным отношениям в
результате формирования многоуровневой экономики принципиально меняется
экономическая природа и сущность заработной платы.
Согласно экономическим законам в рыночных
условиях заработная плата из доли работника в национальном доходе превращается
в затраты на воспроизводство рабочей силы, как составную часть издержек
производства, гарантированные с одной стороны государством, а с другой -
доходами предприятия. Вследствие этого, рыночная модель оплаты труда
основывается на определении заработной платы как цены специфического товара
«рабочая сила», формируемой на базе устанавливаемого минимума заработной платы,
с учетом объективной оценки сложности труда и квалификации рабочей силы; спроса
и предложения на рабочую силу; результатов деятельности предприятия и т.д.
Заработная плата представляет собой один из
основных факторов социально-экономической жизни каждой страны, коллектива,
человека. В системе стимулирования труда она так же занимает ведущее место.
Поскольку зарплата составляет от 30 до 70% доходов трудящихся, это главный
источник повышения их благосостояния. [1]
В условиях рыночной экономики на величину
заработной платы воздействуют ряд рыночных и внерыночных факторов, в результате
чего складывается определенный уровень оплаты труда.
Рис. 1- Факторы формирования заработной платы
[2]
Среди рыночных факторов, влияющих на ставку
заработной платы и на конъюнктуру рынка труда, можно выделить следующие (рис.
1.).
. Изменение спроса и предложения на рынке
товаров и услуг, при производстве которых используется данный труд. Снижение
спроса на рынке товаров и услуг (в результате роста цен на них, снижения
доходов потребителей, изменения потребительских предпочтений, вытеснения новыми
товарами) ведет к сокращению объемов выпуска, а следовательно, к падению спроса
на используемый ресурс труда и ухудшению условий найма. Напротив, повышение
спроса на товары и услуги может привести к росту спроса на труд и повышению
ставки заработной платы.
. Полезность ресурса для предпринимателя
(соотношение величины предельного дохода от использования фактора труда и
предельных издержек на этот фактор). Увеличение спроса на труд во многом зависит
от того, как долго предприниматель может использовать экстенсивные факторы
роста доходности своего предприятия. Иначе говоря, как долго будет экономически
эффективным привлечение дополнительных работников при неизменных
характеристиках других факторов производства, в частности технической
оснащенности.
. Эластичность спроса на труд по цене. Повышение
цены ресурса (например, рост ставки заработной платы под давлением профсоюзов),
увеличивая издержки предпринимателя, ведет к снижению спроса па труд, а следовательно,
к ухудшению условий найма. В то же время эластичность спроса на труд по цене
(его реакция на колебания цепы труда) не всегда одинакова и зависит от: [5]
характера динамики предельного дохода. Так, если
предельный доход снижается медленно (трудоемкие отрасли с высоким удельным
весом ручного труда), то рост цен на ресурс труда вызывает медленное снижение
спроса на рынке труда, т.е. эластичность спроса по цене слабая. Напротив, если
возможности получения отдачи от дополнительного привлечения работников
исчерпываются быстро (резкое снижение предельного дохода), то повышение ставки
заработной платы вызовет резкое падение спроса на труд, т.е. в этом случае
спрос на рынке данного ресурса труда высоко эластичен;
доли затрат на ресурс труда в издержках фирмы.
Чем выше доля затрат на труд в общих издержках производства товара, тем более
спрос на труд зависит от цены труда, так как изменение издержек на оплату труда
будет во многом определять динамику общих издержек;
эластичности спроса на товары, при производстве
которых используется данный труд. Например, спрос на такие продукты питания,
как хлеб, соль, мало зависит от цены на них, потому и спрос на труд,
используемый при их производстве, в меньшей степени будет зависеть от его цены.
. Взаимозаменяемость ресурсов. Рассматривая
воздействие данного фактора, следует отметить, что возможности работодателя
снижать, издержки на труд при неизменной технической базе существенно
ограничены. Дело в том, что в цене труда присутствует так называемый эффект
храповика. Иными словами, ставка заработной платы, будучи вполне подвижной, в
сторону увеличения, практически не двигается в сторону уменьшения при изменении
конъюнктуры на рынке труда. В этом случае встает вопрос о возможности замещения
живого труда более производительной техникой.
Такая взаимозаменяемость ресурсов, наличие на
рынке более производительной техники может оказать двоякое воздействие на
условия найма и конъюнктуру рынка труда в зависимости от того, какой эффект
будет предпочтительнее для работодателя. Возможны два варианта: первый - так
называемый эффект замещения, т.е. сокращение кадров при неизменном или
возрастающем выпуске продукции в результате внедрения новой техники. Спрос на
рынке труда сокращается, высвобождающиеся работники увеличивают предложение
труда, что в совокупности ухудшает условия найма и возможности повышения
заработной платы. Второй вариант - так называемый эффект роста объема выпуска в
результате применения высокопроизводительной техники, который значительно
снижает средние издержки производства и повышает его выгодность. В этом случае
спрос на рабочую силу не будет иметь четкой тенденции к снижению..
. Изменение цен на потребительские товары и
услуги. Рост цен на потребительские товары и услуги, вызывая повышение
стоимости жизни, повлечет за собой в первую очередь рост воспроизводственного
минимума в структуре ставки заработной платы, а значит, уровня заработной платы
в целом. При понижении цен на потребительские товары и услуги такой прямой
зависимости не будет, если учесть уже упоминавшийся эффект храповика.
Нерыночные факторы:
. Меры государственного регулирования, связанные
с установлением минимума заработной платы, уровня гарантированных
законодательством компенсационных доплат. [4]
. На ставку заработной платы и условия найма существенное
влияние может оказывать политика профсоюзов, сила профсоюзного движения.
. Конечные результаты деятельности предприятия и
личный трудовой вклад работника - данный фактор связан прямой зависимостью с
величиной заработной платы.
Оплата труда в нашей стране играет двоякую
функцию: с одной стороны, является главным источником доходов работников и
повышения их жизненного уровня, с другой - основным рычагом материального
стимулирования роста и повышения эффективности производства.
Наиболее важными являются следующие функции
заработной платы: воспроизводственная, стимулирующая, регулирующая
(распределительная).
Воспроизводственная функция состоит в
обеспечении возможности воспроизводства рабочей силы на социально нормальном
уровне потребления, то есть в определении такого абсолютного размера заработной
платы, который позволяет осуществить условия нормального воспроизводства
рабочей силы, иными словами поддержание, а то и улучшение условий жизни
работника, который должен иметь возможность нормально жить (платить за
квартиру, пищу, одежду, т.е. предметы первой необходимости), у которого должна
быть реальная возможность отдыхать от работы, чтобы восстанавливать силы,
необходимые для работы. Также работник должен иметь возможность растить и
воспитывать детей, будущие трудовые ресурсы. Отсюда и исходное значение данной
функции, ее определяющая роль по отношению к другим. [3]
Стимулирующая функция важна с позиции
руководства предприятия: нужно побуждать работника к трудовой активности, к
максимальной отдаче, повышению эффективности труда. Этой цели служит
установление размера заработков в зависимости от достигнутых каждым результатов
труда. Отрыв оплаты от личных трудовых усилий работников подрывает трудовую
основу зарплаты, ведет к ослаблению стимулирующей функции заработной платы, к
превращению ее в потребительскую функцию и гасит инициативу и трудовые усилия
человека.
Работник должен быть заинтересован в повышении
своей квалификации для получения большего заработка, т.к. более высокая
квалификация выше оплачивается. Предприятия же заинтересованы в более
высококвалифицированных кадрах для повышения производительности труда,
улучшения качества продукции. Реализация стимулирующей функции осуществляется
руководством предприятия через конкретные системы оплаты труда, основанные на
оценке результатов труда и связи размера фонда оплаты труда (ФОТ) с
эффективностью деятельности предприятия.
Основным направлением совершенствования всей
системы организации заработной платы является обеспечение прямой и жесткой
зависимости оплаты труда от конечных результатов хозяйственной деятельности
трудовых коллективов. В решении этой задачи важную роль играет правильный выбор
и рациональное применение форм и систем заработной платы, которые будут
рассмотрены ниже.
Регулирующая функция заработной платы
воздействует на соотношение между спросом и предложением рабочей силы, на
формирование персонала (численности работников и профессионально -
квалификационного состава) и степень его занятости. Эта функция выполняет роль
баланса интересов работников и работодателей. Объективной основой реализации
этой функции является принцип дифференциации оплаты труда по группам
работников, по приоритетности деятельности или другим основаниям (признакам),
т.е. выработка определенной политики установления уровня оплаты труда различных
групп (категорий) работников в конкретных условиях производства. Это является
предметом регулирования трудовых отношений между социальными партнерами на
взаимоприемлемых условиях и отражается в коллективном договоре. [1]
Указанный принцип успешно может быть использован
только в случае, если учитывается механизм ценообразования на рынке труда и
связанное с ним поведение субъектов рыночных отношений. Специфика товара
«рабочая сила» требует разграничивать понятия «цена рабочей силы» и «цена
труда»
Цена рабочей силы - это денежное выражение ее
стоимости, отражающей по сегментационным признакам уровень затрат необходимых,
на воспроизводство рабочей силы с учетом спроса и предложения на рынке труда.
Цена рабочей силы может быть базой для формирования политики дифференциации
заработных плат на предприятии, а также при установлении договорных условий
оплаты труда конкретного работника, нанимаемого работодателем. [10]
Цена труда - это денежное выражение различных
качеств труда, она позволяет соизмерять количество труда с его оплатой.
Единицей измерения может быть цена часа труда, которая является производной
величиной от цены рабочей силы, определяя условия оплаты труда работника по
результатам его текущей деятельности в условиях действия механизма внутреннего
рынка труда на предприятии. Цены на различные виды труда принимают форму
расчетных тарифных ставок (должностных окладов). Устанавливая цену конкретного
вида труда, предприятие регулирует оплату труда с тем, чтобы с одной стороны не
занизить ее уровень (иначе уйдут квалифицированные кадры), а с другой стороны,
не завысить цену, чтобы продукция фирмы была конкурентоспособной не только по
потребительским качествам, но и по цене товара (продукции, услуги). В противном
случае может снизиться объем реализации (продаж, выручки), что отразится на
спросе рабочей силы ее занятости и т.д. [4]
Для реализации вышеназванных функций необходимо
соблюдение следующих важнейших принципов оплаты труда:
предоставление самостоятельности предприятиям в
организации заработной платы, в установлении форм, систем и размера оплаты
труда работников;
дифференциация заработной платы в соответствии с
результатами труда, его количеством и качеством. Данный принцип основан на
необходимости усиления материальной заинтересованности работников в повышении
квалификации своего труда, обеспечении высокого качества продукции. В настоящее
время данный принцип, мягко говоря, не соблюдается. Парадокс заключается в том,
что уровню квалификации работников не соответствует размер получаемой ими
заработной платы. Несоответствие зарплаты уровню квалификации ведет к оттоку
кадров из тех отраслей, призванных содействовать научно - техническому и
культурному прогрессу страны.
материальная заинтересованность работников в
высоких конечных результатах труда;
усиление социальной защищенности (своевременная
выплата заработной платы, индексация);
опережающий рост производительности труда над
ростом заработной платы.
.2 Понятие заработной платы
Заработная плата - это плата работнику за труд,
за использование его рабочей силы. Она является основным источником дохода
работника, хотя и не единственным (в пользу работника могут осуществляться
социальные выплаты (материальная помощь, оплачиваться путевки на лечение,
отдых, экскурсии, могут оплачиваться медицинские услуги, оказываться помощь в
образовании), работник может получать дивиденды по акциям своего предприятия и
другие доходы). [5]
Различают:
номинальную (денежную);
реальную заработную плату.
Номинальная заработная плата - это сумма денег,
полученная работником за определенный период. Она подразделяется, в свою
очередь, на:
а) начисленную (до выплаты налогов);
б) выплаченную (за вычетом уплаченных
налогов).
Реальная заработная плата - она характеризуется
количеством товаров и услуг, которое может быть приобретено работником при
данном размере номинальной заработной платы и данном уровне цен на товары и
услуги.
На уровень заработной платы оказывают влияние
следующие факторы:
стоимость рабочей силы, то есть стоимость
средств обеспечения жизни и трудоспособности работника (затраты на
удовлетворение материальных и духовных потребностей работника и его семьи),
которая, в свою очередь, зависит от достигнутого уровня благосостояния
общества, традиций и может изменяться по мере развития страны (растут потребности
людей, затраты на их обучение и т.д.);
квалификация, условия труда работника -
несомненно, работник, имеющий высокую квалификацию будет иметь и более высокий
уровень оплаты труда (например, у руководителя предприятия или его структурного
подразделения будет более высокий уровень заработной платы, чем у обычного
работника данной организации, так как руководство предполагает необходимость
наличия более высокой квалификации и в связи с этим выполнения более сложной
работы; примером может служить, также сопоставление квалификации и уровня
оплаты труда врача и медсестры); условия труда работника, также влияют на
уровень заработной платы, так как труд во вредных, тяжелых, опасных для жизни и
здоровья условиях должен иметь соответствующую компенсацию;
рост производительности труда работника -
продуктивность труда работника (увеличение количества вырабатываемой им
продукции, увеличение объема выполняемой им работы. конечно, при
соответствующем уровне качества) позволяет увеличить его заработную плату.
Однако продуктивность труда должна расти быстрее, чем его оплата, иначе выигрыш
от повышения выработки уйдет в заработную плату, но он должен отразиться и в
снижении производственных затрат, цен; [6]
конъюнктура на рынке труда - она характеризуется
соотношением спроса на рабочую силу и ее предложением, степенью остроты
конкуренции между претендентами на рабочие места, положением с безработицей.
Рост безработицы понижает уровень заработной платы (в этом случае спрос на
рабочую силу низкий), и, наоборот;
результаты хозяйственной деятельности
предприятия - получение предприятием высокого уровня прибыли дает возможность
его руководству выплачивать премии (квартальные, годовые) работникам, что
позитивно сказывается на уровне их заработной платы;
кадровая политика предприятия - работа по
повышению квалификации персонала, «продвижение» работников на более
ответственные должности, повышение творческой активности персонала, несомненно,
сказывается на уровне оплаты труда;[7]
степень обобществления заработной платы - часть
суммы заработной платы «уходит» через различные налоги и отчисления государству
(на пенсионное обеспечение, на бесплатные или льготные медицинские услуги), и
чем выше эти отчисления, тем меньше средств остается в распоряжении работника.
Различают две формы оплаты труда: сдельную
(когда в основу расчета берется количество работы и расценка за ее единицу) и
повременную ( когда в основу расчета берется тарифная ставка за час работы или
оклад и отработанное время). [4]
Таким образом, трудовые доходы каждого работника
определяются по личным вкладам, с учетом конечных результатов работы
предприятия, регулируются налогами и максимальными размерами не ограничиваются.
Минимальный размер оплаты труда работников предприятий всех организационно -
правовых форм устанавливается законодательством.
В настоящее время во всех развитых странах
устанавливается минимальная заработная плата. Она обычно составляет прожиточный
минимум или чуть больше этого. Среди экономистов идет дискуссия о необходимости
и эффективности этого ограничения как средства снижения уровня бедности.
Основным аргументом против минимальной
заработной платы является такое положение на рынке, когда минимальная
заработная плата будет выше конкурентной (равновесной). Вследствие этого
рабочие, которые хотели бы работать за более низкую зарплату, не будут получать
вообще ничего, а фирмы, которые хотели бы нанять этих рабочих буду закрыты.
Можно прийти к выводу о двойственности
воздействия повышения уровня минимальной заработной платы. У рабочих,
сохранивших работу, уровень жизни повышается, а те, кто потерял ее еще глубже
погружаются в бедность.
.3 Теоретические понятия форм и систем оплаты
труда
Под системой оплаты труда понимается
определенная взаимосвязь между показателями, характеризующими меру (норму)
труда и меру его оплаты в пределах и сверх норм труда, гарантирующая получение
работником заработной платы в соответствии с фактически достигнутыми
результатами труда (относительно нормы) и согласованной между работодателем и
работником ценой его рабочей силы.
Форма заработной платы - это тот или иной класс
систем оплаты, сгруппированных по признаку основного показателя учета
результатов труда при оценке выполненной работником работы с целью его оплаты.
[9]
В основу образования фонда оплаты труда (ФОТ)
заложены:
сдельно-премиальная;
повременно-премиальная;
контрактная;
В Фонд заработной платы включается:
Оплата за отработанное время:
заработная плата, начисленная работникам по
тарифным ставкам и окладам за отработанное время;
заработная плата, начисленная работникам за выполненную
работу по сдельным расценкам;
стоимость продукции, выданной в порядке
натуральной платы;
стимулирующие доплаты и надбавки к тарифным
ставкам и окладам (за профессиональное мастерство, совмещение профессий и
должностей и т.п.);
компенсационные выплаты, связанные с режимом и
условиями труда;
доплаты за работу во вредных или опасных
условиях и на тяжелых работах;
доплаты за работу в ночное время;
оплата работы в выходные и праздничные дни;
оплата сверхурочной работы;
оплата труда квалифицированных рабочих,
руководителей, специалистов, освобожденных от основной работы и привлекаемых
для подготовки, переподготовки и повышения квалификации работников;
оплата услуг работников бухгалтерии за
выполнение ими письменных поручений работников по перечислению страховых
взносов из заработной платы;
выплата разницы в окладах при временном
заместительстве;
оплата труда лиц, принятых на работу по
совместительству;
оплата труда работников несписочного состава.
Оплата за неотработанное время:
вознаграждение по итогам работы за год, годовые
вознаграждения;
оплата ежегодных и дополнительных отпусков (без
денежной компенсации за неиспользованный отпуск);
дополнительные выплаты при предоставлении
ежегодного от пуска (сверх нормальных отпускных сумм в соответствии с законодательством);
оплата дополнительно предоставленных (сверх
предусмотренных законодательством) отпусков работников;
оплата льготных часов подростков;
оплата учебных отпусков, предоставленных
работникам, обучающимся в образовательных учреждениях;
оплата на период обучения работников,
направленных на профессиональную подготовку, повышение квалификации или
обучение вторым профессиям;
оплата труда работников, привлекаемых к
выполнению государственных или общественных обязанностей;
оплата по месту основной работы труда
работников, привлекаемых на сельскохозяйственные и другие работы;
суммы, выплаченные за непроработанное время
работникам, вынужденно работавшим неполное рабочее время по инициативе
администрации;
оплата работникам-донорам за дни обследования,
сдачи крови и отдыха, предоставляемого после каждого дня сдачи крови;
оплата простоев не по вине работника;
оплата за время вынужденного прогула.
В фонд материального поощрения включаются:
ежемесячная премия за выполнение показателей
хозяйственной деятельности;
премия за качество выпускаемой продукции;
Различают две формы оплаты труда: сдельную и
повременную. При повременной форме заработная плата начисляется за фактически
отработанное время в соответствии с принятой тарифной ставкой или должностным
окладом. При сдельной форме заработная плата начисляется за фактически
выполненный объем работы по установленным сдельным расценкам за единицу работы.
В рамках каждой формы оплаты труда могут
использоваться различные системы оплаты труда. Так, выделяют простую повременную
и повременно-премиальную системы оплаты труда. Последняя предусматривает
добавление к основному заработку за отработанное время премий за
производственные результаты, надбавки за профессиональное мастерство,
совмещение профессий и должностей и т.п.
В рамках сдельной формы оплаты труда различают
прямую сдельную систему оплаты труда, сдельно-премиальную систему (при которой
заработная плата состоит из основного заработка за проделанную работу и премий
за производственные результаты), сдельно-прогрессивную систему
(предусматривающую повышенные расценки за продукцию, произведенную сверх
установленных норм), аккордную систему (при которой заработок начисляется по
окончании работы за весь объем произведенной продукции).
Применение сдельной оплаты труда
Наибольшее распространение на предприятиях
различных форм собственности получили две формы оплаты труда:
сдельная;
повременная.
Существует целый ряд условий, при которых
целесообразно применять ту или иную форму оплаты труда.
Сдельная оплата труда - это оплата за каждую
единицу продукции или выполненный объем работ. К сдельной оплате труда
относится:
простая сдельная;
сдельно-премиальная;
косвенно сдельная;
аккордная;
сдельно прогрессивная (индивидуальная,
коллективная подрядная. Условия применения сдельной оплаты труда:
существуют количественные показатели работы,
которые непосредственно зависят от конкретного работника;
имеется возможность точного учета объемов
выполненных работ;
существует возможность у рабочих конкретного
участка увеличить выработку или объем выполненных работ;
существует возможность на конкретном
производственном участке стимулировать рабочих в дальнейшем увеличение
выработки продукции или объемов выполненных работ;
имеется возможность технического нормирования
труда.
Сдельную оплату труда не рекомендуется применять
в том случае, если ее применение ведет к:
ухудшению качества продукции;
нарушению технологических режимов;
ухудшению обслуживания оборудования;
нарушения требования техники безопасности;
перерасходу сырья и материалов.
Прямая сдельная система оплаты труда
В этом случае труд оплачивается по расценкам за
единицу производственной продукции. Индивидуальная сдельная расценка за единицу
продукции или работы определяется следующим образом:

,
где Зч - часовая тарифная ставка
устанавливаемая в соответствии с
разрядом выполненной работы, руб/ч;
Вч - часовая норма выработки данной
продукции;
Тn - норма времени на единицу
продукции (работы), ч.
Общий заработок рабочего определяется
путем умножения сдельной расценки на количество произведенной продукции за
расчетный период.
Сдельно-премиальная оплата труда
Рабочий получает оплату труда по
прямым сдельным расценкам дополнительно получает премию. Но для этого должны
быть четко установлены показатели, за которые осуществляется премирование, они
должны быть доведены до каждого исполнителя. Важно проследить, чтобы вновь
принятые рабочие были информированы об этом. Кроме того, должен быть установлен
размер премии за выполнение и перевыполнения этих показателей. Это могут быть
показатели роста производительности труда; повышения объемов производства;
выполнения технически обоснованных норм выработок и снижения нормируемой
трудоемкости; выполнения производственных заданий, личных планов; повышения
качества и сортности продукции; бездефектного изготовления продукции;
недопущения брака; соблюдения нормативно-технической документации, стандартов;
экономии сырья материалов и других материальных ценностей.
Количество показателей можно
увеличить, применение того или иного показателя определяется конкретными
условиями производства, сложившимися на том или ином предприятия например у
предприятий возросло количество рекламаций от поставщиков или предприятие
пытается выйти со своей продукцией на внешний рынок, где требования к качеству
достаточно выше. Естественно, что в этих условиях требования к качеству
продукции, исполнительской дисциплине возрастают, и решению этой проблемы
должен способствовать и перечень показателей, за который осуществляется премирование.
Однако перечень этих показателей не должен быть слишком большим - пять-семь
показателей: большее их количество не осознается и не запоминается работником.
Косвенно-сдельная оплата труда
Размер заработка рабочего ставится в
прямую зависимость от результата труда обслуживаемых им рабочих сдельщиков. Эта
система используется для оплаты труда не основных, а вспомогательных рабочих
(наладчиков, настройщиков и др.)
Косвенная сдельная расценка
рассчитывается с учетом норм выработки обслуживаемых рабочих и их численности.
При аккордно сдельной оплате труда
расценка устанавливается на весь объем работы на основе действующих норм
времени или норм выработки и расценок. При данной системе оплаты труда рабочие
премируются за сокращение сроков выполнения работ, что усиливает стимулирующую
роль этой системы в росте производительности труда.
При сдельно-прогрессивной системе
труд рабочего оплачивается по прямым сдельным расценкам в пределах выполнения
норм, а при выработке сверх норм - по повышенным расценкам.
Заработок рабочего при
сдельно-прогрессивной оплате труда определяется в зависимости от принятой
системы прогрессивной оплаты (за весь объем или за часть объема работ,
выполненных сверх нормы).
При использовании
сдельно-прогрессивной оплаты труда особое внимание следует уделить определению
нормативной исходной базы, разработке эффективных шкал повышения расценок,
учету выработки продукции и фактически отработанного времени.
Сдельная форма оплаты труда может
применятся индивидуально - для каждого конкретного работника, а может иметь
коллективные формы. Широкое распространение получила подрядная форма оплаты
труда. Суть ее в том, что заключается договор, по которому одна сторона
обязуется выполнить определенную работу, берет подряд, а другая сторона, то
есть заказчик, обязуется оплатить эту работу после ее окончания. Заработок
бригады рабочих определяется умножением бригадной сдельной расценки за единицу
производимой продукции на фактически выполненный бригадой объем работ.
Применения повременной оплаты труда
Условия применения повременной
оплаты труда:
отсутствует условия для увеличения
выпуска продукции; производственный процесс строго регламентирован;
функции рабочего сводятся к
наблюдению за ходом технологического процесса;
функционируют поточные и конвейерные
типы производства со строго заданным ритмом;
увеличение выпуска продукции может
привести к браку или ухудшению ее качества.
При повременной заработной плате
работник получает денежное вознаграждение в зависимости от количества
отработанного времени, однако в силу того, что труд может простым и сложным,
низко- и высококвалифицированным, необходимо нормирование труда, которое
осуществляется с помощью тарифных систем. Составным элементами тарифной системы
являются: Тарифная ставка - абсолютный размер оплаты труда различных групп и
категорий рабочих за единицу времени. Исходной является минимальная тарифная
ставка или тарифная ставка первого разряда. Она определяет уровень оплаты
наиболее простого труда. Тарифные ставки могут быть часовые, дневные;
Тарифные сетки служат для
установления соотношения в оплате труда в зависимости от уровня квалификации.
Это совокупность тарифных разрядов и соответствующих им тарифных коэффициентов.
Тарифный коэффициент низшего разряда принимается равным единице. Тарифные
коэффициенты следующих разрядов показывают, во сколько раз соответствующие
тарифные ставки больше тарифной ставки первого разряда.
Повременная заработная плата имеет
две системы: простую повременную и повременно-премиальную.
Заработок рабочего при простой
повременной системе рассчитывается как произведение часовой тарифной ставки
рабочего данного разряда на отработанное время в данном периоде.
Для руководителей, специалистов и
служащих используется система должностных окладов. Должностной оклад -
абсолютный размер заработной платы, устанавливаемый в соответствии с занимаемой
должностью. Он может составлять определенный диапазон - от минимального до
максимального значений. Необходимы аналитические расчеты, которые существенно
могут повысить эффективность установления того или иного склада.
Бестарифная система оплаты труда
По бестарифной системе оплаты труда,
заработная плата всех работников предприятия от директора до рабочего
представляет собой долю работника в фонде оплаты труда или всего предприятия
или отдельного подразделения. В этих условиях фактическая величина заработной
платы каждого работника зависит от ряда факторов:
квалификационного уровня работника;
коэффициента трудового участия;
фактически отработанного времени.
Квалификационный уровень работника
предприятия устанавливается всем членам трудового коллектива и определяется как
частное от деления фактической заработной платы работника за прошедший период
на сложившийся на предприятии минимальный уровень заработной платы за тот же
период.
Система квалификационных уровней
создает большие возможности для материального стимулирования более
квалифицированного труда, чем система тарифных разрядов, при которой рабочий ,
имеющий 5-6 разряды, уже не имеет перспективы дальнейшего своего роста, а
следовательно, и заработной платы.
Квалификационный уровень работника
может повышаться в течении всей его трудовой деятельности. Вопрос о включении
специалистов или рабочего в соответствующую квалификационную группу решает
совет трудового коллектива с учетом индивидуальных характеристик работника.
Коэффициент трудового участия
выставляется всем работникам предприятия, включая директора, и утверждается
советом трудового коллектива, который сам решает периодичность определения КТУ
и состав показателей для расчетов КТУ.
Расчет заработной платы при
бестарифной системе оплаты труда меняет пропорции распределения фонда оплаты
труда при одном и том же уровне квалификации, разряде. Заработок одних рабочих
может увеличиваться , а других уменьшаться. В результате обеспечивается большая
социальная справедливость в распределении заработка между работниками, чего
нельзя достигнуть при тарифной системе.
Необходимо отметить, что в условиях
рыночной экономики важный показатель работы - объем реализации продукции и
услуг. Поэтому чем выше объем реализации, тем более эффективно работает
предприятие и заработная плата может корректироваться в зависимости от объема
реализации. Это особенно эффективно для управленческого персонала и
вспомогательных рабочих, поскольку эти две категории работников предприятия не
так тесно связаны с объемом выпуска продукции.
Контрактная система
Контрактная система оплаты труда -
одна из важнейших и наиболее сложных направлений развития контрактной системы
трудовой деятельности работников. Организация оплаты труда по контракту должна
быть направлена на гарантированность работнику, должна стимулировать высокую
эффективность и отдачу труда работника. Данная система оплаты труда построена
на учете индивидуальных особенностей человека, его труда и производства. Для
тог, чтобы организация заработной платы имела обязательную силу, все ее
важнейшие составные элементы определяются в соответствии с законом «О
коллективных договорах и соглашениях» по согласованию сторон и фиксируются в
коллективных договорах.
Если на предприятии действуют
тарифные сетки и схемы должностных окладов либо единая тарифная сетка и для
конкретного работника сохраняются общие условия оплаты труда, принятые в
коллективном договоре, то в трудовом договоре с ним, помимо констатации данного
факта, указывается тарифный разряд (квалификационная категория), размер его
тарифной ставки (должностного оклада). При применении одного из вариантов
распределительной «бестарифной» системы, при которой заработок работника
заранее не известен, в трудовом договоре производятся запись, что оплата труда
данного работника осуществляется в соответствии с принятым порядком.
Целесообразно также указывать коэффициент квалификационного уровня,
установленный данному работнику. Во всех случаях индивидуализация условий
трудового договора в соответствии с законодательством не должна ухудшать
положения работника по сравнению с общегосударственными нормами и нормами
предусмотренными в коллективном договоре предприятия. При определении профессий
и должностей, для которых целесообразна индивидуализация условий оплаты труда,
целесообразно руководствоваться следующими критериями:
творческий характер работы;
невозможность установления
регламента выполняемой работы;
прямое влияние работы на результаты
деятельности предприятия;
наличие временного лага между
затратами труда и его результатами;
необходимость достижения
определенных результатов в установленный период.
Каждый из перечисленных критериев
сопряжен с необходимостью учета специфики, важности, ответственности работы, а
также особо профессиональных и деловых качеств работника. Как правило такие
работы имеют срочный характер, поэтому необходимо в контракте предусматривать
не только отличные от общих условия оплаты, но и сроки выполнения обязательств
работодателя по поводу определенных видов вознаграждения, связанные с этапами
выполняемой работы или ее конечными результатами. Система должностных окладов
должна предусматривать преимущества для тех специалистов, которые, во-первых,
используют его в максимально возможной степени, в-третьих, непрерывно повышают
его уровень за счет наращивания объема знаний.
Для этих целей объем каждого
работника необходимо рассчитывать с учетом трех коэффициентов: общего уровня,
степени использования и темпов развития его творческого потенциала.
Оценка трудового вклада рядовых
специалистов и руководящих работников предприятия имеет свою специфику. Для
рядового специалиста коэффициент трудового вклада определяется по количеству и
качеству (с учетом сложности) произведенной им научно-технической продукции по
сравнению с другими работниками, соответствующей профессионально-должностной
категории.
Оценка трудового вклада
руководителей рассчитывается, во-первых по количеству и качеству
научно-технической продукции произведенной возглавляемым подразделением в
сравнении с соответствующими показателями других подразделений; во-вторых - по
уровню и динамики удовлетворенности подчиненных выполнением основных функций
руководства, к которым относится планирование деятельности подразделения,
организация работы подчиненных, мотивация, контроль и оценка их деятельности и
так далее. Рассчитанные фактические коэффициенты использования и развития
творческого потенциала руководителей и специалистов сравниваются с теми,
которые были заложены при установлении им должностных окладов. При превышении
фактических разница должна погашаться в виде премирования работников. Кроме
того, вся выплаченная им заработная плата с учетом этих премий должна
включаться в расчет размера их базового оклада на предстоящий период.
При этом увеличиваются и значения
коэффициентов использования и развития творческого потенциала, которые
принимаются на уровне фактически достигнутых в отчетном периоде, что,
соответственно приводит к увеличению нового оклада. При недоиспользовании или
недостаточном развитии работниками их творческого потенциала, то есть при
фактическом снижении соответствующих коэффициентов по сравнению с принятыми для
творческих расчетов должностных окладов в отчетном году, указанные коэффициенты
при определении окладов на предстоящий период времени могут не применятся, что
фактически означает снижение их размеров для соответствующих руководителей и
специалистов.
Премирование
В условиях перехода к рыночным
отношения предприятиям, организациям предоставлено право самостоятельно
разрабатывать и применять премиальные положения, которые в обязательном порядке
должны включаться в коллективный договор.
В состав премиальной системы входят
следующие элементы: показатели и условия премирования; размеры премии; круг
премируемых работников; периодичность премирования; источник выплаты премий.
Поскольку предприятия самостоятельно
разрабатывают премиальные положения, они должны соблюдать ряд основных
требований:
Показатели премирования должны
соответствовать задачам производства предприятия;
Число показателей и условий премирования
- не более 2- 3;
Между показателями и условиями
премирования не должно быть противоречий;
Уровень показателя премирования
необходимо устанавливать дифференцированно: по фактически достигнутому среднему
уровню выполнения этого показателя на данном производстве; выше достигнутого
среднего уровня и т.д.
Необходимо устанавливать нормативы
премирования (размер премии);
Необходимо оценивать напряженность
показателя премирования;
В круг премируемых работников должны
включаться только те работники, которые могут оказывать на эти показатели
непосредственное воздействие;
Периодичность премирования следует
устанавливать в зависимости от особенностей предприятия, организации
(организации производства и труда, характера показателей премирования и т.д.);
Премия должна быть гарантирована
соответствующим источником ее выплаты.
Особенно необходимо обратить
внимание на расчет норматива премирования отдельно за выполнение плана,
перевыполнение плана, за рост производительности труда, снижение себестоимости
продукции и других показателей.
Главным направлением в
стимулировании руководителей, специалистов и служащих должно стать премирование
за фактическое улучшение результатов работы. В условиях рыночных отношений на
предприятии возрастает значение показателя прибыли как источника средств для
расширения и технического совершенствования производства, а также увеличения
доходов участков этого производства.
Стимулирование роста прибыли
становиться обязательным направлением в организации премирования руководителей,
специалистов и служащих подразделений предприятия.
В качестве основного показателя
премирования подразделений аппарата управления используется выполнение
(перевыполнение) плана по прибыли; рост (прирост) прибыли к соответствующему
периоду предыдущего года.
Заключительный этап премирования -
порядок начисления премий, который включает несколько обязательных элементов.
Рассмотрим некоторые из них:
Основанием для начисления премий
являются данные бухгалтерской отчетности, оперативного учета, статистической
отчетности;
Оценка выполненной работы или
оказанных услуг;
Установление размера премий, обычно
в процентах, для рабочих - к заработной плате по тарифным ставкам, отдельным
расценкам; для руководителей, специалистов и служащих - заработной плате по
должностным окладам или в абсолютной сумме;
При невыполнении тех или иных
показателей работники могут лишиться премии. Перечень допущений упущений
рекомендуется определять при заключении коллективного договора;
Руководство предприятия имеет право
депремировать (лишение премии частично) или повысить премию работнику за
достижение определенных производственных показателей.
В последние годы получили развитие
некоторые особые виды премирования, как правило - разовые премии и
вознаграждения. Они могут быть индивидуальными и коллективными. Независимо от
принятых форм и систем заработной платы на предприятиях используются следующие
виды разовых премий:
Вознаграждение по итогам работы за
год;
Единовременное поощрение за
выполнение особо важных заданий, срочных и непредвиденных работ;
Вознаграждение по итогам работ за
год учитывает результаты работы всего предприятия. Обычно размеры
выплачиваемого вознаграждения увязываются с величиной непрерывного стажа работы
на данном предприятии по шкале. [7]
.4 Статистические показатели
заработной платы
Задачами статистики оплаты труда
являются:
Изучение уровня, состава и динамики
фонда заработной платы;
Определение эффективности разных
форм и систем оплаты труда;
Расчет среднего уровня и динамики
заработной платы;
Изучение номинальной и реальной
заработной платы;
Характеристика индекса инфляции -
соотношений между изменениями номинальной заработной платы и цен на
потребительские товары;
Оценка факторов, которые формируют
уровень средней заработной платы.
Обобщающими показателями уровня
оплаты труда работников являются фонд заработной платы и средняя заработная
плата.
Фонд заработной платы - начисленные
за отчетный период денежные суммы независимо от источников и сроков их выплаты.
В фонд заработной платы включаются подоходные налоги и обязательные
индивидуальные взносы работников. Кроме того, в фонд заработной платы
включаются и такие элементы, которые работники получают не в денежной форме
(стоимость продукции, коммунальных услуг).
В соответствии с инструкцией
Министерства статистики и анализа Республики Беларусь (№80 от 17.09.2011г.) в
состав фонда заработной платы включаются следующие выплаты:
Заработная плата за выполненную
работу и отработанное время;
Выплаты стимулирующего характера;
Выплаты компенсирующего характера;
Оплата за неотработанное время;
Другие выплаты, включаемые в состав
фонда заработной платы.
В фонде заработной платы не
включаются такие выплаты, как командировочные расходы, стоимость выданной
спецодежды, спецобуви, расходы на обучение и повышение квалификации, а также
выплаты, не являющиеся вознаграждением за труд (пособия по временной
нетрудоспособности, по беременности и родам, единовременные пособия работникам,
уходящим на пенсию и т. д.).
Не включаются в фонд заработной
платы, но показываются в отчете по труду отдельно доходы, полученные
работниками в виде сумм, начисленных к выплате по акциям и вкладам членов
трудового коллектива в имущество предприятия (дивиденды, проценты, выплаты по
долевым паям и т.д.).
Структуру фонда заработной платы
можно изучать по:
Категориям персонала;
Формам и системам оплаты труда;
Видам выплат (слагаемым элементам).
Распределение фонда заработной платы
по элементам дает возможность установить абсолютные суммы и удельный вес
непроизводственных затрат (доплат за простои, за работу в ночное время, за
сверхурочные часы и т.д.).
Для оценки изменения во времени
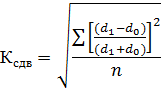
структуры фонда заработной платы предлагаются абсолютный коэффициент
структурных сдвигов и интегральный коэффициент структурных сдвигов.
Абсолютный коэффициент структурных
сдвигов (Ксдв) определяется по формуле
Где d1 иd0 - удельные вес каждого
элемента фонда заработной платы соответственно в отчетном и базисном периодах,
%;- число элементов фонда заработной платы.
Интегральный коэффициент структурных
сдвигов определяется по формуле
В соответствии с единицами измерения
рабочего времени различают следующие виды фонда заработной платы:
Часовой фонд;
Дневной фонд;
Месячный фонд(квартальный, годовой).
Часовой фонд заработной платы -
сумма заработной платы, начисленная работникам за фактически отработанные часы,
и доплаты, связанные с работой.
Дневной фонд заработной платы (ДФЗН)
= часовой фонд заработной платы + оплата неотработанных, но оплачиваемых
согласно трудовому законодательству часов. К неотработанным, но оплаченным
часам относятся следующие элементы: оплата внутрисменных простоев не по вине
работников, оплата льготных часов подростков, оплата перерывов в работе
кормящих матерей, оплата за выполнение государственных обязанностей в течение
дня, доплата за сверхурочные часы.
Между часовым и дневным фондами
заработной платы наблюдается следующая связь:
Где
- коэффициент доплат к часовому
фонду заработной платы до дневного.
Месячный (квартальный, годовой) фонд
заработной платы (МФЗН) - вся сумма заработной платы, начисленная работникам за
отработанный месяц. Он включает дневной фонд заработной платы и доплаты за
неотработанные, но оплаченные согласно трудовому законодательству дни. К таким
доплатам относятся: оплата очередных отпусков и отпусков по учебе, компенсации
за неиспользованный отпуск, надбавки за выслугу лет, оплата целодневных
простоев не по вине работников. Между дневным и месячным фондами заработной
платы наблюдается следующая связь:
Где
- коэффициент доплат к дневному
фонду заработной платы до месячного.
Между часовым, дневным и месячным
(квартальным, годовым) фондами заработной платы наблюдается следующая связь:
Распределение выплат по фондам дает
возможность определить абсолютные суммы и удельный вес оплат:
Фактически отработанных
человеко-часов;
Неотработанных человеко-часов;
Неотработанных человеко-дней.
Уровень оплаты труда работников
характеризуется их средней заработной платой. Различают три вида средней
заработной платы: среднечасовая, среднедневная и среднемесячная (квартальная,
годовая).
Среднечасовая заработная плата (Зч)
исчисляется путем отношения часового фонда заработной платы (ЧФЗН) к
отработанным человеко-часам (Тч.ч.):
Среднедневная заработная плата (Зд)
определяется путем отношения дневного фонда заработной платы (ДФЗН) к
отработанным человеко-дням (Тч.д.):
Где tр.д. - продолжительность
рабочего дня.
Среднемесячная (квартальная,
годовая) заработная плата (Зм) определяется путем отношения месячного
(квартального, годового) фонда заработной платы (МФЗН) к среднесписочной
численности работников (Тр):
Где tр.п. - продолжительность
рабочего периода.
Связь между среднечасовой,
среднедневной и среднемесячной (квартальной, годовой) заработной платы можно
представить в виде следующей модели:
Это значит, что среднемесячная
заработная плата зависит от следующих факторов:
Среднечасовой заработной платы;
Продолжительности рабочего дня;
Коэффициента доплат к часовому до
дневного фонда заработной платы;
Продолжительности рабочего периода;
Коэффициента доплат к дневному до
месячного фонда заработной платы.
Данная модель позволяет определить
влияние перечисленных факторов на уровень и динамику среднемесячной
(квартальной, годовой) заработной платы.
При анализе средней заработной платы
работников предприятия могут быть использованы аддитивные и мультипликативные
индексные модели.
Аддитивные индексные модели -
модели, в которых результативный показатель равен сумме показателей факторов. В
данном случае в качестве показателей выступают элементы заработной платы.
Аддитивная модель заработной платы имеет следующий вид:
Где
- выплаты за выполненную работу;
- выплаты за неотработанное время;
- выплаты стимулирующего характера
и другие выплаты;
- средняя заработная плата одного
работника (З);
- средняя заработная плата за
фактически выполненную работу;
- средний размер выплат за
неотработанное время;
- средний размер выплат
стимулирующего характера и других выплат.
Мультипликативные модели - модели, в
которых результативный показатель равен произведению показателей факторов. В
данном случаи мультипликативная модель будет выглядеть следующим образом:
Где
- средняя заработная плата за
выполненную работу;
- коэффициент доплат за счет выплат
за неотработанное время;
- коэффициент доплат за счет выплат
стимулирующего характера и других выплат.
На динамику средней заработной платы
по совокупности предприятий, а также по категориям работников внутри
предприятия (рабочие и служащие) оказывает влияние изменения в оплате труда
отдельных групп работников и изменение доли работников с различным уровнем
заработной платы в общей численности работников. При изучении динамики средней
заработной платы по совокупности предприятий применяется индексный метод и
рассчитывается система индексов: индекс переменного, постоянного составов и
индекс структурных сдвигов.
Индекс переменного состава
определяется по формуле:
Где Т1 и Т0 - среднесписочная
численность работников каждого предприятия в отчетном и базисном периодах;
З1 и З0 - средняя заработная плата
работников каждого предприятия в отчетном и базисном периодах.
На этот индекс оказывает влияние два
фактора:
Непосредственное изменение уровня
заработной платы на каждом предприятии;
Изменение доли работников с
различным уровнем заработной платы.
Чтобы определить влияние изменения
только уровня заработной платы на отдельных предприятия (без влияния
структурного фактора), исчисляется индекс средней заработной платы постоянного
состава:
Этот индекс элиминирует влияние
структурных сдвигов и отражает влияние только одного фактора - изменения
заработной платы на отдельных предприятиях.
Чтобы определить влияние изменения
структуры работников с различным уровнем заработной платы, исчисляется индекс
структурных сдвигов:
Между индексами средней заработной
платы переменного состава, постоянного состава и индексом структурных сдвигов
имеется следующая взаимосвязь: [9]
. Статистический анализ заработной
платы (оплаты труда) на примере ОАО «Белкнига»
.1 Характеристика предприятия
ОАО «Белкнига» одно из крупнейших
книготорговых предприятий республики. Сегодня - это 26 государственных книжных
магазинов в Минске и Минской области, а также филиал «Библиотечный коллектор»,
который обслуживает более 5000 массовых ведомственных, вузовских и школьных
библиотек, 12 магазинов в Бресте и Брестской области, 12 - в Гомеле и Гомельской
области, 11 - в Гродно и Гродненской области, а также 14 магазинов в Витебске и
Витебской области.
ОАО “Белкнига” имеет следующие
филиалы:
|
1.
|
книжный
магазин “Вильно”
|
220103,
г. Минск, ул. Калиновского,55
|
|
2.
|
книжный
магазин “Далеч”
|
220102,
г. Минск, пр. Партизанский, 147
|
книжный
магазин “Дом книги “Знание”
|
220030,
г. Минск, ул. К. Маркса, 36
|
|
4.
|
книжный
магазин “Дом книги “Светоч”
|
220004,
г. Минск, пр. Победителей, 11
|
|
5.
|
книжный
магазин “Живые буквы”
|
220108,
г. Минск, ул. Ландера, 2
|
|
6.
|
книжный
магазин “Кнiжная скарбонка”
|
220101,
г. Минск, пр. Рокоссовского, 114
|
|
7.
|
книжный
магазин “Книги”
|
220039,
г. Минск, ул. Чкалова, 32
|
|
8.
|
книжный
магазин “Кнiгарня пiсьменнiка”
|
220005,
г. Минск, ул. Козлова, 2
|
|
9.
|
книжный
магазин “Книгочей”
|
220114,
г. Минск, пр. Независимости, 131, к.1
|
|
10.
|
книжный
магазин “Кнiгарня Эурыка”
|
220100,
г. Минск, ул. Куйбышева, 75
|
|
11.
|
книжный
магазин “Маладосць”
|
220123,
г. Минск, ул. М. Богдановича, 68
|
|
12.
|
книжный
магазин “Медицинская книга”
|
220004,
г. Минск, ул. М. Танка, 16
|
|
13.
|
книжный
магазин “Методическая книга”
|
220015,
г. Минск, ул. Берута, 22, к.1
|
|
14.
|
книжный
магазин “Книги & книжечки”
|
220030,
г. Минск, пр. Независимости, 14
|
|
15.
|
книжный
магазин “Панорама”
|
220107,
г. Минск, пр. Партизанский, 32, к. 1
|
|
16.
|
книжный
магазин “Центральный книжный магазин”
|
220030,
г. Минск, пр. Независимости, 19
|
|
17.
|
книжный
магазин “Эрудит”
|
220013,
г. Минск, ул. Б. Хмельницкого, 4
|
|
18.
|
книжный
магазин “Источник знаний”
|
222518,
г. Борисов, ул. Чапаева, 15
|
|
19.
|
книжный
магазин “Книги”
|
222517,
г. Борисов, ул. 3-го Интернационала, 65
|
|
20.
|
книжный
магазин “Слово”
|
222520,
г. Борисов, пр. Революции, 30
|
|
21.
|
книжный
магазин “Крынiца”
|
223707,
г. Солигорск, ул. Ленина, 49
|
|
22.
|
книжный
магазин “Живое слово”
|
223707,
г. Солигорск, ул. Ленинского комсомола, 6
|
|
23.
|
книжный
магазин “Кругозор”
|
222417,
г. Вилейка, ул. 17 Сентября, 31
|
|
24.
|
книжный
магазин “Книжный мир”
|
222167,
г. Жодино, ул. 50-летия Октября, 23а
|
|
25.
|
книжный
магазин “Спадчына-М”
|
222306,
г. Молодечно, ул. Притыцкого, 7
|
|
26.
|
книжный
магазин “Читайка”
|
223216,
Червеньский р-н, г.п. Смиловичи, ул. Советская, 1
|
|
27.
|
Региональный
филиал «Бресткнига»
|
224030,
г. Брест, ул. Куйбышева, 81
|
|
28.
|
Книжный
магазин "Искра"
|
224005,
г. Брест, ул. Пушкинская, 4
|
|
29.
|
Книжный
магазин "Дружба"
|
224013,
г. Брест, бульвар Космонавтов, 120
|
|
30.
|
Книжный
магазин "Асвета"
|
224013,
г. Брест, проспект Машерова, 57
|
|
31.
|
Книжный
магазин "Искусство"
|
224030,
г. Брест, бульвар Шевченко, 9
|
|
32.
|
Книжный
магазин "Ветразь"
|
224005,г.
Брест, ул. Орджоникидзе, 3
|
|
33.
|
Книжный
магазин "Світанак"
|
224013,
г. Брест, бульвар Космонавтов, 120
|
|
34.
|
Книжный
магазин "Крынiца"
|
225710,
г. Пинск, ул. Первомайская, 141
|
|
35.
|
Книжный
магазин "Полымя"
|
225710,
г. Пинск, пл. Ленина, 4а
|
|
36.
|
Книжный
магазин "Современник"
|
225710,
г. Пинск, ул. Ленина, 29
|
|
37.
|
Книжный
магазин " Книги"
|
225320,
г. Барановичи, ул. Советская, 73
|
|
38.
|
Книжный
магазин "Мысль"
|
225320,
г. Барановичи, пл. Ленина, 1
|
|
39.
|
Книжный
магазин "Книжный мир"
|
225320,
г. Барановичи, ул. Ленина, 9
|
|
40
|
Региональный
филиал «Витебсккнига»
|
210604,
г. Витебск, ул. Буденного, 11
|
|
41.
|
Книжный
магазин № 11 "Ранiца"
|
210002,
г. Витебск, ул. М.Горького, 67/1
|
|
42.
|
Книжный
магазин № 12 "Книги"
|
210009,
г. Витебск, ул. Фрунзе, 60
|
|
43.
|
Книжный
магазин № 15 "Глобус"
|
210026,
г. Витебск, ул. Замковая, 21/30
|
|
44.
|
Книжный
магазин № 18 "Равеснiк"
|
210032,
г. Витебск, Московский проспект, 66 корп1
|
|
45.
|
Книжный
магазин № 20 "Кнігарня"
|
210604,
г. Витебск, ул. Буденного, 11
|
|
46
|
Книжный
магазин № 21 "Ля ратушы"
|
210026,
г. Витебск, ул. Суворова, 4
|
|
47.
|
Книжный
магазин № 22 "Асвета"
|
210038,
г. Витебск, Московский проспект, 39 корп1
|
|
48.
|
Книжный
магазин № 16 "Книги"
|
211162,
г. Новолукомль, ул. Набережная, 11а
|
|
49.
|
Книжный
магазин № 24 "Дом книги"
|
211440,
г. Новополоцк, ул. Молодежная, 145
|
|
50.
|
книжный
магазин "Восход"
|
211440,
г. Новополоцк, ул. Кирова, 4
|
|
51.
|
Книжный
магазин № 3 "Родник"
|
211030,
г. Орша, ул. Мира, 7
|
|
52.
|
Книжный
магазин № 4 "Книги"
|
211030,
г. Орша, ул. Текстильщиков, 20
|
|
53.
|
Книжный
магазин "Полоцк-Светоч"
|
211400,
г. Полоцк, ул. Коммунистическая, 21
|
|
54.
|
Книжный
магазин № 19 "Книги"
|
211321,
г.п. Руба, ул. Центральная, 21п
|
|
55.
|
Региональный
филиал «Гомелькнига»
|
246050,
г. Гомель, ул. Билецкого, 9
|
|
56.
|
Книжный
магазин №1
|
246003,
г. Гомель, ул. Тельмана, 1
|
|
57.
|
Книжный
магазин №2
|
246021,
г. Гомель, ул. Ильича, 22
|
|
58.
|
Книжный
магазин №3
|
246050,
г. Гомель, ул. Советская, 12
|
|
59.
|
Книжный
магазин №4
|
246050,
г. Гомель, ул. Билецкого, 9
|
|
60.
|
Книжный
магазин №9 "Букинист"
|
246050,
г. Гомель, ул. Советская, 3
|
|
61.
|
Книжный
магазин № 17 "Книжный мир"
|
246017,
г. Гомель, пр. Ленина, 45
|
|
62.
|
Книжный
магазин № 19
|
246007,
г. Гомель ул. Советская, 106
|
|
63.
|
Книжный
магазин № 23
|
246029,
г. Гомель, пр. Октября, 34
|
|
64.
|
Книжный
магазин №27
|
246010,
г. Гомель, пр. Космонавтов, 88
|
|
65.
|
Книжный
магазин № 12 "Светач"
|
247760,
г. Мозырь ул. Советская, 132
|
|
66.
|
Книжный
магазин № 15 "Крыніца"
|
247400,
г. Светлогорск, микрор-н Юбилейный, 1а
|
|
67.
|
Книжный
магазин №7
|
246901,
п.г.т. Костюковка, ул. Октябрьская, 15
|
|
68.
|
Региональный
филиал «Гроднокнига»
|
230005,
г. Гродно, ул. Дзержинского, 92
|
|
69.
|
Книжный
магазин "Веды"
|
230023,
г. Гродно, ул. Ожешко, 38
|
|
70.
|
Книжный
магазин "Паўлінка"
|
230005,
г. Гродно, ул. Дзержинского, 92
|
|
71.
|
Книжный
магазин "Раніца"
|
230016,
г. Гродно, ул. Мостовая, 33
|
|
72.
|
Книжный
магазин "Прометей"
|
230023,
г. Гродно, ул. Советская, 10
|
|
73.
|
Книжный
магазин "Кругозор"
|
230009,
г. Гродно, б-р Ленинского комсомола, 29а
|
|
74.
|
Книжный
магазин "Светач"
|
230011,
г. Гродно, ул. Горновых, 7
|
|
75.
|
Книжный
магазин "Книги"
|
231306,
г. Березовка, ул. Ленина, 23б
|
|
76.
|
Книжный
магазин "Крынiчка"
|
231770,
п.г.т. Большая Берестовица, ул. Ленина, 17
|
|
77.
|
Книжный
магазин "Книги"
|
231900,
г. Волковыск, ул. Жолудева, 14
|
|
78.
|
Книжный
магазин "Школьник"
|
231892,
г. Волковыск, ул. Жолудева, 56
|
|
79.
|
Книжный
магазин "Книжный мир"
|
231300,
г. Лида, пр. Победы, 33
|
Она осуществляет оптово-розничную торговлю
книжной и другой печатной продукцией, выпускаемой в республике и за ее
пределами, на белорусском, русском и других языках.
«Белкнига» предлагает сотрудничество
книготорговым фирмам по реализации книг белорусских издательств за рубежом, а
также по продаже литературы других стран на книжном рынке республики.
Книготорговое предприятие "Белкнига"
около 55 лет на книжном рынке Республики Беларусь. Предлагает своим читателям
книги по всем отраслям знаний и другую печатную продукцию, выпускаемую в
республике, а также в странах ближнего и дальнего зарубежья на белорусском,
русском и иностранных языках.
Она обслуживает более 10-ти тысяч массовых,
ведомственных, вузовских и школьных библиотек. Осуществляет оптовую торговлю,
приобретаем книги, изданные за рубежом для реализации на книжном рынке
республики. Продает зарубежным книготорговым фирмам литературу белорусских
издательств по всем отраслям знаний. Оказывает услуги по хранению печатной
продукции. Наличие специализированного автотранспорта позволяет доставлять
печатную продукцию по всей территории Беларуси и странам ближнего зарубежья.
Открытое акционерное общество «Белкнига»
зарегистрировано решением Минского городского исполнительного комитета от 3
марта 2006 года.
Общество является коммерческой организацией,
имеет обособленное имущество, самостоятельный баланс, печать.
Местонахождения: г. Минск, ул. Железнодорожная,
27а, к.18.
Почтовый адрес: 220089, Республика Беларусь, г.
Минск, ул. Железнодорожная, 27а.
Основной целью деятельности Общества является
извлечение прибыли для удовлетворения социальных и экономических интересов
акционеров посредством осуществления хозяйственной деятельности.
Общество осуществляет внешнеэкономическую
деятельность в порядке, установленном законодательством Республики Беларусь.
Оно вправе самостоятельно определять конкретные направления своей деятельности
в зависимости от конъюнктуры рынка.
Уставный фонд Общества составляет 7 543 276 400
(Семь миллиардов пятьсот сорок три миллиона двести семьдесят шесть тысяч
четыреста) белорусских рублей.
Уставный фонд разделен на 1 714 381 простых
(обыкновенных) акций номинальной стоимостью 4400 (Четыре тысячи четыреста)
белорусских рублей каждая.
Органами Общества являются органы управления
Общества и его контрольный орган.
Органами управления Общества являются:
общее собрание акционеров (является
высшим органом управления)
наблюдательный совет (общее руководство
деятельностью в период между общими собраниями акционеров)
исполнительные органы: дирекция и
генеральный директор (подотчетны общему собранию акционеров и наблюдательному
совету и организуют выполнение решений этих органов.)
Контрольным органом Общества является
ревизионная комиссия.
К исключительной компетенции общего собрания
акционеров относятся: изменение устава Общества; изменение размера уставного
фонда; решение о выпуске акций и утверждение решения о выпуске акций; избрание
членов наблюдательного совета и ревизионной комиссии и досрочное прекращение их
полномочий; утверждение годовых отчетов, бухгалтерских балансов, отчетов о
прибылях и убытках Общества и распределение прибыли и убытков при наличии и с
учетом заключения ревизионной комиссии и в установленных законодательством
случаях - аудиторского заключения; решение о реорганизации и об утверждении
передаточного акта или разделительного баланса; решение о ликвидации Общества,
создание ликвидационной комиссии, назначение ее председателя или ликвидатора и
утверждение промежуточного ликвидационного и ликвидационного балансов, за
исключением случаев, когда решение о ликвидации Общества принято регистрирующим
органом или судом в соответствии с законодательными актами; определение размера
вознаграждений и компенсации расходов членам наблюдательного совета,
ревизионной комиссии за исполнение ими своих обязанностей; определение порядка
ведения общего собрания акционеров в части, не урегулированной
законодательством, настоящим уставом и локальными нормативными актами Общества;
решение о крупных сделках; определение основных направлений деятельности Общества.
Эти вопросы относятся к исключительной
компетенции общего собрания акционеров и не могут быть переданы на решение
других органов управления Обществом.
Общее собрание акционеров может проводиться в
очной, заочной или смешанной формах.
Очная форма проведения общего собрания
акционеров предусматривает совместное присутствие лиц, имеющих право на участие
в этом собрании, при обсуждении вопросов повестки дня собрания и принятии
решений по ним.
При проведении общего собрания акционеров в
заочной форме мнение лиц, имеющих право на участие в этом собрании, по вопросам
повестки дня собрания, поставленным на голосование, определяется путем их
письменного опроса.
Смешанная форма проведения общего собрания
акционеров предоставляет лицам, имеющим право на участие в этом собрании, право
проголосовать по вопросам повестки дня собрания либо во время присутствия на
собрании, либо путем письменного опроса.
ИСПОЛНИТЕЛЬНЫЕ ОРГАНЫ ОБЩЕСТВА
Дирекция (коллегиальный исполнительный орган) и
генеральный директор осуществляют текущее руководство деятельностью Общества.
К компетенции дирекции относятся: подготовка
программ развития; рассмотрение отчетов руководителей унитарных предприятий и
структурных подразделений; списание имущества; решение о поставках продукции за
пределы Республики Беларусь без предварительной оплаты; решение о сделках,
связанных с приобретением, отчуждением либо возможностью отчуждения имущества,
отнесенного к основным средствам, кроме сделок, решение о которых входит в
компетенцию общего собрания акционеров либо наблюдательного совета;
предварительное рассмотрение вопросов создания, реорганизации и ликвидации
унитарных предприятий, филиалов и представительств Общества, участия в иных
хозяйственных обществах и товариществах; повышение тарифной ставки первого разряда,
применяемой для оплаты труда работников; выполнение иных функций в соответствии
с решениями общего собрания акционеров и наблюдательного совета.
Генеральный директор: осуществляет текущее
руководство деятельностью, обеспечивает выполнение решений общего собрания
акционеров и наблюдательного совета, несет ответственность за деятельность
Общества в соответствии с законодательством; без доверенности действует от
имени Общества, в том числе представляет его интересы и совершает сделки от его
имени; в пределах своей компетенции и в порядке, определенном настоящим
уставом, распоряжается имуществом Общества, заключает договоры, выдает
доверенности на совершение действий от имени Общества, открывает счета в
банках; принимает на работу и увольняет работников; издает приказы и дает
указания, обязательные для всех работников Общества;
Права и обязанности генерального директора,
членов дирекции определяются законодательством, уставом, положением о дирекции
Общества, трудовыми договорами (контрактами), заключаемыми каждым из этих лиц с
Обществом на срок не менее 1 года. Трудовой договор (контракт) с генеральным
директором, членами дирекции от имени Общества заключается и подписывается
председателем наблюдательного совета или иным его членом, уполномоченным
наблюдательным советом.
Генеральный директор, члены дирекции не вправе
выполнять оплачиваемую работу на условиях штатного совместительства, кроме
преподавательской, научной или иной творческой деятельности, а также
медицинской практики. Совмещение ими должностей в органах управления других
организаций допускается с согласия наблюдательного совета.
Полномочия генерального директора и членов
дирекции могут быть прекращены досрочно по решению наблюдательного совета.
КОНТРОЛЬ ФИНАНСОВОЙ И ХОЗЯЙСТВЕННОЙ ДЕЯТЕЛЬНОСТИ
ОБЩЕСТВА
Для осуществления внутреннего контроля
финансовой и хозяйственной деятельности Общества общее собрание акционеров
ежегодно избирает ревизионную комиссию в составе 3 человек. Членом ревизионной
комиссии не может быть избран акционер Общества и (или) иное физическое лицо,
которые являются членом соответственно наблюдательного совета или дирекции,
либо генеральным директором.
Ревизионную комиссию возглавляет председатель,
который избирается из числа ее членов в день окончания проведения общего
собрания акционеров на первом заседании ревизионной комиссии, которое
организует и проводит председатель собрания акционеров.
К компетенции ревизионной комиссии относится
проведение ревизий по всем или нескольким направлениям деятельности Общества,
либо проверок по одному или нескольким взаимосвязанным направлениям или за
определенный период этой деятельности, осуществляемой Обществом, его филиалами
и представительствами.
Члены ревизионной комиссии могут присутствовать
на заседаниях наблюдательного совета с правом совещательного голоса.
Обязанностями ревизионной комиссии является
проведение:
ежегодной ревизии - по результатам финансовой и
хозяйственной деятельности Общества за отчетный год. В этом случае ревизия
должна быть завершена не позднее двух недель до проведения общего собрания
акционеров, на которое выносится вопрос об утверждении годового отчета,
бухгалтерского баланса, счета прибылей и убытков Общества и распределения его
прибыли и убытков.
ревизии или проверки - по решению органов
управления Общества в установленные ими сроки;
ревизии или проверки - по письменному требованию
акционеров Общества, являющихся в совокупности владельцами 10 или более
процентов акций, направленному ревизионной комиссии. В этом случае ревизия или
проверка должны быть начаты не позднее 30 дней с даты поступления требования
акционеров об их проведении.
Ревизионная комиссия вправе в любое время по
собственной инициативе провести ревизию или проверку. Продолжительность ревизии
или проверки не должна превышать 30 дней.
Лица, деятельность которых проверяется, не
вправе участвовать в проведении ревизий или проверок по соответствующим
вопросам.
Ревизионная комиссия по результатам проведенной
ревизии или проверки составляет в соответствие с требованиями законодательства
заключение, которое должно быть подписано членами ревизионной комиссии,
проводившими ревизию или проверку. В случае несогласия с заключением
ревизионной комиссии либо с отдельными его выводами и предложениями любой член
ревизионной комиссии вправе изложить свою точку зрения по возникшим
разногласиям.
Заключение ревизионной комиссии по результатам
проведения ежегодной ревизии вносится на рассмотрение общего собрания
акционеров при утверждении годового отчета, бухгалтерского баланса, счетов о
прибылях и убытках Общества и распределения его прибыли и убытков.
Ревизионная комиссия в случае выявления
нарушений обязана:
представить заключение ревизии или проверки,
либо отдельные их выводы и предложения общему собранию акционеров,
наблюдательному совету, которые в соответствии с их компетенцией в
двухнедельный срок обязаны принять меры по устранению допущенных нарушений;
потребовать созыва внеочередного общего собрания
акционеров, если по выявленным в ходе ревизии или проверки фактам нарушений
решение может быть принято только этим собранием.
Для проведения проверки и подтверждения
правильности годовой бухгалтерской (финансовой) отчетности Общество ежегодно
привлекает аудиторскую организацию (аудитора - индивидуального
предпринимателя), не связанную имущественными интересами с Обществом или его
участниками (внешний аудит). При необходимости внешний аудит может проводиться
для проверки деятельности Общества, его филиалов и представительств, которая
должна отражаться в бухгалтерской (финансовой) отчетности.
Аудиторское заключение, подготовленное по
результатам проведения ежегодной аудиторской проверки Общества, вносится на
рассмотрение общего собрания акционеров при утверждении годового отчета,
бухгалтерского баланса, счета прибылей и убытков Общества и распределения его
прибыли и убытков.
Проведение внешнего аудита осуществляется на
основании договора оказания аудиторских услуг в порядке, установленном
законодательством. Размер и источники оплаты аудиторских услуг по договору
определяются в соответствии с законодательством наблюдательным советом.
Общество освобождается от обязательной ежегодной
аудиторской проверки, если в отчетном периоде ведомственной
контрольно-ревизионной службой проведена ревизия его финансово-хозяйственной
деятельности.
Аудиторская проверка деятельности Общества должна
быть проведена в любое время по требованию акционеров, являющихся в
совокупности владельцами 10 или более процентов акций Общества.
В 3-дневный срок со дня поступления в Общество
аудиторского заключения, акта (справки) проверки, проведенной контролирующим
органом, генеральный директор обязан выслать их копии каждому члену
наблюдательного совета, председателю ревизионной комиссии.
В Обществе в соответствии с законодательством и
согласно сформированной им учетной политике организуется и ведется бухгалтерский
и иной учет финансовой и хозяйственной деятельности, его филиалов и
представительств, составляется и представляется бухгалтерская (финансовая),
статистическая и иная отчетность.
Ответственность за организацию, состояние и
достоверность учета и отчетности в Обществе, своевременное представление
бухгалтерской (финансовой), статистической и иной отчетности в соответствующие
государственные органы (организации) несут Общество и его исполнительные органы
в соответствии с законодательством.
Документами Общества являются решение о создании
Общества, документы, указанные в статьях 63 и 87 Закона Республики Беларусь “О
хозяйственных обществах”, иные документы, предусмотренные законодательными
актами, локальными нормативными актами Общества, регламентирующими его деятельность,
а также документы, наличие которых является обязательным в соответствии с
законодательством.
Общество в порядке, установленном
законодательством об архивном деле, обязано хранить свои документы по месту
нахождения его исполнительного органа либо в ином месте, определенном
законодательными актами.
Общество обязано ежегодно публиковать для
всеобщего сведения годовой отчет в объеме, определяемом законодательством,
опубликовать аудиторское заключение в случаях и порядке, установленных
законодательством. Если в опубликованное аудиторское заключение в результате
дополнительной аудиторской проверки или проверок соответствующих контролирующих
органов вносятся изменения, эти изменения должны быть опубликованы Обществом в
порядке опубликования изменяемого аудиторского заключения.
.2 Статистический анализ оплаты труда на примере
ОАО «Белкнига»
Используя данные таблицы 2.1, рассчитаем
абсолютный коэффициент структурных сдвигов и интегральный коэффициент
структурных сдвигов.
Таблица 2.1 - Структура фонда заработной платы
за два периода, млн. руб.
|
Элементы
заработной платы
|
Абсолютное
значение
|
Удельный
вес, %
|
|
|
|
|
2011
|
2012
|
2011
|
2012
|
|
|
|
|
Оплата
за отработанное время
|
6779,8
|
13295,1
|
89,980
|
90,270
|
0,29
|
180,25
|
0,00000259
|
|
Оплата
за неотработанное время
|
480,0
|
952,7
|
6,370
|
6,469
|
0,099
|
12,839
|
0,00005946
|
|
Единовременные
поощрительные и другие выплаты
|
275,0
|
480,2
|
3,650
|
3,261
|
0,389
|
6,911
|
0,00316823
|
|
Итого
|
7534,8
|
14728
|
100,0
|
100,0
|
0,778
|
200
|
0,00323028
|
статистический оплата труд
заработный
Среднесписочная численность, чел: 344 чел.
(2011г.), 358 чел. (2012г.).
Абсолютный коэффициент структурных сдвигов:
Коэффициент меньше 3%, следовательно, структура
фонда заработной платы в отчетном году по сравнению с базисным годом изменилась
несущественно.
Интегральный коэффициент структурных сдвигов:
Изменения в структуре фонда заработной платы в
отчетном году по сравнению с базисным составили 0,0011%.
Используя данные таблицы 2.1, рассчитаем среднюю
заработную плату в отчетном и базисном годах. Средняя заработная плата одного
работника (за год) будет равна:
в базисном периоде:
,903 = 19,709 + 1,395 + 0,799.
в отчетном году:
,141 = 37,137 + 2,662 + 1,342.
Составим мультипликативную модель.

в базисном году
,903 = 19,709 ×
1,071 ×
1,038.
в отчетном году:
,141 = 37,137 ×
1,072 ×
1,034.
Таблица 2.2 - Размеры элементов, входящих в
состав средней заработной платы
|
Элементы
заработной платы
|
Условные
обозначения
|
Абсолютное
значение элементов, млн. руб.
|
Относительное
значение элементов
|
|
|
базисный
период 2011 год
|
отчетный
период 2012 год
|
базисный
период 2011 год
|
отчетный
период 2012 год
|
|
за
отработанное время
|
|
19,709
|
37,137
|
19,709
|
37,137
|
|
за
неотработанное время
|
|
1,395
|
2,662
|
1,071
|
1,072
|
|
поощрительные
и другие выплаты
|
|
0,799
|
1,342
|
1,038
|
1,034
|
|
Средняя
заработная плата
|
|
21,903
|
41,141
|
21,903
|
41,141
|
По полученным значениям можно сделать вывод, что
заработная плата в отчетном периоде за отработанное время составила 37,137 млн.
руб. Выплаты за неотработанное время увеличили ее на 2,662 млн. руб. или на
7,2%; выплаты стимулирующего характера и другие выплаты - на 1,342 млн. руб.
или 3,4%.
Изменение заработной платы в отчетном периоде по
сравнению с базисным в абсолютном выражении за счет каждого элемента
определяется следующим образом:
;
,141 - 21,903 = (37,137 - 19,709) + (2,662 -
1,395) + (1,342 - 0,799);
,238 = 17,428 + 1,267 + 0,543;
,238 = 19,238.
Доля влияния каждого фактора в общем приросте
средней заработной платы определяется на основании следующей аддитивной
индексной модели:
,906 + 0,066 + 0,028 = 1 или 100%.
Темп прироста средней заработной платы за счет
каждого элемента определяется по следующей модели:
,878 = 0,796 + 0,058 + 0,024
или в процентах 87,8 = 79,6 + 5,8 + 2,4
где
-
средняя заработная плата в базисном периоде.
Результаты расчетов представим в таблице 2.3.
Таблица 2.3-Влияние факторов на динамику средней
заработной платы
|
Элементы
заработной платы
|
Изменение
средней заработной платы за счет каждого элемента, %
|
|
абсолютное,
млн. руб.
|
к
базисному уровню
|
к
общему приросту
|
|
Заработная
плата за отработанное время
|
17,428
|
79,6
|
90,6
|
|
Оплата
за неотработанное время
|
1,267
|
5,8
|
6,6
|
|
Поощрительные
и другие выплаты
|
0,543
|
2,4
|
2,8
|
|
Итого
|
19,238
|
87,8
|
100,000
|
Данные таблицы показывают, что средняя
заработная плата в отчетном периоде по сравнению с базисным периодом возросла
на 19,238 млн. руб., или на 87,8%. Все три фактора оказывали влияние в сторону
роста средней заработной платы. За счет поощрительных и других выплат она
возросла на 0,543 млн. руб., или на 2,4%; оплаты за неотработанное время - на
1,267 млн. руб., или на 5,8%.
При изучении динамики средней заработной платы
по совокупности персонала применяется индексный метод и рассчитывается система
индексов: индекс переменного, постоянного составов и индекс структурных
сдвигов.
По исходным данным таблицы 2.4 рассчитаем
индексы переменного состава, постоянного состава и структурных сдвигов.
Таблица 2.4 - Средняя заработная плата и
численность работников за два периода
|
Категория
работников
|
Средняя
заработная плата, млн.руб.
|
Численность
работников, чел.
|
|
2011
|
2012
|
2011
|
2012
|
|
рабочие
|
14,63
|
29,456
|
206
|
225
|
|
служащие
|
32,76
|
60,905
|
138
|
133
|
Индекс переменного состава рассчитывается по
формуле:
Индекс средней заработной платы переменного
состава будет равен:
Это значит, что средняя заработная плата
работников в целом возросла в отчетном периоде на 87,8% или на 19,238 млн. руб.
Причем этот рост обусловлен влиянием двух факторов: изменением средней
заработной платы по каждой категории работников и изменением структуры
работников, т.е. доли работников каждой категории в общей численности
работников предприятия.
Влияние первого фактора определяется индексом
средней заработной платы постоянного состава. Индекс постоянного состава рассчитывается
по формуле:
Это значит, что только за счет изменения средней
заработной платы по каждой категории работников средняя заработная плата
возросла на 92,6%, или на 19,776 млн. руб.
Влияние второго фактора определяется с помощью
индекса структурных сдвигов. Индекс структурных сдвигов рассчитывается по
формуле:
Это значит, что за счет изменения структуры
численности работников средняя заработная плата уменьшилась на 2,5%, или на
0,538 млн. руб.
Между индексами средней заработной платы
переменного состава, постоянного состава и индексом структурных сдвигов имеется
взаимосвязь:
1,878 = 1,926
0,975.
Данная система индексов дает возможность
определить изменение фонда заработной платы за счет указанных факторов.
Общий размер фонда заработной платы зависит от
изменения численности и средней заработной платы.
Используя данные таблицы 2.5, рассчитаем
изменение фонда заработной платы за счет изменения средней заработной платы и
численности работников.
Таблица 2.5 - Фонд заработной платы и
численность работников за два периода.
|
Показатель
|
2011
|
2012
|
Индекс
динамики
|
|
Фонд
заработной платы, млн. руб.
|
7534,8
|
14728
|
1,955
|
|
Численность
работников
|
344
|
358
|
1,041
|
|
Средняя
заработная плата одного работника, млн. руб.
|
21,903
|
41,141
|
1,878
|
Общий прирост фонда заработной платы:
∆F = F1 - F0 = 14728 - 7534,8 = 7193,2
млн.руб.
В том числе за счет изменения:
а) численности работников:
∆FT = (T1 - T0) ×
З0;
∆FТ = (358 - 344) ×
21,903 = 306,042 млн.руб.
б) средней заработной платы:
∆FЗ = (З1 - З0) ×
T1;
∆FЗ = (41,141 - 21,903)
× 358 = 6887,158 млн.руб.
Относительный прирост фонда заработной платы за
счет каждого из факторов определяется по формулам:
∆IF(T) = IT - 1= 1,041 - 1 =
0,041 или
4,1%
∆IF(З)
= IF - 1 =1,955 - 1 = 0,955 или
95,5%
В однонаправленном действии каждого из факторов
доля прироста фонда заработной платы может быть определена следующим образом:
а) за счет изменения численности работников:
б) за счет изменения средней заработной платы:
Анализируя факторы, влияющие на среднюю
заработную плату целесообразно выделить и степень влияния производительности
труда на величину средней заработной платы. Это можно осуществить при помощи
следующей схемы взаимосвязи показателей:
- средняя
заработная плата одного работника;
-
производительность труда одного работника;
- зарплатоемкость
продукции.
Общее изменение средней заработной платы в
отчетном периоде по сравнению с базисным определяется как разность между
уровнями средней заработной платы в базисном и отчетном периодах:
∆З = З1 - З0
Изменение средней заработной платы за счет
производительности определяется по формуле:
∆ЗW = (W1 - W0) ×
d1,
,W0
- производительность труда одного работника в отчетном и базисном периодах;-
зарплатоемкость единицы продукции.
Изменение
средней заработной платы за счет зарплатоемкости единицы продукции определяется
по формуле:
∆Зd
= (d1 - d0) × W0,
Используя
данные, приведенные в таблице, рассчитаем изменение средней заработной платы.
Таблица 2.6 - Средняя производительность труда и
средняя заработная плата за два периода
|
Показатель
|
2011
|
2012
|
Индекс
динамики
|
|
Средняя
заработная плата одного работника, млн. руб.
|
21,903
|
41,141
|
1,878
|
|
Производительность
труда одного работающего ППП, млн. руб.
|
321,37
|
556,45
|
1,731
|
|
Зарплатоемкость
продукции, млн. руб.
|
0,068
|
0,074
|
1,088
|
Общее изменение средней заработной платы в
отчетном по сравнению с базисным периодом:
∆З = З1 - З0;
∆З = 41,141 - 21,903 = 19,238 млн. руб.
Изменение средней заработной платы за счет
производительности труда:
∆ЗW = (W1 - W0) ×
d1;
∆З = (556,45 - 321,37) * 0,074 = 17,396
млн. руб.
Изменение средней заработной платы за счет зарплатоемкости
продукции:
∆Зd = (d1 - d0) ×
W0,
∆Зd = (0,074 - 0,068) * 321,37 = 1,922
млн. руб.
∆З = ∆ЗW + ∆Зd
,238 = 17,316 + 1,922.
Коэффициент опережения
Коэффициент опережения меньше единицы,
следовательно, имеет место опережение темпов роста средней заработной платы по
сравнению с темпами роста производительности труда.
Кроме коэффициента опережения исчисляется
обратный показатель, называемый коэффициентом снижения роста или прироста
средней заработной платы на 1 % роста или прироста производительности труда:
Заключение
В условиях перехода к системе рыночного
хозяйствования в соответствии с изменениями в экономическом и социальном
развитии страны существенно меняется и политика в области оплаты труда,
социальной поддержки и защиты работников. Многие функции государства по
реализации этой политики переданы непосредственно предприятиям, которые
самостоятельно устанавливают формы системы и размеры оплаты труда, материального
стимулирования его результатов. Понятие “заработная плата” наполнилось новым
содержанием и охватывает все виды заработков (а также различных премий, доплат,
надбавок и социальных льгот), начисленных в денежной и натуральных формах
(независимо от источников финансирования), включая денежные суммы начисленные
работникам в соответствии с законодательством за непроработанное время
(ежегодный отпуск, праздничные дни и т.п.)
Главной формой распределения по труду и основным
источником реальных доходов трудящихся является заработная плата. В масштабе
всего народного хозяйства заработная плата представляет собой часть
национального дохода, поступающая в индивидуальное распоряжение рабочих и
служащих в соответствии с количеством и качеством затраченного ими общественно
полезного труда.
В фонд оплаты труда входят выплаты из фонда
заработной платы, премии из фонда материального поощрения и других источников,
полученные трудящимися из общественных фондов потребления. Фонд заработной
платы включает заработную плату, начисленную трудящимся за фактически
выполненную ими работу по сдельным расценкам и за отработанное ими время по
тарифным ставкам и должностными окладам.
Список использованной литературы
Гражданский
кодекс Республики Беларусь.
Налоговый
Кодекс Республики Беларусь.
Закон
РБ «О бухгалтерском учете».
Экономика
предприятия: учеб. пособие / Л.Н. Нехорошева, ..Н.Б. Антонова, Л.В. Гринцевич и
др.; под ред. Л.Н. Нехорошевой - Минск: БГЭУ, 2008. - 708с.
Бабук
И. М. Экономика предприятия: учеб.пособие для студентов технических
специальностей - Мн.: «ИВЦ Минфина», 2006. - 327 с.
ВерховцевА.
В. Заработная плата. - 3-е изд., перераб. и доп-М.: ИНФРА - М, 2000. - 148 с.
Козлова
Е., Бабченко Т., Галанина Е. Бухгалтерский учет в организациях. -М., 2003, с.
266.
Ракоти
В. Заработная плата и предпринимательский доход. -М., 2004, с. 231.
Дощинская
Статистика предприятия.
Пошерстник
Е. Б. Заработная плата в современных условиях. -СПб.: Изд. Торговый Дом
«Герда», 1999. - 406 с.