Расчет и проектирование ректификационной установки непрерывного действия для разделения бинарной смеси: бутан-пентан

  • Вид работы:
    Курсовая работа (т)
  • Предмет:
    Другое
  • Язык:
    Русский
    ,
    Формат файла:
    MS Word
    392,11 Кб
  • Опубликовано:
    2015-07-24
Вы можете узнать стоимость помощи в написании студенческой работы.
Помощь в написании работы, которую точно примут!

Расчет и проектирование ректификационной установки непрерывного действия для разделения бинарной смеси: бутан-пентан

МИНИСТЕРСТВО ОБРАЗОВАНИЯ И НАУКИ РФ

ГОСУДАРСТВЕННОЕ УЧРЕЖДЕНИЕ ВЫСШЕГО ПРОФЕССИОНАЛЬНОГО ОБРАЗОВАНИЯ

"ТЮМЕНСКИЙ ГОСУДАРСТВЕННЫЙ НЕФТЕГАЗОВЫЙ УНИВЕРСИТЕТ"

ФИЛИАЛ ТЮМЕНСКОГО ГОСУДАРСТВЕННОГО НЕФТЕГАЗОВОГО УНИВЕРСИТЕТА В ГОРОДЕ ТОБОЛЬСКЕ

Кафедра ХиХТ



Пояснительная записка к курсовому проекту

по дисциплине "Процессы и аппараты химической технологии"

Расчет и проектирование ректификационной установки непрерывного действия для разделения бинарной смеси: бутан-пентан


Выполнил:

Нестеров Сергей Сергеевич МХП-10

Проверил:

старший преподаватель КазаковаТ.М.




Тобольск, 2013 г.

Содержание

Введение

1.     Материальный баланс колонны

1.1 Построение диаграммы фазового равновесия

.2 Определение числа теоретических тарелок колонны

.3 Определение расхода пара и флегмы в колонне

2.     Тепловой баланс

2.1 Внутренние материальные потоки

3.     Гидравлический расчет

3.1 Диаметр колонны

.2 Расчет параметров тарелок

.3 Гидравлическое сопротивление тарелки

.4 Расчет переливного устройства

.5 Определение действительного числа тарелок

4.     Определение диаметра штуцеров

.       Определение толщины тепловой изоляции

.       Толщина обечайки

.       Толщина днища

.       Определение площади поверхности кипятильника и дефлегматора

.       Выбор КИП и узлов автоматики

Список литературы

 


Введение

колонна ректификационный кипятильник дефлегматор

Ректификация - физический процесс разделения жидких смесей на практически чистые компоненты или фракции, различающиеся температурой кипения.

Различают смеси из двух компонентов (бинарные), многокомпонентные и сложные (непрерывные). К сложным смесям относят нефть и ее фракции.

Процесс ректификации основан на том, что в условиях равновесия системы пар - жидкость паровая фаза содержит больше низкокипящих компонентов, а жидкая - больше высококипящих компонентов. Ректификацию осуществляют путем противоточного многократного контактирования неравновесных фаз - более нагретой паровой фазы и жидкой фазы с меньшей температурой. При контактировании фаз протекает процесс тепломассообмена.

Процесс ректификации осуществляется в противоточных аппаратах - колоннах: пары перегоняемой жидкости протекают снизу вверх, а навстречу парам сверху вниз протекает жидкость, подаваемая в верхнюю часть колонны. Между жидкой и паровой фазами возникает массообмен, вследствие которого пары по мере их продвижения по колонне обогащаются легколетучим компонентом, а жидкость - менее летучим компонентом. В конечном итоге пар, выходящий из верхней части колонны, представляет собой более или менее чистый легколетучий компонент, конденсация которого дает готовый продукт - дистиллят, а из нижней части колонны вытекает сравнительно чистый менее летучий компонент, так называемый кубовый остаток, который, так же как и дистиллят, может быть конечным продуктом перегонки.

Ректификация осуществляется, как и всякий диффузионный процесс, в противотоке пара и жидкости, что обеспечивает различие температур и неравновесность составов встречных потоков. Жидкое орошение при ректификации паров создается путем конденсации части парового потока в верхней части колонны, а паровое орошение при ректификации жидкости путем испарения части жидкости в нижней части колонны.

Процессы ректификации осуществляются периодически или непрерывно при различных давлениях: при атмосферном давлении, под вакуумом (для разделения смесей высококипящих веществ), а также под давлением больше атмосферного (для разделения смесей, являющихся газообразными при нормальных температурах).

Непрерывная ректификация не может применяться в малотоннажных производствах из-за трудностей подачи, измерения и регулирования малых потоков и невозможности использования нормализованных колонн и теплообменников. Периодическая ректификация свободна от этих недостатков, но требует постоянного контроля качества дистиллята и эффективного управления процессом.

Непрерывная ректификация многокомпонентных смесей осуществляется в установках, состоящих из ряда ректификационных колонн непрерывного действия, соединение которых в общую схему может быть различным. Каждая из колонн разделяет поступающую в нее смесь на два продукта, один из которых - дистиллят, а второй - кубовый остаток. Поэтому при наличии хотя бы трех компонентов в исходной смеси их разделение на три продукта происходит в двух колоннах.

Для непрерывной ректификации смесь, подлежащую разделению, вводят сбоку в центральную часть колонны. В таких колоннах верхняя часть называется укрепляющей, а нижняя - исчерпывающей. В результате работы колонны в сосуде, соединенном с нижней частью колонны, собирается жидкость, обогащенная высококипящим компонентом, а в дистиллят переходит низкокипящий компонент. Определение эффективности таких колонн, а также границы между укрепляющей и исчерпывающей частями для ректифицируемой смеси данного состава осуществляется аналогично тому, как и для колонн периодического действия.

Ректификационные тарелки расположены горизонтально на определенном расстоянии друг от друга и служат для создания лучшего контакта между парами, идущими снизу вверх, и жидкостью, передвигающейся сверху вниз.

Число ректификационных тарелок в колонне в основном зависит от следующих факторов: требуемой четкости ректификации; разности температур кипения разделяемых фракций; количества подаваемого в колонну орошения.

Ректификационные тарелки предназначены для создания тесного контакта между парами и жидкостью в процессе ректификации. Применяют в основном желобчатые, колпачковые, S-образные и клапанные тарелки, реже - ситчатые.

Колпачковые тарелки можно изготовлять из чугуна, меди, керамики, углеграфита, пластмасс и др.

Тарелка работает следующим образом. Поступающая жидкость заполняет тарелку на высоту, определяемую сливной перегородкой, при этом прорези колпачков должны быть погружены в жидкость. Пар проходит через паровые патрубки, щели колпачков и барботирует сквозь слой жидкости. Газ и жидкость взаимодействуют в перекрестном токе: жидкость движется по тарелке от переливного кармана к сливной перегородке и далее на расположенную ниже тарелку, а газ - вверх по оси колонны.

Тарелки с капсульными колпачками имеют относительно высокий КПД (0,75-0,80) и работают в широком диапазоне производительностей по газу. Их можно использовать при нестабильных нагрузках по жидкости и пару. Для этих тарелок F ≈ 1 (м/с) (кг/м3)-0.5, а гидравлическое сопротивление, зависящее от глубины погружения колпачка, не превышает 1 кПа.

К недостаткам этих тарелок следует прежде всего отнести значительные металлоемкость и трудоемкость изготовления.

1.      Материальный баланс колонны


Высококипящий компонент (ВКК) - пентан, температура кипения tкип ВКК =36,07°C, молярная масса МВКК = 72,146 .

Низкокипящий компонент (НКК) - бутан, температура кипения tкип НКК = -0,50 °C, молярная масса МНКК =58,120.

Массовый расход получаемых дистиллята Р и кубового остаткаW0 определяем из уравнений общего материального баланса колонны по НКК:

 

 

 

 

Найдем массовый расход бутана и пентана в дистилляте и кубовом остатке по формулам (4), (5), (6) [1, стр. 7].

 

 

 

Проверка:

Также находим мольные расходы бутана и пентана в сырье, дистилляте и кубовом остатке по формулам (7), (8), (9) [1, стр. 7].

 

 

Проверка:

 

Мольные доли НКК и ВКК в сырье, дистилляте и кубовом остатке определяем по формулам (10), (11), (12) [1, стр. 7].

 

 

Проверка:

Таблица 1

Компонент

Молярная масса, М

Сырьё (F)

Дистиллят (D)

Кубовой остаток (Wo)



Массовый расход G (кг/ч)

Массовая доля x

Мольный расход N (кмоль/ч)

Мольная доля X

Массовый расход G (кг/ч)

Массовая доля x

Мольный расход N (кмоль/ч)

Мольная доля X

Массовый расход G (кг/ч)

Массовая доля x

Мольный расход N (кмоль/ч)

Мольная доля X

Бутан

58

14850

0,45

256

0,504

14483

0,99

250

0,992

367

0,02

6

0,023

Пентан

72

18150

0,55

252

0,496

146

0,01

2

0,008

181

0,98

252

0,977

Сумма


33000

1

508

1

14629

1

252

1

18480

1

258

1


Рис. 1 Схема ректификационной установки:n 1-колонна, 2-дефлегматор (конденсатор-холодильник), 3-делитель флегмы, 4-кипятильник

1.1 Построение диаграммы фазового равновесия


Для бинарных смесей, подчиняющихся закону Рауля, диаграмму фазового равновесия в координатах y-x строем по следующему алгоритму. Температурный интервал выкипания разделяемой смеси определяется как разность температур кипения чистого низкокипящего tнкк и чистого высококипящего tвкк компонентов при заданном давлении в системе П. В этом интервале температур от tнкк до tвкк принимаем ряд значений температур; для каждой температуры определяются значения давления насыщенных паров компонентов Pi. Из соотношения (22), [1, стр. 11] рассчитываем мольную концентрацию низкокипящего компонента Xнкк в жидкости, кипящей при выбранной температуре и давлении П:

 

После этого из соотношения (21) [1, стр. 11] определяем мольную концентрацию НКК в паре  равновесным с жидкостью. Далее строим диаграмму фазового равновесия в координатах y-x.

 

Весь расчет и полученные данные приведены в таблице 2.

По данным таблицы 2 строим диаграмму фазового равновесия в координатах t - x,y (изобарные температурные кривые питания и конденсации паров смеси бутан - пентан) (рис. 2)

Таблица 2.

t, °C

Pнкк, бар

Pвкк, бар

П, бар

X

Y

60

6,39

2,145

6,39

1

1

65

7,25

2,489


0,82

0,93

70

8,1

2,832


0,68

0,86

75

9,12

3,254


0,53

0,76

80

10,13

3,676


0,42

0,67

85

11,32

4,185


0,31

0,55

90

12,5

4,693


0,22

0,43

95

13,9

5,3


0,13

0,28

100

15,29

5,906


0,05

0,12

104

16,58

6,39


0

0


Определяем температурный режим колонны tWo=102,5 °C; tF=76°C; tP=61°C по диаграмме фазового равновесия.

1.2 Определение числа теоретических тарелок колонны


Флегмовое число представляет собой отношение расхода флегмы, подаваемой на орошение колонны, к расходу получаемого дистиллята.

Определяем минимальное флегмовое число по формуле (24).

 

где Y*F - мольная концентрация НКК в паре, равновесном с жидкостью питания; YD - мольная концентрация НКК в дистилляте, если в дефлегматоре конденсируется весь пар, YD=XD; XF -мольная концентрация НКК в сырье.

 

Для определения оптимального флегмового числа Rопт, находим минимум функции f(R)в соответствии с уравнением (26) [1, стр. 13]

 

где β - коэффициент избытка флегмы.

Для этого принимаем несколько значений коэффициента избытка флегмы β, для каждого из них вычисляем флегмовые числа, на диаграмму y-x (рис. 3) наносим рабочие линии верхней и нижней частей колонны соответственно с их уравнениями (27), (28) [1, стр. 14].

 

Расчет Rопт и полученные данные приведены в таблице 3.

Так как используется приближенный метод, то Rопт находим как минимум функции f(R). По графику f(R) - R (рис. 4) находим

 

Определяем по рис. 3 теоретическое число тарелок колонны при Rопт = 1,77, которое равно nт=14.

Таблица 3

β

1,2

1,4

1,6

1,7

1,8

2

R

1,25

1,46

1,66

1,77

1,87

2,08

OB

0,44

0,40

0,37

0,36

0,34

0,32

nт

19

17

15

14

14

13

f(R)

42,75

41,82

39,9

38,78

40,18

40,04


1.3 Определение расхода пара и флегмы в колонне


Алгоритм расчета приведен в [1, стр. 15 - 17]

Сырье поступает в колонну без доли отгона е = 0.

.        Паровой поток, вносимый в колонну сырьем:

.        Жидкий поток, вносимый в колонну сырьем:

.        Массовый расход пара в верхней части колонны:

 

Паровой поток, поступающий в верхнюю часть колонны такой же, как и массовый расход пара в верхней части колонны т.к. молярные теплоты испарения разделяемых компонентов близки по значению.

.        Паровой поток, поступающий в зону питания из нижней части колонны:

.       

 

6.      Поток флегмы, поступающий из верхней части колонны в зону питания:

 

7.      Поток флегмы, поступающий из зоны питания в нижнюю часть колонны:

 

.        Массовая концентрация НКК во флегме g, поступающей на последнюю тарелку нижней части колонны:

 

Ориентировочно можно принять

где

Массовая концентрация НКК  в паровом потоке G2, поднимающегося с последней тарелки нижней части колонны в зону питания:

 

Массовая концентрация НКК  в паровом потоке G2, покидающем зону питания:

 

При е = 0, условие и , выполняется  и .

Рис. 5 Схема потоков в зоне питания и верхней части колонны.

2.      Тепловой баланс


Методика расчета представлена в [1, стр. 17]

Напишем уравнение теплового баланса колонны:

 

где Qk-тепловой поток, передаваемый теплоносителем в кипятильнике испаряющейся жидкости; Qg-тепловой поток, передаваемый в дефлегматоре хладагенту при конденсации и охлаждении флегмы и дистиллята; iD, iWo, iF - энтальпия жидких дистиллята, кубового остатка и сырья.

подставив значение энтальпии в уравнение получим:


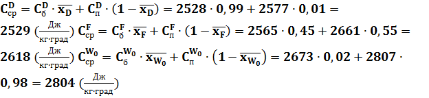
Находим значения теплоемкости при температурах tF, tD и tWo и теплоты парообразования при tD по для бутана [2, стр. 247-250] и пентана [2, стр. 255-260].

Таблица 4


t

Обозначение

Бутан

Пентан

D

61

r, Дж/кг

320102

339856



C, Дж/(кг*град)

2528

2577

F

76

C, Дж/(кг*град)

2565

2661

W0

102,5

C, Дж/(кг*град)

2673

2807


Находим усредненные значения теплоемкости и теплоты парообразования:

 

 

 

2.1 Внутренние материальные потоки


При ректификации бинарных систем количество флегмы, стекающей с тарелок верхней части колонны, определяем в зависимости от принятого флегмового числа [3, стр. 62]:

 

Определим расход пара Gвверху и внизу колонны:

 

Найдем объем паров для верха и низа колонны [3, стр. 63]:

 

Средние мольные концентрации НКК вверху и внизу колонны:

 

Средние массовые концентрации НКК вверху и внизу колонны:

 

Средняя мольная концентрация НКК в паре:

 

 

По рис. 2 определяем температуру верха и низа колонны: tВ=68°C, tH=88°C.

3.      Гидравлический расчет

 

.1 Диаметр колонны


Определение диаметра верхней части колонны.

Диаметр колонны определяется по максимально допустимой скорости газа. Определим максимальную скорость газа в верхней части колонны по уравнению (2.2) [4, стр. 18]:

 

Верхняя часть колонны:

 

Принимаем расстояние между колпачково - капсульными тарелками HT = 0,4 м; величину Cmax определяем по формуле (2.3) [4, стр. 19]

 

где K1 = 1 - коэффициент, определяется в зависимости от типа тарелки из таблицы 2.1 [4, стр. 19]; К2 = 1 - при расстоянии между тарелками Н>350мм; С1 = 500 - коэффициент, определяется по рис. 2.1 [4, стр. 19] в зависимости от расстояния между тарелками; С2 - коэффициент, равный 4, для всех типов тарелок, кроме струйных, для которых он равен 5.

Величина λ, учитывающая влияние нагрузки по жидкости на производительность колонны по пару, определяется по уравнению (2.4) [4, стр. 19]:

 

где z= 1 - число потоков на тарелке, если λ<10, следует принять λ=10, если λ>65, необходимо брать двух- или четырехпоточную тарелку (z=2, z=4).

 

 

Определим расчетный диаметр верхней части колонны [1, стр. 19]:

 

Нижняя часть колонны:

 

3.2 Расчет параметров тарелок


Величина подпора жидкости над сливным порогом:

(8.6) [4, стр. 223]

 

Высота сливного порога на колпачковых тарелках:

 (8.10) [4, стр.224]

Высота глубины барботажа:

 (8.9) [4, стр. 224]

где p - абсолютное давление в колонне, Па

 

По расчетным величинам DВ и DН выбираем ближайшее значение диаметра D из нормального ряда диаметров колонн по ГОСТ 9617-76, которое используем для дальнейших расчетов, D = 2 м.


 

Так как отношение , следовательно, расчет уноса производить необязательно.

По таблице 8.6 "Технические характеристики колпачковых тарелок" [4, стр. 230] и ОСТ 2601 - 66 - 86 выбираем колпачковую тарелку ТКП однопоточная для D = 2 м. Тарелка имеет следующие параметры:

Тип тарелки

ТКС-Р однопоточная

Диаметр колонны D, мм

2000

Рабочая площадь тарелки Fр, м2

2,38

Периметр слива П, м

1,455

Площадь слива Fсл, м2

0,380

Длина пути жидкости lж, м

1,342

Площадь прохода паров F0, м2

0,385

Расстояние между тарелками Hт, мм

400

Число колпачков

114

Диаметр колпачка Dк, мм

100



Рис. 6. Основные параметры колпачковой тарелки

3.3 Гидравлическое сопротивление тарелки


Методика расчета приведена в [5, стр. 22]

Общее сопротивление тарелки с переливным устройством рассчитываем по уравнению:

 

где ΔPC - сопротивление сухой тарелки, Па; ΔPЖ - сопротивление слоя жидкости на тарелке, Па.

Сопротивление сухой тарелки:

 

где w0 - скорость пара в паровых патрубках или отверстиях; ξС - коэффициент сопротивления сухой тарелки  [4, стр. 226].

Сопротивление слоя жидкости на тарелке рассчитываем по зависимости:

 

где Δh - высота подпора жидкости над сливной планкой, м.

 [5, стр. 23]

Верхняя часть колонны:

Сопротивление сухой тарелки:

 

Сопротивление слоя жидкости на тарелке:

Общее сопротивление тарелки:

Давление на тарелке питания

Нижняя часть колонны:

Сопротивление сухой тарелки:

 

Сопротивление слоя жидкости на тарелке:

Общее сопротивление тарелки:

Давление в кубе:

 

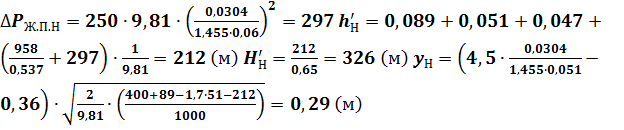
3.4 Расчет переливного устройства


Методика расчета приведена в [5, стр. 24].

Для нормальной работы переливного устройства без "захлёбывания" необходимо, чтобы выполнялись следующие условия:

 

 

где H’ - высота вспененного слоя жидкости в сливном устройстве; у - величина вылета ниспадающей струи; х - максимальная ширина сливного устройства. С учётом вспенивания уровень жидкости в сливном устройстве определяется равенством:

 

где h’ - высота слоя светлой не вспененной жидкости в сливном устройстве; ρ’п= 0,65 - средняя относительная плотность вспененной жидкости в переливном устройстве.

Высота слоя светлой жидкости определяется из выражения:

,

где ∆ - градиент уровня жидкости на тарелке;

;

∆Рж.п - сопротивление движению жидкости в переливе, определяется по уравнению:

,

где К=250 - коэффициент для тарелок с затворной (переливной) планкой.

а = 0,06 - наиболее узкое сечение перелива.

Для колпачковых тарелок градиент уровня жидкости определяется по формуле:

 

 

Величину вылета ниспадающей струи определяют по уравнению:


Максимальная ширина сливного устройства

.

Верхняя часть колонны:

 

 

Нижняя часть колонны:

 

 

Проверка:

Верх колонны

,25< 0,33

< 400+111=511

Низ колонны:

,29 < 0,33

< 400 + 89 = 489

Проведённый гидравлический расчёт тарелок показывает, что принятые размеры колонны и тарелок обеспечивают некоторый запас производительности.

 

.5 Определение действительного числа тарелок


Для окончательного выбора колонны определим действительное количество тарелок в ней:

 

где η - величина К.П.Д. тарелки, учитывающая эффективность. К.П.Д. принята по рисунку (8.1) [4, стр. 221]:

 

η = 0,78

т.к. по рис. 3 количество тарелок верху и низу колонны равны и значения К.П.Д. для верха и низа колонны равны, следовательно, нет необходимости искать их отдельно

 

Общая высота колонны в соответствии с уравнением (8.1) [4, стр. 221] и рекомендациями таблицы (8.2) [4, стр. 220]

 

где Hсеп - высота сепарационной части колонны; Hкуб - высота кубовой части колонны.

4.      Определение диаметра штуцеров


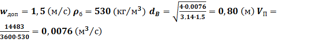
Диаметр штуцера dш зависит от допустимой скорости потока wдоп и определяется, как и диаметр колонны из уравнения объемного расхода VП (60) [1, стр. 23]

 


Назначение штуцеров: А - выход паров с верха колонны; В - выход флегмы; С - ввод сырья; К - вывод кубовой жидкости в кипятильник колонны; Е - ввод паров из кипятильника.

Диаметр штуцера А для вывода паров из колонны в дефлегматор:

 

Принимаю dA = 250 мм из нормализованного ряда

Диаметр штуцера В для ввода холодного орошения:

 

Принимаю dB = 80 мм из нормализованного ряда

Диаметр штуцера С для ввода сырья:

 

Принимаю dC = 150 мм из нормализованного ряда

Диаметр штуцера К для вывода кубовой жидкости в кипятильник колонны:

 

Принимаю dK=400 мм из нормализованного ряда

Диаметр штуцера Е для ввода паров из кипятильника колонны:


Принимаю dE= 350 мм из нормализованного ряда.

5.      Определение толщины тепловой изоляции


Выбираем в качестве теплоизоляционного материала стеклянную вату, для которой коэффициент теплопроводности λиз = 0,05 Вт/(м К) [6, стр. 512]. Принимаем температуру на внутренней поверхности изоляции равной tст 1=102,5 °C, на наружной поверхности изоляции tст 2=-10,4 °C для зимних условий. Температуру окружающей среды для зимних условий принимаем tср 1 = -20 °C, для летних условий tср 2 = 18 °C. Считаем, что тепловые потери зимой составляют qпот = 118 Вт/м2.

Находим толщину изоляции по уравнению (62) [1, стр. 23]:

 

Рассчитаем коэффициент теплоотдачи (65) [1, стр. 25]:

 

Определим значение тепловых потерь по уравнению (62) [1, стр. 23]:

 

Проверим условие применимости уравнения (62) [1, стр. 23], приняв толщину стенки колонны δст= 8 мм

 

Принимаем толщину изоляции δиз = 0,048 м.

Проверим температуру наружной поверхности изоляции tст 2 для лета. Для этого преобразуем соотношение (62) [1, стр. 23] подставив в него значение α из уравнения (65) [1, стр. 25]

 

Тепловые потери летом составляют:

 

Рис. 7 Схема тепловой изоляции колонны.

6.      Толщина обечайки


 

где [σ] = 134 МПа - допускаемое напряжение для материала; φ = 0,95 - коэффициент прочности сварного шва; c = 0,002 мм - поправка на коррозию.

Согласно рекомендациям принимаем толщину обечайки Sоб = 4 мм

7.      Толщина днища


Считаем толщину стенки днища.

Толщина стенки эллиптического или полусферического днища равна:

 

где с = 0,1 мм - поправка на коррозию.

Принимаю SЭ = 6 мм из нормального ряда [7, стр. 13].

8.      Определение площади поверхности кипятильника и дефлегматора


Кипятильник:

Принимаем коэффициент теплопередачи от греющего пара к кипящей жидкости Ku = 1400 Вт/(м2К) выбранного по таблице 4.8 [6, стр. 172] при температуре греющего агента (водяного пара) tп = 133 °C подобранного по таблице LVII [6, стр. 549]

Расчетная площадь поверхности теплопередачи кипятильника определяется по уравнению:

 

 

Принимаю в качестве кипятильника одноходовой кожухотрубчатый испаритель с паровым пространством, имеющим площадь поверхности теплообмена Fк = 112 м2 подобранного по таблице XXXIV [6, стр. 533] и согласно ГОСТу 15119 - 79.

Запаса площади кипятильника:

 

Дефлегматор:

Принимаем коэффициент теплопередачи в зоне конденсации паров Kд = 500 Вт/(м2К) выбранного по таблице 4.8 [6, стр. 172]

 

 

Принимаю в качестве дефлегматора четырехходовой кожухотрубчатый теплообменник с площадью поверхности теплообмена Fд = 285 м2 по таблице 4.12 [6, стр. 215]

Запас площади дефлегматора:

 

Рис. 8 Теплообменники: а) кипятильник; б) дефлегматор.

9.      Выбор КИП и узлов автоматики


Исходная смесь поступает в емкость Е1. Из емкости Е1 насосом H1 она подается в подогреватель П, где нагревается за счет теплоты, выделяющейся при конденсации водяного пара, поступающего из трубопровода Т7. Температура исходной смеси на выходе из подогревателя П регулируется клапаном ВР1, установленном на трубопроводе подачи пара в подогреватель. Автоматическое регулирование осуществляется прибором TIRC, установленном на трубопроводе подачи исходной смеси С1.

Паровой конденсат из подогревателя П поступает в конденсатоотводчик К02, откуда удаляется в общий коллектор парового конденсата.

Исходная смесь из подогревателя П подается на питающую тарелку ректификационной колонны. Расход смеси регулируется клапаном ВР2, установленном на трубопроводе подачи исходной смеси и ректификационную колонну. Автоматическое регулирование осуществляется устройством FICA.

С низа ректификационной колонны забирается кубовый остаток, часть которого подается в кипятильник, где он испаряется, в виде парожидкостной смеси, поступает в исчерпывающую часть колонны. Нагрев и испарение кубового остатка происходит за счет конденсации водяного пара. Количество теплоты, передаваемое в кипятильнике кубовой смеси регулируется клапаном ВРЗ, установленном на трубопроводе подачи пара в кипятильник. Автоматическое регулирование осушителя устройством PDIC в зависимости от давления вверхней и нижней частях колонны КР. Конденсат из кипятильника поступает в конденсатоотводчик К01, откуда удаляется в общий коллектор парового конденсата.

Часть кубового остатка поступает из ректификационной колонны КР в холодильник X1. Его количество регулируется клапаном ВР4, который управляется прибором LC, в зависимости от уровня жидкости в кубовой части колонны.

После холодильника X1 охлажденный кубовый остаток поступает в кубовую емкость Е2, откуда забирается насосом Н12.

Температура кубовой жидкости на выходе холодильника X1 регулируется клапаном ВР5, установленным на трубопроводе возврат кубовой жидкости из холодильника X1. Вода, нагретая в X1, поступает в общий коллектор оборотной воды.

С верха ректификационной колонны пары дистиллята по трубопроводу D2 поступают в дефлегматор D, где конденсируются и охлаждаются технологической водой, а затем поступают в емкость ЕЗ.

Температура наверху колонны регулируется с помощью BP, установленного на трубопроводе отвода охлаждающей жидкости после дефлегматора D. Автоматическое регулирование ВР6 осуществляется при помощи прибора PIC, в зависимости от давления наверху колонны КР.

Дистиллят из емкости ЕЗ откачивают насосом Н4.

Часть дистиллята (флегмы) поступает в верхнюю часть колонны КР для орошения. Количество флегмы регулируется с помощью клапана ВР8, установленного на трубопроводе подачи дистиллята в колонну КР.

Автоматическое регулирование ВР8 осуществляется с помощью приборов FFIC, FIC, QRC в зависимости от заданного флегмового числа.

Часть дистиллята после насоса HI4 подается в холодильник Х2. Уровень жидкости в емкости ЕЗ регулируется с помощью клапана ВР7, установленного на трубопроводе подачи дистиллята в холодильник Х2, в зависимости от показаний прибора LC.

Охлажденный дистиллят после холодильника Х2 поступает в емкость дистиллята Е4; откуда откачивается насосом НЗ.

Температура дистиллята на выходе из холодильника Х2 регулируется с помощью клапана ВР9, установленного на трубопроводе возврата воды из холодильника Х2. Автоматическое регулирование клапана ВР9 осуществляется при помощи прибора TIC, установленного на трубопроводе возврата дистиллята из холодильника Х2.

Обозначение измеряемых параметров:

Плотность

D

Расход

F

Размер, положение, перемещение

G

Уровень

L

Давление, вакуум

Р

Состав, концентрация и т.п.

Q

Скорость, частота

S

Температура

T

Вязкость

V

Масса

W

Любая электрическая величина

Е

Разность, перепад

D

Соотношение, доля, дробь

F

Автоматическое переключение

J

Интегрирование, суммирование по времени

Q

Сигнализация

A

Показания (индикация)

I

Регистрация

R

Регулирование

C

Включение, отключение, переключение

S



Список литературы


1.      Методические указания по курсу "Процессы и аппараты химической технологии". Леонтьев А. П. - Т.: Ротапринт, 2002.

.        Варгафтик Н. Б. Справочник по теплофизическим свойствам газов и жидкостей. М.: 2006.

.        Александров И. А. Ректификационные и абсорбционные аппараты. Методы расчета и основы конструирования. - М.: Химия, 2002.

.        Доманский И.В., Исаков В.П., Островский Г.М. - Машины и аппараты химических производств: примеры и задачи. Учеб. Пособие для студентов вузов. Под общ.ред. Соколова В.Н. - Л.: Машиностроение, Ленингр. Отд-ние, 2002.-384с.

.        Расчет ректификационной колонны для разделения бинарной смеси. Методические указания. Беев Э.А. - 2012 [эл. р. elib.tsogu.ru]

.        Павлов К. Ф., Романков Г. Г., Носков А. А. - Примеры и задачи по курсу процессов и аппаратов химической технологии: Учебное пособие для вузовпод ред. Чл.-корр. АН России П. Г. Романкова. - 13 изд., стереотипное. Перепечатка с издания 1987 г. М.: ООО ТИД "Альянс", 2006. - 576с.

.        Теслюк Л. М., Низов В. А., Катышев С.Ф. Оборудование химических заводов. Нормы и методы расчета на прочность основных деталей аппаратов. Под ред. Проф. Д-р хим. Наук В. Н. Десятника.- ГОУ ВПО УГТИ-УПИ. Екатеринбург, 2005.- 41с.

.        Скобло А. И., Трегубова И. А., Молоканов Ю. К. Процессы и аппараты нефтеперерабатывающей и нефтехимической промышленности. - 2-е изд., перераб. и доп. М.: Химия, 1982. - 584с.

.        Основные процессы и аппараты химической технологии. Пособие по проектированию. Под ред; Дытнерского Ю. И. - М.: Химия 2008.

.        Касаткин А. Г. Основные процессы и аппараты химической технологии. -М.: Химия, 2005.

.        Альперт Л. 3. Основы проектирования химических установок. - М: Высшая школа, 1976.

.        Коган В. Б., Фридман В.М.. Кафаров В. В. Равновесие между жидкостью и паром. - М-Л: Наука, 1986.

.        Г. Я. Рудов, Д. А. Баранов. "Расчет тарельчатой ректификационной колонны", методические указания. М., МГУИЭ, 1998г.

.        Тимонин А.С. - Основы конструирования и расчета химико-технологического и природоохранного оборудования. Том 1. Справочник -Калуга: Издательство Н. Бочкаревой, 2006

.        "Краткий справочник физико-химических величин". М., "Химия", 2002г.

.        Гельперин Н. И. Основные процессы и аппараты химической технологии. -М.: Химия, 1981.

.        Кувшинский М. Н., Соболева А. П. Курсовое проектирование по предмету "Процессы и аппараты химической промышленности". М.: Высшая школа, 1980.

.        Багатуров С. А. Теория и расчет перегонки и ректификации. М.: Высшая школа, 1980.

.        Гринберг Я. И. Проектирование химических производств. М.: Химия, 2005.

Похожие работы на - Расчет и проектирование ректификационной установки непрерывного действия для разделения бинарной смеси: бутан-пентан

 

Не нашли материал для своей работы?
Поможем написать уникальную работу
Без плагиата!
Без нейросетей!