Метод наименьших квадратов

  • Вид работы:
    Практическое задание
  • Предмет:
    Математика
  • Язык:
    Русский
    ,
    Формат файла:
    MS Word
    373,35 Кб
  • Опубликовано:
    2014-10-01
Вы можете узнать стоимость помощи в написании студенческой работы.
Помощь в написании работы, которую точно примут!

Метод наименьших квадратов

Федеральное государственное автономное

образовательное учреждение

высшего профессионального образования

«СИБИРСКИЙ ФЕДЕРАЛЬНЫЙ УНИВЕРСИТЕТ»

Институт нефти и газа

Кафедра топливообеспечения и горючесмазочных материалов






ОТЧЕТ ПО ЛАБОРАТОРНОЙ РАБОТЕ

Метод наименьших квадратов

Преподаватель Е.Г. Агафонов

Студент А.Л. Штыков









Красноярск 2014

Содержание

Цель работы

Исходные данные и постановка задачи

. Решение без помощи программирования

. Решение с помощью метода программирования

Заключение

Список используемых источников

Цель работы


На основе предлагаемого материала произвести расчеты с помощью метода наименьшего квадрата для определения мольной теплоёмкости. Построить графики полученных функций и выбрать из них наиболее подходящий к построенным точкам.

Исходные данные и постановка задачи


Вариант 1

- мольная теплоемкость, Y - температура

X

Y

0.00001

29.2741

50

29.66611

100

29.93013

150

30.2771

200

306322

250

30.9141

300

31.5862

350

31.6980

400

31.0302

450

32.4622

500

32.8942

550

32.0262

600

33.0082

650

33.7902

700

33.4923

750

34.9436

800

34.5863

850

34.9183

900

35.2503

950

35.68043

1000

35.9141


Известно, что как бы тщательно мы не проводили опыты или измерения, всегда в результате присутствует ошибка. И, если мы говорим, что процесс изменяется по экспоненциальному закону (см. пример на Рисунок 1), то это означает, что результаты измерений будут лежать не на кривой , а возле нее (выше или ниже кривой). Кроме того, одни и те же экспериментальные данные можно приблизить или описать разными кривыми, однако, среди всех кривых того или иного типа важно найти такую, чтобы расстояние, (или сумма расстояний) от точек на плоскости (результатов опыта) до данной кривой было минимальным. То есть, чтобы выполнялось следующее условие: . Однако, так как значения результатов опыта  могут находиться как выше, так и ниже кривой , то рассматривают не сумму разностей (которая в этом случае может принять нулевое или отрицательное значения при больших отклонениях искомой функции от результатов опыта), а сумму квадратов разностей значений искомой функции и полученных данных :

. (1)

Так как функций одного вида может быть бесконечно много (например  эта функция определена для любых a и b из множества действительных чисел), то единственность функции определяется именно значениями параметров. Поэтому вместо (1), будем рассматривать функцию, зависящую от двух аргументов, которые надо определить, а именно а и b:

. (2)


 (3)

Пусть искомая функция имеет вид: , то есть является линейной функцией. Теперь, нам необходимо среди всех функций этого вида найти, такие, чтобы выполнялось условие (3). Для этого вычислим производные правой и левой части выражения (2), которое для нашей задачи примет вид:

 (4)

Дифференцирование по а и b даст нам систему линейных уравнений с двумя неизвестными относительно а и b:


Заменив здесь  на nb, и разделив обе части уравнений на n, получим:

 (5)

Система (5) является системой линейных уравнений вида:


только неизвестными в нашем случае будут а и b. Разрешив эту систему относительно а и b, получим линейную функцию, которая дает наилучшее приближение для имеющихся исходных данных.

Если же мы хотим найти приближение функцией , то в исходной таблице значений нужно  заменить значениями, например, , затем вновь разрешить линейную систему уравнений.

Для того чтобы убедиться какое из приближений оказалось лучшим, нужно вычислить:

 (6)

и, если , то наилучшим из двух будет второе приближение.

1. Решение без помощи программирования


Решение данным способом представлено ниже (Рисунок 1.1, 1.2, 1.3, 1.4, 1.5 и 1.6)

Записываем исходные данные

Рисунок 1.1- Исходные данные

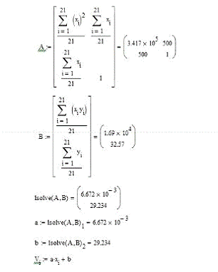
Опираясь на формулу (5) составляем систему линейных уравнений и находим суммы. С помощью функции lsolve находим переменные «a» и «b». Составляем линейное уравнение.

Рисунок 1.2 - Решение системы линейных уравнений Ax = B

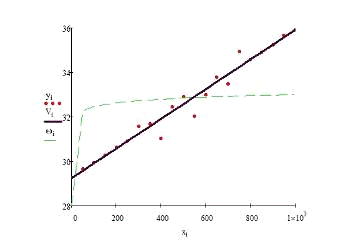
Строим график функции  и значения y. Для построения нелинейной функции делаем замену переменных.

Рисунок 1.3 - График функции . Замена для нелинейной функции

Производим аналогичные действия, а именно: опираясь на формулу (5) составляем систему нелинейных уравнений и находим суммы. С помощью функции lsolve находим переменную «a1» и «b2». Составляем линейное уравнение.

Рисунок 1.4 - Система нелинейных уравнений и ее решение

Строим график двух функций: линейной и нелинейной.

Рисунок 1.5 - График функций линейного и нелинейного уравнений

С помощью формулы (6) сравниваем результаты для нахождения максимально приближенного уравнения.

Рисунок 1.6 - Сравнение функций

Вывод: Линейное уравнение, оказалось наилучшим из двух приближений.

2. Решение с помощью метода программирования


Решение данным способом представлено ниже (Рисунок 2.1, 2.2, 2.3 и 2.4)

Рисунок 2.1 - Исходные данные

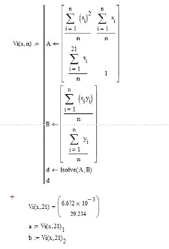
Пишем программу для нахождения двух аргументов «a» и «b».

Рисунок 2.2 - Программа для нахождения аргументов

Для построения нелинейной функции делаем замену переменных и строим график.

Рисунок 2.3 - Замена переменных. График функций (линейной и нелинейной)

Пишем программу для нахождения максимально приближенного результата.

Рисунок 2.4 - Программа для нахождения приближенного результата

Вывод: Линейное уравнение, оказалось наилучшим из двух приближений.

Заключение

наименьший квадрат нелинейное уравнение

В процессе выполнения работы, я закрепил навыки использования среды Mathcad и самое главное, при решении двумя способами, получился однозначный ответ - линейное уравнение максимально приближенно к экспериментальным данным.

Список используемых источников


1 СТО 4.2-07-2012 Система менеджмента качества. Общие требования к построению, изложению и оформлению документов учебной деятельности. Введ. впервые; дата введ. 27.02.2012. Красноярск: СФУ, 2012. 57 с.

Волков, Е.А. Численные методы: учебное пособие / Е. А. Волков. - М.: Наука, 1987. -248 с.

Гутер, Р.С. Элементы численного анализа и математической обработки результатов опытов: учебное пособие / Р. С. Гутер, Б. В. Овчинский. - М.: Наука, 1970. - 432 с.

Похожие работы на - Метод наименьших квадратов

 

Не нашли материал для своей работы?
Поможем написать уникальную работу
Без плагиата!
Без нейросетей!