Оценка стоимости бизнеса ООО 'Стройсервис'
Содержание
Введение
Глава 1. Основные макроэкономические показатели
.1 Экономическая ситуация в РФ
.2 Макроэконономический анализ отрасли
Глава 2. Описание объекта оценки
.1 Общая характеристика предприятия
.2 Анализ финансового состояния предприятия
Глава 3. Расчет стоимости ООО «Стройсервис»
.1 Оценка стоимости бизнеса ООО «Стройсервис» на основе
затратного подхода
.2 Оценка стоимости бизнеса ООО «Стройсервис» на основе
сравнительного подхода
.3 Оценка стоимости бизнеса ООО «Стройсервис» на основе доходного
подхода
.4 Итоговая оценка стоимости бизнеса ООО «Стройсервис»
Заключение
Список использованной литературы
Введение
Актуальность темы исследования. В российских компаниях накоплен некоторый
положительный опыт в осуществлении рыночной оценки стоимости бизнеса,
определении затрат на инвестиции и т.д.
При оценке стоимости бизнеса определенное внимания заслуживают вопросы
использования методов оценки. Существующие ныне за рубежом и в нашей стране
методы оценки стоимости бизнеса можно вместить в рамки более или менее объемных
классификаций. В основе этих классификаций, как правило, находятся:
методологические, экономические, рыночные, временные, имущественные и другие
признаки. В этой работе будут рассмотрены наиболее часто встречающиеся подходы
к вопросам применения методов оценки у зарубежных и отечественных специалистов.
Каждый из подходов, применяемых в современной теории оценки стоимости
бизнеса, обладает как некоторыми преимуществами, так и определенными
недостатками. В этой связи следует констатировать, что в современной теории
оценок преобладают группировки методов оценки по формальным признакам, но
недостаточное внимание уделяется методам оценки по временному признаку, который
является важным критерием в определении изменений стоимости и цены объекта,
находящегося в процессе перенесения своей стоимости на товар, т.е.
функционирующего капитала.
Таким образом, целью данной работы является оценка стоимости предприятия
на основе анализа применяемых в настоящее время современных методик оценки
стоимости бизнеса.
Задачи исследования:
исследовать основные макроэкономические показатели;
провести анализ финансового состояния предприятия;
провести оценку стоимости бизнеса ООО «Стройсервис»;
определить итоговое значения стоимости.
Глава 1. Основные макроэкономические показатели
.1 Экономическая ситуация в РФ
В 2013 году экономике РФ пришлось столкнуться с новым замедлением темпов
роста. Помимо внутренних проблем на ухудшение экономического положения в стране
также повлияло изменение конъюнктуры на международных рынках. Ключевое
воздействие на экономику РФ в 2013 году оказали события на рынках США и Китая.
В декабре 2013 года ФРС на фоне достаточно оптимистичных макроэкономических
данных приняла решение о сокращении программы QE3 на $10 млрд. Уже в январе 2014
года ФРС урезала QE3 еще на $10 млрд.
По данным Росстата ВВП в России в 2013 году достиг отметки в 66,7 трлн.
рублей, а его рост год к году составил 1,3% вместо прогнозируемых 1,8% г/г. Для
сравнения ВВП США увеличился на 1,9% г/г по итогам 2013 года, а общий ВВП стран
Европейского Союза вырос на 0,1% г/г после рецессии в 2012 году.
По прогнозам в 2014 году ВВП России вырастет на 1,5-1,8%, однако эта
цифра может быть скорректирована в сторону понижения. Геополитический конфликт
в Украине, а также участие в данном вопросе РФ, могут стоить России до 3% ВВП в
2014 году. Порядка 50% российских экспортных поставок газа в Европу идут через
Украину. В случае военного конфликта прокачка газа может быть приостановлена.
Рис.1. Динамика ВВП РФ в ценах 2008 года, трлн. рублей
Источник: Федеральная служба государственной статистики (Росстат)
Рис.2. Промышленное производство в РФ: динамика индекса PMI с января 2013
года, пункты
источник: The HSBC Group
По данным банка HSBC индекс промышленного производства в России по итогам
2013 года упал до 48.8 пунктов, а уже к концу января 2014 года опустился до 48
пунктов. Для сравнения к концу 2012 года индекс PMI в России достигал отметки в
50 пунктов. При этом значение индекса меньше 50 пунктов свидетельствует о спаде
в промышленном секторе.
Рис.3. Инфляция в РФ c 2008 года, %
источник: Федеральная служба государственной статистики (Росстат)
Рис. 4.Промышленное производство в РФ: рост/падение в процентах к
предыдущему году. Источник: Федеральная служба государственной статистики
(Росстат)
В 2013 году объем промышленного производства в РФ вырос на 0,4% г/г после
роста на 3,4% г/г в 2012 году. В 2014 году ЕС может приостановить некоторые
торговые отношения с Россией. Это может привести к снижению темпов роста
промышленного производства в РФ, так как многие промышленники в России зависимы
от поставок иностранного оборудования.
В 2013 году инфляция в России составила 6,5% г/г. Причиной столь высокой
инфляции считается удорожание некоторых видов продовольственных товаров в связи
с неблагоприятными условиями сбора урожая осенью 2013 года. По оценкам вклад
данного фактора в ускорение инфляции составил 0,5 процентных пунктов. На
увеличение инфляции повлияли и результаты внешней торговли.
По итогам 2013 года положительное сальдо торгового баланса РФ
остановилось на отметке $179 млрд. При этом стоимость всех импортных товаров в
РФ достигла $344 млрд. по сравнению с $335 млрд. в 2012 году - рост на 2,7%
г/г. Отрицательную динамику в 2013 году показала статья экспорта: его объем
снизился на 0,9% г/г с $528 млрд. до $523 млрд. в 2013 году.
Дальнейшее увеличение объемов импорта и снижение объемов экспорта, а
также ослабление национальной валюты, приведут к подорожанию товаров и услуг на
территории РФ. Такое развитие событий повлечет за собой новый всплеск инфляции,
что негативно отразится на экономике страны. Высокие темпы инфляции сказываются
и на монетарной политики ЦБ РФ. В марте 2014 года Совет директоров Банка России
принял решение временно повысить ключевую ставку с уровня 5,5% годовых до 7%.
Данное решение направлено на предотвращение возникновения инфляционных рисков.
Повышение процентной ставки можно рассматривать также и как меру по
стабилизации курса рубля. Высокий уровень инфляции сдерживает ЦБ РФ от
смягчения монетарной политики. Стоит отметить, что повышение ставок отразится
на ликвидности банковского сектора РФ. Нехватка ликвидности может привести к
застою на рынке межбанковского кредитования, что негативно отразится на всей
экономике РФ.
Проблемы в экономике РФ отражаются и на банковском секторе. В 2013 году
объем вкладов физических лиц вырос на 2,7 трлн. рублей по сравнению с приростом
в 2,38 трлн. в 2012 году. По итогам 2013 года общая сумма вкладов физических
лиц достигла 16,9 трлн. рублей, тем самым в 2013 года объем вкладов вырос на
19% г/г. Столь высокий прирост объема вкладов объясняется возвратом российских
денег с Кипра.
Дополнительным фактором увеличения вкладов стал закон, принятый в мае
2013 года. Согласно нему государственные чиновники обязаны перевести на Родину
все свои иностранные счета. На рынке кредитования в 2013 году также наблюдался
значительный всплеск. По итогам 2013 года объем кредитов достиг 9,5 трлн.
рублей по сравнению с 7,3 трлн. рублей в конце 2012 года - рост объема выданных
кредитов составил 30%. При этом в 2012 году объем вкладов физических лиц вырос
на 20% г/г, а объем выданных кредитов - на 39% г/г.
Быстрый рост объема выданных кредитов вкупе с менее впечатляющими темпами
прироста объемов депозитов могут привести к закредитованности экономики РФ и
нехватки ликвидности на рынках. Такая ситуация несет в себе дополнительные
риски невозврата кредитов. В среднесрочной перспективе можно ожидать
ужесточения условий кредитования, что может вызвать застой в экономике РФ.
Перспективы экономики РФ.
В качестве базового сценария на ближайшие годы следует рассматривать
сценарий ухудшения внешних условий развития экономики РФ. Стоит ожидать
затухания темпов роста экономики РФ в связи со снижением внутреннего спроса. А
в случае активного стимулирования спроса и кредитования на рынке может
сформироваться новый "пузырь", грозящий кризисом во второй половине
2010-х гг. Основной проблемой развития экономики РФ является ее высокая
зависимость от конъюнктуры внешних рынков.
Россия занимает промежуточное положение между странами с дешевым трудом и
странами с хорошими экономическими институтами. Относительно высокие затраты на
труд в совокупности с низким качеством финансовых институтов делают соотношение
"риск/доходность" малопривлекательным для зарубежных инвесторов, что
приводит к оттоку капитала с российских рынков и негативно влияет на экономику
страны.
.2 Макроэконономический анализ отрасли
Анализ строительного рынка России
Анализ строительного рынка: статистика
Согласно данным анализа строительного рынка, представленным Росстатом по
итогам первого квартала нынешнего года, за этот период было введено в
эксплуатацию больше 53 тысяч зданий, что равняется примерно 21,6 миллиона
квадратных метров. Из них 13,6 млн.мІ составляют жилые помещения, что на 31%
больше, чем по итогам первых трех месяцев 2013-го.
Всероссийским лидером по строительству недвижимости в I квартале стала
Москва, на долю которой пришлось немногим более 2 млн.мІ, из них 822 тыс. мІ
составила жилая площадь. Второй по итогам этого анализа строительного рынка
стала Московская область, где было введено 1,43 млн.мІ (1,02 млн.мІ жилья),
третьим Санкт-Петербург 1,37 млн.мІ (934,3 тыс. мІ). Далее следуют
Краснодарский край (1,32 млн.мІ), Татарстан (1,07 млн.мІ), а также Тюменская,
Ленинградская и Свердловская область.
Анализ строительного рынка: основные проблемы
Одной из основных проблем данной отрасли ведущие специалисты называют ее
монополизацию. В развитых странах Европы и мира подобная расстановка сил
встречается крайне редко. Например, в Великобритании более 90% компаний состоят
всего из 10-15 человек. Эти фирмы работают на субподрядах, кооперируясь друг с
другом.
Лишь около 40 трансконтинентальных компаний имеют в штате свыше 1200
человек.
Почему
такая структура эффективнее, наглядно демонстрирует сравнительный анализ
строительного рынка. В нашей стране в последнее время в год строится примерно
60 млн.мІ (в этом планируется 70 млн.мІ). Заявления Путина
<#"822677.files/image005.gif">
Рис.5.Организационная
структура предприятия
Данная
организационная структура является оптимальным вариантом, так как она
представляет собой синтез линейной и функциональной организационных структур. В
ее основу положены вертикаль управления и специализация управленческого труда
по функциональным службам организации.
.2
Анализ финансового состояния предприятия
Абсолютные
показатели финансовой устойчивости
Смысл
анализа финансовой устойчивости с помощью абсолютного показателя заключается в
том, чтобы проверить, какие источники средств и в каком размере используются
для покрытия запасов. Для характеристики источников формирования запасов используется
несколько показателей, отражающих различную степень охвата разных видов
источников:
1) Наличие собственных оборотных средств.
Ес = Ис - F,
где Ес - наличие собственных оборотных средств;
Ис - источники собственных средств (итог разд. III «Капитал и резервы»);
F -
основные средства и вложения (итог разд. I баланса «Внеоборотные активы»).
2) Наличие собственных оборотных средств и долгосрочных заемных
источников для формирования запасов и затрат.
Ет = Ес + Кт = (Ис + Кт)
- F,
где Ет - наличие собственных оборотных средств и долгосрочных
заемных источников для формирования запасов и затрат;
Кт - долгосрочные кредиты и заемные средства (итог разд. IV баланса «Долгосрочные
обязательства»).
3) Общая величина основных источников средств для формирования запасов
и затрат.
Е
= Ет + Кt = (Ис
+ Кт + Кt) - F,
где
Е
- общая величина основных источников средств для
формирования запасов и затрат;
Кt - краткосрочные кредиты и займы
(стр. 610, 621, 627 разд. V
баланса «Краткосрочные обязательства»).
На основе этих трех показателей, характеризующих наличие источников,
которые формируют запасы и затраты для производственной деятельности,
рассчитываются величины, дающие оценку размера (достаточности) источников для
покрытия запасов и затрат:
1) излишек (+) или недостаток (-) собственных оборотных средств
Ес
= Ес - Z,
где Z - запасы и затраты (стр. 210 + стр.
220 разд. II баланса «Оборотные активы»);
2) излишек (+) или недостаток (-) собственных оборотных и долгосрочных
заемных источников формирования запасов и затрат
Ет
= Ет - Z = (Ес + Кт) - Z;
3) излишек (+) или недостаток (-) общей величины основных источников для
формирования запасов и затрат
Е
= Е
- Z =
(Ес + Кт + Кt) - Z.
Показатели
обеспеченности запасов и затрат источниками их формирования (
Ес;
Ет;
Е
)
являются базой для классификации финансового положения предприятия по степени
устойчивости.
Таблица 1 Определение типа финансовой ситуации на предприятии ООО
«Стройсервис» за период с 2011 по 2013 год, тыс. руб.
|
Показатель
|
2011
|
2012
|
2013
|
|
Источники собственных средств
|
1059
|
1876
|
1948
|
|
Основные средства и вложения
|
3403
|
2880
|
1267
|
|
Наличие собственных оборотных средств.
|
-2344
|
-1004
|
681
|
|
долгосрочные кредиты и заемные средства
|
0
|
0
|
0
|
|
Наличие собственных оборотных средств и долгосрочных
заемных источников для формирования запасов и затрат.
|
-2344
|
-1004
|
681
|
|
краткосрочные кредиты и займы
|
6345
|
9188
|
7580
|
|
Общая величина основных источников средств для формирования
запасов и затрат.
|
4001
|
8184
|
8261
|
|
запасы и затраты
|
1424
|
1959
|
2046
|
|
излишек (+) или недостаток (-) собственных оборотных
средств
|
-3768
|
-2963
|
-1365
|
|
излишек (+) или недостаток (-) собственных оборотных и долгосрочных
заемных источников формирования запасов и затрат
|
-3768
|
-2963
|
-1365
|
|
излишек (+) или недостаток (-) общей величины основных
источников для формирования запасов и затрат
|
2577
|
6225
|
6215
|
Ес
Ет
Е
<
0 < 0
0<
0
< 0
0< 0
< 0
|
0
|
|
|
|
|
Тип финансовой устойчивости
|
Неустойчивое финансовое состояние
|
По данным таблицы 1 можно определить не только тип финансовой
устойчивости, но и выявить источники формирования запасов, которые оказали на
него наибольшее воздействие. Судя по трехкомпонентному показателю типа
финансовой ситуации, для предприятия за весь период характерно неустойчивое
финансовое состояние.
Данное положение характеризуется нарушением платежеспособности. Однако
есть еще возможность ее восстановить. Основным источником покрытия запасов и
затрат на предприятии выступает кредиторская задолженность.
Относительные показатели финансовой устойчивости.
Финансовая устойчивость предприятия характеризуется состоянием
собственных и заемных средств и анализируется с помощью системы финансовых
коэффициентов. Информационной базой для расчета таких коэффициентов являются
абсолютные показатели актива и пассива бухгалтерского баланса.
Для характеристики финансовой устойчивости разработано множество относительных
показателей финансовой устойчивости. Наиболее приемлемыми для торговых
предприятий являются следующие:
КУ коэффициент автономии - характеризует независимость предприятия от
земных источников.
КУ коэффициент обеспеченности собственными средствами - характеризует
обеспеченность всех оборотных активов предприятия оборотными средствами,
необходимыми для его финансовой устойчивости.
КУ коэффициент обеспеченности запасов собственными оборотными средствами
- означает, в какой мере материальные запасы покрыты собственными оборотными
средствами и не нуждаются в привлечении заемных.
КУ коэффициент маневренности - показывает, какая часть собственных
средств предприятия находится в мобильной форме, позволяющей относительно
свободно маневрировать этими средствами.
КУ коэффициент соотношения мобильных и иммобилизованных средств х
показывает, в какой степени мобильные активы превышают иммобилизованные, т.е.
изменение структуры активов.
КУ коэффициент отношения собственного капитала и краткосрочной
задолженности - характеризует соотношение собственных источников формирования
имущества и краткосрочных обязательств.
КУ коэффициент финансовой зависимости - является обратным коэффициенту
автономии (финансовой независимости).
КУ коэффициент финансирования - показывает, какая часть активов
финансируется за счет собственных источников.
Таблица 2 Коэффициенты финансовой устойчивости ООО «Стройсервис»
|
Показатель
|
Формула расчета
|
2011
|
2012
|
2013
|
норматив
|
|
1 КУ. Коэффициент автономии
|
0,1350,1620,1910,5
|
|
|
|
|
|
2 КУ. Коэффициент обеспеченности собственными средствами
|
-0,525-0,1150,0760,1
|
|
|
|
|
|
3 КУ. Коэффициент обеспеченности запасов собственными
оборотными активами
|
-1,646-0,5130,3330,6 - 0,8
|
|
|
|
|
|
4 КУ. Коэффициент маневренности
|
-0,689-0,3490,5370,5
|
|
|
|
|
|
5 КУ. Коэффициент соотношения мобильных и иммобилизованных
средств
|
1,3123,0287,069-
|
|
|
|
|
|
6 КУ. Коэффициент соотношения собственного капитала и
краткосрочной задолженности
|
0,1560,1930,235-
|
|
|
|
|
|
7 КУ. Коэффициент финансовой зависимости
|
7,4316,1835,2481,0
|
|
|
|
|
|
8 КУ. Коэффициент финансирования
|
0,1560,1930,235-
|
|
|
|
|
Из
данной таблицы можно сделать следующие выводы:
Увеличилось
значение коэффициента автономии, что говорит о повышении финансовой
устойчивости, однако оно по-прежнему значительно ниже нормы. Коэффициент
обеспеченности собственными средствами, коэффициент обеспеченности запасов
собственными оборотными средствами и коэффициент маневренности в 2011 и в 2012
годах имеют отрицательное значение, но уже в 2013 году приближаются к
нормативу. Рост коэффициента обеспеченности собственными средствами в динамике
считается положительным.
Снижение
коэффициента финансовой зависимости говорит о снижении доли заемных средств в
финансировании предприятия, но его значение намного выше нормативного, это
говорит о снижении платежеспособности предприятия.
По
другим коэффициентам наблюдается рост по сравнению с 2011 годом, что говорит о
частичном изменении структуры активов и пассивов и о вилянии на укрепление
финансовой устойчивости. В целом можно отметить: на предприятии неустойчивое
финансовое положение.
Анализ
ликвидности и платежеспособности предприятия
Оценка
ликвидности баланса
Для проведения анализа данные актива и пассива баланса группируются по
следующим признакам:
·
по степени убывания
ликвидности (актив);
·
по степени
срочности оплаты (погашения) (пассив).
Активы в зависимости от скорости превращения в денежные средства
(ликвидности) разделяют на следующие группы:
А1 - наиболее ликвидные активы. К ним относятся денежные средства
предприятий и краткосрочные финансовые вложения (стр. 1240 + стр. 1250);
А2 - быстрореализуемые активы. Дебиторская задолженность и прочие активы
(стр. 1230 + стр. 1260);
А3 - медленнореализуемые активы. К ним относятся статьи из разд. II баланса «Оборотные активы» (стр.
1210 + стр. 1220) и статья «Долгосрочные финансовые вложения» из разд. I баланса «Внеоборотные активы» (стр.
1150);
А4 - труднореализуемые активы. Это статьи разд. I баланса «Внеоборотные активы» (стр. 1100).
Группировка пассивов происходит по степени срочности их возврата:
П1 - наиболее краткосрочные обязательства. К ним относятся статьи
«Кредиторская задолженность» и «Прочие краткосрочные пассивы» (стр. 1520 + стр.
15500);
П2 - краткосрочные пассивы. Разд. V баланса «Краткосрочные обязательства» (стр. 1510 + 1530 +
стр. 1540+1430);
П3 - долгосрочные пассивы. Долгосрочные кредиты и заемные средства (стр.
1410 + стр. 1450);
П4 - постоянные пассивы. Статьи разд. III баланса «Капитал и резервы» (стр. 1300).
При определении ликвидности баланса группы актива и пассива
сопоставляются между собой.
Условия абсолютной ликвидности баланса:
А1
П1;
А2
П2;
А3
П3;
А4
П4.
Необходимым условием абсолютной ликвидности баланса является выполнение
первых трех неравенств.
Таблица 3 Анализ ликвидности баланса ООО «Стройсервис», тыс. руб.
|
Актив
|
значение
|
Пассив
|
значение
|
соотношение
|
|
2011
|
|
А1
|
271
|
П1
|
7040
|
А1 < П1
|
|
А2
|
2771
|
П2
|
230
|
А2 > П2
|
|
А3
|
1402
|
П3
|
0
|
А3 > П3
|
|
А4
|
3403
|
П4
|
1037
|
А4 > П4
|
|
2012
|
|
А1
|
729
|
П1
|
10029
|
А1 < П1
|
|
А2
|
6032
|
П2
|
304
|
А2 > П2
|
|
А3
|
1959
|
П3
|
0
|
А3 > П3
|
|
А4
|
2880
|
П4
|
1876
|
А4 > П4
|
|
2013
|
|
А1
|
117
|
П1
|
8639
|
А1 < П1
|
|
А2
|
6793
|
П2
|
554
|
А2 > П2
|
|
А3
|
2068
|
П3
|
0
|
А3 > П3
|
|
А4
|
1245
|
П4
|
1970
|
А4 < П4
|
Анализ ликвидности баланса показал, что предприятие на протяжении всего
периода имеет проблемы в степени покрытия своих текущих обязательств: наиболее
ликвидные активы (денежные средства) меньше наиболее срочных обязательств
(А1<П1). Быстрореализуемые активы хоть и покрывают краткосрочные
обязательства (банковские кредиты до года), но все же суммы активов А1+А2 не
достаточно, чтобы рассчитаться по текущим обязательствам П1 +П2, это
свидетельствует о неплатежеспособности предприятия.
Отсутствие долгосрочных обязательств не говорит в пользу перспективной
ликвидности (А3 > П3), а текущая ликвидность, в свою очередь, не может быть
компенсирована наличием медленно реализуемых активов.
К концу 2013 года выполняется условие А4 < П4 это говорит о том что,
на предприятии соблюдается важное условие платежеспособности - наличие у
предприятия собственных оборотных средств, обеспечивающих бесперебойный
воспроизводственный процесс;
Сокращение дефицита активов по двум рассматриваемым группам
свидетельствует о наметившейся положительной тенденции, более объективную
оценку которой необходимо дать в ходе последующего анализа коэффициентов
ликвидности.
Оценка относительных показателей ликвидности и платежеспособности
Для качественной оценки платежеспособности и ликвидности предприятия
кроме анализа ликвидности баланса необходим расчет коэффициентов ликвидности.
· Коэффициент текущей ликвидности (покрытия долгов) (Кт.л.
):
.
Показывает достаточность оборотных средств предприятия, которые могут
быть использованы им для погашения своих краткосрочных обязательств.
Характеризует запас прочности, возникающей вследствие превышения ликвидного
имущества над имеющимися обязательствами.
Нормальным значением для этого показателя считается от 1 до 2. Это
главный показатель платежеспособности.
· Коэффициент абсолютной ликвидности (Ка.л. ):
.
Коэффициент абсолютной ликвидности показывает, какую часть краткосрочной
задолженности организация может погасить в ближайшее время за счет денежных
средств. Этот коэффициент интересен для поставщиков сырья и материалов.
Нормальное значение: Кал > 0,2-0,5
· Коэффициент критической ликвидности (срочной) (Кк.л.
):
.
Коэффициент показывает, какая часть краткосрочных обязательств может быть
погашена немедленно за счет средств на различных счетах, в краткосрочных ценных
бумагах, а также поступлений по расчетам.
Допустимое значение: 0,7-1,0, желательно > 1,5, поскольку может
оказаться недостаточным, если большую долю ликвидных средств составляет
дебиторская задолженность, часть которой трудно своевременно взыскать. Если в
составе текущих активов значительную долю занимают денежные средства и их
эквиваленты (ценные бумаги), то это соотношение может быть и меньше.
Таблица 4 Коэффициенты, характеризующие платежеспособность, ООО
«Стройсервис»
|
Коэффициент
|
2011
|
2012
|
2013
|
|
Коэффициент текущей ликвидности
|
0,611
|
0,847
|
0,977
|
|
Коэффициент критической ликвидности
|
0,418
|
0,645
|
0,752
|
|
Коэффициент абсолютной ликвидности
|
0,037
|
0,071
|
0,013
|
Анализируя динамику коэффициентов ликвидности ООО «Стройсервис» можно
сделать следующий вывод: коэффициент абсолютной ликвидности намного меньше
нормативного значения. Это свидетельствуют о том, что в 2011г предприятие на
момент составления баланса могло покрывать лишь на 3,7% свои текущие
обязательства за счет денежных средств, а в 2012г и 2013г - на 7,1% и 1,3%
соответственно против 20% нормативного значения. Отрицательным фактом является
уменьшение коэффициента к 2013 году на 2,4% по сравнению с 2011 годом. В целом
предприятие можно признать неплатежеспособным (на дату составления баланса,
т.е. на конец каждого периода). Коэффициент критической ликвидности к концу
периода увеличился и достиг нормы 75,2%, т.е. в случае осуществления
своевременных расчетов с дебиторами предприятие погасит свои текущие
обязательства. Таким образом, к концу 2013г предприятие могло покрывать свои
текущие обязательства за счет наиболее ликвидных активов (денежных средств,
дебиторской задолженности) на 75,2%, что на 33,4% больше, чем в 2011г. Значение
коэффициента текущей ликвидности, хоть и не соответствует нормативному значению,
но все же очень близко к нему и составляет 97,7%. Если рассматривать его в
динамике, то по сравнению с 2011 годом в конце периода наблюдается увеличение
на 36,6%, что говорит о повышении платежеспособности предприятия.
Оценка деловой активности предприятия
Анализ деловой активности заключается в исследовании уровней и динамики
разнообразных финансовых коэффициентов - показателей оборачиваемости капитала.
Оборачиваемость капитала является одним из важнейших показателей,
характеризующих интенсивность использования средств предприятия.
Рассмотрим общие показатели оборачиваемости.
· Коэффициент общей оборачиваемости капитала:
Коэффициент отражает скорость оборота всего капитала организации, т.е.
сколько оборотов производят активы. Он показывает, сколько продукции приходится
на каждый рубль активов или эффективность использования всех имеющихся
ресурсов, независимо от их источников.
· Коэффициент оборачиваемости оборотных средств:
Отражает скорость оборота материальных и денежных ресурсов предприятия за
анализируемый период, или сколько рублей оборота (выручки) приходится на каждый
рубль данного вида активов.
· Коэффициент оборачиваемости собственного капитала:
Коэффициент показывает скорость оборота собственного капитала, или
сколько рублей от выручки от реализации приходится на каждый рубль
инвестированных собственных средств.
· Коэффициент оборачиваемости запасов (материальных средств):
Скорость оборота запасов и затрат, т.е. число оборотов за отчетный период
за который материальные оборотные средства превращаются в денежную сумму.
· Средний срок оборота материальных
средств:
Продолжительность оборота материальных средств за период.
· Коэффициент оборачиваемости дебиторской задолженности:
Показывает число оборотов за период коммерческого кредита,
предоставленного предприятием.
· Продолжительность оборота дебиторской
задолженности:
Показывает средний срок погашения дебиторской задолженности.
· Коэффициент оборачиваемости
кредиторской задолженности:
Показывает скорость оборота задолженности предприятия.
· Продолжительность оборота
кредиторской задолженности:
Показывает период, за который предприятие покрывает срочную
задолженность.
· Продолжительность операционного
цикла:
Характеризует общее время, в течении которого финансовые ресурсы
находятся в материальных средствах и дебиторской задолженности.
Цо = Сд/з + См.ср.
· Продолжительность финансового цикла:
Время, в течении которого финансовые ресурсы отвлечены из оборота.
Цф = Цо - Ск/з
Таблица 5 Показатели оборачиваемости капитала ООО «Стройсервис»
2011
|
2012
|
2013
|
|
Коэффициент общей оборачиваемости капитала
|
10,05
|
9,06
|
3,72
|
|
Коэффициент оборачиваемости оборотных средств
|
15,13
|
13,38
|
4,59
|
|
Коэффициент оборачиваемости собственного капитала
|
87,86
|
60,13
|
21,21
|
|
Коэффициент оборачиваемости запасов (материальных средств)
|
41,36
|
52,16
|
20,25
|
|
Средний срок оборота материальных средств
|
8,82
|
7,00
|
18,02
|
|
Коэффициент оборачиваемости дебиторской задолженности
|
25,52
|
20,05
|
6,32
|
|
Продолжительность оборота дебиторской задолженности
|
14,30
|
18,21
|
57,72
|
|
Коэффициент оборачиваемости кредиторской задолженности
|
11,67
|
10,67
|
4,51
|
|
Продолжительность оборота кредиторской задолженности
|
31,27
|
34,20
|
81,01
|
|
Продолжительность операционного цикла
|
55,66
|
70,37
|
77,97
|
|
Продолжительность финансового цикла
|
24,39
|
36,17
|
-3,04
|
По данным таблицы 5 видно, что оборачиваемость всех элементов имущества к
концу 2013 года замедлилась. Рассмотрим подробнее оборачиваемость каждого вида
имущества.
Оборачиваемость капитала по сравнению с 2011 годом снизилась на 6,33
оборота - а это говорит о неэффективном использовании ресурсов, и что на 1
рубль стоимости всех активов получает 3,72 рубля дохода. Для увеличения
интенсивности использования активов необходимо стремиться к увеличению данного
показателя.
Уменьшение коэффициента оборачиваемости собственного капитала до 21,21
оборота свидетельствует о снижении уровня деловой активности, так как на
предприятии темп роста выручки ниже темпа роста собственного капитала.
На предприятии также снизилась оборачиваемость оборотных средств в целом
(на 5,46 оборотов) и запасов (на 21,11 оборотов). Срок реализации материальных
оборотных средств увеличился составляет приблизительно 18 дней.
Оборачиваемость дебиторской задолженности на конец периода составляет
6,32 оборота, а срок ее погашения увеличился до 57,72 дней. Снижение показателя
является неблагоприятной тенденцией, так как чем продолжительнее период
погашения, тем выше риск ее непогашения.
Оборачиваемость кредиторской задолженности снизился до 4,51 оборота - это
говорит о снижении коммерческого кредита, предоставляемого организации. Средний
срок погашения кредиторской задолженности, то есть время, в течение которого
счета кредиторов остаются неоплаченными, увеличился и составил 81,01 дней.
Продолжительность операционного цикла оцениваемого предприятия на конец
2013 года увеличилась до 77,97 дней это рассматривается как отрицательная
тенденция.
Отрицательное значение длительности финансового цикла в 2013 году
означает наличие временно свободных денежных средств.
Оценка рентабельности предприятия
Показатели рентабельности характеризуют эффективность работы в целом, а
также доходность различных направлений деятельности (производственной,
предпринимательской, инвестиционной). Рентабельность более полно отражает
окончательные результаты хозяйствования, поскольку показатель рассчитывается
соотношением эффекта с наличными или используемыми ресурсами.
Для анализа рентабельности рассчитаем следующие коэффициенты.
· Рентабельность собственного капитала
Показывает эффективность использования собственного капитала, т.е.
количество чистой прибыли, заработанной каждым рублем, вложенным собственником
в предприятие.
· Рентабельность продаж
Показывает сколько прибыли продаж приходится на единицу проданных
товаров.
· Рентабельность всего капитала
предприятия
Отражает эффективность использования всего имущества предприятия, или на
сколько денежных единиц вложено предприятием для получения рубля чистой прибыли
независимо от источников привлечения средств.
· Рентабельность реализованной
продукции
Показывает прибыль от понесенных затрат на производство продукции.
· Рентабельность внеоборотных активов
Отражает эффективность использования основных средств и внеоборотных
активов, измеряемую величиной прибыли, приходящейся на единицу основных
средств.
· Рентабельность оборотных активов
Отражает возможности предприятия в обеспечении достаточного объема
прибыли по отношению к используемым оборотным средствам компании.
Таблица
6 Коэффициенты рентабельности ООО «Стройсервис»
|
Показатель
|
2011
|
2012
|
2013
|
|
Рентабельность собственного капитала
|
1,042
|
0,386
|
0,180
|
|
Рентабельность продаж
|
0,018
|
0,013
|
0,026
|
|
Рентабельность всего капитала предприятия
|
0,119
|
0,058
|
0,032
|
|
Рентабельность реализованной продукции
|
0,028
|
0,022
|
0,050
|
|
Рентабельность внеоборотных активов
|
0,355
|
0,180
|
0,166
|
|
Рентабельность оборотных активов
|
0,179
|
0,069
|
0,039
|
Почти по всем показателям (кроме рентабельности реализованной продукции и
рентабельности продаж) наблюдается снижение по сравнению с предыдущим годом,
что оценивается как отрицательная тенденция.
Рентабельность собственного капитала находится на низком уровне и к 2013
году уменьшилась до 0,18, соответственно можно сделать вывод о снижении
скорости оборачиваемости собственного капитала при вложении в оборотные
средства.
Роста коэффициента рентабельности продаж по сравнению с 2011 годом до 2,6
% свидетельствует об увеличении прибыльности коммерческой деятельности,
улучшении финансового благополучия предприятия.
Рентабельность всего капитала предприятия снизилась на 8,7 % по сравнению
с 2011 годом. Данное снижение говорит о замедлении оборачиваемости активов.
Рентабельность реализованной продукции за весь период выросла на 2,2 %,
но все же она довольно низка и на конец 2013г составляет 5%, это может свидетельствовать
о необходимости пересмотра цен или усиления контроля за себестоимостью
реализованной продукции.
Рентабельность внеоборотных и оборотных активов снизилась на 18,9 % и 14
% соответственно - это говорит о замедлении скорости оборачиваемости внеоборотных
и оборотных активов и нехватке денежных средств.
Выводы
Проведя анализ финансового состояния ООО «Стройсервис», можно сделать
следующие выводы:
На предприятии наблюдается неустойчивое финансовое состояние. Данное
положение характеризует, то что основным источником покрытия запасов и затрат
на предприятии выступает кредиторская задолженность и нарушение
платежеспособности. Рост платежеспособности на предприятии вызван ростом
дебиторской задолженности, что является отрицательным фактом.
Так же о неплатежеспособности свидетельствует низкий уровень ликвидности.
Это говорит о недостаточности оборотных средств предприятия, которые могут быть
использованы им для погашения своих краткосрочных обязательств.
Снижение оборачиваемости всех элементов имущества указывает на снижение
интенсивности использования средств предприятия, а это в свою очередь приводит
к снижению рентабельности.
рынок финансовый ликвидность бизнес
Глава 3. Расчет стоимости ООО «Стройсервис»
.1 Оценка стоимости бизнеса ООО «Стройсервис» на основе затратного
подхода
Существуют два основных метода оценки, базирующиеся на определении
стоимости активов:
- методом стоимости чистых активов;
- методом ликвидационной стоимости.
При оценке стоимости ООО «Стройсервис» был применен метод чистых активов.
Расчет рыночной стоимости ООО «Стройсервис» методом чистых
некорректируемых активов представлен в таблице 7.
Таблица 7 Расчет стоимости ООО «Стройсервис» методом некорректируемых
чистых активов
|
Наименование статей
|
Балансовая стоимость на 1.01.2014, тыс. руб.
|
|
Активы, принимаемые к расчету
|
|
I. Внеоборотные активы
|
|
|
Основные средства
|
1245
|
|
Незавершенное строительство
|
22
|
|
Итого по разделу I
|
1267
|
|
II. Оборотные активы
|
|
|
Запасы
|
2060
|
|
в том числе:
|
|
|
сырье, материалы и другие аналогичные ценности
|
118
|
|
затраты в незавершенном производстве
|
8
|
|
готовая продукция и товары для перепродажи
|
1956
|
|
расходы будущих периодов
|
(22)
|
|
Налог на добавленную стоимость по приобретенным ценностям
|
(14)
|
|
Дебиторская задолженность (платежи по которой ожидаются в
течение 12 месяцев после отчетной даты)
|
6793
|
|
в том числе:
|
|
|
покупатели и заказчики
|
5351
|
|
Денежные средства
|
117
|
|
Итого по разделу II
|
8956
|
|
Итого активы
|
10223
|
|
Пассивы, принимаемые к расчету
|
|
V. Краткосрочные обязательства
|
95
|
|
Займы и кредиты
|
|
|
Кредиторская задолженность
|
8180
|
|
в том числе:
|
|
|
поставщики и подрядчики
|
7485
|
|
задолженность перед государственными внебюджетными фондами
|
19
|
|
задолженность по налогам и сборам
|
217
|
|
прочие кредиторы
|
459
|
|
Итого по разделу V
|
8275
|
|
Итого обязательства
|
8275
|
|
Чистые активы
|
1948
|
Таким образом, рыночная стоимость ООО «Стройсервис» в рамках затратного
подхода, с учетом округления равна 1 948 000 (один миллион девятьсот сорок
восемь тысяч) рублей.
.2 Оценка стоимости бизнеса ООО «Стройсервис» на основе сравнительного
подхода
В зависимости от целей, объекта и конкретных условий оценки сравнительный
подход предполагает использование трех основных методов:
. Метод компании-аналога.
. Метод сделок.
. Метод отраслевых коэффициентов.
Метод компании-аналога или метод рынка капитала основан на использовании
цен, сформированных открытым фондовым рынком. Таким образом, базой для
сравнения служит цена на единичную акцию акционерных обществ открытого типа.
Следовательно, в чистом виде данный метод используется для оценки миноритарного
пакета акций.
Метод сделок или метод продаж ориентирован на цены приобретения
предприятия в целом либо контрольного пакета акций. Это определяет наиболее
оптимальную сферу применения данного метода - оценки предприятия или
контрольного пакета акций.
Метод отраслевых коэффициентов или метод отраслевых соотношений основан
на использовании рекомендуемых соотношений между ценой и определенными
финансовыми параметрами. Отраслевые коэффициенты рассчитаны на основе
длительных статистических наблюдений специальными исследовательскими
институтами за ценой продажи предприятия и его важнейшими
производственно-финансовыми характеристиками. В результате обобщения были
разработаны достаточно простые формулы определения стоимости оцениваемого
предприятия. Этот метод пока не получил достаточного распространения в
отечественной практике в связи с отсутствием необходимой информации, требующей
длительного периода наблюдения.
Суть сравнительного подхода при определении стоимости предприятия
заключается в следующем. Выбирается предприятие, аналогичное оцениваемому,
которое было недавно продано. Затем рассчитывается соотношение между ценой
продажи и каким-либо финансовым показателем по предприятию-аналогу. Это
соотношение называется мультипликатором. Умножив величину мультипликатора на
тот же базовый финансовый показатель оцениваемой компании, получим ее
стоимость.
В рамках сравнительного подхода для оценки рыночной стоимости ООО
«Стройсервис» был использован метод сделок.
Процесс оценки предприятия методом сделок включает следующие основные этапы:
- Сбор необходимой информации.
- Сопоставление списка аналогичных предприятий.
- Финансовый анализ.
- Расчет оценочных мультипликаторов.
- Выбор величины мультипликатора.
- Определение итоговой величины стоимости.
- Внесение итоговых корректировок.
Применяемый метод предполагает наличие информации по тем компаниям,
которые в данный момент времени продаются на рынке. Поэтому нами была
произведена выборка предприятий, близких по основным показателям деятельности к
оцениваемой компании.
В итоге была получена выборка по 8 различным
предприятиям-аналогам.
Таблица 8 Предприятия-аналоги ООО «Стройсервис», тыс.руб.
|
аналоги
|
стоимость
|
выручка
|
чистая прибыль
|
|
1.Московская область г Раменское ООО «Гермес»
|
1800
|
19560
|
3480
|
|
2 Москва, СИТИ СТРОЙ
|
2500
|
31200
|
4680
|
|
3 Домодедово, МЕГА Строй
|
4200
|
18840
|
2988
|
|
4 Москва, ЗАО «ОмегастройСервис»
|
6600
|
12000
|
3000
|
|
5 Московская область 1
|
3750
|
18720
|
2880
|
|
6 Московская область 2
|
750
|
10440
|
5040
|
|
7 Тверская область
|
3300
|
18600
|
6000
|
|
8 Владимирская область
|
2660
|
12240
|
5040
|
Для предприятий аналогов рассчитаем ценовые мультипликаторы. В связи с
отсутствием необходимой информации рассчитаны следующие мультипликаторы:
цена/чистая прибыль и цена/выручку.
Таблица 9 Расчет мультипликаторов компаний-аналогов
|
аналоги
|
мультипликатор
|
|
Р/Е
|
Р/S
|
|
1 Московская область г Раменское ООО «Гермес»
|
0,517
|
0,092
|
|
2 Москва, СИТИ СТРОЙ
|
0,534
|
0,080
|
|
3 Домодедово, МЕГА Строй
|
1,406
|
0,223
|
|
4 Москва, ЗАО «ОмегастройСервис»
|
2,200
|
0,550
|
|
5 Московская область 1
|
1,302
|
0,200
|
|
6 Московская область 2
|
0,149
|
0,072
|
|
7 Тверская область
|
0,550
|
0,177
|
|
8 Владимирская область
|
0,528
|
0,217
|
|
Медианное значение мультипликатора
|
0,542
|
0,189
|
Мультипликатор для оцениваемого предприятия определяем методом медианы:
выбором среднего значения из полученных мультипликаторов предприятий-аналогов.
Затем на основе полученных мультипликаторов вычисляем стоимость оцениваемого
предприятия путем умножения полученных мультипликаторов на соответствующий
финансовый показатель.
Таблица 10 Расчет стоимости ООО «Стройсервис» сравнительным подходом
|
Финансовый показатель
|
Значение, тыс. руб.
|
Мультипликатор
|
Вклад, тыс. руб.
|
Вес в расчете
|
|
Выручка
|
40550
|
0,189
|
7663,95
|
0,5
|
|
Чистая прибыль
|
345
|
0,542
|
186,99
|
0,5
|
|
Итоговая стоимость
|
3925,47
|
Стоимость ООО «Стройсервис» в рамках сравнительного подхода, с учетом округления
равна 3 925 000 (три миллиона девятьсот двадцать пять тысяч) рублей.
.2 Оценка стоимости бизнеса ООО «Стройсервис» на основе сравнительного
подхода
В зависимости от целей, объекта и конкретных условий оценки сравнительный
подход предполагает использование трех основных методов:
. Метод компании-аналога.
. Метод сделок.
. Метод отраслевых коэффициентов.
Метод компании-аналога или метод рынка капитала основан на использовании
цен, сформированных открытым фондовым рынком. Таким образом, базой для сравнения
служит цена на единичную акцию акционерных обществ открытого типа.
Следовательно, в чистом виде данный метод используется для оценки миноритарного
пакета акций.
Метод сделок или метод продаж ориентирован на цены приобретения
предприятия в целом либо контрольного пакета акций. Это определяет наиболее
оптимальную сферу применения данного метода - оценки предприятия или
контрольного пакета акций.
Метод отраслевых коэффициентов или метод отраслевых соотношений основан
на использовании рекомендуемых соотношений между ценой и определенными
финансовыми параметрами. Отраслевые коэффициенты рассчитаны на основе
длительных статистических наблюдений специальными исследовательскими
институтами за ценой продажи предприятия и его важнейшими производственно-финансовыми
характеристиками. В результате обобщения были разработаны достаточно простые
формулы определения стоимости оцениваемого предприятия. Этот метод пока не
получил достаточного распространения в отечественной практике в связи с
отсутствием необходимой информации, требующей длительного периода наблюдения.
Суть сравнительного подхода при определении стоимости предприятия
заключается в следующем. Выбирается предприятие, аналогичное оцениваемому,
которое было недавно продано. Затем рассчитывается соотношение между ценой
продажи и каким-либо финансовым показателем по предприятию-аналогу. Это
соотношение называется мультипликатором. Умножив величину мультипликатора на
тот же базовый финансовый показатель оцениваемой компании, получим ее
стоимость.
В рамках сравнительного подхода для оценки рыночной стоимости ООО
«Стройсервис» был использован метод сделок.
Процесс оценки предприятия методом сделок включает следующие основные
этапы:
- Сбор необходимой информации.
- Сопоставление списка аналогичных предприятий.
- Финансовый анализ.
- Расчет оценочных мультипликаторов.
- Выбор величины мультипликатора.
- Определение итоговой величины стоимости.
- Внесение итоговых корректировок.
Применяемый метод предполагает наличие информации по тем компаниям,
которые в данный момент времени продаются на рынке. Поэтому нами была
произведена выборка предприятий, близких по основным показателям деятельности к
оцениваемой компании.
В итоге была получена выборка по 8 различным
предприятиям-аналогам.
Таблица 8 Предприятия-аналоги ООО «Стройсервис», тыс.руб.
|
аналоги
|
стоимость
|
выручка
|
чистая прибыль
|
|
1.Московская область г Раменское ООО «Гермес»
|
1800
|
19560
|
3480
|
|
2 Москва, СИТИ СТРОЙ
|
2500
|
31200
|
4680
|
|
3 Домодедово, МЕГА Строй
|
4200
|
18840
|
2988
|
|
4 Москва, ЗАО «ОмегастройСервис»
|
6600
|
12000
|
3000
|
|
5 Московская область 1
|
3750
|
18720
|
2880
|
|
6 Московская область 2
|
750
|
10440
|
5040
|
|
7 Тверская область
|
3300
|
18600
|
6000
|
|
8 Владимирская область
|
2660
|
12240
|
5040
|
Для предприятий аналогов рассчитаем ценовые мультипликаторы. В связи с
отсутствием необходимой информации рассчитаны следующие мультипликаторы:
цена/чистая прибыль и цена/выручку.
Таблица 9 Расчет мультипликаторов компаний-аналогов
|
аналоги
|
мультипликатор
|
|
Р/Е
|
Р/S
|
|
1 Московская область г Раменское ООО «Гермес»
|
0,517
|
0,092
|
|
2 Москва, СИТИ СТРОЙ
|
0,534
|
0,080
|
|
3 Домодедово, МЕГА Строй
|
1,406
|
0,223
|
|
4 Москва, ЗАО «ОмегастройСервис»
|
2,200
|
0,550
|
|
5 Московская область 1
|
1,302
|
0,200
|
|
6 Московская область 2
|
0,149
|
0,072
|
|
7 Тверская область
|
0,550
|
0,177
|
|
8 Владимирская область
|
0,528
|
0,217
|
|
Медианное значение мультипликатора
|
0,542
|
0,189
|
Таблица 10 Расчет стоимости ООО «Стройсервис» сравнительным подходом
|
Финансовый показатель
|
Значение, тыс. руб.
|
Мультипликатор
|
Вклад, тыс. руб.
|
Вес в расчете
|
|
Выручка
|
40550
|
0,189
|
7663,95
|
0,5
|
|
Чистая прибыль
|
345
|
0,542
|
186,99
|
0,5
|
|
Итоговая стоимость
|
3925,47
|
Стоимость ООО «Стройсервис» в рамках сравнительного подхода, с учетом
округления равна 3 925 000 (три миллиона девятьсот двадцать пять тысяч) рублей.
.3 Оценка стоимости бизнеса ООО «Стройсервис» на основе доходного подхода
Существует два метода пересчёта чистого дохода в текущую стоимость: метод
капитализации прибыли и метод дисконтированных будущих денежных потоков.
Метод капитализации дохода используется в случае, если ожидается, что
будущие чистые доходы приблизительно будут равны текущим или темпы их роста
будут умеренными и предсказуемыми. Причем доходы являются достаточно
значительными положительными величинами, т.е. бизнес будет стабильно развиваться.
Метод дисконтированных будущих денежных потоков используется, когда
ожидается, что будущие уровни денежных потоков существенно отличаются от
текущих, можно обоснованно определить будущие денежные потоки, прогнозируемые
будущие денежные потоки являются положительными величинами для большинства
прогнозных лет, ожидается, что денежный поток в последний год прогнозного
периода будет значительной положительной величиной.
Стоимость бизнеса ООО «Стройсервис» в рамках доходного подхода будет
определена методом дисконтирования денежных потоков.
Основные этапы оценки методом дисконтирования денежных потоков:
Выбор модели денежного потока;
Определение длительности прогнозного периода;
Анализ и прогнозирование валовых доходов, расходов и инвестиций
компании;
Расчёт величины денежного потока для каждого года прогнозного
периода;
Определение ставки дисконтирования;
Расчёт величины стоимости в постпрогнозный период;
Внесение итоговых поправок.
Выбор модели денежного потока
При оценке бизнеса можно применять одну из двух моделей денежного потока:
денежный поток для собственного капитала или бездолговой денежный поток.
Бездолговой денежный поток не учитывает суммы выплат процентов по кредиту
и увеличение или уменьшение задолженности. Данный вид потока рассматривается с
целью определения эффективности вложения капитала в целом. Полученные суммарные
величины сопоставляются с полными инвестициями в бизнес, независимо от
происхождения последних (т.е. оценивается стоимость собственного и заемного
капитала).
Денежный поток для собственного капитала принимает во внимание изменение
(как рост, так и уменьшение) долгосрочной задолженности. С помощью данного вида
денежного потока оценивается стоимость только собственного капитала.
Денежный поток для собственного капитала = Чистая прибыль после уплаты
налогов + Амортизация + Уменьшение чистого оборотного капитала ( - увеличение
чистого оборотного капитала) + Увеличение долгосрочной задолженности ( -
Уменьшение долгосрочной задолженности) - увеличение капитальных вложений ( + уменьшение
капитальных вложений) + Изъятия вложений + уменьшение процентных выплат по
кредиту ( - увеличение процентных выплат по кредиту).
Бездолговой денежный поток = Чистый доход (+ выплаты %, скорректированные
на ставку налогообложения) + Амортизация + Уменьшение чистого оборотного
капитала ( - увеличение чистого оборотного капитала) - увеличение капитальных
вложений ( + уменьшение капитальных вложений)
Поскольку у ООО «Стройсервис» отсутствует долгосрочная задолженность и
нам не известны планы собственников предприятия по ее формированию в будущем в
качестве прогнозного нами будет использоваться бездолговой денежный поток.
Определение длительности прогнозного периода
В качестве прогнозного берется период, продолжающийся до тех пор, пока
темпы роста компании не стабилизируются (предполагается, что в постпрогнозный
период должны иметь место стабильные долгосрочные темпы роста или бесконечный
поток доходов).
Прогнозный период для ООО «Стройсервис» выберем продолжительностью в 3
года, так как мы предполагаем, что в этот период времени не произойдет
существенных макроэкономических изменений.
Анализ и прогнозирование валовых доходов, расходов и инвестиций компании
Прогноз денежного потока будет основан на следующих допущениях:
по данным прогноза минэконом развития рост цен в строительстве в 2014
году составит 7,5 %; 2015 году - 8,1 %; в 2016 году - 8 %;
затратоемкость (отношение себестоимости реализованной продукции к
выручке) продукции была определена как средневзвешенная по данным
ретроспективного анализа за 2011-2013 гг. и составляет 0,594; Расстановка
баллов основана на предположении о том, что год находящийся ближе к прогнозному
периоду имеет большую достоверность по сравнению с отдаленными годами.
Таблица 11
|
Показатель
|
2011
|
2012
|
2013
|
|
Выручка, тыс.руб.
|
61151
|
88235
|
40550
|
|
Себестоимость, тыс.руб.
|
40688
|
52455
|
21213
|
|
Затратоемкость
|
0,665
|
0,594
|
0,523
|
|
Баллы
|
1
|
2
|
3
|
|
Удельный вес
|
0,17
|
0,33
|
0,5
|
|
Средняя затратоемкость
|
0,571
|
доля коммерческих расходов к выручке прогнозируется как среднее за период
и составляет 0,387;
Таблица 12
|
Показатель
|
2011
|
2012
|
2013
|
|
Выручка, тыс.руб.
|
61151
|
88235
|
40550
|
|
Коммерческие расходы, тыс.руб.
|
19335
|
34644
|
18279
|
|
Отношение коммерческих расходов к выручке
|
0,316
|
0,393
|
0,451
|
|
Баллы
|
1
|
2
|
3
|
|
Удельный вес
|
0,17
|
0,33
|
0,5
|
|
Средняя величина отношения коммерческих расходов к выручке
|
0,409
|
- капитальные вложения для 2014 года найдем как сумму капитальных
вложений и основных средств за предыдущий год умноженную на норму
амортизационных отчислений. Для последующих годов капитальные вложения составят
произведение стоимости основных фондов предыдущего года и нормы амортизации.
Стоимость основных фондов рассчитаем как сумму стоимости основных фондов
предыдущего года, половина капитальных вложений, осуществленных в текущем году
и половина капитальных вложений, осуществленных текущем году.
Таблица 13
|
Показатель
|
22011
|
22012
|
22013
|
2014
|
2015
|
2016
|
|
Стоимость основных фондов, тыс. руб.
|
3404
|
2880
|
1267
|
1342,45
|
1480,47
|
1631,74
|
|
Капитальные вложения, тыс.руб.
|
-
|
-
|
22
|
128,9
|
147,13
|
155,4
|
долю чистого оборотного капитала в выручке примем на уровне 2013 г. -
0,017, так как в 2006 - 2011 гг. чистый оборотный капитал имел отрицательное
значение.
Таблица 14
|
Показатель
|
2011
|
2012
|
2013
|
|
Выручка, тыс.руб.
|
61151
|
88235
|
40550
|
|
Оборотный капитал, тыс.руб.
|
4466
|
8720
|
8956
|
|
Краткосрочные обязательства, тыс.руб.
|
6810
|
9725
|
8275
|
|
ЧОК
|
-2344
|
-1005
|
681
|
|
Доля ЧОК в выручке
|
0
|
0
|
0,0035
|
|
Средняя ЧОК в выручке
|
0,0035
|
так как большую часть основных средств составляет оборудование, средняя
норма амортизационных отчислений по которому 10 % годовых, темпы изменения
амортизации возьмем как среднее арифметическое - 10%.
Таблица 15
|
Показатель
|
2011
|
2012
|
2013
|
|
Выручка, тыс.руб.
|
61151
|
88235
|
40550
|
|
Стоимость основных фондов, тыс.руб.
|
3403
|
2880
|
1245
|
|
Амортизация, тыс.руб.
|
340,3
|
288,0
|
124,5
|
|
Доля амортизации в выручке
|
0,006
|
0,003
|
0,003
|
|
Баллы
|
1
|
2
|
3
|
|
Удельный вес
|
0,17
|
0,33
|
0,5
|
|
Средняя доля амортизации в выручке
|
0,004
|
ставка налога на прибыль прогнозируется в размере 20 %
Таблица 16 Прогнозирование допущений
|
Прогнозные допущения
|
Ретроспективный период
|
Прогнозный период
|
|
2011
|
2012
|
2013
|
2014
|
2015
|
2016
|
|
Темп роста выручки
|
1,190
|
1,188
|
1,034
|
1,075
|
1,081
|
1,08
|
|
Доля затратоемкости в выручке
|
0,665
|
0,594
|
0,523
|
0,571
|
0,571
|
0,571
|
|
Доля коммерческих расходов в выручке
|
0,316
|
0,393
|
0,451
|
0,409
|
0,409
|
0,409
|
|
Доля чистого оборотного капитала в выручке
|
0
|
0
|
0,004
|
0,004
|
0,004
|
0,004
|
|
Доля амортизации в выручке
|
0,006
|
0,003
|
0,003
|
0,004
|
0,004
|
0,004
|
Таблица 17 Прогноз денежного потока
|
Показатель
|
2013
|
2014
|
2015
|
2016
|
|
Выручка
|
40550
|
43591,25
|
43834,55
|
43794,00
|
|
Себестоимость
|
|
24890,6
|
25029,53
|
25006,37
|
|
Валовая прибыль
|
|
18700,65
|
18805,02
|
18787,63
|
|
Коммерческие расходы
|
|
17828,82
|
17928,33
|
17911,75
|
|
Прибыль от продаж
|
|
871,83
|
876,69
|
875,88
|
|
Налог на прибыль, %
|
|
0,2
|
0,2
|
0,2
|
|
Величина налога на прибыль
|
|
174,365
|
175,3382
|
175,176
|
|
Чистая прибыль
|
|
697,46
|
701,35
|
700,70
|
|
Капитальные вложения
|
22
|
128,9
|
147,13
|
155,4
|
|
Изменение КВ
|
|
106,9
|
18,23
|
8,27
|
|
Амортизация
|
|
152,57
|
153,42
|
153,28
|
|
Чистый оборотный капитал
|
681
|
174,37
|
175,34
|
175,18
|
|
Изменение ЧОК
|
|
-506,64
|
0,97
|
-0,16
|
|
Денежный поток
|
|
1249,76
|
835,57
|
845,88
|
Определение ставки дисконтирования для прогнозного периода
Расчет ставки дисконтирования проведем методом кумулятивного построения.
При построении ставки дисконта по данному методу за основу берется безрисковая
норма доходности, а затем к ней добавляется норма доходности за риск
инвестирования в данную компанию.
В качестве безрисковой ставки принимаем ставку доходность к погашению по
государственным облигациям сроком обращения равным длительности прогнозного
периода (ОФЗ-25069-ПД со сроком обращения 3 года). Безрисковая ставка равна
6,18%
Для определения дополнительной премии за риск инвестирования в
определенную компанию учитываются следующие наиболее важные факторы:
- размер компании;
- финансовая структура;
- диверсификация клиентуры;
- товарная и территориальная диверсификация;
- ключевая фигура в руководстве, качество руководства;
- доходы: рентабельность и предсказуемость;
- прочие особые риски.
Премия за каждый вид риска принимает значение в диапазоне от 0 до 5/6
безрисковой ставки. В нашем случае надбавка по каждому из видов дополнительных
рисков может составлять от 0 до 5,15%.
,
Где
ЧАо - чистые активы по балансу оцениваемого предприятия, руб.;
ЧАmax - чистые
активы по балансу наибольшего предприятия в отрасли, руб.
Крупнейшим
предприятием в отрасли в является ООО «Стройсервис», размер чистых активов по
балансу которой на дату оценки составляет 1621 тысяч рублей.
Рассчитаем
премию за размер компании:
)
Премия за финансовую структуру
,
Коэффициент
покрытия (текущей ликвидности) составляет 0,977<2.
Рассчитаем
премия за риск финансовой структуры:
r2 = 5,15 -
2,575
0,977 = 2,63 %,
)
Премия за диверсификацию клиентуры
Для анализа степени диверсификации клиентуры используем метод
концентрации, показывающий какая доля дебиторской задолженности приходится на
определенное число крупнейших потребителей (дебиторов). При анализе степени
диверсификации рассматриваем уровень концентрации 1 (CR-1) 3 (CR-3), 8 (CR-8) и
24 (CR-24) крупнейших потребителей услуг оцениваемой компании.
Таблица 18 Расчет величины риска по фактору диверсификация клиентуры, %
|
Наименование показателя
|
доля дебиторов
|
риск, %
|
вес
|
Взвешенная величина риска, %
|
|
Зависимость от 1 клиента
|
0,4
|
2,06%
|
24
|
49,44%
|
|
Зависимость от 3 клиентов
|
0,7
|
3,61%
|
8
|
28,88%
|
|
Зависимость от 8 клиентов
|
0,95
|
4,89%
|
3
|
14,67%
|
|
Зависимость от 24 клиентов
|
1
|
5,15%
|
1
|
5,15%
|
|
Общее количество рассматриваемых крупнейших дебиторов
|
36
|
|
Итого, риск по фактору диверсификация клиентуры
|
r3 = 2,73%
|
) Премия за производственную и территориальную диверсификацию.
Риски товарной и территориальной диверсификации определяются тем,
насколько широка у предприятия номенклатура товаров и услуг и насколько обширны
рынка сбыта с географической точки зрения. области.
,
N - произведение
количества видов продукции и количества территорий.
Предприятие
выпускает более 13 видов продукции и реализует их на всей территории
Челябинской области. Следовательно, премию за риск, связанную с
производственной и территориальной диверсификацией принимаем равной 0%.
)
Премия за доходы компании
Риск
рентабельности и прогнозируемости дохода связан с тем, насколько прогнозируема
выручка предприятия и стабильна рентабельность продукции.
уровень
рентабельности
Где
Rоц -
рентабельность оцениваемой компании;
Rотр - рентабельность отраслевая.
Рентабельность
продаж оцениваемой компании составляет 2,61 %
Из-за
отсутствия информации примем за отраслевую рентабельность среднее значение по
компаниям аналогам 3%.
риск,
связанный со стабильностью рентабельности
,
Где
kвар0 - коэффициент вариации оцениваемой компании;
kваркр-
коэффициент вариации крупнейшего в отрасли.

,
Где
- средняя рентабельность за период (3 года);
Rt -
рентабельность на конкретный период;
n - число
периодов.
Средняя рентабельность за период крупнейшей компании в отрасли составляет
3,13%.
Рассчитаем коэффициент вариации оцениваемой компании и крупнейшей
компании в отрасли:
Так
как
,
=0
надбавка
за прогнозируемость деятельности
Поскольку
оценщик не располагает сведениями о плановых значениях показателях деятельности
оцениваемого предприятия, поэтому данную надбавку учитывать не будем.
Таким
образом, рассчитаем общую премию за доходы компании:
,
)
Премия за качество управления
Таблица
19 Расчет надбавки за фактор ключевой фигуры в руководстве
|
Факторы риса
|
Ответы
|
Значение, %
|
|
Ключевая фигура в руководстве, качество руководства
|
|
Профильное образование топ-менеджеров
|
Нет
|
5,15
|
|
Опыт работы топ-менеджеров в данной области более 3 лет
|
Да
|
0
|
|
Профильное образование руководителя (генерального
директора)
|
Нет
|
5,15
|
|
Опыт работы руководителя в данной области более 5 лет
|
Да
|
0
|
|
Время работы руководителя на должности более 2-х лет
|
Да
|
0
|
|
Имеется достаточный внутренний резерв кадров
|
Нет данных
|
2,575
|
|
Сумма значений
|
12,875
|
|
Количество составляющих факторов
|
6
|
|
Итоговое значение надбавки за риск, 62,15
|
|
Таким образом, надбавка за риск, связанный с ключевой фигурой в
руководстве назначается в размере 2,15%.
Премия за дополнительные риски составит:
,
Итоговый
расчет ставки дисконтирования для прогнозного периода:
d = 6,18 + 10,47
= 16,65 %,
Таким
образом для прогнозного периода ставка дисконтирования составит 16,65%.
Продисконтируем полученные значения денежных потоков по годам.
Таблица 20
|
Показатели
|
2014
|
2015
|
2016
|
|
Денежный поток
|
1249,76
|
835,57
|
845,88
|
|
Коэффициент дисконтирования
|
0,86
|
0,73
|
0,63
|
|
Дисконтированный денежный поток
|
1071,38
|
614,06
|
532,91
|
|
Суммарный поток
|
2218,35
|
Определение ставки дисконтирования для постпрогнозного периода
Для расчета ставки дисконтирования в постпрогнозный период воспользуемся
моделью кумулятивного построения. Принимаем, что для постпрогнозного периода
будут иметь место те же риски, что и в прогнозном периоде.
В качестве безрисковой ставки принимаем ставку доходность к погашению по
государственным облигациям с более длительным сроком обращения (ОФЗ-26198-ПД со
сроком обращения 10 лет). Безрисковая ставка равна 6,16%.
Предполагаем, что в прогнозный период, когда произойдет стабилизация
экономики, помимо уменьшения безрисковой ставки, произойдет и снижение
дополнительных рисков. Примем снижение дополнительных рисков пропорционально
снижению безрисковой ставки. Следовательно, премия за дополнительные риски
составит - 10,44 %.
Таким образом, ставка дисконтирования для постпрогнозного периода
составит:
d =
6,16 + 10,44 = 16,60 %,
Расчет величины стоимости компании в постпрогнозный период
Определение стоимости в постпрогнозный период основано
на предпосылке о том, что бизнес способен приносить доход и по окончании
прогнозного периода. Предполагается, что после окончания прогнозного периода
доходы бизнеса стабилизируются и в остаточный период будут иметь место
стабильные долгосрочные темпы роста или бесконечные равномерные доходы.
Как правило, для определения стоимости предприятия за
пределами прогнозного периода применяется модель Гордона. Она капитализирует
годовой доход послепрогнозного периода в показатели стоимости при помощи
коэффициента капитализации, рассчитанного как разница между ставкой дисконта и
долгосрочными темпами роста денежного потока. При отсутствии темпов роста
коэффициент капитализации будет равен ставке дисконта. Модель Гордона основана
на прогнозе получения стабильных доходов в постпрогнозный период и
предполагает, что величины износа основных средств и капиталовложений равны.
Расчет стоимости V в постпрогнозный период в соответствии с моделью Гордона
производится по формуле:
,
Где
CF(t+1) - денежный поток доходов за первый год
постпрогнозного (остаточного) периода;
r - ставка
дисконта;
g - долгосрочные
темпы роста денежного потока.
Стоимость
в постпрогнозный период V по формуле Гордона определяется на момент окончания
прогнозного периода.
Полученную
таким образом стоимость бизнеса в постпрогнозный период приводят к текущим
стоимостным показателям по той же ставке дисконта, что применяется для
дисконтирования денежных потоков прогнозного периода.
Согласно Минэкономразвития долгосрочные темпы роста цен строительства в
постпрогнозный период будут составлять 7,5%.
Рассчитаем стоимость в постпрогнозный период:
Полученную
таким образом стоимость бизнеса в постпрогнозный период приводим к текущим
стоимостным показателям и складываем с суммарным прогнозным дисконтированным
денежным потоком:
Таким
образом, стоимость ООО «Стройсервис», рассчитанная доходным подходом, с учетом
округления составляет 8 522 000 (восемь миллионов пятьсот двадцать две тысячи)
рублей.
.4 Итоговая оценка стоимости бизнеса ООО «Стройсервис»
Для того чтобы определить итоговую величину рыночной
стоимости оцениваемого объекта, необходимо произвести согласование результатов,
полученных при затратном, сравнительном и доходном подходах.
Рыночная стоимость объекта оценки определяется по
формуле (13):
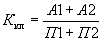
, (13)
где РС - рыночная стоимость объекта оценки, руб.,
С1, С2, С3
- стоимость объекта оценки полученная затратным, сравнительным и доходным
подходами соответственно, руб.,
q1, q2, q3 - средневзвешенное значение достоверности затратного,
сравнительного и доходного подходов соответственно.
Из приведенных ранее расчетов выпишем полученные с помощью трех подходов
стоимости объекта оценки:
Стоимость определенная затратным подходом =1 948 000 руб.
Стоимость определенная сравнительным подходом = 3 925 000 руб.
Стоимость определенная доходным подходом = 8 522 000 руб.
Для согласования результатов оценки и установления
окончательного заключения о рыночной стоимости необходимо придать весовые
коэффициенты результатам, полученным при оценке каждым из подходов. Весовые
коэффициенты показывают, какая доля стоимости, полученной в результате
использования каждого из применяемых подходов к оценке, присутствует в итоговой
величине стоимости оцениваемого объекта.
Для определения весовых коэффициентов будет использован метод анализа
иерархий. Метод анализа иерархий (МАИ) - был разработан американским
математиком Т.Л. Саати. Сущность данного метода заключается в оценке влияния
нижних уровней иерархии на вершинный фактор, которым в нашем случае будет являться
стоимость бизнеса.
Первым этапом использования МАИ является структура моделей
согласованности иерархий, использующая 3 уровня иерархий. Верхний уровень -
оценка стоимости бизнеса, промежуточный уровень - это критерии согласования,
нижний уровень - результаты, полученные на основе использования затратного,
сравнительного и доходного подхода.
К критериям согласования можно отнести следующие:
1) критерий А - «Возможность отразить действительные намерения
потенциального инвестора или продавца».
2) критерий Б - «Тип, качество и обширность данных, на основе
которых проводится анализ».
) критерий В - «Способность параметров используемых методов
учитывать конъюнктурные колебания».
) критерий Г - «Способность учитывать специфические особенности
объекта, влияющие на его стоимость (размер компании, местонахождение,
потенциальный доход, отраслевая принадлежность)».
После определения критериев выявляется их приоритетность путем попарного
сравнения с использованием оценочной шкалы, приведённой в таблице 21. Такая
процедура допускает использование всего 1 эксперта.
Таблица 21 Оценочная шкала
|
Оценка значимости
|
Качественная оценка
|
Объяснения
|
|
0
|
Несравнимость
|
Нет смысла сравнивать параметры
|
|
1
|
Одинаковая значимость
|
Параметры равны по значимости
|
|
3
|
Слабо значимее
|
Существуют показатели о предпочтении одного параметра
другому, но показания неубедительные
|
|
5
|
Существенно или сильно значимее
|
Существует логические критерии, которые могут показать, что
один параметр существенно важнее другого
|
|
7
|
Очевидно значимее
|
Существуют убедительные доказательства большей значимости
одного параметра по сравнению с другим
|
|
9
|
Абсолютно значимее
|
Максимально подтверждается предпочтение одного показателя
другому
|
|
2, 4, 6, 8
|
Промежуточные оценки между соседними оценками
|
Необходим компромисс
|
Таким образом, основным инструментом в методе будет матрица чисел,
представляющих суждение эксперта о парных сравнениях силы влияния одного уровня
на элементы следующего уровня.
Проведем согласования результатов оценки стоимости бизнеса ООО
«Стройсервис» с использованием данного метода.
Таблица 22 Шкала приоритетов
|
Критерии
|
А
|
Б
|
В
|
Г
|
Вес критерия
|
|
А
|
1
|
3
|
3
|
0,25
|
2,250
|
1,225
|
0,297
|
|
Б
|
0,333
|
1
|
3
|
3
|
2,997
|
1,316
|
0,319
|
|
В
|
0,333
|
0,333
|
1
|
2
|
0,222
|
0,686
|
0,166
|
|
Г
|
4
|
0,333
|
0,5
|
1
|
0,666
|
0,903
|
0,218
|
|
Сумма
|
|
|
|
|
|
4,130
|
1
|
Данная матрица заполняется следующим образом:
Пусть критерий А не значительно важнее критериев Б и В, тогда в матрицу
на пересечении строки А и столбцов Б и В ставим 3, критерий А по сравнению с
критерием Г заслуживает промежуточной оценки, отсюда следует, что на пересечении
строки А и столбца Г ставим 4.
Аналогичным образом заполняем клетки матрицы до главной диагонали. При
сравнении критерия с самим собой он имеет равную значимость, поэтому на
пересечении строки А и столбца А ставим 1.
Главная диагональ матрицы состоит из 1.
Вторая часть матрицы должна состоять из обратных величин, поскольку
производятся обратные сравнения.
Следующий шаг состоит в определении вектора приоритетов по данной
матрице. Оценка данного вектора определяется следующим образом:
1) умножим 4 элемента каждой строки друг на друга;
2) извлекаем корень 4 степени, т.е. находим среднегеометрическую
величину;
) нормализуем полученные значения таким образом, чтобы их сумма
равнялась единице. Для этого полученную среднюю геометрическую оценку делим на
сумму всех средне геометрических.
В результате получаем вектор приоритетов.
После чего производим попарное сравнение методов по 4 критериям
согласования.
Таблица 23 Критерий А - «Возможность отразить действительные намерения
потенциального инвестора или продавца»
|
Критерии
|
Метод ЧА
|
Метод С
|
Метод ДДП
|
Вес критерия
|
|
Метод ЧА
|
1
|
0,2
|
0,143
|
0,029
|
0,306
|
0,072
|
|
Метод С
|
5
|
1
|
0,333
|
1,665
|
1,185
|
0,279
|
|
Метод ДДП
|
7
|
3
|
1
|
21
|
2,759
|
0,649
|
|
Сумма
|
|
|
|
|
4,25
|
1
|
Таблица 24 Критерий Б - «Тип, качество и обширность данных, на основе которых
проводится анализ»
|
Критерии
|
Метод ЧА
|
Метод С
|
Метод ДДП
|
Вес критерия
|
|
Метод ЧА
|
1
|
0,2
|
1,167
|
0,233
|
0,616
|
0,139
|
|
Метод С
|
5
|
1
|
0,333
|
1,665
|
1,185
|
0,268
|
|
Метод ДДП
|
6
|
3
|
1
|
18
|
2,621
|
0,593
|
|
Сумма
|
|
|
|
|
4,422
|
1
|
Таблица 25 Критерий В- «Способность параметров используемых методов
учитывать конъюнктурные колебания»
|
Критерии
|
Метод ЧА
|
Метод С
|
Метод ДДП
|
Вес критерия
|
|
Метод ЧА
|
1
|
0,167
|
0,143
|
0,024
|
0,288
|
0,067
|
|
Метод С
|
6
|
1
|
0,333
|
1,998
|
1,260
|
0,293
|
|
Метод ДДП
|
7
|
3
|
1
|
21
|
2,759
|
0,641
|
|
Сумма
|
|
|
|
|
4,307
|
1
|
Таблица 26 Критерий Г - «Способность учитывать специфические особенности
объекта, влияющие на его стоимость»
|
Критерии
|
Метод ЧА
|
Метод ДДП
|
Вес критерия
|
|
Метод ЧА
|
1
|
0,25
|
0,2
|
0,050
|
0,368
|
0,094
|
|
Метод С
|
4
|
1
|
0,333
|
1,332
|
1,100
|
0,280
|
|
Метод ДДП
|
5
|
3
|
1
|
15
|
2,466
|
0,627
|
|
Сумма
|
|
|
|
|
3,934
|
1
|
Расчет итоговых весов методов оценки получим путём умножения матрицы,
составленной из весов методов по четырём критериям, на вектор приоритетов.
Результаты определения итоговых весов методов, использованных в оценке
бизнеса ООО «Стройсервис», представлены в табл. 27.
Таблица 27 Итоговый вес критериев
|
Критерии
|
А
|
Б
|
В
|
Г
|
Итоговый вес метода
|
|
Вес критериев
|
0,297
|
0,319
|
0,166
|
0,218
|
-
|
|
Метод ЧА
|
0,072
|
0,139
|
0,067
|
0,094
|
0,097
|
|
Метод сделок
|
0,279
|
0,268
|
0,293
|
0,280
|
0,278
|
|
Метод ДДП
|
0,649
|
0,593
|
0,641
|
0,627
|
0,625
|
|
Сумма
|
|
|
|
|
1
|
Итоговая стоимость бизнеса оцениваемой компании будет определяться путём
умножения значения стоимости, полученного по каждому из использованных методов,
на вес метода. Расчет итоговой стоимости ООО «Стройсервис» представлен в
таблице 23.
Таблица 28 Итоговая стоимость ООО «Стройсервис»
|
Подходы к оценке
|
Стоимость компании, тыс. руб.
|
Весовые коэффициенты
|
Вклад подхода в итоговую величину, тыс. руб.
|
|
Затратный подход
|
1948
|
0,097
|
188,96
|
|
Сравнительный подход
|
3925
|
0,278
|
1091,15
|
|
Доходный подход
|
8522
|
0,625
|
5326,25
|
|
Итоговая рыночная стоимость, тыс. руб.
|
6606,36
|
Таким образом, рыночная стоимость ООО «Стройсервис» составляет 6 606 000
(шесть миллионов шестьсот шесть тысяч) рублей.
Заключение
Проведя анализ финансового состояния ООО «Сервисстрой», можно сделать
следующие выводы:
На предприятии наблюдается неустойчивое финансовое состояние. Данное
положение характеризует, то что основным источником покрытия запасов и затрат
на предприятии выступает кредиторская задолженность и нарушение платежеспособности.
Рост платежеспособности на предприятии вызван ростом дебиторской задолженности,
что является отрицательным фактом.
Так же о неплатежеспособности свидетельствует низкий уровень ликвидности.
Это говорит о недостаточности оборотных средств предприятия, которые могут быть
использованы им для погашения своих краткосрочных обязательств.
Снижение оборачиваемости всех элементов имущества указывает на снижение
интенсивности использования средств предприятия, а это в свою очередь приводит
к снижению рентабельности.
Оценка проводилась в соответствии с требованиями, установленными
Федеральным законом от 29.07.1998 N 135-ФЗ (ред. от 21.07.2014) "Об
оценочной деятельности в Российской Федерации" и ФСО №1, №2, №3.
Приведенные в работе величины стоимостей действительны лишь на дату
оценки.
Данные, использованные для расчетов, были получены из надежных источников
и считаются достоверными.
Приведенные расчеты и анализ рынка позволяют сделать вывод, что рыночная
стоимость ООО «Стройсервис» на 1.01.14 составляет 7 698 000 (семь миллионов
шестьсот девяносто восемь тысяч) рублей.
Список использованной литературы
1. Федеральный закон от 29.07.1998 N 135-ФЗ (ред. от
21.07.2014) «Об оценочной деятельности в Российской Федерации»
. Приказ Минэкономразвития РФ от 20 июля 2007 г. N 256
"Об утверждении федерального стандарта оценки "Общие понятия оценки,
подходы к оценке и требования к проведению оценки (ФСО N 1)" (с
изменениями и дополнениями)
. Приказ Минэкономразвития РФ от 20 июля 2007 г. N 255
"Об утверждении федерального стандарта оценки "Цель оценки и виды
стоимости (ФСО N 2)" (с изменениями и дополнениями)
. Приказ Минэкономразвития РФ от 20 июля 2007 г. N 254
"Об утверждении федерального стандарта оценки "Требования к отчету об
оценке (ФСО N 3)"
. Приказ Минфина РФ N 10н, ФКЦБ РФ N 03-6/пз от 29.01.2003
"Об утверждении Порядка оценки стоимости чистых активов акционерных
обществ"(Зарегистрировано в Минюсте РФ 12.03.2003 N 4252)
. Грязнова А.Г. Оценка бизнеса: учебное пособие для вузов по
экономическим специальностям / А.Г. Грязнова, М.А. Федотова и др. - М.: Финансы
и статистика, 2011 - 736с.
. Губин В.Е. Анализ и диагностика финансово-хозяйственной
деятельности. = М.:ИД «ФОРУМ»: ИНФА-М, 2010. - 336с.
. Сычева Г.И. Оценка стоимости предприятия (бизнеса) / Г.И.
Сычева, Е.Б. Колбачев, В.А. Сычев. - серия «Высшее образование». -
Ростов-на-Дону: Феникс, 2010. - 384с.
. Царев В.В. Оценка стоимости бизнеса: теория и методология:
учебное пособие для вузов / В.В. Царев, А.А. Кантарович. - М.: ЮНИТИ, 2009. -
575с.
. Щербаков В.В. Оценка стоимости бизнеса / В.А. Щербаков. -
М.: Омега-Л, 2011. - 285с.