Анализ доходов ресторана 'Золотой теленок', определение резервов их роста

  • Вид работы:
    Дипломная (ВКР)
  • Предмет:
    Эктеория
  • Язык:
    Русский
    ,
    Формат файла:
    MS Word
    405,62 Кб
  • Опубликовано:
    2014-12-05
Вы можете узнать стоимость помощи в написании студенческой работы.
Помощь в написании работы, которую точно примут!

Анализ доходов ресторана 'Золотой теленок', определение резервов их роста

РЕФЕРАТ

Дипломная работа: 85 с., 12 рис., 12 табл., 42 источника,5 прил.

Доход ресторана, надбавки, наценки, товарооборот, продукция собственного производства, покупные товары, экономический анализ, методы планирования, резервы роста

Объект исследования - ресторан «Золотой теленок».

Предмет исследования - доходы ресторана «Золотой теленок».

Цель работы - проанализировать доходы, определить резервы их роста.

Методы исследования: сравнительного анализа, синтеза, описание, экономико-математические, экономико-статистические.

Исследования и разработки: дана оценка экономической эффективности ресторана «Золотой теленок», разработаны конкретные предложения по повышению уровня дохода от производства и реализации продукции собственного производства и покупных товаров в ресторане.

Технико-экономическая значимость: внедрение разработок повысит величину товарооборота и уровень дохода от производства и реализации продукции собственного производства и покупных товаров в ресторане, что обеспечит улучшение хозяйственно-экономической деятельности данного предприятия.

Автор работы подтверждает, что приведенный в ней расчетно-аналитический материал правильно и объективно отражает состояние исследуемого процесса, а все заимствованные из литературных и других источников теоретические, методологические и методические положения и концепции сопровождаются ссылками на их авторов.

СОДЕРЖАНИЕ

Введение

. Сущность доходов коммерческой организации, источники их образования, методика экономического анализа и планирования

.1 Понятие доходов коммерческой организации, источники их образования

.2 Методика экономического анализа дохода коммерческой организации и факторов, влияющих на его величину

.3 Методика планирования доходов коммерческой организации

. Экономический анализ доходов ресторана «Золотой теленок»

.1 Организационно-экономическая характеристика ресторана «Золотой теленок»

.2 Анализ дохода от производства и реализации продукции собственного производства и покупных товаров и факторов, влияющих на его величину

. Планирование доходов в ресторане «Золотой теленок» и пути их увеличения

.1 Планирование дохода от производства и реализации продукции собственного производства и покупных товаров в ресторане «Золотой теленок»

.2 Пути увеличения и резервы роста дохода от производства и реализации продукции собственного производства и покупных товаров в ресторане «Золотой теленок»

Заключение

Список использованных источников

ВВЕДЕНИЕ

В Республике Беларусь происходит постепенный переход к рыночной экономике. И учитывая этот переход можно говорить о том, что набирает силу и конкуренция как основной механизм регулирования хозяйственного процесса. В современных экономических условиях деятельность каждого хозяйственного субъекта является предметом внимания обширного круга участников рыночных отношений, заинтересованных в результатах его функционирования. Одним из основных требований функционирования любого хозяйствующего субъекта в условиях рыночных отношений являются безубыточность хозяйственной деятельности, возмещение расходов собственными доходами [1, c. 245]. Доходы являются важным качественным показателем деятельности предприятия, так как в них отражается уровень хозяйствования, результаты коммерческой, финансовой и экономической работы организации. Предприятия питания за оказываемые ими услуги по производству, реализации организации потребления взимают плату, которую можно назвать ценой услуг. Этой платой становится торговая надбавка к цене закупленных сырья и товаров, а также наценка на продукцию общественного питания. Поэтому доход ресторана можно представить как сумму надбавок и наценок на реализуемую продукцию.

Проблема доходов и путей их повышения всегда будет актуальной. Доход является очень важной и неотъемлемой частью экономики ресторана, так как за счет дохода покрываются все расходы предприятия (издержки производства и обращения), производится уплата различных налогов, а также доход является единственным источником формирования прибыли. Известно, что все хозяйствующие субъекты стремятся к увеличению своих доходов и уменьшению расходов, чтобы получать прибыль от своей деятельности. От того, какие имеются в наличии доходы или источники их получения, зависит эффективное развитие предприятия. Основной целью любой коммерческой организации является максимально возможное увеличение дохода. Для того чтобы точно узнать, как и в каком направлении действовать по повышению доходности организации необходимо проводить экономический анализ своей деятельности.

В современных условиях главная цель анализа дохода от производства и реализации продукции собственного производства и покупных товаров (ПСП и ПТ) в ресторане заключается, прежде всего, в оценке его влияния на конечный финансовый результат и поиске резервов роста доходов.

Анализ динамики доходов позволяет предприятию выявлять основные источники и резервы роста повышения эффективности производства, в качестве которых, в первую очередь, выступают экономия трудовых, материальных и финансовых ресурсов.

В настоящее время ни одна сфера жизни общества не может обойтись без прогнозов как средства познания будущего. Прогнозирование является одним из решающих научных факторов формирования стратегии и тактики развития предприятий ресторанного хозяйства. Актуальность данной темы определяется тем, что уровень прогнозирования деятельности предприятия обуславливает эффективность планирования и управления экономикой и другими сферами.

В связи с вышеизложенным можно утверждать, что тема дипломной работы в настоящее время является актуальной. Также необходимо отметить, что для Республики Беларусь, не обладающей сырьевыми ресурсами, вопросы экономии материальных ресурсов, а значит и затрат на производство продукции, от которых и зависят доходы предприятия, относятся к наиболее важным и приоритетным.

Цель работы - проанализировать доходы, определить резервы их роста.

Для достижения поставленной цели автором работы были установлены следующие задачи:

) раскрыть понятие дохода коммерческой организации и источников его образования в современных условиях;

)определить особенности экономического анализа и планирования доходов коммерческой организации;

)оценить экономическую эффективность ресторана «Золотой теленок»;

)провести анализ дохода от производства и реализации ПСП и ПТ и факторов, влияющих на его величину;

) провести планирование дохода от производства и реализации ПСП и ПТ на предстоящий период;

)выявить резервы роста доходов и разработать рекомендации по повышению эффективности деятельности ресторана «Золотой теленок»

Объектом исследования является ресторан «Золотой теленок»

Предметом исследования являются доходы ресторана «Золотой теленок».

В дипломной работе использованы такие методы исследования, как: сравнительного анализа, синтеза, описание, экономико-математические, экономико-статистические.

Данная работа состоит из трех частей. В первой части раскрыта сущность доходов коммерческой организации, рассмотрены источники их образования, приведена методика экономического анализа и планирования. Во второй части представлена организационно-экономическая характеристика предприятия и проведен анализ экономической деятельности организации. В третьей части работы приведены конкретные предложения по повышению уровня дохода от производства и реализации продукции собственного производства и покупных товаров в ресторане.

В данной работе использовались труды отечественных и зарубежных авторов, посвященные либо затрагивающие рассматриваемую тему, публикации в периодической печати, материалы библиотек, а также нормативно-правовые акты по исследуемой проблеме.

Практическую значимость оказали следующие учебники и учебные пособия: учебное пособие «Торговый менеджмент» Бланка И.А., где раскрыта сущность доходов коммерческой организации, приведена методика анализа и планирования; учебное пособие «Экономика гостиниц и ресторанов» Ефимовой О.П., где комплексно рассмотрены экономические показатели, используемые в гостиничном и ресторанном хозяйстве, изложены методики их расчета, анализа и планирования; учебное пособие Емельяновой Т.В. «Экономика общественного питания», в котором на практических примерах излагаются методики анализа и планирования показателей деятельности предприятия с ориентацией на повышение эффективности и конкурентоспособности; «Экономика торгового предприятия» Валевич Р.П. и Давыдовой Г.А, где раскрываются методе исчисления, анализа, планирования (прогнозирования) показателей деятельности предприятия и выбора на их основе стратегии и тактики поведения; учебник Кравченко Л.И. «Анализ хозяйственной деятельности в торговле», в котором рассматриваются вопросы формирования и использования ресурсов субъектов торговли, показаны способы измерения и выявления результатов и резервов их роста и многие другие, учебно-методические пособия, и другие источники по данной тематике.

1. Сущность доходов коммерческой организации, источники их образования, методика экономического анализа и планирования

1.1 Понятие доходов коммерческой организации, источники их образования

Одним из результатов хозяйственной деятельности торгового предприятия выступает размер его доходов.

Доход торгового предприятия представляет собой сумму выручки, полученной в определенном периоде от реализации товаров и других активов, а также поступлений от внереализационных операций, связанных с осуществлением его хозяйственной деятельности. Бухгалтерская трактовка дохода предприятия характеризует его как увеличение активов или уменьшение обязательств, приводящее к росту собственного капитала [3, c.240].

Доход ресторанного хозяйства является наряду с прибылью и рентабельностью главным показателем, характеризующим финансовые результаты хозяйственной деятельности предприятий общественного питания. Это один из основных и сложных экономических показателей, без глубокого изучения которого невозможен научный подход к решению проблемы повышения эффективности общественного питания, усиления материальной заинтересованности и ответственности руководителей, менеджеров, работников предприятия в достижении высоких конечных финансовых результатов при наименьших затратах труда и средств [1, c.246].

Таким образом, доходы торгового предприятия являются его финансовой базой, обеспечивающей решение следующих трех важнейших задач:

. Основная часть доходов торгового предприятия является источником возмещения всех текущих затрат, связанных с осуществлением его хозяйственной деятельности. Реализация этой задачи обеспечивает самоокупаемость текущей хозяйственной деятельности торгового предприятия.

2. Часть доходов торгового предприятия служит источником выплат различных видов налоговых платежей, обеспечивающих формирование средств государственно и местного бюджетов, внебюджетных фондов. Реализация этой задачи обеспечивает выполнение финансовых обязательств торгового предприятия перед государством.

. Определенная часть доходов торгового предприятия является источником формирования его прибыли, за счет которой образуются фонды производственного развития, дополнительного материального стимулирования персонала, социальных выплат, выплат владельцам имущества, резервный и т.п. Реализация этой задачи обеспечивает самофинансирование развития торгового предприятия в предстоящем периоде [3, с.240].

Доход ресторана как коммерческой организации включает в себя:

- доход от реализации продукции собственного производства и покупных товаров (ПСП и ПТ);

- операционные доходы;

- внереализационные доходы;

- возмещения из бюджета.

1. Доход от реализации ПСП и ПТ

Предприятие питания за оказываемые им услуги по производству, реализации и организации потребления взимает плату, которую можно назвать ценой услуг. Этой платой становится торговая надбавка к цене закупленных сырья и товаров, а также наценка на продукцию общественного питания. Поэтому доход от реализации предприятия питания можно представить как сумму надбавок и наценок на реализуемую продукцию. Доход от реализации как экономическая категория представляет собой часть продажной цены на продукцию общественного питания, которая предназначается для покрытия издержек производства и обращения предприятия питания и образования прибыли. Доход от реализации занимает значительный удельный вес в доходах предприятия общественного питания (около 80%). Иными словами, доходы от реализации представляют собой часть совокупного общественного продукта, переданного общественному питанию для возмещения необходимых рациональных затрат и получения прибыли [4].

Доход от реализации рассчитывается по каждой товарной группе, а также в целом по предприятию и включается в продажную цену продукции общественного питания.

Роль и значение дохода от реализации как экономического показателя заключается в следующем:

1) является источником формирования прибыли;

2)      за счет него возмещаются издержки производства и обращения;

3)      за счет него формируются различные бюджетные фонды;

4)      за счет него предприятия питания уплачивают акцизы и таким образом участвуют в формировании бюджета страны [5, c. 125].

Доход от реализации предприятия питания измеряется в абсолютных и относительных величинах. В абсолютных величинах доход от реализации характеризуется суммой, выраженной в денежных единицах, в относительных величинах - уровнем. Уровень дохода от реализации () рассчитывается как отношение суммы дохода от реализации к валовому товарообороту, выраженная в процентах:

 100, (1.1)

где  - сумма дохода от реализации;

 - валовой товарооборот.

На предприятия питания рекомендуется исчислять доход от реализации по продукции собственного производства и покупным товарам.

Расчет уровня дохода от реализации по продукции собственного производства производится по формуле:

100, (1.2)

где  - соотношение уровня доходов от реализации по продукции собственного производства к уровню доходов от реализации по покупным товарам,%;

 - доля ПСП в товарообороте,% [6, c. 413].

Уровень дохода от реализации по покупным товарам можно рассчитать следующим об разом:

. (1.3)

За счет дохода от реализации предприятия питания уплачивают акцизы, НДС, производят отчисления в различные бюджетные фонды. В связи с этим необходимо определять и оценивать доход от реализации, остающийся в распоряжении предприятия, или чистый доход от реализации [6, c. 413]. Его величина определяется так:

=Д-ОС-А-БФ, (1.4)

где  - чистый доход от реализации, млн. руб.;

ОС - отчисления на пополнение оборотных средств, млн. руб.;

А - акцизный налог;

БФ - отчисления в бюджетные фонды.

Уровень чистого дохода от реализации находится делением его суммы на валовой товарооборот и умножением на сто [6, c. 413].

 100. (1.5)

Источники формирования дохода от реализации ПСП и ПТ:

1) торговая надбавка или торговая скидка;

2)      наценка на продукцию собственного производства и покупные товары.

Торговая надбавка предназначена для покрытия издержек обращения предприятия питания. Торговые надбавки устанавливаются в процентах к оптовой свободно-отпускной цене. Чем богаче общество, тем выше требования к качеству торгового обслуживания и тем выше доля торговых надбавок в цене товара. Как свидетельствует опыт развитых стран, доля оптово-сбытовых и торговых надбавок в цене товара составляет 15-70%. А по товарам экстра-класса или дефицитным продажная цена превышает покупную более чем в 2-2,6 раза. Что касается механизма ее формирования, то он регулируется исполнительными органами власти, которые устанавливают их предельный размер [5, c. 128].

Торговая надбавка предприятия состоит из трех основных элементов суммы издержек обращения, связанных с реализацией товара; суммы налоговых платежей, входящих в цену товара, т.е. уплачиваемых непосредственно за счет коммерческого дохода торгового предприятия (к ним относятся налог на добавленную стоимость, акцизный сбор, таможенные сборы и пошлины); суммы прибыли от реализации товаров (рисунок 1).

Рисунок 1 ¾ Общий размер торговой надбавки. Источник: [3,с.252].

Выбор модели расчета уровня торговой надбавки определяется конкретным целевым ориентиром, избранным для осуществления ценовой политики по данной группе товаров:

1) при ориентире ценовой политики на покупателя базовым элементом расчета уровня торговой надбавки принимается уровень цены товара, приемлемый для соответствующих категорий покупателей. В этом случае модель расчета уровня торговой надбавки к цене закупки товара имеет вид:

, (1.6)

где  - уровень торговой надбавки к цене закупки товара, в% (первая модель расчета);

 - уровень цены реализации товара, приемлемый для конкретной категории покупателей;

 - цена закупки единицы товара у поставщика;

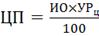
) при ориентире ценовой политики на текущие затраты базовым элементом расчета уровня торговой надбавки принимается сумма издержек обращения, приходящаяся на единицу реализуемого товара. В этом случае модель расчета уровня торговой надбавки к цене закупки товара имеет вид:

, (1.7)

, (1.8)

где  - уровень торговой надбавки к цене закупки товара, в% (вторая модель расчета);

ИО - средняя сумма издержек обращения, приходящаяся на единицу реализуемого товара;

П - расчетная сумма прибыли, приходящаяся на единицу реализуемого товара (ее расчет осуществляется по приведенной отдельно формуле);

 - ставка налога на добавленную стоимость (и других налогов, уплачиваемых за счет коммерческого дохода торгового предприятия), в %;

 - уровень прибыли к издержкам обращения, в % (обычно он устанавливается единым по товарам с данной ориентировкой ценовой политики);

- цена закупки единицы товара у поставщика;

) при ориентире ценовой политики на прибыль базовым элементом расчета уровня торговой надбавки принимается целевой уровень рентабельности издержек обращения (определяемый отношением целевой суммы прибыли к плановой сумме издержек обращения предприятия, в%). В этом случае модель расчета уровня торговой надбавки к цене закупки товара имеет вид:

; (1.9)

, (1.10)

где  - уровень торговой надбавки к цене закупки товара, в% (третья модель расчета);

ЦП - расчетная сумма целевой прибыли, приходящаяся на единицу реализуемого товара (ее расчет осуществляется по приведенной отдельно формуле);

ИО - средняя сумма издержек обращения, приходящаяся на единицу реализуемого товара;

- ставка налога на добавленную стоимость (и других налогов, уплачиваемых за счет коммерческого дохода торгового предприятия), в%;

 - средний по предприятию целевой уровень рентабельности издержек обращения, в%;

- цена закупки единицы товара у поставщика [3, c.248].

Являясь составным элементом цены товара, торговые надбавки (наценки) выполняют ряд экономических функций, тесно связанных между собой:

) измерительная, благодаря которой удается установить долю предприятий в цене реализуемого товара (продукции);

) планово-учетная функция связана с измерительной. Определяя долю в цене товара (продукции), торговые надбавки (наценки) становятся инструментом учета валового дохода, полученного от реализации. Наряду с учетом торговые надбавки (наценки) используются в анализе и планировании валового дохода;

) стимулирующая функция проявляется в повышении заинтересованности предприятий торговли и общественного питания в получении прибыли, обеспечивающей их устойчивое положение на рынке, расширение объема деятельности и развитие социальной сферы. Этим обеспечивается решение задач самоокупаемости и самофинансирования;

) регулирующая функция выражается в том, что торговые надбавки (наценки) представляют собой механизм уравновешивания спроса и предложения товара на рынке. Их повышение или снижение вызывает ответную реакцию покупателя, характеризующуюся изменением спроса. Регулирующая функция проявляется также при государственном воздействии на формирование оптовых и розничных цен с помощью устанавливаемого им верхнего предела торговых надбавок (наценок) [7, с.516].

Однако постановлением Министерства экономики №141 с 29 октября текущего 2009 года ограничение торговых надбавок на большинство товаров в Беларуси было отменено. В нем утвержден конкретный перечень товаров (50 позиций), при формировании цен на которые применяются ограниченные размеры торговых надбавок. В этот перечень входят важнейшие социально значимые продовольственные товары, товары для детей, лекарственные средства и изделия медицинского назначения, а также отдельные товары массового потребления [8]. В том числе в него вошли говядина первой категории, свинина, мука пшеничная, рис, гречка, свежие помидоры, яблоки, апельсины и другие товары.

Торговые надбавки на товары, не включенные в этот перечень, применяются с учетом конъюнктуры рынка.

Отмена ограничений торговых надбавок на большинство товаров не вызвала резкого всплеска цен. Об этом сообщил 11 ноября на брифинге в Минске директор департамента ценовой политики Минэкономики Игорь Фомин. По его словам в Беларуси в настоящее время наблюдается рост цен лишь по отдельным товарным позициям. Так, подорожало масло животное, но рост цен по этой позиции связан в первую очередь с отменой скидок [9].

Организации питания самостоятельно рассчитывают торговую надбавку, при этом целесообразно учитывать планируемый уровень издержек, установленных налогов и неналоговых платежей и прибыли.

Вторым важным элементом дохода от реализации организации питания является наценка на продукцию собственного производства и покупные товары, которая предназначена для покрытия издержек производства организации. Размер наценки устанавливается в процентах к розничной цене. Розничные цены определяются исходя из отпускной цены предприятия-изготовителя или импортера исходя из торговой надбавки(с учетом оптовой) и НДС. В общественном питании определяется продажная цена, которая включает в себя отпускную цену, торговую надбавку, НДС и наценку.

По различным видам оборота модели цен, а следовательно, источники дохода различаются:

)   по собственной продукции:

ОЦ + ТН = РЦ + Н = ПЦ + НДС = ПЦсндс, (1.11)

где ОЦ отпускная цена сырья без НДС;

ТН - торговая надбавка (устанавливается в процентах к отпускной цене);

РЦ - розничная цена;

Н - наценка общественного питания;

ПЦ - продажная цена;

ПЦсндс - продажная цена с НДС.

) по покупным товарам, продаваемым на разлив:

водке:

РЦ + Н = ПЦ, (1.12)

- остальным ликероводочным изделиям, пиву, минеральной воде:

ОЦ + ТН = РЦ + Н = ПЦ + НДС = ПЦ(с НДС), (1.13)

- остальные покупные товары (кроме продаваемых на разлив) [5, с.162]:

ОЦ + ТН = РЦ + НДС = ПЦ(с НДС). (1.14)

Уровень наценки устанавливается:

. В зависимости от категории торгового объекта общественного питания (применяется к розничным ценам набора продовольственного сырья и пищевых продуктов, используемых для приготовления продукции собственного производства) в следующих размерах:

- в объектах категории люкс - с учетом конъюнктуры рынка;

в объектах высшей категории - с учетом конъюнктуры рынка;

в объектах первой категории - 120 процентов;

в объектах второй категории - 80 процентов;

в объектах второй категории, использующих одноразовую посуду, - 60 процентов;

в объектах третьей категории - 50 процентов (для организаций общественного питания, не содержащихся или частично содержащихся за счет средств других субъектов предпринимательской деятельности);

в объектах третьей категории - 40 процентов (для организаций общественного питания, издержки по содержанию которых полностью покрываются другими субъектами предпринимательской деятельности).

. В зависимости от форм обслуживания:

при организации обслуживания населения в местах массового отдыха, на народных гуляньях, спортивных мероприятиях, на совещаниях, конференциях, мелкорозничной сетью торговых объектов общественного питания продукция собственного производства реализуется с наценкой, установленной для предприятий второй наценочной категории;

при проведении ритуальных мероприятий в объектах общественного питания первой категории продукция собственного производства реализуется с наценкой не более 80 процентов;

при обслуживании банкетов, проведении торжественных вечеров и других мероприятий (за исключением ритуальных), заказы на которые оформлены в установленном порядке, в объектах общественного питания третьей наценочной категории, на продукцию собственного производства может применяться дополнительная наценка в размере до 30 процентов;

при обслуживании в номерах гостиниц применяется дополнительная наценка к стоимости реализуемой продукции собственного производства объектов общественного питания в размере до 10 процентов.

. В зависимости от вида ПТ:

алкогольная продукция крепостью свыше 28 градусов, реализуемая в розлив реализуется с предельными наценками к розничным ценам в следующих размерах: в объектах категории люкс - 150 процентов; в объектах высшей категории - 120 процентов; в объектах первой категории - 100 процентов; в объектах второй, третьей категорий - 70 процентов;

пиво и алкогольная продукция крепостью до 28 градусов, независимо от емкости и фасовки, реализуемые в розлив, реализуются с предельными наценками к розничным ценам в следующих размерах: в объектах категории люкс - 100 процентов; в объектах высшей и первой категорий - 60 процентов; в объектах второй и третьей категории - 40 процентов;

покупные товары, в том числе пиво, безалкогольные и слабоалкогольные напитки, соки в расфасовке до 0,33 литра, сахар в мелкой расфасовке (5, 7, 10, 15 г.), порционные сливки, мед, джем, повидло и прочие аналогичные товары реализуются по сформированным розничным ценам без применения наценок общественного питания.

. В зависимости от вида продовольственного сырья и пищевых продуктов:

на горячие напитки, свежеприготовленные соки- 30 процентов;

на полуфабрикаты - 40 процентов;

на хлеба, хлебобулочные, булочные изделия - 60 процентов;

кулинарные изделия, сладкие блюда - 60 процентов;

кондитерские изделия - 80 процентов;

высокохудожественные мучные кондитерские изделия, изготавливаемые на выставки-продажи, конкурсы и по заказам с оформлением их в установленном порядке, - 100 процентов.

Уровень наценок на ПСП и ПТ может различаться по областям республики и по Минску, так как разрабатываются облисполкомами и Мингорисполкомом и отражаются в инструкции по ценообразованию. Вышеприведенные уровни наценок взяты из Инструкции о порядке формирования и применения цен в торговых объектах общественного питания, осуществляющих свою деятельность на территории Гродненской области от 14.04.2009 г.

В настоящее время отменено госрегулирование цен (наценок) в кафе и ресторанах наценочных категорий «люкс», «высшая» и «первая». В то же время в планы по либерализации вообще не затронули объекты питания второй наценочной категории, которые составляют большинство. Соответствующие изменения в указ №285 от 19 мая 1999 года «О некоторых мерах по стабилизации цен (тарифов) в Республике Беларусь» внесены указом №127 от 1 марта 2010 года.

Однако в общем объеме объектов общественного питания и общем обороте рестораны и кафе высшей и первой наценочной категории не превышают 5%, более 80% составляют объекты питания второй наценочной категории.

Расчетный уровень наценки () может быть определен методом на основе себестоимости и нормативного уровня рентабельности:

, (1.15)

где - расчетный уровень издержек производства и обращения,%;

 - расчетный уровень рентабельности,%.

Расчетный уровень издержек производства и обращения определяется следующим образом:

, (1.16)

где  - фактические издержки за период, предшествующий планируемому, тыс. р.;

 - фактическая стоимость сырья в розничных ценах (тыс. р.) за период, предшествующий планируемому.

Фактическая стоимость сырья в розничных ценах определяется следующим образом:

 = Т - Н, (1.17)

где Т - фактический товарооборот (валовой) за период, предшествующий планируемому, тыс. р.;

Н - фактическая наценка за этот же период, тыс. руб.

Расчетный уровень рентабельности  определяется следующим образом:

, (1.18)

В свою очередь прибыль определяется по формуле:

П = , (1.19)

где  - рентабельность товарооборота (норматив или рентабельность предшествующего периода),% [5, с.128].

. Операционные доходы - доходы от отдельных операций, не относящихся к видам деятельности организации, без учета денежных средств и иного имущества, не считающихся доходами организации [4].

В их состав входят:

- доходы, связанные с продажей и прочим выбытием (ликвидацией, списанием и др.) принадлежащих организации основных средств (за минусом остаточной стоимости основных средств и налога на добавленную стоимость), нематериальных активов, производственных запасов, валютных ценностей, ценных бумаг и иных активов, в том числе активов, отличных от официальной валюты Республики Беларусь;

- доходы, связанные с предоставлением за плату во временное пользование (временное владение и пользование) активов организации в соответствии с законодательством (когда это не является предметом деятельности организации);

- доходы, связанные с предоставлением за плату прав, возникающих из патентов на изобретения, промышленные образцы, и другие виды интеллектуальной собственности (когда это не является предметом деятельности организации);

- доходы по операциям с тарой;

- доходы (проценты), полученные за предоставление в пользование денежных средств организации, а также проценты за использование банком денежных средств, находящихся на счете организации в данном банке;

- восстановление резерва при продаже материальных ценностей или повышении рыночных цен;

- восстановление резерва под обесценение вложений в ценные бумаги, созданного ранее при продаже ценных бумаг или увеличении их рыночной котировки;

-восстановление резерва по сомнительным долгам;

-прочие доходы, признаваемые операционными [4].

Из вышеизложенного видно, что операционные доходы по своему характеру и условиям получения не являются основным видом деятельности организации и их поступление, как правило, носит нерегулярный характер.

3. Внереализационные доходы - доходы, которые не связаны с доходами, включаемыми в выручку от реализации продукции (работ, услуг) и иного имущества и не входящие в состав операционных доходов. Это несистематические, непредвиденные, носящие непроизводственный характер доходы, а также доходы, которым не соответствуют или отсутствуют соответствующие расходы. В их состав входят:

- доходы, связанные с передачей безвозмездно принадлежащих организации основных средств, нематериальных активов, производственных запасов, валютных ценностей, ценных бумаг и иных активов, в том числе активов, отличных от официальной валюты Республики Беларусь;

- штрафы, пени, неустойки за нарушение условий договоров, полученные, присужденные судом или признанные организацией-должником к получению, начисленные в момент их признания или получения;

- стоимость безвозмездно полученных активов: основных средств и других амортизируемых активов, в том числе полученных в качестве целевого финансирования - по мере начисления амортизации в сумме начисленной амортизации, иных безвозмездно полученных активов - по мере их списания на счета учета затрат, расходы на реализацию или на операционные расходы, средства целевого финансирования, первоначально учтенные в качестве доходов будущих периодов, - по мере признания расходов, на финансирование расходов, на которые они предоставлены;

- принятое к учету имущество, оказавшееся в излишке по результатам инвентаризации;

- поступления в возмещение причиненных организации убытков;

- прибыль прошлых лет, выявленная в отчетном году;

- суммы кредиторской и депонентской задолженности, по которым истек срок исковой давности, других долгов, нереальных для взыскания (включая ранее списанные как безнадежные), которые включаются во внереализационные доходы организации в размере, ранее отраженном в учете задолженности;

- положительные курсовые разницы, возникающие при переоценке имущества и обязательств;

- суммовые разницы, возникающие в связи с погашением дебиторской, кредиторской задолженности, в том числе задолженности по полученным кредитам, полученным (выданным) займам;

- разницы между числящейся стоимостью акций (доли), выкупленных у акционеров, и их номинальной или продажной стоимостью при аннулировании или продаже указанных акций;

- доходы в связи с чрезвычайными обстоятельствами хозяйственной деятельности (национализация, конфискация и т.п.);

- прочие доходы от операций, непосредственно не связанных с производством и реализацией товаров, продукции, работ, услуг, иного имущества, признаваемые внереализационными [4].

4. Возмещение из бюджета

Торговым организациям потребительской кооперации, осуществляющим свою деятельность в районах, подвергшихся заражению радионуклидами в связи с аварией на Чернобыльской АЭС, производится частичная компенсация из бюджета транспортных расходов по доставке чистых продуктов питания в эти районы. Бюджет в Республике Беларусь возмещает также часть расходов по содержанию лабораторий, проверяющих продукты питания на содержание радионуклидов в них (по соответствующим расчетам).

Доходами организации не считаются:

- поступившие в составе выручки от реализации, операционных и внереализационных доходов суммы налога на добавленную стоимость, акцизов, иных налогов и обязательных платежей, подлежащих перечислению в бюджет;

- суммы, поступившие от третьих лиц в пользу комитента по договорам комиссии или консигнации, доверителя по договорам поручения или иным аналогичным договорам в их пользу;

- стоимость полученного в залог имущества (если передача заложенного имущества залогодержателю предусмотрена договором);

- поступление имущества, в том числе денежных средств, ранее переданных третьим лицам на условиях возвратности, в том числе полученных в качестве погашения ранее предоставленных займов;

- вклады, внесенные другими организациями в ее уставный фонд, в рамках договора простого товарищества в размерах, установленных договорами [10, с.286].

1.2 Методика экономического анализа дохода коммерческой организации и факторов, влияющих на его величину

Экономический анализ представляет собой совокупность методов формирования и обработки данных о деятельности предприятия, определение тенденций развития, выявление резервов повышения эффективности хозяйственной деятельности. Систематический анализ деятельности предприятия в зависимости от постоянно меняющейся рыночной среды позволит сделать ее устойчиво прибыльной и конкурентоспособной, обеспечить ее развитие, прогнозировать будущее [5, с.34].

Проводя всесторонний постоянный анализ деятельности предприятия, можно:

быстро качественно и профессионально оценивать результативность хозяйственной деятельности предприятия;

точно и своевременно находить и учитывать факторы, влияющие на получаемую прибыль;

находить оптимальные пути решения проблем предприятия, укреплять его финансовое состояние.

В ходе экономического анализа решаются определенные задачи. В числе этих задач:

оценка выполнения планов хозяйственно-финансовой деятельности, темпов роста или прироста, проявления закономерностей развития;

установление факторов, формирующих отклонение фактических результативных показателей от плановых, их изменение в динамике, измерение степени влияния факторов-причин на эти изменения;

выявление внутренних резервов улучшения показателей, повышения экономической эффективности использования всех видов ресурсов, устранение имеющихся недостатков в работе;

осуществление повседневного контроля над ходом выполнения планов, заданий, содействие успешному их выполнению;

разработка конкретных мероприятий по мобилизации имеющихся резервов, устранению недостатков в работе.

При анализе доходов предприятия питания сначала изучают и оценивают его структуру (долю дохода от реализации, операционных и внереализационных доходов в общих доходах), изменение в динамике и степень выполнения плана.

В современных условиях главная цель анализа дохода от производства и реализации ПСП и ПТ в общественном питании заключается, прежде всего, в оценке его влияния на конечный финансовый результат и поиске резервов увеличения доходов. Особенностью анализа доходов в общественном питании является необходимость обеспечения комплексности анализа товарооборота, его состава, дохода от производства и реализации ПСП и ПТ, других доходов, издержек производства и обращения, прибыли.

Анализ финансовых результатов на предприятии общественного питания обычно начинают с изучения дохода от производства и реализации ПСП и ПТ, который является одним из главных его показателей [11, с.160].

Одной из главных задач анализа доходов является выявление, изучение и мобилизация резервов роста, повышение стимулирующей роли доходов в результатах хозяйственной и другой деятельности предприятий общественного питания. При проведении анализа используют данные бухгалтерского учета: «Отчета о прибылях и убытках», «Отчета о финансовых результатах», других отчетных и учетных источников информации (реестра цен, калькуляционные карточки и др.) [12, с.399].

Объем и структура доходов ресторанного хозяйства зависят от множества факторов. Их все можно разделить на:

внешние - оказывают косвенное влияние на хозяйственную деятельность независимо от интересов предприятия питания;

внутренние (микросреда) - факторы прямого воздействия, на них предприятие может и должно активно влиять в целях повышения эффективности своей коммерческой деятельности [13, c. 308].

. Внешние факторы

Первая группа факторов внешней среды, оказывающая на предприятие общепита косвенное воздействие, называется макроокружением, или общей средой. Она включает в себя:

- экономические факторы, позволяющие понять, как формируются и распределяются ресурсы на макроуровне (величина валового национального продукта, темп инфляции, уровень безработицы, система ценообразования, процентные ставки, нормы налогообложения, нормы накопления и т.п.);

правовое поле - законы, нормативные акты, правовые нормы и рамки экономических отношений. Дает предприятию ресторанного хозяйства возможность определить для себя допустимые границы действий во взаимоотношениях с другими субъектами права и приемлемые методы отстаивания своих интересов;

политическую ситуацию, дающую представление о намерениях органов государственной власти в отношении развития общества и политики государства на рынке потребительских товаров;

социально-демографическую компоненту макроокружения, характеризующую социальные и демографические процессы в стране в целом и на территории, где расположено предприятие, что влияет на общие тенденции развития спроса и формирования потребительских предпочтений;

национально-культурные факторы, которые отражают жизненные ценности общества, стандарты жизни, особенности и традиции потребления;

природно-экологические составляющие (климат, географическое положение, экологическая ситуация в месте расположения предприятия и т.д.) [14, c.115].

2. Внутренние факторы

Предприятия общественного питания могут оказывать существенное влияние на характер и содержание взаимодействия с микросредой, т.е. силы, явления и факторы микросреды подконтрольны предприятию питания. В их число входят:

- покупатели продукции предприятия;

поставщики товаров;

хозяйственные партнеры;

конкуренты;

органы управления (государственные), контролирующие деятельность предприятия [1, c. 278].

Рисунок 2 ¾ Микросреда предприятия общественного питания. Источник: [1, c.278, рис. 2.1].

Анализ спроса покупателей и чувствительности покупателя к цене на товары необходим для планирования товарооборота и доходов предприятия питания. Поставщики потребительских продуктов питания - важнейший компонент микросреды предприятия. Изучение уровня специализации поставщиков и затрат на поиск альтернативных партнеров, определение степени важности каждого для объема продаж предприятия, сравнение гарантии качества и стоимости поставляемых товаров позволяют торговым субъектам выбрать наиболее выгодный вариант хозяйственных связей [1, c. 279].

В число хозяйственных партнеров входят предприятия, продающие торговым предприятиям свои услуги и выполняющие для них определенные виды работ: банки, транспортные организации, строительные фирмы, информационные и рекламные агентства и т.д.

Хозяйственные партнеры существенно влияют на себестоимость торговых услуг, качество и могут поставить предприятия общественного питания в сильную зависимость от себя. Важно строить с ними такие отношения, которые обеспечивали бы предприятию общепита реализацию его целей и соблюдение интересов, поэтому выбор хозяйственных партнеров должен строиться на экономически обоснованной основе [1, c. 279].

Органы государственного и местного управления - еще один компонент микросреды. Формы, методы и масштаб их воздействия на предприятие общепита оказывают на нее непосредственное влияние.

Понятие конкуренты в составе микросреды предприятий общепита неоднозначно. Прежде всего, к ним относятся другие субъекты торговли, осуществляющие продажу потребительских товаров/услуг на тех же товарных/продуктовых и территориальных рынках. С ними предприятию общественного питания приходится бороться за покупателей и поставщиков, т.е. за ресурсы, которые необходимо получить из внешней среды, чтобы обеспечить свою деятельность. Изучение конкурентов позволяет предприятиям общепита выбрать наиболее выгодный вариант рыночного поведения, обеспечивающий оптимальное соотношение субъектов на определенной территории.

Помимо этих основных факторов на доходы ресторанного хозяйства оказывают влияние другие факторы, вытекающие из основных:

объем и количество предоставляемых услуг;

объем товарооборота;

стоимость сырья и покупных товаров;

материально-техническая база предприятия;

безопасность, экологичность услуг;

имидж, торговая марка предприятия питания;

ценовая политика предприятия;

объем операционных и внереализационных доходов [15, c. 118].

Общая сумма дохода от реализации зависит от изменения объема товарооборота и уровня реализованных торговых надбавок и наценок. Увеличение или уменьшение объема товарооборота ведет к соответствующему изменению суммы дохода от производства и реализации ПСП и ПТ. С увеличением среднего уровня реализованных торговых надбавок и наценок пропорционально возрастает их сумма. Влияние указанных факторов на доход от производства и реализации ПСП и ПТ измеряют приемом абсолютных разниц [16, c. 28].

Так, изменение дохода от реализации за счет изменения товарооборота находят по следующей формуле:

D = , (1.20)

где  - товарооборот отчетного года,

 - товарооборот базисного года,

 - уровень дохода от реализации базисного года[15, c. 24].

Чтобы определить влияние изменения уровня дохода от реализации на сумму реализованных торговых надбавок и наценок, используют следующую формулу:

  = , (1.21)

где  - уровень дохода от реализации отчетного года.

Значительное влияние на доход от производства и реализации ПСП и ПТ оказывает изменение продажных цен на продукцию собственного производства и покупные товары. При повышении продажных цен соответственно растет сумма реализованных торговых надбавок и наценок, и наоборот. Для измерения влияния данного фактора на доход от производства и реализации ПСП и ПТ необходимо прирост объема товарооборота за счет повышения продажных цен на собственную продукцию и покупные товары умножить на базисный уровень реализованных торговых надбавок и наценок (плановый или фактический за прошлый период) и разделить на 100:

D = , (1.22)

где - товарооборот отчетного года в сопоставимых ценах.

Доход от реализации, остающийся в распоряжении предприятия общественного питания, находится в прямой зависимости от изменения обшей суммы реализованных торговых надбавок и наценок и в обратной - от роста или уменьшения налогов и других обязательных платежей, взимаемых за счет дохода от производства и реализации ПСП и ПТ. Их влияние на доход от производства и реализации ПСП и ПТ, остающийся в распоряжении предприятия общественного питания, определяют прямым счетом [15, c. 127].

Доход от производства и реализации ПСП и ПТ, остающийся в распоряжении предприятия общественного питания, находится в прямой зависимости от изменения общей суммы реализованных торговых надбавок и наценок, в обратной - от роста или уменьшения налогов и других обязательных платежей, взимаемых за счет валового дохода.

Уровень дохода от реализации собственной продукции и продажи покупных товаров могут изменяться в связи со структурными сдвигами в реализации собственной продукции и покупных товаров, изменением места и времени продажи, размеров торговых надбавок и наценок и других факторов.

Средний уровень дохода от производства и реализации ПСП и ПТ зависит от изменения состава товарооборота (доли в товарообороте продукции собственного производства и покупных товаров) и уровней валового дохода от реализации собственной продукции и покупных товаров [14, с.132].

По покупным товарам средний размер наценок обычно ниже, чем на продукцию собственного производства, так как большинство из них (кроме товаров, продаваемых в розлив) реализуются предприятиями общественного питания по розничным ценам (без наценок) [17].

Важным показателем, характеризующим производственно- хозяйственную деятельность предприятий общественного питания, является доля в общем товарообороте продукции собственного производства, что зависит от применения наценок на продукцию собственного производства.

Доля продукции собственного производства в товарообороте предприятий общественного питания различного типа не одинакова. Особенно высокий удельный вес собственной продукции в товарообороте заготовочных предприятий, столовых при промышленных предприятиях и учреждениях. Значительно ниже он в ресторанах, кафе, барах, общедоступных столовых.

Предприятия общественного питания должны проводить анализ, сравнивая его с достижениями конкурентов. Важнейшими факторами роста дохода от производства и реализации ПСП и ПТ являются увеличение объема товарооборота в сопоставимых ценах, рациональная ценовая политика предприятия, эффективная работа с поставщиками сырья и товаров, достижение эффекта от произведенной закупки сырья и товаров.

Окончательная оценка динамики развития доходов может быть сделана лишь после сопоставления ее динамикой изменения издержек и прибыли важно оценить не только размер полученной прибыли отчетного периода, но и наличие или отсутствие прибыли от реализации продукции. Заканчивается анализ обобщением выявленных возможностей и реальных резервов роста реализованных торговых надбавок и наценок. Составляются специальные расчеты, результаты оформляются таблицами [18,с 365].

1.3 Методика планирования доходов коммерческой организации

В системе управления доходами торгового предприятия планированию коммерческого дохода принадлежит центральное место. Оно подчинено основной цели этого управления и обеспечивается комплексом мероприятий по проведению расчетов отдельных показателей коммерческого дохода на предстоящий период.

Основными исходными предпосылками планирования коммерческого дохода на предприятиях торговли являются: разработанный план реализации и закупки товаров; целевая сумма прибыли, обеспечивающая условия эффективного развития предприятия в плановом периоде; разработанная ценовая политика предприятия.

Планирование - это непрерывный процесс, направленный на адаптацию временных решений, относящихся к будущему, с учетом постоянного обновления информации о состоянии дел предприятия.

Механизм планирования коммерческой деятельности включает:

принципы планирования (гибкость, точность, участие, вариантность, целенаправленность, научность, единство, непрерывность, оптимальность, комплексность, холизм);

определение приоритетных целей;

обеспечение взаимосвязи между показателями;

учет факторов и конъюнктуры развития рынка;

анализ проблем;

выбор оптимального варианта развития;

контроль осуществления планов [5, c. 220].

Цель научно обоснованного планирования дохода от реализации - определение возможного его объема при заданных (прогнозных) ограничениях исходя из целевых приоритетов, выбранных предприятием питания для своей деятельности.

Исходными данными для прогнозирования дохода от реализации должны быть данные о продажах товаров за предыдущие периоды. Для целей прогнозирования эта информация должна использоваться как в целом по организации, так и в разрезе его подразделений, товарных групп и отдельных наименований товаров (товарных позиций).

В связи с этим организации необходимо создание и ведение базы данных о фактических показателях товарооборота с использованием систем управления базами данных на ЭВМ.

Прогнозирование дохода от реализации должно осуществляться с использованием передовых научных достижений и практических разработок в следующей последовательности:

1. Проведение глубокого экономического анализа дохода от реализации за ряд предыдущих периодов (месяцев, кварталов, лет) в увязке с конечными финансовыми результатами организаций.

2. Оценка тенденций дохода от реализации в целом и по отдельным товарным группам (товарам), видам продукции.

3. Расчет и изучение динамики дохода от реализации в целом, в разрезе подразделений, товарных групп и отдельных наименований товаров за ряд лет, выявление причин изменения и прогнозирование этих показателей.

4. Количественная оценка влияния факторов на общий уровень дохода от реализации, а также прогнозная оценка факторного влияния на текущий валовой доход [19, c.217].

Прогнозирование дохода от реализации должно включать в себя как субъективный (мнение специалистов), так и объективный (экономико-математические расчеты) элементы [20].

В деятельности по прогнозированию должны сочетаться долгосрочный, среднесрочный и краткосрочный прогнозы.

Долгосрочный и среднесрочный прогнозы должны касаться стратегических решений, краткосрочный прогноз - тактика фирмы.

При разработке прогнозов необходимо использовать комплекс простых и сложных методов прогнозирования, чтобы решать задачи различного уровня сложности и повысить точность расчетов, поскольку никакой из методов не может в полной мере учесть все параметры и аспекты развития рынка.

Методы планирования представляют собой способы преобразования экономической информации с целью определения темпов и оптимальных пропорций развития объекта планирования, а также путей наиболее эффективного использования ресурсов. Методы планирования предполагают обоснование и непосредственные расчеты показателей хозяйственной деятельности предприятий ресторанного хозяйства [1, c. 261].

В зависимости от главных целей или основных подходов используемой информации, нормативной базы, применяемых путей получения и согласования тех или иных конечных плановых показателей при планировании дохода от реализации используют следующие методы:

метод прямого расчета;

- расчетно-аналитический;

- экономико-статистические;

- экономико-математические;

- метод с использованием коэффициента эластичности;

- на основе прогнозируемой величины прибыли.

При использовании метода прямого расчета на первом этапе прогнозируется уровень торговых надбавок и наценки на продукцию собственного производства и покупные товары с учетом себестоимости и нормы рентабельности [1, c. 264].

На втором этапе, зная структуру расходуемого сырья по видам продуктов, нормы надбавок и наценок по каждому виду сырья, рассчитывается сумма надбавок и наценок.

Рассмотрим подробнее все этапы.

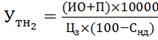
Доход от реализованных наценок определяется произведением товарооборота по товарам, реализованным с наценкой на ПСП и ПТ, в продажных ценах и уровня наценки на ПСП и ПТ, деленного на 100%:

, (1.23)

где  - доход от реализации за счет наценок,

 - товарооборот по товарам, реализованным с наценкой на ПСП и ПТ, в продажных ценах

 - уровень наценки на ПСП и ПТ в%.

2. Рассчитывается товарооборот в розничных ценах без наценок. Товарооборот без наценок определяется следующим образом:

. (1.24)

3. Доход от реализованных торговых надбавок определяется отношением произведения объема товарооборота по товарам, реализованным с торговой надбавкой, в розничных ценах без НДС и уровня торговой надбавки к сумме 100% и уровня торговой надбавки:

. (1.25)

Доход от реализованных торговых надбавок может определяться и произведением стоимости сырья и уровня торговой надбавки, деленного на 100%:

100%, (1.26)

где  - доход от реализации за счет торговых надбавок,

 - товарооборот по товарам, реализованным с торговой надбавкой, в розничных ценах без НДС,

 - уровень торговой надбавки в%,

 - стоимость сырья.

4. Общая сумма дохода от реализации определяется суммированием надбавок, наценок по всем товарным группам:

. (1.27)

Уровень дохода от производства и реализации будет равен отношению суммы дохода от производства и реализации к общему объему валового товарооборота в продажных ценах (то есть к стоимости сырья и товаров по розничным ценам плюс сумма наценок) [1, c. 265].

Расчетно-аналитический заключается в том, что при разработке плана экономические явления и процессы (в нашем случае - доход от реализации) изучаются путем анализа их отдельных частей. Анализ позволяет установить зависимость между показателями и наметить в плане изменения в соответствии с имеющимися ресурсами. Является наиболее простым методом среди прочих [15, c.131]. Однако имеет некоторые недостатки, так как не учитывает изменения в структуре расходуемого сырья и товаров. Несмотря на это он может быть использован для расчета одного из вариантов прогнозируемого валового дохода.

Экономико-статистические методы состоят в разработке проектов планов на основе отчетов, статистики и иной информации, характеризующей реальное состояние и изменение характеристики деятельности предприятия. Среди этих методов наиболее часто используется метод скользящей средней. Суть этого метода заключается в выравнивании динамического ряда уровня дохода от реализации и распространении выявленной тенденции на будущие периоды [5, c. 223].

При этом определяют выровненные показатели К как среднеарифметическую трех ближайших друг к другу периодов. Затем на их основе находят среднегодовой прирост уровня дохода от реализации по формуле:

. (1.28)

Прогнозируемый уровень дохода от реализации определяется по формуле:

Метод с использованием коэффициента эластичности предполагает расчет изменения показателя (дохода от реализации) в зависимости от изменения фактора (товарооборота). Коэффициент эластичности рассчитывается как отношение темпа прироста показателя к темпу прироста фактора [5, c. 225]:

. (1.30)

Экономический смысл коэффициента эластичности заключается в том, что он показывает процентное изменение показателя при изменении фактора на 1%.

Экономико-статистические методы предполагают разработку математической модели, которая предполагает построение графика динамики дохода от реализации, и решение ее с помощью ПЭВМ. Экономико-математическая модель представляет собой выражение существенного в изучаемом процессе в математической форме (в форме уравнений, неравенств, их систем). Модель должна выражать главное - закономерности и основные взаимосвязи, решающие факторы и условия [1, c. 254].

Выбору модели предшествует построение графика, отражающего динамику валового дохода.

При планировании валового дохода можно использовать, например, метод экстремумов. При этом решается уравнение вида у = at + b.

Уравнение решается при помощи следующей системы:

= a + b, (1.31)= an + b.

В процессе планирования ни один из рассматриваемых методов не применяется в чистом виде [1, c. 255].

Планируемые расчеты дохода от реализации, произведенные с использованием различных методов, считаются надежными тогда, когда их величина удовлетворяет требованиям безубыточности работы предприятия питания, а также обеспечивает получение необходимой чистой прибыли для развития предприятия.

Для этого целесообразно рассчитать ряд показателей:

критическую величину дохода от реализации (порог рентабельности);

запас финансовой прочности.

Критическая величина дохода от реализации показывает, при каком объеме дохода от реализации прибыль предприятия будет равна нулю. Она определяется по формуле [1, c. 255]:

, (1.32)

где ,  - постоянные и переменные издержки предприятия соответственно,

 - планируемая либо фактическая величина дохода от реализации.

Запас финансовой прочности по предприятию питания можно определить следующим образом:

(1.33)

Чем выше запас финансовой прочности, тем эффективнее работает организация, поэтому необходимо изыскивать возможности для дальнейшего увеличения запаса финансовой прочности предприятия [15, c. 133].

Основными резервами повышения коммерческого дохода за счет снижения уровня цен закупки товаров являются:

а) сокращение числа посредников при закупке товаров, не требующих длительного периода хранения и оптовой подсортировки. Наиболее низкий уровень цены может быть обеспечен при закупке товаров у непосредственных производителей;

б) использование всей системы ценовых скидок в процессе "уторговывания" партий закупаемых товаров, в первую очередь, скидок на количество или сумму закупаемых товаров, а также скидок постоянным партнерам;

в) закупка отдельных товаров за рубежом в периоды благоприятных соотношений курсов национальной и иностранных валют (снижении курсов иностранных валют);

г) закупка партий товаров на сезонных и предпраздничных их распродажах по существенно сниженным ценам. Это мероприятие может осуществляться в увязке с возможностями и стоимостью хранения таких товаров и лишь при гарантии последующей быстрой их реализации.

Основными резервами повышения коммерческого дохода за счет увеличения уровня цен реализации товаров являются:

а) эффективное осуществление разработанной ценовой политики предприятия на потребительском рынке; обеспечение своевременной ее корректировки в необходимых случаях;

б) использование благоприятной торговой конъюнктуры на отдельных этапах планового периода, особенно при реализации сезонных товаров;

в) повышение уровня торгового обслуживания с соответствующим повышением уровня цен на отдельные товары.

Основными резервами повышения суммы коммерческого дохода за счет увеличения объема реализации товаров являются:

а) осуществление эффективной маркетинговой политики на предприятии;

б) диверсификация ассортимента путем включения в ассортиментный перечень взаимозаменяемых и взаимодополняющих товаров, позволяющих повысить комплексность покупок;

в) предоставление потребительского кредита при реализации дорогостоящих товаров;

г) интенсификация рекламной и информационной деятельности торгового предприятия [3, с.267].

Таким образом, доход торгового предприятия представляет собой сумму выручки, полученной в определенном периоде от реализации товаров и других активов, а также поступлений от внереализационных операций, связанных с осуществлением его хозяйственной деятельности. Бухгалтерская трактовка дохода предприятия характеризует его как увеличение активов или уменьшение обязательств, приводящее к росту собственного капитала.

Доходы торгового предприятия являются источником возмещения всех текущих затрат, связанных с осуществлением его хозяйственной деятельности, служат источником выплат различных видов налоговых платежей, обеспечивающих формирование средств государственно и местного бюджетов, внебюджетных фондов, являются источником формирования прибыли, за счет которой образуются фонды производственного развития, дополнительного материального стимулирования персонала, социальных выплат, выплат владельцам имущества, резервный и т.п.

Доход ресторана как коммерческой организации включает в себя: доход от реализации продукции собственного производства и покупных товаров (ПСП и ПТ); операционные доходы; внереализационные доходы; возмещения из бюджета.

Доход от реализации предприятия питания можно представить как сумму надбавок и наценок на реализуемую продукцию. Как экономическая категория представляет собой часть продажной цены на продукцию общественного питания, которая предназначается для покрытия издержек производства и обращения предприятия питания и образования прибыли.

Торговая надбавка предназначена для покрытия издержек обращения предприятия питания. Торговые надбавки устанавливаются в процентах к оптовой свободно-отпускной цене. Размер наценки устанавливается в процентах к розничной цене. Розничные цены определяются исходя из отпускной цены предприятия-изготовителя или импортера исходя из торговой надбавки (с учетом оптовой) и НДС. В общественном питании определяется продажная цена, которая включает в себя отпускную цену, торговую надбавку, НДС и наценку. Уровень наценок на ПСП и ПТ может различаться по областям республики и по Минску, так как разрабатываются облисполкомами и Мингорисполкомом и отражаются в инструкции по ценообразованию.

Доход от реализации предприятия питания измеряется в абсолютных и относительных величинах. В абсолютных величинах доход от реализации характеризуется суммой, выраженной в денежных единицах, в относительных величинах - уровнем. Уровень дохода от реализации () рассчитывается как отношение суммы дохода от реализации к валовому товарообороту, выраженная в процентах

Операционные доходы - доходы от отдельных операций, не относящихся к видам деятельности организации, без учета денежных средств и иного имущества, не считающихся доходами организации.

Внереализационные доходы - доходы, которые не связаны с доходами, включаемыми в выручку от реализации продукции (работ, услуг) и иного имущества и не входящие в состав операционных доходов.

Оценивать результативность хозяйственной деятельности предприятия невозможно без экономического анализа.

Экономический анализ представляет собой совокупность методов формирования и обработки данных о деятельности предприятия, определение тенденций развития, выявление резервов повышения эффективности хозяйственной деятельности.

Анализ доходов коммерческой организации, как правило, проводят в следующей последовательности:

. Уточняют степень выполнения плана по доходу от производства и реализации ПСП и ПТ

. Определяют динамику показателя за ряд лет

. Выявляют основные факторы, повлиявшие на величину дохода от производства и реализации ПСП и ПТ

. Вскрывают неиспользованные резервы предприятия

. Отмечают положительные и отрицательные моменты в процессе хозяйственной деятельности

. Формулируют выводы и предложения

. Разрабатывают план мероприятий для реализации предложений, направленных на повышение эффективности деятельности предприятия.

Одной из главных задач анализа доходов является выявление, изучение и мобилизация резервов роста, повышение стимулирующей роли доходов в результатах хозяйственной и другой деятельности предприятий общественного питания.

Объем и структура доходов ресторанного хозяйства зависят от множества факторов. Их все можно разделить на: внешние - оказывают косвенное влияние на хозяйственную деятельность независимо от интересов предприятия питания; внутренние (микросреда) - факторы прямого воздействия, на них предприятие может и должно активно влиять в целях повышения эффективности своей коммерческой деятельности

Общая сумма дохода от реализации зависит от изменения объема товарооборота и уровня реализованных торговых надбавок и наценок. Увеличение или уменьшение объема товарооборота ведет к соответствующему изменению суммы дохода от производства и реализации ПСП и ПТ. С увеличением среднего уровня реализованных торговых надбавок и наценок пропорционально возрастает их сумма.

Значительное влияние на доход от производства и реализации ПСП и ПТ оказывает изменение продажных цен на продукцию собственного производства и покупные товары. При повышении продажных цен соответственно растет сумма реализованных торговых надбавок и наценок, и наоборот.

Доход от реализации, остающийся в распоряжении предприятия общественного питания, находится в прямой зависимости от изменения обшей суммы реализованных торговых надбавок и наценок и в обратной - от роста или уменьшения налогов и других обязательных платежей, взимаемых за счет дохода от производства и реализации ПСП и ПТ. После проведения экономического анализа коммерческая организация составляет планы и прогнозы на следующие периоды.

Планирование - это непрерывный процесс, направленный на адаптацию временных решений, относящихся к будущему, с учетом постоянного обновления информации о состоянии дел предприятия.

Механизм планирования коммерческой деятельности включает: принципы планирования (гибкость, точность, участие, вариантность, целенаправленность, научность, единство, непрерывность, оптимальность, комплексность, холизм); определение приоритетных целей; обеспечение взаимосвязи между показателями; учет факторов и конъюнктуры развития рынка; анализ проблем; выбор оптимального варианта развития; контроль осуществления планов.

Прогнозирование дохода от реализации должно осуществляться с использованием передовых научных достижений и практических разработок в следующей последовательности:

. Проведение глубокого экономического анализа дохода от реализации за ряд предыдущих периодов (месяцев, кварталов, лет) в увязке с конечными финансовыми результатами организаций;

. Оценка тенденций дохода от реализации в целом и по отдельным товарным группам (товарам), видам продукции;

. Расчет и изучение динамики дохода от реализации в целом, в разрезе подразделений, товарных групп и отдельных наименований товаров за ряд лет, выявление причин изменения и прогнозирование этих показателей;

. Количественная оценка влияния факторов на общий уровень дохода от реализации, а также прогнозная оценка факторного влияния на текущий валовой доход.

В зависимости от главных целей или основных подходов используемой информации, нормативной базы, применяемых путей получения и согласования тех или иных конечных плановых показателей при планировании дохода от реализации используют следующие методы: метод прямого расчета; расчетно-аналитический; экономико-статистические (метод скользящей средней); экономико-математические; метод с использованием коэффициента эластичности; на основе прогнозируемой величины прибыли.

планирование доход производство реализация

2. Экономический анализ доходов ресторана «Золотой теленок»

.1 Организационно-экономическая характеристика ресторана «Золотой теленок»

Ресторан «Золотой теленок» - предприятие питания, предоставляющее гостям широкий ассортимент блюд, напитков, кондитерских изделий, в том числе фирменных и сложного приготовления. Высокий уровень обслуживания в ресторане обеспечивается квалифицированными поварами и официантами.

Характеристику ресторана «Золотой теленок» необходимо начать с определения ключевых критериев оценки для любого предприятия питания (таблица 1).

Таблица 1

Общая характеристика ресторана «Золотой теленок»

Критерий оценки

Характеристика ресторана

По характеру торгово-производственной деятельности

ресторан предлагает блюда национальной и европейской кухни

По месту расположения

городской

По контингенту обслуживаемых клиентов

общедоступный

По форме обслуживания

предприятие с полным обслуживанием официантами

По времени функционирования

постоянно действующий

Наценочная категория

Вторая

По ассортименту продукции

специализированный ресторан

По методу обслуживания

«а ля карт»

По виду сервиса

американский


Таким образом, ресторан «Золотой теленок» - предприятие общественного питания второй наценочной категории, которое функционирует на базе ООО «Фирма Атлантик» (торговое общество с ограниченной ответственностью), созданного в 2006 году в городе Гродно. Согласно Уставу предприятия - вид деятельности - оптовая, розничная торговля (включая алкогольные напитки и табачные изделия) и общественное питание.

Управление ООО «Фирма Атлантик» осуществляется Генеральным директором Гордоном Юрием Аркадьевичем.

Ресторан "Золотой теленок" занимает часть здания по адресу: БЛК 11. Наряду с рестораном в этом здании находится кафетерий и книжный магазин. Гости ресторана могут воспользоваться стоянкой, расположенной сбоку здания.

Анализируя конкурентную среду, необходимо отметить, что основными конкурирующими предприятиями являются: ресторан «Романтика» и кафе «Романтика». Таким образом, для привлечения клиентов ресторану необходимо осуществлять постоянный контроль качества предоставляемых услуг. В целях обеспечения дальнейшей устойчивости на рынке, для удовлетворения потребности граждан в продукции и услугах данного предприятия, а также в целях получения прибыли, удовлетворения социальных потребностей работников, основным направлением хозяйственной деятельности избран выпуск конкурентоспособной продукции, увеличения объема товарооборота.

Ресторан «Золотой теленок» специализируется по выпуску и реализации продукции собственного производства, продаже покупных товаров, оказании услуг по организации питания.

Ресторан «Золотой теленок» является общедоступным предприятием общественного питания, предназначен для населения города и его гостей. Служит как для принятия пищи, так и для отдыха.

Общая площадь данного предприятия, включая все помещения, составляет 168 кв. м. Помещение отвечает всем техническим, санитарным противопожарным и другим требованиям, установленным для предприятий общественного питания данного типа нормативными документами. Время работы ресторана «Золотой теленок» с 12 до 2.00 без выходных. Торговое помещение представлено торговым залом на 80 посадочных мест.

Учитывая уютный интерьер ресторана и интересный ассортимент блюд собственного производства, основными клиентам ресторана являются не только жители близлежащих районов, но и гости города Гродно.

В обеденное время в ресторане «Золотой теленок» применяется практика реализации обеденного меню по более низким ценам. Обеденные блюда реализуются по отдельному меню с 12.00 до 16.00 часов.

Имущество предприятия составляют основные фонды, оборотные средства, а также иные ценности, стоимость которых отражается в балансе предприятия. Предприятие распоряжается имуществом на праве хозяйственного ведения. Ресторан оборудован современной компьютерной системой учета товарооборота, включая системные блоки, сенсорные мониторы (Touch Screen), принтеры печати чеков и управляются программой учета “Guscom” (адаптированная версия знаменитого “R-keeper”). Объект укомплектован самым современным оборудованием для производства продукции общественного питания: печами, столами для кухни, плитами, грилями, холодильниками, морозильниками, промышленным миксером, посудомоечной машиной. Ресторан оборудован современной системой канального кондиционирования.

Под организационной структурой управления (ОСУ) необходимо понимать совокупность управленческих звеньев, расположенных в строгой соподчиненности и обеспечивающих взаимосвязь между управляющей и управляемой системами.

Организационная структура управления складывается из состава, соотношения, расположения и взаимосвязи отдельных подсистем организации. Создание такой структуры направлено прежде всего на распределение между отдельными подразделениями организации прав и ответственности [21, с. 87].

Перед описанием ОСУ представим штат сотрудников ресторана «Золотой теленок», который представлен следующими лицами:

- директор(1);

бухгалтер(1);

экономист (1)

администратор (3);

бармен (3);

повар(4);

помощник повара (3);

мойщик посуды (2);

официант (8);

технический работник (1);

уборщица (2).

Организационная структура управления ресторана «Золотой теленок» может быть представлена в виде схемы (рисунок 3).

Рисунок 3 - Организационная структура ресторана «Золотой теленок»

Главным руководителем предприятия является - учредитель торгового общества с ограниченной ответственностью «Фирмы Атлантик», в подчинении у которого находится директор. Непосредственно директору ресторана «Золотой теленок» подотчетны бухгалтер, экономист и администраторы. Администраторы, в свою очередь, руководят официантами, поварами, их помощниками, барменами, уборщицами и техническим работником.

Функции работников предприятия определяются в разделе «Должностные обязанности» для соответствующей должности, предусмотренной штатным расписанием ресторана «Золотой теленок».

Организационная система управления ресторана «Золотой теленок» относится к органическому типу ОСУ, которому присущи высокая гибкость, минимальная связанность правилами и нормами, использование в качестве базы групповой организации труда.

Ресторан имеет следующие черты, характерные для данного типа ОСУ:

многие решения принимаются на основе обсуждения, а не базируются на авторитете, правилах и традициях;

обстоятельствами, которые принимаются во внимание при обсуждении проблем, являются доверие, а не власть, убеждение, а не команда, работа на единую цель, а не ради исполнения должностной инструкции. Средний возраст работников 25-35 лет, что способствует установлению доверительных отношений между работниками;

распределение работы между сотрудниками обуславливается не их должностями, а характером решаемых проблем и т.д.

Вид организационной структуры ресторана «Золотой теленок»- линейный, который характеризуется тем, что во главе каждого структурного подразделения находится руководитель, наделенный всеми полномочиями, осуществляющий единоличное руководство подчиненными ему работниками и сосредоточивающий в своих руках все функции управления.

Линейная организационная структура управления имеет свои преимущества и недостатки.

Преимущества линейной организационной системы управления:

а) единство и четкость распоряжений;

б) согласованность действий исполнителей;

в) простота управления (один канал связи);

г) четко выраженная ответственность;

ж) оперативность в принятии решений;

е) личная ответственность руководителя.

Недостатки линейной организационной системы управления:

а) высокие требования к руководителю, который должен быть подготовлен всесторонне, чтобы обеспечить эффективное руководство по всем функциям управления;

б) отсутствие звеньев по планированию и подготовке решений;

в) перегрузка информацией, множество контактов с подчиненными, вышестоящими и сменными структурами;

г) концентрация власти в управляющей верхушке [21, с.89].

Руководители принимаются на конкурсной основе с учетом опыта руководящей работы на предприятиях различной профессиональной ориентации.

При осуществлении подбора кадров на руководящие должности и должности специалистов, основными критериями оценки являются:

организаторские способности;

четкие личные цели;

изобретательность и способность к инновациям;

наличие соответствующего образования;

опыт работы на руководящих должностях по данной специальности;

знание иностранного языка;

определенные личные качества;

способность управлять собой;

способность обучать подчиненных;

способность формировать и развивать трудовой коллектив.

Для оценки обслуживающего персонала при проведении собеседования и тестирования во внимание принимаются в первую очередь - склонность к данному роду деятельности и их профессиональные качества (дисциплинированность, исполнительность), возраст, внешность.

С сотрудниками, отвечающими за техническое состояние и ремонт оборудования, проводится техническое обучение фирмами-поставщиками специального и технологического оборудования.

В дальнейшем руководители и специалисты повышают квалификацию путем участия в семинарах, проводимых соответствующими организациями и учреждениями. Не реже одного раза в три года проводится аттестация руководителя и специалистов с целью выявления их соответствия занимаемым должностям.

Как уже было сказано ранее, деятельность данного предприятия общественного питания направлена на удовлетворение потребностей покупателей в качественной и вкусной пище. В ресторане «Золотой теленок» имеется широкий ассортимент блюд, закусок и напитков. Большим спросом пользуются фирменные блюда и коктейли. Ассортимент продукции собственного производства представляет белорусскую, а также европейскую кухню.

Ценообразование предусматривает применение разных цен на продукты, поступающие на предприятие из различных источников. При выборе поставщиков, в целях поддержки развития белорусской экономики, предприятие в первую очередь ориентируется на отечественного производителя, в том числе производителя государственной формы собственности. В связи с этим ведется постоянная работа более чем с 10 белорусскими производителями и крупными поставщиками импортных товаров на белорусский рынок, такими как ОАО «Гродненский мясокомбинат», ОАО «Молочный Мир», РУП «Гродненский ликероводочный завод «Неманофф», ОАО «Криница», СПООО «Санта-Бремор», РУПП «Гроднохлебпром», СООО «Армянские коньяки» и т. д.

Формирование продажных цен осуществляется в соответствии с инструкцией №279 «О порядке формирования цен в торговых объектах общественного питания Гродненской области» от 14.04.2009.

Уровень наценки для приготовления продукции собственного производства составляет 80%. Алкогольная продукция крепостью свыше 28 градусов, реализуемая в розлив или используемая для приготовления блюд, напитков, кондитерских изделий собственного производства, реализуется с предельной наценкой 70% к розничным ценам. Пиво и алкогольная продукция крепостью до 28 градусов реализуются с предельными наценкой 40% к розничным ценам. При реализации пива и напитков в бутылках, банках, выпускаемых промышленностью, наценка не применяется. Соки, минеральная вода, квас, фруктовые, ягодные, овощные и другие безалкогольные напитки реализуются с предельной наценкой 20% к розничным ценам. На социальные товары установлены более низкие ставки надбавок согласно перечню. Покупные товары, не прошедшие предприятием кулинарную и технологическую обработку, реализуются по розничным ценам без применения наценки. Для более детальной характеристики экономико-организационной деятельности ресторана «Золотой теленок» представим основные показатели в виде таблицы (приложение А). Согласно данным в таблице, фактический объем товарооборота ресторана «Золотой теленок» в 2009 году составил 379 860,0 тыс. руб., в действующих ценах и в сопоставимых 330 313,0 тыс. руб.

Динамику увеличения товарооборота можно увидеть на рисунке 4.

Рисунок 4 - Динамика увеличения товарооборота. Источник: собственная разработка

Таким образом, товарооборот ресторана в отчетном периоде по сравнению с прошлым годом возрос на 46,0% в действующей оценке и на 12,7% в сопоставимой.

На 2009 год был запланирован товарооборот в размере 360 800,0 тыс. руб. План по товарообороту перевыполнен на 5,3%.

Доход от производства и реализации ПСП и ПТ в отчетном периоде по сравнению с прошлым годом в действующей оценке возрос на 52,4%. План по сумме дохода от производства и реализации ПСП и ПТ перевыполнен на 4,3%.

Доход от производства и реализации, остающийся в распоряжении предприятия увеличился на 52,4% к прошлому году, и также произошло его увеличение в процентах к товарообороту на 2,23 пункта. В сравнении с плановыми показателями доход от производства и реализации, остающийся в распоряжении предприятия увеличился в сумме на 8316,4 тыс. руб. или на 4,3%, однако в процентах к товарообороту произошло его снижение на 0,49%. В сопоставимых ценах доход от реализации в 2009 году составил 174 768,38 тыс. руб.

Наглядно динамика изменения дохода от производства и реализации ПСП и ПТ показана на гистограмме рисунка 5.

Рисунок 5 - Динамика изменения дохода от производства и реализации

Сумма налогов и других обязательных платежей взимаемых за счет дохода от реализации в отчетном периоде по сравнению с 2008 годом увеличилась на 1649,4 тыс. руб. или на 63,2%, а в процентах к товарообороту на 0,12 процента, что касается плана по налогам и другим обязательным платежам взимаемым за счет валового дохода то он перевыполнен на 7,0%, а в процентах к товарообороту на 0,02 пункта.

Возрос средний уровень дохода от реализации на 2,23%, что видно на гистограмме рисунка 6. Но план по среднему уровню дохода от производства и реализации остался недовыполненным на 0,49 (52,9 - 43,4).

Рисунок 6 - Динамика изменения уровня дохода от производства и реализации ПСП и ПТ

В 2009 году произошло увеличение издержек производства и обращения (расходов предприятия), что составило 151,2% к прошлому году. Также возрос уровень издержек производства и обращения в процентах к товарообороту на 0,55% в сравнении с базисным периодом. Произошло увеличение издержек производства и обращения (расходов) и по сравнению с плановыми показателями. Их рост составил 9,6%, а в процентах к товарообороту увеличились на 2,07%.

Фонд заработной платы увеличился на 13284,0 тыс. руб. или на 27% в динамике. По плану на 2009 год фонд заработной платы составил 648000 тыс. руб., однако фактически он выполнен на 96,5%. Что касается фонда заработной платы в процентах к товарообороту, то в сравнении с прошлым годом он снизился на 2,4%, а с плановыми показателями на 1,5%.

Анализ коэффициентов, характеризующих движение рабочей силы в ресторане, представлен в таблице 2.

Таблица 2

Коэффициенты, характеризующие движение рабочей силы

Наименование коэффициента

Расчетная формула

Расчетное значение

1

2

3

1. Коэффициент оборота по приему

Число работников, принятых за пери-од/среднесписочная численность работников

2/30 = 6, 7%

2. Коэффициент оборота по выбытию

Число работников, уволенных по причинам за период/ среднесписочная численность работников

1/30 = 3,3%

3. Коэффициент замещения рабочей силы

Коэффициент оборота по приему/ коэффициент оборота по выбытию

0,067/0,033 = 2,23


Таким образом, в ресторане почти отсутствует текучесть кадров, т. к. значение первых двух коэффициентов довольно маленькие. За анализируемый период (2008 год- 2009 год) на предприятии 3,3% от числа работающих уволилось, 6,7% от числа работающих было принято. Данное обстоятельство говорит о том, что на предприятии существует политика, направленная на сохранение рабочей силы. Это в свою очередь ведет к увеличению производительности труда. В 2009 году в сравнении с 2008 годом увеличилась производительность труда работников предприятия на 2039,88 тыс. руб.

Коэффициент замещения рабочей силы - 2,23. Это говорит о том, что на предприятии в анализируемый период были созданы новые рабочие места.

В ресторане работники лишаются всех премий при выявлении нарушений и несоблюдении правил внутреннего распорядка.

Общая прибыль в 2009 году по сравнению с прошлым годом увеличилась только на 238,28 тыс. руб. или на 35,2%. На рисунке 7 наглядно представлено увеличение прибыли от реализации и общей прибыли.

Рисунок 7 - Динамика изменения прибыли

За 2009 год была получена прибыль от реализации продукции собственного производства и покупных товаров в размере 1215,6 тыс. руб., что на 1178,28 тыс. руб. больше, чем за 2008 год. Однако план по прибыли от реализации продукции недовыполнен на 88,3%.

Рентабельность продаж увеличилась в отчетном периоде на 0, 31%, но плановый показатель недовыполнен на 2,58%.

В 2008 году предприятием был получен доход по операциям с тарой в размере 640,0 тыс. руб., а в отчетном периоде организацией был уплачен штраф в размере 300,0 тыс. руб.

Таким образом, результаты финансово-хозяйственной деятельности ресторана «Золотой теленок» по основным показателям улучшились в 2009 году по сравнению с 2008 годом.

На основании анализа основных показателей ресторана «Золотой теленок» можно сделать вывод, что деятельность данного предприятия можно считать эффективной, однако она должна быть направлена на разработку мероприятий по сокращению расходов предприятия и их оптимизации и на выявление путей и резервов роста доходов.

2.2 Анализ дохода от производства и реализации продукции собственного производства и покупных товаров и факторов, влияющих на его величину

Обеспечение эффективного функционирования организаций требует экономически грамотного управления их деятельностью, которое во многом определяется умением ее анализировать. С помощью анализа изучаются тенденции развития, глубоко и системно исследуются факторы изменения результатов деятельности, обосновываются планы и управленческие решения, осуществляется контроль за их выполнением, выявляются резервы повышения эффективности производства, оцениваются результаты деятельности предприятия, вырабатывается экономическая стратегия его развития. Анализ дохода от реализации предприятия позволяет оценить достигнутые результаты, развитие дохода от реализации, реалистичность стратегии предприятия в развитии дохода от реализации, сравнить масштабы деятельности данного предприятия. Оценка достигнутого - основа планирования показателей на перспективу.

При анализе доходов предприятия питания сначала изучают и оценивают его структуру (долю дохода от производства и реализации продукции собственного производства и покупных товарам, операционных и внереализационных доходов в общих доходах), изменение в динамике и степень выполнения плана. Структура доходов в ресторане «Золотой теленок» в динамике за 2008-2009 года представлена в таблице 3.

Таблица 3

Анализ структуры доходов предприятия

Показатель

2008

2009

Отклонение по сумме, тыс. руб.

Отклонение доли,%

Темп роста,% к 2008


Сумма, тыс. руб.

Доля к общим доходам,%

Сумма, тыс. руб.

Доля к общим доходам,%




Доход от реализации

131853,6

99,5

200983,6

100,0

69130,0

0,5

152,4

Операционные доходы

640,0

0,5

0,0

0,0

-640,0

-0,5

-

Внереализационные доходы

0,0

0,0

0,0

0,0

0,0

0,0

-

Всего

132493,6

100,0

200983,6

100,0

68490,0

-

551,7

Из таблицы видно, что по сравнению с 2008 годом произошло увеличение общей суммы всех доходов предприятия на 68490 тыс. руб., то есть на 51,7%, что свидетельствует о положительной тенденции развития предприятия.

Основную долю составляет доход от реализации, который за 2009 год увеличился с 99,5% до 100% (200983,6 тыс. руб.). В 2009 году операционные и внереализационные доходы отсутствовали. В любом случае по этим видам доходов трудно оценить, насколько грамотно планируется и осуществляется основная деятельность предприятия по производству и реализации ПСП и ПТ и оказанию услуг населению. Эту работу характеризует другой показатель - доход от реализации.

Анализ дохода от реализации проводят по сумме и уровню (в% к обороту). В процессе анализа изучают и оценивают степень выполнения плана и динамику дохода от реализации, измеряют влияние факторов на его размер.

Анализ реализованных торговых надбавок и наценок проводят по их сумме и уровню (в процентах к обороту). Согласно приложению А, план по сумме доход от реализации в ресторане «Золотой теленок» выполнен на 104,3%. Фактические доход от реализации увеличился на 8316,4 тысяч рублей или на 4,3% в сравнении с плановыми показателями. Следует отметить, что уровень дохода от реализации снизился на 0,49% от планового показателя и составил в отчетном году 52,91% к общему товарообороту. Аналогичная закономерность наблюдается и по доходу от реализации, остающемуся в распоряжении предприятия. Фактическая сумма чистого дохода от реализации больше запланированной на 8065,2 тыс. руб. или на 4,2%. Однако фактический уровень чистого дохода от реализации составил в отчетном периоде 51,8% к обороту, то есть снизился на 0,5% к обороту по сравнению с планом. Следует отметить, что снижение среднего уровня дохода от реализации и уровня чистого дохода от реализации небольшое, то есть меньше 1. По сравнению с 2008 годом в 2009 году наблюдается увеличение суммы реализованных торговых надбавок и наценок. Так, общая величина дохода от реализации в динамике возросла на 52,4%. Величина дохода от реализации, остающегося в распоряжении предприятия увеличилась по сравнению с прошлым годом на 52,1%.Средний уровень дохода от реализации в отчетном периоде повысился с 50,68% до 52,91% или на 2,23% к товарообороту. Уровень чистого дохода от реализации в отчетном году сохранил эту тенденцию и увеличился с 49,72% до 51,8% или на 2,08% к общему товарообороту.

Далее проведем более подробный анализ с учетом факторов, повлиявших на изменение суммы дохода от реализации.

За 2009 год доход от реализации увеличился на 69130 тыс. руб. На этот показатель в большей степени повлияли следующие факторы:

- изменение объема товарооборота и уровня дохода от реализации;

изменение состава товарооборота и уровней дохода от реализации собственной продукции и продажи покупных товаров;

изменение продажных цен на продукцию собственного производства и покупных товаров.

. Общая сумма дохода от реализации зависит от изменения объема товарооборота и уровня реализованных торговых надбавок и наценок. Увеличение или уменьшение объема товарооборота ведет к соответствующему изменению суммы дохода от реализации. С увеличением среднего уровня реализованных торговых надбавок и наценок пропорционально возрастает их сумма. Влияние указанных факторов на доход от реализации измеряют приемом абсолютных разниц (таблица 4).

Таблица 4

Определение влияния факторов на сумму дохода от реализации в ресторане «Золотой теленок», тыс. руб.

Фактор

Влияние на выполнение плана по доходу от реализации

Влияние на динамику дохода от реализации


Расчет

Сумма

Расчет

Сумма

1

2

3

4

5

Изменение объема товарооборота,

19060× 53,4 /100

+10178,04

119714 × 50,68/100

+60671,0

в том числе: - за счет изменения физического объема товарооборота,

-

-

(330313,0- 260146,0) × ×50,68/100

+35560,7

- за счет изменения продажных цен

-

-

(379860,00-330313,0)× ×50,68/100

+25110,3

Изменение среднего уровня дохода от реализации

-0,49 × ×379860/100

1861,30

2,23 × 379860/100

+8470,2

Всего


8316,74


69141,2


Таким образом, за счет роста товарооборота доход от реализации увеличился по сравнению с планом на 10178,04 тыс. руб. и в динамике на 60671,0 тыс. руб. или на 15,97% к общему товарообороту. Однако недовыполнение плана по среднему уровню дохода от реализации повлекло за собой недополучение дохода от реализации на -1861,30 тысяч рублей.

За счет ценового фактора доход от производства и реализации возрос на 25110,3 тысяч рубле, что составило 6,61% к обороту. За счет увеличения физического объема товарооборота сумма дохода от реализации возросла на 35560,7 тысяч рублей. Следует отметить, что за счет роста общего объема товарооборота в отчетном периоде по сравнению с прошлым годом доход от производства и реализации увеличился на 15167,8 тысяч рублей или на 16% к общему товарообороту.

Структура прироста дохода от реализации за счет влияния различных факторов наглядно показана на диаграмме рисунка 8.

Рисунок 8 - Влияния факторов на сумму дохода от реализации в ресторане «Золотой теленок»

Таким образом, за счет изменения физического объема товарооборота доход от производства и реализации продукции собственного производства и покупных товаров увеличился на 51,43%, за счет изменения продажных цен - на 36,32%, за счет изменения среднего уровня дохода от производства и реализации - на 12,25%.

По данным расчетам все факторы положительно повлияли на динамику дохода от реализации. Однако рост реализованных торговых надбавок и наценок произошел также за счет повышения продажных цен на продукцию собственного производства и покупные товары.

Далее приведем расчет влияния изменения объема товарооборота (в том числе за счет изменения физического объема товарооборота и изменения продажных цен) и изменения среднего уровня дохода от производства и реализации продукции собственного производства и покупных товаров на доход от производства и реализации, остающийся в распоряжении предприятия (таблица 5).

За счет роста товарооборота чистый доход от реализации увеличился по сравнению с планом на 9968,38 тыс. руб. и в динамике на 59521,8 тыс. руб. В том числе за счет повышения продажных цен на продукцию собственного производства и покупные товары доход от производства и реализации возрос на 24635,8 тысяч рублей, что составляет 6,5% к обороту, за счет роста физического объема товарооборота увеличение произошло на 34887,0 тысяч рублей или на 9,2%.

Таблица 5

Определение влияния факторов на сумму чистого дохода от реализации в ресторане «Золотой теленок», тыс. руб.

Фактор

Влияние на выполнение плана по чистому доходу от реализации

Влияние на динамику чистого дохода от реализации


Расчет

Сумма

Расчет

Сумма

Изменение объема товарооборота,

19060× 52,3/100

+9968,38

119714 × 49,7/100

+59521,8

в том числе: -за счет изменения физического объема товарооборота

-

-

(330313- 260146)× ×49,72/100

+34887,0

-за счет изменения продажных цен

-

-

(379860-330313)× ×49,72/100

+24635,8

Изменение среднего уровня дохода от реализации

-0,5 × 379860/100

-1899,30

2,08 × 379860/100

+7901,0

Всего


8316,74


67422,8

Однако недовыполнение плана по среднему уровню дохода от реализации в процентах к товарообороту привело к недополучению суммы дохода от реализации, остающегося в распоряжении предприятия на 1899,3 тысячи рублей.

Увеличение среднего уровня реализованных торговых надбавок и наценок в процентах к товарообороту на 2,08% привело к росту суммы дохода от реализации, остающегося в распоряжении предприятия на 7901,0 тысяч рублей. Наглядно изменение дохода от производства и реализации, остающегося в распоряжении предприятия под влиянием факторов изображено на диаграмме рисунка 9.

Рисунок 9 - структура прироста чистого дохода от производства и реализации ПСП и ПТ в ресторане «Золотой теленок»

. Средний уровень дохода зависит от изменения состава товарооборота (доли в товарообороте продукции собственного производства и покупных товаров) и уровней дохода от реализации собственной продукции и продажи покупных товаров. По покупным товарам наценки обычно устанавливают в более низких размерах, чем на собственную продукцию, а многие из них нередко продаются предприятиями общественного питания по розничным ценам (без наценок). В связи с этим уровень дохода от реализации по покупным товарам ниже, чем на продукцию собственного производства. Уровни дохода от реализации собственной продукции и продажи покупных товаров могут изменяться в связи со структурными сдвигами в реализации продукции собственного производства и покупных товаров, изменением места и времени их продажи, звенности товародвижения, размеров торговых надбавок и наценок и других факторов. Расчет влияния этих факторов на выполнение плана и динамику среднего уровня дохода от реализации представлены в таблице Б.1 (приложение Б ) и таблице В.1 (приложение В).

Таким образом, по сравнению с планом за 2009 год произошло изменение состава товарооборота по продукции собственного производства удельный вес в общем объеме товарооборота снизился на 1,2%, а по продаже покупных товаров увеличился на 1,2% соответственно, что привело к снижению уровня дохода от реализации на 0,49% (52,91 - 53,4), что составляет 303,9 тысяч рублей(379860 ´0,08 / 100).

Далее следует рассмотреть влияние состава товарооборота по продукции собственного производства и реализации покупных товаров, а также их уровни в% к товарообороту.

Согласно рисунку 10 удельный вес реализованной продукции собственного производства в товарообороте за 2008 год составил 50, 2%, что всего на 0,2% больше чем доля покупных товаров в товарообороте, которая составила 49,8%.

Рисунок 10 - Состав товарооборота по реализации собственной продукции и покупных товаров

Удельный вес собственной продукции увеличился на 4,0% (53,8 - 49,8) по сравнению с 2008 годом, а удельный вес продажи покупных товаров снизился на 4,0% (к товарообороту), что привело к росту среднего уровня дохода от реализации.

Повышение уровня дохода от реализации продукции собственного производства на 3,6% к товарообороту и уменьшение уровня продажи покупных товаров привело к увеличению среднего уровня дохода от реализации на 8470,9 тысяч рублей ((52,91 - 50,68) ´ 379860 /100).

Таким образом, ресторан «Золотой теленок» - предприятие общественного питания второй наценочной категории, которое функционирует на базе ООО «Фирма Атлантик» (торговое общество с ограниченной ответственностью), созданного в 2006 году в городе Гродно.

Основными конкурирующими предприятиями являются: ресторан «Романтика» и кафе «Романтика».

Организационная система управления ресторана «Золотой теленок» относится к органическому типу ОСУ. Вид организационной структуры ресторана «Золотой теленок» - линейный, который характеризуется тем, что во главе каждого структурного подразделения находится руководитель, наделенный всеми полномочиями, осуществляющий единоличное руководство подчиненными ему работниками и сосредоточивающий в своих руках все функции управления. Главным руководителем предприятия является - учредитель торгового общества с ограниченной ответственностью «Фирма Атлантик», в подчинении у которого находится директор. Непосредственно директору ресторана «Золотой теленок» подотчетны бухгалтер, экономист и администраторы. Администраторы, в свою очередь, руководят официантами, поварами, их помощниками, барменами, уборщицами и техническим работником.

Формирование продажных цен осуществляется в соответствии с инструкцией №279 «О порядке формирования цен в торговых объектах общественного питания Гродненской области» от 14.04.2009.

На основе вышеприведенного анализа можно сделать вывод, что результаты финансово-хозяйственной деятельности ресторана «Золотой теленок» по основным показателям улучшились в 2009 году по сравнению с 2008 годом.

Товарооборот ресторана в отчетном периоде по сравнению с прошлым годом возрос на 46,0% в действующей оценке и на 12,7% в сопоставимой. Доход от производства и реализации ПСП и ПТ в отчетном периоде по сравнению с прошлым годом в действующей оценке возрос на 52,4%.

Доход от производства и реализации, остающийся в распоряжении предприятия увеличился на 52,4% к прошлому году, и также произошло его увеличение в процентах к товарообороту на 2,23 пункта.

Сумма налогов и других обязательных платежей, взимаемых за счет дохода от реализации, в 2009 году по сравнению с 2008 годом увеличилась на 1649,4 тыс. руб. или на 63,2%, а в процентах к товарообороту на 0,12 процента.

Фонд заработной платы увеличился на 13284,0 тыс. руб. или на 27% в динамике.

В 2009 году в сравнении с 2008 годом увеличилась производительность труда работников предприятия на 2039,88 тыс. руб.

Коэффициент замещения рабочей силы - 2,23. Это говорит о том, что на предприятии в анализируемый период были созданы новые рабочие места. За 2009 год была получена прибыль от реализации продукции собственного производства и покупных товаров в размере 1215,6 тыс. руб., что на 1178,28 тыс. руб. больше, чем за 2008 год.

Основываясь на результатах проведенного анализа доходов в ресторане «Золотой теленок» за 2008 и 2009 гг., можно сделать следующие выводы:

- основную долю составляет доход от реализации, который за 2009 год увеличился с 99,5% до 100% (200983,6 тыс. руб.);

общий прирост дохода от производства и реализации ПСП и ПТ составил 69141,2 тыс. руб., в том числе:

1) за счет роста общего объема товарооборота на 60671,0 тыс. руб. (за счет роста цен на товары и сырье на 25110,3 тыс. руб.; за счет роста физического объема товарооборота на 35560,7 тыс. руб.);

) за счет роста среднего уровня дохода от производства и реализации ПСП и ПТ на 8470,2 тыс. руб.,

- в том числе за счет увеличения удельного веса собственной продукции в общем товарообороте на 379,9 тыс. руб.;

за счет увеличения уровней доходности по продукции собственного производства и реализации покупных товаров на 8470,9 тыс. руб.

Отсюда видно, что все факторы, влияющие на доход от производства и реализации ПСП и ПТ, оказали положительное воздействие на него.

3. Планирование доходов в ресторане «Золотой теленок» и пути их увеличения

.1 Планирование дохода от производства и реализации продукции собственного производства и покупных товаров в ресторане «Золотой теленок»

Цель научно обоснованного планирования дохода от реализации - определение возможного его объема при заданных (прогнозных) ограничениях исходя из целевых приоритетов, выбранных предприятием питания для своей деятельности.

В настоящее время методика планирования довольно многообразна.

Вопрос о том, какой метод планирования выбрать из всех возможных, на предприятии решается самостоятельно. Целесообразнее использовать несколько методов, которые будут дополнять друг друга. В этом случае можно говорить о том, что плановый показатель будет более точным, так как недостатки отдельных методов перекрываются и устраняются. Автор работы рассматривает несколько методов.

. Метод с использованием коэффициента эластичности

Информация для расчета суммы дохода от реализации на плановый 2009 год представлена в таблице 6.

Таблица 6

Расчет коэффициента эластичности

Сумма, тыс. руб.

2008

2009

Темп роста,%

Темп прироста,%

Товарооборот

260146,0

379860,0

146,0

46,0

Доход от реализации

131853,6

200983,6

152,4

52,4


Коэффициент эластичности по формуле 1.30 составит: 52,4: 46 = 1,139.

Коэффициент эластичности показывает, что при увеличении товарооборота на 1%, доход от реализации увеличится на 1,139%:

Планируемый объем товарооборота согласно данным с предприятия составляет 493560 тыс. руб. Следовательно, темп прироста товарооборота в плановом году будет равен 493560: 379860 х 100% - 100% = 29,9%

Тогда найдем темп прироста дохода от реализации.

Доход от реализации на плановый 2010 год составит:

 тыс. руб.

2. Метод скользящей средней

Суть этого метода заключается в выравнивании по методу скользящей средней динамического ряда за несколько лет уровня дохода от производства и реализации продукции собственного производства и покупных товаров (в данном случае с 2006 г. по 2009 гг.) и распространении выявленной тенденции в развитии дохода от реализации на перспективу. Расчеты представлены в таблице 7.

Таблица 7

Расчет выровненных показателей по методу скользящей средней

Годы

Доход от реализации, млн. руб.

Уровень дохода от реализации,%

Выровненные показатели К

2006

71682,00

48,90


2007

84418,40

46,53


2008

131853,60

50,68

(48,90+ 46,53 + 50,68): 3 = 48,70

2009

200983,60

52,91

(46,53 + 50,68 + 52,91): 3 = 50,04

Таким образом, сначала определяются выровненные показатели К как среднеарифметическая трех ближайших друг к другу периодов. Затем на их основе находят среднегодовой прирост уровня дохода от реализации (формула 1.28).

.

Прогнозируемый уровень дохода от реализации будет равен (формула 1.29).

.

Таким образом, планируемый уровень дохода от реализации по ресторану «Золотой теленок» равен 52,72% к товарообороту, что составляет 260204,83 млн. руб. (493560  52,72 / 100).

Расчет дохода от реализации при помощи экономико-математических методов предполагает выбор математической модели и ее решение.

. Метод экстремумов

Методика расчета дохода от производства и реализации методом экстремумов приведена в первой главе. Информация для расчета дохода от производства и реализации ПСП и ПТ в ресторане «Золотой теленок» методом экстремумов представлена в таблице 8.

Таблица 8

Информация для расчета дохода от производства и реализации ПСП и ПТ в ресторане «Золотой теленок» методом экстремумов

Год

Доход от реализации, тыс. руб

Условные обозначения

2005

71682,0

Y1

2006

84418,4

Y2

2007

131853,6

Y3

2008

200983,6

Y4

Подставим числовые значения в систему уравнений (формула 1.31):

71682,0 = a + b,

200983,6 = 4a + b.

Отсюда: b = 28581,5 тыс. руб.; а = 43100,5 тыс. руб.

Таким образом, в прогнозируемом периоде доход от реализации составит:

Y5 = 43100,5 × 5 + 28581,5 = 244081,5 тыс. руб.

Темп роста дохода от реализации будет 121,4% (244081,5 / 200983,6 × ×100).

4. Прогнозирование с использованием эконометрических моделей

Для прогнозирования дохода от производства и реализации ПСП и ПТ с помощью эконометрических моделей автор работы воспользовался данными за два года (таблица 9).

Таблица 8

Доход от производства и реализации ПСП и ПТ по месяцам за 2008-2009 гг.

Месяц

Доход от производства и реализации ПСП и ПТ, тыс. руб.

Отклонение от 2008 года

Темп роста,%


2008 год

2009 год



1

2

3

4

5

Январь

6197

10049

3852

162,16

Февраль

7516

11054

3538

147,07

Март

9625

15074

5449

156,61

Апрель

12131

16079

3948

132,54

Май

12262

20098

7836

163,90

Июнь

13845

22108

8263

159,68

Июль

15163

23113

7950

152,43

Август

18460

30148

11688

163,31

Сентябрь

11208

19093

7885

170,35

Октябрь

9493

14069

4576

148,20

Ноябрь

8570

12059

3489

140,71

Декабрь

6725

8039

1314

119,53

Итого

131195

200983

69788

-

Наглядно изменение дохода от производства и реализации ПСП и ПТ показано на рисунке 11.

По показателям дохода от реализации по месяцам автор работы построил линейный тренд. Расчет ошибок и доверительного интервала приведен в приложении.

Расчет коэффициентов сезонности.

Определяется среднемесячный доход от реализации за каждые прошедшие 12 месяцев. После этого рассчитываются сезонные колебания дохода от реализации по месяцам за каждый год.

Рисунок 11 - Изменение дохода от производства и реализации ПСП и ПТ по месяцам

Определяется сумма по годам сезонных колебаний каждого месяца за 2 года. Далее рассчитываются индексы сезонности - как среднее значение сезонных отклонений путем деления найденной суммы на 2 года (см. приложение Д, табл.Д.6-Д.9).

Следующим шагом необходимо определить какой из прогнозных доходов от реализации будет браться за основу. Основными критериями может служить точность моделей. В данном случае наиболее точной является линейная модель (98,8%). Это означает, что плановый доход от производства и реализации ПСП и ПТ будет находиться в промежутке между 246 954 и 252 999 тыс. руб. Поэтому в дальнейших расчетах будет браться за основу значение, полученное с помощью линейной модели.

Итоговые прогнозные показатели различных моделей представлены в таблице 9.

Таблица 9

Итоговые прогнозные показатели

Модель

Точность

Прогноз дохода на 12 месяцев

Доверительный интервал

Доход к прошлому году

Линейная модель

98,8%

249 977

246 954

252 999

1,24

Логарифмическая модель

44,5%

696 578

310 127

1 083029

3,47

Экспоненциальная модель

97,0%

249 554

242 166

256 942

1,24

Степенная модель

47,7%

671 284

320 402

1 022165

3,34

Все расчеты производились в электронных таблицах EXCEL. Результаты представлены в приложении Д, табл.Д.1-Д.5.

Доход от производства и реализации с учетом коэффициентов сезонности представлен в таблице 10.

По данным расчетов наибольший доход от производства и реализации ПСП и ПТ ресторан «Золотой теленок» получит в период с мая по сентябрь, а наименьший - в период с декабря по февраль. Таким образом, тенденция прошлых лет сохранится и в 2010 году.

Таблица 10

Прогнозируемый доход от реализации с учетом коэффициентов сезонности

Прогнозный период (2010 год)

Коэффициент сезонности

Доход от реализации помесячно, тыс. руб.

1

2

3

январь

0,58

12 153

февраль

0,67

14 035

март

0,89

18 544

апрель

1,03

21 556

май

1,16

24 181

июнь

1,29

26 939

июль

1,38

28 819

август

1,74

36 335

сентябрь

1,08

22 551

октябрь

0,85

17 793

ноябрь

0,75

15 664

декабрь

0,55

11 406

итого

12,00

249 977


Наглядно планируемое изменение дохода от производства и реализации ПСП и ПТ в 2010 году представлено на рисунке 12.

Таким образом, планируемый доход от производства и реализации ПСП и ПТ в 2010 году составит 249 977 тыс. руб.

Проведя многовариантные расчеты планирования дохода от реализации можно составить сводную таблицу 11.

Рисунок 12 - Планируемый дохода от производства и реализации ПСП и ПТ по месяцам

Таблица 11

Плановые величины дохода от производства и реализации ПСП и ПТ

Название метода

Сумма дохода от реализации, тыс. руб.

Метод с использованием коэффициента эластичности

26948,61

Экономико-статистичекий (скользящей средней)

260204,83

Метод экстремумов

244081,50

Прогнозирование с использованием линейной модели

249977,00


Чтобы удостоверится в оптимальности планируемой величины дохода производства и реализации, целесообразно рассчитать ряд показателей:

критическую величину дохода от реализации (порог рентабельности)

запас финансовой прочности (ЗФП).

Критическая величина дохода от реализации показывает, при каком объеме дохода от реализации прибыль предприятия будет равна нулю. Для расчета необходима информация об объеме постоянных и переменных издержек обращения в плановом 2009 году (65700 и 105300 тыс. руб. соответственно) и величина дохода от реализации в плановом периоде.

Расчет критической величины дохода от реализации по формуле 1.32.

1. тыс.руб.

2.        тыс.руб.

3.        тыс. руб.

4.        тыс. руб.

Таким образом, в 2010 году в ресторане «Золотой теленок» прогнозные значения дохода от реализации составят 269438,61; 260204,83; 244081,50; 249977,00 тыс. руб.. При этом значения минимально допустимой величиной дохода от реализации составят ;  тыс. руб., так как при этом ресторан будет иметь возможность за счет дохода от реализации только возместить издержки, а прибыль будет равна нулю.

Расчет запаса финансовой прочности по формуле 1.33.

1. ЗФП при плановой сумме дохода от реализации 269438,61 тыс. руб.

ЗФП =  100 = 59,9%.

2.  ЗФП при плановой сумме дохода от реализации 260204,83 тыс. руб.

ЗФП =  100 = 57,6%.

3. ЗФП при плановой сумме дохода от реализации 244081,50 тыс. руб.

 100 = 52,7%.

4. ЗФП при плановой сумме дохода от реализации 249977,00 тыс. руб.

ЗФП =  100 = 54,6%.

Чем выше запас финансовой прочности, тем эффективнее работает организация, поэтому необходимо изыскивать возможности для дальнейшего увеличения запаса финансовой прочности. По данным расчетов, работу ресторана «Золотой теленок» можно оценить как эффективную.

Таким образом, цель планирования дохода от реализации ресторана «Золотой теленок» на предстоящий период заключается, прежде всего, в том, чтобы определить источники его получения и увеличить размеры доходов от хозяйственной деятельности предприятия при всех заданных ограничениях. Целесообразнее использовать несколько методов, которые будут дополнять друг друга. В этом случае можно говорить о том, что плановый показатель будет более точным, так как недостатки отдельных методов перекрываются и устраняются. Автор работы использовал следующие методы: метод с использованием коэффициента эластичности, экономико-статистичекий (скользящей средней), метод экстремумов и прогнозирование с использованием линейной модели. В результате были получены следующие плановые показатели дохода от реализации на 2010 год: 269438,61 тыс. руб., 260204,83 тыс. руб., 244081,50 тыс. руб. и 249977,00 тыс. руб. соответственно. При этом значения минимально допустимой величиной дохода от реализации составило 107848 тыс. руб., 110361,04 тыс. руб., 115549,66 тыс. руб. 113518,30 тыс. руб., так как при этом ресторан будет иметь возможность за счет дохода от реализации только возместить издержки, а прибыль будет равна нулю. Запас финансовой прочности оказался высоким, что свидетельствует об эффективной работе ресторана.

3.2 Пути увеличения и резервы роста дохода от производства и реализации ПСП и ПТ в ресторане «Золотой теленок»

Резервы роста доходов предприятия - это количественно измеримые возможности его увеличения за счет роста объема реализации продукции, уменьшения затрат на ее производство, совершенствование структуры продукции. Резервы выявляются на стадии планирования и в процессе выполнения планов. Определение резервов роста доходов базируется на научно обоснованной методике их расчета, мобилизации и реализации.

Поскольку доход от реализации продукции занимает наибольший удельный вес в структуре доходов предприятия, то анализ факторов, его определяющих, имеет значение для выявления резервов роста всех доходов. Поиск эффективных путей и резервов для увеличения дохода от производства и реализации ПСП и ПТ заключается в том, чтобы сократить до минимума влияние негативных факторов и применить в хозяйственной деятельности предприятия те, что воздействуют на рост дохода от реализации.

Важнейшими резервами роста дохода от реализации являются:

- увеличение объема товарооборота (в сопоставимых ценах);

эффективная работа с поставщиками;

рациональная ценовая политика.

1. Увеличение объема товарооборота. На увеличение объема товарооборота оказывают влияние следующие факторы:

эффективная маркетинговая политика. В ресторане «Золотой теленок» наблюдается существенное недоразвитие маркетинга ресторана вследствие следующих причин:

1) уровень маркетинговой подготовки владельцев ресторанов достаточно низкий;

)   непонимание ценности маркетинга (что во многом определяется предыдущим пунктом) и, как следствие, нежелание финансировать это направление. Причем стремление сэкономить относится и к финансированию маркетинговых программ, и к зарплатам специалистов, которые могли бы организовать такую работу;

3)      серьезные специалисты в области рекламы и маркетинга не спешат работать в ресторане. Во-первых, они не считают эту работу престижной и дающей значительный опыт. Во-вторых, перспектив роста в ресторане немного. Во-вторых, уровень зарплат в ресторане на такие должности невысок и подходит только для начинающих специалистов, что может их устроить только на время поиска другой, более высокооплачиваемой и перспективной работы.

Автор работы выделяет 3 основные задачи:

. Увеличение дохода с клиента.

. Удержание клиентов.

. Привлечение клиентов и информирование клиентов о ресторане.

Увеличение дохода с клиента

Увеличение дохода с клиента подразумевает, что клиент либо чаще приходит в ресторан, либо платит больше за одно посещение. Методов для этого существует достаточно много и некоторые из них довольно сложно систематизировать и описать. Например, создание соответствующей атмосферы заведения. А ведь от нее во многом будет зависеть, придет ли человек в этот ресторан специально, или же только благодаря тому, что он расположен рядом.

Тем не менее, кроме создания «правильной» атмосферы, можно выделить некоторые способы, позволяющие поднять показатели продаж на одного клиента.

. Персонал ресторана. От умения продавать во многом зависит средний чек заведения. Во-первых, персонал надо обучить. Обучение могут проводить администраторы ресторана или привлеченные организации. В ресторане «Золотой теленок» почти отсутствует текучесть кадров, что является отличным стимулом для обучения сотрудников. В штат сотрудников не принимают студентов, в том числе на летние подработки, с одной стороны, это позволяет избежать текучести кадров, однако с другой, на работу официантом приходит много молодых людей с низким интеллектом и низким культурным уровнем, который не позволяет им впитывать даже примитивные знания об обслуживании и продажах, не говоря уже о понимании того, что это действительно важно. Поэтому в данном ресторане надо провести обучение своих сотрудников, чтобы достичь высокого уровня сервиса. Во-вторых, персонал надо стимулировать. Для этого можно организовать различные конкурсы, например «Работник месяца» и т.д., ввести систему нематериального стимулирования (организация экскурсий для работников ресторана, бесплатное посещение фитнесс-центров, бассейнов и т.д.).

. Введение в меню всевозможных дополнительных предложений (сверх обычного меню). Что-то вроде «шеф-повар рекомендует». Поскольку это специальное предложение, то его можно попытаться продавать дороже. Но опять же, во многом это зависит от того, окажется ли персонал способным продать его. Можно ввести блюда-комплименты от ресторана, если чек на гостя перешёл определённый порог или рекламировать 30% скидку на десерт, предоставляемую девушкам по субботам с 17.00 до 21.00 или бесплатный бокал вина на входе каждому посетителю со спутницей. В праздничные дни (8 марта, 14 февраля, 23 февраля и т.д.) можно организовать специальные подарки гостям (поздравительные открытки, бесплатное фото самой романтической паре и другие).

. Организация доставки блюд со скидкой «на вынос» из ресторана в ближайшие офисы и жилые дома. При этом возможно установить планку минимального заказа.

Удержание клиентов

Удержать клиента - это значит сделать так, чтобы клиент перешел из разряда случайных в разряд постоянных. Известно, что если посетителю в ресторане комфортно, то он будет приходить регулярно. Причем это происходит как бы само по себе. Тем не менее, можно выделить ряд факторов, активно способствующих вторичным посещениям клиентов:

. Кухня и качество приготовления блюд. Необходимо поддерживать качество приготовления блюд на высоком уровне. В ресторане блюдо готовится слишком долго, поэтому некоторые клиенты просто устают ждать. Поэтому важно постоянно контролировать этот процесс и увеличивать производительность труда.

. Отношение обслуживающего персонала. Клиенты особенно ценят приветливость и внимание. Поэтому официанты должны относиться дружелюбнее к своим гостям. Не менее важным моментом является знание официантом состава блюд, что не всегда увидишь в ресторане «Золотой теленок». В условиях конкуренции важно персонифицированное отношение к гостям. Для этого следует узнавать своих постоянных посетителей в лицо, общаться с ними, поддерживать постоянный контакт. Следует отметить: для того чтобы поздравить клиента с днем рождения или Новым годом, необходимо иметь информацию об этом клиенте. То есть, ресторан должен собирать базу данных своих постоянных посетителей.

Привлечение клиентов и информирование клиентов о ресторане

Сегодня при посещении ресторанов гости обязательно хотят видеть что-то новое, при этом для поддержания интереса клиентов, изменения должны совершаться постоянно, иначе люди к ним быстро привыкают. Для этого можно провести ряд мероприятий.

. Проведение праздничных мероприятий. Например, дней какой-либо кухни. В этом случае почти всегда делается дополнительное меню, которое опять же можно продать дороже. Плюс к этому можно пригласить постоянных (и не только постоянных) клиентов ресторана. Соответственно, для этого нужно иметь базу таких клиентов.

. Выпуск музыкальных сборников под маркой ресторана. Записанные диски могут распространяться не только в ресторане, но и продаваться через музыкальные магазины, тем самым, обеспечивая дополнительный доход владельцу.

3. Приглашение директоров компаний на ужин. При этом клиентам ресторана предлагается самим определить сумму, которую они готовы заплатить за еду. Однако за напитки придется платить обычную цену.

Каждый клиент решает сам платить ли ему 500 тысяч или 200 рублей. Все, что от них требуется, чтобы они платили столько, сколько, по их мнению, стоит еда и сервис. При этом, ресторан получит бесплатную рекламу и новых клиентов. Что-то похожее организовал Петер Илич, владелец одного из лондонских ресторанов под названием Литл Бэй (Little Bay).

. Организация мероприятий. Можно собрать в ресторане представителей компаний на обед для презентации мероприятия. Сообщить, что ресторан является организатором игры. Цель игры: соревнование между компаниями города (пять-шесть компаний участников). Правила игры: ориентация на местности и скорейшее прохождение маршрута. Старт в одном месте, в одно время. Далее в соответствии с легендами участники куда-то бегут, решают какие-то головоломки, собирают бонусы. Игра заканчивается в ресторане банкетом.

5. Можно договориться с работниками рецепции отелей и работниками службы такси, чтобы они рекомендовали ресторан клиентам, как не дорогой, с хорошей кухней и репутацией. Конечно, для поддержания хороших взаимоотношений с работниками гостиницы и службы такси понадобиться платить комиссионные.

. Договориться о совместной акции с другими организациями. Для этого необходимо придумать идею совместной кросс-маркетинговой акции, которая логично могла объединить всех участников. Например, ресторан, цветочный магазин, салон красоты, бутик одежды, стоматологическая клиника (или просто частная клиника), супермаркет, «фитнесс» - центр могли бы объединиться в совместной акции, посвящённой красоте и здоровому образу жизни. Кросс-маркетинговая акция предполагает взаимную рекомендацию какого-либо продукта, услуг всеми участниками акции. Причём, чем больше рекомендательных посланий получает клиент, тем лучше. Рекомендательным посланием может служить купон со скидкой на посещение ресторана «Золотой теленок», выданный клиенту салона красоты, баннер у входа, сообщающий о партнёрской программе и подразумевающий выгодное предложение от всех участников акции, совместная реклама в прессе, которая позволит сэкономить каждому участнику на размещении, и т.п.

7. Важным моментом является реклама ресторана в Интернете. Сегодня Интернетом пользуется около 47% городского населения, причем в основном в дневное время и на рабочих местах. В Гродно мало ресторанов, которые имеют свой сайт или зарегистрированы на других специализированных сайтах, посвященный организации досуга. Главное преимущество Интернет-рекламы - это соотношение цена-качество. Сначала можно разместить рекламу на бесплатных ресурсах (vkontakte.ru и т.п.). Это хороший маркетинговый инструмент: в сетях можно бесплатно обеспечивать массовое информирование аудитории. Для привлечения целевой аудитории лучше обратиться к более специализированным Интернет-ресурсам - ресторанным сайтам. Наиболее эффективны сегодня ресторанные сайты, где люди могут размещать отзывы. Конечно, картина, создаваемая с помощью этих отзывов, не всегда объективная, но в совокупности информация о ресторане, фото, отзывы - позволяют составить довольно полное представление о заведении. Второй момент, психологический, заключается в том, что человек может сам выбирать ресторан, на него в этот момент никто не давит, ничего не навязывает. Кроме этого на подобных сайтах есть определенная цензура, не допускающая ненормативной лексики, оскорблений. Главное - создать информационный повод, интересное событие. Даже если в ресторане ничего не происходит, заявлять о себе надо. По Интернету можно принимать заказы от посетителей, бронировать столики и осуществлять доставку. Автор работы советует комплексный подход: не просто размещать новости, меню, но обязательно давать информацию в дневник ресторана, участвовать в обсуждениях в блогах. Очень хорошо работают тематические рубрики, которые упрощают выбор человеку, решившему где-то отметить, например, 8 марта.

Таким образом, Интернет-реклама имеет ряд преимуществ. Во-первых, это возможность быстро разместить рекламу, уменьшить срок рекламной кампании и затраты на нее. Во-вторых, легко привлечь внимание большого количества людей к событию, создать позитивный имидж, подробно обо всем проинформировать. В-третьих, у ресторатора появляется возможность составить для каждого, кто задает вопрос на сайте, практически индивидуальное предложение.

состояние, развитие и использование материально- технической базы общественного питания. В общественном питании эффективность использования производственных мощностей во многом зависит от пропускной способности обеденного зала и ее использования, которая зависит от количества мест в зале, времени его работы и средней продолжительности обслуживания потребителя. На показатели эффективности использования материально-технической базы большое влияние оказывает повышение продажных цен на продукцию собственного производства и покупные товары. Внедрение в практику достижений научно-технического прогресса повышает эффективность использования материально-технической базы. К примеру, использование высокочастотных аппаратов для приготовления пищи по сравнению с обычными электроплитами позволяет не только ускорить время ее приготовления, но и сокращает расход энергии на 50-70%;

соблюдение технологий приготовления продукции общественного питания. Качество продукции собственного производства во многом зависит от качества сырья и полуфабрикатов, выполнения правил технологии производства пищи, квалификации поваров, внедрения новейшего оборудования, машин. Особое внимание должно быть уделено выявлению возможностей сокращения потерь сырья при холодной и тепловой обработке за счет внедрения более совершенной технологии производства продукции;

динамика запасов сырья и товаров. Для обеспечения ритмичности работы, широкого выбора собственной продукции и покупных товаров, наиболее полного удовлетворения спроса потребителей на предприятиях общественного питания должны быть определены товарные запасы. Текущие товарные запасы должны быть средними, т.е. не завышенными и не заниженными. Завышенные запасы продуктов ведут к замедлению товарооборачиваемости, росту товарных потерь, к ухудшению качества и даже к порче продуктов. Заниженные товарные запасы могут привести к перебоям в производственно-торговой деятельности предприятий, к снижению объема товарооборота и выпуска собственной продукции. Важное значение имеет скорость оборота товаров. Следует отметить, что оборачиваются не сами продукты, а вложенные в них средства. Ускорение товарооборачиваемости имеет большое народнохозяйственное значение: высвобождаются оборотные средства, вложенные в сырье и покупные товары, снижаются товарные потери, сохраняется качество продуктов и т.д.;

расширение и обновление ассортимента продукции собственного производства. Как отмечалось ранее, наценки и надбавки на продукцию собственного производства выше, чем на покупные товары, поэтому реализация ПСП выгоднее, чем реализация покупных товаров. В ресторан «Золотой теленок» доля покупных товаров в общем объеме реализации очень высокая, поэтому ресторан должен расширять и обновлять ассортимент продукции собственного производства, что приведет к снижению доли покупных товаров.

. Эффективная работа с поставщиками заключается в правильном выборе поставщиков сырья и товаров. Наиболее экономичной формой доставки продуктов на предприятия общественного питания является централизованный их завоз, т.к. он улучшает процесс товародвижения. В работе с поставщиками следует уделять внимание на соблюдение графика завоза сырья, полуфабрикатов и покупных товаров, выполнение заявок и заказов предприятий общественного питания, развитие рациональных методов доставки продуктов. Необходимо также проверять обоснованность взимания наценок поставщиками на возмещение расходов по централизованной доставке сырья и покупных товаров. Наценки (нормы возмещения расходов по доставке продуктов) должны быть установлены в минимальных размерах при условии рационального использования транспортных средств. В настоящее время в значительных размерах производится самостоятельный завоз сырья и покупных товаров предприятиями общественного питания. Это вызвано отсутствием централизованной доставки продуктов или имеющимися недостатками в ее организации (нарушениями сроков доставки, ассортимента и качества поставляемых сырья и товаров).

. Рациональная ценовая политика. Предприятия общественного питания должны изыскивать и реализовывать возможности снижения цен на блюда и другую продукцию за счет производства недорогой, но ценной в питательном отношении обеденной продукции, продажи комплексных обедов и использования других внутренних и внешних резервов. Однако до тех пор, пока государство регулирует предельные надбавки наценки, закупка сырья по более низким ценам и уменьшение продажной цены блюда не выгодно ресторану.

В качестве дополнительных мер, которые будут способствовать увеличению доходов и улучшению экономического положения ресторана «Золотой теленок», предлагаются следующие:

1) регулярный развернутый анализ финансово-хозяйственной деятельности предприятия;

2) ускорение оборачиваемости оборотных средств, которое также ведет к росту объемов производства и реализации продукции;

3) рациональное использование автотранспорта, экономия горюче-смазочных материалов, сокращение порожних пробегов грузового автотранспорта;

4) усиление контроля за расходованием топливно-энергетических ресурсов (доведения до каждого объекта нормы расхода и процент экономии);

5) снижение расходов на тару, потери товаров при перевозке, хранении;

6) снижение расходов по телефонной, факсимильной, почтовой связи, экономия по командировочным, канцелярским и прочим расходам.

Таким образом, в условиях рыночной экономики эффективная деятельность ресторана зависит от полноты и качества планирования и прогнозирования. Цель планирования дохода от реализации ресторана «Золотой теленок» на предстоящий период заключается, прежде всего, в том, чтобы определить источники его получения и увеличить размеры доходов от хозяйственной деятельности предприятия при всех заданных ограничениях. Целесообразнее использовать несколько методов, которые будут дополнять друг друга. В этом случае можно говорить о том, что плановый показатель будет более точным, так как недостатки отдельных методов перекрываются и устраняются. Автор работы использовал следующие методы: метод с использованием коэффициента эластичности, экономико-статистичекий (скользящей средней), метод экстремумов и прогнозирование с использованием линейной модели. Результаты приведены в таблице 12.

Таблица 12

Сводная информация о результатах планирования дохода от производства и реализации ПСП и ПТ

Метод планирования

Доход от производства и реализации

Критическая величина дохода от реализации

Запас финансовой прочности,%

Метод с использованием коэффициента эластичности

269438,61

107848,59

59,9

Метод скользящей средней

260204,83

110361,04

57,6

Метод экстремумов

244081,50

115549,66

52,7

Прогнозирование с использованием линейной модели

249977,00

113518,30

54,6


При данных величинах дохода от реализации ресторан будет иметь возможность только возместить издержки, а прибыль будет равна нулю. Запас финансовой прочности оказался высоким, что свидетельствует об эффективной работе ресторана.

Заключительным этапом на предприятии является поиск резервов роста доходов. Поскольку доход от реализации продукции занимает наибольший удельный вес в структуре доходов предприятия, то анализ факторов, его определяющих, имеет значение для выявления резервов роста всех доходов. Важнейшими резервами роста дохода от реализации являются: увеличение объема товарооборота (в сопоставимых ценах); эффективная работа с поставщиками; рациональная ценовая политика. На увеличение объема товарооборота оказывают влияние следующие факторы:

. Эффективная маркетинговая политика, которая включает: увеличение дохода с клиента, удержание клиентов, привлечение клиентов и информирование клиентов о ресторане.

. Состояние, развитие и использование материально- технической базы общественного питания.

. Соблюдение технологий приготовления продукции общественного питания.

. Динамика запасов сырья и товаров.

. Расширение и обновление ассортимента продукции собственного производства.

Эффективная работа с поставщиками заключается в правильном выборе поставщиков сырья и товаров. Наиболее экономичной формой доставки продуктов на предприятия общественного питания является централизованный их завоз, т.к. он улучшает процесс товародвижения.

Рациональная ценовая политика заключается в том, что предприятия общественного питания должны изыскивать и реализовывать возможности снижения цен на блюда и другую продукцию за счет производства недорогой, но ценной в питательном отношении обеденной продукции, продажи комплексных обедов и использования других внутренних и внешних резервов.

В качестве дополнительных мер, которые будут способствовать увеличению доходов являются регулярный развернутый анализ финансово-хозяйственной деятельности предприятия, ускорение оборачиваемости оборотных средств, усиление контроля за расходованием ресурсов, рациональное использование автотранспорта, экономия горюче-смазочных материалов, сокращение порожних пробегов грузового автотранспорта и др.

Заключение

Доходы предприятия являются одним из важнейших показателей, характеризующих результат экономической деятельности предприятий ресторанного хозяйства. Доходы ресторана как коммерческой организации включают в себя: доход от реализации продукции собственного производства и покупных товаров; операционные доходы; внереализационные доходы; возмещения из бюджета.

Доход от производства и реализации ПСП и ПТ представляет собой сумму надбавок и наценок на реализуемую продукцию. Этот вид дохода занимает наибольший удельный вес в структуре доходов ресторана. Как экономическая категория представляет собой часть продажной цены, которая предназначается для покрытия издержек производства и обращения и образования прибыли.

Источниками образования дохода от производства и реализации ПСП и ПТ являются надбавки и наценки. Торговые надбавки устанавливаются в процентах к оптовой свободно-отпускной цене. Размер наценки устанавливается в процентах к розничной цене. Розничные цены определяются исходя из отпускной цены предприятия-изготовителя или импортера исходя из торговой надбавки (с учетом оптовой) и НДС. В ресторанном бизнесе определяется продажная цена, которая включает в себя отпускную цену, торговую надбавку, НДС и наценку. Уровень наценок на ПСП и ПТ может различаться по областям республики и по Минску, так как разрабатываются облисполкомами и Мингорисполкомом и отражаются в инструкции по ценообразованию.

Операционные доходы представляют собой доходы ресторана от отдельных операций, не относящихся к видам деятельности организации.

Внереализационные доходы - доходы, которые не связаны с доходами, включаемыми в выручку от реализации продукции и не входящие в состав операционных доходов.

Объем и структура доходов ресторанного хозяйства зависят от множества факторов. Их все можно разделить на внешние (оказывают косвенное влияние на хозяйственную деятельность независимо от интересов предприятия питания) и внутренние (факторы прямого воздействия, на них предприятие может и должно активно влиять в целях повышения эффективности своей коммерческой деятельности).

Для осуществления нормальной хозяйственно-экономической деятельности ресторан стремиться управлять своими доходами.

Эффективное управление доходами ресторана невозможно без их анализа и планирования.

Экономический анализ представляет собой совокупность методов формирования и обработки данных о деятельности предприятия, определение тенденций развития, выявление резервов повышения эффективности хозяйственной деятельности. Он позволяет точно и своевременно находить и учитывать факторы, влияющие на получаемую прибыль; находить оптимальные пути решения проблем предприятия, укреплять его финансовое состояние.

В ходе экономического анализа уточняют степень выполнения плана по доходу от производства и реализации ПСП и ПТ, определяют динамику показателя за ряд лет, выявляют основные факторы, повлиявшие на величину дохода от производства и реализации ПСП и ПТ, вскрывают неиспользованные резервы предприятия, отмечают положительные и отрицательные моменты в процессе хозяйственной деятельности. По окончанию анализа формулируют выводы и предложения, разрабатывают план мероприятий для их реализации.

Механизм планирования коммерческой деятельности включает: принципы планирования (гибкость, точность, участие, вариантность, целенаправленность, научность и др.) определение приоритетных целей; обеспечение взаимосвязи между показателями; учет факторов и конъюнктуры развития рынка; анализ проблем; выбор оптимального варианта развития; контроль осуществления планов.

Прогнозирование дохода от реализации должно осуществляться с использованием передовых научных достижений и практических разработок в следующей последовательности:

1. Проведение глубокого экономического анализа дохода от реализации за ряд предыдущих периодов (месяцев, кварталов, лет) в увязке с конечными финансовыми результатами организаций.

2. Оценка тенденций дохода от реализации в целом и по отдельным товарным группам (товарам), видам продукции.

3. Расчет и изучение динамики дохода от реализации в целом, в разрезе подразделений, товарных групп и отдельных наименований товаров за ряд лет, выявление причин изменения и прогнозирование этих показателей.

4. Количественная оценка влияния факторов на общий уровень дохода от реализации, а также прогнозная оценка факторного влияния на текущий валовой доход.

В зависимости от главных целей или основных подходов используемой информации, нормативной базы, применяемых путей получения и согласования тех или иных конечных плановых показателей при планировании дохода от реализации используют следующие методы: метод прямого расчета; расчетно-аналитический; экономико-статистические; экономико-математические; метод с использованием коэффициента эластичности; на основе прогнозируемой величины прибыли.

В данной работе автор проанализировал деятельность ресторан «Золотой теленок». Ресторан «Золотой теленок» - предприятие общественного питания второй наценочной категории, которое функционирует на базе фирмы «Атлантик» (торговое общество с ограниченной ответственностью), созданного в 2006 году в городе Гродно.

Организационная система управления ресторана «Золотой теленок» относится к органическому типу ОСУ. Вид организационной структуры ресторана «Золотой теленок» - линейный, который характеризуется тем, что во главе каждого структурного подразделения находится руководитель, наделенный всеми полномочиями, осуществляющий единоличное руководство подчиненными ему работниками и сосредоточивающий в своих руках все функции управления. Главным руководителем предприятия является - учредитель торгового общества с ограниченной ответственностью фирмы «Атлантик», в подчинении у которого находится директор. Непосредственно директору ресторана «Золотой теленок» подотчетны бухгалтер, экономист и администраторы. Администраторы, в свою очередь, руководят официантами, поварами, их помощниками, барменами, уборщицами и техническим работником.

На основе вышеприведенного анализа можно сделать вывод, что результаты финансово-хозяйственной деятельности ресторана «Золотой теленок» по основным показателям улучшились в 2009 году по сравнению с 2008 годом.

Товарооборот ресторана в отчетном периоде по сравнению с прошлым годом возрос на 46,0% в действующей оценке и на 12,7% в сопоставимой. Доход от производства и реализации ПСП и ПТ в отчетном периоде по сравнению с прошлым годом в действующей оценке возрос на 52,4%.

Доход от производства и реализации, остающийся в распоряжении предприятия увеличился на 52,4% к прошлому году, и также произошло его увеличение в процентах к товарообороту на 2,23 пункта.

Сумма налогов и других обязательных платежей, взимаемых за счет дохода от реализации, в 2009 году по сравнению с 2008 годом увеличилась на 1649,4 тыс. руб. или на 63,2%, а в процентах к товарообороту на 0,12 процента.

Фонд заработной платы увеличился на 13284,0 тыс. руб. или на 27% в динамике.

В 2009 году в сравнении с 2008 годом увеличилась производительность труда работников предприятия на 2039,88 тыс. руб.

Коэффициент замещения рабочей силы - 2,23. Это говорит о том, что на предприятии в анализируемый период были созданы новые рабочие места. За 2009 год была получена прибыль от реализации продукции собственного производства и покупных товаров в размере 1215,6 тыс. руб., что на 1178,28 тыс. руб. больше, чем за 2008 год.

Основываясь на результатах проведенного анализа доходов в ресторане «Золотой теленок» за 2008 и 2009 гг., можно сделать следующие выводы:

¾  основную долю составляет доход от реализации, который за 2009 год увеличился с 99,5% до 100% (200983,6 тыс. руб.).;

¾      общий прирост дохода от производства и реализации ПСП и ПТ составил 69141,2 тыс. руб., в том числе:

1) за счет роста общего объема товарооборота на 60671,0 тыс. руб. (за счет роста цен на товары и сырье на 25110,3 тыс. руб.; за счет роста физического объема товарооборота на 35560,7 тыс. руб.);

) за счет роста среднего уровня дохода от производства и реализации ПСП и ПТ на 8470,2 тыс. руб.

¾  в том числе за счет увеличения удельного веса собственной продукции в общем товарообороте на 379,9 тыс. руб.

¾      за счет увеличения уровней доходности по продукции собственного производства и реализации покупных товаров на 8470,9 тыс. руб.

Отсюда видно, что все факторы, влияющие на доход от производства и реализации ПСП и ПТ, оказали положительное воздействие на него.

При планировании доходов ресторана целесообразнее использовать несколько методов, которые будут дополнять друг друга. В этом случае можно говорить о том, что плановый показатель будет более точным, так как недостатки отдельных методов перекрываются и устраняются.

Автор работы использовал следующие методы: метод с использованием коэффициента эластичности, экономико-статистический (скользящей средней), метод экстремумов и прогнозирование с использованием линейной модели. В результате были получены следующие плановые показатели дохода от реализации на 2010 год:  тыс. руб., 260204,83 тыс. руб., 244081,50 тыс. руб. и 249977,00 тыс. руб. соответственно. Значения минимально допустимой величиной дохода от реализации составило 107848,59 тыс. руб., 110361,04 тыс. руб., 115549 тыс. руб., 1133518,30 тыс. руб., так как при этом ресторан будет иметь возможность за счет дохода от реализации только возместить издержки, а прибыль будет равна нулю. Запас финансовой прочности оказался высоким, что свидетельствует об эффективной работе ресторана.

Заключительным этапом на предприятии является поиск резервов роста доходов. Поскольку доход от реализации продукции занимает наибольший удельный вес в структуре доходов предприятия, то анализ факторов, его определяющих, имеет значение для выявления резервов роста всех доходов. Важнейшими резервами роста дохода от реализации являются: увеличение объема товарооборота (в сопоставимых ценах); эффективная работа с поставщиками; рациональная ценовая политика. На увеличение объема товарооборота оказывают влияние следующие факторы:

. Эффективная маркетинговая политика, которая включает:

а) мероприятия по увеличению дохода с клиента;

б) мероприятия по удержанию клиентов;

в) мероприятия по привлечению клиентов и информированию клиентов о ресторане.

. Состояние, развитие и использование материально-технической базы общественного питания.

. Соблюдение технологий приготовления продукции общественного питания.

. Динамика запасов сырья и товаров.

. Расширение и обновление ассортимента продукции собственного производства.

Похожие работы на - Анализ доходов ресторана 'Золотой теленок', определение резервов их роста

 

Не нашли материал для своей работы?
Поможем написать уникальную работу
Без плагиата!
Без нейросетей!