Основы метода наименьших квадратов
Содержание
Введение
Задание
.Постановка задачи
.1Метод наименьших квадратов
.2Метод Брандона
.3Реактор идеального вытеснения
.4Синтез оптимальных тепловых систем
. Расчетная часть
2.1Расчет значений К0 и Е
в уравнении Аррениуса с использованием метода
наименьших квадратов
2.2Расчет статистической модели абсорбера методом Брандона
.3Расчет абсорберов и реакторов идеального вытеснения
.4Синтез системы теплообмена
Выводы
Список использованных источников
Приложение
абсорбер реактор
вытеснение теплообмен
Введение
В курсовой работе рассмотрены теоретические основы
метода наименьших квадратов (МНК), по которому с помощью функции поиск решения
по экспериментальным данным теоретических зависимостей констант скорости от
температуры были найдены значения коэффициентов KQ и Е в уравнении Аррениуса. Также в
нашей работе мы использовали метод Брандона для построения модели абсорбера. На
основании полученных зависимостей рассчитаны характеристики реакторов и
абсорберов: входные и выходные температуры, расходы и концентрации компонентов.
Существующие методы синтеза оптимальных тепловых систем подразделяются на две
группы: комбинаторные и эвристические. В нашей работе мы используем
эвристические методы, с помощью которых находим близкие к оптимальным структуры
тепловых систем, при этом из рассмотрения исключается большая часть
альтернативных вариантов, что позволяет сократить затраты машинного времени.
Основной метод ХТС - математическое моделирование,
опирающееся на широкое использование в химической промышленности. Оно открыло
перед исследователями большие возможности в деле разработки математических
описаний химико-технологических процессов и применения их для расчета и
оптимизации ХТС. При моделировании ХТС наряду с моделями отдельных аппаратов
используют модель всей системы, необходимость которой обусловлена тем, что
процессы, протекающие в отдельных аппаратах, влияют друг на друга. В силу этого
оптимизация отдельно взятого аппарата без учета его связей с остальными
аппаратами может привести к тому, что весь технологический процесс в целом
будет протекать не в оптимальном режиме.
Методы анализа, реализованные в виде алгоритмов и
программ, применяются в системах автоматизации химических технологий. Эти
системы существенно повышают производительность труда проектировщиков и позволяют
значительно улучшить качество новых научно-технических разработок.
Производственные процессы в химической промышленности
характеризуются большим разнообразием выпускаемой продукции и большой
сложностью. Общая, характерная черта всех этих процессов состоит в том, что для
превращения исходного сырья или полупродукта в целевой конечный продукт
необходимо сравнительно большое число функционально различных ступеней
переработки. Процессы химической технологии отличаются большим ассортиментом
продуктов, которые можно получить из одного и того же продукта и динамикой
обновления, как ассортимента, так и технологических процессов.
Производственные процессы химической технологии сильно
связаны как между собой, так и с другими отраслями химической промышленности.
Под ХТС, понимают совокупность физико-химических
процессов и средств для их проведения. ХТС состоит из элементов - отдельных
частей, в которых протекают технологические процессы, необходимые для
достижения цели, поставленной перед ХТС в целом.
ХТС характеризуется структурой, т.е. составом
элементов и их взаимными связями. Отличительная черта современных ХТС - большое
количество внутренних связей, в том числе и более полного использования сырья,
вторичных энергоресурсов и стремлением к созданию более гибких ХТС.
XТС - это открытые системы, которые связаны с внешней
окружающей средой так называемыми входами и выходами системы для обмена сырьем,
продуктами, энергией и информацией.
Введение понятий и принципов формализации ХТС
позволяет свести огромное множество конкретных реализаций
химико-технологических производств к некоторому обобщенному прототипу, который
характеризуется определенной технологической функцией-реализацией конкретного
физико-химического процесса, внутренней структурой и определенными связями с
окружающей средой. Такая формализация конкретной ХТС и ее иерархическая
структура - важные предпосылки для разработки и применения единого подхода к
решению задач, которые связаны как с созданием ( синтезом ), так и с
исследованием, расчетом (анализом) и эксплуатацией (управлением) процесса .
Задание
Вариант № 4
Требуется синтезировать XTC работающую по следующей технологии:
Смесь, состоящая из компонентов A, Б и инертного компонента
нагревается в системе теплообмена до 415 0C , поступает в реактор, где протекает обратимая реакция:
+ 0,5 Б - C + q;
где q -
тепловой эффект реакции q =
21200кал/моль
Реакция характеризуется константой скорости K=f(t) и константой
равновесия Kp=f(t), для которых
имеются экспериментальные данные.
Поскольку реакция равновесная и экзотермическая, то
для повышения равновесной степени превращения реакционная смесь должна
проходить несколько реакторов с промежуточным охлаждением между ними.
После прохождения 4 реакторов смесь поступает в
абсорбер для выделения компонента C и затем проходит 1 реактор и второй абсорбер.
Таким образом, операторная схема выглядит следующим
образом:
Заданы температуры на входе в реакторы и абсорберы, и
объемы реакторов и абсорберов. Заданы также плотности орошения в абсорберах,
температура, расход и концентрации компонентов исходной смеси.
t0 = 50°C t1 = 415 °C t2 = 485°С t3 = 410°С t4 = 425°С t5 = 405°С
ta1 = 180°С ta2
= 195°С
Расход смеси на входе в систему-132000 м3/ч
Объемы реакторов: V1 = 79 м3, V2 = 65 м3, V3 = 40 м3 , V4 = 55 м3 ,V5 = 35 м3.
Объемы абсорберов: Va1 = 25 м3, Va2 = 28 м3
.
Плотность орошения в первом абсорбере -16 м3/м2
Плотность орошения во втором абсорбере -16 м3/м2
Реакторы описываются моделями идеального вытеснения.
Абсорберы описываются статистическими моделями по экспериментальным данным.
Скорость реакции в реакторе описывается уравнением:
=K(t)·a·b/(a+0,8·c)·(1-(c/Kp(t)·a·b 0,5))2),
где а, b, с -
концентрация компонентов (об.доли):
а = 0,085 об.доли
b = 0,085 об.доли
с = 0,00 об.доли
При построении системы теплообмена могут
использоваться пар и вода со следующими характеристиками. Начальная температура
воды = 20 0C,
конечная температура воды не более 900C, температура пара равна 460 0C, теплота конденсации греющего пара =
520 ккал/кг. Стоимость воды 0,00007 ус.д.ед./кг. Стоимость
пара =0,005 ус.д.ед./кг.
Коэффициенты
теплопередачи:
в теплообменниках 19 ккал/(м2 ·ч · °С)
в холодильнике 20 ккал/(м2 ·ч · °С)
в нагревателях 22 ккал/(м2 ·ч · °С)
Теплоемкость в реакционной смеси 0,33 ккал/(м3·°С)
Время работы установки 8800 час/год.
Для получения значений К0 и Е в уравнении
Аррениуса использовать данные приложения 1.
p(t) =
10^(49051/T-4,6455)
Для получения статической модели абсорбера
использовать данные приложения 2 и метод Брандона.
1. Постановка задачи
1.1 Метод наименьших
квадратов
случае если набор экспериментальных данных получен со
значительной погрешностью необходимо провести аппроксимирующую кривую, которая
не проходит через экспериментальные точки, но в то же время отражает
исследуемую зависимость, сглаживает возможные выбросы за счет погрешности
эксперимента [2].
Для построения аппроксимирующей кривой используют
уравнение
ŷ = ƒ(x,a0,a1,a2,…,am)(1.1)
Задачу определения параметров уравнения регрессии (
1.1) решают обычно с использованием метода наименьших квадратов (MHK). Согласно методу наилучшими
значениями параметров будут те, при которых сумма квадратов отклонений
расчетных величин a0,..., ат от
экспериментальных будет наименьшей, то есть:
Ф =
(y0i - ƒ(x,a0,a1,a2,…,am))2
= min
Условием минимума функции является равенство нулю ее
частных производных по всем аргументам:
(1.2)
В теории метода система (1.2) называется нормальной
системой: для неё число уравнений равно числу неизвестных.
Для рассматриваемой функции Ф условием минимума будет
После преобразований нормальная система принимает вид:
(1.3)
Решение системы алгебраических уравнений (1.3)
позволяет определить значения коэффициентов для конкретного вида зависимости ƒ(x,a0,a1,a2,…,am) .
1.2 Метод Брандона
Производственные процессы разнообразны по своим
особенностям и степени сложности. Если процесс сложный и расшифровка его
механизма требует большой затраты сил и времени, используют эмпирический
подход. Математические модели, построенные в этом случае, называются
эмпирическими или статистическими, так как при их создании важную роль играет
математическая статистика.
Главное достоинство эмпирического подхода - его
простота, что особенно важно при изучении очень сложных процессов. Недостаток -
малая надежность экстраполяции. Обычно, есть возможность достаточно точно
предсказать поведение процесса в пределах изменения переменных, изученных в
опытах (интерполяция), но если экстраполировать поведение системы за пределами
изученного диапазона, можно допустить значительную ошибку.
Особенно широкое распространение
экспериментально-статистические модели получили при решении практических задач
расчета и оптимизации действующих производственных процессов, а также
управления ими.
Статистические модели создают на основании имеющихся
экспериментальных данных, снятых на действующем объекте. Задачу формулируют
следующим образом: по данной выборке объема п (те. по заданному числу опытов)
построить модель и оценить адекватность ее реальному объекту.
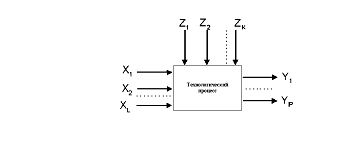
В общем случае современный технологический процесс
представляется в виде многомерного объекта, блок-схема которого приведена на
рис. 1.1. На объект действуют вектор входных
параметров X , составляющие которого {x1,x2,…,xl} ,и вектор управления Z ,составляющие которого{z1,z2,…zk}.Выходные
параметры {y1,y2,…yp} составляют вектор выходных параметров Y . Общий вид статистической модели
многомерного технологического объекта можно записать в виде системы
алгебраических уравнений (1.4) или в векторной форме (1.5):
где X, Y - векторы входных и выходных
параметров объекта.
B системе (1.4) параметры управления учтены как входные
параметры
xl+1,xl+2,…,xm (m = l+k)
Рис. 1 1. Блок-схема многомерного технологического
процесса
данной курсовой работе для построения модели
многомерного технологического объекта используется метод Брандона..
Сущность метода заключается в следующем. Предполагается,
что функция F1{x1,x2,…,xm} в системе (1.4) является произведением функций от входных параметров,
то есть
ŷ = y ƒ1(x1)ƒ2(x2)…ƒm(xm)(1.6)
или в более удобной форме:
ŷ = y ∏
ƒk(xk)
где ŷ - расчетное значение i - го выходного параметра;
- средняя величина экспериментальных
значений i - го выходного параметра; n - количество опытов в исходной
выборке.
При использовании метода Брандона большое значение
имеет порядок следования функций в уравнении (1.6). Чем больше влияния
оказывает фактор на выходной параметр, тем меньшим должен быть его порядковый
номер в указанном уравнении.
Оценить степень влияния к - го фактора на выходной
параметр можно по величине частного коэффициента множественной корреляции:
(1.7)
где
- величина частного коэффициента корреляции, учитывающая
влияние k - го фактора на выходной параметр y при условии, что влияние всех прочих
факторов исключено. D - определитель
матрицы, построенной из парных коэффициентов корреляции. Матрица имеет вид:
Dlk - определитель матрицы с
вычеркнутыми первой строкой и k - м
столбцом.
DllDkk - определитель матрицы с
вычеркнутыми первой и k - ой
строками и первым и k - м столбцами
соответственно. rxy -
парные коэффициенты корреляции определяемые по формуле:
Коэффициент корреляции по абсолютной величине не
превышает единицы.
-1≤ rxy ≤ 1.
Чем ближе абсолютное значение коэффициента │ rxy │ к единице, тем сильнее линейная связь между величинами. Следует отметить, что
коэффициент корреляции одинаково отмечает долю случайности и криволинейность
связи между х и у. Зависимость x и у
может быть близкой к функциональной, но существенно нелинейной; коэффициент
корреляции при этом будет значительно меньше единицы.
Объективное определение тесноты связи может быть
проведено в результате совместного анализа качественной и количественной
оценок.
Порядок расположения влияющих факторов в уравнении
(1.6) определяют в соответствии с убыванием величины частных коэффициентов
корреляции. Следует иметь в виду, что коэффициент корреляции - чисто
статистический показатель и не содержит предположения, что изучаемые величины
находятся в причинно-следственной связи. Подобные предположения должны
проверяться экспериментально.
B уравнении (1.6) каждая из функций ƒ1(x1)…ƒm(xm) принимается либо линейной, либо
нелинейной (степенной, показательной, экспоненциальной и т. д.). Прежде чем
определять вид первой зависимости, следует представить исходные
экспериментальные значения выходного параметра в каждом опыте yэj в
безразмерной форме yэ0j
где y -
средняя величина выходного параметра.
Таким образом, исходными данными для поиска первой
зависимости будут нормированные значения вектора выходных параметров ŷ0
и опытные значения первого влияющего
фактора. Выбрав зависимость ŷ1 = ƒ1(x1) с помощью метода наименьших квадратов, определяют остаточный
показатель Уэ\ для каждого наблюдения:
Предполагая, что yэ1 не зависит от x1, а зависит от x2,…xm, выбирают зависимость от второго фактора. Исходные данные для поиска -
остаточный показатель уэ1 и опытные значения второго фактора.
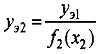
Получив расчетную зависимость ŷ2 = ƒ2(x2), находят остаточный показатель yэ2 для каждого наблюдения:
Выполнив аналогичные действия для каждого k - го влияющего фактора, получают
регрессионную зависимость для рассмотренного выходного параметра. Порядок
расположения факторов для этой зависимости определен на этапе ранжирования и
отличается от порядка в общем уравнении (1.6).
Для оценки точности аппроксимации найденной функции
вычисляют корреляционное отношение
и среднюю относительную ошибку
Совокупность зависимостей по каждому выходному
параметру представляет собой статистическую модель многомерного
технологического объекта .
.3 Реактор идеального вытеснения
Модель идеального вытеснения предполагает, что в
реакторе реализуется так называемый поршневой режим движения потока, все
частицы двигаются в одном заданном направлении, в реакторе отсутствует осевое
перемешивание, но разрешено радиальное, в связи с чем значения всех параметров
технологического процесса изменяются плавно от начального до конечного
состояния.
Время пребывания всех частиц в аппаратах идеального
вытеснения одинаково, т. е. временной характеристикой реакторов идеального
вытеснения служит уравнение
где τ’ - время пребывания в реакторе любого
элементарного объема;τ - среднее время пребывания; Vc -расход смеси, υ
- объем реактора.
Математическая модель - это система уравнений, которая
устанавливает связь входных и выходных параметров реактора.
+ bB →cC= K· CAa·
CBb
В нашем случае скорость реакции в реакторе описывается
уравнением:
=K(t)·a·b/(a+0,8·c)·(1-(c/Kp(t)·a·b
0,5))2)
Для определения скорости реакции по каждому веществу
для многоступенчатых химических реакций составляется стехиометрическая матрица
размером m на n , где m -
число стадий, n - число компонентов.
Элементы матрицы соответствуют стехиометрическим
коэффициентам, причем коэффициент будет отрицательным, если вещество
расходуется и положительным, если вещество образуется.
Скорость по i - му компоненту будет представлять собой сумму компонентов i - го столбца.
A = -2wIB = -wIC
= 2wID = wII
Математическое описание:
К этой системе необходимо добавить уравнение теплового
баланса:
где
- коэффициенты адиабатического разогрева.
Модель вытеснения можно применять для технических
реагентов при проектировании жидкофазных трубчатых реакторов с большим
отношением, длины трубы к его диаметру. Такие реакторы
широко применяются в производствах органических
веществ. K режиму вытеснения относят по газовой
фазе полочные контактные аппараты с фильтрующими слоями катализатора, шахтные
печи и конверторы.
Значительная часть применяемых в промышленности
насадочных башен для взаимодействия газов с жидкостями
работает при небольших скоростях газового потока и малых плотностях орошения.
.4 Синтез оптимальных тепловых систем
наиболее традиционной постановке задача синтеза
тепловых систем (TC ) формулируется
следующим образом: имеются т горячих и п холодных технологических потоков,
которые называют основными технологическими потоками. Для каждого из этих
потоков заданы начальные температуры tнiг и tнjх,
конечные температуры tкiг, tкjх и значения водяных эквивалентов (произведение расхода
на удельную теплоемкость) Wiг,
Wjх. Здесь i=l,2,...,m; j=l,2,..., n. Индексы "г" и "x" относят соответствующую величину к горячему и
холодному потокам.
Необходимо определить структуру технологических связей
между теплообменными аппаратами заданного типа, а также же площади поверхностей
теплообмена каждого аппарата, которые обеспечивали бы заданные начальные и
конечные температуры основных технологических потоков при минимально возможном
значении приведенных технологических затрат Зпр, связанных с
эксплуатацией синтезируемой TC.
Для решения задачи синтезируемую TC разделяют на две подсистемы:
внутреннюю (рекуперативную), где и в теплообмене участвуют только основные
технологические потоки;
внешнюю, где при теплообмене используется
вспомогательные теплоносители (вспомогательные технологические потоки) и
вспомогательные теплообменники, осуществляющие теплообмен между основными и
вспомогательными технологическими потоками.
При этом внешняя подсистема используется только тогда,
когда во внутренней подсистеме не удается получить заданные конечные
температуры.
Приведенные технологические затраты, связанные с эксплуатацией
синтезируемой TC, могут быть выражены следующим
образом:
Зпр = Ен(З1 + З2)
+ З3
З1 - затраты на рекуперативные
теплообменники, руб;
З2 - затраты на вспомогательные
теплообменники, руб;
З3 - затраты на вспомогательные
теплоносители, руб;
Ен - нормативный коэффициент эффективности
(Eн = 0,12).
Если во внутренней подсистеме используются К1
теплообменных аппаратов, а во внешней - l1 , то:
При расчете стоимости i - го теплообменника любой подсистемы в данной работе используется зависимость
где F -
площадь поверхности теплообмена соответствующего i - го теплообменника, м2
а - стоимостной коэффициент, зависящий от типа
теплообменника. Затраты на вспомогательные теплоносители определяются по
формуле:
Где Ө - продолжительность годовой эксплуатации
системы ч/год;
Цр - стоимость i - го вспомогательного теплоносителя,
Gpl - расходу- го вспомогательного
теплоносителя в l - м
вспомогательном теплообменнике, кг/ч.
При синтезе TC используются формулы:
где Q -
тепловая нагрузка теплообменника; k- соответствующий коэффициент теплопередачи.
Средняя разность температур для теплообменника:
где ∆tб и ∆tм - разности температур на концах
теплообменника.
Тепловая нагрузка теплообменника, или количество
тепла, переданное в одном аппарате, определяется на основе концепции передачи
максимально возможного тепла при минимально допустимой разности температур на
концах теплообменника ∆tmin
Если (tнг - tнх - ∆tmin)<0, то теплообмен невозможен.
Если tкг - tнх<∆tmin , то tкг = tнх + ∆tmin , иначе tкг
= tкг
Если tнг - tкх< ∆tmin, то tкх = tнг - ∆tmin , иначе tкх = tкх.
x = Wx (tкх - tнх)
Qг
= Wг (tнг - tкг)
Q = min (Qх,Qг)
tкх
= tнх - Q/Wх
tкг
= tнг - Q/Wг
Задача синтеза TC решается путем формирования множества возможных комбинаций
исходных горячих и холодных потоков для проведения физически реализуемых
операций теплообмена в теплообменном аппарате. Для этой цели строят таблицу пар
взаимодействующих потоков исходя из условия Q → max.
Из таблицы пар выбирается пара потоков, вступающих во взаимный теплообмен. Если
в результате теплообмена данные потоки достигли заданных конечных температур,
то они исключаются из рассмотрения. Иначе, начальным температурам этих потоков
присваиваются значения конечных температур результирующих потоков, после чего
таблица пар перестраивается, и выбирается новая пара потоков. Данная операция
производится до тех пор, пока не останется потоков, способных вступать во
взаимный теплообмен, или все потоки достигнут требуемых конечных температур.
При необходимости для достижения заданных конечных
температур в теплообменных системах используются вспомогательные тепло - и
хладагенты.
Таким образом, задача синтеза является многоэтапной
задачей, в которой на каждом этапе осуществляется выбор пары потоков,
вступающих во взаимный теплообмен.
2. Расчетная часть
2.1 Расчет значений K0 и E в
уравнении Аррениуса с использованием метода наименьших квадратов
Для расчета значений K0 и E в
уравнении Аррениуса
использован метод наименьших квадратов. Вычисления
проведены в Microsoft Excel:
Таблица 2.1 Зависимость
константы скорости от температуры
|
Т, К
|
Кэксп, 1/˚С
|
Красч, 1/˚С
|
|
673
|
0,06
|
0,261648717
|
|
683
|
0,12
|
0,325036824
|
|
693
|
0,24
|
0,401261511
|
|
703
|
0,47
|
0,492401602
|
|
713
|
0,89
|
0,600783433
|
|
753
|
1,18
|
1,262885868
|
|
763
|
1,74
|
1,502241748
|
|
803
|
2,8
|
2,880508702
|
Были получены значения К0 =712085 и Е =
82914,21.
B соответствии с полученными данными уравнение Аррениуса имеет
вид:
К = 712085 · exp(82914,21/RT)
.2 Расчет статистической модели абсорбера методом
Брандона
Влияющие факторы:
Твх - температура на входе в абсорбер, ˚C
ρ - плотность орошения, м3/м2
Ѵ-объем, м3
Выходные параметры:
Твых - температура на выходе из абсорбера, ˚C
y - степень абсорбции, %.
На подготовительном этапе была создана таблица с
экспериментальными данными (приложение 2).
Первый этап. Ранжирование влияющих факторов.
а). Построение матрицы коэффициентов парной
корреляции.
Элементами матрицы являются коэффициенты парной
корреляции, которые определяются с помощью надстройки Пакет анализа (на примере
расчета Твых).
Таблица 2.2
|
TВХ
|
R
|
V
|
Tвых
|
|
TВХ
|
1
|
-0,10482
|
0,026427
|
0,372041
|
|
R
|
-0,10482
|
1
|
0,025241
|
-0,45516
|
|
V
|
0,026427
|
0,025241
|
1
|
-0,82599
|
|
Tвых
|
0,372041
|
-0,45516
|
-0,82599
|
1
|
Далее вычисляются частные коэффициенты множественной
корреляции. Для этого копируем матрицу коэффициентов корреляции и удаляем одну
строку и столбец. Например, для вычисления D11 следует удалить первую строку и первый столбец.
|
1
|
0,025241
|
-0,45516
|
|
|
|
|
0,025241
|
1
|
-0,82599
|
|
D11
|
0,12891323
|
|
-0,45516
|
-0,82599
|
1
|
|
|
|
Аналогично рассчитываем:
|
D22
|
0,162389
|
|
D33
|
0,678925
|
|
D44
|
0,987538
|
|
D41
|
0,347805
|
|
D42
|
0,392464
|
|
D43
|
-0,81498
|
Частные коэффициенты множественной корреляции
рассчитываются по формуле (1.7). Сведем вычисления в таблицу (2.3)
Таблица 2.3
|
Выходные параметры
|
Влияющие факторы
|
|
ρ
|
V
|
Твх
|
|
Т вых
|
0,98004
|
-0,99531
|
0,974789
|
|
y
|
-0,92846
|
0,990656
|
-0,99492
|
В соответствии с убыванием величины коэффициентов
корреляции определяем порядок расположения влияющих факторов в уравнении (1.6).
|
V
|
-0,99531
|
|
ρ
|
0,98004
|
|
TВХ
|
0,974789
|
Таблица2.4 Экспериментальные
и расчетные данные для построения статистической модели абсорбера для Твых
|
№
|
Твх, ˚C
|
ρ,
м3/м2
|
V,м3
|
Твых ˚C
|
ƒ(V)
|
ƒ(ρ)
|
ƒ(Твх)
|
Твых, расчетное
|
|
1
|
170
|
13
|
22
|
69,4
|
1,0172
|
1,013997
|
1,0139
|
75,46654
|
|
2
|
180
|
14
|
25
|
61,9
|
0,9977
|
1,010455
|
1,0179
|
68,93587
|
|
3
|
170
|
13
|
30
|
52,5
|
0,9652
|
1,013997
|
1,0139
|
57,65268
|
|
4
|
160
|
18
|
21
|
64
|
0,996407
|
1,0099
|
70,24999
|
|
5
|
188
|
17
|
27
|
55,4
|
0,9847
|
0,9999
|
1,0211
|
62,00532
|
|
6
|
200
|
16
|
24
|
64,3
|
1,0042
|
1,003406
|
1,0259
|
71,44887
|
|
7
|
210
|
19
|
22
|
67,4
|
1,0172
|
0,992925
|
1,0299
|
73,6098
|
|
8
|
150
|
20
|
25
|
51,7
|
0,9977
|
0,989456
|
1,0059
|
57,88279
|
|
9
|
174
|
21
|
26
|
52,2
|
0,9912
|
0,985999
|
1,0155
|
57,70487
|
|
10
|
182
|
21
|
26
|
53,1
|
0,9912
|
0,985999
|
1,0187
|
58,74697
|
|
11
|
190
|
21
|
26
|
54
|
0,9912
|
0,985999
|
1,0219
|
59,78907
|
|
12
|
170
|
18
|
26
|
54,1
|
0,9912
|
0,996407
|
1,0139
|
60,66901
|
|
13
|
160
|
17
|
29
|
48,7
|
0,9717
|
0,9999
|
1,0099
|
53,95656
|
|
14
|
170
|
15
|
24
|
61,5
|
1,0042
|
1,006924
|
1,0139
|
68,61339
|
|
15
|
180
|
15
|
24
|
62,9
|
1,0042
|
1,006924
|
1,0179
|
69,96111
|
|
16
|
190
|
15
|
24
|
64,2
|
1,0042
|
1,006924
|
1,0219
|
71,30883
|
|
17
|
210
|
15
|
24
|
66,9
|
1,0042
|
1,006924
|
1,0299
|
74,00427
|
|
18
|
225
|
16
|
22
|
72,9
|
1,0172
|
1,003406
|
1,0359
|
79,30897
|
|
19
|
210
|
18
|
29
|
53,4
|
0,9717
|
0,996407
|
1,0299
|
59,26662
|
|
20
|
150
|
18
|
19
|
68,3
|
1,0367
|
0,996407
|
1,0059
|
73,23213
|
|
21
|
186
|
14
|
25
|
62,7
|
0,9977
|
1,010455
|
1,0203
|
69,74209
|
|
22
|
190
|
14
|
25
|
63,2
|
0,9977
|
1,010455
|
1,0219
|
70,27956
|
Второй этап. Выбор зависимостей выходных параметров от
влияющих факторов.
Строим график зависимости Tвых / Tвых(ср) от ρ,
добавим несколько линий
тренда, найдем вид зависимости и искомые коэффициенты для ρ.
Рис.2.2 График зависимости от ρ
и линии тренда.
Выбираем зависимость с наибольшим значением R2: Tвых (V)= -0.0065·V+1.1602
Далее делим T вых/Tвых(ср) на T (V). Построим
график полученной функции от ρ. Далее все аналогично.
Вид зависимостей:
вых (ρ) =1,0612·e-0,0035ρ
Tвых (Tвх) = 0,0004· Tвх+0.8367
Для y все
операции аналогичны.
Таким образом, полученная
экспериментально-статистическая модель имеет следующий
Вид (уравнение (1.9)):
Твых = 333,2136· (-0.0065·V+1.1602)·( 1,0612·e-0,0035ρ)·( 0,0004· Tвх+0.8367)
y = 91,56864·(2,9903·е-0,0024Твх)·(0,7408·е0,0121V)·(0,0089·ρ+0,8572)
Таблица 2.5 Экспериментальные
и расчетные данные для построения статистической модели абсорбера для у
|
№
|
Твх, ˚C
|
ρ,
м3/м2
|
V,м3
|
y
|
ƒ(Твх)
|
ƒ(V)
|
ƒ(ρ)
|
y, расчетное
|
|
1
|
170
|
13
|
22
|
89,5
|
1,032697
|
0,966741
|
0,9729
|
88,94018
|
|
2
|
180
|
14
|
25
|
91,3
|
1,008207
|
1,002478
|
0,9818
|
90,86458
|
|
3
|
170
|
13
|
30
|
99,5
|
1,032697
|
1,065001
|
0,9729
|
97,98006
|
|
4
|
160
|
18
|
21
|
92,5
|
1,057781
|
0,955114
|
1,0174
|
94,12167
|
|
5
|
188
|
17
|
27
|
93,5
|
0,989034
|
1,027034
|
1,0085
|
93,80349
|
|
6
|
200
|
16
|
24
|
86,5
|
0,960956
|
0,990422
|
0,9996
|
87,11576
|
|
7
|
210
|
19
|
22
|
83,5
|
0,938168
|
0,966741
|
1,0263
|
85,2338
|
|
8
|
150
|
20
|
25
|
99,85
|
1,083475
|
1,002478
|
1,0352
|
102,9592
|
|
9
|
174
|
21
|
26
|
96,9
|
1,02283
|
1,014682
|
1,0441
|
99,22532
|
|
10
|
182
|
21
|
26
|
95
|
1,003379
|
1,014682
|
1,0441
|
97,33836
|
|
11
|
190
|
21
|
26
|
93,5
|
0,984298
|
1,014682
|
1,0441
|
95,4873
|
|
12
|
170
|
18
|
26
|
96,5
|
1,032697
|
1,014682
|
1,0174
|
97,62058
|
|
13
|
160
|
17
|
29
|
99,96
|
1,057781
|
1,052192
|
1,0085
|
102,7812
|
|
14
|
170
|
15
|
24
|
92,6
|
1,032697
|
0,990422
|
0,9907
|
92,78588
|
|
15
|
180
|
15
|
24
|
90,5
|
1,008207
|
0,990422
|
0,9907
|
90,58552
|
|
16
|
190
|
15
|
24
|
88,4
|
0,984298
|
0,990422
|
0,9907
|
88,43735
|
|
17
|
210
|
15
|
24
|
83,8
|
0,938168
|
0,990422
|
0,9907
|
84,29263
|
|
18
|
225
|
16
|
22
|
78,2
|
0,904995
|
0,966741
|
0,9996
|
|
19
|
210
|
18
|
29
|
91,4
|
0,938168
|
1,052192
|
1,0174
|
91,96318
|
|
20
|
150
|
18
|
19
|
92,4
|
1,083475
|
0,932278
|
1,0174
|
94,10285
|
|
21
|
186
|
14
|
25
|
90
|
0,993793
|
1,002478
|
0,9818
|
89,56551
|
|
22
|
190
|
14
|
25
|
89,2
|
0,984298
|
1,002478
|
0,9818
|
88,70979
|
Третий этап. Проверка адекватности модели.
По формуле (1.9) определяем расчетные значения и
сравниваем их с экспериментальными (см. таблицы 2.4 и 2.5). Для оценки точности аппроксимации
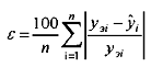
найденных зависимостей вычислены корреляционные отношения η и средние относительные ошибки ε:
Таблица 2.6
|
Выходные параметры
|
η
|
ε
|
|
Т вых
|
0,337906
|
1,896925
|
|
y
|
0,959418
|
1,291
|
Таким образом, построенные статистические модели
хорошо описывают экспериментальные данные.
2.3 Расчет абсорберов и реакторов идеального вытеснения
основании полученных ранее расчетных зависимостей
константы скорости и заданной константы равновесия от температуры проведены
расчеты реакторов в MathCAD и Microsoft Excel. B
результате были получены температуры, расходы и концентрации компонентов на
выходе из реакторов.
Таблица 2.7 Характеристики реактора идеального
вытеснения
Для абсорберов также были рассчитаны температуры на
выходе и с учетом степени абсорбции найденной по формуле (1.9), вычислены концентрации
компонентов A, B и C.
Таблица 2.8 Характеристики абсорбера
2.4 Синтез системы теплообмена
Таблица 2.9 Исходные
данные для проектирования тепловой системы
Значения водяного эквивалента W рассчитывают по формуле:
= G C р
где G -
расход смеси, С р - удельная теплоемкость.
Таблица 2.10 Таблица
пар исходных потоков (I этап
синтеза)
В данной работе заданы две эвристики, следовательно,
интервал от 0 до 1 разбивается на два равных. Выбираем наугад псевдослучайное
число А, которое указывает интервал, а следовательно, и соответственное
эвристическое правило, с помощью которого осуществляется данный этап синтеза.
А=0,2881, а значит, на основании 1 эвристики выбраны 2-й холодный и 1-й горячий
потоки, так как они имеют наибольшую начальную температуру.
Возможные комбинации теплообмена на втором этапе синтеза
приведены в таблице 2.11
Таблица2.11 Таблица
пар результирующих и исходных потоков (II этап синтеза)
|
Холодные
|
Горячие
|
Стоимость ус.ден. ед.
|
|
Номер потока
|
Начальная температура К
|
Конечная температура К
|
Номер потока
|
Начальная температура К
|
Конечная температура К
|
|
|
1
|
318
|
576,5
|
1
|
722
|
453
|
72362,9006
|
|
1
|
318
|
326,9
|
2
|
683,02
|
673
|
5489,7959
|
|
1
|
318
|
507,5
|
3
|
673,02
|
458
|
57135,6132
|
|
2
|
339,6
|
629,7
|
1
|
722
|
453
|
87332,3364
|
|
3
|
339,6
|
349,6
|
1
|
683,02
|
673
|
5705,75803
|
|
3
|
339,6
|
552,3
|
2
|
673,01
|
458
|
66092,5175
|
|
3
|
318
|
576,5
|
3
|
722
|
453
|
72362,9006
|
А=0,9525, следовательно, 2 эвристика, согласно которой выбираются потоки:
3-й холодный и 1-й горячий, так как они обеспечивают максимальное количество
передаваемого тепла.
Таблица 2.12 Таблица пар результирующих и исходных
потоков (III этап синтеза)
|
Холодные
|
Горячие
|
Стоимость ус.ден. ед.
|
|
Номер потока
|
Начальная температура К
|
Конечная температура К
|
Номер потока
|
Начальная температура К
|
Конечная температура К
|
|
|
1
|
318
|
326,9
|
2
|
683,02
|
673
|
5489,7959
|
|
1
|
318
|
507,5
|
3
|
673,02
|
458
|
57135,6132
|
|
3
|
629,7
|
639,7
|
2
|
683,02
|
673
|
19415,6906
|
|
3
|
629,7
|
652,8
|
3
|
673,01
|
649,7
|
50757,2288
|
А=0,1802, значит эвристика номер 1. Выбираем 3-й
холодный и 2-й горячий потоки так как они имеют наибольшую начальную
температуру.
Таблица 2.13
|
Холодные
|
Горячие
|
Стоимость ус.ден. ед.
|
|
Номер потока
|
Начальная температура К
|
Конечная температура К
|
Номер потока
|
Начальная температура К
|
Конечная температура К
|
|
|
1
|
318
|
507,5
|
3
|
673,01
|
458
|
57135,6132
|
|
3
|
639,7
|
683
|
3
|
673,01
|
659,7
|
36338,8851
|
Таблица пар результирующих и исходных потоков (IV этап синтеза)
А=0,5672, 2 эвристика. Выбираем 1-й холодный и 3-й
горячий потоки, так как они обеспечивают максимальное количество передаваемого
тепла.
B результате синтеза тепловой системы все 3 горячих потока
достигли заданной конечной температуры, поэтому холодные потоки паром догревают
до заданной конечной температуры.
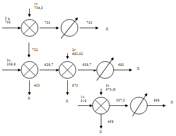
Таким образом, тепловая схема имеет следующий вид:
Рассчитаем расход пара для нагрева 1-го холодного
потока до заданной температуры:
п =Q н / r ,
где Q н - тепловая нагрузка, r - теплота конденсации насыщенного
водяного пара.
п1=50,66028·(698-507,5)/(520·4,1868)=
4,432577кг/с = 15957,28 кг/ч
Поверхность нагревателя:
F1=
м2
Стоимость нагревателя:
Цн1=483·F10,6=483·3691,281610,6=66719,6006 ус.ден. ед.
Рассчитаем расход пара для нагрева 2-го холодного
потока до заданной температуры:
Для нагрева этого потока берем температуру пара равную
4900С, потому что тепло передается от более нагретого тела к менее
нагретому. Но, в тоже время, стоимость пара не должна быть очень велика.
п2=49,224138·(753-733)/(520 ·4,1868)=
0,45217 кг/с = 1627,812 кг/ч
Поверхность нагревателя:
2=
м2
Стоимость нагревателя:
Цн2=483·F20,6=483·2115,07520,6=47768,6116 ус.ден. ед.
Рассчитаем расход пара для нагрева 3-го холодного
потока до заданной температуры:
п3=45,133704·(683-639,6)/(520 ·4,1868)=
0,899672кг/с = 3238,821 кг/ч
Поверхность нагревателя:
F3=
м2
Стоимость нагревателя:
Цн3=483·F 30.6=483·403,043750.6=32322,3385 ус.ден. ед.
Приведенные затраты синтезированной системы:
Зпр = 0,12(Ц 1+Ц 2+Ц 3+Ц
4+Ц н1+Ц н2+Ц н3)+8800*(G п1+Gп2+G п3)*0,005
Зпр=0,12·(64060,486+87331,387+19298,498+57134,145+66719,6006+47768,6116+
32322,3385)+8800·0,005·(15957,28+1627,812+3238,821) = 961208,2 ус.ден.ед.
Выводы
курсовой работе проведена обработка экспериментальных
данных методом наименьших квадратов, в результате которой были получены
расчетные зависимости константы скорости от температуры К =
712085 · exp(82914,21/RT). C
помощью метода Брандона осуществили
построение модели абсорбера
Твых = 333,2136· (-0.0065·V+1.1602)·( 1,0612·e-0,0035ρ)·( 0,0004· Tвх+0.8367)
y = 91,56864·(2,9903·е-0,0024Твх)·(0,7408·е0,0121V)·(0,0089·ρ+0,8572)
Используя полученные данные, рассчитали входные и
выходные расходы, температуры и концентрации в реакторах и абсорберах (таблица
2.6) . Ha основании этих расчетов синтезировали
теплообменную систему, которая состоит из внутренней и внешней систем.
Список использованных источников
1.
Мухленов И.П.
Химико-технологические системы. Синтез, оптимизация и управление.-Л.: Химия, 1986 - 444 с.
2.
Саутин C.H., Иванова E.H., Петрик Ф.Ц., Князьков B.M. Составление экспериментально-статистических
моделей по методу Брандона.
3.
Методические
указания/ СПбГТИ- СПб, 1988-24 с.
4.
Мухленов И.П
Общая химическая технология. B 2 т.
- T. 2, M.; Высшая школа, 1984 г.
5.
Кузичкин H.B., Саутин C.H., Холоднов B.A., Хартманн K. Синтез оптимальных тепловых систем. Методические указания/ СПбГТИ-
СПб5 1985-19c.
Приложение 1
Зависимость
константы скорости от температуры
|
t, °C
|
k,1/c
|
|
400
|
0,06
|
|
410
|
0,12
|
|
420
|
0,24
|
|
430
|
0,47
|
|
440
|
0,89
|
|
480
|
1,18
|
|
490
|
1,74
|
|
530
|
2,80
|
Приложение 2
Экспериментальные
данные по работе абсорберов
|
Номер Опыта
|
Твх, ˚С
|
Плотность орошения, м3/м2
|
Объем абсорбера, м3
|
Твых, ˚С
|
Степень абсорбции, %
|
|
1
|
170
|
13
|
22
|
69,4
|
89,5
|
|
2
|
180
|
14
|
25
|
61,9
|
91,30
|
|
3
|
170
|
13
|
30
|
52,5
|
99,5
|
|
4
|
160
|
18
|
21
|
64,0
|
92,5
|
|
5
|
188
|
17
|
27
|
55,4
|
93,5
|
|
6
|
200
|
16
|
24
|
64,3
|
86,5
|
|
7
|
210
|
19
|
22
|
67,4
|
83,5
|
|
8
|
150
|
20
|
25
|
51,7
|
99,85
|
|
9
|
174
|
21
|
26
|
52,2
|
96,9
|
|
10
|
182
|
21
|
26
|
53,1
|
95,00
|
|
11
|
190
|
21
|
26
|
54,0
|
93,5
|
|
12
|
170
|
18
|
26
|
54,1
|
96,5
|
|
13
|
160
|
17
|
29
|
48,7
|
99,96
|
|
14
|
170
|
15
|
24
|
61,5
|
92,6
|
|
15
|
180
|
15
|
24
|
62,9
|
90,5
|
|
16
|
190
|
15
|
24
|
64,2
|
88,4
|
|
17
|
15
|
24
|
66,9
|
83,8
|
|
18
|
225
|
16
|
22
|
72,9
|
78,2
|
|
19
|
210
|
18
|
29
|
53,4
|
91,4
|
|
20
|
150
|
18
|
19
|
68,3
|
92,4
|
|
21
|
186
|
14
|
25
|
62,7
|
90,0
|
|
22
|
190
|
14
|
25
|
63,2
|
89,2
|