Получение сернистого ангидрида в производстве серной кислоты
Содержание
Введение
Производство
серной кислоты
Система
двойного контактирования и двойной абсорбции (ДК/ДА)
Заключение
Список
литературы
ВВЕДЕНИЕ
Двуокись серы SO2 - это
бесцветный газ, в 2,3 раза тяжелее воздуха, с резким запахом. Чистая (100%
-ная) SO2, при атмосферном давлении и - 10° С
сжижается. При растворении S02 в
воде образуется слабая и нестойкая сернистая кислота S02 + Н2О H2S03. Сырьем для производства двуокиси
серы (а следовательно, и серной кислоты) может служить любое вещество,
содержащее серу: как природные материалы, так и промышленные отходы. В природе
сера встречается в основном в трех видах: 1) элементарная самородная сера,
механически смешанная с другими минералами; 2) сернистые металлы (сульфиды),
такие, как пирит FeS2, медный колчедан
FeCuS2, медный блеск Cu2S, цинковая обманка ZnS, а также PbS, CoS, NiS и др ; 3) сульфаты: гипс CaS04-2H20,
ангидрит CaS04, а также Na2S04, MgS04 и др.
Свыше 40% серной кислоты производится из газа, полученного обжигом
серного колчедана, состоящего из минерала пирита и примесей. Чистый пирит FeS2 содержит 53,5% S и 46,5% Fe. В серном колчедане содержание серы обычно колеблется от 35
до 50%, железа - от 30 до 40%, остальное составляют сульфиды цветных металлов,
углекислые соли, песок, глина и др. Серный колчедан часто залегает в смеси с
сульфидами цветных металлов, которые являются сырьем для производства меди,
цинка, свинца, никеля, серебра и др. Для отделения сульфидов цветных металлов
руду измельчают, разделяют флотацией на концентраты сульфидов цветных металлов
и так называемые флотационные хвосты, которые состоят главным образом из
пирита. Серный колчедан, содержащий мало цветных металлов, доставляется на
заводы прямо после добычи в виде кусков различной величины. На сернокислотных
заводах колчедан дробят на щековых и валковых дробилках, а затем обжигают для
получения из него двуокиси серы.
При обжиге концентратов сульфидов меди, цинка и других цветных металлов
на металлургических заводах тоже получается двуокись серы, которая используется
для производства серной кислоты. Таким образом, производство цветных металлов
из сернистых руд комбинируется с производством двуокиси серы. Свыше 25% серной
кислоты получается из отходящих газов цветной металлургии. Значительная часть
сернистых газов в цветной металлургии получается с содержанием S02 менее 3%. Для использования в
производстве серной кислоты эти газы необходимо концентрировать. Однако на ряде
заводов цветной металлургии концентрирование газов еще не производится и они
выпускаются в атмосферу, настоящее время проектируется более полное
использование сернистых газов цветной металлургии. Лучшим сырьем для
производства двуокиси серы служит сера, которая выплавляется из природных
пород, содержащих серу, а также получается как побочный продукт в производстве меди,
при очистке газов и т. п. Сера плавится при 113°С, легко воспламеняется и
сгорает в простых по устройству печах. При сжигании серы в воздухе получается
газ более высокой концентрации, чем при сжигании колчедана, с меньшим
содержанием вредных примесей. Однако стоимость серы в несколько раз выше, чем
колчедана, поэтому из нее вырабатывается лишь около 20% производимой серной
кислоты в основном на заводах, удаленных от месторождений колчедана.
Каменный уголь всегда содержит около 1-3% серы. При сжиганни угля в
топках сера сгорает и выделяется в виде S02 в атмосферу. Разработаны абсорбционно-десорбционные
способы обезвреживания дымовых газов, при которых S02 извлекается из газа и может быть использована для
производства серной кислоты. Однако себестоимость двуокиси серы, извлеченной из
дымовых газов, в несколько раз выше, чем полученной обжигом колчедана, поэтому
она используется лишь в ничтожной степени. Во всем мире выбрасывается в
атмосферу двуокиси серы в 2 с лишним раза больше, чем используется в мировом
производстве серной кислоты.- При коксовании каменного угля, а также при
переработке нефти содержащаяся в них сера частично переходит в газ в виде
сероводорода. При очистке газа получают элементарную серу или газообразный
сероводород, который сжигают, получая двуокись серы и из нее серную кислоту.
При травлении стали серная кислота превращается в сульфаты железа. При
очистке нефтепродуктов остается кислый гудрон, содержащий серную кислоту. В
ряде органических производств получается в виде отхода разбавленная серная
кислота, сильно загрязненная органическими примесями. Все эти и им подобные
отходы производств, содержащие серную кислоту или ее соли, при нагревании в
присутствии восстановителей дают двуокись серы, которую можно перерабатывать на
серную кислоту. Рассмотрим производство двуокиси серы обжигом основного сырья -
колчедана и затем сжиганием серы.
ПРОИЗВОДСТВО СЕРНОЙ КИСЛОТЫ
Функциональная схема производства серной кислоты. Химическая схема
включает в себя реакции:
обжиг серного колчедана 4FeS2 +
11О2 = 2Fe2O3 + 8SO2
или серы S2 + 2O2 = 2SO2;
окисление диоксида серы SO2 +
1/2O2 = SO3;
абсорбция триоксида серы SO3 +
Н2O = H2SO4.
Исходные вещества - минеральное сырье - содержат примеси, и потому
функциональная схема (рис. 1) включает в себя стадию очистки газа после обжига.
Первая стадия - обжиг - специфична для каждого вида сырья, и далее она будет
рассмотрена для колчедана и серы как наиболее распространенных исходных
веществ. Стадии окисления и абсорбции в основном одинаковы в разных способах получения
серной кислоты. Последовательное рассмотрение указанных стадий (подсистем ХТС
производства серной кислоты) проведем с позиций принципиальных технологических,
аппаратурных и режимных их решений.
Рис. 1. Функциональные схемы производства серной кислоты из серы (а) и
серного колчедана (б):
- обжиг серосодержащего сырья; 2 - очистка и промывка обжигового газа; 3
- окисление SO2; 4 - абсорбция SO3
Обжиг серосодержащего сырья. Обжиг колчедана (пирита) является сложным
физико-химическим процессом и включает в себя ряд последовательно или
одновременно протекающих реакций:
термическая диссоциация 2FeS2 =
2FeS + S2;
газофазное горение серы S2 + 2O2 = 2SO2;
горение пирротина 4FeS +
7O2 = 2Fe2 O 3 + 4SO2.
Суммарная реакция:
FeS2 +
11O2 = 2Fe2O3 + 8SO2. (5.1)
При небольшом избытке или недостатке кислорода образуется смешанный оксид
железа:
FeS2 +
802 = Fe304 + 6S02.
Обжиг серного колчедана в воздушном потоке производится в печах различной
конструкции при атмосферном давлении. Процесс обжига пирита характеризуется
суммарным уравнением
4FeS2 + 11O2 2Fe203 + 8S02 + 3400 кДж (а)
которое применяется при расчетах материального и теплового балансов.
Фактически этот необратимый процесс состоит из ряда последовательных и
параллельных химических реакций, а также диффузионных стадий, которые и
лимитируют общую скорость процесса при высоких температурах. При нагревании
колчедана в печи выше 500° С прежде всего происходит диссоциация пирита: 2FeS2 2FeS + S2.
Сера быстро сгорает в газовой фазе: S2 + 2O2 2SO2. Сульфид железа окисляется по уравнению
FeS +
7O2 2Fe2O3 + 4SO2
В действительности, ниже 600° С окисление происходит через образование
сульфатов железа в качестве промежуточных соединений, а при более высоких
температурах сначала образуется FeO, а
затем уже Fe304 или Fe203. Во всех случаях при окислении сульфида образуется пленка
окислов железа, и дальнейшее выгорание серы лимитируется обычно скоростью
диффузии кислорода воздуха к неокисленному ядру FeS и обратной диффузией двуокиси серы из глубины
частицы. Именно этот процесс так называемой внутренней диффузии и лимитирует
общую скорость обжига колчедана. От 5 до 10% всей серы колчедана переходит в
газ в виде S03. Трехокись серы получается
вследствие окисления S02
при каталитическом действии огарка, а также за счет разложения сульфатов,
которые могут содержаться в колчедане или образуются при окислении пирита. При
высоких температурах выходящего из печи огарка и при малом избытке кислорода,
например, в печах кипящего слоя суммарный процесс обжига пирита характеризуется
уравнением
3FeS2 + 8O2 Fe304 + 6SO2 + Q (б)
При обжиге окисляются также сульфиды других металлов, содержащихся в
колчедане, разлагаются карбонаты, в газовую фазу из сырья поступают таКже As203, Se02 и вся влага колчедана. Окислы железа, сульфаты и окислы
других металлов, кварц и алюмосиликаты, а также неокисленный FeS составляют огарок. В огарке остается
от 0,5 до 2% серы. Опытные данные, характеризующие степень выгорания серы из
колчедана при обжиге его в неподвижном слое, приведены на рис. 3. Оптимальные
условия обжига можно определить, анализируя влияние на скорость процесса
различных условий по уравнению гетерогенного процесса:
SO2 /dτ = kF ∆С. (1.1)
Движущая сила процесса возрастает с увеличением содержания FeS2 в колчедане и с повышением
концентрации кислорода в газовой смеси. Ее увеличение достигается обогащением
колчедана (отделения примесей от FeS2)
методом флотации, а также применением для обжига воздуха, обогащенного
кислородом. Однако эти способы ускорения процесса требуют больших затрат и
применяются редко. Обычно применяют избыток воздуха в 1,2-1,8 раза по сравнению
со стехиометрическим по уравнению (а) или (б). Основные реакции в условиях
обжига необратимы, поэтому методы смещения равновесия здесь неприменимы.
Увеличение скорости реакции за счет возрастания коэффициента массопередачи k достигается при повышении
температуры. Однако повышение температуры ограничивается спеканием частиц
колчедана в комья, которое наступает при 850- 1000° С в зависимости от примесей
колчедана и вида обжиговой печи. Внешне диффузионные процессы интенсифицируются
перемешиванием колчедана в воздухе, однако общий процесс горения лимитирует в
основном диффузия кислорода и двуокиси серы в порах окиси железа, нарастающей
по мере обжига на зерне колчедана.
Рис. 2. Влияние температуры на степень выгорания серы из
Поэтому для облегчения диффузии и увеличения поверхности соприкосновения F сульфида железа с кислородом воздуха
важнейшее значение имеет измельчение колчедана. Обычно применяемый флотационный
колчедан состоит в основном из частиц размером от 0,03 до 0,3 мм; естественно,
что при столь большой разнице в размерах время полного выгорания серы колеблется
для отдельных частиц в десятки раз. Поверхность соприкосновения колчедана с
воздухом увеличивается также при перемешивании, характер которого определяется
типом применяемой печи. Продуктом обжига является сернистый газ, состоящий из
двуокиси серы, кислорода, азота и примесей. Кислород в газе необходим для
окисления двуокиси серы в трехокись.
Печи для обжига колчедана применяются трех типов: 1) механические
полочные, в которых колчедан перемешивается в слое, 2) пылевидного обжига с
распылением колчедана в потоке воздуха и 3) со взвешенным (кипящим) слоем
колчедана. В печах 2-го и 3-го типов достигается максимальное развитие
поверхности соприкосновения, которая равна всей поверхности частиц.
Механические полочные печи являются универсальными для обжига любого
сыпучего сернистого сырья. В них обжигают флотационный и рядовой серный
колчедан, сульфидные руды цветных металлов и серусодержащую газоочистительную
массу. При обжиге колчедана получается газ, содержащий в среднем S02 9%, 02 9%, N2 82% *. Выходящий из печи огарок
содержит в среднем 2% невыгоревшей серы. Интенсивность работы печей составляет
в среднем 225 кг обожженного колчедана на 1 м2 сводов печи в сутки или около
185 кг на 1 м3 объема печи в сутки . При слоевом сжигании флотационный колчедан
легко спекается в куски, поэтому в печи недопустима температура выше 850-900° С
в зависимости от наличия легкоплавких примесей в колчедане. Высокая температура
вызывает также коррозию и поломки чугунных зубьев, гребков и даже вала печи.
Механические печи сложны в устройстве, малоинтенсивны, дороги в
эксплуатации, не обеспечивают достаточного выжигания серы из колчедана и
высокую концентрацию сернистого газа и поэтому вытесняются печами других типов.
Печи пылевидного обжига применяются для обжига сухого флотационного
колчедана. Обжигающиеся в полете мелкие частицы колчедана омываются со всех
сторон воздухом и поэтому интенсивнее сгорают и труднее спекаются, чем в
полочных печах. В печи допустима температура до 1100° С. Это позволяет подавать
в печи меньший (чем в полочных) избыток воздуха. В результате получается газ,
содержащий до 13% S02, а в огарке
остается 1-1,5% S. При простом
устройстве интенсивность работы печей составляет 700-1000 кг/м3 -сут. Тепло
газов, выходящих с температурой 1000° С, используется в котлах-утили- заторах
для получения пара.
Недостатками этих печей, препятствующими их широкому распространению,
являются, во-первых, необходимость применения флотационного колчедана с малой
влажностью и без больших колебаний содержания серы. При изменении состава
колчедана резко колеблется состав газа; влажный колчедан забивает форсунку и
нарушает работу печи; во-вторых, запыленность газа составляет обычно более 100
г/м3 против, примерно, 10 г/м3 в механических печах.
Печи со взвешенным (кипящим) слоем (см. ч. I, рис. 75) применяются для
обжига флотационного и рядового колчедана и других сульфидных руд. В отличие от
механических печей в печах кипящего слоя (КС) нельзя сжигать материал, сильно
различающийся по размеру частиц (в одной и той же печи), так как скорость
воздуха, соответствующая взвешиванию зерен, примерно пропорциональна их размеру
и для крупных частиц рядового колчедана она в десятки раз больше, чем для
частиц флотационного. В печах КС при полном обтекании воздухом частиц
концентрация их в объеме выше, чем в печах пылевидного обжига, поэтому выше
интенсивность работы печей, составляющая 1000- 1800 кг/м3 • сут. При этом можно
получать газ, содержащий до 15% S02
при 0,5% S в огарке. Для использования тепла
реакции трубы паровых котлов-утилизаторов устанавливают как в потоке газа, так
и непосредственно в кипящем слое, где коэффициент теплоотдачи много выше, чем
от газа. Съем пара выше, чем в печах пылевидного обжига, и достигает 1,3 т на
1т колчедана. Температура одинакова во всем слое; путем отвода тепла она
поддерживается на уровне 800° С. Запыленность газа в печах КС еще больше, чем
при пылевидном обжиге. Благодаря большой интенсивности работы при высокой
концентрации S02 в газе и лучшем выгорании серы из
колчедана печи кипящего слоя вытеснили полочные печи в сернокислотной
промышленности и цветной металлургии.Термическое разложение пирита начинается
уже при температурах около 200 °С и одновременно воспламеняется сера. При
температурах выше 680 °С интенсивно протекают все три реакции. В промышленности
обжиг ведут при 850 - 900 °С. Лимитирующей стадией процесса становится
массоперенос продуктов разложения в газовую фазу и окислителя к месту реакции.
При этих же температурах твердый компонент размягчается, что способствует
слипанию его частиц. Эти факторы определили способ проведения процесса и тип
реактора.
Сначала использовали полочный реактор (рис. 3,а). Колчедан располагается
на полках и воздух проходит через неподвижные слои. Естественно, колчедан -
кусковой (тонко измельченный создавал бы значительное гидравлическое
сопротивление и мог легко слипаться, что создавало бы неоднородное горение).
Чтобы сделать обжиг непрерывным процессом, твердый материал передвигается
специальными гребками, вращающимися на валу, расположенном по оси аппарата.
Лопатки гребков перемещают куски колчедана по тарелкам поочередно от оси
аппарата к его стенкам и обратно, как показано на рисунке стрелками. Такое
перемешивание одновременно предотвращает слипание частиц. Свежий колчедан
непрерывно подается на верхнюю полку. Огарок также непрерывно выводится с низа
реактора.
Механический реактор обеспечивает интенсивность процесса, измеряемую
количеством колчедана, проходящего через единицу сечения реактора, - не более
200 кг/(м2 * ч). В таком реакторе движущиеся скребки в высокотемпературной зоне
усложняют его конструкцию, создается неодинаковый температурный режим по
полкам, трудно организовать отвод тепла из зоны реакции. Трудности теплосъема
не позволяют получить обжиговый газ с концентрацией SO2 более 8 - 9%. Основное ограничение - невозможность
использования мелких частиц, в то время как для гетерогенного процесса основной
способ ускорения скорости превращения - дробление частиц.
Рис.3.Реакторы обжига колчедана:
а - полочный (1 - корпус, 2 - полки для колчедана, 3 - вращающиеся
скребки, 4 - ось привода скребков); б - печь кипящего слоя (1 - корпус, 2-
теплообменник). Стрелки внутри аппаратов - движение твердого колчедана в
реакторах
серный кислота обжиг абсорбция
Мелкие частицы можно перерабатывать в кипящем (псевдоожиженном) слое, что
реализовано в печах КС - кипящего слоя (рис. 3,б). Пылевидный колчедан подается
через питатель в реактор. Окислитель (воздух) подается снизу через
распределительную решетку со скоростью, достаточной для взвешивания твердых
частиц. Их витание в слое предотвращает слипание и способствует хорошему
контакту их с газом, выравнивает температурное поле по всему слою, обеспечивает
подвижность твердого материала и его переток в выходной патрубок для вывода
продукта из реактора. В таком слое подвижных частиц можно расположить
теплообменные элементы. Коэффициент теплоотдачи от псевдоожиженного слоя
сравним с коэффициентом теплоотдачи от кипящей жидкости, и тем самым обеспечены
эффективные теплоотвод из зоны реакции, управление его температурным режимом и
использование тепла реакции. Интенсивность процесса повышается до 1000 кг/(м2 *
ч), а концентрация SO2 в обжиговом
газе - до 13-15%. Основной недостаток печей КС - повышенная запыленность
обжигового газа из-за механической эрозии подвижных твердых частиц. Это требует
более тщательной очистки газа от пыли - в циклоне и электрофильтре. Подсистема
обжига колчедана представлена технологической схемой, показанной на рис.4.
Поддержание высокой концентрации S02 в обжиговом газе печи КС позволяет лучше использовать
тепловой потенциал реакции горения. Добавление воздуха после обжига позволяет
снизить температуру газа и получить необходимые концентрации SO2 и О2 перед реактором окисления.
Сера - легкоплавкое вещество: температура плавления 113 °С. Перед сжиганием ее
расплавляют, используя пар, получаемый при утилизации теплоты ее горения.
Расплавленная сера отстаивается и фильтруется для удаления имеющихся в
природном сырье примесей и насосом подается в печь сжигания. Сера горит в основном
в парофазном состоянии.
Рис. 4. Технологическая схема обжига колчедана:
- тарельчатый питатель; 2 - печь (реактор) кипящего слоя: 3 -
котел-утилизатор; 4 - циклон; 5 - электрофильтр
Чтобы обеспечить ее быстрое испарение, необходимо ее диспергировать в
потоке воздуха. Для этого используют форсуночные и циклонные печи. Первые
оборудованы горизонтальными форсунками для тонкого распыления жидкости. В
циклонной печи жидкая сера и воздух подаются тангенциально и за счет вихревого
движения достигается диспергирование жидкости и перемешивание двух потоков.
Рис. 5. Зависимость адиабатической температуры горения серы Т от
концентрации образующегося S02
Рис. 6. Технологическая схема сжигания серы:
- фильтр серы; 2 - сборник жидкой серы с погружным насосом; 3 - печь
сжигания; 4- котел-утилизатор
Мелкие капли быстро испаряются, и сера в парообразном состоянии сгорает.
Горение протекает адиабатически, и температура зависит от концентрации образующегося
SO2 (рис. 5). Теплота горения серы
11325 кДж/кг, и температура в печи - более 1000 °С. Этих условий достаточно для
испарения жидкой серы (теплота испарения 288 кДж/кг, температура кипения 445
°С). Печь сжигания работает в комплексе со вспомогательным оборудованием для
плавления и фильтрования серы и котлом- утилизатором для использования тепла
реакции (рис. 6).
При горении серы по реакции 1/2S2 + O2 = SO2 часть кислорода эквимолярно переходит в диоксид серы, и
потому суммарная концентрация O2 и SO2 постоянна и равна концентрации
кислорода в исходном газе), так что при сжигании серы в воздухе
Газ от сжигания серы богаче кислородом, чем от сжигания колчедана.
Промывка газа после обжига. Газы обжига колчедана содержат в виде
примесей соединения фтора, селена, теллура, мышьяка и некоторые другие,
образующиеся из примесей в сырье. Естественная влага сырья также переходит в
газ. При горении образуется некоторое количество SO3 и, возможно, оксиды азота. Эти примеси приводят или к
коррозии аппаратуры, или к отравлению катализатора, а также сказываются на
качестве продукта - серной кислоты. Их удаляют в промывном отделении,
упрощенная схема которого приведена на рис. 5.29. В первой промывной башне 1
обжиговый газ охлаждается от 300 - 500 до 60 - 70 °С и улавливаются остатки
пыли. Башня полая, чтобы избежать забивания насадки твердым осадком (пылью), и
орошается 50 - 60%-й серной кислотой для частичного поглощения химических
примесей.
Рис. 7. Схема промывного отделения производства серной кислоты: I, 2-
промывные башни; 3 - мокрый электрофильтр, 4 - сушильная башня
Разбавленная кислота образует в башне сернокислотный туман с развитой
поверхностью, что способствует лучшей абсорбции примесей. Обеспыленный газ
отмывается 15 - 20%-й кислотой от соединений As, F, Se во второй промывной башне 2 с
насадкой. Частички тумана укрупняются, что облегчает их удаление вместе со
сконденсировавшейся влагой в последующем мокром электрофильтре 3. Это
необходимо, поскольку капли тумана содержат растворенные примеси и вызывают
сильную коррозию оборудования. Окончательное удаление остатков влаги
осуществляется в сушильной башне 4, орошаемой концентрированной серной кислотой
- хорошо известным осушающим агентом. Очищенный газ поступает в турбогазодувку,
обеспечивающую его транспортировку через систему. Такое расположение
нагнетателя рационально вдвойне: во-первых, в него не попадают корродирующие
вещества и, во- вторых, стадии обжига и промывки находятся под небольшим
разрежением, что способствует больше засасыванию воздуха в систему, чем
выбросам грязных и токсичных газов в атмосферу.
Материальный и тепловой баланс печи для обжига колчедана рассчитывают по
общепринятой методике (см. ч. I, гл. II). В качестве примера рассмотрим
материальный и тепловой баланс печи КС-450.
Исходные данные для расчета:
Производительность печи (100% H2SO4) GH2SO4i, т/……..20,833
Степень использования серы β ……………………………0,885
Расход сухого колчедана (45% S) на 1 т H2SO4 α, т………..0,82
серы в колчедане Cs ............................ 41
влаги в колчедане Свл…………………….6
серы в огарке Cs (ог) ............................. 1
SO2 в
сухом обжиговом газе CSO2.. 14,5
SO3 в
сухом обжиговом газе CSO3.... 0,1
Температура, 0С:
колчедана tколч.................................... 20
воздуха tвоз,......... .............................. 20
обжигового газа на выходе из печи tг 850
огарка toг............................................ 850
Относительная влажность воздуха ȹ, % 50
Расчет:
Общее содержание серы в колчедане:
Количество сухого колчедана:
Количество влаги в колчедане:
Количество огарка
Количество серы в огарке:
Потери серы с огарком:
Количество выгоревшей серы:
- Gs(ог) = 7695-140 = 7555 кг/ч.
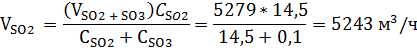
Общий объем SO2 + SO3:
Объем
SO2:
Объем SO3:
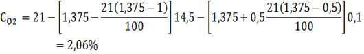
Концентрация кислорода в обжиговом газе определяется по формуле
где n - содержание кислорода в воздухе, n = 21%; m - стехиометрическое отношение числа молекул кислорода к
числу молекул двуокиси серы, по балансовому уравнению 4FeS2 + 110а = 8SO2 + 2Fe2O3; m = 11 : 8 =
1,375.
Объем сухого обжигового газа:
Объем кислорода в обжиговом газе:
Объем азота в обжиговом газе:
Объем сухого воздуха, поступающего на обжиг колчедана (воздух содержит
79% N2),
Материальный баланс печи КС-450
|
Привод
|
Количество
|
Расход
|
Количество
|
|
кг
|
м3
|
|
кг
|
м3
|
|
Колчедан Влага колчедана
Сухой воздух . . . Влага с воздухом
|
18 768 1 198 49 400 358
|
- - 38147445
|
Огарок Обжиговый газ: SO2
SO3 O2 N2 Н2O
|
14038 15337 129 1063 37600 1556
|
5243 36 744
30136 1936
|
|
Всего
|
69 724
|
38092
|
Всего
|
69 724
|
38 095
|
Объем паров в воздухе (при 20° С и относительной влажности воздуха ȹ
= 50% давление паров воды в нем PН2O = 8,77 мм.рт.ст)
Общий объем паров воды в обжиговом газе'
Тепловой баланс печи КС-450
Количество
|
Расход
|
Количество
|
|
10-3 кДж
|
%
|
|
103 кДж
|
%
|
|
Тепло сухого колчедана
Тепло влаги колчедана Тепло сухого воздуха Тепло влаги воздуха Тепло горения
колчедана
|
204 101 993 13,4
100
656
|
0,20 0,10 0,97 0,01
98,72
|
Тепло огарка Тепло
обжигового газа Теполопотери Тепло на получение пара в кипящем слое
|
8 380 46 128 1 022 46
437
|
8,2 45,3 1,0 45,5
|
|
Всегo
|
~ 101 967
|
100
|
Всего
|
101 967
|
100
|
Как видно из таблицы теплового баланса, тепло горения колчедана
преобладает над другими статьями прихода тепла, так что ими можно пренебречь в
ориентировочных расчетах. В таблице учтено тепло, израсходованное на получение
пара непосредственно в кипящем слое. Однако пар получается также за счет
использования тепла отходящего обжигового газа. Таким образом, большая часть
тепла горения колчедана используется полезно.
Расчет основных показателей печи КС-450
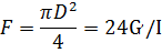
Исходные данные для расчета:
Высота кипящего слоя печи КС в спокойном состоянии, H0, м …1,0
Интенсивность работы печи I,
кг/м3 сут ………………..10000
Количество сжигаемого сухого колчедана, содержащего 41% S,
Gколч,
кг/ ч ............................................. …………...18 768
Температура газа, °С
на входе в котел-утилизагор tвх........... ……………….850
на выходе из котла-утилизатора tвых.. ………………450
Теплоемкость обжигового газа сг, кДж/ м3 ………………….1,43
Диаметр печи определяем исходя из уравнения
где F - поверхность пода печи, м2,
G' - количество
сухого колчедана (45% S),
сжигаемого в печи, определяют по формуле
Рис 8. Диаграмма теплового баланса печи КС-10
Количество тепла, используемого в котле-утилизаторе (если потери тепла в
нем составляют 1%), определяют по уравнению
Общее количество используемого тепла (в печи КС и в котле-утилизаторе)
составляет [учитывая, что Qп =
46 437 000 кДж/ч (см тепловой баланс)]
Количество получаемого пара
где q - энтальпия пара при 40 атм, q = 2790 кДж/кг.
Количество получаемого пара в пересчете на 1 т H2SO4
или 1,17 т/т H2S04.
Окисление диоксида серы. Реакция
2 + 1/2O2 = SO3
является обратимой, экзотермической, протекает на катализаторе с
уменьшением объема. Тепловой эффект реакции при температуре 500 °С Qp = 94,2 кДж/моль. Константа
равновесия Кр [атм-0.5] зависит от температуры и в интервале 400 - 700 °С равна
Кр = 4905/T- 4,6455.
Согласно закону действующих масс, при равновесии

где
PSO3.p , PSO2.p p , PO2 p -
парциальные давления соответствующих компонентов в состоянии равновесия, атм.
Абсорбция
триоксида серы - последняя стадия процесса, в которой образуется серная
кислота. Взаимодействие SO3 с Н2O
03 + Н20 = H2S04
протекает достаточно интенсивно как в жидкой, так и в газообразной
(паровой) фазах. Кроме того, H2S04 может растворять в себе SO3, образуя олеум Этот продукт удобен
для транспортировки, поскольку он не вызывает коррозии даже обычных сталей.
Растворы сер ной кислоты чрезвычайно агрессивны. Олеум является основным
продуктом сернокислотного производства.
Рис. 9. Схема реактора окисления S02;
- слои катализатора; 2 - промежуточные теплообменники; 3 - смеситель; 4 -
внешний теплообменник; Хг - ввод холодного газа
Особенностью системы "H2O-H2SO4-SO3" является то, что в широком
интервале концентраций раствора H2SO4 в паровой фазе присутствуют почти
чистые пары воды, а над олеумом (раствор SO3 в H2SO4) в газовой фазе преобладает S03. Одинаковый состав жидкой и
паровой фаз (азеотропная точка) будет при концентрации серной кислоты 98,3%.
Если S03 поглощать раствором с меньшей
концентрацией, то реакция (5.11) будет проте кать и в паровой фазе - будет
образовываться туман серной кислоты, который уйдет из абсорбера с газовой
фазой. А это - и потери продукта, и коррозия аппаратуры, и выбросы в атмосферу.
Если SO3 абсорбировать олеумом, то
поглощение будет неполным.
Из этих свойств следует двухстадийная (двухбашенная) схема абсорбции
(рис. 10.). Газ, содержащий S03,
после реактора проходит последовательно олеумный 1 и моногидратный 2 абсорберы.
Другой компонент реакции (Н2О) подается противотоком в моногидратный абсорбер.
За счет интенсивной циркуляции жидкости (абсорбента) в ней можно поддерживать
близкую к оптимальной концентрацию H2S04 - 98,3% (увеличение концентрации
за проход жидкости не более 1-1,5%). Техническое название такой кислоты -
моногидрат, откуда и название абсорбера. Концентрационные условия абсорбции
обеспечивают полное поглощение S03 и
минимальное образование сернокислотного тумана. Кислота из моногидратного
абсорбера поступает в олеумный. В нем циркулирует 20%-й раствор SO3 в H2SO4, который
частично отбирается как конечный продукт - олеум. Кислота из предыдущего
абсорбера - моногидрат - также может быть продуктом.
Рис. 10. Схема отделения абсорбции в производстве серной кислоты:
- олеумный абсорбер; 2 - моногидратный абсорбер; 3 - холодильники; 4 -
сборники кислоты; 5 - брызгоотделитель
Образование серной кислоты и абсорбция триоксида серы - экзотермические
процессы. Их тепло снимается в оросительных теплообменниках 3 на линии
циркуляции жидкости в абсорберах. При температуре менее 100 °С SO3 поглощается практически на 100%.
Диоксид серы практически не абсорбируется.
СИСТЕМА ДВОЙНОГО КОНТАКТИРОВАНИЯ И ДВОЙНОЙ АБСОРБЦИИ (ДК/ДА)
Несмотря на довольно большую степень превращения - 98%, мощные сернокислотные
системы, производящие до 540 т продукта в сутки, ежечасно выбрасывают в
атмосферу более 300 кг диоксида серы. Исходя из данных по равновесию реакции
окисления SO2, увеличить степень превращения
можно снижением температуры в последних слоях ниже 610 К или повышением
давления более 1,2 МПа. Возможность снижения температуры ограничена активностью
имеющихся катализаторов, повышение давления усложняет инженерное оформление
процесса.
Эффективным способом увеличения степени превращения в обратимой реакции
является удаление ее продукта Функциональная схема такого способа показана на
рис. 11. Подсистема получения сернистого газа (обжиг серосодержащего сырья)
принципиально не меняется. Полученный сернистый газ частично окисляется в
первом реакторе, после чего в первой (промежуточной) ступени абсорбции из него
удаляется SO3.
Рис. 11. Функциональная схема производства серной кислоты по методу
«двойное контактирование - двойная абсорбция»:- получение SO2; 2 - промывка обжигового газа; 3, 5
- первая и вторая системы окисления SO3; 4. 6 - первая и вторая системы абсорбции
Далее оставшийся SO2
окисляется во втором реакторе, и газ направляется на вторую абсорбцию. В
отсутствие S03 окисление SO2 во втором реакторе будет более полным.
В этой схеме для проведения реакции окисления также используют
многослойные реакторы с промежуточными теплообменниками, но реакционную смесь
приходится нагревать дважды - в первом реакторе и после ее охлаждения для
промежуточной абсорбции SO3 -
перед вторым реактором. Нагрев осуществляется за счет тепла реакции в
промежуточных теплообменниках, как в реакторе в схеме одинарного окисления
(рис. 5.33). Но во второй ступени окисляется низкоконцентрированный газ,
теплоты реакции недостаточно, и для нагрева реакционной смеси необходимы
теплообменники с большой поверхностью. Увеличить количество выделяющегося тепла
можно за счет увеличения начальной концентрации SO2. Поэтому в системах ДК/ДА используют газ, содержащий не
менее 10% SO2. Во избежание перегрева катализатора
в первом слое температура на входе не должна превышать 695 К, для чего
используют низкотемпературные катализаторы. Кроме того, для нагрева газа во
втором реакторе частично используют теплоту реакции, выделяющуюся в первом
реакторе.
Технологическая схема стадий окисления и абсорбции в системе ДК/ДА
представлена на рис. 12. На первой стадии окисления использован трехслойный
реактор . Концентрация SO2 в
поступающем газе - 9,5-10,5%. Степень превращения на выходе из реактора 90-95%.
Промежуточная абсорбция SO3
включает олеумный 2 и моногидратный 3 абсорберы. После них газ содержит только
0,6-1% SO2. Для его нагрева до температуры
реакции (690-695 К) используют теплообменник после второго слоя реактора 1.
Реакторы первой и второй ступени окисления конструктивно объединены в одном
корпусе (на рис. 5.36 они показаны отдельно). Степень превращения оставшегося SO2 составляет примерно 95%, общая
степень превращения 99,6- 99,8%. Сравним: если бы не было промежуточной
абсорбции, то степеннь превращения оставшихся 1 - 0,6% SO2 в присутствии SO3 не превысила бы 50%. Небольшое количество образовавшегося SO3 полностью поглощается во втором
моногидратном абсорбере 3.
Рис. 12. Технологическая схема стадий контактирования и абсорбции в
системе «двойное контактирование - двойная абсорбция»:
. 111 - первая и вторая ступени окисления SO; ii, iv - первая и вторая системы абсорбции SO водой; 1 - реактор (первая и вторая
ступени окисления, расположенные в одном корпусе, показаны отдельно); 2 -
олеумный абсорбер; 3 - моногидратный абсорбер; 4 - выносные теплообменники
реактора; 5 - холодильники кислоты
Как видим, количество непревращенного SO2 (и, следовательно, выбросов в атмосферу) в системе ДК/ДА
уменьшается почти в 10 раз по сравнению с системой однократного
контактирования. Но для этого приходится поверхность теплообменников
увеличивать в 1,5 - 1,7 раза.
ЗАКЛЮЧЕНИЕ
В данном курсовом проекте было рассмотрено получение сернистого
ангидрида, который используется для производства серной кислоты. Описаны
свойства сернистого ангидрида, источники сырья для его получения. Были
рассмотрены различные печи для обжига колчедана, самым оптимальным для
получения сернистого ангидрида считается печь КС из-за ее простой конструкции,
высокой производительности, лучшем выгорании серы из колчедана, приведены
эскизы реакторов для обжига колчедана, представлена технологическая схема
производства серной кислоты.
СПИСОК ЛИТЕРАТУРЫ
1. «Общая
химическая технология» (часть 1, теоретические основы химической технологии)
под ред. Проф. И. П. Мухленова, Москва « Высшая школа», 1984
. «Общая
химическая технология» (часть 2, важнейшие химические производства) под ред.
Проф. И. П. Мухленова, Москва « Высшая школа», 1984
. «Общая
химическая технология и основы промышленной экологии» Учебник для вузов. - М.:
Химия, 1999.