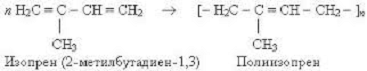
Изопрен
МИНИСТЕРСТВО
ОБРАЗОВАНИЯ И НАУКИ РОССИЙСКОЙ ФЕДЕРАЦИИ
СТЕРЛИТАМАКСКИЙ
ФИЛИАЛ
ФЕДЕРАЛЬНОГО
ГОСУДАРСТВЕННОГО БЮДЖЕТНОГО ОБРАЗОВАТЕЛЬНОГО УЧРЕЖДЕНИЯ
ВЫСШЕГО
ПРОФЕССИОНАЛЬНОГО ОБРАЗОВАНИЯ
«БАШКИРСКИЙ
ГОСУДАРСТВЕННЫЙ УНИВЕРСИТЕТ»
Естественнонаучный
факультет
Кафедра химии
и химической технологии
КУРСОВАЯ
РАБОТА
Изопрен
Стерлитамак
2014
Содержание
Введение
1 Литературный
обзор
1.1 Физико-химические характеристики изопрена
1.2 Способы производства изопрена
1.2.1 Синтез
изопрена из ацетона и ацетилена
1.2.2 Синтез
изопрена из пропилена
.2.3 Метатезис бутена
1.3 Применение изопрена
2
Технологическая часть
2.1 Получение
изопрена из изобутена и формальдегида
2.2 Получение изопрена из изоамиленов и
изопентана
.3 Получение изопрена
жидкофазным окислением углеводородов
3 Техника
безопасности.
Заключение
Список использованных
источников.
Введение
Изопрен (2-метилбутадиен-1,3) - диеновый углеводород обладает высокой
реакционной способностью: на воздухе легко окисляется, образуя легковзрывоопасные
пероксиды. Изопрен токсичен, при высоких концентрациях действует как наркотик
(ПДК 40 мг/м3).
Основная особенность изопрена, заключается в том, что при полимеризации
он образует транс- и цис-полиизопреновые (аналог натуральному) изопреновые
каучуки. То, что натуральный каучук является полимером изопрена, было известно
уже в 1860 году. Только после открытия катализатора Циглера-Натта были получены
искусственные каучуки, практически равноценные по эластическим свойствам
натуральному [10, с.378].
Натуральный каучук получают из млечного сока некоторых тропических
деревьев. Выделенный из млечного сока каучук вулканизируют, т.е. обрабатывают
серой или хлористой серой, при этом каучук поглощает некоторое количество серы,
что значительно улучшает его качества: он становится эластичнее, сохраняет эти
свойства при значительных колебаниях температуры; становится также более
устойчивым к химическим воздействиям. При использовании в процессе вулканизации
серы с количеством 25-40% получается твердый продукт - эбонит, являющийся очень
ценным изоляционным материалом.
Полиизопреновые каучуки - каучуки общего назначения, которые используются
в таких изделиях: автомобильных, самолетных, велосипедных камер и покрышек [10,
с.356].
Задачами данной работы являются:
Определение основных способов как промышленного, так и лабораторного
получения изопрена;
Рассмотрение аппаратурного оформления и технологии получения продукта для
каждого способа;
Выявление наиболее эффективного в настоящее время промышленного способа
получения изопрена.
1.
Литературный обзор
Изопрен легко присоединяет по двойным связям водород,
галогены, галогеноводороды, первичные и вторичные амины и др. Его главное
свойство - способность легко полимеризоваться и сополимеризоваться, например с
бутадиеном, стиролом, акрилонитрилом, пропиленом [4, с.67].
Для получения изопрена в промышленности могут быть использованы шесть
способов. При взаимодействии ацетона и ацетилена получения изопрена
первоначально получается метилбутинол, который затем подвергается гидрированию,
а затем дегидратируется. Вторым методом получения изопрена является димеризация
пропилена. В присутствии определенных видов катализаторов в реакции кроме
изопрена также образуется метан, который используется для моторного топлива для
автомобилей, в быту, а в промышленности в метан обычно добавляют одоранты
(обычно тиолы) со специфическим «запахом газа». Получить изопрен также можно из
метатезис бутена-2 с образованием пропилена и 2-метилбутена-2. Последний способ
может быть дегидрирован различными известными способами [7, с.237].
1.1
Физико-химические характеристики изопрена
Изопрен
при стандартных условиях представляет собой бесцветную летучую жидкость, с
температурой кипения-35
, температурой плавления -146
и
плотностью (в жидком состоянии при -20) 0,681 г/см3. Он практически не
растворяется в воде (0,029 мол. %), но смешивается во всех соотношениях с
этанолом, диэтиловым эфиром, ацетоном и бензолом. Изопрен образует двойные
азеотропные смеси с метиловым или этиловым спиртом. Важнейшее свойство изопрена
- их способность к полимеризации, которая используется для получения
синтетических изопреновых каучуков:
Согласно данным спектроскопических исследований, при 50 °C большинство
молекул изопрена находится в более устойчивой s-транс-конформации, и только 15
% молекул имеют s-цис-конформацию. Разность энергий между этими состояниями
составляет 6,3 кДж/моль [10, с.175].
Полимеризация изопрена под действием таких инициаторов, как натрий или
калий в малополярных растворителях, приводит к образованию 1,2-, 3,4- и
транс-1,4-полиизопрена. Инициирование полимеризации литием в неполярном
растворителе ведёт к получению каучука, содержащего 94% цис-звеньев:
Использование катализаторов Циглера-Натта позволяет получить каучук,
практически идентичный натуральному. При полимеризации изопрена в отсутствие
стереохимического контроля в принципе возможно образование различных полимерных
продуктов. Для предотвращения самопроизвольной полимеризации, изопрен хранят в
присутствии ингибиторов, например гидрохинона [3, с. 197].
1.2
Способы производства изопрена
Известны следующие промышленные методы получения изопрнена:
Синтез изопрена из ацетона и ацетилена;
Синтез изопрена из пропилена (димеризация пропилена);
Метатезис бутена.
1.2.1
Синтез изопрена из ацетона и ацетилена
Процесс разрабатывался академиком А.Е.Фаворским, а затем И.Н. Назаровым и
протекает в три стадии. Этот способ малоприменим из-за дорогого сырья. изопрен изобутен
формальдегид пропилен
Синтез диметилацетиленилкарбинола (метилбутинола) из ацетона и ацетилена
в присутствии щелочного катализатора-порошкообразного КОН и растворителе -
диэтилового эфира:
В целях предупреждения образования побочных продуктов на первой стадии
применяется избыток ацетилена. В качестве катализатора используется ацетиленид
щелочного или щелочноземельного металла. Выход метилбутинола составляет 50-60
моль на 1 моль катализатора.
Гидрирование метилбутинола (МБИ) в диметилвинилкарбинол (метилбутенол):
Гидрирование МБИ осуществляется под давлением водорода 0,5-1 МПа и
температуре 30-80°С. Катализатор - коллоидный палладий на носителе.
Каталитическая дегидратация метилбутенола в изопрен:
Дегидратация диметилвинилкарбинола осуществляется путем пропускания паров
ДМВК с водой над технической окисью алюминия при 260-3000 С.
На рисунке 1 приведена принципиальная техническая схема производство
изопрена реакцией ацетилена с ацетоном:
- реактор этилирования; 2 - аппарат для обрыва реакции; 3 - сепаратор; 4
- колонна регенерации ацетона; 5 - колонна выделения тяжелого остатка; 6 -
реактор гидрирования; 7-сепаратор катализатора;8 - испаритель метилбутенола; 9
- ректор дегидратации; 10 - скруббер водной отмывки; 11 - ректификационная
колонна.
Рисунок 1 - Принципиальная технологическая схема получения изопрена из ацетилена
и ацетона
Аммиачно-ацетиленовая смесь компримируется до рабочего давления,
сжижается и вместе с ацетоном и катализатором вводится в реактор 1. Продукт
реакции направляется затем в реактор 2 для разложения катализатора. После
реактора 2 давление снижается до атмосферного и происходит испарение аммиака и
избытка ацетилена, который возвращается в ре-цикл. Испаренная жидкость
подвергается ректификации в двух колоннах 4 и 5. Первая, из которых
предназначена для выделения небольшого количества непрореагировавшего ацетона,
а вторая - для удаления тяжелых побочных продуктов и соли, оставшейся после
разложения катализатора, в виде раствора. С верха колонны 5 отбирается азеотроп
МБИ (метилбутинол - вода), который вместе с катализатором и избытком водорода, направляется
в реактор 6 для селективного гидрирования. Непрореагировавший водород
возвращается в рецикл, давление гидрированного продукта снижается до
атмосферного, затем на центрифуге от него отделяется катализатор, который в
свою очередь возвращается в ре-цикл [3, с.290].
Полученная по вышеописанной схеме смесь метилбутенола и воды испаряется в
аппарате 8 и направляется в реактор 9. Выделенные здесь пары изопрена
промываются в скруббере 10 водой от небольшого количества непрореагировавшего
метилбутенола и других побочных продуктов. В результате получается изопрен
(сырой), который подвергается окончательной ректификации для удаления как
легких, так и тяжелых фракций, в колонне 2. Состав изопрена-ректификатора
составляет - 98,5%, олефины - 1,5%.
1.2.2 Синтез
изопрена из пропилена
Процесс получения изопрена проводится в три стадии.
Димеризация пропилена в 2-метилпентен-1 на металлорганических
катализаторах:
В результате реакции получается нестабильный алюминийалкил, который
впоследствии, взаимодействуя с пропиленом, распадается по схеме:
Изомеризация 2-метилпентена-1 в 2-метилпентен-2 на кислотных
катализаторах:
Пиролиз 2-метилпентена -2 в присутствии бромистого водорода:

Применение бромистого водорода в качестве инициатора пиролиза
2-метилпентена-2 требует изготовление печи из специальных жаро- и
коррозионностойких сталей. Достоинством метода является использование в
качестве сырья доступного и дешевого пропилена. Существенный
недостаток-многостадийность, низкая селективность, сложные условия пиролиза,
необходимость очистки изопрена [13, с.90].
1.2.3
Метатезис бутена
Интересным подходом к синтезу изопрена является метатезис бутена-2 с
образованием пропилена и 2-метилбутена-2. Последний может быть дегидрирован
различными известными способами. Недостаток данного подхода заключается в том,
что поскольку в реакцию метатезиса могут вступать любые алкены, происходит
образование разнообразных побочных продуктов. Особенно эта ситуация
усугубляется при промышленных масштабах производства, когда в качестве
исходного реагента используется более дешёвый технический бутен-2, содержащий
примесь бутена-1 [8, с.57].
1.3
Применение изопрена
Большая часть производимого изопрена используется в синтезе
цис-1,4-полиизопрена - изопренового каучука, который по свойствам и строению
похож на природный каучук и широко применяется в производстве автомобильных
шин. Другой продукт полимеризации изопрена - транс-1,4-полиизопрен - имеет
свойства гуттаперчи и не находит широкого использования в промышленности, кроме
изготовления шаров для гольфа и изоляции проводов.
Важную область применения изопрена составляет синтез блок-сополимеров типа
стирол-изопрен-стирол. Подобные продукты используются как термопластические
полимеры и адгезивы, чувствительные к давлению. Изопрен также используется в
синтезе бутилового каучука - продукта сополимеризации изопрена с изобутиленом,
где мольная доля изопрена составляет от 0,5 до 3,0 %.
С 1972 года компанией Rhodia Incorporated (США) была начата разработка
методов промышленного синтеза терпенов из изопрена, ацетона и ацетилена.
Синтетическая схема включала в себя присоединение хлороводорода к изопрену с
образованием пренилхлорида, который затем в две стадии превращали в
дегидролиналоол. Последний служил в качестве исходного соединения для синтеза
различных терпенов, например, линалоола, гераниола, цитраля, β-ионона и их производных. Позже завод
был закрыт, однако японский производитель Kuraray продолжил выпускать по этой
схеме не только указанные продукты, но также сквалан и другие соединения.
Rhodia Incorporated разработала также способ синтеза лавандулола из двух
молекул изопрена при помощи синтеза Гриньяра [7, с.47].
Природные терпены состоят из фрагментов изопрена, соединённых друг с
другом по принципу «голова - хвост». Синтетические аналоги также должны иметь
такую структуру, а также содержать двойные связи в определённых положениях. В
связи с этим, промышленный синтез терпенов методами олигомеризации и
теломеризации затруднён, и обычно пользуются другими подходами. Тем не менее,
предложен способ синтеза мирцена димеризацией изопрена на катализаторе
(натрий/диалкиламин). Этот способ реализуется в промышленном масштабе компанией
Nissan Chemical Industries. Теломеризация изопрена под действием диэтиламина и
бутиллития в качестве катализатора приводит к N,N-диэтилнериламину, который
далее может быть превращён в линалоол, гераниол, нерол, цитронеллаль, гидроксицитранеллаль
и ментол [9, с.289]
2.
Технологическая часть
.1
Получение изопрена из изобутена и формальдегида
При взаимодействии изобутена с формальдегидом (реакция Принса) при более
высокой температуре в жидкой фазе наблюдается постепенное разложение
4,4-диметил-1,3-диоксана (ДМД), ненасыщенных спиртов и диола с образованием
изопрена. Это видно из рисунка 2, на котором представлена зависимость выхода
продуктов от времени реакции при 160 °С.
- формальдегид; 2 - 4,4-диметилдиоксан-1,3; 3 - изопрен;
4-3-метилбутен-3-ол-1; 5 - 3-метилбутен-2-ол-1; 6 - 5-метилдигидропиран-5,6; 7
- трет-бутилметиловый эфир; 8 - 3-метилбутандиол-1,3.
Рисунок 2 - График зависимости выхода продуктов рекции формальдегида с
изобутеном от времени реакции
На этой основе разработан одностадийный синтез изопрена в жидкой фазе при
150-160°С, ≈ 3 МПа и катализе водорастворимыми кислотами Льюиса. Кроме
снижения числа аппаратов и капитальных затрат при одностадийном процессе легче
решается проблема утилизации побочных продуктов, в том числе и трет-бутанола,
который можно возвращать на реакцию, где он находится в равновесии с изобутеном
[7, с.348].
Предложено даже вместо изобутена использовать в качестве сырья
трет-бутанол (полученный при извлечении изобутена из С4-фракции или при
изобутеновом варианте эпоксидирования пропилена):
Упрощенная технологическая схема получения изопрена из изобутеновой
фракции и формальдегида изображена на рисунке 3:
, 2 - реакторы I стадии; 3, 7, 10-13, 18, 19 - ректификационные колонны;
4 - дефлегматор; 5 - кипятильник; 6 - дроссельные вентили; 8 - насосы; 9
-нейтрализатор; 14 - теплообменник; 15 - реактор II стадии; 16 - холодильник;
17 - сепаратор.
Рисунок 3 - Принципиальная технологическая схема получения изопрена из
изобутена и формальдегида
Первую стадию проводят в двух трубчатых реакторах 1 и 2, охлаждаемых
водой. Изобутеновая фракция и разбавленный рециркулятом водный раствор
формальдегида движутся в них противотоком: более тяжелый, водный слой
опускается вниз, а легкий, углеводородный поднимается вверх, причем
диспергирование жидкостей позволяет создать большую поверхность контакта фаз.
Верхние и нижние части этих реакторов работают как сепараторы, в которых
отделяются соответственно углеводородный и водный слои. В первый переходят
почти полностью диоксан и ненасыщенные спирты, во втором слое остаются
непревращенный формальдегид, часть метанола и диола [17, с.59].
Водный слой из нижней части реактора 2 нейтрализуют щелочью и отгоняют из
него в колонне 3 все летучие вещества, которые объединяют с углеводородным
слоем. Затем в колонне 7 из кубового остатка колонны 3 и рециркулирующего
формалина со второй стадии процесса отгоняют разбавленный водный раствор
формальдегида, отделяя его от тяжелых остатков. Этот раствор возвращают на
реакцию, добавляя к нему свежий формалин [17, с.35]. Углеводородный слой с
верха реактора 1 и легкий погон ректификации водного слоя объединяют и
обрабатывают в нейтрализаторе 9 движущимся противотоком водным раствором
щелочи, который после этого смешивают с водным слоем, выходящим из реактора 2,
подавая на совместную переработку, описанную выше. Из промытого углеводородного
слоя в колонне 10 отгоняют непревращенный изобутен, возвращая его на реакцию
(при использовании фракции, содержащей бутаны и н-бутены, во избежание их
накопления в рециркуляте необходима дополнительная ректификация для
«укрепления» изобутена). Затем в колонне 11 из продуктов реакции отгоняют более
летучие метанол и метилаль, а в колонне 12 - трет-бутанол. Диоксан (вместе с
ненасыщенными спиртами) отделяют в колонне 13 от тяжелого остатка и направляют
на вторую стадию процесса [16, с.34].
Диоксан нагревают и испаряют в теплообменнике 14 за счет тепла горячей
реакционной массы, смешивают с перегретым паром и подают в реактор 15 второй
стадии (адиабатического типа со стационарным слоем гетерогенного катализатора).
Реакционная смесь проходит через теплообменник 14, охлаждается и конденсируется
в холодильнике 16 органический слой отделяется от водного в сепараторе 17.
Водный слой, содержащий формальдегид, направляют в колонну 3 для совместной
переработки с водными растворами, полученными после первой стадии реакции:
- колонна обезметаноливания формальдегида; 2, 3 - реакторы; 4
-экстракционная колонна; 5 - колонна отгонки легколетучих углеводородов; 6 -
колонна упаривания водного слоя; 7 - колонна концентрирования формальдегида; 8
- узел очистки водного слоя; 9 - колонна отмывки непрореагировавшего
формальдегида; 10 - колонна отгонки легкой фракции С4; II - колонна
выделения ДМД и ТМК.
Рисунок 4 - Принципиальная технологическая схема синтеза ДМД
Органический слой с верха сепаратора 17 подают последовательно в две
ректификационные колонны. В первой (18) отгоняют образовавшийся при разложении
диоксана изобутен, который возвращают на первую стадию синтеза. Затем в колонне
19 отделяют изопрен от более высококипящего остатка (непревращенный диоксан и
побочные продукты). Для оконча-тельной очистки изопрен промывают водой, осушают
азеотропной перегонкой и проводят заключительную ректификацию. На этих стадиях
к нему во избежание полимеризации добавляют ингибитор:
- печь; 2 - реактор; 3 - конденсатор; 4 - отстойник; 5, I0 -
колонны отмывки; 6 - колонна отгонки углеводородов С4 и С5;
7 - колонна отгонки изобутилена; 8,9 - колонны выделения изопрена -
ректификата; II - колонна отгонки МДГП; II2 - колонна выделения возвратного
ДМД; I3 - абсорбер; I4 - десорбер; I5 - колонна отгонки летучих органических
веществ из водного слоя; I6 - колонна рекуперации СН2О.
Рисунок 5 - Принципиальная технологическая схема каталитического
разложения ДМД и получение изопрена
Сообщается о высокой селективности (до 80% по формальдегиду и 90% по
изобутену), снижении коррозии аппаратуры и высоком качестве получаемого
изопрена [10, с.396].
2.2
Получение изопрена из изоамиленов и изопентана
Способы каталитического дегидрирования применяются в производстве
изопрена из изосоединений С5 - изопентана и изоамиленов. Если в
качестве исходного продукта применять изопентан, то процесс каталитического
дегидрирования будет протекать в две стадии: изопентан- изоамилены-изопрен.
Однако дегидрирование может быть выполнено и в одну стадию, причем в качестве
исходного сырья могут быть взяты как смеси изоамиленов с изопентаном, так и
один изопентан13-15.
Получение изопрена из изоамиленов и из изопентана схематически может быть
представлено уравнениями:
Методом каталитического дегидрирования изопентана при нормальном давлении
и 525-535% °C можно получить изоамилены с выходом 33-37% на пропущенный и
83-87% на разложенный изопентан. Реакции каталитического дегидрирования
углеводородов С5 протекают, как правило, при температурах на 25-30
°C более низких, чем при дегидрировании углеводородов С4.
Получение изопрена из изопентана усложняется тем, что при дегидрировании
изопентана образуется значительное большое количество изомеров. Кроме этого,
дегидрирование в большей мере сопутствуют реакции изомеризации.
При дегидрировании изопентана образуются три изомера изоамиленов:
2-метилбутилен-1; 2-метилбутилен-2 и 3-метилбутилен-1, кипящие соответственно
при 31,05, 38,49 и 20 °C; преимущественно образуется 2-метилбутилен-2 в
количестве около 65% от всех изоамиленов.
Вследствие реакций изомеризации, происходящих при каталитическом
дегидрировании изопентана, и наличия в техническом изопентане некоторого
количества н-пентана фракция С5, выделенная из продуктов
дегидрирования, содержит сложную смесь продуктов, состоящую из изопентана, н-пентана,
трех изоамиленов, трех н-амиленов (пентен-1, пентен-2, цис- и транс-),
пиперилена (цис- и транс-), изопрена, циклопентадиена. Выделение чистых
изоамиленов из этой смеси углеводородов с близкими температурами кипения
является сложным процессом [20, с.20].
Реакция дегидрирования изоамиленов в изопрен может быть выражена
уравнением:
Теплота этой реакции Q зависит от структуры исходного изоамилена: для дегидрирования
2-метилбутилена-2 она составит 32,895 ккал/моль, для 3-метилбутилена-1 -
29,478 ккал/моль и для 2-метилбутилена-1 - 31,324 ккал/моль. Все
три изоамилена образуют изопрен.
Проведение этой реакций требует низких парциальных давлений и высокой температуры.
Изоамилены при дегидрировании в присутствии водяного пара и катализатора
образуют 75-85% изопрена.
Метод получения изопрена из изоамиленов и изопентана требует жесткого
режима и сложного фракционирования как сырья, так и готового продукта. На пути
осуществления этого метода стоят еще и другие трудности, обусловленные
чувствительностью реакции полимеризации к примесям, содержащимся в мономерном
изопрене, полученным этим способом. Недостатками этого процесса являются также
трудность обеспечения производства фракциями с высоким содержанием изопентана и
большое количество побочного продукта-пиперилена, для которого в настоящее
время не удается найти промышленного применения [20, с.90].
2.3
Получение изопрена жидкофазным окислением углеводородов
Получение изопрена жидкофазным окислением изопентена основано на реакции
эпоксидирования его органическими гидропероксидами.
Процесс включает в себя четыре стадии:
Окисление изопентана кислородом воздуха до трет-пентилгидропероксида:
Взаимодействие гидропероксида с 2-метилбутеном-2, который является
промежуточным продуктом синтеза, с образованием оксида 2-метилбутена-2:
Изомеризация оксида 2-метилбутена-2 в ненасыщенный спирт 2-метилбутен-1-ол-3:
Дегидратация спирта в изопрен:
Принципиальная блок-схема процесса приведена ниже на рисунке 6:
Рисунок 6 - Принципиальная технологическая схема получения изопрена
жидкофазным окислением углеводородов
3.
Техника безопасности
По степени воздействия на организм человека каучук относится к
малоопасным веществам: 4-й класс по ГОСТ 12.1.007. При непосредственном
контакте местное раздражающее действие на кожу и слизистые оболочки глаз
отсутствует. Кожно-резорбтивное и сенсибилизирующие действия отсутствуют.
Кумулятивные свойства не выявлены [17, с.120].
Производственные помещения должны быть оборудованы общеобменной
приточно-вытяжной вентиляцией, местными отсосами. Кратность обмена воздуха
должна быть не менее 3. При производстве и применении каучука должно
использоваться оборудование в антистатическом пожаро- и взрывозащищенном
герметичном исполнении.
При пожаре опасность представляют продукты сгорания полимера, оксиды
углерода, сажа. При температуре переработки каучук невзрывоопасен и горит
только при внесении в источник огня. Температура воспламенения каучука - 290°С,
температура самовоспламенения - 340°С. Средства пожаротушения - вода со
смачивателем, воздушно-механическая пена, водяной пар, углекислотные
огнетушители, специальные порошки, асбестовое полотно, мел, песок
Обслуживающий персонал при производстве и переработке каучука должен
соблюдать нормы промышленной гигиены и промышленной санитарии, проходить
предварительный (при приеме на работу) и периодические профилактические
осмотры. Он должен проводить все работы, связанные с производством и
переработкой каучука, в специальной одежде и специальной обуви в соответствии с
требованиями ГОСТ 12.4.103 и ГОСТ 12.4.011 и типовых норм бесплатной выдачи
рабочим и служащим специальной одежды, обуви и др. [17, с.86].
Транспортная маркировка - по ГОСТ 14192. На каждое грузовое место наносят
манипуляционные знаки «Беречь от влаги» и «Беречь от солнечных лучей» по ГОСТ
14192, а также следующие данные:
а) наименование или товарный знак предприятия-изготовителя;
б) наименование и марку каучука;
в) номер партии;
г) номер места;
д) массу нетто;
е) месяц и год изготовления;
ж) обозначение настоящего стандарта и документа, по которому выпускают
каучук.
Заключение
В данной курсовой работе представлены основные способы получения
изопрена, физико-химические свойства, технология, схемы производства и
применение изопрена.
Было изучено, что в промышленности существует шесть способов получения
изопрена:
из пропилена;
метатезисом бутена;
из изобутена и формальдегида;
из изоамиленов и изопентана;
жидкофазным окислением углеводородов.
Промышленную реализацию получили 3 способа:
из ацетона и ацетилена;
из изобутена и формальдегида;
из изоамиленов и изопентана;
Достоинством первого способа получения изопрена из ацетона и ацетилена
является то, что выход изопрена составляет - 98,5%, но при этом способ
малоприменим из-за дорогого сырья. При изучении способа получения изопрена из
изобутилена и формальдегида выяснилось то, что селективность достигает до 90%,
что говорит о высоком качестве получаемого изопрена, а также о снижении
коррозии аппаратуры.
Достоинством способа получения изопрена из изоамиленов и изопентана
являются то, что выход изопрена - 85%, недостатками - требует жесткого режима и
сложного фракционирования как сырья, так и готового продукта. Наиболее
перспективным и экономичным способом получения изопрена является реакция из
изобутилена и формальдегида, а также реакцией изоамиленов и изопентана.
Список
использованных источников
1. Ахметов, Б.В., Задачи и упражнения по физической и
коллоидной химии. - Л.: Химия, 1989. - 239 с.
2. Платэ, Н.А., Сливинский, Е.Ф., Основы химии и
технологии полимеров. 2002. - 696 с.
3. Соколов, Р. С. Химическая технология. - М.: Владос,
2000. - 1.2 т.
4. Аверко-Антонович, Ю. О., Омельченко, Р. Я., Охотина,
Н. А., Эбич, Ю. Р. Технология резиновых изделий: учебное пособие для вузов. -
JL: Химия, 1991. - 352 с.
. Кирпичников, П. А., Авереко-Антонович, Л. А.,
Авереко-Антонович, Ю. О. Химия и технология синтитичёского каучука. - Л.:
Химия,1998. - 424 с.
6. Гармонова, И. В. Синтетический каучук - 2-е изд. -
Л.: Химия, 1994.
. Хананашвили, Л. М., Андрианов, К. А. Технология
элементорганических мономеров и полимеров. - М.: Химия, 1998.
. Чаушеский, Е. А. Новые исследования в области
высокомолекулярных соединений. - М.: Химия, 2005.
. Болдырев, А. П., Подвальный, С. Л. Управление
технологическими процессами в производстве стереорегулярного полиизопренового
каучука СКИ-3. - М.: ЦНИИТЭнефтехим, 1995.
. Кирпичников, П. А., Береснев, В. В., Попова, Л. М.
Альбом технологических схем основных производств промышленности синтетического
каучука. - Л.: Химия, 1996. - 224 с.
. Романова, Р. Г., Ламберов, А. А., Шайхутдинова, З.
И., Гильманов, Х. Х., Гильмуллин, Р. Р. Журнал прикладной химии. - Т. 81. Вып.
9., 2008.
. Рейсфельд, В. О., Шеин, B. C., Ермаков, В. И.
Реакционная аппаратура и машины заводов основного органического синтеза и
синтетического каучука. - Л.: Химия, 1995. - 392 с.
. Рейсфельд, В. О., Еркова, Л. Н. Оборудование
производств основного органического синтеза и синтитических каучуков. - Л.:
Химия, 1994. - 440 с.
. Будтов, В. П., Консетов В. В. Тепломассоперенос в
полимеризационных процессах. - Л.: Химия, 1993.
. Елисеева, В. И., Иванчев, С. С., Кучанов, С. И.,
Лебедев, А. В. Эмульсионная полимеризация и ее применение в промышленности.
-М.: Химия, 1996.
. Гончаров, А. И., Корнилов, М. Ю. Справочник по
химии. - М.: Высшая школа, 1977. - 304 с.
. Бочкарев, В. В., Ляпков, А. А., Основы
проектирования предприятий органического синтеза. Методические указания к
выполнению дипломного проекта. - Томск: ТПУ, 2002. - 52 с.
. Кузнецов, В. И., Волонский, Е. В. Развитие химии
высокомолекулярных соединений. - М.: Высшая школа, 2008.
. Огородников, С.К., Справочник нефтехимика. - Л.:
Химия, 1998.- 592 с.
20. Соколов,
Р.С. Химическая технология. - М.: ВЛАДОС, 2000. - 443 с.