Организация, планирование и управление производством
Содержание
1.
Планирование себестоимости продукции (работ, услуг) по технико-экономическим
факторам
.
Оценка инвестиций в финансовую сферу
.
Обоснование численности работников предприятия (на примере конкретного
предприятия)
Список
литературы
1. Планирование себестоимости продукции (работ,
услуг) по технико-экономическим факторам
планирование себестоимость продукция
инвестиции
Планирование себестоимости осуществляется при
разработке перспективных (пятилетних) и текущих (годовых) планов
(техпромфинпланов) промышленных предприятий. Годовые планы по себестоимости
промышленной продукции составляются, как правило, с подразделением по
кварталам, а при необходимости - и по месяцам. Плановая себестоимость
определяется путем технико-экономических расчетов величины затрат на
производство всей товарной и реализуемой продукции и каждого вида изделий.
Расчет себестоимости по технико-экономическим
факторам составляется по следующей схеме:
определяются затраты базисного года на 1 рубль
товарной продукции или себестоимость единицы продукции. Базисным уровнем затрат
для первого года перспективного плана являются затраты года, предшествующего
периоду перспективного плана, а для последующих лет перспективного плана -
плановые затраты каждого предшествующего года. В текущем планировании базисным
уровнем являются затраты предпланового года;
путем умножения затрат базисного года на объем
товарной продукции планируемого года (или на количество товарной продукции в
натуральном выражении) подсчитывается ее себестоимость при сохранении условий
производства и реализации продукции в базисном году. В связи с этим объем
товарной продукции должен быть определен также при сохранении условий ее
производства и реализации в базисном году, т.е. без учета влияния на средние
или индивидуальные цены повышения качества продукции, изменения размещения
производства, структуры потребителей и других условий. Увеличение объема
товарной продукции, таким образом, должно отражать изменение объема ее
производства в натуральном выражении;
определяется снижение затрат, включаемых в
себестоимость продукции, обусловленное влиянием отдельных технико-экономических
факторов;
из ранее подсчитанной себестоимости товарной
продукции планируемого года вычитается общая сумма снижения затрат и
определяется себестоимость товарной продукции в условиях производства и
реализации планируемого года.
Далее подсчитываются затраты на 1 рубль товарной
продукции (или себестоимость единицы продукции) планируемого года и их снижение
по сравнению с затратами базисного года. Расчет составляется в сопоставимых в
базисном и планируемом году ценах и условиях оплаты труда и т.п. Влияние
изменений цен и условий на себестоимость планируемого года (по сравнению с
базисным годом) определяется с помощью специальных расчетов.
В расчетах влияния на себестоимость продукции
основных технико-экономических факторов выделяются следующие группы факторов:
повышение технического уровня производства;
улучшение организации производства и труда;
изменение объема и структуры производимой
продукции;
изменение природных условий и способов добычи
полезных ископаемых и других видов сырья;
отраслевые и прочие факторы.
Перечень факторов, выделяемых в расчетах с
учетом технико-экономических и организационных особенностей отраслей
промышленности, устанавливается в формах для разработки перспективных и годовых
планов, а также в отраслевых инструкциях, в которых конкретизируются также
излагаемые ниже общие основы методики расчета влияния на себестоимость
отдельных факторов.
При определении экономии, обусловленной
действием всех технико-экономических факторов (кроме изменения объема
производимой продукции и использования основных фондов), учитывается снижение
только переменных, прямо пропорциональных объему производства расходов.
Относительная (в расчете на 1 рубль или единицу товарной продукции) экономия
условно - постоянных расходов и амортизационных отчислений рассматривается как
результат действия особых факторов: увеличения (уменьшения) объема производимой
продукции и улучшения использования основных фондов. Влияние этих факторов на
уровень затрат определяется с помощью специальных расчетов.
Экономия, обусловленная изменением уровня
техники и организации производства, должна определяться с учетом времени
проведения соответствующих мероприятий. Поэтому, если намеченное в плане
мероприятие проводится не с начала года, в расчетах себестоимости товарной
продукции планируемого года отражается только часть обусловленного его
проведением эффекта. Но одновременно в расчетах себестоимости по факторам
должна быть учтена переходящая на планируемый год экономия от проведения
мероприятий базисного года. Эта экономия равна разнице между среднегодовой
себестоимостью изделий в базисном году и их себестоимостью после проведения
организационно - технических мероприятий, умноженной на объем производства
соответствующих изделий в планируемом году.
Величина этой экономии может быть определена по
формуле:
где З_0 и З_1 - переменные затраты на единицу
продукции до и после проведения мероприятия;
К_0 и К_1 - количество единиц продукции,
произведенных с начала базисного года до и после проведения мероприятия;
К_п - количество единиц продукции, производимых
в планируемом году.
В группе повышения технического уровня
производства выделяются следующие основные факторы:
механизация и автоматизация производственных
процессов, внедрение передовой технологии и автоматизированных систем
управления;
модернизация и улучшение эксплуатации
применяемой техники и технологии;
изменение конструкции и технических
характеристик изделий, повышение качества продукции;
внедрение новых видов и замена потребляемого
сырья, материалов, топлива, энергии;
прочие факторы, повышающие технический уровень
производства.
Основой для определения экономии текущих затрат,
обусловленной механизацией и автоматизацией производственных процессов,
внедрением передовой технологии и автоматизированных систем управления,
является план внедрения достижений науки и техники в народное хозяйство. Все
другие технические мероприятия, не включенные в планы внедрения достижений
науки и техники в народное хозяйство министерств, главных управлений и
объединений, но предусмотренные в планах развития техники и организации
производства (оргтехпланах) предприятий (улучшение раскроя, снижение припусков
на обработку, регенерация смазочных и других видов материалов, внедрение
заменителей, применение более экономичных профилей проката металла и т.д.),
рассматриваются как модернизация и улучшение эксплуатации применяемой техники и
технологии производства.
Сумма экономии от снижения себестоимости в
результате внедрения в производство достижений науки и техники и осуществления
других технических мероприятий складывается из уменьшения расхода материальных
ресурсов и затрат на оплату труда.
Следует иметь в виду, что величина экономии,
обусловленная действием каждого из факторов, определяется комплексно, по всем
видам (элементам) затрат. Общее снижение каждого вида затрат является
результатом действия многих факторов. В связи с этим при расчетах влияния
каждого технико-экономического фактора необходимо использовать показатели
экономии материальных ресурсов, заработной платы и других расходов, связанных с
влиянием только конкретного фактора. Такие показатели имеются в плане
мероприятий по экономии материальных ресурсов и в расчете производительности
труда по факторам, группировка которых должна соответствовать группировке
факторов снижения себестоимости.
Экономия от снижения материальных затрат
определяется по формуле:
где: Э_м - экономия расходов на сырье,
материалы, топливо и энергию;
Н_0 и Н_1 - норма расхода сырья, материалов,
топлива или энергии на единицу продукции до (Н_0) и после (Н_1) проведения
соответствующего мероприятия;
Ц - цена единицы сырья, материалов, топлива,
энергии;
К_1 - количество единиц продукции, выпускаемых с
момента проведения мероприятия до конца планируемого года.
Уменьшение расходов на заработную плату и
отчислений на социальное страхование в результате снижения трудоемкости единицы
продукции определяется по формуле:
где: Э_т - экономия расходов на заработную плату
и отчислений на социальное страхование;
Т_0 и Т_1 - трудоемкость единицы продукции в
нормо - часах до (Т_0) и после (Т_1) проведения мероприятия;
Ч_0 и Ч_1 - среднечасовая тарифная ставка
рабочего до (Ч_0) и после (Ч_1) проведения мероприятия;
В - средний процент дополнительной заработной
платы для данной категории рабочих;
Г - установленный процент отчислений на
социальное страхование;
К_1 - количество изделий, выпускаемых с момента
проведения мероприятий до конца планируемого года.
При высвобождении работников, находящихся на
повременной оплате труда, экономия определяется по формуле:
где: Л - количество высвобождающихся работников;
Ф - среднемесячная заработная плата данной
категории работников;
Г - установленный процент отчислений на
социальное страхование;
М - число месяцев с момента проведения
мероприятия до конца года.
Экономия, получаемая в результате внедрения
новых видов и замены потребляемого сырья, материалов, топлива и энергии, должна
отражать результаты применения более экономичных видов материальных ресурсов
(внедрение заменителей, прогрессивных материалов и др.). Она складывается из
уменьшения затрат, обусловленных снижением расхода соответствующих видов
материальных ресурсов в связи с изменением их структуры и влияния изменения
средних цен указанных ресурсов. Уменьшение затрат, обусловленное снижением
расхода материальных ресурсов, подсчитывается путем умножения экономии соответствующих
ресурсов в натуральном выражении на средние цены, сложившиеся в базисном году.
Влияние изменения средних цен подсчитывается путем умножения разницы в средних
ценах того или иного вида материальных ресурсов (например, разницы в средней
цене 1 тонны условного топлива) в планируемом и базисном году на объем
потребления этого вида ресурсов в планируемом году. В составе этого фактора
определяется воздействие на себестоимость только тех изменений в структуре
сырья, материалов, топлива и энергии, которые не связаны с увеличением или
уменьшением объема производства отдельных видов продукции.
При определении эффективности внедрения новых
видов и замены потребляемого сырья, материалов, топлива и энергии должны быть
учтены результаты мероприятий, направленных на улучшение снабжения производства
всеми видами материальных ресурсов. К их числу относятся: ликвидация потерь в
производстве, связанных с использованием материалов, не соответствующих
техническим условиям; уменьшение потерь материалов при транспортировке и
хранении; улучшение использования тары, применяемой при транспортировке
материалов и т.п.
На предприятиях отдельных отраслей
промышленности в составе изменений структуры сырья может быть выделено влияние
специализации и кооперирования производства. При этом учитывается только та
часть изменений удельного веса покупных полуфабрикатов и комплектующихизделий,
которая не связана с изменением структуры производимой продукции. Экономия,
обусловленная специализацией производства (передачей изготовления литья,
штамповок, узлов, агрегатов и т.п.), может быть определена по формуле:
где: С - производственная себестоимость
отдельных изделий (литья, штамповок и т.п.);
Ц - оптовая цена, по которой эти изделия будут
поступать от специализированных предприятий;
Р - транспортно - заготовительные расходы на
единицу соответствующих изделий;
К - количество изделий, получаемых по кооперации
с момента проведения специализации до конца планируемого года.
Расчеты влияния изменения качества на затраты на
1 рубль товарной продукции должны учитывать не только изменение себестоимости,
но и объема товарной и реализуемой продукции, связанное с повышением оптовых
цен или применением надбавок и доплат к ранее действовавшим оптовым ценам.
Экономия или дополнительные затраты от повышения
качества (Э_к) определяются по формуле:
где: З_0 и З_1 - затраты на единицу продукции до
и после повышения качества;
Увеличение объема товарной продукции в
результате применения надбавки к цене за повышенное качество продукции
определяется по формуле:
где: Д_к - увеличение объема товарной продукции;
Ц_0 и Ц_1 - оптовая цена, действующая до и после
улучшения качества (или средняя цена единицы продукции при средней сортности
продукции базисного и планируемого года);
К_1 - количество единиц продукции улучшенного
качества (повышенной сортности), производимое в планируемом периоде.
В расчетах влияния на себестоимость продукции
улучшения организации производства выделяются следующие основные факторы:
совершенствование управления производством;
улучшение организации труда;
улучшение материально - технического снабжения;
ликвидация непроизводительных расходов;
сокращение потерь от брака;
прочие факторы, связанные с совершенствованием
организации производства.
Способы определения экономии, обусловленной
улучшением организации производства, аналогичны расчетам влияния факторов,
связанных с повышением технического уровня производства.
При определении экономии от совершенствования
управления определяется эффективность таких мероприятий, как укрупнение цехов и
участков, внедрение бесцеховой структуры управления, рациональное изменение
структуры заводоуправления и цехов, внедрение автоматических систем управления
производством, создание производственных объединений и т.п.
Экономия, получаемая в результате улучшения
организации труда, определяется на основе планов мероприятий НОТ и расчетов
повышения производительности труда по факторам. При использовании расчетов
роста производительности труда по факторам экономия подсчитывается путем
умножения числа высвобождающихся рабочих на их среднюю заработную плату в
базисном году (с отчислениями на социальное страхование и с учетом расходов на
спецодежду, питание и т.п.). При этом учитывается влияние отдельных факторов
роста производительности труда на изменение средней заработной платы (в
соответствии с методическими указаниями по планированию труда и заработной
платы).
При определении экономии от улучшения материально
- технического снабжения подсчитывается эффективность мероприятий,
обеспечивающих сокращение транспортно - заготовительных расходов в результате
сокращения расстояний и улучшения способов доставки, сокращение
заготовительно-складских расходов.
Экономия от ликвидации непроизводительных
расходов и потерь определяется как произведение суммы этих расходов и потерь в
базисном году на темп роста объема товарной продукции в планируемом году.
Влияние на себестоимость сокращения брака
подсчитывается в целом независимо от того, в результате каких технических или
организационных мероприятий достигается снижение брака. На предприятиях тех
отраслей промышленности, где брак не планируется, экономия от ликвидации брака
определяется путем умножения потерь от брака в базисном году на темп роста
объема товарной продукции в планируемом году по сравнению с базисным. На
предприятиях тех отраслей промышленности, в которых брак планируется, общее
влияние сокращения потерь от брака на себестоимость продукции в планируемом году
равно сумме экономии от ликвидации сверхпланового и экономии от сокращения
планового брака. Последняя подсчитывается путем умножения норм потерь от брака
в базисном году на коэффициент снижения этих норм в планируемом году и объем
товарной продукции этого года.
В расчетах влияния изменения объема и структуры
производимой продукции выделяются следующие основные факторы:
относительное сокращение условно - постоянных
расходов (кроме амортизации), обусловленное ростом объема производимой
продукции;
улучшение использования производственных фондов
и связанное с этим относительное уменьшение амортизационных отчислений;
изменение структуры производимой продукции.
Увеличение объема производимой продукции ведет к
относительному (в расчете на 1 рубль или на единицу товарной продукции)
уменьшению условно - постоянных расходов. Величина связанной с этим экономии
определяется следующим образом:
исходя из суммы условно - постоянных расходов
определяется их удельный вес в себестоимости товарной продукции базисного
периода.
Учитывая, что рост объема производимой продукции
вызывает некоторое увеличение условно - постоянных расходов, для плановых
расчетов этот удельный вес уточняется. Для этого условно - постоянные расходы
приводятся к полностью постоянным с помощью следующей формулы:
где: У_п - удельный вес приведенных условно -
постоянных расходов в себестоимости товарной продукции базисного периода или в
отдельных элементах затрат (статьях расходов), в %;
У - удельный вес условно - постоянных расходов в
себестоимости товарной продукции или в отдельных элементах затрат (статьях
расходов) в базисном году, в %;
Т - темп прироста объема товарной продукции в
планируемом году по сравнению с базисным периодом, в %;
Д - темп прироста данного вида затрат (расходов)
в связи с ростом объема производства, в %.
Относительная экономия на условно - постоянных
расходах в результате увеличения объема производства определяется по формуле:
где: Э_п - экономия на условно - постоянных
расходах, тыс. руб.;
С_б - себестоимость товарной продукции или
отдельные элементы затрат (статьи расходов) в базисном году, тыс. руб.;
У_п - удельный вес приведенных постоянных
расходов в себестоимости товарной продукции или отдельных элементах затрат
(статьях расходов) базисного года, в %;
Т - темп прироста товарной продукции в
планируемом году по сравнению с базисным годом, %.
Экономия на постоянных расходах подсчитывается
исходя из темпа прироста товарной продукции без учета увеличения (уменьшения)
ее объема в связи с повышением качества изделия (средней сортности) и т.п.
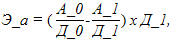
Относительная экономия на амортизационных
отчислениях в результате улучшения использования производственных фондов
рассчитывается по формуле:
где: Э_а - экономия в связи с относительным
снижением амортизационных отчислений, тыс. руб.;
А_0 - общая сумма амортизационных отчислений в
базисном году, тыс. руб.;
А_1 - общая сумма амортизационных отчислений в
планируемом году, тыс. руб.;
Д_0 и Д_1 - объем товарной продукции в базисном
и планируемом году, тыс. руб.
Особенности расчета экономии амортизационных
отчислений в отдельных отраслях промышленности (угольной, нефтедобывающей,
газовой и др.) устанавливаются в отраслевых инструкциях.
Влияние изменения структуры продукции, т.е.
изменения удельного веса отдельных изделий в общем объеме товарной продукции на
уровень затрат, определяется на основе данных о ценах и переменных затратах на
производство отдельных изделий в базисном году и объема их производства в
базисном и планируемом году. Величина переменных затрат подсчитывается на
основе калькуляции базисного года, а по новым, не производившимся в базисном
году изделиям, - на основе плановых калькуляций планируемого года.
. Оценка инвестиций в финансовую сферу
В основе оценки сравнительной эффективности
любых форм инвестиций лежит определение меры эффекта. Вместе с тем существуют
определенные особенности оценки доходности финансовых инструментов,
обусловленные спецификой их инвестиционных качеств.
Основными критериями инвестиционных качеств
объектов инвестирования являются доходность, риск и ликвидность.
Доходность финансовых инструментов определяется
прибылью и ростом курсовой стоимости по сравнению с вложенными средствами.
Риск при вложениях в финансовые инструменты
означает возможность недополучения дохода или утраты вложенных средств,
доходность и риск находятся в обратной взаимосвязи. Ликвидность финансовых
инструментов выступает как их способность быстро и без потерь превращаться в
деньги.
При оценке инвестиционных качеств ценных бумаг
кроме расчета общих для всех объектов инвестирования показателей эффективности
проводят исследование методами фундаментального и технического анализа,
принятыми в финансовой практике.
Фундаментальный анализ базируется на оценке
эффективности деятельности предприятия-эмитента. Он предполагает изучение
комплекса показателей финансового состояния предприятия, тенденций развития
отрасли, к которой оно принадлежит, степени конкурентоспособности производимой
продукции сегодня и в перспективе.
Базой анализа являются публикуемые
компанией-эмитентом балансы, отчеты о прибылях и убытках и другие материалы.
Фундаментальный анализ также называют факторным,
поскольку он опирается на изучение влияния отдельных факторов на динамику цен
финансовых инструментов в настоящем периоде и прогнозирование значений этих
факторов в будущем периоде. Так, полученные на его базе результаты позволяют
определить, как соотносится стоимость ценной бумаги эмитента с реальной
стоимостью активов, денежными поступлениями, и сделать прогноз дохода, который
определяет будущую стоимость ценной бумаги и, следовательно, может
воздействовать на ее цену. Исходя из этого делается вывод о целесообразности
инвестирования средств.
Технический анализ основывается на оценке
рыночной конъюнктуры и динамики курсов. Концепция технического анализа
предполагает, что все фундаментальные факторы суммируются и отражаются в
движении цен на фондовом рынке. Объектами изучения являются показатели спроса и
предложения ценных бумаг, динамика курсовой стоимости, общие тенденции движения
курсов ценных бумаг на фондовом рынке. Технический анализ базируется на
построений и исследовании графиков динамики отдельных показателей (как правило,
рыночных цен) в рассматриваемом периоде, нахождении определенной тенденции
(тренда) и ее экстраполировании на перспективу.
Изучение динамики курсов позволяет определить
моменты, когда целесообразно производить покупку или продажу ценной бумаги, а
также примерно оценить темпы изменения и прирост курсовой стоимости.
Для оценки динамики курсов акций в рамках
технического анализа используются индексы фондового рынка. В мировой практике
хорошо известны основные индексы и отработаны приемы их учета при принятии
инвестиционных решений. К наиболее известным индексам фондового рынка
относятся: в США - индексы Доу Джонса и "Стандарт энд Пурз", в Японии
- индекс "Никкей", в Великобритании - индексы "Футси".
Фондовые индексы рассчитываются на основе
средней арифметической или средневзвешенной курсовой стоимости акций по
крупнейшим компаниям. Так, индекс Доу Джонса определяется как средняя
арифметическая ежедневных котировок акций 30 крупнейших корпораций на момент
закрытия биржи.
В России вследствие относительной неразвитости
рынка ценных бумаг, недостаточности информации и ее низкого качества
достоверность созданных индексов пока недостаточна. Основным индексом
отечественного фондового рынка является индекс Российской торговой системы -
индекс РТС.
Одним из способов предоставления информации для
инвесторов на развитых фондовых рынках является рейтинговая оценка акций и
облигаций. Среди десятков рейтинговых агентств, известных в мире, доминирующими
, являются четыре: американские агентства - "Moody's Investor Service,
Inc.", "Standard & Poor's Corporation" (S & P), "Duff&
Phelps Credit Rating Co." (DCR) и "Fitch IBSA", возникшее в
результате слияния американской фирмы "Fitch Investors Service" и
английского агентства "International Bank Credit Analysis" (IBCA).
На основе анализа инвестиционных качеств ценной
бумаги специалисты рейтинговых агентств присваивают ценной бумаге
соответствующую категорию.
При анализе инвестиционных качеств фондовых
инструментов следует учитывать, что нельзя найти такой вид ценных бумаг,
который бы устраивал потенциального инвестора по всем параметрам (задача
"магического треугольника").
Так, инвестиционные различия ценных бумаг по
виду получаемого дохода по ним связаны с возможностью получения дохода в виде
фиксированных процентных платежей, плавающей ставки ссудного процента, выигрыша
по займу, дисконта при покупке ценной бумаги, дивиденда, разницы курсовой
стоимости при продаже и т. д.
Всю совокупность подходов к оценке стоимости
ценных бумаг можно условно разделить на основные группы:
. Подходы, основанные на анализе ценных бумаг
как объекта имущества, обладающего полезностью, и прав на него. К ним можно
отнести затратный, доходный и сравнительный подходы, использование которых для
профессиональных оценщиков определяется требованиями федерального
законодательства об оценочной деятельности в РФ и является обязательным.
Теоретической основой названных подходов
являются теории внутренней стоимости, накопления, замещения и другие.
. Подходы, основанные на аукционах, способах
размещения и организации внебиржевой торговли, а также анализе конъюнктуры
рынка ценных бумаг и прогнозировании изменения цен в будущем исходя из прошлого
опыта. К ним относятся подходы текущего ценообразования (котировок), подходы на
базе технического, фундаментального анализа, реализуемые эмитентами,
инвесторами, профессиональными посредниками, аналитиками в процессе
осуществления своей деятельности на рынке ценных бумаг. Теоретической основой
этих подходов являются теории спроса и предложения, предельной полезности,
конкуренции, рефлексивности, асимметричности информации и др.
. Подходы, основанные на осуществлении
регламентов ведения бухгалтерского учета финансовых вложений в компании,
контроле над соблюдением порядка налогообложения операций с ценными бумагами
исходя из требований Налогового кодекса РФ. К ним можно отнести соответственно
бухгалтерский и налоговый подходы.
Остановимся кратко на содержании этих подходов.
Доходный подход считается наиболее
распространенным при оценке ценных бумаг, поскольку многих инвесторов
интересует стоимость будущих доходов от использования этого имущества (ценной
бумаги). При реализации доходного подхода обычно используют методы
капитализации прибыли, дисконтирования денежных потоков (доходов).
Сравнительный подход предполагает наличие на рынке достаточного числа аналогов,
которые по большинству инвестиционных качеств (ликвидность, доходность, риск и
др.) сопоставимы с оцениваемыми ценными бумагами. Определив стандартные размеры
конкретных характеристик сопоставимых единиц (объектов) оценки, оценщик
впоследствии определяет стоимость оцениваемой ценной бумаги посредством
необходимых корректировок, производимых в стоимостном либо процентном выражении
по отношению к базисной величине стоимости.
Затратный подход чаще применяется к оценке
стоимости акций. Он рассматривает АО как имущественный комплекс, в состав
которого входят все виды имущества (земля, здания, оборудование, сырье, деловая
репутация и т. д. и т. п.). Сначала оцениваются и суммируются все активы
акционерной компании (нематериальные активы, здания, машины, оборудование,
запасы, дебиторская задолженность, финансовые вложения и т. д.), далее, вычитая
из полученной суммы текущую стоимость ее обязательств, определяют стоимость
полного пакета акций АО. В затратном подходе реализуется принцип замещения,
выражающийся в том, что покупатель не заплатит за готовый объект оценки больше,
чем за создаваемый объект той же полезности. Основное преимущество данного
подхода состоит в том, что он основан на достоверной фактической информации о
состоянии имущественного комплекса АО, а основной недостаток - в том, что он не
учитывает будущие возможности АО в получении чистого дохода. Однако, несмотря
на этот недостаток, затратный подход иногда может быть более востребованным по
сравнению с доходным и сравнительным подходами, если их применимость ограничена
из-за отсутствия достоверной информации.
Что касается подходов к ценообразованию,
осуществляемых профессиональными участниками фондового рынка, то они могут быть
различными на первичном и вторичном, биржевом и внебиржевом рынках, в системе
электронной торговли и торговли ценными бумагами с участием маклера.
Если абстрагироваться от действия
макроэкономических факторов, можно отметить, что на первичном рынке на цену
бумаги влияют, прежде всего, ее инвестиционные характеристики и специфика
эмитента. К инвестиционным характеристикам ценной бумаги можно отнести ее тип,
вид, срок обращения (для облигаций и векселей), предполагаемую доходность,
доступность для инвесторов и т. п. Специфика эмитента определяется качеством
управления, размером денежных потоков, кредитной историей, рейтингом, деловой
репутацией, отраслевой принадлежностью, географическим положением и т. п.
Определенное влияние на ценообразование на первичном рынке оказывает выбор
эмитентом совместно с андеррайтером способа размещения ценных бумаг
(биржевой/внебиржевой) и методов его реализации.
На первичном рынке важное значение имеют также
такие группы факторов, как факторы спроса и предложения, факторы издержек и
факторы конкуренции. Среди факторов спроса и предложения можно выделить емкость
рынка, величину отложенного спроса, психологические ожидания и предпочтения
инвесторов, а также своевременность объема и времени предложения ценных бумаг.
К факторам издержек относятся эмиссионные затраты эмитента, маркетинговые
издержки, оплата услуг финансовых посредников и действующая система
налогообложения. Основным фактором конкуренции является возможность
альтернативного инвестирования, т. е. разнообразие и доступность для инвесторов
различных фондовых операций, количество сходных по инвестиционным
характеристикам ценных бумаг и сложившийся уровень цен на них.
На вторичном рынке на курсы ценных бумаг
продолжают оказывать влияние факторы, связанные с финансовым состоянием
эмитента и перспективами развития его бизнеса, доходностью вложений в ценные
бумаги, инвестиционным риском, налогообложением операций с ценными бумагами и
т.д.
Однако специфическими для данного рынка
факторами ценообразования можно считать объемы торговли, спекулятивный фактор,
ликвидность, техническую оснащенность торговли, своевременность и полноту
поступления информации об эмитенте, включение ценных бумаг в биржевой
котировальный список и т.п.
Фундаментальный и технический анализ относятся
также к основным концептуальным подходам оценки стоимости ценных бумаг. Эти
подходы используются традиционно инвесторами для прогнозирования курсов ценных
бумаг, однако их целевые установки и используемые методы различаются.
Фундаментальный анализ основан на изучении мировой экономики,
макроэкономической ситуации в стране, состояния отраслей, положения в отрасли
отдельных компаний-эмитентов ценных бумаг. Его основными целями являются
определение инвестиционной привлекательности отраслей и отдельных компаний, оценка
реального курса ценных бумаг, уровня их переоцененности или недооцененности
участниками рынка, выбор конкретных ценных бумаг для инвестиций. В свою
очередь, технический анализ с помощью графиков и аналитических показателей за
предыдущие периоды времени позволяет инвесторам и их трейдерам спрогнозировать
курсы ценных бумаг с тем, чтобы определить наиболее благоприятные для них
моменты покупки/продажи этих ценных бумаг.
В настоящее время все большее распространение
получает межрыночный анализ, который используется в дополнение к
фундаментальному анализу. Межрыночный анализ обеспечивает прогнозирование цен с
учетом корреляционных связей между различными сегментами финансового рынка:
рынками акций, облигаций, валют, товаров, рынками их деривативов, паев ПИФ,
кредитными рынками развитых и фондовыми рынками развивающихся стран, рынками
различных регионов мира.
Рынок срочных финансовых инструментов (репо,
форвардов, опционов, фьючерсов, свопов и др.), наряду с использованием
традиционных, отличается применением особых подходов к формированию цены на эти
инструменты. Так, например, в оценке стоимости опционов широко используется
математический подход, позволяющий с высокой степенью вероятности определить
цену опциона, которая рассматривается как функция цены базового актива, цены
страйк (цены исполнения), времени до истечения опциона, ценовой неустойчивости
базового актива (волатильности), уровня доходности базового актива, уровня
рыночных процентных ставок. При этом следует отметить, что подходы опционного
ценообразования могут быть использованы для оценки любого актива, имеющего
опционные характеристики. Таким активом могут быть акции, которые оцениваются
как колл-опцион на активы АО, активы природных ресурсов, патенты.
Инвесторы, эмитенты и профессиональные участники
рынка ценных бумаг в своих расчетах реальной рыночной стоимости ценных бумаг
обычно опираются на несколько подходов, доступных для использования. Для
профессиональных оценщиков комплексное использование затратного, доходного и
сравнительного подходов регламентировано законодательством в области оценочной
деятельности. Большому разнообразию видов ценных бумаг и их стоимости
соответствуют различные подходы. Биржевое ценообразование отличается от
эмиссионного. Ценообразование на активно котируемые ценные бумаги и
некотируемые ценные бумаги также различается. Выбор подходов и конкретных
методов оценки стоимости ценных бумаг, а также построение схемы процесса
формирования стоимости определяется профессиональными знаниями, опытом и
предпочтениями эксперта (аналитика, оценщика).
Формирование стоимости ценных бумаг в
бухгалтерском учете и отчетности компании основано на соблюдении бухгалтером
ПБУ "Учет финансовый вложений" (ПБУ №19/02), ПБУ №4/99
"Бухгалтерская отчетность организации". В банках и других финансово-кредитных
организациях методологическую основу отражения в учете и отчетности стоимости
ценных бумаг составляют отраслевые нормативные акты, МСФО. Так как все
хозяйственные операции, проводимые компанией, должны оформляться
оправдательными документами, служащими первичными учетными документами, на
основании которых ведется бухгалтерский учет, то основанием для отражения на
счетах учета финансовых вложений должны являться первичные документы,
подтверждающие переход права собственности на ценные бумаги.
Как правило, ценные бумаги принимаются к
бухгалтерскому учету по первоначальной стоимости, которая включает сумму,
уплаченную в соответствии с договором, и суммы расходов, непосредственно
связанных с приобретением этих бумаг, включая НДС. Налоговый кодекс РФ не
апеллирует термином "стоимость ценной бумаги", однако формулирует
понятие рыночной котировки ценной бумаги, порядок определения первоначальной
стоимости ценных бумаг для целей налогообложения, операций с ними.
. Обоснование численности работников предприятия
(на примере конкретного предприятия)
Лонг-Юганское ЛПУМГ было образовано в результате
преобразования станции подземного хранения газа и является филиалом ООО
"Газпром трансгаз Югорск".
Основным видом деятельности Лонг-Юганского ЛПУМГ
является транспортировка и добыча газа, транспортировка конденсата и продуктов
переработки, снабжение газом (конденсатом) потребителей на участке
трубопроводов, обслуживаемых Лонг-Юганского ЛПУ МГ.
Таблица 1
Анализ движения численности работников
Лонг-Юганского ЛПУМГ в 2011-2012 гг.
|
Период
|
Всего
человек по списку
|
Принято
чел.
|
Выбыло
человек
|
Оборот
по приему
|
Оборот
по выбытию
|
Коэффициент
замещения
|
Коэффициент
текучести кадров
|
Средний
возраст работников, лет
|
|
2011
год
|
479
|
2
|
13
|
0,4
|
2,7
|
-2,3
|
2,7
|
43
|
|
2012
год
|
468
|
3
|
2
|
0,6
|
0,4
|
0,2
|
0,4
|
40
|
|
Отклонение
2012 к 2011 году
|
-11
|
1
|
-11
|
0,2
|
-2,3
|
2,5
|
-2,3
|
-3
|
При планировании труда на транспорте газа
различают две группы работников: персонал основной деятельности и персонал
организаций непромышленного характера, состоящих на балансе Лонг-Юганского
ЛПУМГ.
Таблица 2
Показатели производственной программы ЛПУМГ по
транспортировке и поставкам газа
|
№№п/п
|
Показатели
|
Периоды
|
Отклонение
|
|
|
База
|
План
|
абсолютное
|
%
|
|
1.
|
Годовой
объем поступления, млн. м3
|
16936
|
20542,8
|
+3606,8
|
+21,3
|
Расход
газа на собственные нужды, млн. м3
|
1125,83
|
1484,53
|
+3588,7
|
+31,9
|
|
3.
|
Потери
газа, млн. м3
|
169,36
|
164,34
|
-5,02
|
-2,96
|
|
4.
|
Объем
транспортируемого газа, млн. м3
|
15640,81
|
18893,93
|
+3253,12
|
+20,8
|
|
5.
|
Объем
активного газа СПХГ, млн. м3
|
7,33
|
291,17
|
+283,84
|
+3872
|
|
6.
|
Закачка
газа в СПХГ, млн. м3
|
4,4
|
203,82
|
+199,42
|
+4532,3
|
|
7.
|
Отбор
газа из СПХГ, млн. м3
|
5,13
|
174,7
|
+169,57
|
+3305,4
|
|
8.
|
Объем
товарного газа, млн. м3
|
15641,54
|
18864,81
|
+3223,27
|
+20,6
|
|
В
т. ч. по потребителям П1
|
1000
|
1000
|
0
|
0
|
|
П2
|
1470,81
|
4723,93
|
+3253,12
|
+221,2
|
|
П3
|
13170
|
13170
|
0
|
0
|
|
9.
|
Объем
товарной продукции, млн. руб.
|
2933,478
|
3453,974
|
+520,496
|
+17,7
|
|
10.
|
Объем
реализованной продукции, млн. руб.
|
2906,32
|
3426,82
|
+520,5
|
+17,9
|
|
11.
|
Коэффициент
сезонной неравномерности
|
2,1
|
2,1
|
0
|
0
|
|
П2
|
2,084
|
1,983
|
-0,01
|
-5,1
|
|
П3
|
1,05
|
1,05
|
0
|
0
|
|
12.
|
Величина
сезонной неравномерности
|
1,107
|
1,104
|
-0,003
|
-0,27
|
|
в
т. ч. по потребителям П1
|
0,5
|
0,5
|
0
|
0
|
|
П2
|
0,5
|
0,497
|
-0,003
|
-0,6
|
|
П3
|
0,107
|
0,107
|
0
|
0
|
|
13.
|
Стоимость
основных производственных фондов
|
3088,2
|
3441,8
|
+353,6
|
+11,5
|
|
14.
|
Фондоотдача
основных производственных фондов по объему транспортируемого газа, м3/руб.
|
5,06
|
5,49
|
+0,43
|
+1,08
|
|
15.
|
Протяженность
газопровода в однониточном исчислении, км.
|
1730
|
1850
|
+120
|
+6,94
|
Из таблицы видно, что ввод новых КС и новой
линейной части увеличивает объём поступления газа на 21,3%, что приводит к
увеличению объёма товарного газа на 20,6% и объёма реализованной продукции на
17,9% а также к снижению потерь газа в процессе транспорта на 2,96%. Всё это
является положительным фактором развития ЛПУМГ.
Плановое количество работников устанавливается в
соответствии с действующими нормативами, планируемым вводом в действие новых
производственных мощностей, снижением трудоемкости обслуживания сооружений
газопровода в результате внедрения мероприятий по росту производительности
труда.
Численность специалистов и служащих планируется,
исходя из утвержденных штатных расписаний, составленных в соответствии с
действующими типовыми структурами и нормативами для данной категории
работников.
Суммарная численность
промышленно-производственного персонала (
), устанавливается расчетом по
категориям работников не должна превышать численности, рассчитанной в
соответствии с установленным для предприятия объемом транспортируемого газа и
запланированным ростом производительности труда.
(1)
где Qпл - объем транспорта газа в
плановом году, млн. м3;
Пб - производительность труда одного
работника, занятого в транспорте газа в базовом году, 1000 м3/чел;
DПТ
- задание по росту производительности труда в планируемом году, %.
Расчет общей плановой численности работников
предприятия транспорта газа осуществляется на основе численности работников в
базовом периоде и прироста численности по вновь вводимым объектам в планируемом
периоде:
(2)
Прирост общей численности в плановом
периоде (
)
определяется детальным расчетом по каждому вновь вводимому объекту с
сохранением структурного соотношения между категориями работников
газотранспортного предприятия базового периода.
Прирост численности по вновь вводимым объектам в
плановом периоде рассчитывается на основе заданных по каждому варианту новых
норм обслуживания и норм численности по вводимым объектам.
Ввод линейной части газопровода 3-4 вместе с
КС-3 приводит к росту численности ППП, которую можно определить по формуле с
корректировкой на коэффициент b:
(3)
где Т - трудоемкость обслуживания 100 км вновь
вводимой линейной части газопровода, чел/100 км;
DL - длина новой ветки газопровода, км;
b
- доля времени работы нового объекта в плановом периоде: 
Ввод компрессорных станций КС-5 и КС-7 приводит
к росту только рабочих, численность которых определяется по формуле:
(4)
где Нч - норма численности рабочих
на одну вахту на 1000 кВт установленной мощности КС, чел/1000 квт;
А - суммарная установленная мощность
вновь вводимых КС, квт/1000;
Псм - сменность выполнения работ,
определяется из расчета 3-х сменного 4-х бригадного графика;
Кпер - переходный коэффициент от
явочной численности к списочной, равный отношению календарного фонда к
эффективному фонду рабочего времени, определенному на основе баланса рабочего
времени.
Суммарная численность
промышленно-производственного персонала в планируемом году определяем по
формуле (1):
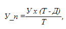
По формуле (5) найдём изменение
производительности труда в зависимости от изменения объема транспортируемого
газа:
(5)
где Qб - объем транспорта газа в базовом году,
млн. м3;пл - объем транспорта газа в плановом году, млн. м3;
- планируемая численность
работников, занятых в транспорте газа, чел.
По формуле (6) найдём изменение
производительности труда в зависимости от изменения численности ППП:
(6)
где
и
- численность работников, занятых в
транспорте газа в базовом и плановом годах, чел.
Увеличение объема транспортного газа в
планируемом году приводит к увеличению производительности труда на 4,19
млн.м3/чел.
Изменение численности работников в плановом году
на 96 человек приводит к снижению производительности труда на 3,67 млн.м3/чел.
Подставляя значения в формулу (3), мы найдём
рост численности ППП вводимой в эксплуатацию КС-3 и соответствующей ей линейной
части (3- 4), при этом мы получим:
в том числе:
рабочих: 69%×31= 21 чел.;
специалистов: 25%×31=8 чел.;
руководителей: 2%×31=1 чел.;
служащих: 4%×31=1 чел.
|
Категория
персонала
|
план
|
|
Руководители
|
+1
|
|
Специалисты
|
+8
|
|
Служащие
|
+1
|
|
Рабочие
|
+21
|
Подставляя значения в формулу (4), мы получим
расчётный рост численности рабочих на вводимых в эксплуатацию КС - 5 и КС - 7:
,
Прирост общей численности в плановом
периоде определяется детальным расчётом по каждому вновь вводимому объекту с
сохранением структурного соотношения между категориями работников
газотранспортного предприятия базового периода.
Расчёт общей плановой численности
предприятия транспорта газа определяется по формуле (3)
Наёдём точное число рабочих, которые
будут работать на вводимых в эксплуатацию КС - 5 и КС - 7 в плановом году (
):
чел.
Так как полученная расчетная
численность (898 чел.) превышает лимит численности, учитывающий задание по
росту производительности труда (777 чел.) на 121 человека, то необходимо
предусмотреть мероприятия по её сокращению и доведению до величины,
соответствующей заданию по росту производительности труда.
Мероприятия по сокращению и
доведению численности до величины, соответствующей заданию по росту
производительности труда:
1. Предоставить вакантные места на других
предприятиях, на основании заключённых договоров;
2. Переучить другой профессии, и
предоставить вакантные места на других предприятиях, на основании заключённых
договоров;
. Поставить на учёт в центр занятости.
Список литературы
1. Бердникова
Т.Б. Оценка ценных бумаг: Учебное пособие. - М.: ИНФРА-М, 2013.
2. Боди
З., Кейн А., Маркус А. Принципы инвестиций. - 4-е изд.: Пер. с англ. - М.: Изд.
дом "Вильямс", 2008.
. Бренц
А.Д., Колядов Л.В. и др. Экономика транспорта и хранения нефти и газа. - М.:
Недра, 1989г.
. Есипов
В., Маховикова Г., Терехова В. Оценка бизнеса. - СПб.: Питер, 2001.
. Никифорова
В.Д. Рынок ценных бумаг: Учебное пособие. - СПб.: Изд-во СПбГУЭФ, 2010.
. Сычева
Р.В., Алексеев Д.А. "Организация, планирование и управление производством
в магистральном трубопроводном транспорте": Учебное пособие. - Ухта: 2004.
- 113 с.
7. Фурман
И.Я. Экономика магистрального транспорта газа. М.: Недра, 2008, с. 271.