Оценка рыночной стоимости бизнеса на материалах ООО 'Промышленная безопасность'
МИНИСТЕРСТВО
ОБРАЗОВАНИЯ И НАУКИ РОССИЙСКОЙ ФЕДЕРАЦИИ
Федеральное
государственное бюджетное учреждение высшего профессионального образования
«АЛТАЙСКИЙ
ГОСУДАРСТВЕННЫЙ УНИВЕРСИТЕТ»
Международный
институт экономики, менеджмента и информационных систем
Аттестационная
работа
Оценка
рыночной стоимости бизнеса на материалах ООО «Промышленная безопасность»
Выполнил слушатель
Пронин И.В.
Научный руководитель:
к.э.н., доцент
Акимочкина Татьяна
Алексеевна
Барнаул
2014
Содержание
Введение
. Теоретическая глава
.1 Оценка стоимости бизнеса затратным подходом
.2 Оценка стоимости бизнеса доходным подходом
.3 Оценка стоимости бизнеса сравнительным подходом
. Практическая глава
.1 Описание предприятия
.2 Анализ финансового состояния предприятия
.2.1 Данные финансовой отчетности
.2.2 Анализ имущественного положения
.2.3 Анализ финансовой устойчивости
.2.4 Анализ деловой активности и эффективности использования
капитала
. Расчет рыночной стоимости бизнеса ООО «Промышленная
безопасность»
.1 Расчет стоимости бизнеса до принятия управленческого решения
собственником ООО «Промышленная безопасность»
.2 Оценка направлений развития предприятия ООО “Промышленная
безопасность”
.3 Согласование результатов оценки
Заключение
Список литературы
Введение
Оценочная деятельность в 2014 году
является самостоятельной, достаточно стабильной отраслью экономики.
Сформированы все основные институты управления субъектами оценочной
деятельности. На рынке действует большое количество компаний, оказывающих
услуги оценки. Наблюдается достаточно высокая конкуренция. Тем не менее,
существует множество нерешенных проблем, препятствующих как развитию, так и
нормальному и логичному функционированию рынка оценочных услуг.
В настоящее время достигнут
значительный прогресс в развитии оценочной деятельности - одного из основных
видов экономико-правовой экспертизы. Это связано с тем, что оценка играет
важную роль как составляющая механизма управления экономикой страны и
инструмент повышения экономической безопасности граждан, общества и государства.
Информация об оценке всевозможных видов активов необходима для принятия решений
различными субъектами (физические и юридические лица, муниципальные
образования, субъекты Российской Федерации и государство) на всех уровнях
управления. При этом оценка может быть как государственной (обязательной), так
и инициативной.
Интенсивное развитие оценочной
деятельности требует соответствующего нормативного, методического,
информационного, организационного и учебного обеспечения. Следует отметить, что
в оценочной деятельности существенное значение для формирования указанных видов
обеспечения имеет объект оценки.
В сложившихся рыночных условиях
оценка бизнеса оказывает влияние на формирование экономико-правовых отношений в
обществе, а также обеспечивает легитимный и цивилизованный экономический оборот
объектов прав собственности. Оценка бизнеса начинает занимать все более важное
место как инструмент в системе управления предприятием.
Целью дипломной работы является
оценка бизнеса для принятия управленческого решения на примере ООО
“Промышленная безопасность”. В качестве управленческого решения принято решение
о расширении вида деятельности, приобретение новых приборов и проведение новых
работ.
В качестве объекта исследования был
выбран бизнес.
Предмет исследования - стоимость
бизнеса.
Организация ООО “Промышленная
безопасность” проводит экспертизу промышленной безопасности технических
устройств, установку и наладку приборов безопасности, ежегодное техническое
периодическое освидетельствование лифтов.
1. Теоретическая глава
.1 Оценка стоимости бизнеса
затратным подходом
Затратный (имущественный) подход в
оценке бизнеса рассматривает стоимость предприятия с точки зрения понесенных
издержек. Балансовая стоимость активов и обязательств предприятия вследствие
инфляции, изменений конъюнктуры рынка, используемых методов учета, как правило,
не соответствует рыночной стоимости. В результате перед оценщиком встает задача
проведения корректировки баланса предприятия.
Для осуществления этого
предварительно проводится оценка обоснованной рыночной стоимости каждого актива
баланса в отдельности, затем определяется текущая стоимость обязательств и,
наконец, из обоснованной рыночной стоимости суммы активов предприятия
вычитается текущая стоимость всех его обязательств. Результат показывает
оценочную стоимость собственного капитала предприятия.
Базовой формулой в затратном подходе
является:
Собственный капитал = Активы -
Обязательства
Данный подход представлен двумя
основными методами:
методом стоимости чистых активов;
методом ликвидационной стоимости.
Метод стоимости чистых активов.
Расчет методом стоимости чистых
активов включает несколько этапов:
Оценивается недвижимое имущество
предприятия по обоснованной рыночной стоимости.
Определяется обоснованная рыночная
стоимость машин и оборудования.
Выявляются и оцениваются
нематериальные активы.
Определяется рыночная стоимость
финансовых вложений как долгосрочных, так и краткосрочных.
Товарно-материальные запасы
переводятся в текущую стоимость.
Оценивается дебиторская
задолженность.
Оцениваются расходы будущих
периодов.
Обязательства предприятия
переводятся в текущую стоимость.
Определяется стоимость собственного
капитала путем вычитания из обоснованной рыночной стоимости суммы активов
текущей стоимости всех обязательств.
Метод стоимости чистых активов
применяется, когда:
компания обладает значительными
материальными активами;
ожидается, что компания по-прежнему
будет действующим предприятием.
Чистые активы - это величина,
определяемая путем вычитания из суммы активов предприятия, принимаемых к расчету,
суммы его обязательств, принимаемых к расчету.
Проведение оценки с помощью методики
чистых активов основывается на анализе финансовой отчетности. Она является
индикатором финансового состояния предприятия на дату оценки, действительной
величины чистой прибыли, финансового риска и рыночной стоимости материальных и
нематериальных активов.
Основные документы финансовой
отчетности, анализируемые в процессе оценки:
бухгалтерский баланс;
отчет о прибылях и убытках;
отчет о движении денежных средств;
приложения к ним и расшифровки.
Кроме того, могут использоваться и
другие официальные формы бухгалтерской отчетности, а также внутренняя
отчетность предприятия.
Предварительно оценщик проводит
инфляционную корректировку финансовой документации.
Целью инфляционной корректировки
документации является приведение ретроспективной информации за прошедшие
периоды к сопоставимому виду; учет инфляционного изменения цен при составлении
прогнозов денежных потоков и ставок дисконта.
Простейшим способом корректировки
является переоценка всех статей баланса по изменению курса рубля относительно
курса более стабильной валюты.
Метод ликвидационной стоимости.
Оценка ликвидационной стоимости
осуществляется в следующих случаях:
компания находится в состоянии
банкротства, или есть серьезные сомнения относительно ее способности оставаться
действующим предприятием;
стоимость компании при ликвидации
может быть выше, чем при продолжении деятельности.
Ликвидационная стоимость
представляет собой стоимость, которую собственник предприятия может получить
при ликвидации предприятия и раздельной продажи его активов.
Расчет ликвидационной стоимости
предприятия включает в себя несколько основных этапов:
Разрабатывается календарный график
ликвидации активов, так как продажа различных видов активов предприятия:
недвижимого имущества, машин и оборудования, товарно-материальных запасов
производится в течение различных временных периодов;
Определяется валовая выручка от
ликвидации активов;
Оценочная стоимость активов
уменьшается на величину прямых затрат (комиссионные юридическим и оценочным
компаниям, налоги и сборы). С учетом календарного графика ликвидации активов,
скорректированные стоимости оцениваемых активов дисконтируются на дату оценки
по ставке дисконта, учитывающей связанный с этой продажей риск;
Ликвидационная стоимость активов
уменьшается на расходы, связанные с владением активами до их продажи, включая
затраты на сохранение запасов готовой продукции и незавершенного производства,
сохранение оборудования, машин, механизмов, объектов недвижимости, а также
управленческие расходы по поддержанию работы предприятия вплоть до завершения
его ликвидации;
Прибавляется (вычитается)
операционная прибыль (убытки) ликвидационного периода;
Вычитаются преимущественные права на
удовлетворение: выходных пособий и выплат работникам, требований кредиторов по
обязательствам, обеспеченным залогом имущества ликвидируемого предприятия,
задолженностей по обязательным платежам в бюджет и во внебюджетные фонды,
расчетов с другими кредиторами.
Таким образом, ликвидационная
стоимость предприятия рассчитывается путем вычитания из скорректированной
стоимости всех активов баланса суммы текущих затрат, связанных с ликвидацией
предприятия, а также величины всех обязательств.
.2 Оценка стоимости бизнеса доходным
подходом
Доходный подход к оценке бизнеса
основан на сопоставлении будущих доходов инвестора с текущими затратами.
Сопоставление доходов с затратами ведется с учетом факторов времени и риска.
Динамика стоимости компании, определяемая доходным подходом, позволяет принимать
правильные управленческие решения для менеджеров, собственников, государства и
т.д.
Для оценки предприятий по доходу
применяют два метода: метод капитализации и метод дисконтирования дохода.
Метод капитализации используется в
случае, если ожидается, что будущие чистые доходы или денежные потоки
приблизительно будут равны текущим или темпы их роста будут умеренными и
предсказуемыми. Причем доходы являются достаточно значительными положительными
величинами, т.е. бизнес будет стабильно развиваться.
Показатель чистой прибыли обычно
используется для оценки предприятий, в активах которых преобладает
быстроизнашивающееся оборудование. Для компаний, обладающих значительной
недвижимостью, балансовая стоимость которой уменьшается, а фактическая остается
почти неизменной, предпочитают использовать денежный поток.
Суть метода капитализации
заключается в определении величины ежегодных доходов и соответствующей этим
доходам ставки капитализации, на основе которых рассчитывается цена компании.
При применении этого метода
возникает целый ряд проблем. Во-первых, как определить чистый доход
предприятия, во-вторых, как выбрать ставку капитализации.
При расчете чистого дохода важно
правильно выбрать период времени, за который производятся расчеты. Это могут
быть несколько периодов в прошлом, обычно пять, а могут использоваться данные о
доходах за несколько периодов в прошлом и прогнозы на ближайшее будущее.
Другим сложным моментом в этом
методе является определение ставки капитализации.
Ставка капитализации во многом зависит
от устойчивости дохода компании. Если последняя имеет устойчивый рост прибыли,
выбирается более низкая ставка капитализации, что приводит к увеличению
рыночной стоимости компании и, наоборот, при нестабильных прибылях ставку
капитализации увеличивают.
В некоторых случаях для оценки
компаний используется объем валовой выручки. Он чаще всего применяется для
определения рыночной стоимости бизнеса в сфере услуг.
Главным достоинством метода
капитализации дохода является то, что он отражает потенциальную доходность
бизнеса, позволяет учесть риск отрасли и компании. Однако этот метод мало
пригоден для быстрорастущих компаний.
Широкое распространение в практике
оценки бизнеса получил метод дисконтирования будущих доходов, так как он
позволяет учесть будущие перспективы развития.
Основными этапами метода
дисконтирования будущих доходов являются:
анализ и прогнозирование валовых
доходов;
анализ и прогнозирование расходов;
анализ и прогнозирование инвестиций;
расчет денежного потока для каждого
прогнозируемого года;
выбор ставки дисконта;
определение дохода, который будет
получен в постпрогнозный период;
расчет текущей стоимости в
прогнозный и пост прогнозный период;
внесение поправок.
Прогнозирование будущего дохода
начинается с определения деятельности прогнозного периода и горизонта
прогнозирования и вида дохода, который будет использоваться в дальнейших
расчетах. Горизонт прогнозирования делится на два этапа: прогнозный, когда
оценщик с достаточной точностью определяет динамику развития компании, и
постпрогнозный, когда аналитиком рассчитывается некий средний, достаточно
умеренный темп роста.
Важно правильно определить
продолжительность прогнозного периода. Чрезмерно большой период потребует много
усилий для составления реалистичного прогноза. В то же время искусственное
сокращение периода приводит к искажению прогнозирования, поскольку в первые
годы динамика доходов будет сильно отклоняться от средней стоимости компании.
Денежный поток - результат притока и
оттока средств на предприятии.
Оценщик может использовать следующие
виды денежного потока:
денежный поток для собственного
капитала;
денежный поток для инвестированного
капитала.
Величина денежного потока для
собственного капитала определяется на основе следующих данных:
балансовая прибыль за вычетом налога
на прибыль + амортизационные отчисления + увеличение долгосрочной задолженности
- проценты по долгосрочным обязательствам - капитальные вложения - прирост
собственных оборотных средств.
Денежный поток для инвестированного
капитала (суммарная величина собственных средств и долгосрочной задолженности)
позволяет определить суммарную рыночную стоимость собственного капитала и
долгосрочной задолженности компании. Величина данного денежного потока для
инвестированного капитала определяется по формуле:
прибыль после налогообложения +
амортизационные
отчисления - капитальные вложения -
прирост собственных оборотных средств.
Денежный поток для собственного
капитала отличается от инвестированного. Во-первых, чистая прибыль для
инвестированного денежного потока увеличена на сумму величины процентов по
долгосрочным кредитам. Во-вторых, при расчете денежного потока для собственного
капитала изменение долгосрочных пассивов учитывается, для инвестированного
потока - нет. Последнее обстоятельство позволяет использовать метод
дисконтированного денежного потока в случаях, когда динамику долгосрочной
задолженности спрогнозировать не представляется возможным.
На следующем этапе оценки
определяется ставка дисконта.
Если оценка осуществляется на базе
денежного потока, приносимого собственным капиталом, то ставка дисконта
рассчитывается либо по модели оценки капитальных активов (Capital Asset Pricing
Model - САРМ), либо по методу суммирования.
По модели оценки капитальных активов
ставка дисконта рассчитывается по формуле:
где R - ставка дисконта
или ожидаемая инвестором ставка дохода на собственный капитал;- безрисковая
ставка дохода;
В - коэффициент бета,
который является мерой систематического риска;- среднерыночная ставка дохода;-
Rf - рыночная премия за вложения в рискованный инвестиционный актив.
В качестве безрисковой
ставки дохода, как правило, используется доходность по долгосрочным
государственным облигациям. Если для оценки берется чистая прибыль или денежный
поток, очищенные от инфляции, то и безрисковая ставка рассчитывается на
безинфляцинной основе.
Если же известна
номинальная ставка в инфляционной экономике, то для перевода ее в реальную
рекомендуют использовать следующую формулу:
(2)
где Rp - реальная
безрисковая ставка дохода;- номинальная безрисковая ставка дохода;- темп
инфляции.
Коэффициент бета может
рассчитываться двумя способами. Согласно первому коэффициент бета оценивает
изменения доходности акций отдельных компаний в сопоставлении с изменением
средней доходности акций по 500 крупнейшим компаниям. Специальные агентства
рассчитывают отраслевые коэффициенты \ бета. Так, для строительства коэффициент
бета равен 1,88; для электроэнергетики общего пользования - 0,75; для
производства бетона - 1,76; для компаний в области телекоммуникаций - 0,791
Второй способ,
предложенный американским экономистом Дианой Харрингтон, основывается на
результатах финансового анализа компаний. По этому способу коэффициент бета для
конкретной компании может быть получен исходя из анализа тех переменных,
которые влияют на величину риска, связанного с финансовым состоянием компании.
Эти факторы риска подразделяются на риски компании, отраслевые и
макроэкономические факторы риска. Анализируется воздействие на оцениваемую
компанию каждого фактора; затем оценивается значение коэффициента бета для
каждого фактора. После этого рассчитывается средневзвешенное значение
коэффициента бета, которое соответствует данной компании.
Для оценки текущей
стоимости денежного потока для собственного капитала ставка дисконта может
рассчитываться по методу суммирования. При использовании этого метода, так же
как и при расчетах по модели капитальных активов, первоначально производится
оценка безрисковой ставки дохода. К ней прибавляется премия за инвестирование в
данную компанию.
Для ее определения часто
используется шкала, опубликованная в ежеквартальном журнале "Новости
оценки бизнеса". Это позволит учесть основные факторы производственного и
финансового риска оцениваемой компании. В зависимости от риска оценивается
каждый фактор. Чем больше риск по какому-то фактору, тем более высокое значение
ему присваивается. Далее, как и в модели капитальных активов для иностранных
инвестиций, учитывают риск инвестиций в данную страну.
На следующем этапе
расчета стоимости бизнеса по методу дисконтируемых будущих доходов определяют
суммарную величину доходов, которые может получить собственник в постпрогнозный
период. Расчет доходов в постпрогнозный период может осуществляться несколькими
методами, такими как метод стоимости чистых активов - модель Гордона (метод
"предполагаемой продажи"), по ликвидационной стоимости. Модель
Гордона выглядит следующим образом:
где V- суммарная
величина дохода в постпрогнозный период;- денежный поток, который может быть
получен в первый постпрогнозный год;- ожидаемые долгосрочные (стабильные) темпы
роста денежного потока;- ставка дисконта для собственного капитала.
Модель Гордона
определяет стоимость компании на начало первого года постпрогнозного периода
как величину капитализированного дохода постпрогнозного периода, то есть сумме
стоимостей всех ежегодных будущих доходов в постпрогнозном периоде.
Использование модели
Гордона требует соблюдения двух условий:
темпы роста дохода
должны быть стабильны;
темпы роста дохода не
могут быть больше ставки дисконта.
Необходимо отметить одну
особенность процесса дисконтирования. Для дисконтирования дохода ставка
дисконта в прогнозном периоде берется на середину года. Это связано с тем, что
доход формируется в течение года, а не поступает единой суммой в конце года.
Следовательно, использование ставки дисконта на конец года, приведет к
занижению текущей стоимости будущих доходов. Тем не менее, если в силу
каких-либо особенностей отрасли денежный поток сконцентрирован на определенную
дату года, то и ставка дисконта должна рассчитываться на эту дату.
Метод оценки предприятий
на основе дисконтирования будущих доходов имеет целый ряд достоинств и
недостатков. Он позволяет отразить будущую доходность компании, что в
наибольшей степени интересует инвестора. При этом учитывается риск инвестиций,
возможные темпы инфляции, а также ситуация на рынке через ставку дисконта. Этот
метод позволяет учесть экономическое устаревание компании, показателем которого
является превышение величины рыночной стоимости, полученной методом накопления
активов, над величиной рыночной стоимости, полученной методом дисконтирования
будущих доходов. Мировая практика показала, что этот метод точнее всего
определяет рыночную стоимость предприятия, но его использование затруднено в
силу сложности проведения достаточно точного прогнозирования.
.3 Оценка стоимости
бизнеса сравнительным подходом
Сравнительный подход
предполагает, что ценность собственного капитала фирмы определяется тем, за
сколько он может быть продан при наличии достаточно сформированного рынка.
Другими словами, наиболее вероятной ценой стоимости оцениваемого бизнеса может
быть реальная цена продажи сходной фирмы, зафиксированная рынком.
Теоретической основой
сравнительного подхода, доказывающего возможность его применения, а также
объективность результативной величины, являются следующие базовые положения.
Во-первых, Оценщик
использует в качестве ориентира реально сформированные рынком цены на сходные
предприятия (акции). При наличии развитого финансового рынка фактическая цена
купли-продажи предприятия в целом или одной акции наиболее интегрально
учитывает многочисленные факторы, влияющие на величину стоимости собственного
капитала предприятия. К таким факторам можно отнести соотношение спроса и
предложения на данный вид бизнеса, уровень риска, перспективы развития отрасли,
конкретные особенности предприятия и т.д. Это, в конечном счете, облегчает
работу Оценщика, доверяющего рынку.
Во-вторых, сравнительный
подход базируется на принципе альтернативных инвестиций. Инвестор, вкладывая
деньги в акции, покупает, прежде всего, будущий доход. Производственные,
технологические и другие особенности конкретного бизнеса интересуют инвестора
только с позиции перспектив получения дохода. Стремление получить максимальный
доход на размещенные инвестиции при адекватном риске и свободном размещении
капитала обеспечивает выравнивание рыночных цен.
В-третьих, цена
предприятия отражает его производственные и финансовые возможности, положение на
рынке, перспективы развития. Следовательно, в сходных предприятиях должно
совпадать соотношение между ценой и важнейшими финансовыми параметрами, такими
как прибыль, дивидендные выплаты, объем реализации, балансовая стоимость
собственного капитала. Отличительной чертой этих финансовых параметров является
их определяющая роль в формировании дохода, получаемого инвестором.
Основным преимуществом
сравнительного подхода является то, что Оценщик ориентируется на фактические
цены купли-продажи сходных предприятий. В данном случае цена определяется
рынком, т.к. Оценщик ограничивается только корректировками, обеспечивающими
сопоставимость аналога с оцениваемым объектом. При использовании других
подходов Оценщик определяет стоимость предприятия на основе расчетов.
Сравнительный подход
базируется на ретро информации и, следовательно, отражает фактически
достигнутые результаты производственно-финансовой деятельности предприятия, в
то время как доходный подход ориентирован на прогнозы относительно будущих
доходов.
Другим достоинством
сравнительного подхода является реальное отражение спроса и предложения на
данный объект инвестирования, поскольку цена фактически совершенной сделки
наиболее интегрально учитывает ситуацию на рынке.
Вместе с тем,
сравнительный подход имеет ряд существенных недостатков, ограничивающих его
использование в оценочной практике. Во-первых, базой для расчета являются
достигнутые в прошлом финансовые результаты. Следовательно, метод игнорирует
перспективы развития предприятия в будущем.
Во-вторых, сравнительный
подход возможен только при наличии самой разносторонней финансовой информации
не только по оцениваемому предприятию, но и по большому числу сходных фирм,
отобранных Оценщиком в качестве аналогов. Получение дополнительной информации
от предприятий аналогов является достаточно сложным процессом.
В-третьих, Оценщик
должен делать сложные корректировки, вносить поправки в итоговую величину и
промежуточные расчеты, требующие серьезного обоснования. Это связано с тем, что
на практике не существует абсолютно одинаковых предприятий. Поэтому Оценщик
обязан выявить эти различия и определить пути их нивелирования в процессе
определения итоговой величины стоимости.
Таким образом,
возможность применения сравнительного подхода зависит от наличия активного финансового
рынка, поскольку подход предполагает использование данных о фактически
совершенных сделках. Второе условие - это открытость рынка или доступность
финансовой информации, необходимой Оценщику. Третьим необходимым условием
является наличие специальных служб, накапливающих ценовую и финансовую
информацию. Формирование соответствующего банка данных облегчит работу
Оценщика, поскольку сравнительный подход является достаточно трудоемким и
дорогостоящим.
В зависимости от целей,
объекта и конкретных условий оценки сравнительный подход предполагает
использование трех основных методов.
Метод компании-аналога.
Метод сделок.
Метод отраслевых
коэффициентов.
Метод компании-аналога
или метод рынка капитала основан на использовании цен, сформированных открытым
фондовым рынком. Таким образом, базой для сравнения служит цена на единичную
акцию акционерных обществ открытого типа. Следовательно, в чистом виде данный
метод используется для оценки миноритарного пакета акций.
Метод сделок или метод
продаж ориентирован на цены приобретения предприятия в целом либо контрольного
пакета акций. Это определяет наиболее оптимальную сферу применения данного
метода - оценки предприятия или контрольного пакета акций.
Метод отраслевых
коэффициентов или метод отраслевых соотношений основан на использовании
рекомендуемых соотношений между ценой и определенными финансовыми параметрами.
Отраслевые коэффициенты рассчитаны на основе длительных статистических
наблюдений специальными исследовательскими институтами за ценой продажи
предприятия и его важнейшими производственно-финансовыми характеристиками. В
результате обобщения были разработаны достаточно простые формулы определения
стоимости оцениваемого предприятия.
2. Практическая глава
.1 Описание предприятия
Организация основана в
2006 году. Форма организации предприятия - общество с ограниченной
ответственностью. Основной вид деятельности - обследование промышленной
безопасности кранов, лифтов отработавших нормативный срок службы. Обследование
башенных кранов, козловых и автомобильных краны - основная работа предприятия.
Доля дохода от этого направления в 2013г. - 57%. Так как основное количество
кранов работающих в городе были произведены до 2005, то они требуют установки
приборов безопасности нового типа, чем организация и занимается, формируя при
этом свой доход на 24%.
С 2012 г. происходит
рост работ по техническому освидетельствованию и экспертизе лифтов (на 34%).
Лифты отслужившие свой
нормативный срок так же требуют проведения обследований, заказчики на данный
вид работы есть как в городе Барнаул, так и в г. Бийск, г. Заринск, г.
Рубцовск, и других городах края.
Таблица №1 - Динамика
выручки от реализации ООО «Промышленная безопасность»
|
Экспертиза промышленной безопасности кранов
|
Ремонт кранов
|
Техническое освидетельствование лифтов
|
Электроизмерительные работы
|
Наладка приборов безопасности
|
Экспертиза лифтов
|
Изготовление паспортов
|
|
Выручка от реализации за 2011г., руб.
|
869 487
|
-
|
47 254
|
-
|
407 191
|
11 358
|
-
|
|
Доля в %
|
65
|
-
|
4
|
-
|
30
|
1
|
-
|
|
Выручка от реализации за 2012 г., руб.
|
969 675
|
-
|
62 087
|
23 393
|
376 532
|
68 604
|
-
|
|
Доля в %
|
65
|
-
|
4
|
1,5
|
25
|
4,5
|
-
|
|
Выручка от реализации за 2013 г., руб.
|
952 270
|
56 560
|
128 741
|
28 600
|
400 416
|
71 690
|
31 328
|
|
Доля в %
|
57
|
3
|
8
|
2
|
24
|
4
|
2
|
Для увеличения прибыли было принято
решение об открытии нового вида деятельности, в связи с этим и проводится
оценка. Оценка должна показать стоит ли данный вид деятельности тех затрат,
которые понесут собственники, и как быстро они окупятся.
Дата оценки - 15 мая 2014 года.
.2 Анализ финансового состояния
предприятия
.2.1 Данные финансовой отчетности
В процессе проведения финансового
анализа, данные отчетности были подвергнуты обработке и сведены в Таблицу №1.
Исходной информацией для проведения анализа финансового состояния являются
данные финансовой отчетности: форма №1 «Бухгалтерский баланс», форма №2 «Отчет
о прибылях и убытках», форма №5 «Приложения к балансу».
Таблица № 2 - Уплотненный
аналитический баланс
|
Наименование статьи
|
2011 г., руб.
|
2012 г., руб.
|
2013г., руб.
|
|
1. Внеоборотные активы-всего
|
88519
|
51015
|
52116
|
|
в том числе
|
|
|
|
|
основные средства
|
31831
|
8327
|
23428
|
|
нематериальные активы
|
56688
|
42688
|
28688
|
|
другие внеоборотные средства
|
|
|
|
|
2. Оборотные активы - всего
|
24366
|
19536
|
23781
|
|
в том числе
|
|
|
|
|
запасы
|
5631
|
801
|
281
|
|
дебиторская задолженность (более 12 мес.)
|
3675
|
3675
|
3675
|
|
дебиторская задолженность (менее 12 мес.)
|
0
|
0
|
0
|
|
денежные средства
|
15060
|
15060
|
19825
|
|
прочие оборотные активы
|
|
|
|
|
Итого активов
|
112885
|
70551
|
75897
|
|
3. Капитал и резервы (собственный капитал)
|
93673
|
70551
|
56903
|
|
4. Долгосрочные пассивы
|
0
|
0
|
0
|
|
5. Краткосрочные пассивы
|
19212
|
4408
|
18994
|
|
Кредиторская задолженность
|
19212
|
4408
|
18994
|
|
Другие пассивы
|
|
|
|
|
Итого пассивов
|
112885
|
74959
|
75897
|
.2.2 Анализ имущественного положения
Имущественное положение организации
характеризуется рядом показателей уровня, динамики и состояния активов, уровня
и динамики прибыли, а также соотношение отдельных показателей. Основные
показатели имущественного положения представлены в Таблице №3.
Для анализа имущественного положения
используются данные уплотненного аналитического баланса (Таблица №2).
Расчет показателей производится по
следующим формулам:
Кизноса= Износ основных средств (4)
Среднегодовая стоимость основных
средств
Таблица № 3 - Показатели
имущественного положения
|
Наименование показателей
|
2011
|
2012
|
|
2013
|
|
|
|
на конец
|
на начало
|
на конец
|
на начало
|
на конец
|
|
Суммарные активы
|
112885
|
112885
|
70551
|
70551
|
75897
|
|
Первоначальная стоимость основных средств
|
46500
|
46500
|
46500
|
46500
|
30600
|
|
Остаточная стоимость основных средств
|
31831
|
31831
|
8327
|
8327
|
23428
|
|
Износ основных средств
|
14669
|
14669
|
38173
|
38173
|
7172
|
|
Коэффициент износа основных средств
|
0,32
|
0,32
|
0,82
|
0,82
|
0,23
|
|
Сумма оборотных средств
|
24366
|
24366
|
19536
|
19536
|
23781
|
0,78
|
0,78
|
0,72
|
0,72
|
0,69
|
|
Удельный вес оборотных активов в имуществе
|
0,22
|
0,22
|
0,28
|
0,28
|
0,31
|
|
Собственные оборотные средства
|
5154
|
|
19536
|
|
4787
|
Вывод: Увеличение коэффициента
износа объясняется ускоренным методом амортизации. Преобладание внеоборотных
активов в составе имущества характеризуется спецификой деятельности организации
- оказание профессиональных услуг. Уменьшение внеоборотных активов связано с
амортизацией лицензии. Данный вид деятельности не требует больших оборотных
средств.
.2.3 Анализ финансовой устойчивости
Финансовая устойчивость предприятия
- это характеристика его относительной независимости от кредитов, оценивается
на основе его способности покрыть все свои обязательства. Финансовая
устойчивость может быть оценена, прежде всего, с помощью показателей структуры
источников финансирования, то есть соотношение собственного капитала и заемного
капитала.
Для оценки финансовой устойчивости в
общем виде применяют коэффициент автономии:
Собственный капитал
Ка = -------------------------------
(5)
Валюта баланса
Этот коэффициент характеризует
удельный вес собственных средств в активах предприятия.
Коэффициент обеспеченности
собственными средствами характеризует наличие собственных оборотных средств,
необходимых для финансовой устойчивости:
Ко.с. = Собственные оборотные
средства (6)
Оборотные активы
Нижняя граница нормального значения
коэффициента - 0,1. Увеличение показателя говорит об увеличении собственных
оборотных средств.
Коэффициент обеспеченности запасов и
затрат собственными оборотными средствами характеризует долю запасов и затрат
предприятия, финансируемых за счет собственных источников. В 2011 году
организация самостоятельно производила ремонт ГПМ, в этот период Ко.с.= 0,915,
что говорит об эффективном использовании финансовых ресурсов. С 2012 года
ремонт предприятие не осуществляет, но малые запасы остались.
Коэффициент маневренности
показывает, какая часть собственных средств вложена в наиболее ликвидные
активы:
Км. = Собственные оборотные средства
(7)
Собственный капитал
Небольшие значения этого
коэффициента связаны со спецификой деятельности организации.
Результаты расчетов показателей
сведены в Таблицу №4.
Таблица №4 - Показатели финансовой
устойчивости
|
2011
|
2012
|
2013
|
|
на конец
|
на начало
|
на конец
|
на начало
|
на конец
|
|
Собственный капитал
|
93673
|
93673
|
70551
|
70551
|
56903
|
|
Заемный капитал
|
19212
|
19212
|
4408
|
4408
|
18994
|
|
Коэффициент автономии
|
0,83
|
0,83
|
1
|
1
|
1
|
|
Коэффициент обеспеченности собственными средствами
|
0,21
|
0,21
|
1
|
1
|
0,20
|
|
Коэффициент обеспеченности запасов и затрат собственными
оборотными средствами
|
0,92
|
0,92
|
24,4
|
24,4
|
17
|
|
Коэффициент маневренности
|
0,056
|
0,056
|
0,28
|
0,28
|
0,08
|
Вывод: Значение коэффициента
автономии выше 0,5 считается нормальным. В этом случае все обязательства фирмы
могут быть удовлетворены за счет собственных средств. Увеличение коэффициента
автономии с 0,82 до 1 свидетельствует о финансовой независимости предприятия.
Высокое значение объясняется спецификой деятельности.
Значение коэффициента обеспеченности
собственными средствами выше 0,1 считается нормальным. Возрастание коэффициента
говорит об увеличении собственных оборотных средств и независимости от
кредиторской задолженности. Увеличение коэффициента обеспеченности запасов и
затрат собственными оборотными средствами говорит о все большей
самостоятельности финансирования за счет собственных источников. Незначительное
увеличение коэффициента маневренности связано со спецификой деятельности
предприятия, т.к. предприятие преимущественно занимается экспертизой кранов,
наладкой приборов безопасности, а не вложением в наиболее ликвидные активы.
.2.4 Анализ деловой активности и
эффективности использования капитала
Деловая активность предприятия может
быть охарактеризована различными финансовыми показателями, основными из которых
являются объем услуг, прибыль, величина активов предприятия.
Прибыль от реализации в 2012 году
снизилась в связи с тем, что больший процент денежных средств от выручки был
потрачен на зарплату сотрудников.
Коэффициент оборачиваемости активов
характеризует «работоспособность» имущества, то есть относительную способность
активов приносить отдачу в виде выручки от реализации:
Ка = Выручка от реализации (8)
Активы
Коэффициент оборачиваемости
оборотных средств:
Коб = Выручка от реализации (9)
Оборотные средства
Фондоотдача - это количество
реализованной продукции в расчете на 1 рубль основных средств:
Ф = Выручка от реализации (10)
Ср. стоимость основных средств
Высокое значение этих коэффициентов
можно объяснить тем, что выручка формируется при помощи нематериальных активов.
Деловую активность в целом можно оценить положительно - наблюдается рост
коэффициентов. Расчет показателей сведен в Таблицу №5.
Эффективность использования активов
может быть оценена показателем рентабельности активов:
Ра = Чистая прибыль (11)
Активы
Ра = Чистая прибыль · Выручка от
реализации (12)
Выручка от реализации Активы
Увеличение рентабельности связано с
увеличением выручки.
Эффективность использования
собственного капитала оценивается с помощью показателя рентабельности
собственных средств:
Ра = Чистая прибыль (13)
Собственный капитал
Высокие показатели рентабельности
собственных средств, рентабельность активов связана с тем, что прибыль у
предприятий, занимающихся оказанием профессиональных услуг, зависит от
репутации и нематериальных активов в виде сотрудников.
Показатели представлены в Таблице
№5.
Таблица №5. Показатели эффективности
использования капитала
|
|
2011
|
2012
|
2013
|
|
Выручка от реализации
|
1335283
|
1500292
|
1669605
|
|
Прибыль от реализации
|
264588
|
171693
|
252154
|
|
Коэффициент оборачиваемости активов
|
|
16,4
|
22,8
|
|
Коэффициент оборачиваемости оборотных средств
|
|
68,3
|
76,9
|
|
Фондоотдача
|
|
|
74,7
|
105,2
|
|
Рентабельность активов
|
|
|
1,87
|
3,44
|
|
Рентабельность собственного капитала
|
|
2,82
|
2,43
|
4,43
|
|
Рентабельность продаж
|
|
0,2
|
0,11
|
0,15
|
Вывод: В целом коэффициенты
оборачиваемости имеют устойчивую тенденцию к увеличению, это объясняется лучшей
“работоспособностью” активов (оборотных средств) и их способностью приносить
отдачу в виде выручки от реализации. Высокое значение коэффициентов объясняется
формированием выручки при помощи нематериальных активов.
В целом значения рентабельности
увеличиваются и имеют положительные значения. Высокие значения рентабельности
говорят о том, что прибыль у предприятия, занимающегося оказанием
профессиональных услуг, зависит от репутации и нематериальных активов в виде
сотрудников. Для осуществления деятельности не требуются большие оборотные
средства, хотя большее значение говорило бы о самостоятельности предприятия, и
дало бы возможность расширять виды предоставляемых услуг.
3. Расчет рыночной стоимости бизнеса
ООО «Промышленная безопасность»
.1 Расчет стоимости бизнеса до
принятия управленческого решения собственником ООО «Промышленная безопасность»
В Варианте 1 рассматривается
стоимость бизнеса на дату оценки без открытия дополнительного вида
деятельности.
Метод дисконтирования будущих
доходов требует проведения анализа доходов, расходов, капитальных вложений,
структуры капитала и остаточной стоимости активов.
Анализ денежного и прогноз денежного
потока приведен в Таблице 6 и Таблице 7.
Организация применяет упрощенную
систему налогообложения. Основная статья затрат - зарплата сотрудникам (62-72%
в зависимости от года). Для прогнозного периода доля заработной платы в выручке
принята по последнему отчетному году. Процентные соотношения других статей
приняты также по последнему году.
Таблица 6 - Расчет денежного потока
|
2011 г.
|
2012 г.
|
2013 г.
|
|
Выручка от реализации, руб.
|
1335283
|
1500292
|
1669605
|
|
Прирост выручки
|
|
1,123576
|
1,112853
|
|
Налог с дохода (6%), руб.
|
80116,98
|
90017,52
|
100176,3
|
|
Затраты
|
|
|
Аренда, руб.
|
90000
|
90000
|
90000
|
|
Канцтовары, руб.
|
13500
|
14500
|
15000
|
|
Доля канцтоваров выручке
|
0,01011
|
0,009665
|
0,008984
|
|
ГСМ, руб.
|
55000
|
58000
|
60000
|
|
Доля ГСМ в выручке
|
|
|
0,035937
|
|
Итого затраты, руб.
|
158500
|
162500
|
165000
|
|
Заработная плата, руб.
|
832078
|
1076081
|
1152274
|
|
Доля заработной платы в выручке
|
0,623147
|
0,717248
|
0,690148
|
|
ДП, руб.
|
264588
|
171693,1
|
252154,3
|
Таблица 7 - Прогноз денежного потока
|
Прогнозный период
|
Постпрогнозный период
|
|
2014 г.
|
2015 г.
|
2016 г.
|
|
Выручка от реализации, руб.
|
1858025
|
2067709
|
2301056
|
|
Прирост выручки, руб.
|
1,112853
|
1,112853
|
1,112853
|
|
Налог с дохода (6%), руб.
|
111481,5
|
124062,5
|
138063,3
|
|
Затраты
|
|
|
|
|
Аренда, руб.
|
97200
|
104976
|
113374,1
|
|
Канцтовары, руб.
|
16692,8
|
18402,61
|
20479,4
|
|
Доля канцтоваров выручке
|
0,0089
|
0,0089
|
0,0089
|
|
ГСМ, руб.
|
66771,84
|
74307,24
|
82693,04
|
|
Доля ГСМ в выручке
|
0,035937
|
0,035937
|
0,035937
|
|
Итого затраты, руб.
|
180664,6
|
197685,9
|
216546,5
|
|
Заработная плата, руб.
|
1282037
|
1426719
|
1587728
|
|
Доля заработной платы в выручке, руб.
|
0,69
|
0,69
|
0,69
|
|
ДП, руб.
|
283841,6
|
319241,3
|
358717,4
|
|
Ставка дисконтирования
|
0,18
|
|
ДДП, руб.
|
240 543
|
229 274
|
|
|
Стоимость реверсии, руб.
|
|
3 698 112
|
|
Стоимость бизнеса, руб.
|
4 167 930
|
|
|
|
|
|
|
Расчет ставки дисконтирования.
Ставка дисконтирования представляет
собой коэффициент, применяемый для перевода будущих платежей или поступлений в
текущую стоимость. Полученная текущая стоимость определяет величину капитала,
которую должен вложить инвестор, чтобы получить норму доходности, равную
определенной ставке дисконтирования. Экономически, ставка дисконтирования
представляет собой уровень доходности, на который согласился бы инвестор,
принимая решение о вложении денег в конкретный проект. Чем выше уровень риска,
связанный с данным проектом, тем более высокую норму доходности требует
инвестор. В связи с этим, расчет ставки дисконта заключается в оценке рисков,
связанных с вложением денег в конкретный актив.
При ДП для собственного капитала
ставка дисконтирования рассчитывается с помощью либо модели оценки капитальных
активов, либо кумулятивной модели. В данной работе применен метод кумулятивного
построения. За базу расчетов берется ставка дохода по безрисковым ценным
бумагам, и добавляются премии за риск.
Метод кумулятивного построения.
= Rf + R1 + R2 + R3 … (14)
- безрисковая ставка.
+ R2 + R3 … - премии за риск (15)
Безрисковая ставка доходности -
ставка процента вложения в высоколиквидные активы, т.е. это ставка, которая
отражает «фактические рыночные возможности вложения денежных средств фирм и
частных лиц без какого то бы ни было риска не возврата». В настоящий момент в
качестве безрисковой ставки чаще берется доходность по ОФЗ. На 01.06.2011 г.
доходность ОФЗ к погашению составляет 6,06 % (журнал «Эксперт» № 33 (377) от 23
июня 2011 г.).
Премии за риск - в западной теории
оценки определен перечень основных несистематических рисков, которые должны
быть проанализированы. Они определяются методом экспертной оценки, путем
присвоения каждому виду риска значений в интервале 0 - 5 %.
Расчет ставки дисконтирования
приведен в Таблице.8.
Таблица 8 - Расчет ставки
дисконтирования
|
Фактор риска
|
Значение, %
|
Примечание
|
|
Безрисковая ставка
|
9
|
Ставка по депозитам Сбербанка России
|
|
Ключевая фигура
|
4
|
Организация зависит от одного человека
|
|
Размер компании
|
2
|
Средний размер компании по отношению к другим компаниям
|
|
Структура источников финансирования
|
0
|
|
|
Товарная/территориальная диверсификация
|
0
|
|
|
Диверсификация клиентуры
|
0
|
Организация имеет заказчиков по всему Алтайскому краю
|
|
Прибыль
|
0
|
Имеется информация за все годы работы организации
|
|
Прочие риски
|
3
|
Продление лицензии каждые 5 лет, поднадзорность Ростехнадзору
|
|
Ставка дисконта
|
18
|
|
Определение стоимости бизнеса в
прогнозном периоде.
При применении в оценке метода ДДП
необходимо суммировать текущие стоимости периодических денежных потоков,
которые приносит объект оценки в прогнозный период, и текущую стоимость в
постпрогнозный период, которая ожидается в будущем.
Стоимость объекта оценки методом
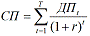
дисконтирования денежных потоков:
n
Сдоходный = S ДДП (кд) + Срп,
1
где:
ДДП (кд) - дисконтированный денежный
поток за к-тый расчетный интервал;
Срп - стоимость в постпрогнозном
периоде;
Сумма текущих стоимостей:
S ДДП(кд) = ДП1/(1+R)1+
ДП2/(1+R)2; (16)
где ДП1, ДП2 … - прогноз денежного
потока в соответствующем году;ставка дисконта;
Срп = ДП3/(1+R)2·(R-0.11) (17)
Денежные потоки взяты из Таблицы 6
SДДП(кд)=283841/(1.18)+319241,3/(1.18)2
+358717/(1.18)2·(0.18-0.11) =
167 930 руб.
Стоимость бизнеса методом
дисконтирования денежных потоков составляет 4 167 930 руб.
Затратный подход.
Метод чистых активов.
Метод балансовой стоимости активов
(или метод чистых активов предприятия) предполагает анализ всех статей баланса
предприятия, суммирование стоимости активов и вычитание из полученной суммы
статей пассива баланса в части долгосрочной и текущей задолженностей. Эта
методика расчета стоимости предприятий соответствует Международным принципам
бухгалтерского учета, а также Распоряжению Госкомимущества РФ от 24.10.94 №
2546-Р и Постановлению ФКЦБ РФ от 25.05.98 № 14 и широко используется в
настоящее время в так называемой нормативной оценке при определении стоимости
чистых активов акционерных обществ для целей приватизации.
В качестве отправной точки при
определении рыночной стоимости затратным подходом был применен метод рыночной
стоимости активов, основанный на определении стоимости чистых активов.
Согласно представленной
бухгалтерской отчетности стоимость чистых активов на последнюю отчетную дату (1
апреля 2014 г.) составила - 56 903 руб.
Расчет методом чистых активов сведен
в Таблице.9.
Таблица. 9 - Стоимость чистых
активов по бухгалтерскому балансу
|
Наименование статьи
|
Значение, руб.
|
|
1. Внеоборотные активы, всего
|
52 116
|
|
в том числе
|
|
|
основные средства
|
23 428
|
|
нематериальные активы
|
28 688
|
|
другие внеоборотные средства
|
|
|
2. Оборотные активы, всего
|
23 781
|
|
в том числе
|
|
|
запасы
|
281
|
|
дебиторская задолженность(более 12 мес.)
|
3675
|
|
дебиторская задолженность(менее 12мес.)
|
|
|
денежные средства
|
19 825
|
|
прочие оборотные активы
|
|
|
Итого активов
|
75 897
|
|
4. Долгосрочные пассивы
|
-
|
|
5. Краткосрочные пассивы
|
18 994
|
|
Чистые активы
|
56 903
Сравнительный подход.
Сравнительный подход предполагает,
что ценность собственного капитала фирмы определяется тем, за сколько он может
быть продан при наличии достаточно сформированного рынка.
Таблица. 10
|
Наименование
|
Год покупки
|
Стоимость покупки
|
|
Факс Panasonic КХ-FP110
|
2006г.
|
2500 руб.
|
|
Компьютер Celeron 850Мгц. RAM 128 MB. НР 1100, ViewSonic 15”
|
2011г.
|
30833 руб.
|
|
Компьютер Сеleron 2600МГц. RAM 256 MB. Samsunq 17”
|
2013г.
|
13 900 руб.
|
|
Canon LaserBase 3110
|
2013г.
|
6000 руб.
|
|
Мебель 10 столов,4 шкафа
|
2010г.
|
10 000 руб.
|
|
Дефектоскоп УД 2-12
|
2004 г.
|
|
|
Толщиномер УТ-93
|
2004 г.
|
|
Для переоценки оргтехники приведены
стоимости, по которым специализированные фирмы готовы купить оргтехнику. В
расчете принято средне арифметическое значение.
Таблица 11. Сравнительный подход
переоценка оргтехники
|
Фирма №1
|
Фирма №2
|
Фирма №3
|
Среднее значение
|
|
Компьютер Celeron 850Мгц. RAM 128 MB. НР 1100, ViewSonic 15”
|
6000 руб.
|
5600 руб.
|
5400 руб.
|
5670 руб.
|
|
Компьютер Сеleron 2600МГц. RAM 256 MB. Samsunq 17”. Canon
LaserBase 3110
|
8200 руб.
|
7900 руб.
|
8600 руб.
|
8200 руб.
|
|
Факс Panasonic КХ-FP110
|
3500 руб.
|
4300 руб.
|
3200 руб.
|
3670 руб.
|
|
Общая стоимость
|
|
|
|
17540 руб.
|
Для переоценки были проанализированы
предложения о продаже бывших в эксплуатации приборов. Чем позже был выпущен
прибор, тем ниже стоимость, в среднем за год прибор дешевеет на 1000 руб.
Расчеты сведены в таблицу.12
Таблица 12. Метод сравнения
предложений
|
Год выпуска
|
Стоимость, руб.
|
Поправка на год выпуска, руб.
|
Приведенная стоимость, руб.
|
|
Дефектоскоп УД 2-12
|
2003 г.
|
15 000
|
+ 2000
|
17 000
|
|
Дефектоскоп УД 2-12
|
2006 г.
|
21 000
|
- 4000
|
17 000
|
|
Оцениваемый Дефектоскоп УД 2-12
|
2004 г.
|
|
|
17 000
|
|
Толщиномер УТ-93
|
2006 г.
|
14 800
|
- 3 400
|
11 400
|
|
Толщиномер УТ-93
|
2007 г.
|
16 500
|
- 5 100
|
11 400
|
|
Оцениваемый Толщиномер УТ-93
|
2004 г.
|
|
|
11 400
|
Под стоимостью восстановления
оцениваемых объектов понимается стоимость воспроизводства их полной копии в
текущих ценах на дату оценки, либо стоимость приобретения в текущих ценах
нового объекта, полностью идентичного оцениваемому объекту по конструктивным,
функциональным и другим характеристикам.
. Компьютер Celeron 850 мГц. RAM 128
MB, НР 1100, ViewSonic 15” - аналог этой модели можно приобрести за 10 700 руб.
. Компьютер Сеleron 2600МГц. RAM 256
MB, Samsunq 17”. Canon LaserBase 3110 - 16 890 руб.
. Факс Panasonic КХ-FP110 - 6350
руб.
. Мебель - 1000 руб.
. Дефектоскоп УД 2-12 - 85 000 руб.
. Толщиномер УТ- 93 - 28 000 руб.
Нормативный срок службы компьютера с
учетом его элементов составляет 10 лет, факса 15 лет.
Нормативный срок служба
измерительных приборов 25 лет.
Нормативный срок службы мебели 5
лет.
Для определения физического износа
используем формулу
Иф = Тэф/Тн·100%; (18)
где Тэф- фактический срок службы;
Тн - нормативный срок службы;
Компьютеры морально устарели на
момент оценки. Современный компьютер можно приобрести за 29201 руб.
Факс Panasonic КХ-FL 553 - 11760
руб.
Согласование различных видов износа
производилось мультипликативным методом
СИ=ВСх (1-(1-ФИ)(1-МИ)(1-ВНИ)) (19)
Таблица13. Согласование различных
видов износа
|
Износ физический, %
|
Функциональный износ, %
|
Согласованный износ %
|
Приведенная стоимость, руб.
|
|
1. Компьютер Celeron 850МГяц. RAM 128 MB, НР 1100, ViewSonic 15”
|
50
|
64
|
68
|
3424
|
|
2. Компьютер Сеleron 2600МГц. RAM 256 MB, Samsunq 17”. Canon
LaserBase 3110
|
25
|
42
|
57
|
7263
|
|
3. Факс Panasonic КХ-FP110
|
67
|
46
|
82
|
1143
|
|
4. Мебель
|
20
|
-
|
20
|
8000
|
|
5. Дефектосков УД 2-12
|
48
|
-
|
-
|
40800
|
|
6. Толщиномер УТ-93
|
48
|
-
|
-
|
13400
|
|
Общая стоимость
|
|
|
|
74030
|
Описанными выше различными методами
в рамках сравнительного и затратного подходов Оценщику удалось найти два
ориентира рыночной стоимости оцениваемого имущества. Окончательное, итоговое
суждение о стоимости имущества выносится Оценщиком на основе анализа полученных
ориентиров стоимости оцениваемого имущества, полученных в рамках классических
подходов к оценке. Для согласования результатов необходимо определить веса, в
соответствии с которыми отдельные, ранее полученные ориентиры, сформируют
итоговую рыночную стоимость имущества. Считаем придать больший вес сравнительному
подходу, так как это наиболее вероятная стоимость, по которой имущество может
быть отчуждено на свободном рынке.
Таблица 14. Согласование результатов
|
Затратный подход
|
Сравнительный подход
|
|
Стоимость
|
74 030
|
45 940
|
|
Вес подхода
|
0,4
|
0,6
|
|
Приведенная стоимость
|
57 176
|
В статье нематериальные активы
указана лицензия, действие которой заканчивается в ноябре 2016 года. По
результатам оценки стоимости лицензии составляет - 196 300 руб. В связи с
оставшимся сроком действия лицензии, считаем возможным переоценить стоимость:
Стоимость лицензии = 196 300 · 29 =
81 300 руб., (20)
где 29 - оставшейся срок действия
лицензии.
Метод начальных затрат основан на
определении стоимости воссоздания оцениваемого объекта.
Выявляются все фактические затраты,
связанные с созданием (приобретением) и введением в действие оцениваемого
объекта интеллектуальной собственности (нематериального актива), включая
расходы по приведению их в состояние, в котором они пригодны к использованию в
запланированных целях. Данные по фактическим затратам извлекаются из документов
бухгалтерского учета и отчетности предприятия за несколько последних лет, когда
выполнялась работа по созданию актива и приведению его до состояния, готового к
использованию. При этом следует обратить внимание на их величину и на дату,
когда понесены эти затраты
Таблица 15. Начальные затраты
|
Затраты
|
Стоимость, руб
|
|
Обучение (1 уровень)
|
20060
|
|
Обучение (2 уровень)
|
40120
|
|
Обучение (3 уровень)
|
60180
|
|
Билеты в Москву
|
6300
|
|
Лицензия
|
5300
|
|
Проживание в Москве
|
15000
|
|
Итого затраты
|
146960
|
Стоимость лицензии = Итого
затраты·1,13 = 166 064 руб. (21)
,13 - прибыль предпринимателя.
Доходный подход
Методы доходного подхода при расчете
рыночной стоимости прав на объекты интеллектуальной собственности ориентированы
на определение экономических выгод, ожидаемых от его использования. Этот подход
основан на определении размера прибыли, ассоциированной с оцениваемым активом,
коэффициента капитализации, ставки дисконта, учитывающих степень риска,
связанного с доходностью оцениваемого актива и остаточной величиной полезного
срока его службы.
Доходный подход основан на методах:
Метод дисконтирования денежных
потоков - оценка рыночной стоимости интеллектуальной собственности методом
дисконтированных денежных потоков в следующей последовательности:
определяется прогнозный период (не
более полезного остаточного срока службы оцениваемого интеллектуального актива)
оцениваются будущие денежные потоки,
отражающие динамику чистого дохода предприятия по годам прогнозируемого
периода;
определяется период и ставка
дисконтирования;
определяется текущая стоимость
рассчитанных чистых доходов от использования нематериального актива;
рыночная стоимость нематериального
актива рассчитывается как суммарная текущая стоимость доходов, приходящихся на
долю нематериального актива.
Таблица 16. Расчет чистого дохода
|
Затраты 1 год
|
|
Доходы
|
|
|
Аренда (30 м2) 250 руб.
|
90000
|
Количество отчетов
|
45
|
|
Мебель
|
10000
|
Стоимость отчетов
|
13 000
|
|
Оргтехника
|
60000
|
|
|
|
Канцтовары
|
15000
|
|
|
|
ГСМ
|
60000
|
|
|
|
Н. расходы
|
10000
|
|
|
|
налоги
|
35100
|
|
|
|
Зарплата (10 000 руб.)
|
360000
|
|
|
|
Итого затраты
|
640100
|
Итого доходов
|
585 000
|
|
Чистый доход за первый год
|
|
|
-55 000
|
|
Затраты 2 год
|
|
|
Доход
|
|
|
Аренда (30 м2) 250 руб.
|
90000
|
|
Количество отчетов
|
50
|
|
Канцтовары
|
15000
|
|
Стоимость отчетов
|
13 000
|
|
ГСМ
|
60000
|
|
|
|
|
Н. расходы
|
10000
|
|
|
|
|
налоги
|
39000
|
|
|
|
|
Зарплата (10 000 руб.)
|
360000
|
|
|
|
|
Итого затраты
|
574000
|
|
Итого доходов
|
650 000
|
|
Чистый доход за второй год
|
|
|
|
76 000
|
|
Затраты 3 год
|
|
|
Доход
|
|
|
Аренда (30 м2) 250 руб.
|
90000
|
|
Количество отчетов
|
60
|
|
Канцтовары
|
15000
|
|
Стоимость отчетов
|
13 000
|
|
ГСМ
|
60000
|
|
|
|
|
Н. расходы
|
10000
|
|
|
|
|
Налоги
|
46800
|
|
|
|
|
Зарплата (10 000 руб.)
|
360000
|
|
|
|
|
Итого затраты
|
581800
|
|
Итого доходов
|
780 000
|
|
Чистый доходы за третий год
|
|
|
|
198 200
|
|
Затраты 4 год
|
|
|
Доход
|
|
|
Аренда(30 м2) 250 руб.
|
90000
|
|
Количество отчетов
|
70
|
|
Канцтовары
|
15000
|
|
Стоимость отчетов
|
13 000
|
|
ГСМ
|
60000
|
|
|
|
|
Н. расходы
|
10000
|
|
|
|
|
Налоги
|
54600
|
|
|
|
|
Зарплата (15 000 руб.)
|
540000
|
|
|
|
|
Итого затраты
|
769600
|
|
Итого доходов
|
910 000
|
|
Чистый доходы за четвертый год
|
|
|
|
140400
|
|
Затраты 5 год
|
|
|
Доход
|
|
|
Аренда(30 м2) 250 руб.
|
90000
|
|
Количество отчетов
|
80
|
|
Канцтовары
|
15000
|
|
Стоимость отчетов
|
13 000
|
|
ГСМ
|
60000
|
|
|
|
|
Н. расходы
|
10000
|
|
|
|
|
Налоги
|
62400
|
|
|
|
|
Зарплата (15 000 руб.)
|
540000
|
|
|
|
|
Итого затраты
|
777400
|
|
Итого доходов
|
1040000
|
|
Чистый доходы за пятый год
|
|
|
|
262600
|
рыночная стоимость бизнес оценка
Расчет ставки дисконта Метод по
Постановлению Правительства РФ №1470 от 22.11.97 г.
В Приложение N 1 к Положению об
оценке эффективности инвестиционных проектов при размещении на конкурсной
основе централизованных инвестиционных ресурсов Бюджета развития Российской
Федерации расчет ставки дисконта осуществляется по следующей методике:
Коэффициент дисконтирования (d) без
учета риска проекта i определяется как отношение ставки рефинансирования (r), установленной
Центральным банком Российской Федерации, и объявленного Правительством
Российской Федерации на текущий год темпа инфляции (i):
1+ r/100
1+di = --------------
1+ i/100 (22)
Таблица.17- Поправка на риск проекта
|
Величина риска
|
Примерные цели проекта
|
Р, % риска
|
|
Низкий
|
Вложения при интенсификации производства на базе освоения новой
техники
|
3-5
|
|
Средний
|
Увеличения объема продаж существующей продукции
|
8-10
|
|
Высокий
|
Продвижение на рынок нового продукта
|
13-15
|
|
Очень высокий
|
Вложения в исследования и инновации
|
18-20
|
Коэффициент дисконтирования,
учитывающий риски при реализации проекта, определяется по формуле:
= di + Р/100; (23)
где Р/100 поправка на риск.
Ставка рефинансирования - 12%. Темп инфляции на текущий год - 8%.
Величина риска оценивается как высокая - Р = 18%.= (1+ r/100)/(1+
i/100)-1= 0.41, считаем что значение di не объективна, принимаем за величину
безрисковой ставки ставку рефинансирования - 12%.i= df+ Р/100 = 12+15 = 27%
Для расчетов принимаем ставку дисконтирования равную 27 %.
Стоимость лицензии:
=
(-55 000/1,27) + (76 000/(1,27)2) + (198 200/(1,27)3) + (140 040/(1,27)4) +
(262 600/(1,27)5) = 226 578 руб.
где С - стоимость лицензии, полученная методом дисконтирования
денежных потоков,
ДП - денежный поток за t- ый год- ставка дисконтирования.
Подход по сравнению продаж основан на принципе эффективно
функционирующего рынка, на котором инвесторы покупают и продают аналогичные
активы, принимая независимые индивидуальные решения. Данные по аналогичным
сделкам сравниваются с оцениваемым активом.
Использование сравнительного подхода осуществляется при наличии
достоверной и доступной информации о ценах аналогов оцениваемого
нематериального актива и действительных условиях сделки с ними. При этом может
использоваться информация о ценах сделок, предложений и спроса.
Подход оценщиком не применялся, потому что по данным видам сделок
информация недоступна.
Согласование результатов оценки.
Описанными выше различными методами в рамках доходного и
затратного подходов оценщику удалось найти два ориентира рыночной стоимости
оцениваемого имущества. Окончательное, итоговое суждение о стоимости имущества
выносится оценщиком на основе анализа полученных ориентиров стоимости
оцениваемого имущества, полученных в рамках классических подходов к оценке. Для
согласования результатов необходимо определить веса, в соответствии с которыми
отдельные, ранее полученные ориентиры, сформируют итоговую рыночную стоимость
имущества. Считаем придать равные веса обоим подходам, так как достоверность
полученной информации равноценна.
Таблица 18. Результаты согласования
|
Подход
|
Доходный
|
Затратный
|
|
Величина рыночной стоимости, руб.
|
226 578
|
166 064
|
0,5
|
0,5
|
|
Согласованная величина стоимости
|
196 321 руб.
|
Результаты переоценки сведены в
таблицу 19.
Таблица 19. Расчет активов
|
Наименование статьи
|
По бухгалтерскому балансу, руб.
|
По рыночной стоимости, руб.
|
|
1. Внеоборотные активы, всего
|
52 116
|
138 476
|
|
в том числе
|
|
|
|
основные средства
|
23 428
|
57 176
|
|
нематериальные активы
|
28 688
|
81 300
|
|
другие внеоборотные средства
|
|
|
|
2. Оборотные активы, всего
|
23 781
|
23 781
|
|
в том числе
|
|
|
|
запасы
|
281
|
281
|
|
дебиторская задолженность (более 12 мес.)
|
3675
|
3675
|
|
дебиторская задолженность (менее 12 мес.)
|
|
|
|
денежные средства
|
19 825
|
19 825
|
|
прочие оборотные активы
|
|
|
|
Итого активов
|
75 897
|
162 257
|
|
4. Долгосрочные пассивы
|
-
|
-
|
|
5. Краткосрочные пассивы
|
18 994
|
18 494
|
|
Чистые активы
|
56 903
|
143 763
|
Стоимость бизнеса методом чистых
активов составляет 143763 руб.
.2 Оценка направлений развития
предприятия ООО “Промышленная безопасность”
В качестве управленческого решения
принято решение о приобретении дополнения к лицензии для расширения вида
деятельности - проведение электроизмерительных работ.
Необходимы приборы:
Омметр ЭС 0212 -1800 руб.
Мегаомметр М 4101-05 - 4600 руб.
Измеритель сопротивления петля фаза
нуль ЭК0220 - 12000 руб.
После покупки приборов требуется
поверка.
Прогноз дополнительной прибыли
строится на основании того, что для выполнения данной работы приглашаются
сторонние специалисты. В течение года возможно обследование 450 лифтов,
стоимость работы 500 руб. Дополнительная прибыль составляет 225 000 руб.
Расчет денежного потока представлен
в Таблице 20.
Таблица 20. Прогноз денежного потока
|
|
Прогнозный период
|
Постпрогнозный период
|
|
2014 г.
|
2015 г.
|
2016 г.
|
|
Прирост выручки, руб.
|
1.24
|
1.11
|
1.11
|
|
Выручка от реализации, руб.
|
2083025
|
2318101
|
2579705
|
|
Налог с дохода (6%), руб.
|
124981,5
|
139086
|
154782,3
|
|
Затраты
|
|
|
|
|
Аренда, руб.
|
97200
|
104976
|
113374,1
|
|
Канцтовары, руб.
|
18714,23
|
20631,09
|
22959,38
|
|
Доля канцтоваров выручке
|
0,0089
|
0,0089
|
0,0089
|
|
ГСМ, руб.
|
74857,67
|
83305,58
|
92706,86
|
|
Доля ГСМ в выручке
|
0,035937
|
0,035937
|
0,035937
|
|
Итого затраты, руб.
|
190771,9
|
208912,7
|
229040,3
|
|
Заработная плата, руб.
|
1437287
|
1599489
|
1779997
|
|
Доля заработной платы в выручке, руб.
|
0,69
|
0,69
|
0,69
|
|
ДП, руб.
|
329984,3
|
370612,5
|
415886
|
|
Ставка дисконтирования
|
0,18
|
|
ДДП, руб.
|
279 647
|
266 168
|
|
|
Стоимость бизнеса
|
4 833 300
|
|
|
|
|
|
Определение стоимости бизнеса в
прогнозном периоде.
При применении в оценке метода ДДП
необходимо суммировать текущие стоимости периодических денежных потоков,
которые приносит объект оценки в прогнозный период.
Стоимость объекта оценки методом
дисконтирования денежных потоков:
n
Сдоходный = S ДДП (кд) + Срп, (24)
1
где: ДДП (кд) - дисконтированный
денежный поток за к-тый расчетный интервал.
Срп - стоимость в пост прогнозном
периоде;
Сумма текущих стоимостей:
S ДДП(кд) = ДП1/(1+R)1+
ДП2/(1+R)2; (25)
где ДП1, ДП2 … - прогноз денежного
потока в соответствующем году;- ставка дисконта;
Срп = ДП3/(1+R)2·(R-0.11) (26)
Денежные потоки взяты из Таблицы 6.
SДДП(кд)=329984/(1.18)+370612,5/(1.18)2+415886/(1.18)2·(0.18-0.11)=
4 833 300 руб.
Стоимость бизнеса методом
дисконтирования денежных потоков составляет 4 833 300 руб.
В связи с покупкой приборов активы
организации увеличиваются, так как основные средства увеличиваются на сумму 18
400 руб. Расчет стоимости чистых активов сведен в Таблицу 21.
Таблица 21. Расчет активов
|
Наименование статьи
|
Стоимость, руб.
|
|
1. Внеоборотные активы, всего
|
156 876
|
|
в том числе
|
|
|
основные средства
|
75 576
|
|
нематериальные активы
|
81 300
|
|
другие внеоборотные средства
|
|
|
2. Оборотные активы - всего
|
5381
|
|
в том числе
|
|
|
запасы
|
281
|
|
дебиторская задолженность (более 12 мес.)
|
3675
|
|
дебиторская задолженность (менее 12 мес.)
|
|
|
денежные средства
|
1425
|
|
прочие оборотные активы
|
|
|
Итого активов
|
162 257
|
|
4. Долгосрочные пассивы
|
-
|
|
5. Краткосрочные пассивы
|
18 494
|
|
Чистые активы
|
143 763
|
.3 Согласование результатов оценки
Описанными выше различными методами
в рамках доходного и затратного подходов оценщику удалось найти два ориентира
рыночной стоимости оцениваемого имущества. Окончательное, итоговое суждение о
стоимости имущества выносится оценщиком на основе анализа полученных ориентиров
стоимости оцениваемого имущества, полученных в рамках классических подходов к
оценке. Для согласования результатов необходимо определить веса, в соответствии
с которыми отдельные, ранее полученные ориентиры, сформируют итоговую рыночную
стоимость имущества. Для определения весов различных подходов используем четыре
приведенных ниже критерия, которыми будем описывать те или иные преимущества
или недостатки примененного метода расчета с учетом особенностей настоящей
оценки. Подробное обсуждение такого подхода к процедуре согласования
опубликовано А. Шаскольским, работавшей в рамках VIII Международном ежегодном
конгрессе “СЕРЕАН” 15 - 19 октября 2002г.
Для расчета весов использованных
методов проделаем следующие вычисления:
построим матрицу (таблицу) факторов,
присвоив каждому подходу четыре вида баллов в соответствии с четырьмя
критериями;
найдем сумму баллов каждого подхода;
найдем сумму баллов всех
используемых подходов;
по отношению суммы баллов данного
подхода к сумме баллов всех использованных подходов найдем расчетный вес
подхода в процентах;
округлим расчетные веса подходов с
точность до 10% в целях использования данных весов для согласования. Округление
необходимо в связи с тем, что неокругленные веса порождают у читателя отчета
ошибочное представление о точности полученного результата, что может нанести
заинтересованному лицу больше вреда, чем кажущаяся чисто формальная ошибка,
якобы вносимая округлением в итоговый результат.
на основе округленных весов
рассчитаем согласованную стоимость оцениваемого имущества путем умножения
полученного с помощью данного подхода ориентира стоимости на округленный вес
подхода, рассчитанный в целях согласования стоимостей.
Таблица 22. Согласование результатов
|
Подход
|
Доходный
|
Затратный
|
|
Величина стоимости бизнеса Вариант 1
|
4 167 930
|
143 763
|
|
Величина стоимости бизнеса Вариант 2
|
4 833 300
|
143 763
|
|
Критерий
|
Баллы
|
|
Способность учитывать специфические особенности объекта,
влияющие на его стоимость
|
5
|
1
|
|
Способность подхода учитывать структуру ценообразующих факторов,
специфичных для объекта
|
4
|
1
|
|
Достоверность и достаточность информации, на основе которой
проводились анализ и расчеты
|
5
|
2
|
|
Способность подхода отразить мотивацию, действительные намерения
типичного инвестора/продавца
|
5
|
1
|
|
Итого сумма баллов для данного подхода
|
19
|
5
|
|
Сумма баллов
|
24
|
|
Вес подхода, %
|
79%
|
21%
|
|
Вес подхода округленно до 10%
|
80%
|
20%
|
|
Согласованная величина стоимости Вариант 1
|
3 363 100 руб.
|
|
Согласованная величина стоимости Вариант 2
|
3 895 400 руб.
|
Заключение
В дипломной работе были рассмотрены
теоретические аспекты стоимости бизнеса, рассмотрены затратный, сравнительный и
доходный подходы при оценке бизнеса. В рамках каждого подхода рассмотрены
методы оценки бизнеса.
Анализ финансового состояния
предприятия показал:
что предприятию не требуется больших
оборотных средств для осуществления деятельности, т.к. оно занимается оказанием
профессиональных услуг;
все обязательства фирмы могут быть
удовлетворены за счет собственных средств;
предприятие не зависит от
кредиторской задолженности;
предприятие самостоятельно
финансируется за счет собственных оборотных средств;
предприятие не вкладывает средства в
наиболее ликвидные активы, т.к. оно занимается преимущественно оказанием
профессиональных услуг;
прибыль у предприятия зависит от
репутации и нематериальных активов в виде сотрудников.
Произведен расчет стоимости бизнеса
для принятия управленческого решения. Расчет производился двумя подходами -
затратным и доходным. Сравнительный подход не применялся в связи с отсутствием
информации о продажи подобных предприятий.
В результате расчета были получены
две величины стоимости бизнеса - до принятия (3 363 100 руб.) и после принятия
(3 895 400 руб.) управленческого решения. Как показал расчет, после принятия
управленческого решения стоимость бизнеса увеличивается на 15%, что говорит о
целесообразности принятия решения о расширении бизнеса.
Список литературы
1. Конституция Российской Федерации (принята на всенародном
голосовании 12.12.1993г.). «ГАРАНТ-Максимум», версия 02.12.2013г.
. Гражданский кодекс РФ (части первая, вторая и третья) (с
изм. и доп. от 20 февраля, 12 августа 1996г., 24 октября 1997г., 8 июля, 17
декабря 1999г., 16 апреля, 15 мая, 26 ноября 2001г., 21 марта, 14, 26 ноября
2002г., 10 января, 26 марта, 11 ноября, 23 декабря 2003г., 29 июня, 29 июля
2004г.). «ГАРАНТ-Максимум», версия 02.12.2013г.
. ФСО №№ 1-3, утвержденные приказом Минэкономразвития
России № 256 от 20.07.2009г
. Федеральный закон РФ от 21.11.96г. № 129-ФЗ «О
бухгалтерском учете».
. Постановление Правительства РФ от 06.07.2001г. №519
"Об утверждении стандартов оценки". «ГАРАНТ-Максимум», версия
02.12.2013г.
. Приказ Минфина РФ от 20.03.01 № 62н «Об утверждении
положения по бухгалтерскому учету «Учет основных средств» ПБУ 6/2001»,
зарегистрированный Минюстом РФ 28.04.01, №2689. «ГАРАНТ-Максимум», версия
02.12.2013г.
. Регламент предоставления кредитов юридическим лицам
Сбербанком России и его филиалами от 08.12.1997г. N 285-р (утв. Комитетом
Сбербанка РФ по предоставлению кредитов и инвестиций) (с изм. и доп. от
01.10.1998г., 29.01.1999г.). «ГАРАНТ-Максимум», версия 02.12.2013г.
. Стандарты и Правила оценочной деятельности НП «СМАОс»
«Оценка недвижимости», утвержденные Советом директоров НП «СМАОс», протокол №7
от 24.10.2013г.
. Валдайцев С.В. Оценка бизнеса: учеб. -2-е изд.,
переработанное и дополненное.- М.: Т-к Велби, изд-во Проспект, 2012.-360 с.
. Грязнова А. Г, М. А. Федотова. Оценка бизнеса, Финансы и
статистика, Москва, 2011 год.
. Гребенщиков В.Г., Е. И. Нейман «Методологические основы
оценки стоимости имущества». М.: «ИНТЕРРЕКЛАМА», 2010.
. Галасюк В.В., Галасюк В.В. Кредитование под залог и
ликвидационная стоимость. Под ред. Губенко С.Н. - Днепропетровск: Новая
идеология, 2011. - 89 с.
. Григорьев В. В, И. М. Островкин, «Оценка предприятий
имущественный подход». - М.: «Дело», 2009. - 244 с.
. Козырев А.Н. Оценка интеллектуальной собственности.-М.:
Экспертное бюро, 2010.-278с
. Организация и методы оценки предприятия (бизнеса). Под
ред. В.И.Кошкина, М,:ИКФ «ЭКМОС».2009
. Козырь Ю.В.. К вопросу о стоимости контроля., М.,
«Вопросы оценки», № 3, 2011, www.appraiser.ru.
. Козырь Ю.В.. Оценка скидки на неликвидность., М.,
«Вопросы оценки», №4, 2011, www.appraiser.ru.
. Щербаков В.А., Щербакова Н.А. Оценка стоимости
предприятия (бизнеса). - М.: Омега-Л, 2009.- 288 с.: ил., табл.
. Симонова Н.Е, Симонов Р.Ю, Оценка стоимости предприятия
(бизнеса). М.: «МарТ», 2009.
. Соколов В.Н. Методы оценки предприятия. СПб.:СПБГИЭУ,
2009.
. Сычева Г.И., Колбачев Е.Б., Сычев В.А, Оценка стоимости
предприятия (бизнеса). М.: Феникс, 2009.
. Григорьев В.В, Федотова М.А. Оценка предприятия: теория и
практика. М.: Инфра-М, 2009., 133с.
. Оценка бизнеса. Под ред. А.Г. Грязновой и М.А. Федотовой.
Изд. 2 перераб. И доп., М.: Финансы и статистика, 2010 - 736с.
. Оценка стоимости предприятия (бизнеса). Под ред.
Абдулаева Н.А., Колайко Н.А. - М.:Экмос, 2010.
. Любушкин Н.П., Лещева В.Б., Дъякова В.Г. Анализ
финансово-экономической деятельности предприятия:. - М.: ЮНИТИ-ДАНА, 2009. 471
с.
. Организация и методы оценки предприятия (бизнеса):
Учебник /В.И. Кошкин, Н.А. Колайко, В.В. Мокрышев, В.В. Букреев; ]Под ред.
Кошкина В.И.; Высш. шк. приватизации и предпринимательства. - М.: ЭКМОС, 2010.-
937 с.
. Пратт Ш. Принципы оценки бизнеса. - М.: ЗАО
«Олимп-Бизнес», 2011.
. Стандарты оценки, обязательные к применению субъектами
оценочной деятельности, утвержденные Постановлением Правительства РФ №519 от 6
июля 2011 г.
. Антикризисное управление / Под. ред. Г.К. Таля, М.А.
Федотовой. - М.: Инфра - м, 2009.
. Булычева Г.В., Демшин В.В. Практические аспекты
применениня доходного подхода к оценке российских предприятий. М.:Финансовая академия
при Правительстве РФ, 2011
. www.deloshop.ru
. www.rcb.ru
. www.pro-invest.ru
Похожие работы на - Оценка рыночной стоимости бизнеса на материалах ООО 'Промышленная безопасность'
|