Проект ректификационной установки для разделения бинарной смеси 'вода-уксусная кислота'
Содержание
Задание на проектирование
Введение
. Технологическая схема и ее
описание
. Подбор конструкционного материала
. Технологический расчет аппарата
.1 Материальный баланс, выбор
флегмового числа
.2 Расчет скорости пара и диаметра
колонны
.3 Расчет колпачковой тарелки.
Гидравлический расчет
.4 Определение числа тарелок и
высоты колонны
.5 Тепловой баланс колонны
. Механический расчет
.1 Расчёт толщины обечайки, днища и
крышки
.2 Расчёт диаметров штуцеров
.3 Расчет веса и высоты аппарата
.4 Расчет стенки цилиндрической
опоры и катета сварного шва
.5 Расчет тепловой изоляции
. Холодильник дистиллята
.1 Технологический расчет
.2 Гидравлический расчет
.3 Подбор штуцеров
Заключение
Список литературы
Приложение
Задание на проектирование
Выполнить проект ректификационной установки
непрерывного действия для разделения бинарной смеси вода - уксусная кислота.
Тип колонны - тарельчатая колпачковая. Колонна работает под атмосферным
давлением. Исходная смесь, содержащая 40% (масс.) низкокипящего компонента, имеет
температуру 20oC
и перед подачей в колонну подогревается в кожухотрубчатом теплообменнике до
температуры кипения. Давление греющего пара Р = 0,3 МПа. Расход исходной смеси GF
= 3,5 кг/с. Содержание низкокипящего компонента в дистилляте 96%, в кубовом остатке
3%. В дефлегматоре пары конденсируются полностью. Продукты охлаждаются в
холодильнике до температуры 25 oC.
Начальную температуру охлаждающей воды принять 20 oC.
Выполнить подробный расчет ректификационной
колонны и холодильника дистиллята. Выполнить чертежи ректификационной колонны и
теплообменника.
Введение
Ректификация (от лат. rectus-
прямой, простой и facio-делаю),
разделение многокомпонентных жидких смесей на отдельные компоненты путем
двустороннего массообмена и теплообмена между неравновесными жидкой и паровой
фазами, имеющими различную температуру и движущимися противоположно друг другу.
Ректификация заключается в противоточном взаимодействии паров, образующихся при
перегонке, с жидкостью, получающейся при конденсации паров.
Разделение осуществляется обычно в колоннах
аппаратах при многократном или непрерывном контакте фаз. При каждом контакте из
жидкости испаряется преимущественно низкокипящий компонент, которым обогащаются
пары, а из паровой конденсируются преимущественно высококипящий компонент,
переходящий в жидкость. В результате обмена компонентами между фазами, в
конечном счете, пары представляют собой почти чистый низкокипящий компонент.
Эти пары, выходящие из верхней части колонны, после их конденсации в отдельном
аппарате дают дистиллят (верхний продукт) и флегму - жидкость, возвращающую для
орошения колонны и взаимодействия с поднимающимися в колонне парами. Снизу
удаляется жидкость, представляющая собой почти чистый высококипящий компонент -
кубовый остаток (нижний продукт). Часть остатка испаряют в нижней части колонны
для получения восходящего потока пара.
По способу проведения различают непрерывную и
периодическую ректификацию. В первом случае разделяемая смесь непрерывно
подается в ректификационную колонну и из колонны непрерывно отводится в две и
более число фракций, обогащенных одними компонентами и обедненных другими. При
периодической ректификации исходная жидкая смесь единовременно загружается в
куб колонны, емкость которого соответствует желаемой производительности. Операция
продолжается до полной переработки первоначально загруженной смеси.
В промышленности для проведения процесса
ректификации используют два типа колонн:
· тарельчатые, в которых контактные
устройства выполнены в виде тарелок, расположенных на определенном расстоянии
друг от друга;
· насадочные, в которых контактные
устройства заполняют практически весь объем колонны.
Конструкции тарелок весьма разнообразны, часть
из них стандартизована. Выбор типа тарелки определяется видом смеси,
производительностью колонны, требованиями по степени ректификации, качеству
разделяемых компонентов (фракций) и т.п. Тарельчатые колонны используются, как
правило, в крупнотоннажных производствах.
В тарельчатых контактных устройствах
интенсификация процесса тепломассообмена между взаимодействующими жидкой и
паровой фазами обеспечивается, в основном, за счет максимально возможного
увеличения относительной скорости движения фаз. (Предельная интенсивность
процесса достигается при турбулизации двухфазной системы, однако, в традиционных
конструкциях тарелок достичь турбулентного течения не удается из-за ограничений
по скорости паровой фазы, обусловленных «захлебыванием» колонны и недопустимо
высокими потерями давления в тарелках).
Насадочные колонны приобретают все более широкое
распространение в последние годы. Используемые в них насадки также весьма
разнообразны по конструкции и применяемому материалу. Насадочные контактные
устройства имеют высокую эффективность, хорошие массовые характеристики,
однако, как правило, с ростом диаметра колонны их эффективность резко падает, а
некоторые типы насадок теряют работоспособность уже при диаметре колонны 1000
м. Кроме того, они, ка правило, дороже тарельчатых. Поэтому насадочные колонны
обычно используются в малотоннажном производстве.
В насадочных контактных устройствах, в отличие
от тарельчатых, процесс тепломассообмена осуществляется не за счет организации
интенсивного перемешивания взаимодействующих фаз, а за счет увеличения
поверхности границы раздела фаз.
Основные области промышленного применения
ректификации - получение отдельных фракций и индивидуальных углеводородов из
нефтяного сырья в нефтеперерабатывающей и нефтехимической промышленности, а
также получение многих органических и неорганических продуктов в химической
технологии. Ректификация широко используется и в других отраслях народного
хозяйства: цветной металлургии, коксохимической, лесохимической, пищевой,
химико-фармацевтической промышленностях.
колонна тарелка колпачок дистиллят
.
Технологическая схема и ее описание
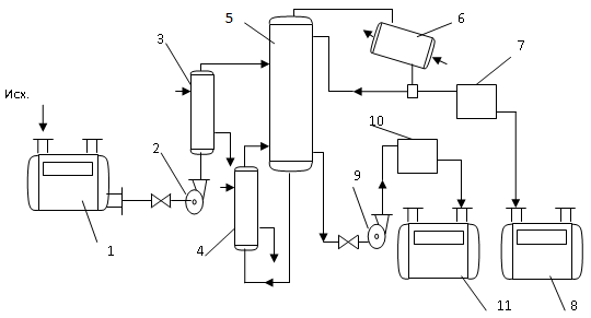
Рис. 1. Принципиальная схема ректификационной
установки: 1 - емкость для исходной смеси; 2, 9 - насосы; 3 -
теплообменник-подогреватель; 4 - кипятильник; 5 - ректификационная колонна; 6 -
дефлегматор; 7 - холодильник дистиллята; 8 - емкость для сбора дистиллята; 10 -
холодильник кубовой жидкости; 11 - емкость для кубовой жидкости.
Исходная смесь из промежуточной емкости 1
центробежным насосом 2 подается в теплообменник 3, где подогревается до
температуры кипения. Нагретая смесь поступает на разделение в ректификационную
колонну 5 на тарелку питания, где состав жидкости равен исходной смеси xF.
Стекая вниз по колонне, жидкость взаимодействует
с поднимающимся вверх паром, образующимся при кипении кубовой жидкости в
кипятильнике 4. Начальный состав пара примерно равен составу кубового остатка.
В результате массообмена с жидкостью пар обогащается легколетучим компонентом.
Для более полного обогащения верхнюю часть колонны орошают в соответствии с
заданным флегмовым числом, жидкостью (флегмой) состава xp,
которая получается в дефлегматоре 6 путем конденсации пара, выходящего из
колонны. Часть конденсата выводится из дефлегматора в виде готового продукта
разделения - дистиллята, который охлаждается в теплообменнике 7, и направляется
в промежуточную емкость 8.
Из кубовой части колонны насосом 9 выводится
кубовая жидкость - продукт, обогащенный труднолетучим компонентом, который
охлаждается в теплообменнике 10 и направляется в емкость 11.
Таким образом, в ректификационной колонне
осуществляется непрерывный неравновесный процесс разделения исходной бинарной
смеси на дистиллят (с высоким содержанием легколетучего компонента) и кубовой
остаток (обогащенный труднолетучим компонентом).
.
Подбор конструкционного материала
При конструировании химической аппаратуры
следует применять стойкие металлические и неметаллические конструкционные
материалы в заданных агрессивных средах. Важно учитывать все виды возможного
коррозийного разрушения материалов в агрессивной среде при заданных рабочих
параметрах. При выполнении прочностных расчетов в первую очередь сталкиваются с
необходимостью оценки общей поверхностной коррозии выбираемого конструкционного
материала, характеризующегося проницаемостью υмм/год.
Всегда нужно стремиться к выбору конструкционных
материалов, характеризующихся минимальной проницаемостью.
В расчетах аппаратуры на прочность, потеря по
толщине материала на коррозию, учитывается соответствующей прибавкой С,
определяемой амортизационным сроком службы аппарата и проницаемостью по
формуле:
C = υ∙τ,
где υ = 0,1 мм/год
- коррозионная проницаемость;
τ = 20 лет -
амортизационный срок службы аппарата.
Тогда, C = 0,1∙20 = 2 мм = 0,002 мм.
Выбираем материал по таблице[,с.29].
Принимаем сталь Х18Н9Т. Сталь Х18Н9Т применяется
для обечаек, днищ, фланцев, трубных решеток, патрубков штуцеров, тарелок и
других деталей сварной, кованной, литой химической аппаратуры, работающих в
условиях рабочих температур -253 oС
до +610 oС
и неограниченным давлением.
Остальные детали, не соприкасающиеся с
токсичной, коррозионной средой, изготовляются из стали Ст3.
.
Технологический расчет колонны
3.1 Материальный баланс и выбор флегмового числа
Обозначим массовый расход дистиллята
через 
и кубового остатка через 
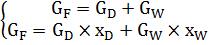
Уравнения материального баланса:
Рассчитаем молярные массы воды и
уксусной кислоты.

Рассчитаем и выражаем концентрации
питания, дистиллята и кубового остатка в мольных долях.
Питание:
Дистиллят:
Кубовый остаток:
Относительный мольных расход
питания:
Кривая равновесия точек перегиба не
имеет.
Определяем минимальное число флегмы
по уравнению:
Мольную долю воды в паре, с
равновесном с жидкостью питания и определяем по диаграмме 
(приложения А1)
Рабочее число флегмы по уравнению:
Уравнения рабочих линий:
а) верхней (укрепляющей) части
колонны:

б) нижней (исчерпывающей) части
колонны:


3.2 Определение скорости пара и диаметра колонны
Средние концентрации жидкости:
а) в верхней части колонны


б) в нижний части колонны
Средние концентрации пара находим по
уравнениям рабочих линий:
а) в верхней части колонны


б) в нижний части колонны
Средняя температура пара определяем
по диаграмме 
(приложения Б.1.)
а) при 

б) при 

Средние мольные массы и плотности
пара:
1. в верхней части колонны
. в нижней части колонны
Средняя плотность пара в колонне:
Температура верхней части колонны
при 
равняется 
, а в кубе испарителе при 
равняется 
(приложения Б.1.)
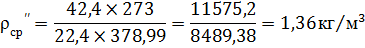
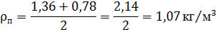
Плотность жидкой воды при 

, плотность жидкой уксусной кислоты
при температуре 

.
Принимаем среднюю плотность жидкости
в колонне:
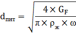
Определяем скорость пара в колонне.
По данным каталога-справочника «Колонные аппараты» принимаем расстояние между
тарелками h= 500 мм.
Для колпачковых тарелок по графику [, с.323, рис. 7.2.] находим С = 0,048.
Скорость пара в колонне:
Объёмный расход проходящего через
колонну пара при средней температуре в колонне:

Мольная масса дистиллята:
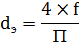
Диаметр колонны:
Принимаем диаметр колонны 
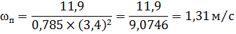
Скорость пара в колонне:

3.3 Расчет колпачковой тарелки.
Гидравлический расчет тарелок
После определения диаметра колонны
подбираем по нормалям и определяем расчетом конструктивные размеры основных
элементов колонны и тарелки, количество паровых патрубков, размеры колпачка.
Диаметр патрубка принимаем по
нормалям НИИХимМаша из ряда: 50, 75, 100, 125, 150 мм.
Задаёмся диаметром патрубка 100 мм.
Затем определяем количество колпачков на тарелке.
Принимают, что свободное сечение
патрубков должно составлять 10-15 % от свободного сечения тарелки. Тогда
количество колпачков на тарелке (оно равно количеству патрубков) определяем из
соотношения:
где 

Диаметр колпачка находим из условия
равенства скорости пара в газовом патрубке и в кольцевом сечении колпачка
(т.е., если скорости равны, что равны и площади).
Принимаем толщину стенки патрубка 3
мм.
где 

трений диаметр колпачка, м;

Из практических и нормализованных
данных размеры прорезей принимают следующие: ширина прорези (b) 2-7 мм,
высота прорези (l) 10-15 мм, расстояние между
прорезями 3-4 мм.
Принимаем: 
, высоту сливного порога
, расстояние между тарелками и
верхним краем прорези колпачка 
.
Располагаем колпачки по вершинам
равностороннего треугольника и рассчитаем прорези
Принимаем по 52 прорези в каждом
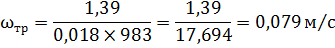
колпачке. Определяем скорость пара в прорезях:
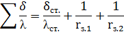
Гидравлическое сопротивление тарелки
определяем по формуле:
Сопротивление сухой тарелки:
где ц = 5,0 - коэффициент
сопротивления колпачковой тарелки.
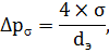
Сопротивление сил поверхностного
натяжения:
где 

Коэффициент сопротивление
поверхностного натяжения 


.
Рассчитаем эквивалентный диаметр:
Сопротивление столба жидкости на
тарелке:
где 
;

;

Тогда общее сопротивление одной
тарелки
3.4 Определение числа тарелок и высоты колонны
Число тарелок колонны определяем графическим
путем, пользуясь диаграммой y-x[Приложение
А.2., рис.П.А.2.]. На диаграмму y
- x наносим рабочие
линии верхней и нижней части колонны и находим число теоретических тарелок.
В верхней части колонны: n′т
≈ 5;
в нижней части колонны: n″т
≈ 7,
всего 12 ступеней.
Число тарелок рассчитываем по уравнению:
Для определения среднего к.п.д. тарелок з
находим коэффициент относительной летучести разделяемых компонентов и динамический
коэффициент вязкости исходной смеси µ.
При 

давление насыщенного пара 
при 

давление насыщенного пара 
Динамический коэффициент вязкости
при
(определяем из графика x,y/t):
Принимаем динамический коэффициент
вязкости исходной смеси 

Тогда,

По графику [стр.323,рис.7.4.]
находим 
.
Длина пути жидкости на тарелки 
Рис. 1 Окружность
Из технической характеристики
колпачковые тарелок типа ТСК-Р с диаметры колонны 


.
Рассмотрим прямоугольный треугольник
ABC. По теореме
Пифагора можно найти катет 
.
Находим радиус окружности:
По теореме Пифагора:
Найдем катет 
:

Тогда, длина пути жидкости на
тарелки получается
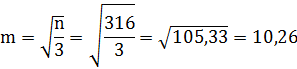
По графику[,с.324,рис.7.5.] находим
значение поправки на длину пути 
Средний КПД тарелок по уравнению:
Число тарелок:
1. в верхней части колонны:
2. в нижней части колонны:
Общее число тарелок n
= 24, с запасом n = 30, из
них в верхней части колонны 12 и в нижней части 18 тарелок.
Высота тарельчатой части колонны:
Общее гидравлическое сопротивление тарелок:
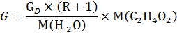
3.5 Тепловой баланс колонны
Расход теплоты, отдаваемой охлаждающей воде в
дефлегматоре-конденсаторе, находим по уравнению:
При 
Для воды
Для уксусной кислоты
Расход теплоты, получаемой в
кубе-испарителе от греющего пара, находим по уравнению:
Здесь тепловые потери 
приняты в размере 3% от полезно
затрачиваемой теплоты: удельные теплоемкости взяты соответственно при
температурах 
.






Расход теплоты с паровым
подогревателем исходной смеси:
Здесь тепловые потери приняты в
размере 5%.


Расход теплоты, отдаваемой
охлаждающей воде в водяном холодильнике дистиллята:


Расход теплоты, отдаваемой
охлаждающей воде в водяном холодильнике кубового остатка:


Расход греющего пара, имеющего
давление рабс. = 3 кгс/см2 и влажность 5%:
1) в кубе-испарителе:
где rг.п. = 2171∙103 Дж/кг -
удельная теплота конденсации греющего пара;
) в подогревателе исходной смеси:
где rг.п. = 2171∙103 Дж/кг -
удельная теплота конденсации греющего пара;
Всего: 
Расчет охлаждающей воды при нагреве
её на 20 oC:
1) в дефлегматоре:
) в водяном холодильнике дистиллята:
3) в водяном холодильнике кубового остатка:
Всего:

4. Механический расчет
.1 Расчёт толщины обечайки, днища и крышки
Материал обечайки - сталь Х18Н9Т при t
= -39 oС,
[σ] = 145 Мпа, φ
= 0,8 - сварка
выполняется автоматически под слоем флюса с односторонним поваром; P
= 1 атм. ≈ 1,2 МПа.
Минимальная толщина стенки по каталогу колонных
аппаратов 6 мм, поэтому принимаем толщину цилиндрической обечайки S = 6 мм.
Расчет толщины эллиптического днища и крышки.
Толщину стенки эллиптического отбортованного
днища и крышки определяем по:
Примем толщину стенки днища и крышки Sд = 6 мм.
.2 Расчёт диаметров штуцеров
Выбираем штуцера с фланцами стальными
плоскими приварными с соединительным выступом по МН 4579-63 
где 



Т.к. плотности жидкостей разделения
практически равны, то для всех штуцеров
,
. При этом штуцерами, проводящими
жидкость, будем считать: штуцер питания, штуцер отвода жидкости из куба в
испаритель, штуцер вывода кубового остатка, штуцер ввода флегмы и штуцер для
выхода жидкости на циркуляцию.
Скорость жидкости ω принимаем
равной 1 м/с и определяем диаметры:
1. штуцер питания и отвода жидкости из куба
в испаритель. Они равны, т.к. через них проходит одинаковое количество жидкости.
Принимаем штуцер с наружным
диаметром патрубка 
, с условным проходом 

2. штуцер вывода кубового остатка:
Принимаем штуцер с наружным
диаметром патрубка 
, с условным проходом 

3. штуцер ввода флегмы:
Принимаем штуцер с наружным
диаметром патрубка 
, с условным проходом 

4. штуцер для выхода жидкости на
циркуляцию:
Принимаем штуцер с наружным
диаметром патрубка 
, с условным проходом 

Плотность паров по высоте колонны
практически одинакова и составляет
,
. Штуцерами, проводящими пар, будем
считать штуцер выхода дистиллята, штуцер ввода паров из испарителя. Скорость
паров принимаем равной щп = 10 м/с и определим диаметры:
1. штуцер вывода дистиллята:
Принимаем штуцер с наружным
диаметром патрубка 
, с условным проходом 

2. штуцер ввода паров из испарителя:
Принимаем штуцер с наружным
диаметром патрубка 
, с условным проходом 

Таблица 1 Таблица штуцеров
|
Назначение
штуцера
|
Условный
проход Dy, мм
|
Наружный
диаметр dт, мм
|
|
Для
питания и отвода жидкости из куба в испаритель
|
65
|
76
|
|
Для
вывода кубового остатка
|
50
|
57
|
|
Для
ввода флегмы
|
100
|
108
|
|
Для
выхода жидкости на циркуляцию
|
200
|
219
|
|
Для
вывода дистиллята
|
500
|
530
|
|
Для
ввода паров из испарителя
|
600
|
630
|
Все штуцера снабжаются плоскими приварными
фланцами по ГОСТ 1255-67 [,с.547,табл.21.9]
Таблица 2 Список фланцев
|
Dy, мм
|
dн, мм
|
Dф, мм
|
Dб, мм
|
D1, мм
|
Болты
dб, мм
|
Число
отверстий
|
h, мм
|
h1, мм
|
|
600
|
630
|
755
|
705
|
670
|
М24
|
20
|
25
|
20
|
|
500
|
530
|
640
|
600
|
570
|
М20
|
16
|
25
|
20
|
|
100
|
108
|
205
|
170
|
148
|
М16
|
4
|
15
|
11
|
|
76
|
65
|
160
|
130
|
110
|
М12
|
4
|
13
|
11
|
|
50
|
57
|
140
|
110
|
90
|
М12
|
4
|
13
|
10
|
Используем плоские приварные фланцы, т.к. р≤2,5Мн/м2;
температура среды ≤300 oС.
Для фланцев используем материал ВМ Ст.3сп (сталь конструктивная углеродистая
обыкновенного качества). Для болтов используем Сталь 20 (сталь конструктивная
углеродистая), для гаек - Сталь 10 [,с.553,табл.21.11].
Прокладку выбираем плоскую неметаллическую
резиновую, т.к. р ≤ 0,6 МПа и температура среды от -30 oС
- 100 oС
[с.401,табл.13.4].
4.3 Расчет веса и высоты аппарата
.3.1 Расчет высоты аппарата
где 



.3.1 Расчет веса аппарата
Общий вес аппарата складывается из веса его
составных частей:
где 


Вес корпуса складывается из:
где 

Вес цилиндрической части колонны
равен:
где 



Вес днища равен:
где 
Вес корпуса равен:
Вес жидкости:
где 

Вес тарелок:
где 

Тогда общий вес аппарата будет равен:
4.4 Расчет стенки цилиндрической опоры и катета
сварного шва
Определим толщину стенки цилиндрической опоры.
Где 


По[,с.673] принимаем толщину
цилиндрической опоры 6 мм.
Рассчитаем катет сварного шва.
где 


Рассчитаем длину шва

Принимаем hшв. = 3 мм, т.к. катет
шва технологически не может быть меньше половины наименьшей толщины свариваемых
деталей.
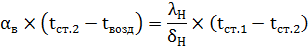
.5 Расчет тепловой изоляции
Определим необходимую толщину слоя
изоляции аппарата внутри которого 
(температура в кубе при
).
Принимаем температуру окружающего
воздуха: 
В качестве материала для тепловой
изоляции выбираем совелит (85% магнезин + 15% асбест), имеющий коэффициент
теплопроводности 
Найдем коэффициент теплоотдачи в
окружающую среду:
где дн - толщина тепловой изоляции;
лн - коэффициент теплопроводности
изоляционного материала;
бв - коэффициент теплоотдачи в
окружающую среду;



температура окружающего воздуха.
Наиболее горячая часть колонны -
куб, поэтому для всей колонны можно принять ту же толщину изоляции.
5. Холодильник дистиллята
.1 Технологический расчет
Рассчитаем и подберём
нормализованный вариант конструкции холодильника дистиллята.
Расход дистиллята 

. При средней температуре:
Вода имеет следующие
физико-химические характеристики:
В качестве хладагента используем
воду. Исходную смесь нагревают 
, тогда при средней температуре
равна:
Вода имеет следующие
физико-химические характеристики:
Смесь подаётся в холодильник с
начальной температурой 
Температура смеси на выходе из
холодильника 
Начальная температура воды 
, конечная - 
Определим количество теплоты,
отдаваемой охлаждающей воде в холодильнике:
Рассчитаем ориентировочно площадь
поверхности теплообмена.
Принимаем ориентировочно значение
коэффициента теплопередачи 

Найдем среднюю логарифмическую
разность температуры.
Задаваясь числом 
, определяем соотношении 
для конденсации из труб диаметром 
Расход воды:
Уточенный расчет поверхности.
В соответствии из 
соотношения 
принимаем наиболее близкое
заданному значению у теплообменник с диаметром кожуха 
, диаметром трубы 
, число ходов 
, общее число труб 
Наиболее близкое ориентировочному
значению поверхности теплопередачи имеет нормализованный аппарат с длиной трубы

, 

.
Критерий Рейнольдса:
Критерий Прандтля:
Коэффициент теплоотдачи к смеси
определим по уравнению:
Критерий Нуссельта:
Пренебрегаем поправкой 
и получим.
Площадь сечения потока в межтрубном
пространстве перегородками 
Критерий Рейнольдса:
Критерий Прандтля:
Коэффициент теплоотдачи к смеси
определим по уравнению:
Критерий Нуссельта:
Пренебрегаем поправкой 
и получим.
Оба теплоносителя -
малокоцентрированные водные растворы; поэтому в соответствии 
примем термические сопротивления
загрязнений одинаковыми, равными 
. Повышенная коррозионная активность
этих жидкостей диктует выбор нержавеющей стали в качестве материала труб.
Теплопроводность нержавеющей стали примем равной 
. Сумма термических сопротивлений
стенки и загрязнений равна
Коэффициент теплопередачи равен
Требуемая поверхность составит
Из 
следует, что выбранного ряда
подходит теплообменник с трубами длиной 
и номинальной поверхностью 
.2 Гидравлическое сопротивление
кожухотрубчатых теплообменников
В трубном пространстве перепад
давления определяют по уравнению, в которой длина пути жидкости равна 
. Скорость жидкости труб
Коэффициент трения определяют по
уравнению. При 
его можно также определить по
уравнению:
где 

(в расчетах можно принять 
.
Гидравлическое сопротивление в
трубном и межтрубном пространстве рассчитывается по формуле:
где 
a) трубное пространство
Скорость жидкости в трубах
Коэффициент трения
Диаметр штуцеров в распределительной
камере 
; скорость в штуцерах
В трубном пространстве следующие
местные сопротивления: вход в камеру и выход из нее, три поворота на 
, четыре входа в трубы и четыре
выхода из них.
В соответствии с уравнением
гидравлическое сопротивление трубного пространства равно
b) межтрубное пространство
Число рядов труб, омываемых потоком в межтрубном
пространстве,
округляя в большую сторону, получим 
. Число сегментных перегородок 
.
Диаметр штуцеров к кожуху 
, скорость потока в штуцерах

Скорость жидкости в наиболее узком
сечении межтрубного пространства площадью 
.
В межтрубном пространстве следующие
местные сопротивлений: вход и выход жидкости через штуцера, 8 поворотов через
сегментные перегородки (по их числу 
) и 9 сопротивлений трубного пучка
при его поперечном обтекании 
.
В соответствии с уравнением
гидравлическое сопротивление трубного пространства равно
.3 Расчет штуцеров
Для выхода воды принимаем штуцер с
наружным диаметром патрубка 
, с условным проходом 

Штуцер для входа и выхода смеси:
Принимаем штуцер с наружным
диаметром патрубка 
, с условным проходом 

Заключение
В данной работе была рассчитана ректификационная
колонна непрерывного действия с колпачковыми тарелками для разделения смеси
«вода- уксусная кислота», со следующими характеристиками:

,
а также холодильник дистиллята
(теплообменник типа «труба в трубе»):
К достоинствам колпачковых колонн
относят:
устойчивость работы тарелок при
значительных колебаниях нагрузок газа и жидкости.
К недостаткам:
сложное устройство;
большие затраты металла;
большое давление (газ совершает
сложное движение);
малая предельно-допустимая скорость
газа.
Список литературы
1. Дытнерский
Ю.И. Основные процессы и аппараты химической технологии.: Пособие по
проектированию. - М.: ООО ИД «Альянс», 2007.
2. Каталог:
Колонные аппараты. М.: ЦИНТИХИМНЕФТЕМАШ, 1987.
3. Коган
В.Б., Фридман В.М., Кафаров В.В. Равновесие между жидкостью и паром. Кн.2. М -
Л.: Наука, 1966.
4. Лащинский
А.А., Толчинский А.Р. Основы конструирования и расчета химической аппаратуры. -
М - Л.: Машгиз, 1963.
5. Павлов
К.Ф., Романков П.Г., Носков А.А. Примеры и задачи по курсу процессов и
аппаратов химической технологии: Учебное пособие для вузов под ред. чл. - корр.
АН России П.Г. Романкова. - 14-е изд., стереотипное. Перепечатка с издания
1987г. М.: ООО ТИД "Альянс", 2006.
6. Романков
П.Г., Курочкина М.И. Расчетные диаграммы и номограммы по курсу процессов и аппаратов
химической технологии. Л.: Химия, 1985.
Приложение А
Рис. П.А.1. Диаграмма линии равновесия: y -
содержание вода, % масс; х - содержание уксусная кислота, % масс
Приложение Б
Рис. П.Б.1. Диаграмма равновесия между жидкостью
и паром при постоянном давлении.
Приложение В
Рис. П.В.1. Фланец штуцера
Таблица П.В.1 Список фланцев
|
Dy, мм
|
dн, мм
|
Dф, мм
|
Dб, мм
|
D1, мм
|
Болты
dб, мм
|
Число
отверстий
|
h, мм
|
h1, мм
|
|
600
|
630
|
755
|
705
|
670
|
М24
|
20
|
25
|
20
|
|
500
|
530
|
640
|
600
|
570
|
М20
|
16
|
25
|
20
|
|
100
|
108
|
205
|
170
|
148
|
М16
|
4
|
15
|
11
|
|
76
|
65
|
160
|
130
|
110
|
М12
|
4
|
13
|
11
|
|
50
|
57
|
140
|
110
|
90
|
М12
|
4
|
13
|
10
|
Приложения Г
Рис. П.Г.1. Эллиптические крышка и днище
Рис. П.Г.2. Штуцер с приварным фланцем
Таблица П.Г.1. Список фланцев
|
Назначение
штуцера
|
Условный
проход, мм
|
Наружный
диаметр, мм
|
Условное
давление, МПа
|
|
Для
ввода пара
|
600
|
630
|
0,25
|
|
Для
ввода флегмы
|
100
|
108
|
0,25
|
|
Для
ввода паров из испарителя
|
600
|
630
|
0,25
|
|
Для
выхода дистиллята паров
|
500
|
530
|
0,25
|
|
Для
отвода кубового остатка
|
50
|
57
|
0,25
|
|
Для
вывода жидкости на циркуляцию
|
200
|
219
|
0,25
|