Метод наименьших квадратов
Цель работы
Изучить аппроксимации полиномом таблично
заданной функции методом наименьших квадратов при помощи вычислительной системы
Mathcad.
Задание
Провести расчет варианта задания из таблицы 1,
аппроксимируя исходные данные полиномами 1,2,3 порядков и выбрать лучший способ
аппроксимации.
Таблица 1.
|
X
|
Y
|
|
-1
|
0.25
|
|
-0.5
|
0.3
|
|
0
|
5.5
|
|
0.5
|
4
|
|
1
|
1.5
|
Выполнение работы
На рис. 1 показаны исходные данные и функция,
вычисляющая матрицу коэффициентов систему уравнений.

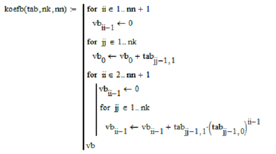
На рис. 2 показана функция, вычисляющая вектор
коэффициентов правой части системы уравнений.
Рис. 2.
На рис. 3 показано выполнение вычислений для
разных порядков полинома.
аппроксимация функция
наименьший квадрат
Рис. 3.
На рис. 4 представлено присваивание значений
полинома для разных порядков полинома.
Рис. 4.
На рис. 5 представлено вычисление суммы
квадратов отклонений, для разных значений полинома.
Рис. 5.
На рис. 6 показаны графики полученных полиномов
и исходных данных.
Рис. 6.
Таблица 2.
|
pn1(x)
|
pn2(x)
|
pn3(x)
|
37.631
|
1.159
|
0.651
|
Вывод
Были приобретены навыки для определения лучшего
способа аппроксимации, глядя на график и на наименьшую сумму квадратов
отклонений аппроксимации полиномом функции методом наименьших квадратов при
помощи вычислительной системы MathCad. Было определено, что вычисления через
3-ий порядок аппроксимации самые точные.