Организация производства в ООО 'Металлснаб'

  • Вид работы:
    Отчет по практике
  • Предмет:
    Эктеория
  • Язык:
    Русский
    ,
    Формат файла:
    MS Word
    192,9 Кб
  • Опубликовано:
    2015-04-08
Вы можете узнать стоимость помощи в написании студенческой работы.
Помощь в написании работы, которую точно примут!

Организация производства в ООО 'Металлснаб'

СОДЕРЖАНИЕ

ВВЕДЕНИЕ

.ТЕОРЕТИЧЕСКИЕ ОСНОВЫ ОРГАНИЗАЦИИ ПРОИЗВОДСТВА

1.1 Типы производства и их особенности

.2 Организационные этапы производственного процесса

2. ОРГАНИЗАЦИЯ ПРОИЗВОДСТВА В ООО «Металлснаб»

2.1 Краткая характеристика предприятия

.2 Организация производственного процесса в ООО «Металлснаб»

3. ОСНОВНЫЕ ПАРАМЕТРЫ ПРОИЗВОДСТВЕННОЙ ПРОГРАММЫ ООО «МЕТАЛЛСНАБ»

3.1 Расчет производственных мощностей

.2 Расчет производственной программы

Заключение

Список использованной литературы

 

ВВЕДЕНИЕ


Актуальность темы исследования обусловлена определением организационной деятельности как важнейшего инструмента обеспечения эффективного функционирования и развития предприятия.

Являясь функцией общественного труда, указанная деятельность лежит в основе всех трудовых процессов хозяйствующего субъекта, и сама может при этом характеризоваться в качестве одного из этих процессов. Применимо к пониманию организационной деятельности как процесса может быть построена ее общая модель, которая пригодна для использования ее в практических целях.

Общий характер этой модели следует подчеркнуть именно потому, что конкретные условия хозяйствующего субъекта являются разнородными и специфичными, и, соответственно, даже детальное расширение самой сущности организационного процесса, а также описание отдельных его фаз, не освобождают руководителя от необходимости соответственной адаптации этого процесса к конкретным условиям.

Неизбежно при этом, что одна и та же организационная проблема будет решаться по-разному в рамках определенных систем при их расхождении в материальных условиях самого функционирования этих систем и положения имеющейся рабочей силы.

Предметом исследования данной работы выступает производственный менеджмент.

Объект исследования: организация производственного процесса хозяйствующего субъекта.

Целью работы является исследование организации производственного процесса с теоретической и практической точки зрения.

Для достижения данной цели поставлены следующие задачи:

-  определить типы производства и их особенности;

-       выявить основные этапы производственного процесса;

-       исследовать организацию производства в ООО «Металлснаб»;

-       рассчитать основные параметры производственной программы предприятия.

Структура работы: введение, 3 главы, заключение, список использованной литературы.

Во введении определена актуальность темы исследования, заявлены предмет и объект исследования, а также цель и поставленные для ее достижения задачи.

В первой главе представлены теоретические основы организации производства.

Во второй главе раскрыты основы организации производственного процесса в ООО «Металлснаб».

В третьей главе определены основные параметры производственной программы ООО «Металлснаб».

В заключении сформулированы основные выводы по проведенному исследованию.

1. ТЕОРЕТИЧЕСКИЕ ОСНОВЫ ОРГАНИЗАЦИИ ПРОИЗВОДСТВА


1.1 Типы производства и их особенности


В общем объеме производственных процессов выделяются три вида производства, относящиеся к основным[1]:

1) единичное производство, которое характеризуется как разнообразной, так и непостоянной номенклатурой различной продукции, изготавливаемой индивидуальном порядке либо в незначительном количестве по разовым заказам (отдельным). Указанное обстоятельство обусловливает частую сменяемость производственных процессов. Рабочие места на предприятиях, осуществляемых единичное производство, приспосабливаются для выполнения самых разнообразных требуемых производственных операций, при этом применяется универсальное оборудование, а сама производимая продукция, а также выполняемая работа, имеет достаточно высокую как общую себестоимость, так и трудоёмкость.

Продукция при серийном производстве выпускается сериями, которые периодически повторяются. В каждую серию при этом включается однородная продукция. В зависимости от объема серии различаются такие производства, как крупносерийные, среднесерийные и мелкосерийные.

Рабочие места, организованные на предприятии, осуществляющем серийное производство, являются специализированными. Указанный тип производства соответственно имеет технико-экономические показатели более высокие, чем при единичном производстве;

) предприятия, осуществляющие массовое производство, выпускают такую продукцию, которое носит узко ограниченный характер, но при этом в значительном количестве. Данный тип производства определяется как производство с достаточно высокой стабильностью организованного производственного процесса, характеризующийся при этом узкой специализацией всех рабочих мест. Производство указанного типа определяется как наиболее современное, которое создаёт для автоматизации, а также механизации производственных процессов, наиболее максимальные возможности, и, соответственно, способствует достижению высоких показателей, - как технических, так и экономических.

Очень важной представляется и типизация также самих систем управления. В научной литературе в большой мере распространено определенное деление устанавливаемых систем управления на такие, как механистические и органические (как жесткие, так и мягкие, а также детерминированные и адаптивные).

Системы, которые основаны на достаточно глубокой регламентации устанавливаемых должностных требований, а также прав и, соответственно, обязанностей, направленных на достижение четко поставленных частных целей, являющихся составляющими той более общей задачи, которая поставлена в организации, и которая определена официально установленными этой организацией целями, - относятся к механистическому типу.

Подразделение, в котором весьма точно исполняются должностные либо другие предписания, а также широко применяются современная техника и методы НОТ (научной организации труда), в совокупности позволяющее в минимизировать конечном итоге как численность персонала, так и затраты на управление, считается работающим эффективно.

Системы управления указанного типа характеризуются строго иерархической структурой, которая построена либо по линейному, либо по линейно-штабному, а также по линейно-функциональному принципам. В этих системах управления преобладают такие составляющие, как

-  вертикальные потоки такой директивной информации, которая связана с отдачей различных приказов либо распоряжений;

-       жесткое контролирование исполнения;

-       тенденция к принятию решений централизованному.

Системы органического типа, в отличие от рассмотренных систем механистического типа, ориентируются на индивида, т. е. в первую очередь на подбор, а также воспитание кадров, которые обладают как политической зрелостью, так и высокой квалификацией профессиональной, а также большим творческим их потенциалом, при этом делается упор на создание определенных условий, способствующих максимальному «высвобождению» данного потенциала, а также на повышение этого потенциала и использования его для выполнения как сложных, так и новых задач.

Главным критерием, установленным для определения эффективности совокупности деятельности подразделений хозяйствующего субъекта, а также основным объектом контроля в данных системах является достижение конечных результатов.

В соответствии с вышесказанным, поощряется в этих системах инициативность, проявляемая сотрудниками в выявлении проблем и, соответственно, в определении вариантов и возможностей их решений. При этом к разработке и принятию требуемых решений в организации привлекаются сотрудники различных уровней установленной управленческой иерархии, а также широко применяются групповые, а также децентрализованные формы их (решений) принятия. В таких организациях либо в их частях, которые построены по указанным принципам, преобладают определенные горизонтальные потоки той информации, которая главным образом имеет не директивный характер, а носит проблемно-ориентированный аспект, является при этом научно-технической, а также связана с осуществлением различных экспертиз, разнообразных согласовании; характеризуются кооперацией различных подразделений хозяйствующего субъекта для решения имеющихся комплексных проблем.

Для рассматриваемых организаций характерным является применение программно-целевых форм их управления, а также матричных организационных структур. В данном случае степень регламентации различной деятельности сотрудников-исполнителей характеризуется как слабая, при этом роль сотрудников-руководителей можно определить как особенно значимой относительно создания условий, способствующих максимально продуктивному рабочему процессу подчиненных этим руководителям подразделений, а также в межфункциональной координации различных выполняемых работ. А относительно решения как текущих проблем, так и принятия конкретных единичных установок, которые возникают при повседневном их прямом руководстве сотрудниками исполнителями, - менее значимой. [3].

Следует отметить, что как механистический, так и органический типы рассмотренных систем управления в чистом виде существуют редко.

1.2 Основные этапы производственного процесса


В процессе хозяйственной деятельности при разработке различных проектов технического перевооружения, а также реконструкции либо проектирования нового для хозяйствующего субъекта производства возникает необходимость обеспечения высоких технико-экономических показателей производства. Здесь важным является условие, чтобы ко времени ввода в эксплуатацию этого нового производства по уровню автоматизации, а также по качеству, по общей себестоимости производимой продукции, по созданным условиям труда сотрудников и иным показателям указанное производство не уступало аналогичным ему производственным субъектам.

Построение необходимых технологических процессов, например, механической обработки, а также характер и, в том числе, состав технологического оборудования, определяемого особенностями изготовления продукции, в большей степени определяются типом этого производства. Следовательно, в начале проектирования указанного производства необходимо определить его тип, что можно выполнить, если нет конкретных данных, только ориентировочно.

В зависимости от уровня регулярности, а также стабильности и определенного объема производства изделий, тип этого производства является, таким образом, классификационной категорией.

Различные как технико-экономические, так и финансовые, а также социальные и иные процессы, которые протекают на предприятии, в основном можно разделить на следующие группы процессов:

использования уже имеющегося у хозяйствующего субъекта потенциала для обеспечения производства продукции, а также выполнения работ либо оказания услуг (то есть «производство»);

создания, а также наращивания и, в том числе, модернизации имеющегося потенциала данного предприятия («воспроизводство»);

процессы, способствующие созданию и развитию непосредственно воспроизводственной его базы (называемой «воспроизводство воспроизводства»).

Разнообразие имеющихся форм организации необходимых производственных потоков, которые осуществляются на предприятиях, в том числе и в промышленности, сформировано различием как условий, так и факторов, непосредственно влияющих на выбор предприятием формы организации этих потоков.

Так, на одних и тех же определенных производственных участках возможно использование различных форм непосредственно организации такого потока.

К формам указанной организации производственных потоков относятся:

-  режим, который может быть стабильным либо не стабильным;

-       движение используемых предметов труда: как прямоточное, так и непрямоточное; а также однорядное либо многорядное;

-       характер осуществляемого движения предметов труда относительно времени: либо непрерывный, либо прерывный;

-       само место расположения этих предметов труда, организованное при выполнении таких операции: либо на транспортирующем устройстве, либо нет;

-       способ запуска при многоассортиментном потоке;

-       способ применяемого размещения предметов труда, которое установлено на потоке производимой продукции от операции к операции: либо вручную, либо механизированный, осуществляемый с помощью какого-либо транспортирующего устройства.

Необходимо отметить, что сам тип транспортирующего устройства в меньшей мере определяет организационную форму потока.

Первичным звеном производственно-технологической структуры конкретного предприятия, в которой непосредственно осуществляется процесс определенного производства, а также его обслуживание и, соответственно, управление, является рабочее место.

Именно на рабочем месте происходит объединение трех основных элементов указанного процесса и, соответственно, достигается главная его цель, заключающаяся в производстве различных предметов труда, а также оказание услуг или технико-экономическое обеспечение непосредственно управление данными процессами. Эффективность использования как самого труда, так и орудий, а также средств производства, во многом зависит от того, как организованы необходимые для этого рабочие места, также как и производительность этого труда, в том числе и себестоимость производимой продукции, а также ее качество и многие иные экономические показатели, определяющие функционирование хозяйствующего субъекта.

Рабочее место, как правило, состоит из следующих элементов:

1   производственной площади;

2   приспособлений для безопасности и удобства работы

4   устройств для хранения материалов, заготовок, готовой продукции, отходов и брака;

5   устройства для хранения инструментов, оснастки и приспособлений;

6   подъемно-транспортных устройств;

Рабочее место определяется как закрепленная за отдельным рабочим либо группой рабочих та часть производственной площади, которая оснащена необходимым для производственной деятельности как технологическим, так и вспомогательным оборудованием, а также подъемно-транспортным оборудованием, разнообразной технологической и организационной оснасткой, которые предназначены для выполнения какой-либо определенной части самого производственного процесса.

Каждое из рабочих место имеет свои, присущие ему специфические особенности, которые определены особенностями организации конкретного производственного процесса, а также многообразием применяемых форм конкретного труда. При этом состояние рабочих мест, а также их организация определяют напрямую уровень организации труда на каждом предприятии. Организация рабочего места, кроме того, непосредственно формирует ту обстановку, в которой работник находится постоянно на данном производстве, что, в свою очередь, влияет как на его самочувствие, так и на настроение, а также на работоспособность и, в соответствии с этим - на производительность его труда.

Организация рабочего места представляет собой материальную основу, обеспечивающую эффективное использование оборудования и рабочей силы. Главной ее целью является обеспечение высококачественного и эффективного выполнения работы в установленные сроки на основе полного использования оборудования, рабочего времени, применения рациональных приемов и методов труда, создания комфортных условий труда, обеспечивающих длительное сохранение работоспособности работников. Для достижения этой цели к рабочему месту предъявляются технические, организационные, экономические и эргономические требования.

С технической стороны рабочее место должно быть оснащено прогрессивным оборудованием, необходимой технологической и организационной оснасткой, инструментом, контрольно-измерительными приборами, предусмотренными технологией, подъемно-транспортными средствами.

С организационной стороны имеющееся на рабочем месте оборудование должно быть рационально расположено в пределах рабочей зоны; найден вариант оптимального обслуживания рабочего места сырьем, материалами, заготовками, деталями, инструментом, ремонтом оборудования и оснастки, уборкой отходов; обеспечены безопасные и безвредные для здоровья рабочих условия труда.

С экономической стороны организация рабочего места должно обеспечить оптимальную занятость работников, максимально высокий уровень производительности труда и качество работы.

Эргономические требования имеют место при проектировании оборудования, технологической и организационной оснастки, планировке рабочего места.

Процессу труда работника, независимо от того, какие функции он выполняет, свойственны присущие ему закономерности, определяющие:

размещение работника в рабочей зоне;

положение рабочей зоны;

последовательность, количество и пространственную протяженность составляющих трудовой процесс трудовых движений;

последовательность вхождения человека в работу;

появление, наращивание и снижение утомляемости.

Правильная планировка должна предусматривать такое размещение работника в зоне рабочего места и такое расположение в ней предметов, используемых в процессе работы, которые бы обеспечили наиболее удобную рабочую позу; наиболее короткие и удобные зоны движения; наименее утомительные положения корпуса, рук, ног и головы при длительном повторении определенных движений.

Таким образом, задачи организации труда в области организации рабочих мест направлены на достижение рационального сочетания вещественных элементов производственного процесса и человека, обеспечение на этой основе высокой производительности и благоприятных условий труда.

2. ОРГАНИЗАЦИЯ ПРОИЗВОДСТВА В ООО «Металлснаб»


2.1 Краткая характеристика предприятия


ООО «Металлснаб» является поставщиком комплектующих изделий для продукции компании «Игробум-Новосибирск», которая занимается проектированием, производством и комплектацией детских игровых лабиринтов <#"820977.files/image001.jpg">

Рис. 2.1 - Комплектующие изделия ООО «Металлснаб» в детской площадке «Игробум-Новосибирск»

Детские спортивные площадки  <#"820977.files/image002.jpg">

Рис. 2.2 - Формы разделения и кооперации труда в ООО «Металлснаб»

Под рабочим местом понимается ограниченная часть территории (или пространства), оснащенная необходимыми орудиями и предметами труда, на которой совершается трудовая деятельность работника или группы, объединенной одним заданием.

Рабочее место считается первичным звеном структуры организации. Из рабочих мест формируются низовые подразделения, из которых, в свою очередь, формируются подразделения более высокого порядка, а из них еще более крупные подразделения и т. д.

Состояние рабочих мест, их организация напрямую определяют уровень организации труда. Кроме этого, организация рабочего места непосредственно формирует обстановку, в которой постоянно находится работник, что влияет на его самочувствие, настроение, работоспособность и в конечном итоге на производительность труда.

Рабочие места отличаются друг от друга по значительному количеству признаков и классифицируются следующим образом:

по функциям - рабочие места руководителей, специалистов, служащих, рабочих, младшего обслуживающего персонала, охраны и т. д.;

профессиональному признаку - рабочие места бухгалтера, экономиста по труду и т. д.;

виду деятельности - рабочие места основной и вспомогательной трудовой деятельности: например, рабочее место служащих - основной вид деятельности, рабочее место обслуживающего персонала - вспомогательный вид деятельности;

типу деятельности - рабочие места по выпуску массового, серийного и единичного продукта труда;

степени специализации - специализированные и универсальные рабочие места;

месту нахождения - рабочие места в помещении, на открытом воздухе;

числу исполнителей - индивидуальные и коллективные; 

числу смен;

степени подвижности - стационарные и передвижные;     

рабочему положению - сидя, стоя, переменному - сидя-стоя;   

условиям труда;

времени использования - постоянные и временные;

характеру использования - функционирующие, нефункционирующие, в том числе: вакантные, резервные, излишние.

Управление экономическими процессами организации, достижение высокого финансового результата, снижение затрат - первоочередные задачи, которые ставит перед собой организация, от верного выполнения которых напрямую зависит жизнеспособность хозяйствующего субъекта.

Организация производства - это комплекс мероприятий по эффективному сочетанию трудовых процессов с материальными элементами производства, осуществляемый в конкретных социально-экономических условиях в целях производства продукции с установленными качественными показателями при рациональном использовании ресурсов.

Организация производства охватывает все стадии изготовления продукции и носит системный характер.

производство мощность рабочее место

3. ОСНОВНЫЕ ПАРАМЕТРЫ ПРОИЗВОДСТВЕННОЙ ПРОГРАММЫ ООО «МЕТАЛЛСНАБ»


3.1 Расчет производственных мощностей


В рыночной экономике основным ограничением планируемых объемов производства товаров и услуг служит редкость ресурсов. Вследствие большой редкости экономических ресурсов и предела, и который они ставят перед всякой производственной деятельностью, объем производства на каждом предприятии ограничивается многими факторами. Для всех видов выпускаемых продуктов и применяемых ресурсов существует кривая производственных возможностей.

Конкретным выражением производственных возможностей каждого предприятия служит его производственная мощность. Она характеризует максимально возможный годовой объем выпуска продукции, работ и услуг в запланированной номенклатуре при полном использовании всех имеющихся экономических ресурсов на основе применения прогрессивной технологии, передовых форм и методов организации труда и производства.

Производственная мощность определяет уровень производства продукции, товаров и услуг, степень сдерживания объема выпуска или верхний предел продаж продукции. В конечном итоге производственная мощность означает способность предприятия производить свою продукцию в течение заданного периода рабочего времени. Верхний ее предел обусловлен наличием производственных площадей, технологического оборудования, трудовых ресурсов, материала и капитала. Производственная мощность может быть выражена в единицах продукции, массы товаров, линейных величинах, рублях, человеко-часах и других показателях. Принято различать теоретическую, практическую, нормальную и другие виды производственной мощности.

Теоретическая производственная мощность представляет собой объем хозяйственных операций, который может быть достигнут в идеальных условиях работы с минимально возможными отрицательными результатами. Это максимально возможный выход продукции, называемый паспортной производственной мощностью предприятия.

Практическая производственная мощность определяет наивысший уровень производства, который достигается при сохранении приемлемой степени эффективности с учетом допустимых или неизбежных потерь рабочего времени, связанных с ремонтом оборудования и режимом работы предприятия.

Нормальная производственная мощность характеризует средний уровень хозяйственной деятельности, достаточный для удовлетворения спроса на производимые предприятием товары и услуги в течение ряда лет с учетом сезонных и циклических колебаний спроса, тенденций его роста или сокращения.

Плановая производственная мощность соответствует годовой нормальной производственной мощности предприятия. В условиях рынка руководство предприятий и фирм может устанавливать в процессе текущего планирования верхний предел производственной мощности, принимая во внимание существующие технические, экономические и социальные факторы. Верхняя граница производственной мощности предприятия определяется на рынке внутренними, а не внешними факторами.

Планируемый годовой объём выпуска изделий на основе проведенных маркетинговых исследований и полученных предварительных заказов представлен в таблице 3.1.

Технологический процесс изготовления комплектов предусматривает станочные, слесарные, монтажно-сборочные, испытательные работы, а также технический контроль.

Таблица 3.1

Объем заказа (на год)

Номенклатура заказа

Комплект № 1 «ИК-50»

Комплект № 2 «ИК-60»

Кол-во, единиц

Кол-во, единиц

200

250


По первому и второму видам работ привлекаются работники 4 тарифного разряда, по третьему и пятому - третьего разряда, по четвертому - 5 разряда.

В общей сложности на изготовление комплекта «ИК-50» установлено 21 н/ч, в том числе на станочные операции - 1,8 н/ч, на слесарные - 2,4 н/ч, на сборочные работы - 4,3 н/ч, испытательные - 12 н/ч, а на технический контроль - 0,5 н/ч.

На изготовление комплекта «ИК-60» установлено 24,6 н/ч, в т.ч. по первой операции - 2,5 н/ч, по второй - 4 н/ч, по третьей - 5 н/ч, по четвертой - 12,5 н/ч, на технический контроль - 0,6 н/ч.

Для станочных работ установлен коэффициент выполнения норм 1,3, для контрольной операции - 0,5. На все остальные операции регламентирован коэффициент = 1.

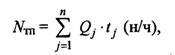
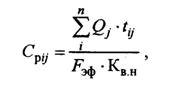
Количество требуемого для выполнения производственной программы станочного оборудования (Сpij), а также соответствующих и рабочих мест на ООО «Металлснаб» определяется соответствующей трудоемкостью работ, и рассчитывается как произведение годового объема выпуска конкретной продукции (Qj) на трудоемкость ее изготовления (tij ), деленное на произведение эффективного фонда времени работы оборудования за год (Fэф) и планируемого коэффициента выполнения норм (Кв.н.):

  (1)

Эффективный фонд времени (Fэф), рассчитываемый для работы используемого оборудования, учитывает количество рабочих дней за период (Fн), установленное время работы смены (tсм) и коэффициент (К) сменности (2 смены). Для технологических процессов предусмотрено время простоя оборудования, которое определяется в процентах (a) для каждого из процессов производства:

  (2)

В соответствии с указанными параметрами производственным планом предусмотрено для производства каждого из комплектов по 5 станков (для каждого из производственных процессов, указанных выше, - по 1 станку).


  (3)

  (4)

Основные параметры производственной программы ООО «Металлснаб» представлены в таблице 3.2.

Таблица 3.2

Производственная программа ООО «Металлснаб»

 

Комплект 1

Комплект 2

Трудоемкость единицы, н/ч

21,00

24,60

Годовой объём производства, шт

200

250

Производственная программа, н/ч

4200

6150


Таким образом, производственная программа предприятия, рассчитанная на производство 200 единиц комплектов № 1 предусматривает затраты времени 4200 н/ч; на производство 250 единиц комплектов № 2 установлено 6150 н/ч затрат времени.

В ООО «Металлснаб» для выполнения производственной программы требуется 28 сотрудников, из которых 67,86% - рабочие.

Рис. 3.1 - Структура кадров ООО «Металлснаб», %

В ООО «Металлснаб» установлена тарифная система оплаты труда, при которой оплата труда основных рабочих рассчитывается по сдельной форме оплаты труда, остальных сотрудников повременная.

В соответствии с установленными тарифами и повременной оплатой фонд оплаты труда персонала, получающего установленные повременные оклады, составляет 3178,5 тыс.руб.

Фонд оплаты труда основных рабочих учитывает выплаты в соответствии с разрядом, трудоемкостью работ по каждому из видов продукции, часовую тарифную ставку, а также количество произведенной продукции и доплаты.

Таким образом, ФОТ основных рабочих по комплекту № 1 составляет 413, 8 тыс. руб., по комплекту № 2 - 602,7 тыс. руб., что в общем итоге составляет 1 016, 5 тыс. руб.

Фонд оплаты труда вспомогательных рабочих также определяется разрядом выполняемых работ, но рассчитывается на основе часовой тарифной ставки.

Годовой ФОТ вспомогательных рабочих в совокупности составляет 785,3 тыс. руб.

Норма расхода материалов, установленная на единицу заказа, предусматривает различный их расход в соответствии с вариантом комплекта.

В соответствии с установленными нормами и ценой материалов, на производственную программу по комплекту № 1 требуется 4,2 тыс. руб., на комплект № 2 - 3,8 тыс. руб.

В совокупности по принятой в соответствии с предварительным заказом производственной программе в ООО «Металлснаб» бухгалтерией составляется калькуляция расходов на производство указанных комплектов.

Таблица 3.3

Калькуляция расходов на производство заказа ООО «Металлсеврис»

Показатели

Затраты, тыс. руб.


Комплект № 1

Комплект № 2


на 1 комплект

на общее количество

на 1 комплект

на общее количество

Расходы на материалы

4

836

4

938

Оплата труда основных рабочих (основная)

2

360

2

524

дополнительная

0,4

83

0,5

121

Отчисления во внебюджетные фонды, 30 %

0,7

133

0,8

194

Расходы накладные

29

5 784

34

8 424

Итого производственная себестоимость

36

7 195

41

10 201

5

1 079

6

1 530

Всего расходов ( себестоимость полная), в т.ч.

41

8 274

47

11 731

затраты постоянные

29

5 784

34

8 424

затраты переменные

13

2 491

13

3 306


В состав накладных расходов ООО «Металлснаб» включены:

• общепроизводственные расходы, которые связаны с организацией труда и управлением производства продукции;

• общехозяйственные, которые учитывают расходы по хозяйственному обслуживанию, а также по управлению ООО «Металлснаб».

В соответствии с правилами бухгалтерского учета затрат, накладные расходы на всю продукцию (по ее видам) распределяются пропорционально заработной плате, рассчитанной для основных рабочих.

Амортизационные отчисления по каждой группе основных средств рассчитываются в соответствии со сроком полезного использования, определяющим норму амортизации от балансовой стоимости ОС (линейный способ амортизации).

Таким образом, производственная программа ООО «Металлснаб», рассчитанная для организации выполнения заказа на плановый год, предусматривает производство комплектующих: 200 единиц по комплекту № 1 и 250 единиц по комплекту № 2.

Трудоемкость изготовления комплекта № 1 составляет 21 н/ч, комплекта № 2 - 24,6 н/ч.

Для осуществления производственной деятельности требуется производственная площадь 300 кв.м.; 10 станков; 28 человек персонала, из которых - 12 основных и 7 вспомогательных рабочих.

ЗАКЛЮЧЕНИЕ


Проведенное в первой главе работы исследование теоретических основ организации производства позволяет сделать вывод о том, что можно выделить три основных вида производства: единичное, серийное, массовое, каждое из которых имеет свои характерные особенности: единичное - разнообразной и непостоянной номенклатурой продукции; при серийном производстве продукция выпускается периодически повторяющимися сериями; предприятия массового производства выпускают продукцию узко ограниченного характера, но в большом количестве.

Тип производства является классификационной категорией в зависимости от регулярности, стабильности и объема выпуска изделий. Разнообразные технико-экономические, финансовые, социальные и другие процессы, протекающие на предприятии, можно разделить на три группы: использования имеющегося потенциала для производства продукции; создания, наращивания и модернизации потенциала предприятия; создание и развитие самой воспроизводственной базы предприятия.

Разнообразие форм организации производственных потоков на предприятиях промышленности обусловлено различием условий и факторов, влияющих на выбор формы организации потока.

Анализируемое во второй главе исследования предприятие - ООО «Металлснаб», является поставщиком комплектующих изделий для продукции компании «Игробум-Новосибирск» (игровые детские площадки).

После разделения и кооперации труда в организации важным элементом организации труда является организация рабочих мест.

Организация производства охватывает все стадии изготовления продукции и носит системный характер.

Проведенный в 3 главе исследования расчет основных параметров производственной программы в соответствии с плановыми заказами на производство комплектующих: 200 единиц по комплекту № 1 и 250 единиц по комплекту № 2, показал, что трудоемкость изготовления комплекта № 1 составляет 21 н/ч, комплекта № 2 - 24,6 н/ч. И для их выполнения ООО «Металлснаб» требуется производственная площадь 300 кв.м.; 10 станков; 28 человек персонала, из которых - 12 основных и 7 вспомогательных рабочих.

СПИСОК ИСПОЛЬЗОВАННОЙ ЛИТЕРАТУРЫ


1.             Ваханский, О.С. Менеджмент: Учебник. 3-е издание [Текст] / О.С. Ваханский, А.И. Надмов. - М.: Гардарин, 1998.

2.      Ершова, И.В. Совершенствование нормирования и оплаты труда как инструментов управления производительностью промышленного предприятия [Текст] / И.В. Ершова, Ю.Н. Маркова // Научный вестник Уральской академии государственной службы: политология, экономика, социология, право. - 2011. - № 14. - С. 75-80.

.        Мильнер, Б.З. Теория организации: Учебник [Текст]/ Б.З. Мильнер. - М.: ИНФРА-М, 2002.

.        Рыцкий, К.И. Экономика предприятия: Учебник для вузов [Текст] / К.И. Рыцкий. - М.: Маркетинг, 1999.

.        Сергеев, Н.В. Экономика предприятия, учебное пособие [Текст] / Н.В. Сергеев. - М.: Финансы и статистика, 2009.

.        Стародубцева, В.К. Экономика предприятия: Учебное пособие [Текст]/ Л.В. Решедько, О.А. Кислицына, Р.Г. Тишкова, Н.П. Бащук, В.А. Яцко. - Новосибирск: НГТУ, 2003.

.        Шуляк, П.Н. Ценообразование. Учебно-практическое пособие [Текст] / П.Н. Шуляк. - М.: Издательско-торговая корпорация Дашков и К0. - 2010.

.        Экономика организации (предприятия). Учебник / Под ред. Н.А. Сафронова. - М.: Экономисть, 2011.

.        Ермишин, П.Г. Основы экономической теории. [Электронный ресурс]: http://www.aup.ru/books/m63/8.htm.

.        Компания «Игробум-Новосибирск». [Электронный ресурс]: http://www.igroboom.ru/about/.

.        Медведева, С.А. Основы технической подготовки производства: Учебное пособие. - СПб: СПбГУ ИТМО, 2010.[Электронный ресурс]. chrome-extension://oemmndcbldboiebfnladdacbdfmadadm/http://www.aup.ru/files/m920/m920.pdf.

.        Микроэкономика. [Электронный ресурс]: http://www.grandars.ru/student/ekonomicheskaya-teoriya/tip-proizvodstva.html.

.        Организация производства [Электронный ресурс]: http://sergeeva-i.narod.ru/sou/page1.htm.

.        Типы, формы и методы организации производства [Электронный ресурс] : http://www.cfin.ru/management/manufact/prod_types.shtml.

.        Тюрина, А.Д. Теория производства: конспект лекций. [Электронный ресурс]: http://www.std72.ru/dir/ehkonomicheskaja_teorija_mikro_makro/mikroehkonomika_konspekt_lekcij_tjurina_a_d/lekcija_6_teorija_proizvodstva/117-1-0-1998.

Похожие работы на - Организация производства в ООО 'Металлснаб'

 

Не нашли материал для своей работы?
Поможем написать уникальную работу
Без плагиата!
Без нейросетей!