Организация товароснабжения розничной торговой сети
Оглавление
Введение
Глава
1. Организация товароснабжения розничной торговой сети
.1
Сущность и значение организации товароснабжения розничной торговой сети
.2
Формы товародвижения и факторы, влияющие на их выбор
.3
Организация доставки товаров в розничную торговую сеть
Глава
2. Исследование организации товароснабжения ООО "Адидас"
.1
Анализ показателей финансово-хозяйственной деятельности ООО Адидас
.1.1
Анализ материально-технической базы ООО "Адидас"
.1.2
Анализ прибыли и рентабельности ООО "Адидас"
.1.3
Анализ финансового положения ООО "Адидас"
.1.4
Экспресс-анализ имущественного положения ООО "Адидас"
.1.5
Анализ ликвидности и платежеспособности компании методом абсолютных разниц и с
помощью коэффициентного метода для ООО "Адидас"
.1.6
Анализ финансовой устойчивости ООО "Адидас"
.1.7
Анализ структуры товарооборота ООО "Адидас"
.1.8
Анализ товарных запасов ООО "Адидас"
.2
Анализ организации товароснабжения магазинов розничной сети ООО
"Адидас"
.3
Анализ системы организации поставок розничной сети ООО "Адидас"
Глава
3. Основные направления совершенствования организации товароснабжения на
примере ООО Адидас
.1
Совершенствование организации товароснабжения на основе систем управления
запасами
.2
Особенности функционирования распределительных центров в системе
товароснабжения розничных торговых сетей
Глава
4. Товароведная характеристика и экспертиза качества кофе натурального в зернах
.1
Товароведная характеристика кофе натурального в зернах
.1.1
Основные виды и ассортимент кофе
.1.2
Химический состав кофе
.1.3
Факторы, формирующие качество кофе
.1.4
Дефекты жареного кофе
.2
Экспертиза качества кофе натурального в зернах
.2.1
Органолептические показатели натурального кофе в зернах
.2.2
Физико-химические показатели и показатели безопасности
.2.3
Фальсификация и идентификация кофе
Заключение
Список
литературы
Приложение
Введение
В современных условиях сектор розничной торговли занимает значительное
место в экономике страны.
Розничная торговля - это торговля товарами и оказание услуг покупателям
для личного, семейного, домашнего использования, не связанного с
предпринимательской деятельностью. Основной задачей розничной торговли является
доведение товаров из сферы производства в сферу потребления, а значит
удовлетворение потребностей населения в товарах и услугах.
С каждым годом торговля как сфера деятельности развивается и расширяется,
возрастает количество торговых предприятий, увеличивается конкуренция. В связи
с этим, управление торговым предприятием является сложным и многогранным
процессом, требующим вложения усилий со всех сторон деятельности предприятия.
Для того, чтобы предприятие достигло коммерческого успеха, а его
товарооборот возрастал, важно, чтобы продаваемые товары соответствовали
рыночным требованиям и желаниям потребителей, и спрос населения удовлетворялся
своевременно.
Процесс доведения товаров от предприятий-изготовителей через точки продаж
розничных предприятий до потребителей называется товароснабжением. Он включает
не только физическое перемещение товаров из мест производства в места
потребления, но и все операции, связанные с их хранением, сортировкой и
подготовкой к продаже.
Для данной дипломной работы была выбрана тема "Организация
товароснабжения розничной торговой ети". Объектом исследования на практике
является Общество с ограниченной ответственностью "Адидас", один из
крупнейших ритейлеров спортивных товаров в России. ООО "Адидас" -
дочернее предприятие немецкой корпорации Adidas Group, ведущей торговую деятельность во всем мире.
Предметом исследования при написании работы послужил процесс организации
товароснабжения розничной торговой сети.
Актуальность темы работы определяется, прежде всего, необходимостью
бесперебойного обеспечения розничных предприятий товарными ресурсами, что в
свою очередь, требует четкой системы планирования снабжения, основанного на
определении потребности в товарах. Процесс товароснабжения напрямую влияет на
степень удовлетворения потребностей населения за счет обеспечения полноты и
стабильности ассортимента, а также на коммерческий успех предприятий розничной
торговли, достигаемый путем высокой прибыли от продаж.
Целью данной дипломной работы является: исследование процессов
товароснабжения розничной торговой сети и особенностей его организации в
современных условиях хозяйствования.
Для реализации поставленной цели в работе решены следующие задачи:
· изучить теоретические основы товароснабжения;
· проанализировать система товароснабжения в розничной сети
компании ООО "Адидас";
· определить основные недостатки организации товароснабжения
ООО "Адидас", даны рекомендации по совершенствованию систем
товароснабжения, а также дать оценку эффективности рекомендованных мероприятий.
Информационная база работы включает учебную и научную литературу по теме
товароснабжения, данные бухгалтерской и финансовой отчетности ООО "Адидас",
материалы предприятия об организации процессов товароснабжения, а также
специальная нормативная литература.
Глава 1.
Организация товароснабжения розничной торговой сети
.1
Сущность и значение организации товароснабжения розничной торговой сети
Розничная торговля - торговля товарами и оказание услуг покупателям для
личного, семейного, домашнего использования, не связанного с
предпринимательской деятельностью.
В современной торговле рациональное товароснабжение розничных торговых
предприятий является основной предпосылкой доведения товаров от производства до
потребления, удовлетворения спроса населения и реализации товаров. Обоснование
значения организации товароснабжения розничной торговой сети требует
рассмотрения основных понятий товароснабжения, функций, форм и т.д.
Товароснабжение - система мероприятий по доведению товаров от
производителя до мест продажи или потребления. (ГОСТ Р 51303-99 Торговля.
Термины и определения).
Необходимо следовать рациональной организации
товароснабжения на розничных торговых предприятиях для обеспечения оптимального
уровня товарных запасов, полноты и устойчивости ассортимента, высоких
финансовых показателей работы торговых предприятий, а также удовлетворения
спроса населения,
При организации мероприятий по товароснабжению
розничных предприятии необходимо следующие основные требования:
• источники и наиболее выгодные для конкретного
предприятия розничной торговли формы товароснабжения, которые будут рассмотрены
далее, должны определяться с учетом объема выпускаемых товаров, его
ассортимента, а также территориальной удаленности от снабжаемых розничных
предприятий;
• спрос населения, а также установленные для
конкретных магазинов ассортиментные перечни - необходимые условия для
соблюдения актуальности завозимого товара;
• необходимый для магазина объем завозимых товаров
должен определяться типом торгового предприятия, его размерами, мощностью,
наличием соответствующего торгово-технологического оборудования, а также
уровнем товарооборота.
• величина разовой партии товаров, доставляемой в
магазин, должна рассчитываться с соблюдением данных о товарных запасах,
имеющихся на предприятии на момент доставки, объеме среднедневной реализации с
учетом сезонности, а также установленной периодичности завоза;
• должны быть обеспечены минимальные издержки по
завозу и хранению товаров, для этого нужно рационально и четко разрабатывать
всю систему товароснабжения.
Говоря в целом о товароснабжении именно сетевых розничных предприятий,
следует отметить, что развитие системы товароснабжения напрямую зависит от
широко развивающейся в последние годы сетевой розничной торговли. Создание
торговых сетей - один из методов управления торговым капиталом, позволяющий
получать экономию от масштаба деятельности в розничной торговле. [21, c.10]
Применение сетевых технологий позволяет получать конкурентные
преимущества за счет максимизации выручки, получения ценовых скидок на оптовые
закупки продукции у производителей и предложения собственных торговых марок.
Исследования показали, что в стоимости продукта, попавшего к конечному
потребителю, более 70% составляют расходы, связанные с хранением,
транспортировкой, упаковкой, поддержанием товарно-материальных запасов,
получением, отгрузкой товаров, административными расходами, расходами по
обработке заказов и прочими операциями, обеспечивающими продвижение
материального потока. Поэтому современный процесс товародвижения должен
основываться на соответствующей подготовке товаров к продаже путем их фасовки,
упаковки и комплектования необходимого ассортимента. Эти операции целесообразно
осуществлять в производстве или оптовых базах, чтобы максимально освободить
магазины от несвойственных им функций.
По мнению экспертов, рациональная организация товароснабжения позволяет
снизить уровень запасов на 30-50%, сократить время движения товаров на 25-45%,
повторные складские перевозки - в 1,5-2 раза, снизить расходы на автоперевозки
и железнодорожные перевозки.
Выявлено, что сокращение издержек на 1% соответствует почти 10%
увеличения объема продаж. [11, c.38]
В качестве примера можно рассмотреть компанию Wall-Mart,
в которой все расходы на товароснабжение составляют 1,5% от оборота. Для этой
розничной сети сокращение издержек всего на 0,1% приведет к дополнительной
ежегодной прибыли в размере, превышающем сотни миллионов долларов. [22, c.10]
Рис.
1.1 Принципы товароснабжения
Рассмотрим основные принципы, на которых должна основываться организация
товароснабжения предприятий розничной сети (рис. 1):
• планомерность;
Завоз товаров в магазины должен осуществляться на
основе плановых графиков с учетом их ассортиментного профиля.
• ритмичность (завоз товаров через относительно
одинаковые промежутки времени);
Ритмичность способствует ускорению оборачиваемости
товаров, созданию товарных запасов, необходимых для обеспечения бесперебойной
работы на случай нарушения сроков завоза, исключает образование излишних
товарных запасов. Также ритмичность обеспечивает оптимальные условия для работы
складов, оптовых баз и транспортных предприятий, позволяет более производительно
использовать рабочую силу. При ритмичном товароснабжении рациональнее
используются складские площади.
Для того чтобы определить, насколько ритмично
осуществляется товароснабжение розничного торгового предприятия, можно
использовать такой показатель, как коэффициент ритмичности снабжения (Кр),
который рассчитывается следующим образом:

,
где Пф - фактическая поставка за исследуемый период в
пределах графика (плана);
Пп - поставка по графику за каждый период времени.
Коэффициент ритмичности показывает какой процент
поставок был осуществлен в соответствии с запланированным графиком.
• оперативность;
Ритм завоза товаров должен нарастать или сокращаться в
зависимости от изменений в спросе на них, сезонных и других колебаний.
• экономичность (минимальные затраты рабочего времени,
материальных и денежных средств на весь процесс доставки товаров в розничную
торговую сеть);
Это достигается эффективным использованием
транспортных средств, механизацией погрузочно-разгрузочных работ, установлением
рациональной звенности движения товаров, четким оформлением документов по
отпуску и приемке товаров.
• централизация (товароснабжение розничных торговых
предприятий силами и средствами предприятий-поставщиков);
При этом работники магазинов хотя и несут
ответственность за коммерческую сторону товароснабжения, но не отвлекаются от
своей непосредственной работы по обслуживанию покупателей.
• технологичность;
Товароснабжение должно осуществляться на основе
использования на всех его этапах прогрессивных технологических решений.
Также, по мнению специалистов, в основу рациональной
организации процесса товароснабжения должно быть положено соблюдение следующих
принципов:
· применение кратчайших путей движения товаров;
· выбор рациональных транспортных
средств и эффективное их использование;
· постоянное совершенствование и
оптимизация технологической цепи товародвижения.
Организация технологической цепи товародвижения с
соблюдением названных выше основных принципов позволяет обеспечить высокую
эффективность всего процесса товародвижения. [12, c.7]
.2 Формы
товародвижения и факторы, влияющие на их выбор
товароснабжение розничный ассортимент ритейлер
Важным условием, определяющим рациональную организацию товароснабжения,
является правильный выбор формы движения товаров из пунктов производства в
районы потребления.
Товародвижение - процесс физического перемещения товара от производителя
в места продажи или потребления.
Форма товародвижения - организационный прием, представляющий собой
разновидность способов продвижения товаров от производителя в места продажи или
потребления.
Многообразие условий производства и потребления продукции, способов ее
перемещения, методов распределения внутри предприятия предопределяют
необходимость использования различных организационных форм снабжения. При этом
применение каждой из них в конкретных обстоятельствах обусловлено объективными
факторами. В зависимости от особенностей продвижения товарных ресурсов от
предприятия-поставщика к потребителям различают две формы снабжения: транзитную
и складскую. [23, c.62]
Транзитная форма товародвижения - форма товародвижения от производителя
непосредственно в места продажи или потребления, минуя склады посредников.
Складская форма товародвижения - форма товародвижения от производителя в
места продажи или потребления через одно или несколько складских звеньев
посредников. (ГОСТ Р 51303-99 Торговля. Термины и определения).
Выбор той или иной формы товародвижения зависит от конкретных условий покупателя
и поставщика - объема товарооборота, нормативов товарных запасов, состояния
складского хозяйства и т.п. [23, c.64]
Транзитная форма товароснабжения способствует сокращению времени
доведения товаров до магазинов, снижению транспортно-экспедиционных расходов и
товарных потерь, содействуя лучшей сохранности товаров. Однако неправильное
применение этой формы может привести к нарушениям полноты и комплектности
ассортимента товаров в магазинах и замедлению оборачиваемости, особенно если
товаров достигает излишне крупными партиями и в узком ассортименте.
Данная форма широко используется при одногородних поставках, особенно
скоропортящихся товаров. Труднее применять ее при иногородних поставках, но это
во многих случаях даже целесообразно (поставка крупногабаритных товаров,
фарфорофаянсовой и стеклопосуды, строительных материалов и т.д.).
Транзитная форма товародвижения будет рентабельна для
поставщика-производителя и потребителя (розничного предприятия) при следующих
обстоятельствах: (рис. 1.2)
Рис. 1.2. Обстоятельства, оптимальные для использования транзитной формы
товародвижения
· количество продаваемого товара достаточно велико, чтобы оправдать расходы
на прямой сбыт;
· потребителей немного, и они расположены на относительно
небольшой территории (наличие концентрации рынка потребителей);
· товар требует высокоспециализированного сервиса;
· объем каждой поставляемой партии достаточен для заполнения
одного отгрузочного места (вагон, контейнер);
· у покупателя имеется достаточная сеть складов, подсобных
помещений;
· происходит быстрое колебание цены, что требует немедленного
согласования с покупателем. [26, c.100]
Таким образом, транзит экономически оправдан, когда объем розничного
товарооборота позволяет принимать транзитную норму отгрузки и это не приводит к
образованию сверхнормативных запасов.
Под транзитной нормой отгрузки понимается минимально допустимое
количество товаров, отгружаемое единовременно поставщиком в адрес покупателя
(вагон, контейнер и т.д.). Нормы регламентируются в договорах поставки.
Необходимый объем товарооборота (Т) для осуществления транзитных отгрузок
товаров простого ассортимента можно определить по формуле:

, (1)
где
Н - норма отгрузки, тыс. руб.;
Ч
- частота завоза, дней.
По
товарам сложного ассортимента учитывается количество поставщиков:

, (2)
где
П - количество поставщиков.
Транзитная
форма снабжения магазинов может применяться при работе с местными поставщиками
по любым товарам, так как в этом случае их завоз осуществляется автомобильным
транспортом, а поэтому не требуется соблюдения нормы единовременной отгрузки.
Транзитное поступление товаров от иногородних промышленных предприятий с
перевозками в магазины авторефрижераторами или с железнодорожных станций
доступно лишь очень крупным универсальным магазинам, имеющим возможность
принимать товары партиями в размере установленных норм транзитной отгрузки.
Поэтому для большей части магазинов применяются транзитная форма
товароснабжения от производителей, работающих в том же городе, что и розничные
магазины, или пригородных сельскохозяйственных предприятий.
Скоропортящиеся и вообще требующие быстрой реализации (молочные продукты,
мясо, колбасные изделия и мороженая рыба, хлеб) при всех условиях необходимо
доставлять в магазины непосредственно с местных предприятий - молочных заводов,
мясокомбинатов, хлебозаводов. Транзитом с местных производственных предприятий
доставляют также товары простого ассортимента - макаронные изделия, сахар, мыло
и др. товары. В летнее время завозят свою плодовоовощную продукцию
сельскохозяйственные предприятия.
Складская форма товароснабжения не связана с обязательным получением
транзитной нормы. Она позволяет розничной торговле заказывать товары в нужном
количестве исходя из спроса на них и товарных запасов. При складской форме
товароснабжения товары завозятся сначала на склады оптовой базы, а затем в
розничную торговлю. На складах осуществляется подсортировка и комплектование
товаров.
Эта форма обычно применяется по товарам сложного ассортимента и главным
образом для предприятий розничной торговли, закупающих товары мелкими партиями.
Через склады могут продаваться и товары простого ассортимента, когда покупатели
по размерам товарооборота не могут получать минимальную транзитную норму, а
также товары сезонного производства и потребления.
Снабжение магазинов со складов оптовых предприятий отличается рядом
преимуществ. Например, оптовые предприятия имеют достаточно широкий ассортимент
товаров, удовлетворяющий требованиям многих магазинов. Наибольшего эффекта эта
форма снабжения достигает при поставке товаров в специализированные и крупные
универсальные магазины.
Такие товары, как кондитерские изделия, овощные и фруктовые консервы,
прочие бакалейные товары, доставляют чаще всего со складов оптовых предприятий
по торговле продовольственными товарами.
При снабжении мелких, неспециализированных магазинов часто более
предпочтительной оказывается складская форма товароснабжения.
Складская форма товароснабжения образуется при движении товаров от
производителей или от оптовых предприятий до магазинов через собственные склады
розничной торговой организации. Такие склады имеют возможность отправлять в
торговую сеть товары укрупненными партиями, включающими самые разнообразные
товары, требуемые магазинами, и производить при этом дробную подсортировку.
Таким образом, складская форма дает возможность: (рис.1.3)
Рис. 1.3. Возможности торгового предприятия при использовании складской формы
товародвижения
· принимать товары от иногородних и др. поставщиков;
· вести подсортировку;
· концентрировать на складах необходимые товарные запасы, (что
лучше, чем хранить товар в магазинах);
· маневрировать товарными запасами;
· лучше использовать транспорт.
Если говорить о негативных показателях складской формы товароснабжения,
то издержки в данном случае выше, а товарооборачиваемость замедляется.
Одним из важнейших вопросов, который необходимо решить при организации
складской формы товародвижения, является звенность товародвижения. [23, c.75]
Звенность товародвижения - количество складских звеньев, через которые
проходит товар при его продвижении от производителя к потребителю как на основе
перехода прав собственности на товар, так и без него. (ГОСТ Р 51303-99
Торговля. Термины и определения).
Число складских звеньев должно быть минимальным, так как от их количества
зависят время товарного обращения, размер товарных запасов, уровень расходов по
реализации.
К звеньям в процессе товародвижения относятся склады оптовой и розничной
торговли, которые прерывают движение товаров для подсортировки, хранения или
перевалки на другой вид транспорта. Различают однозвенную, двухзвенную и более
складские формы товародвижения.
Необходимость разделения крупных партий товаров, поступающих от
промышленности, проведения подсортировки товаров сложного ассортимента,
создание в оптовом звене устойчивых переходящих запасов, гарантирующих регулярность
и бесперебойность снабжения розничной сети, - все это вызывает потребность в
промежуточных складских звеньях, возникающих на пути движения товара.
Под звеньями товародвижения, как уже отмечалось, понимаются склады
оптовых и розничных торговых организаций и предприятий, осуществляющие
получение, хранение, подсортировку, комплектование и отпуск или отгрузку
товаров в магазины. Рационализация товародвижения идет по пути устранения
излишних звеньев между производством и розничной торговлей. При использовании
складской формы товародвижения стремятся к тому, чтобы на пути движения товаров
из производства в розничную сеть было не более одного складского звена,
территориально приближенного к пунктам снабжения.
Однозвенное товародвижение характерно в настоящее время для ряда крупных
городов нашей страны. Строительство крупных зональных складов в ближайшей
перспективе позволит шире распространить эту форму товародвижения.
Двухзвенное товародвижение пока еще достаточно широко распространено при
снабжении торговой сети небольших городов или сельских населенных пунктов.
Для установления рациональности товародвижения рассчитывается коэффициент
звенности товародвижения - показатель среднего числа складов, через которые
проходят товары от производственного предприятия до магазина.
Коэффициент звенности рассчитывается отношением валового (суммы
складского и розничного) оборота к розничному: [23, c.75]

где Топт - оптовый товарооборот,
Трозн - розничный товарооборот.
Коэффициент торгово-организационной звенности показывает, сколько
торговых организаций участвовало в актах купли-продажи товаров на всем пути его
движения к потребителю. Чем ниже этот коэффициент, тем эффективнее процесс
товародвижения.
Складской оборот рассчитывается по поступлению товаров на склады оптовых
и розничных предприятий, а розничный - в магазины. При транзитном
товародвижении коэффициент складской звенности равен нулю.
На коэффициент звенности влияют:
· территориальное размещение источников завоза,
· степень специализации источников,
· размеры партии отгрузки,
· объем и структура оптового товарооборота,
· физико-химические особенности и свойства товара.
Немаловажно, что всех случаях, когда товары поступают с одногородних складов,
на них должны выполняться все необходимые операции по подготовке товаров к
продаже - распаковка, подсортировка, проверка по качеству, а при необходимости
фасовка и укладка в тару - оборудование.
Розничные организации могут централизовать товароснабженческие функции
своих мелких и средних предприятий и выполнять их экономически более
рационально, используя ту или иную форму товароснабжения.
К основным факторам, влияющим на выбор формы товародвижения можно отнести
(рис.1.4):
· производственные (размещение производства, специализация производственных
предприятий, сезонность производства);
Значительное влияние на процесс товародвижения оказывает размещение
производства товаров. Приближение производственных предприятий к источникам
сырья часто приводит к неравномерному распределению их на территории страны,
удалению от районов потребления, а это, в свою очередь, усложняет процесс
товародвижения, так как вызывает необходимость перевозки товаров на большие
расстояния, замедляет их доведение от производства до потребителей.
Производство некоторых товаров народного потребления имеет ярко
выраженный сезонный характер, что в свою очередь связано с сезонностью
производства сырья для их изготовления, а также сезонностью приобретения и
потребления отдельных товаров. В связи с этим ассортимент товаров, участвующих
в процессе товародвижения, существенно изменяется на протяжении года, а это
вызывает необходимость внесения соответствующих коррективов в организацию
технологического процесса товародвижения. [12, c.5]
К примеру, в зимний период в России некоторая овощная продукция
импортируется из-за рубежа, т.к. выращивать эту группу товаров в холодный
период года у нас в стране невозможно. А в летний период наблюдается обратная
ситуация, когда внутреннее производство может обеспечивать внутренний спрос на
рынке овощных продуктов.
• транспортные (состояние транспортных путей сообщения, виды транспорта,
транспортные расходы);
Уровень транспортных расходов является основным фактором, влияющим на
выбор формы отгрузки товара, и включает в себя все расходы на перевозку товара.
Если предприятие розничной торговли имеет в своем распоряжении консолидационный
склад, очевидно, что подготовительные процедуры (хранение, распаковку,
сортировку товаров и др.) выгоднее осуществлять на складе.
• социальные (расселение населения, уровень денежных доходов);
Важное влияние на процесс товародвижения оказывают социальные факторы,
основными из которых являются: расселение населения, уровень денежных доходов
населения и т.д. При невысокой плотности населения сложнее организовать
доставку товаров потребителям, чем в районах с высокой плотностью населения:
перевозить их приходится на большие расстояния и, как правило, они проходят
через большее количество звеньев. На интенсивность процесса товародвижения
оказывает влияние и уровень денежных доходов населения. [12, c.6]
• торговые (размеры, специализация и размещение предприятий торговли,
степень сложности ассортимента товаров, их свойства, обеспечение рассортировки,
скорость оборачиваемости товаров)
В значительной степени процесс товародвижения зависит от ассортимента и
свойств товаров. Так, товары сложного ассортимента, прежде чем поступить в
розничную торговую сеть, проходят подсортировку на складе.
Исходя из отдаленности расположения производителя, розничное торговое
предприятие выбирает оптимальную форму товароснабжения. Как правило, местные
поставщики товаров, особенно продовольственных, осуществляют перевозку готовой
продукции, минуя склады.
Обеспечение рассортировки товаров подразумевает необходимость выбора
транзитной или складской формы товароснабжения в зависимости от вида товара,
его характеристик и форм потребления. Например, скоропортящиеся товары
доставляют напрямую в магазины, минуя склад, проходя стадию сортировки на
производстве.
Скорость оборачиваемости товарных запасов является неотъемлемым фактором,
влияющим на выбор формы товароснабжения. Оптимальная скорость оборачиваемости
товаров характеризуется эффективным взаимодействием закупок и продаж, что
является немаловажной целью любого торгового предприятия.
Рис.1.4.
Факторы, влияющие на выбор формы товародвижения
Выбор формы движения товаров обусловливается экономической
целесообразностью, выявляемой путем конкретных расчетов затрат по
товародвижению. Рассмотренные выше факторы формируют не только выбор той или
иной формы товароснабжения, но и обеспечивают оптимальное использование
ресурсов предприятия.
.3
Организация доставки товаров в розничную торговую сеть
Важное значение для рациональной организации товароснабжения розничной
торговой сети имеет выбор метода завоза товаров. Основными являются два метода:
децентрализованный и централизованный. [14, c.97-98]
Первый метод предполагает, что завоз товаров осуществляется силами и
средствами розничных предприятий и называется децентрализованным (самовывоз).
При применении децентрализованного метода товароснабжения значительно
возрастают издержки обращения, в частности транспортные расходы (большинство
магазинов не имеют собственных транспортных средств). Нерационально
используется грузоподъемность транспортных средств через их неполное заполнение
товарами и увеличение времени простоев автомобилей вследствие неупорядоченного
отбора товаров, долгого оформления документации, погрузочно-разгрузочных работ.
[1, c.75]
Более того, этот метод отвлекает работников магазинов от их
непосредственной работы по торговому обслуживанию покупателей. В магазинах х с
одним продавцом применения этого метода вызывает необходимость временного
закрытия.
Второй метод - централизованный, предусматривает завоз товаров силами и
средствами поставщика.
Он более экономичный, позволяет улучшить управление процессом
товародвижения, повысить эффективность использования автотранспорта. Работники
магазинов не отвлекаются для поездки за товаром.
Централизованная доставка товаров должна
осуществляться по строго установленным графикам, представляющим собой
расписание доставки товаров в магазины. В них указывают номера маршрутов, дни
завоза, наименования торговых предприятий и их адреса, вид транспорта и часы
доставки.
Количество заказываемых товаров зависит от:
· частоты завоза;
· среднедневной реализации;
· неснижаемых запасов и остатков товаров на день завоза;
· емкости холодильного оборудования (для быстропортящихся
товаров).
Графики составляются, как правило, на квартал. На более длительный срок
их составление нецелесообразно, так как в процессе работы ситуация меняется.
Практика свидетельствует, что наиболее приемлемая частота завоза
продовольственных товаров - через 2-3 дня, непродовольственных - 7-9 дней, но
это зависит от однодневного товарооборота и размера единовременной партии
завоза.
При централизованной доставке завоз товаров в
розничную торговую сеть может осуществляться собственным транспортом поставщика
или транспортом общего пользования.
Важное значение при разработке планов централизованной доставки товаров
имеет определение необходимого количества транспортных средств, контейнеров и
многооборотной тары.
Необходимое количество транспортных средств определяется следующим
образом. Вначале определяется суточная производительность автомобиля по
формуле:

,
где
Д - полезное время работы автомашины, мин;
к
- коэффициент использования грузоподъемности автомобиля;
К
- грузоподъемность автомобиля, т; Р - расстояние рейса, км;
С
- техническая скорость движения автомобиля с грузом и без него, км/час; Т -
время простоя автомобиля под погрузкой и выгрузкой, мин.
Затем
исчисляется необходимое количество автомашин:
М
= О/Р
,
где
О - количество грузов, подлежащих перевозке в предстоящий период.
Транспортные расходы - существенная статья расходов, поэтому торговые
организации должны принимать меры по более эффективному использованию
транспортных средств. Особое внимание следует уделить сокращению сроков
погрузки и разгрузки транспортных средств, повышению коэффициента использования
их грузоподъемности, использованию более эффективных систем товароснабжения,
проектированию торговых объектов с учетом требований транспортировки и т.д. [1,
c.78-79]
Товары народного потребления могут перевозиться железнодорожным,
автомобильным, водным и воздушным транспортом. (Рис. 1.5)
Рис.
1.5. Виды транспорта
Основными видами транспорта, используемыми в торговле, являются
железнодорожный и автомобильный, реже воздушным и водным.
Каждый из видов транспорта имеет особенности, которые определяют сферу его
применения. При выборе транспортных средств для перевозки необходимо учитывать
себестоимость перевозки, скорость доставки, регулярность, сохранность грузов и
т.д.
Особенности железнодорожного транспорта:
· низкая себестоимость перевозок, особенно на большие расстояния (свыше 200
км);
· независимость от климатических условий;
· широкие возможности механизации погрузочно-разгрузочных
работ;
· перевозка любых товаров независимо от их упаковки.
Для перевозки грузов железнодорожным транспортом могут быть использованы
транспортные средства различных типов, грузоподъемности и назначения. [14, c.100-102]
Наиболее широкое применение получили:
· крытые вагоны для перевозки затаренных грузов вместимостью от 50 до 125
т;
· полувагоны для перевозки навалочных и длинномерных грузов,
грузов в контейнерах;
· платформы для перевозки грузов в контейнерах;
· цистерны для перевозки наливных грузов;
· вагоны-рефрижераторы для перевозки охлажденных и замороженных
продуктов;
· специальные изотермические вагоны для перевозки молока, вин,
живой рыбы.
Железнодорожный транспорт - основное звено в единой транспортной системе
Российской Федерации. Отличается регулярностью движения во все времена года,
большой скоростью, способностью осваивать массовые потоки грузов и пассажиров,
относительно низкой себестоимостью перевозок. Эти преимущества делают
железнодорожный транспорт универсальным для перевозки всех видов грузов в
межрайонных и внутрирайонных сообщениях и пассажиров в пригородном, местном и
дальнем сообщениях.
Однако, учитывая большие капитальные вложения, затрачиваемые на постройку
железных дорог, его использование наиболее эффективно при значительной
концентрации грузовых и пассажирских потоков.
Особенности автомобильного транспорта:
· возможность доставки грузов в любой населенный пункт;
· хорошая сохранность товаров;
· низкая себестоимость перевозок на короткие расстояния.
Автомобильный транспорт делится на грузовой, автомобили-тягачи, прицепы и
полуприцепы.
Автомобили классифицируют:
по грузоподъемности:
· особо малой грузоподъемностью - до 1 т;
· малой грузоподъемностью - 1-3 т;
· средней грузоподъемностью - 3-5 т;
· большой грузоподъемностью - 5-8 т;
· особо большой грузоподъемностью - свыше 8 т;
по назначению:
· автотранспорт общего назначения для перевозки любых грузов;
· специализированный автомобильный транспорт для перевозки
нестандартных и специальных грузов, скоропортящихся товаров и т.д.;
по типу кузова:
· с бортовой платформой;
· самосвалы;
· фургоны;
· рефрижераторы;
· цистерны.
Автомобильный транспорт в основном используется для перевозки небольших
потоков грузов на короткие расстояния. Это связанно со сравнительно высокой
себестоимостью данного вида транспорта и его малой грузоподъемностью. К
достоинствам автомобильного транспорта следует отнести высокую скорость и возможность
доставки грузов "от двери до двери" без дополнительных затрат на
перегрузку. Большая мобильность, возможность оперативно реагировать на
изменения пассажиропотоков ставят автотранспорт "вне конкуренции" при
организации местных перевозок пассажиров. [27, c.51]
Однако себестоимость перевозок на автомобильном транспорте сравнительно
высока и в среднем превышает аналогичные показатели речного и железнодорожного
транспорта. Высокий уровень себестоимости определяется небольшой
грузоподъемностью и, следовательно, производительностью подвижного состав.
Особенности морского транспорта:
· самая низкая себестоимость перевозки грузов;
· хорошая мобильность, таким образом, может быстро менять
маршруты;
· неограниченная пропускная способность морских путей.
Морской транспорт представлен пассажирскими, грузопассажирскими судами,
сухогрузами, наливными судами, паромами, контейнеровозами и т.д.
Особенности речного транспорта:
· высокая провозная способность по рекам;
· низкая себестоимость перевозок;
· сезонность перевозок.
На речном транспорте используются самоходные суда и баржи,
специализированные суда.
Особенности воздушного транспорта:
· высокая скорость перевозки;
· сокращение путей транспортировки;
· хорошая сохранность, особенно скоропортящихся грузов;
· зависимость от климатических условий;
· самая высокая стоимость перевозок. [1, c.316]
Все разновидности грузоперевозок, независимо от вида транспорта и
дальности расстояния, предполагают использование тары. Тара определяется
соответствующей нормативной документацией как средство, обеспечивающее защиту
окружающей среды и самого груза в процессе его транспортировки и дальнейшего
хранения.
Тара играет важную роль не только в самом процессе перевозки, но и при
складировании грузов и их хранении, и в этом случае может принадлежать как
заказчику услуг, так и транспортной компании. Тара для транспортировки грузов
имеет свою классификацию. [14, c.
181]
В зависимости от длительности использования тару подразделяют на:
· одноразовую,
· оборотную (возможно использовать несколько раз);
В зависимости от способа изготовления:
· выдувную,
· литую,
· клееную,
· прессованную.
В зависимости от материала, из которого она изготовлена, на:
· картонную,
· деревянную,
· полимерную,
· керамическую,
· металлическую,
· текстильную,
· стеклянную и др.
Деревянная тара является наиболее распространенным видом. Она занимает
наибольший удельный вес в общем объеме транспортной тары. Деревянная тара, как
правило, является многооборотной и подлежит обязательному возврату.
Картонная и бумажная тара отличается от других видов тары низкой
стоимостью и легкостью, герметичностью упаковки. Для ее транспортировки
требуется значительно меньше транспортных средств. Она легко подвергается
переработке. Для затаривания сыпучих товаров применяется бумажная тара - мешки
и пакеты.
Полимерная тара применяется для упаковки и транспортировки
продовольственных товаров. К ее преимуществам относятся прочность, химическая
устойчивость, непроницаемость, хорошая окрашиваемость.
Металлическая тара используется для затаривания легковоспламеняющихся
материалов (бензина, керосина, ацетона и др.), с высокой степенью летучести
(карбида кальция, газов), различных масел, лакокрасочных товаров и др.
Преимущества металлической тары: прочность, долговечность, экономичность, большая
грузоподъемность.
Текстильная тара - это тканевые мешки и паковочные ткани: льняные,
полульняные, льноджутовые, джутовые, пеньковые, хлопчатобумажные,
комбинированные.
Стеклянная и керамическая тара используется для затаривания продукции
пищевой, химической и других отраслей промышленности (молочные, винно-водочные,
косметические товары и др.).
В зависимости от кратности использования различают многооборотную тару и
тару разового использования.
Многооборотная тара совершает несколько оборотов, обслуживая процесс
продвижения товаров от производства до потребления, и подлежит возврату
поставщику или тарособирающей организации. К ней относится большинство
деревянной, металлической, текстильной, полимерной тары. [14, c.183-184]
Разовая (однооборотная) тара используется при поставках один раз. К ней
относятся основные виды потребительской тары (коробки из-под печенья, конфет,
винно-водочных изделий, спичек, папирос, флаконы из-под парфюмерии, бутылки,
банки из-под лакокрасочных товаров и т.д.).
Кроме того, для перевозки всех разновидностей грузов: жидких, твердых,
сыпучих - существует специальная тара, подходящая именно этому типу груза.
Например, для транспортировки сыпучих грузов используют мягкие контейнеры,
мешки или чехлы, складную тару. Она, с одной стороны, достаточно удобна,
занимает немного места в освобожденном состоянии, а с другой - обладает
достаточным запасом прочности. Особенно востребована такая тара при перевозке
пищевых грузов: крупы, сахар, высушенные порошковые продукты, мука.
Контейнеры и поддоны чаще применяются в химической промышленности, а
также для несыпучих пищевых продуктов. Такая тара многофункциональна, т.е.
выполняет как традиционные функции в процессе перевозки, так и незаменима при
дальнейшем хранении и складировании грузов.
Поддоны и контейнеры еще называют "тарооборудованием",
поскольку этот вид транспортной тары позволяет доставлять товар с
предприятия-изготовителя или склада сразу в место реализации без дополнительных
манипуляций. По пути следования поддон выполняет функции тары, а в торговом
зале он становится торговым оборудованием, заменяя собой стеллаж или прилавок.
Глава 2.
Исследование организации товароснабжения ООО "Адидас"
.1 Анализ
показателей финансово-хозяйственной деятельности ООО Адидас
В качестве объекта исследования выбрана компания "Общество с
ограниченной ответственность "Адидас", специализирующаяся на
розничной торговле спортивной обувью, одеждой и инвентарем в трех приоритетных
направлениях - это Россия, Украина и Казахстан. Компания была зарегистрирована
в 1992 г.
ООО "Адидас" - дочерняя компания немецкого промышленного
концерна "Акционерного общества Adidas Group".
Генеральным директором ООО "Адидас" вот уже около 20 лет является
австралиец Мартин Шенкланд.
На протяжении уже более ста лет, компания является символом успеха в мире
спорта. Компания "Адидас" является официальным спонсором Олимпийских
игр, Чемпионатов мира и Европы по футболу и многих других спортивных
мероприятий. Сегодня доля компании составляет около 20 % мирового рынка спортивных
товаров, а доля на рынке России немного превосходит 35%.
Ни один из конкурентов компании, а их, хотелось бы заметить, много (Nike, Puma, Umbro,
Joma и т.д.), не обладает таким
диверсифицированным портфелем торговых марок, обеспечивающим потребителей
товарами, как для зимних, так и для летних видов спорта. ООО "Адидас"
объединяет в себе ведущие торговые марки: Adidas, Reebok,
Tailor-Made, Adidas Golf и Rockport.
Миссия компании - Стремление. Стремление к достижению больших
результатов, не останавливаться на достигнутом.
Цели компании:
· Стать лидером среди мировых спортивных брендов.
· Сделать мир при помощи спорта лучшее.
· Высокое качество и сервис.
Для проведения анализа финансово-хозяйственной деятельности ООО
"Адидас" используется бухгалтерский баланс за период 2011-2013 гг.
(Приложение 1)
2.1.1 Анализ материально-технической базы ООО
"Адидас"
Успешное функционирование торговых предприятий невозможно без наличия и
укрепления материально-технической базы.
Материально - техническая база - совокупность средств производства,
выступающих в форме реальных активов торговых предприятий, обеспечивающих
процессы купли - продажи и товародвижения. (ГОСТ Р 51303-99. Торговля. Термины
и определения)
Для анализа эффективности использования материально-технической базы
рассчитываются фондоотдача, фондоемкость.
Фондоотдача определяется путем отношения суммы розничного товарооборота
за год к среднегодовой стоимости основных фондов и показывает, сколько рублей
товарооборота приходится на каждый рубль основных фондов.
Фондоемкость является обратным показателем фондоотдачи и отражает сумму
основных фондов, приходящуюся на один рубль товарооборота.
Рассчитаем показатели анализа материально-технической базы ООО
"Адидас" за 2011-2013 гг. (табл.2.1)
Таблица 2.1 Показатели анализа стоимости основных производственных
средств ООО "Адидас" за 2011-2013 гг., в тыс. руб.
|
Показатели
|
Период
|
Темп роста, в %
|
|
2011 г.
|
2012 г.
|
2013 г.
|
2012 г. / 2011
г.
|
2013 г. / 2012
г.
|
2013 г. / 2011
г.
|
|
Среднегодовая стоимость
основных производственных средств
|
1816740,00
|
1747145,50
|
2100729,50
|
96,17%
|
120,24%
|
115,63%
|
|
Фондоотдача основных
производственных средств
|
13,251
|
16,116
|
16,593
|
121,62%
|
102,96%
|
125,23%
|
|
Фондоемкость основных
производственных средств
|
0,075
|
0,062
|
0,060
|
82,22%
|
97,12%
|
79,86%
|
На основании таблицы 2.1 построим график динамики стоимости основных
производственных средств за 2011-2013гг. (рис.2.1)
Рис.2.1. График динамики стоимости основных производственных средств ООО
"Адидас" за 2011-2013 гг.
Эффективность торгового предприятия можно определить как отношение
результатов хозяйственной деятельности к затратам ресурсов, которые необходимы
для осуществления этой деятельности.
2.1.2 Анализ прибыли и рентабельности ООО "Адидас"
Рентабельность - синтетический показатель, отражающий многие стороны
деятельности торговых предприятий за определённый период. Это процентное
отношение суммы прибыли к одному из показателей: объёму товарооборота,
издержкам обращения, средней стоимости основных и оборотных средств и т.п.
Основными задачами анализа прибыли и рентабельности торгового предприятия
являются:
систематический контроль за выполнением плана полученной прибыли;
определение влияния объективных и субъективных факторов на финансовые
результаты деятельности предприятия;
выявление резервов увеличения прибыли и повышения рентабельности;
разработка мероприятий по использованию выявленных возможностей
увеличения прибыли;
оценка работы предприятия по использованию возможностей увеличения объема
реализации товаров, прибыли и рентабельности.
Влияют на размер прибыли и рентабельности следующие факторы: объем и
структура товарооборота, уровень валовых доходов и издержек обращения,
производительность труда, эффективность использования основных и оборотных
средств, размер прочей прибыли, уровень цен и др.
Рентабельность продаж показывает, сколько прибыли приходится на единицу
реализованной продукции. Рассчитывается по формуле:
(1.6)
где Пр - прибыль; ВР - выручка от реализации.
Таблица 2.2 Показатели анализа прибыли и рентабельности ООО
"Адидас" за 2011-2013 гг.
|
Показатели
|
Период
|
Темп роста, в %
|
|
2011 г.
|
2012 г.
|
2013 г.
|
2012 г. / 2011
г.
|
2013 г. / 2012
г.
|
2013 г. / 2011
г.
|
|
Валовый доход от реализации
товаров, тыс. руб.
|
4423419,00
|
6077790,00
|
6551898,00
|
137,40%
|
107,80%
|
148,12%
|
|
Уровень, в % к
товарообороту
|
18,37%
|
21,59%
|
18,80%
|
117,47%
|
87,08%
|
102,29%
|
|
Чистая прибыль, тыс. руб.
|
2883962,00
|
4521964,00
|
5313910,00
|
117,51%
|
184,26%
|
|
Уровень, в % к
товарообороту
|
11,98%
|
16,06%
|
15,24%
|
134,05%
|
94,92%
|
127,25%
|
|
Рентабельность продаж
|
0,65
|
0,74
|
0,81
|
114,12%
|
109,01%
|
124,40%
|
2.1.3 Анализ финансового положения ООО "Адидас"
По данным бухгалтерского баланса можно сделать следующие выводы.
В структуре активов организации в течение анализируемого периода
существенных изменений не произошло, но в абсолютных значениях наблюдается
динамика роста по основным показателям финансово-хозяйственной деятельности,
компания ООО "Адидас" стабильно наращивает оборот за период 2011-2013
гг.
На конец 2012 и конец 2013 года преобладают оборотные активы, а доля
внеоборотных активов к концу анализируемого периода составляет 28,11%, что
говорит об определенной степени зависимости имущественного положения ООО
"Адидас". Вместе с тем, темп роста оборотных активов (128,98%)
немногим опережает темп роста внеоборотных активов (128,28%).
Рост стоимости оборотных активов обусловлен, в первую очередь,
увеличением дебиторской задолженности и запасов готовой продукции.
Прирост денежных средств, сконцентрированных в кассе и на расчетных
счетах, составил 42,5%. Их доля в структуре активов увеличилась с 1,67 до 1,85,
в то время как за период 2011-2012 гг. составил 38,9%, что немногим меньше чем
за последующий период, что показывает стабильный рост денежных средств за
период 2011-2013 гг.
В структуре источников средств ООО "Адидас" в анализируемом
периоде произошли следующие изменения.
Доля собственного капитала увеличилась за 2012-2013 гг. с 80,17% до
82,9%, в процентном соотношении собственный капитал увеличился на 33,4%, а за
2011-2012 - увеличился на 39,74%, что показывает снижение темпов роста
собственного капитала за период 2012-2013 гг.
За период 2011-2012 гг. совокупная стоимость заемного капитала
увеличилась на (3,867,195/2,515,600*100%-100%)= 53,7%.
При этом совокупная стоимость заемного капитала за 2012-2013 гг.
увеличилась на 9,5%, соответственно темп роста составил
4,235,502/3,867,195*100%= 109,5%, и к концу 2013 составила 4,235,502 млн. руб.
Большую долю заемного капитала составляют краткосрочные обязательства. В
течение анализируемого периода они увеличились с 2,515,600 млн. рублей до
4,235,502 млн. руб. и их темп роста составил 168,4% за период 2011-2013 гг.
Степень их влияния на итог баланса равна 16,57% в 2013 г. Это говорит об
финансовой устойчивости и независимости компании от стороннего капитала.
Доля долгосрочных обязательств не так значительна, степень влияния на
итог баланса равен 121,694/25,563,607*100% = 0,47%.
Темп роста за период 2012-2013 гг. равен 121,694/64,839*100% = 187,7%.
При этом большое влияние на итог баланса оказала нераспределенная прибыль, в
2011 году она составила 11,314,493/13,934,409*100%= 81,2%, в 2012 г. она
составила 15,836,457/19,830,191*100% = 79,9%, и уже в 2013 г. -
21,144,711/25,563,607*100% = 82,7%.
Темп роста нераспределенной прибыли за 2011-2012 гг. -
15,836,457/11,314,493*100% = 139,9%, за 2012-2013 гг. - темп роста
21,144,711/15,836,457*100% = 133,5%.
Это говорит, о том, что хоть темпы роста за отчетный период снизились, но
компания стабильно накапливает собственный капитал, и увеличивает свою
финансовую независимость. Значительная доля нераспределенной прибыли компании в
балансе в данном случае говорит об интересе компании привлечения крупных
акционеров, так как дивиденды придется платить на увеличивающийся капитал
компании, соответственно повышенной интерес у инвесторов и более высокий рейтинг
среди других компаний, но с другой стороны это может и настораживать так как
данная прибыль может быть распределена среди владельцев компании, к тому же
доля заемных средств столь незначительна, что дает менеджменту компании большую
свободу от финансовых институтов.
2.1.4 Экспресс-анализ имущественного положения ООО
"Адидас"
Таблица 2.3 Критерии экспресс-анализа имущественного положения ООО
"Адидас" на 2013 г.
|
Критерий
|
Оценка
|
|
1. Доля ВА > Доля ОА
|
Не выполняется
|
|
2. Темп роста ОА > Темп
роста ВА
|
Выполняется
|
|
3. Доля СК > Доля ЗК
|
Выполняется
|
|
4. Темп роста СК > Темп
роста ЗК
|
Выполняется
|
|
5. Темп роста ДЗ ≈
Темп роста КЗ
|
Не выполняется
|
|
6. Общая сумма имущества
увеличилась
|
Выполняется
|
Положение компании за отчетный период 2012 - 2013 гг.
можно назвать успешным, т.к. наблюдается резкий рост собственного капитала
компании, низкие темпы роста кредиторской задолженности, доля собственного
капитала намного выше доли заемного, наращивание оборотных активов компании.
Высокая доля собственного капитала обеспечивает финансовую независимость и
стабильности развития компании. Также общая сумма имущества значительно
увеличивается за счет увеличения собственного капитала компании.
2.1.5 Анализ ликвидности и
платежеспособности компании методом абсолютных разниц и с помощью
коэффициентного метода для ООО "Адидас"
Таблица 2.4 Анализ ликвидности и платежеспособности ООО
"Адидас" методом абсолютных разниц за 2013 г.
|
Группа активов
|
Млн.руб.
|
Факт
|
Норматив
|
Руб.
|
Группа пассивов
|
|
Абсолютно ликвидные активы
|
426,939 +35,298=462237
|
<
|
³
|
4,189,064
|
Наиболее срочные
обязательства
|
|
Быстро реализуемые активы
|
4,599,664
|
>
|
³
|
1,130
|
Краткосрочные обязательства
|
|
Медленно реализуемы запасы
|
5,324,265+129,949=5454214
|
>
|
³
|
121,694
|
Долгосрочные обязательства
|
|
Трудно реализуемые запасы
|
1,723,626
|
<
|
£
|
21,206,411
|
Собственный капитал
|
Компания является ликвидной в краткосрочном и долгосрочном периоде, но
нарушение ликвидности баланса в наиболее краткосрочном периоде не может
компенсироваться абсолютными показателями по другим критериям, так как менее
ликвидные активы не могут заменить более ликвидные, компенсация может быть лишь
в стоимостном выражении. Несмотря на наиболее краткосрочные показатели,
компания Адидас чувствует себя очень стабильно.
Таблица 2.5 Показатели ликвидности и платежеспособности ООО
"Адидас" в динамике за 2013 г.
|
Показатель
|
Расчеты показателя
|
Значение показателя
|
Темп роста
|
|
Начало периода
|
Конец периода
|
НП
|
КП
|
|
|
Кабс.ликв.
|
(299,408+9,290,691)/ 3,867,195
|
(426,939+9,461,347)/ 4,235,502
|
2,48
|
2,33
|
94%
|
|
Кбыст.ликв
|
(299,408+ 9,290,691+
1,445,364)/ 3,867,195
|
(426,939+ 9,461,347+ 2,294,160)/
4,235,502
|
2,85
|
2,88
|
101%
|
|
Ктек.ликв.
|
19,830,191/3,867,195
|
23,073,518/ 4,235,502
|
5,13
|
5,44
|
106%
|
В течение анализируемого периода значение коэффициента абсолютной
ликвидности уменьшилось на 6% и составило 2,33. Т.е. предприятие может
полностью погасить краткосрочные обязательства имеющимися денежными средствами,
находящиеся на расчетном счете и в кассе. Полученные значения превышают
рекомендуемые нормативные значения (0,2-0,25).
Коэффициент быстрой ликвидности на конец года находится выше
рекомендуемого норматива (0,7-1). К концу года он увеличился на 1% и составил.
Это означает, что компания в ближайшей перспективе может погасить полностью
краткосрочные обязательства за счет трансформации в денежную форму дебиторской
задолженности даже в случае возникновения сложностей с реализацией продукции.
Значения коэффициент текущей ликвидности на конец года выше рекомендуемых
нормативных значений (1-2,5). На конец года он увеличился на % и составил 5,44,
что свидетельствует о нерациональной структуре капитала.
Приведенные результаты анализа позволяют положительно оценить финансовое
состояние ООО "Адидас" с точки зрения платежеспособности и
ликвидности в рассматриваемом периоде как стабильное.
2.1.6 Анализ финансовой устойчивости ООО "Адидас"
Таблица 2.6 Определение типа финансовой устойчивости ООО "Адидас"
|
Тип финансовой устойчивости
|
Критерии
|
Расчеты
|
Результат
|
|
|
НП
|
КП
|
НП
|
КП
|
|
Абсолютно финансовая
устойчивость
|
СОК = СК - ВнеОб. Акт.
|
15,898,157- 1,941,050 =
|
21,206,411- 2,490,089 =
|
13957107
|
18716322
|
|
СОК - ТЗ > 0
|
13957107 - 6,742,731
=
|
18716322 - 10,774,489
|
7214376
|
7941833
|
|
Нормальная финансовая
устойчивость
|
СК - ТЗ ³ 0
|
15,898,157 - 6,742,731
|
21,206,411 - 10,774,489
|
9155426
|
10431922
|
|
ТЗ - СОК ³ 0
|
6,742,731
- 13957107 =
|
10,774,489 - 18716322
|
-7214376
|
-7941833
|
|
Фин. Неустойчивость
|
СОК-ТЗ < 0
|
13957107 - 6,742,731
=
|
18716322 - 10,774,489
|
-
|
-
|
По состоянию на начало и на конец анализируемого периода собственный
капитал обеспечивает текущую деятельность компании и финансовую устойчивость
ООО "Адидас" можно охарактеризовать по 1 типу как абсолютная
финансовая устойчивость, так как товарные запасы не превышают собственный
оборотный капитал.
2.1.7 Анализ структуры товарооборота ООО "Адидас"
Анализ розничного товарооборота осуществляется с целью изучения
возможностей его увеличения и максимизации прибыли.
Розничный товарооборот - объем продажи товаров и оказания услуг населению
для личного, семейного, домашнего использования. (ГОСТ Р 51303-99. Торговля.
Термины и определения)
Анализ показателей товарооборота производится различными способами.
Рассмотрим некоторые из них:
анализ товарооборота по фактическому объему в динамике, однодневный
товарооборот;
анализ сезонности реализации товаров;
анализ товарных запасов и товарооборачиваемости предприятия (в днях и в
оборотах);
Рассмотрим динамику товарооборота в фактических и сопоставимых ценах,
однодневный товарооборот.
Таблица 2.7 Динамика товарооборота ООО "Адидас" за 2011-2013гг.
|
Показатели
|
Период
|
Темп роста, в %
|
|
2011 г.
|
2012 г.
|
2013 г.
|
2012 г. / 2011
г.
|
2013 г. / 2012
г.
|
2013 г. / 2011
г.
|
|
Товарооборот в фактических
ценах, тыс. руб.
|
24073082,00
|
28157149,00
|
34857916,58
|
116,97%
|
123,80%
|
144,80%
|
|
Однодневный товарооборот,
тыс. руб.
|
65953,65
|
77142,87
|
95501,14
|
116,97%
|
123,80%
|
144,80%
|
|
Товарооборот в сопоставимых
ценах, тыс. руб.
|
24073082,00
|
26389080,60
|
31054265,88
|
109,62%
|
119,36%
|
130,84%
|
На основании данных таблицы 2.6 видно, что компания стабильно наращивает
уровень продаж товаров. Это говорит об эффективности деятельности компании, а
также об устойчивом положении на рынке спортивных товаров. Составим график для
наглядности динамики товарооборота. (рис.2.2)
Рис. 2.2. Товарооборот ООО "Адидас" в динамике за 2011-2013 гг.
Анализ структуры сезонности товарооборота ООО Адидас проведем по месяцам
за период 2012-2013 гг. на основании данных журнала кассира-операциониста ООО
"Адидас". (таблица 2.8)
Таблица 2.8 Структура товарооборота ООО Адидас по месяцам за 2012-2013
гг., тыс. руб.
|
2012 г.
|
2013 г.
|
|
Январь
|
2453234
|
3013254
|
|
Февраль
|
2546751
|
3056482
|
|
Март
|
2014563
|
2834895
|
|
Апрель
|
2105468
|
2904561
|
|
Май
|
2421568
|
3125462
|
|
Июнь
|
2785213
|
3156582
|
|
Июль
|
2546842
|
2983215
|
|
Август
|
2346845
|
2935165
|
|
Сентябрь
|
2103154
|
2606523
|
|
Октябрь
|
2201354
|
2856531
|
|
Ноябрь
|
2362054
|
2854862
|
|
Декабрь
|
2270103
|
2530384
|
|
Всего:
|
28157149
|
34857916
|
Исходя из данных таблицы 2.7 рассчитываем среднемесячный уровень
товарооборота на каждый выбранный период, для этого необходимо сложить данные
товарооборота по месяцам и разделить на количество рассматриваемых месяцев по
годам.
К ср.об 2012 = (2453234+2546751 +2014563 +2105468 +2421568
+2785213+2546842+2346845+2103154+2201354+2362054+2270103)/12= 2346429 тыс. руб.
К ср.об 2013 = (3013254+ 3056482+ 2834895+ 2904561+
3125462+ 3156582+2983215+2935165+2606523+2856531+2854862+2530384)/12= 2904826
тыс. руб.
По приведенным данным нарисуем график товарооборота за 2012-2013 гг.
(рис. 2.3)
Рис.
2.3 График динамики товарооборота 2012-2013 гг.
По графику явно наблюдается спад продаж в зимний период вызванный тем,
что спортивные товары не пользуются таким высоким спросом в данный сезон.
В весенний период также наблюдается спад продаж, что вызвано праздниками
в феврале и марте и несезонностью спортивных товаров.
В летний период наоборот наблюдается резкий рост продаж, особенно в июне,
что вызвано высоким спросом на спортивную одежду и инвентарь для активного
отдыха.
В осенний период заметно снижается по сравнению с летним периодом.
По данным графика можно сделать выводы, что продукция компании пользуются
особенным спросом в теплые сезоны, что представляет дополнительную нагрузку на
отдел закупок в этот период и соответственно должен своевременно размещать заказы,
чтобы обеспечить возросший спрос, а также необходимо развивать ассортимент
товаров в зимний период.
На графике видно явная преемственность по годам уровня товарооборота,
наблюдается стабильный рост товарооборота.
2.1.8 Анализ товарных запасов ООО "Адидас"
Товарные запасы анализируются в абсолютных и относительных показателях.
Абсолютные показатели представляют собой стоимостные и натуральные единицы. Они
удобны проведении инвентаризаций в торговых предприятиях, однако невозможно с
их помощью определить степень соответствия величины товарного запаса
потребностям развития товарооборота. Более широкое распространение получили
относительные показатели, позволяющие сопоставлять величину товарного запаса с
товарооборотом торгового предприятия.
Первым относительным показателем, применяемым при анализе, является
уровень товарных запасов, который измеряется в днях товарооборота по следующей
формуле:

где Ут.з. - уровень товарных запасов в днях товарооборота;
ТЗ - товарный запас на конец анализируемого периода (руб.);
Т/Ободн. - однодневный товарооборот за анализируемый период
(руб.);
Т/Об - объем товарооборота за анализируемый период (руб.);
Д - количество дней в анализируемом периоде.
Уровень товарных запасов характеризует обеспеченность торгового
предприятия запасами на определенную дату и показывает, на какое число дней
торговли (при сложившемся товарообороте) хватит этого запаса.
Вторым важнейшим показателем, характеризующим товарные запасы, является
показатель товарооборачиваемости.
Товарооборачиваемость, будучи одним из показателей эффективности
хозяйственной деятельности торгового предприятия в целом, позволяет оценить и
количественно измерить два параметра, присущие товарным запасам: время и
скорость их обращения.
Время товарного обращения, или товарооборачиваемость в днях
товарооборота, рассчитывается по следующей формуле:

где Обдн. - товарооборачиваемость в днях товарооборота; ТЗ -
средний товарный запас за анализируемый период (руб.); Т/Ободн. -
однодневный товарооборот за анализируемый период (руб.); Т/Об - объем
товарооборота за анализируемый период (руб.); Д - число дней в периоде.
Средний товарный запас за анализируемый период рассчитывается по формуле
средней хронологической моментного ряда:
где ТЗ - средний товарный запас за определенный период (руб.); ТЗ1,
ТЗ2, ТЗ3 ... ТЗn - величина товарных запасов
на отдельные даты анализируемого периода (руб.); N - количество дат, за которые берется величина запасов.
Товарооборачиваемость в днях товарооборота показывает время, в течение
которого товарные запасы находятся в сфере обращения, т.е. число дней, за
которое оборачивается средний товарный запас.
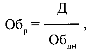
Скорость товарного обращения, или товарооборачиваемость в числе оборотов,
рассчитывается по следующим формулам:

где Обр - товарооборачиваемость в числе оборотов;
Обдн - Товарооборачиваемость в днях товарооборота;
Т/Об - товарооборот за анализируемый период (руб.);
ТЗ - средний товарный запас за анализируемый период (руб.);
Д - число дней в периоде.
Товарооборачиваемость в числе оборотов показывает количество оборотов
среднего товарного запаса за анализируемый период.
Между временем и скоростью товарного обращения существует устойчивая
обратно пропорциональная зависимость. Уменьшение времени и увеличение скорости
товарного обращения позволяют осуществить больший объем товарооборота при
меньших размерах товарного запаса, что способствует снижению товарных потерь,
расходов по хранению товаров, оплате процентов за пользование кредитом и т.п.
Для проведения анализа товарных запасов используются данные за период 2011-2012
гг.
Таблица 2.9 Показатели анализа товарных запасов ООО "Адидас" за
2011-2013 гг.
|
Показатели
|
Период
|
Темп роста, в %
|
|
2011 г.
|
2012 г.
|
2013 г.
|
2012 г. / 2011
г.
|
2013 г. / 2012
г.
|
2013 г. / 2011
г.
|
|
Товарные запасы на конец
года, тыс. руб.
|
5324265
|
6742731
|
10774489
|
123.31%
|
160.44%
|
197.85%
|
|
Средняя величина товарных
запасов за год в фактических ценах, тыс. руб.
|
443688,75
|
561894,25
|
897874,12
|
126,64%
|
159,79%
|
202,37%
|
|
Средняя величина товарных
запасов за год в сопоставимых ценах, тыс. руб.
|
443688,75
|
526611,29
|
799899,26
|
118,69%
|
151,90%
|
180,28%
|
|
Уровень товарных запасов, в
днях товарооборота
|
80,73
|
87,41
|
112,82
|
108,27%
|
129,08%
|
139,75%
|
|
Время обращения товарных
запасов, в днях
|
54,26
|
50,11
|
38,82
|
92,36%
|
77,47%
|
71,55%
|
|
Скорость обращения товарных
запасов, в оборотах
|
6,73
|
7,28
|
9,40
|
108,27%
|
129,08%
|
139,75%
|
Таблица 2.10 Товарные запасы ООО "Адидас" за 2012-2013 гг. на конец
каждого месяца, тыс. руб.
|
2012г.
|
2013г.
|
|
Январь
|
556486
|
687234
|
|
Февраль
|
786546
|
|
Март
|
546252
|
876586
|
|
Апрель
|
535846
|
893215
|
|
Май
|
542654
|
953515
|
|
Июнь
|
575733
|
951326
|
|
Июль
|
587865
|
896546
|
|
Август
|
546230
|
895686
|
|
Сентябрь
|
535968
|
876546
|
|
Октябрь
|
522312
|
872546
|
|
Ноябрь
|
577235
|
1013565
|
|
Декабрь
|
646585
|
1071166
|
|
Итого:
|
6742731
|
10774489
|
На основании данных таблицы 2.10 построим график динамики товарных
запасов на конец каждого месяца за 2012-2013 гг. (рис.2.4)
Рис.2.4
График динамики товарных запасов за 2012-2013 гг.
По данным таблиц 2.9 и 2.10 и по графику видно, что компания накапливает
товарные запасы к концу каждого года и в соответствии с уровнем товарооборота
хранит готовую продукцию на складе, чтобы вовремя обеспечить изменяющийся спрос
в зависимости от сезона.
.2 Анализ
организации товароснабжения магазинов розничной сети ООО "Адидас"
Компания Адидас осуществляет товароснабжение в свои розничные сети путем
складской формы товароснабжения. Для понимания организации товароснабжения
нужно иметь представление о структуре предприятия и товародвижения как от
производителя к покупателю, т.е. компании Адидас, так и внутри торговой сети,
т.е. от консолидационного склада до точек розничной торговли.
Консолидационный склад российского подразделения ООО "Адидас"
находится в Московской области в городе Чехов, соответственно, оттуда
распределяется вся отгрузка товаров в розничные магазины компании Адидас.
Для наглядности организации процесса товароснабжения в ООО
"Адидас" построим схему товароснабжения по этапам и отделам компании,
отвечающим за выполнение каждой стадии: (рис.2.5)
Для минимизации издержек обращения, "Адидас" прибегает к
средствам аутсорсинга. Более 95% продукции производится независимыми
поставщиками, которые в основном расположены в Азии. Например, Китай (Нанхай
Силу Корпорейшн, Нантонг ЛТД, Нанхай Либерти Интернейшнл Трейд), Филиппины,
Лаос, Камбоджа (Гран Твинс Интернейшнл, Камбоджа ЛТД), Вьетнам, Шри-Ланка, Тайланд
(Найс Аппарел ЛТД) и др. В этих странах сосредоточенна основная часть заводов.
Поскольку ООО "Адидас" обеспечивает их подробными спецификациями на
изготовление и поставку, эти поставщики обладают огромным опытом в производстве
обуви, одежды и аксессуаров.
Рис.2.5. Поэтапная схема процесса товароснабжения ООО "Адидас"
ООО "Адидас" работает с более чем 1200 независимых поставщиков
со всего мира, которые производят продукцию более чем в 65 странах мира. Из
всех заводов, 69% расположены в Азиатско-Тихоокеанском регионе, 17% в Северной
и Южной Америке и 14% в странах Европы, Ближнего Востока и Африки.
Стратегия "Адидас" основана на введении самоуправления в
цепочке поставок, где поставщики берут на себя всю ответственность. Для
достижения этой цели, организация действует в качестве инспекторов и советников
- оценка управления, эффективное соблюдение стандартов, а также предоставление
помощи и поддержки поставщикам, чтобы обеспечить успех в долгосрочной
перспективе. Вся продукция "Адидас" производится на фирменном
европейском оборудовании по эксклюзивным немецким технологиям. Что не позволяет
усомниться в качестве товаров.
Для того чтобы увидеть, сколько организация закупает товаров и у каких
поставщиков, проведем анализ поставщиков "Адидас" за 2012 год.
Таблица 2.11 Поставщики ООО "Адидас" за 2013 год
|
Страна
|
Наименование организации
|
Поставляемая продукция
|
|
Аргентина
|
Brand Shoes S.
|
Обувь
|
|
Австралия
|
QA Sportswea
|
Текстиль
|
|
Беларусь
|
Динамо
|
Текстиль
|
|
Бразилия
|
Bordacruz Bordados Ltda
|
Текстиль
|
|
Болгария
|
BulgarianBeachwea
|
пляжный текстиль и обувь
|
|
Камбоджа
|
Meng Da Footwear
Industrial Co. Ltd. (EVC)
|
Обувь
|
|
Канада
|
BK Manufacturin
|
Текстиль
|
|
Чили
|
Textiles Panter Ltd
|
Текстиль
|
|
Китай
|
Changtai Joy
Accessories Co. Ltd
|
Аксессуары
|
|
Китай
|
DalianHuachi
Habiliment Co. Ltd
|
Текстиль
|
|
Китай
|
Dong GuanYue
YuenFootwear Co. Ltd. (YYII-YC1
|
Обувь
|
|
Китай
|
Haining United
Socks Co. Lt
|
Носки
|
|
Китай
|
Pinghu Zhenyu
Luggage and Bags Co. Ltd
|
Сумки
|
|
Колумбия
|
Socks & Textiles
Industriales SA
|
Текстиль
|
|
Германия
|
WappenMen's FashionGmb
|
мужской текстиль
|
|
Греция
|
P. Lazaridis & Co. E.
|
Текстиль
|
|
Индия
|
Apache Footwear
India Private Lt
|
Обувь
|
|
Италия
|
Santini
Maglificio Sportivo S.R.L
|
Обувь
|
|
Япония
|
Segawa Socks Co. Ltd
|
Носки
|
|
Корея
|
Boo Young Textile C
|
Текстиль
|
|
Лаос
|
Mega-Lao Co. Ltd
|
Обувь
|
|
Мексика
|
Campeche Sportswear
|
обувь и текстиль
|
|
Португалия
|
GoSports-Industria Textil
Lda
|
Текстиль
|
|
Россия
|
Jackot Ltd.Moscow
|
Текстиль
|
|
Россия
|
Mustang . Tver
|
Текстиль
|
|
Россия
|
Sobinskaya Garment Factory
|
Текстиль
|
|
Россия
|
Trunteva Anna Aleksandrovna
|
Текстиль
|
Среди главных поставщиков текстиля в России можно выделить четыре:
· DalianHuachi HabilimenCo. Ltd (Китай),
· PT Tung Mung Textile Binta (Индонезия),
· Trunteva Anna Aleksandrovna (Россия),
· Carol Textile Co. Lt. (Тайланд)
Из Таблицы 2.11 следует, что наибольшее количество товаров
"Адидас" закупает у Китайского поставщика DalianHuachi HabilimenCo. Ltd. Его доля в общем объёме
поставок составила 34 %. Также важное место занимает Индонезийский поставщик PT Tung Mung Textile Binta, его доля в общем объёме поставок 27 %. (рис.2.5)
Доля поставщика Carol Textile
Co. Lt (Тайланд) - 22%. На долю России приходится примерно 16%.
Рис 2.6. Удельный вес стран в структуре закупок ООО "Адидас"
Таблица 2.12 Количество ассортиментных позиций, поставляемых отдельными
поставщиками ООО "Адидас" в 2012 и 2013 гг.
|
№ п/п
|
Основные поставщики
|
2012г.
|
2013г.
|
Отклонение
|
Темп роста, %
|
|
|
Кол-во наимен. поставляемых
товаров, ед.
|
Уд. вес. в закупки, %
|
Кол-во наимен. поставляемых
товаров, ед.
|
Уд. вес. в закупки, %
|
Абс, ед.
|
Относит, %
|
|
|
Текстиль
|
|
1
|
Китай
|
1500
|
34,09
|
1700
|
34,69
|
200
|
0,60
|
113,33
|
|
2
|
Индонезия
|
1200
|
27,27
|
1200
|
24,49
|
0
|
-2,78
|
100,00
|
|
3
|
Россия.
|
700
|
15,91
|
900
|
18,37
|
200
|
2,46
|
128,57
|
|
4
|
Тайланд
|
1000
|
22,73
|
1100
|
22,45
|
100
|
-0,28
|
110,00
|
|
Итого:
|
4400
|
100,00
|
4900
|
100,00
|
500
|
0,00
|
111,36
|
|
Обувь
|
|
1
|
Китай
|
500
|
40,1
|
510
|
40,5
|
10
|
0,4
|
102
|
|
2
|
Индонезия
|
350
|
26
|
365
|
20
|
15
|
-6
|
104,3
|
|
3
|
Россия
|
190
|
13,9
|
190
|
10,5
|
0
|
-3,4
|
100
|
|
4
|
Тайланд
|
300
|
20
|
320
|
29
|
20
|
9
|
106,7
|
|
Итого:
|
1340
|
100,0
|
1385
|
100,0
|
45
|
0
|
103,3
|
По данным таблицы 2.12 выше можно нарисовать график удельного веса каждой
из основных стран поставщиков в динамике за 2012-2013 гг.
Рис 2.7. Удельный вес поставщиков по странам в динамике 2012-2013 гг.
Судя по графику, структура основных поставщиков за два года сильно не
изменилась, но доля Индонезии сильно снизилась как в текстиле, так и в производстве
обуви, доля России в производстве обуви также резко сократилась, доля Таиланда
в производстве обуви резко выросла.
ООО "Адидас" практически полностью отказалось от оптовой
торговли, интерес к прямым поставкам объясняется еще и тем, что в ближайшее время
планируется увеличивать количество магазинов по стране.
В начале 2011 года "Адидас" провел тендер на ответственное
хранение своей продукции в Екатеринбурге. В тендере приняли участие около 10
компаний - складских операторов столицы Урала. Во второй этап тендера вышли
пять компаний, но в итоге тендер выиграла логистическая компания "AVS
Логистик", которая предложила условия, максимально соответствующие
требованиям компании. Логистическая компания стала основным транспортным
перевозчиком ООО "Адидас": получая товар из Москвы на свои склады в
Екатеринбурге, она поставляет его в магазины, расположенные на территории
Уральского региона.
Московское подразделение "AVS Логистик" выиграло аналогичные
тендеры и в настоящее время активно поставляет продукцию ООО "Адидас"
в города: Казань, Самара, Краснодар и Санкт-Петербург. Вся продукция компании
"Адидас" доставляется по технологии "Just in time" ("точно в
срок") и в полной сохранности, в результате чего "AVS Логистик"
заработал репутацию надежного партнера.
В магазины "Адидас" поставки приходят 4 раза в неделю из
распределительного центра. Грузоперевозки совершаются при помощи
автотранспорта.
2.3 Анализ
системы организации поставок розничной сети ООО "Адидас"
Компания Адидас является крупной международной компанией с богатым
наследием, соответственно, российское представительство Адидас работает по уже
сложившимся традициям и международной практики развития представительств. В
условиях международной интеграции закупка товаров осуществляется как у
внутренних поставщиков, так и внешних (зарубежных). Компания Адидас имеет
широкую сеть поставщиков, включающую более 1200 фабрик в 65 странах по всему
миру, из которых можно выделить 5 основных: Китай, Индия, Индонезия, Тайвань и
Вьетнам.
Формирование заказов осуществляется по форме международных соглашений,
которые соответствуют международным нормам внешнеэкономической деятельности.
Далее будет рассмотрена более подробная модель формирования заказов у
зарубежных поставщиков компании Адидас.
Начинается процесс закупки товаров с создания так называемого таргета (target с англ.- цель, план, задание),
поступающего от генерального директора корпорации Adidas-Group
и совета директоров. Далее, отдел стратегического планирования бизнеса (Business Development Department) разрабатывает план работы на
будущие пять лет для каждого отдела.
Так как ООО "Адидас" занимается розничной торговлей, основная
выручка компании поступает от продаж товарами. Очень важно, чтобы произведенный
товар хорошо продавался на рынке и приносил максимальную прибыль. Поэтому,
основной упор в планировании работы компании, а также наибольшая
ответственность приходится на отдел закупок.
После того, как отдел планирования бизнеса дает таргет, специалисты
отдела закупок выезжают в Германию изучить товарный ассортимент, планируемый к
производству в новых коллекциях. Выбрав артикулы, определив объем закупки
товаров по каждому артикулу, они составляют прогноз продаж, т.е. какие артикулы
в каких городах и торговых центрах, в каком количестве и как долго будут
продаваться. Далее, если прогнозируемые продажи соответствуют намеченным целям,
они составляют заказ и передают его в отдел логистики, который взаимодействует
с фабриками-производителями.
Для формирования заказов компания Адидас использует специальное
программное обеспечение SAP (Systems, Applications and Products in Data
Processing), разработанное немецкими производителями и подстроенное специально
для ООО "Адидас". Данное программное обеспечение позволяет
автоматизировать процессы производства, обрабатывать данные, а также
обмениваться информацией в электронном виде как между отделами, ответственными
сотрудниками внутри компании, так и между поставщиком и покупателем.
Основанием для закупки товаров и оплаты всех работ и услуг в компании
является договор.
В случае, если договор с поставщиком "рамочный", т.е. в
договоре отсутствует информация о предмете договора, стоимости и сроках
поставки, основанием для закупки будет приложение к договору или счет, которые
содержат эти данные.
Все договоры, включая дополнительные соглашения, приложения, уведомления
и прочие сопровождающие договор документы подлежат обязательной регистрации в
электронных системах управления договорами LCM (Legal Contract
Management) или LeaseAdmin (база договоров аренды) в
зависимости от целевого назначения. Регистрацию выполняет отдел, инициирующий
закупку, в данном случае отдел логистики.
При регистрации договоров в системах LCM или LeaseAdmin договору присваивается регистрационный номер (пример: LCM-10470). Этот номер указывается в
учетных документах кредитора для целей контрактного учета.
Далее следует заявка на закупку.
Заявка на закупку (Purchase request)-
внутренний документ, который является разрешением для закупки товаров, работ и
услуг, а также для оплаты по закупке. Заявка на закупку содержит информацию о
закупке:
• Описание закупки;
• Сумма;
• Количество;
• Дата поставки;
• Поставщик;
• МВЗ - Место Возникновения Затрат (как правило, № конкретного
магазина)/Внутренний заказ (Cost Center/Internal Order);
• GL (General Ledger) счета - счета главной книги.
Для оформления заявки на закупку используется специальная электронная
форма. (рис.2.8)
Рис.2.8
Заявка на закупку
После формирования заявки уже начинается процедура заказа товаров.
Заказы на поставку (Purchase Order)
используются для ведения в SAP
данных о планируемой или совершенной закупке.
Сам процесс закупки в компании Адидас выглядит следующим образом.
Инициатору необходимо:
1. Cогласовать
и подписать договор;
2. Заполнить и распечатать заявку на закупку;
. Согласовать и подписать заявку на закупку у контролера;
. Передать документы казначею для заведения вендора (vendor с англ.- продавец, поставщик) в SAP;
. Зарегистрировать договор в электронной базе договоров LCM;
6. Cогласовать и подписать заявку на закупку у бухгалтера;
. Завести заказ на поставку в SAP с указанием LCM-номера;
. Передать договор, документы с указанием номера заказа на
поставку, заявку на закупку ответственному бухгалтеру для учета и оплаты.
На рисунке ниже наглядно изображено как выглядит процесс закупки, и
демонстрируется взаимодействие между подразделениями компании.
Рис.2.9.
Процесс закупки по подразделениям компании ООО "Адидас"
Для автоматизации и контроллинга учета поставок используется специальное
управление книгой заказов. И включает следующие понятия:
• ARUN (Allocation run) - предварительное распределение товара;
• ATP (Available to Promise) - нераспределенные товарные запасы.
Книга заказов содержит следующие данные:
• Распределение товара;
• Предварительный просмотр;
• Нераспределенные товарные запасы;
• Перераспределение товара.
ARUN -
это сложный инструмент SAP,
осуществляющий распределение товарного остатка по открытым заказам с учетом
ряда правил и установленных бизнес требований. Главная задача ARUN - в случае нехватки товара, найти
оптимальное решение по его распределению между магазинами.
Рис.
2.10 ARUN на схеме процесса
Основные правила распределения товара в заказы:
1. Требуемая дата доставки товара (Requested Delivery Date - RDD):
требования, попадающие в более ранний отрезок, выполняются в первую очередь;
2. Сортировка по типу заказа (приоритет предзаказа перед заказом со
склада);
. Сортировка по дате и времени создания документа: при расстановке
приоритетов система учитывает дату и время создания документа.
Arun
работает на основе правил, которые должны обозначить при создании массовых
настроек. Массовые настройки будут изначально созданы перед запуском работы
новой системы. Но в процессе работы также можно менять правила работы Arun.
Для обеспечения эффективной работы структурного подразделения ООО Адидас
используется Правило минимальной поставки:
Правило минимальной поставки определяет минимальный процент реализации
заказа, при котором возможно формирование поставки. Процент определяется на
уровне заголовка, одной позиции или строки (артикула). Данное правило также
определяет схему процесса в случае несоответствия минимальному значению.
Например: правило минимальной отгрузки - 80% на уровне позиции (Sales order line) и 50% на уровне заголовка заказа (Sales order Header). Если заказ успешно проходит проверку на
соответствие правилу, заказу присваивается статус "Фиксирован"
("Fixed"); в противном случае
присваивается статус "Зарезервирован" ("Reserved"). Заказы со статусом
"Зарезервирован" включаются в работу на следующий день для достижения
минимального порога.
На заказы со статусом "Фиксирован" будут созданы заказы на
отгрузку после работы по аллокированию (распределению) товара.
Если необходимо по каким-то причинам отгрузить заказ, где артикулы
находятся в статусе "Зарезервирован", необходимо воспользоваться
инструментом Management Tool и перевести артикулы в статус "Фиксирован".
Только после этого можно создать Заказ на отгрузку (Delivery note).
Распределение товара между точками продажи происходит на ежедневной
основе в ночном автоматическом режиме (Night Batch Job). Однако в качестве исключения можно запустить Arun вручную в любой момент времени в
течение рабочего дня. Например, если не сработал ночной Job.
ARun Preview - отчет,
который показывает распределение товаров по заказам на текущий момент. Данный
инструмент позволяет оценить книгу заказов, включая будущие поступления,
связать заказы магазинов (SO) с
товарными остатками и заказами на производство (PO) для выявления проблемных участков и анализа причин.
Следует отметить, что ARun Preview применяет
правила расстановки приоритетов из Arun и учитывает не только имеющийся товар, но и заказы на производстве.
Данный инструмент помогает на ранней стадии выявить проблемы и
предпринять меры по их решению. Предоставляет широчайшие возможности отслеживания
статуса доставки товара. Например:
· Получение актуальной информации по статусу доставки каждого заказа SO в любой момент времени;
· Понимание того, какой заказ будет доставлен вовремя;
· По какому заказу вероятны задержки;
· Продление сроков для решения потенциальных проблем с
доставкой;
· Постоянное отслеживание качества поставок для выявления
слабых звеньев логистической цепи.
Глава 3.
Основные направления совершенствования организации товароснабжения на примере
ООО Адидас
.1
Совершенствование организации товароснабжения на основе систем управления
запасами
Состояние и эффективность использования производственных запасов, как
самой значительной части оборотного капитала, является одним из основных
условий успешной деятельности предприятия.
Как уже говорилось ранее, для обеспечения непрерывного и эффективного
функционирования практически любой организации необходимо создание запасов. В
любой задаче управления запасами требуется определять количество заказываемой
продукции и сроки размещения заказа. Соответственно увеличивается количество не
только готовых изделий, но и материальных ресурсов, требуемых для их
изготовления.
Многие результирующие показатели хозяйственной деятельности предприятия в
значительной степени зависят от того, как решаются проблемы, связанные с
хранением товарно-материальных запасов и поддержанием определенного их уровня.
Товарные запасы - количество товаров в денежном или натуральном
выражении, находящихся в торговых предприятиях, на складах, в пути на
определенную дату. (ГОСТ Р 51303-99 Торговля. Термины и определения.)
Соответствие спроса и предложения достигается за счет товарных запасов.
Товарные запасы служат реальным предложением товаров, обеспечивающим их
бесперебойную продажу.
Необходимость образования товарных запасов вызвана многими факторами:
· время, необходимое для транспортировки товаров от места производства до
места продажи, включая время на погрузку-разгрузку;
· сезонные колебания в производстве и потреблении товаров;
· несоответствие между производственным и торговым
ассортиментом товаров;
· особенности в территориальном размещении производства;
· условия транспортировки товаров;
· звенность товародвижения;
· возможности для хранения товара и т.п. [16, c.42]
Классифицировать товарные запасы можно по следующим признакам:
· по местонахождению:
в оптовой или розничной торговле;
в промышленности;
в пути;
· по срокам:
на начало периода;
на конец периода;
· по единицам измерения:
абсолютные - в стоимостном и натуральном выражении;
относительные - в днях товарооборота;
· по назначению:
текущего хранения (для обеспечения повседневных нужд торговли);
сезонного назначения (для обеспечения бесперебойной торговли в периоды
сезонных изменений спроса или предложения);
досрочного завоза (для обеспечения бесперебойной торговли в отдаленных
местностях на протяжении периода между сроками завоза товаров);
целевые товарные запасы (для осуществления определенных целевых
мероприятий).
Для поддержания оптимального уровня величины товарных запасов необходимо
следовать четко налаженной системе управления запасами.
Под управлением товарными запасами понимается установление и поддержание
такой их величины и структуры, которая отвечала бы поставленным перед торговым
предприятием задачам. Управление товарными запасами предполагает:
· их нормирование (установление необходимой величины товарных запасов для
каждого вида);
· их оперативный учет и контроль (в торговом предприятии должны
быть четко отражены остатки запасов на начало и конец месяца, данные об их
поступлении и отгрузке);
· их регулирование (поддержание запасов на определенном уровне,
свободное маневрирование ими).
Если говорить о несоблюдении перечисленных рекомендаций, это может
вызвать недостаток или излишек товарных запасов. При недостаточной величине
запасов возникают сложности с товарным обеспечением товарооборота предприятия,
а также с устойчивостью ассортимента; излишние же запасы вызывают
дополнительные убытки, увеличение потребности в кредитах, что ведет за собой
рост расходов на выплату процентов, увеличение расходов по хранению запасов,
что в совокупности ухудшает общее финансовое состояние торгового предприятия.
Как уже было сказано, ни одно современное производство не может обойтись
без функций хранения сырья и материалов, полуфабрикатов и комплектующих
изделий, инструментов и инвентаря.
Возникновение запасов обусловлено естественными природными и
экономико-технологическими условиями. Необходимость образования запасов связана
также с разделением труда, условиями производства и потребления товаров,
которые разобщены как во времени, так и в пространстве.
Запасы представляют собой значительную часть оборотных средств любого
предприятия и соответственно влекут за собой большую часть капиталовложений,
поэтому так важно, чтобы запасами управляли эффективно.
С этой целью в компании ООО "Адидас" функционирует специальное
подразделение, занимающееся пополнением запасов в магазинах, называемое
"отдел Репленишмент" Replenishment Group (Replenishment (с англ.) - пополнение). В него
входят: руководитель, три ведущих специалиста и шесть специалистов отдела. Три
помощника отдела трудоустроены вне штата компании, как и все ассистенты в ООО
"Адидас".
Основная цель отдела: Обеспечение оптимального товарного запаса в
магазинах компании с целью максимизации продаж.
Основные функции:
· Своевременный запуск коллекции в магазины в соответствии со стартовой
датой артикула, определяемой продакт-группой и минимизацией логистических
издержек;
· Планирование и организация процесса перемещения предыдущей
коллекции из розничных подразделений в дисконт-центры;
· Распределение продукта по магазинам компании, согласно
ассортиментной матрице, созданной отделом планирования на основе вместимости
магазинов;
· Формирование заказов на подсортировку с учетом: текущих
продаж; наличия товаров в магазине, на складе; периодом между поставками;
· Перемещение продукта между магазинами с целью оптимизации
товарного запаса и своевременной смены коллекций.
Основные операционные вопросы, которыми занимается подразделение:
· Формирование еженедельных заказов;
· Формирование заказов для новых магазинов (по заявке
территориального операционного менеджера);
· Вывоз (перераспределение) товара из закрывшихся магазинов;
· Распределение возвратов по аутлетам со склада;
· Подготовка процедуры возврата (контроль за выводом предыдущей
коллекции);
· Запуск новой коллекции в магазины;
· Обработка заказов с формой для сотрудников магазинов;
· Формирование заказов на пакеты;
· Обработка заявок, присланных на электронную почту
Replenishment Group.
· Перемещение товара между магазинами.
В ходе исследования были выявлены следующие основные недостатки процесса
товароснабжения ООО "Адидас":
· Большое транзитное время (для дальних регионов время доставки занимает до
18-20 дней);
· Отсутствие информации от магазина и наличие неучтенной в 1С
поставки на день формирования заказа приводит к некорректной работе алгоритма
пополнения и, как следствие, к потере продаж.
· Дефицит ряда артикулов/размеров для ключевых магазинов в
конце сезона.
Таким образом, проведенный анализ организации товароснабжения розничной
торговой сети ООО "Адидас" дает возможность разработать основные
направления повышения ее эффективности:
· Своевременная идентификация и вывод из общего оборота дефицитных товарных
единиц (перемещение их в дисконт-центры) с целью максимально возможного
пополнения продаж ключевых магазинов;
· Оценка алгоритма пополнения/коррекции магазинов на основе
опыта других компаний, включая зарубежный опыт;
· Для частичной компенсации некоторых недостатков предоставить
специальный сервис для ключевых магазинов;
· Разработать мотивационную программу для персонала
подразделения, отвечающего за магазины категории "А" (конкурс, оценка
ключевых показателей доступности товара на двухнедельной основе).
· Контроль за наличием в офисной системе данных от магазина за
предыдущий день (дни);
Диагностика запасов предприятия методами
корреляционно-регрессионного анализа
В рамках данного параграфа проводим корреляционно - регрессионный анализ
применительно к ООО "Адидас" на примере зависимости уровня чистой
прибыли к товарным запасам за 4 квартала 2013 года. Данные о чистой прибыли и
товарных запасов за 4 квартала 2013 года в таблице.
Таблица 3.1 Данные о чистой прибыли и товарных запасов за 4 квартала 2013
года, млн. руб.
|
квартал 2013
г.
|
читая прибыль (х)
|
товарные запасы (у)
|
|
1
|
1125.33
|
2279.72
|
|
2
|
1378.49
|
2798.06
|
|
3
|
1356.88
|
2668.78
|
|
4
|
1453.22
|
2787.28
|
Необходимо:
· проанализировать существующую зависимость между товарными запасами и
уровнем чистой прибыли;
· определить тесноту связи между чистой прибылью и товарными
запасами.
На основании данных таблицы графически изобразим зависимость товарных
запасов и чистой прибыли на рисунке 3.1
Рис.
3.1 Зависимость товарных запасов и чистой прибыли
Рисунок 3.1 показывает, что для зависимости между товарными запасами и
чистой прибыли может быть использовано уравнение прямой линии:
у(х) = а0 + а1 х
Для расчета значений а 0 и а 1 составим вспомогательную таблицу 3.2
Таблица 3.2 Вспомогательная таблица для расчета значений а0 и а1
|
квартал 2013
|
читая прибыль (х)
|
товарные запасы (у)
|
xy
|
x2
|
y2
|
|
1
|
1125.33
|
2279.72
|
2565427.09
|
1266360.86
|
5197109.60
|
|
2
|
1378.49
|
2798.06
|
3857086.62
|
1900229.17
|
7829117.38
|
|
3
|
1356.88
|
2668.78
|
3621208.82
|
1841120.62
|
7122376.01
|
|
4
|
1453.22
|
2787.28
|
4050515.53
|
2111836.74
|
7768913.07
|
|
итого
|
5313.91
|
10533.83
|
14094238.07
|
7119547.39
|
27917516.07
|
|
среднее
|
1328.48
|
2633.46
|
|
|
6979379.02
|
Значение коэффициента а 1 определяется по формуле:
Используя
данные таблицы 3.2, определяем:
a1=
(4*14094238.07-5313.91*10533.83)/(4*7119547.39-5313.91*5313.91) = 1.6676
Итого:
а1 = 1.6676. Это число показывает теоретическую величину увеличения
товарных запасов при увеличении чистой прибыли на единицу. Тогда коэффициент а
0 можно для средних значений можно определить по формуле:
Используя
данные таблицы 3.2, рассчитываем:
a0= 2633.46-1.6676*1328.48=418.087
Это
число показывает теоретически возможный объем товарных запасов при минимальном
уровне чистой прибыли.
Тогда
теоретическое уравнение зависимости товарных запасов от чистой прибыли примет
вид:
Таблица 3.3 Расчеты показаний У(х) для уравнения
|
квартал 2013
|
читая прибыль (х)
|
товарные запасы (у)
|
у(х)
|
|
1
|
1125.33
|
2279.72
|
2294.682
|
|
2
|
1378.49
|
2798.06
|
2716.854
|
|
3
|
1356.88
|
2668.78
|
2680.818
|
|
4
|
1453.22
|
2787.28
|
2841.47
|
|
Итого
|
5313.91
|
10533.83
|
|
|
Среднее
|
1328.48
|
2633.46
|
|
Теснота связи между показателями цены и объема продаж рассчитывается по
формуле:
=
(4* 14094238.07 - 5313.91* 10533.83)/(
7119547.39-
5313.91* 5313.91)*(4* 27917516.07- 10533.83* 10533.83) = 0.971654
Из данных расчета видно, что коэффициент корреляции (r) близок к единице и равен 0,971654,
следовательно, уравнение связи между объемом товарных запасов и объема чистой
прибыли значимо. Взаимосвязь, сложившаяся между исследуемыми показателями
тесная, что позволяет сказать о том, что полученные прогнозные данные
достаточно объективны и могут быть взяты за основы при составлении плана сбыта.
Важным фактором, обеспечивающим получение максимальных объемов чистой
прибыли для предприятия, является грамотное распределение товарных запасов, что
напрямую влияет на товарооборот предприятия.
.2
Особенности функционирования распределительных центров в системе
товароснабжения розничных торговых сетей
В последнее время в связи с оживлением розничной торговли и развитием
торговых сетей специалисты и практики для решения возникающих проблем были
вынуждены обратиться к опыту Запада.
Объективная необходимость в создании распределительных центров возникла
одновременно с появлением новых типов магазинов (супермаркетов, гипермаркетов и
др.) и формированием крупных розничных сетей. Это объясняется тем, что чем
больше ассортимент выпускаемой продукции, тем невыгодней становится доставлять
её до потребителей. Число поставок и соответственно транспортные расходы
стремительно возрастают. При появлении распределительного центра готовая
продукция из производства доставляется на распределительный центр, здесь ее
сортируют в соответствии с потребностями клиентов или магазинов и отгружают.
Эффективность функционирования распределительных центров в значительной
степени оказывает влияние на эффективность деятельности предприятия в целом.
Большие площади распределительного центра требуют четкой системы хранения
запасов, большое количество сотрудников требует сплоченной организации их работ
и оптимизации их деятельности. Реализация системы снабжения и сбыта на базе
распределительного центра позволяет значительно сократить затраты на хранение,
на персонал, упростить и оптимизировать внутренние логистические процессы.
Применительно к складу это означает такое управление товарными потоками,
которое обеспечивало бы согласование характеристик выходящего потока (со
склада) с входящим (на склад) при оптимизации всех имеющихся на складе
ресурсов: складских мощностей, технических средств, складского персонала и т.п.
[7, c.36-38]
Основные причины использования распределительных центров в системе
товароснабжения:
· Координация и выравнивание спроса и предложения в снабжении и
распределении;
· Уменьшение издержек при транспортировке (экономичные партии
доставки);
· Максимальное удовлетворение потребительского спроса
(максимальный уровень сервисного обслуживания);
· Создание условий для поддержания активной стратегии продаж;
· Расширение географического охвата рынка;
· Бесперебойное снабжение конечных потребителей и возможность
организации у них товарных запасов;
· Обеспечение гибкой политики обслуживания, особенно в системах
с независимым спросом.
Склад, как и любой элемент системы товароснабжения, должен осуществлять
свою деятельность с учетом эффективности всей системы. Поэтому
распределительный центр должен выполнять следующие основные функции: (рис.3.1.)
· Предоставление возможности управляющему органу закупать крупные партии
товаров для поддержания оптимального ассортимента в обслуживаемых им розничных
магазинах. За счет этого достигаются минимальные закупочные цены, ускоряется
оборачиваемость товарных запасов и рост розничных продаж;
· Оптимизация торгово-технологических и складских операций с
целью снижения эксплуатационных и других издержек;
· Обеспечение концентрации и хранения запасов позволяет
выравнивать разницу между выпуском продукции и ее потреблением и дает
возможность непрерывного производства и снабжения на базе товарных запасов. В
распределительной системе хранение товаров необходимо также в связи с сезонным
потреблением и для гибкого реагирования на любые изменения потребительского
спроса.
· Оптимизация транспортных потоков, что позволяет снижать
нерациональное использование транспорта;
· Оптимизация работы по контролю качества товаров,
подтверждения соответствия (сертификация) и т. д.
За счет переноса этих работ из магазинов в РЦ достигается централизация
людей и средств, что позволяет сократить внутрихозяйственные затраты на
предприятиях розничной торговли.
Рис.3.1. Функции распределительного центра
Основные задачи распределительного центра:
· Управление ассортиментом и количеством товаров.
Изначально в обязанности РЦ входит, как уже говорилось, поставка товаров в
магазины в нужном количестве с необходимой регулярностью. Это определяется
товарооборотом каждого магазина.
· Защита предприятия розничной торговли
потребителей от различных непредвиденных обстоятельств (отсутствие товаров у
поставщика, забастовка, катастрофы и т.д.)
· Управление взаимоотношениями с
поставщиками. Руководство сетевого торгового предприятия, заключая договоры с
поставщиками, обычно прописывает в них объемы, сроки и графики поставок, а
также порядок изменения условий (например, цен). Однако в нашей
действительности далеко не все поставщики точно выполняют договорные
обязательства, и ситуации пере- и недопоставок, пересортицы и произвольного
изменения цен встречаются сплошь и рядом. Вовремя отслеживать все нарушения и
решать возникающие проблемы также входит в функции РЦ, и делать это необходимо
в момент прихода товара. А потому РЦ должен обладать нужными ресурсами (от
информационного обеспечения до кадров соответствующей квалификации) - ведь
сотрудники центра несут всю полноту ответственности за принятый товар и имеют
при этом полномочия для принятия решений в соответствии с их должностными
инструкциями (например, вернуть обратно поставку целиком или частично, принять
на определенных условиях и т. д.).
· Подготовка товара - также одна из
важных задач РЦ. Сюда относится прежде всего перемаркировка, которая часто
бывает необходима из-за отсутствующих или некачественных штрих-кодов. Также
здесь происходит придание специальной упаковки.
Необходимо помнить о том, что, стремясь добиться
оптимальной организации деятельности склада, каждая компания решает ряд других
проблем:
· Как повысить производительность склада?
· Как оптимизировать имеющиеся ресурсы?
· Сколько работников должно быть на
складе?
· Какая система мотивации эффективна?
· Как сократить кражи?
· Как сократить время комплектации
заказа?
· Как повысить трудовую дисциплину?
· Как обеспечить материальную
ответственность?
· Какая информационная система
оптимальна для данного склада?
Перечисленные внешние и внутренние специфические
особенности функционирования склада и проблемы, которые ему приходится решать,
делают каждый склад непохожим на другой. Вот почему при оптимизации работы
конкретного склада или распределительного центра необходимо как аксиому
помнить: только индивидуальный подход к решению проблем конкретного склада с
учетом внешних и внутренних факторов, влияющих на его деятельность, сделает его
эффективным.
В компании ООО "Адидас" функционирует один
распределительный центр в Московской области (Чеховский район, промышленная
зона Новоселки, владение 19, строение 6).
Склад вместимостью 3 млн. штук товара и со стеллажным
типом хранения работает круглосуточно 7 дней в неделю.
Штат включает в себя 1200 человек разных должностей.
Современные системы складирования продукции и автоматизированное
управление операциями, многообразие способов грузопереработки, упаковки и
новейшие концепции в области транспортировки - все это позволяет отвечать возрастающим
требованиям рынка.
Однако с учетом выявленного ранее недостатка (большое транзитное время
для дальних регионов) в качестве рекомендации следует предложить компании ООО
"Адидас" открыть новые региональные склады временного хранения в
крупных городах отдаленных регионов, например в Ростове-на Дону и в
Новосибирске. Это позволит сократить издержки на транспортировку, а также не
допускать простоев магазинов без новых товаров, а значит увеличить выручку
компании.
Глава 4. Товароведная характеристика и экспертиза качества
кофе натурального в зернах
Рынок кофе является сегментом рынка продуктов питания и горячих напитков.
За последние 10 лет рынок кофе показал выдающийся рост и существенное изменение
во вкусах потребителей. Если в конце прошлого века показатель потребления кофе
составлял 400 грамм в год на душу населения, то на сегодня это значение
приближается к 1 кг в год. За эти годы кофе превратился в один из базовых
продуктов потребительской корзины, однако объемы потребления все еще ниже, чем
в западных странах, таких как Финляндии (12 кг / на душу населения).
Кроме того, увеличение платежеспособного спроса, изменения стиля жизни, и
как следствие, структуры расходов населения, изменили структуру рынка в пользу
более дорогих сортов кофе.
.1 Товароведная характеристика кофе натурального в зернах
.1.1
Основные виды и ассортимент кофе
Кофе классифицируют по следующим признакам.
В зависимости от ботанического вида:
·Арабика (составляет около 70% от мирового производства кофе);
·Робуста (составляет около 30% от мирового производства кофе);
·Либерика. [2, c.1]
В зависимости от происхождения натуральный кофе подразделяют на:
·Колумбийский - мягкий вкус, крепкий настой, тонкий, ярко выраженный
аромат;
·Гватемальский - тонкий вкус и аромат, хорошая крепость;
·Коста-Риканский - тонкий аромат, ярко выраженный кисловатый вкус;
·Гондураский - ярко выраженный аромат, винный вкус средней крепости;
·Индийский Черри - приятный, мягкий вкус, нежный, ярко выраженный аромат;
·Йеменский Ходейда (Мокко) - приятный, кисловатый, хлебный вкус, ярко
выраженный аромат;
·Кенийский - приятный, кисловатый вкус, хорошо выраженный аромат;
·Бразильский Сантос- горьковато-вяжущий вкус, слабовыраженный аромат;
·Вьетнамский Робуста - горький вкус, слабовыраженный аромат
·Индийский Черри АВ, Черри РВ - горьковатый вкус, слабовыраженный аромат;
По степени обжарки различают кофе:
·Слабо обжаренный / лёгкий / новоанглийская обжарка (зерно приобретает
светло-коричневый цвет; кисловатый вкус; применяется для зерен с мягким
вкусом);
·Средне обжаренный / умеренный / венская обжарка (обычная степень обжарки,
цвет зерен насыщеннее, поверхность маслянистая);
·Сильно обжаренный / тёмный / французская обжарка 2-ой степени /
континентальный (цвет зерна варьируется от тёмно-коричневого до
чёрно-коричневого; во вкусе доминирует горчинка);
·Высшей степени обжаренный / итальянский / экстремальная обжарка (зёрна
чёрного цвета, на грани обугливания);
В российском ассортименте представлены следующие торговые марки
натурального жареного кофе: Jacobs,
Tchibo, Melitta, Lavazza,
Matador, Lebo, Elite,
Paulig, "Московская кофейня на
паяхъ", "Петр Великiй"
и другие.
Кофе натуральный в зависимости от степени переработки подразделяется на:
·зеленый в зернах;
·жареный в зернах;
·жареный молотый;
·жареный молотый с добавлениями цикория;
·растворимый [5, c.220-221]
Кофе натуральный жареный, в т.ч. декофеинизированный, вырабатывают двух
видов: в зернах и молотый. Натуральный жареный кофе в зернах подразделяют на
сорта: премиум, высший и первый; натуральный жареный кофе молотый - на сорта:
премиум, высший, первый и второй. Сорт натурального жареного кофе зависит от
сорта зеленого кофе, из которого он изготовлен. Так, кофе в зернах сорта
премиум вырабатывают из зеленого кофе сорта премиум с добавлением или без
добавления зеленого кофе высшего сорта; кофе в зернах высшего сорта
вырабатывают из зеленого кофе высшего сорта с добавлением или без добавления
зеленого кофе сорта премиум и (или) 1-го сорта и т.д. Сорт молотого кофе
определяется сортом кофе в зернах, подвергающегося помолу, за исключением
молотого кофе 2-го сорта, который вырабатывают из зеленого кофе 2-го сорта.[25,
c.456]
По ботаническому виду деревья кофе насчитывают несколько сотен
наименований. Но в торговой практике, как уже было отмечено, используются 3
вида - арабика, робуста и либерика.
Арабика (аравийский кофе) - цвет кофейных зерен зеленый с синеватым или
синевато-серым оттенком, по размерам кофейные зерна средние, в длину достигают
от 9 до 15 мм, в ширину - от 8 до 10 мм. После варки кофе имеет приятный и
нежный вкус, а также тонкий кофейный аромат. Содержание кофеина среднее
(0,6-1,5%).
Либерика (либерийский) - цвет кофейных зерен темно-красный, плоды крупные
(длина от 200 до 27 мм), после варки вкус грубоватый, аромат резкий. Содержание
кофеина умеренное (1,2-1,5%).
Робуста - цвет плодов желтый разных оттенков. Плоды мелкие, при варке
вкус и аромат грубые, резкие, кофейные. Содержание кофеина высокое (1,8-3,0%).
Из-за таких различий во вкусе, аромате, а также содержании кофеина эти
виды кофе используют по-разному. Арабику и робусту - для приготовления кофе, а
либерику - в кондитерской промышленности. При этом кофе со стопроцентным
содержанием арабики и робусты встретишь не часто, а вот смесь этих видов в
разных пропорциях очень распространена.
Кроме различий по ботаническому виду на качество получаемых напитков
оказывает огромное влияние место их произрастания, так как в разных частях
света кофейные зерна одного вида будут отличаться друг от друга. Рассмотрим основные
места произрастания кофе.
Бразилия занимает первое место в мире по экспорту кофе. Считается, что
этот вид кофе имеет нейтральный вкус, так как у других видов существуют
различные оттенки вкуса.
Существует несколько видов бразильского кофе, вывозимых с различных
портов: Виктории, Паранагуа, Сантос и Рио-де-Жанейро.
Кофе, вывозимый через порты Рио-де-Жанейро и Виктория не отличается
изысканным вкусом и ароматом: присутствует оттенок лекарств, который
объясняется наличием в почвах этих районов большого количества йода. К тому же
при заваривании данные виды кофе обладают достаточно грубым, острым и крайне
неприятным вкусом и ароматом приготовленного напитка. Именно поэтому их не
используют как самостоятельный напиток. Но, имея хорошую экстрактивность, они
добавляются в смеси различных сортов кофе. В качестве примера такого кофе можно
привести "Минас-Рио", вывозимый через порт Рио-де-Жанейро, а также
сорта "Капитания", "Виктория" и "Каравелла",
вывозимые через порт Виктория.
Сорта, вывозимые через другие порты, по органолептическим достоинствам
значительно превосходят сорта кофе "Минас-Рио",
"Капитанию", "Викторию" и "Каравелла". [20, c.33-34]
Через порт Паранагуа вывозят кофе сорта "Парана". Он имеет
высокие органолептические достоинства, к которым можно отнести гармоничный
тонкий вкус и аромат заваренного напитка.
Через порт Сантос вывозят сорт кофе "Сантос", который имеет
восемь разновидностей. Из них 6 подсортов специалисты относят к первому
товарному сорту, а 2 - ко второму. Самым лучшим из этих 8 сортов признан сорт
"Сантос-Бурбон". По внешнему виду кофейные зерна данного сорта
достаточно мелкие, цвет у них от светло-оливкового до темно-оливкового, вкус
напитка мягкий. К недостаткам данного вида можно отнести достаточно слабый аромат.
Из-за своих характеристик данный кофе могут использовать и в качестве
самостоятельного сорта, и как добавку в различные смеси.
В Колумбии выращивают один из самых элитных сортов. Как правило,
колумбийский кофе имеет одну очень важную отличительную деталь - данные сорта
обладают легкой, едва ощутимой винной ноткой во вкусе, что придает напитку
изысканность и очарование. К несомненным достоинствам при производстве кофе в
Колумбии можно отнести высокую высоту выращивания (1000-2500 м. над уровнем
моря) и обработку зерен влажным способом, который позволяет получить очень
качественные зерна.
Из Гватемалы вывозят достаточно много кофе. Для него характерен
привлекательный внешний вид и хорошие органолептические свойства. Кофе из
районов Кобан и Антигуа обладает изысканным вкусом и содержат большое
количество экстрактивных веществ, что связано с произрастанием в горах на
большой высоте.
Коста-Рика, так же как и Колумбия, выращивает кофе, очень хороший по
своим органолептическим свойствам. Сваренный апиток обладает кислинкой во вкусе
из-за того, что зерно обладает высокой кислотностью. Но это совершенно не
портит вкуса и аромата получаемого напитка. К самым популярным сортам,
вывозимым из Коста-Рики, можно отнести "Маргариту", "Каши"
и "Коста-Рику".
Пуэрто-Рико - еще одна страна, которая производит высококачественный
кофе. Основным здесь считается сорт кофе, который носит название самой страны,
т.е. "Пуэрто-Рико". Зерна данного сорта кофе крупные, цвет от
светло-зеленого до темно-зеленого с синеватым оттенком. Причем это характерно
для всех видов и сортов так называемого американского кофе.
Венесуэла - это страна, которая выращивает кофе в отличие от Колумбии,
Пуэрто-Рико и других стран невысокого качества. Цвет зерна имеет различные
оттенки желтого цвета. Самыми популярными сортами кофе из этой страны можно
назвать "Мерида" и "Кумана Коро".
Куба производит достаточно высококачественные сорта кофе, зерна которого
имеют средние размеры. Самый популярный кофе отсюда так и называется -
"Куба". [20, c.35-36]
Мексика на своих плантациях производит кофе сорта арабика. Зерна его
крупные, зеленовато-желтого цвета. Во вкусе ощущается легкая кислинка, так как
в зерне достаточно большое количество экстрактивных веществ.
Кроме вышеперечисленных видов кофе, к американским относятся также
выращиваемые в Сальвадоре. Качество этого кофе во многом определяет способ его
обработки.
Ямайка расположена на нескольких маленьких островах в Карибском море,
издавна выращивает прекрасный кофе, известный под названием "Блю
Маунтин" (Blue Mountain). Он является одним из самых редких
и почитаемых ценителями сортов кофе в мире. Произрастает в горном районе Блю
Маунтин (Голубая Гора) на высоте 2256 метров над уровнем моря. К основным
достоинствам этого сорта относятся качество ухода, обработки и сортировки
экспортируемого кофе и, соответственно, качество конечного продукта. При
заваривании напиток можно отметить удивительно приятный аромат, очень хорошую
насыщенность и сладкий вкус.
Ямайка Блю Маунтин выращивается только в одном районе острова Ямайка,
который и имеет право носить это название. Если же под этим наименованием
предлагаются виды кофе с других районов Ямайки, то это фальсификациея.
Зерна данного сорта твердые, гладкие, имеют очень приятную и редкую
гармонию вкуса, аромата и кислотности. Этот сорт очень ценится любителями кофе,
но является дорогим, так как выращивают его в малых количествах, менее 50 тонн
в год.
Азиатские виды кофе поставляет Саудовская Аравия, Йемен, Индия,
Индонезия, Вьетнам. [20, c.37]
В Аравии выращивается известный сорт кофе "Мокко". Он считается
одним из лучших видов. Больше всего плантаций находится в Йемене и Саудовской
Аравии, где кофе выращивается в горных местностях.
В районе Йемена кофе растет на высоте 1-2 тысяч метров над уровнем моря и
в низменностях. Кофе, который рождается в гористых районах, высоко ценится.
Йеменский кофе, знаменитый высокими органолептическими свойствами, имеет при
этом невзрачный внешний вид, небольшие кофейные зерна неоднородной формы с
наличием ломаных зерен и посторонних примесей в виде камней. Это объясняется
тем, что почва, на которой выращивается кофе, сильно засорена.
Самый известный в мире, но и довольно дорогой сорт "Мокко"
имеет удивительный привкус горького шоколада. Его производят в очень небольших
количествах, и на мировом рынке настоящий "Мокко" почти не
встречается. Йемен экспортирует другие, более урожайные сорта под общим
названием "Ходейда". "Ходейда" используется для
изготовления напитков высшего сорта при составлении купажей, чтобы облагородить
другие, более дешевые сорта. Хорошо зарекомендовали себя сорта
"Шарки", "Санани", "Матари". [2, c.3]
Индия специализируется, главным образом, на кофе арабика. Большое
количество кофе из Индии поставляется под названием "Индийская
арабика". На мировой рынок в основном поступает кофе сортов
"Планштейн А" и "Планштейн В". Зерна первого сначала
высушивают на солнце, а затем очищают от шелухи. "Планштейн В"
обрабатывают так называемым мокрым способом на специальном оборудовании. Зерна
обоих сортов хорошо обжариваются, и напиток получается с хорошо выраженным
ароматом и характерным приятным кисловатым вкусом.
В Индонезии кофейных плантаций мало, расположены они в основном в горах,
где выращивают робусту.
Индонезийский кофе очень дорогой из-за особенностей его производства.
Плантации кофе перемежают с фруктовыми посадками, чтобы кофе вбирал в себя
необыкновенный фруктовый аромат цветов и плодов.
В Индонезии производится очень необычный сорт кофе - "Kopi Luwak", он может быть как из зерен арабики, так и
робусты. В основном этот вид кофе производят на плантациях Суматры и Явы в
Индонезийском Архипелаге. Это самый дорогой в мире кофе. Высокая цена
объясняется необычным способом обработки, который очень ограничен в объемах.
После обжарки отличить оригинальный "Kopi Luwak" от подделки практически невозможно. Аромат
обыкновенный, землянисто-сладкий, насыщенный и сладковатый вкус, с нотками
шоколада и карамели.
Папуа-Новая Гвинея расположена около Индонезии. Самым известным сортом
кофе здесь является "Kimel A 4689". Этот
кофе очень сильно отличается от всех индонезийских сортов кофе, так как во
вкусе ощущается землянистость. Кофе сорта "Kimel A 4689" обладает натуральным вкусом, фруктовыми нотками и
хорошей консистенцией.
Вьетнам выращивает в основном кофе робусту и лишь в небольших количествах
арабику. Здесь проводят интересные опыты по гибридизации арабики и робусты.
Вьетнамские виды кофе отличаются невысокими вкусовыми и ароматическим
качествами.
Кофе с Африки поставляют следующие страны-производители: Эфиопия, Ангола,
Уганда, Либерия, Гвинея, Гана, Камерун, Кения, Танганьика, Тога, Кот д’Ивуар и
т.д.
Эфиопский кофе растет на высоте от 1,1 тысячи до 2,1 тысячи метров над
уровнем моря при практически постоянной температуре в 20-25 градусов по
Цельсию. [18, c.44]
В Эфиопии выращивается сорт кофе арабики "Джимма" ("Djimmah"), на рынке известный как
"Lima" ("Лима") и "Babeka" ("Бабека").
В Анголе выращивается в основном робуста. Но, несмотря на то, что робуста
не относится к ценным видам кофе, ее сорта, выращиваемые на ангольской
территории, обладают уникальными вкусовыми качествами. Лучшие среди них -
Амбриз и Амбруан. Они отличаются однородностью размера и окраски зерен,
чистотой обработки, проводимой обычно сухим способом, тщательностью сортировки
и маркировки. Особым вкусом эти зерна кофе не отличаются, но из-за большого
содержания кофеина их используют в качестве наполнителя для купажных сортов
кофе. Из выращиваемой в Анголе арабики самые известные сорта Кондо и Андуло,
которые похожи на бразильский Сантос.
В Гвинее выращивают в основном робусту и либерийские сорта кофе, но
культивируют и арабику. Урожай кофе, как правило, обрабатывается сухим
способом, поэтому зерна получаются зеленовато-серые с легким бронзовым
оттенком, а сам кофе - неароматный, но крепкий, кисловатый и несколько
горьковатый. Лучшими сортами робусты Гвинеи являются гаме, киси, инеак. По
качеству кофе Гвинеи подразделяется на 7 сортов: граже шуа (только арабика),
экстра прима, прима, супериор, куран, лимит, сулимит, т.е. крошки.
В Камеруне основным видом кофе является робуста. Однако здесь также
собирают сорт "Блю Маунтин", который выращивают на вулканических
почвах. По качеству арабика, обработанная влажным методом, не уступает лучшим
видам кофе из Центральной Америки.
Кения производит достаточно много кофе, который очень часто продают на
аукционах. В этом сорте можно ощутить ягодные, лимонные или апельсиновые
вкусовые оттенки, а также высокую кислотность.
Танганьика - республика Танзании. Здесь на склонах гор выращивается
арабика, которая по вкусу очень ароматная, нежная, немного кисловатая, похожая
на кофе Кении.
Конго производит в основном арабику, имеющую высокую кислотность, богатый
вкус и хорошую насыщенность. Лучшими сортами кофе арабика, производящимися в
Конго, считаются "Kivu"
и "Itur".
Считается, что сорта кофе, производящиеся в Зимбабве, ничем не уступают
знаменитым кенийским сортам. Вкус этого кофе легкий, достаточно мягкий, с
тонким привкусом фруктов и вина.[10, c. 105-114]
Кофе в зависимости от степени переработки, первым в этой классификации
стоит зеленый (сырой) кофе в зернах.
Все виды зеленого кофе значительно отличаются друг от друга и имеют
каждый свои особенности. Это обусловлено в первую очередь, местом
произрастания, во-вторых, технологией выращивания и производства.
Для того чтобы определить, к какому сорту отнести тот или иной зеленый
кофе, в первую очередь, смотрят на урожай, который может быть старым или новым,
немаловажную роль при этом отдают плотности самого зерна. [5, c.249]
Цвет сырого кофе может быть от серо- до сине-зеленого. Если у кофейного
зерна обнаруживается коричневатый оттенок или пятна, значит была нарушена
технологи я производства.
В зависимости от ботанического сорта и вида зеленые зерна хранятся
достаточно долго - не менее 2 лет, а некоторые высококачественные (например,
бразильские) даже до 5 лет. Большое значение имеют условия хранения кофейных
зерен.
По степени переработки выделяют также растворимый кофе, который можно
охарактеризовать как экстракт натурального жареного кофе. Известно 3 вида
выпускаемого растворимого кофе, различающихся по технологии производства:
·"спрей" (на внешний вид представляет собой порошок);
·агломерат (представляет собой гранулы кофе и является относительно новым
способом производства);
·сублимат, имеющий на мьаркировке кофе обозначение "freeze dried".
В зависимости от добавок кофе делится на 2 вида: без добавок и с
добавками. Высококачественные сорта кофе не ароматизируют, так как они ценятся
из-за своего неповторимого аромата. А вот низшие и дешевые сорта кофе для
увеличения их стоимости и ассортимента подвергают ароматизации эфирными
маслами. В результате получаются виды с ароматом сливок, шоколада, ирландского
виски, вишни, апельсина, ореха и другие. [5, c.251-253]
4.1.2 Химический состав кофе
Сырые кофейные зерна содержат 32- 36 % экстрактивных веществ, стабильно
сохраняющиеся в течение 7 и более лет.
В состав экстрактивных веществ сырого кофе входят алкалоиды, белки,
фенольные соединения, моно- и дисахариды, липиды, органические кислоты,
аминокислоты, минеральные элементы и некоторые другие вещества, содержащиеся в
небольших количествах.
При употреблении кофе из выше перечисленных веществ наибольшее влияние на
организм человека оказывает алкалоид кофеин (C8H10N4O2) или 1,3,7 - триметилксантин, являющийся производным
пуриновых оснований. Благодаря содержанию кофеина кофе оказывает благоприятное
физиологическое действие на организм, повышает общий тонус и работоспособность
человека. Кофеин находится в кофе как в свободном состоянии, так и в соединении
с калием и хлоргеновой кислотой в виде кофеин-хлоргенового калия, причем
связанная форма преобладает. Как правило, более высокие сорта кофе отличаются
пониженным содержанием кофеина, а низкосортный африканский вид робуста может
накапливать до 3,2% кофеина. В процессе хранения кофе содержание кофеина в
зернах не изменяется. Из алкалоидов, помимо кофеина, в зернах сырого кофе
находятся в количестве от 0,24 до 1,2% тригонеллин (C7H7NO2 метилбетаин никотиновая кислота), не обладающие
физиологической активностью. При обжаривании он распадается с образованием
пиридина, участвующего в формировании вкусовых свойств готового кофе. Помимо
этого, найдены теобромин - 1,85 мг % и теофилин 0,62мг%. Содержание белковых
веществ специфично для ботанических видов и отдельных сортов кофе. Их
содержание может колебаться от 9 до 19,2%. В составе азотистых веществ кофе
обнаружено 20 свободных аминокислот, количество которых при хранении кофе
практически не меняется. Установлено, что кофе высшего сорта отличается более
высоким содержанием аминокислот (до 923мг%) по сравнению с кофе 1-го и 2-го
сортов до 480 мг %.
Содержание жира в кофейных зернах подвержено существенным межвидовым и
внутривидовым колебаниям (9,4-18%). Самое низкое содержание жира у индийских
сортов кофе. Отличительной особенностью кофейного масла является высокое
содержание детерпеновых эфиров. В кофейном масле на долю жирных ненасыщенных
кислот приходится более половины - 51-57%, в их числе преобладают линоливая
кислота 37-45%. Количественный состав жирных кислот в кофейном масле из зерен
кофе разных видов и разновидностей идентичен. При хранении кофе незначительно
возрастают кислотное число и перекисное число жира, что свидетельствует о
замедленном протекании гидролитических и окислительных процессов в кофейных
зернах.
На вкусовые свойства кофе существенное влияние оказывают углеводы
(сахароза - 4-12%, моносахариды - 0,2 -0,65%, клетчатка - 32,5-33,5%, пентозаны
- 5-7%). Они являются предшественниками вкусовых и ароматических веществ
обжаренного кофе. Наибольшей сахаристостью отличается кофе арабика. Содержание
сахаров в процессе хранения кофе незначительно снижается.
Клетчатка, составляющая 1/3 сухого вещества кофейных зерен, является
одним из наиболее стабильных компонентов. Отдельные виды и сорта кофе
практически не отличаются между собой по содержанию клетчатки.
Содержание в кофе дубильных веществ обуславливает горечь кофейного
напитка. Эти соединения представлены танином, катехином и хлоргеновыми
кислотами, которые составляют основную часть фенольных соединений кофе.
Хлоргеновые кислоты включают в себя около 10 соединений, содержащихся в кофе.
Зерна сырого кофе содержат около 7-10% хлоргеновых кислот. Кофе робуста
содержит больше фенольных соединений, чем кофе арабика.
Сырые кофейные зерна содержат 3-5% минеральных веществ. Содержание
отдельных минеральных элементов меняется в зависимости от сорта кофе, места
произрастания, способа обработки, вида вносимых в почву минеральных удобрений,
а также от применения средств защиты растений. В составе золы на долю основного
элемента калия приходится 30-50%, на долю магния - 4-6%, кальция - 3-18%. Также
в золе содержится натрий, марганец, железо, рубидий, цинк, медь, стронций и
другие элементы.
В кофе обнаружены витамины (В 1), рибофлавин (В 2), пантотеновая кислота,
никотиновая кислота (РР), пиридоксин (В 6) витамин (В 12) токоферол (Е).
Сырой кофе, поступающий на промышленную переработку - биологически
активный продукт, в котором локализованы ферментные системы почти всех классов:
оксидоредуктазы, гидролазы, трансферазы и изомеразы, играющие важную роль в
биохимических процессах зерна.[3, c.255-257]
4.1.3 Факторы, формирующие качество кофе
К факторам, формирующим качество кофе относят:
· условия выращивания кофейного дерева,
· качество переработки кофейных плодов,
· процесс обжаривания кофейного зерна.
Жизнь будущего кофейного дерева начинается с проросшего зернышка. Их
высаживают, пока они еще находятся в своей пергаментоподобной оболочке.
Примерно через десять недель появляются молодые ростки. На них еще можно
увидеть покрывающую оболочку.
После достижения саженцами в высоту 5-10 см их пересаживают отдельно в
высокие горшки или пластиковые пакеты и затем за ними уже продолжают ухаживать
в парниках.
После того, как высота 4-5-месячных саженцев достигает 30-40 см, их
высаживают на плантации, где ими либо заменяют старые, плохо плодоносящие
деревья, либо расширяют плантации. Кофейное дерево впервые начинает цвести на
третий год. Первый, еще скромный урожай, появляется на четвертом году. И только
с шестого года кофейное дерево начинает приносить полноценный урожай.
Плоды арабики созревают восемь-девять месяцев. Период созревания робусты
несколько дольше - от десяти до одиннадцати месяцев. Время сбора урожая
различается в зависимости от географического положения, климата, высоты над уровнем
моря и сезона в соответствующем регионе произрастания. В Бразилии, основном
поставщике кофе, урожай собирается с мая по сентябрь, в Центральной Америке с
октября по март, а в Африке с конца октября по начало апреля. После того как на
кофейных деревьях появляются зрелые плоды, несмотря на наличие незрелых и
продолжение цветения, производится небольшая сборка урожая зрелых плодов.
Темно-красные зрелые плоды высококачественных сортов срываются, как правило,
вручную. С одного дерева арабики можно собрать урожай от 500 до 1500 г; робусты
- от 500 до 2000 г кофейных зерен. Сбор кофе - очень трудоемкая операция. Для
иллюстрации можно заметить, что для получения в конечном итоге 500 г кофейных
зерен необходимо сорвать около 2,5 кг плодов.
Кофейные деревья произрастают на всех высотах, начиная от уровня моря до
линии морозов в тропиках на высоте около 2 тыс. м. На больших высотах кофе
созревает медленнее. Но его качество при этом сильно улучшается. Также для
растения требуется определенная температура: среднегодовая должна составлять
около 21° С и колебаться в пределах 13-27° С. Более высокие температуры ведут к
быстрому созреванию плодов, что ухудшает качество кофе, а при более низких
температурах кофейные деревья погибают.
Кофе - многолетнее растение, способное интенсивно плодоносить в течение
25-30 лет, после чего урожайность его падает, но растение может жить до 200
лет. Высота культурных кофейных растений достигает 2-4 м, а дикорастущих - 6-10
м. Для удобства сбора урожая на плантациях кофейные растения выращивают в виде
кустов высотой не более 1-1,5 м. [10, c.24]
В мировой практике производства сырых зерен кофе известно 2 способа
первичной обработки плодов: сухой и влажный.
·Сухой способ - самый древний способ очистки зерен кофе от плодовой мякоти
и оболочек.
Включает следующие этапы:
1. сбор плодов
кофе;
2. классификация;
3. сушка;
4. лущение;
5. калибровка,
сортировка и очистка от посторонних примесей (полирование)
Плоды кофе разделяются на крупные и мелкие по внешнему виду - их
классифицируют, одновременно удаляя прогнившие плоды и посторонние примеси
(ветки и грозди плодов). Плоды кофе сушат в целом виде. Одним из простых
способов является солнечная сушка, непосредственно на плантациях. Такая сушка
длится 2-3 недели. Применяется также тепловая сушка в сушильных агрегатах.
Сушка горячим воздухом, паром или электричеством - длительностью 12 - 24 часа.
После того как плоды подсушены до влажности 12 - 14% их очищают на
кофелущильных машинах, снимая пергаментные оболочки. Эти машины работают по
принципу трения плодов между вращающимися внутренними цилиндрами. Оставшаяся
серебристая семенная оболочка снимается при полировании зерен. Полирование
проводят для придания зернам блеска.
Затем зерна поступают на сортировку и калибрование, которые производятся
на сортировочных аппаратах.
Недостатком сухого способа обработки кофе является неравномерное удаление
влаги из всех частей плода, что может стать причиной развития микроорганизмов и
порчи зерен при хранении. [10, c.33-34]
·Влажный (ферментативный) способ обработки плодов кофе включает следующие
операции:
1. сбор плодов
кофе;
2. классификация;
3. протирание
плодов;
4. ферментация
мезги;
5. выдерживание в
воде (мойка);
6. сушка;
7. лущение;
8. калибрование,
сортировка, очистка от посторонних примесей (полирование). [5,c. 215-216]
Плоды кофе после классификации по сорту, величине, цвету и степени
зрелости пропускают через протирочные машины, на которых они протираются. В
результате этого наружная оболочка разрывается и плодовая мякоть освобождается.
Затем путем мягкого выжимания зерна отделяются от плодовой мякоти и
выдавливаются наружу. Однако учитывая, что эти машины оставляют слизистый слой
и серебристо семенную оболочку на зернах, протертую мезгу направляют на
ферментацию (выдержка при высокой влажности и температуре). Процесс ферментации
протекает в течение 24-36 часов. Температура ферментации 18-30°С.
После ферментации кофейная мезга (пульпа) подвергается мойке в аппаратах
непрерывного действия и направляется на сушку.
В процессе сушки зерна кофе не только доводятся до необходимой 12%
влажности, но и пергаментная оболочка их подготавливается для последующего
отделения на лущильных установках. Сушку зерен производят в естественных
условиях (солнечная сушка) или в сушилках при температуре 40-600 С. Наилучший
эффект (по кислотности, полноте вкуса, аромата и настоя напитка) получают при
температуре 450С. Продолжительность сушки 6-12 часов. Высушенный кофе
подвергается лущению от серебристо семенных оболочек. Удаление остатков
пергаментных оболочек завершается на полировальных машинах.
После этого кофейные зерна калибруют и сортируют по размеру и цвету.
Обычно используется для этого калибровочные машины, где сначала кофе калибруют
по ширине зерна, затем по толщине и после этого по длине.
При ферментативной обработке в общей массе сырья появляются поврежденные
зерна. Их удаляют вручную по мере движения зерен по конвейеру на упаковку в
мешки. В настоящее время для заметы тяжелой ручной работы используются
УФ-спекторы.
Натуральный жареный кофе в зависимости от степени обжаривания
вырабатывают: светлообжаренный, среднеобжаренный, темнообжаренный и высшей
степени обжаривания.
Процесс обжаривания кофе является главной операцией при производстве всех
видов кофе продуктов. В процессе обжарки формируется специфические вкус и
аромат кофе. [18, c.70-71]
Общая схема выработки жареного кофе включает следующие операции:
·Подготовка сырья заключается в отделении зерен от посторонних примесей.
·Обжарка сырых зерен при температуре 160-220°С в течение 14-60 минут, до
получения легко размалывающихся зерен коричневого цвета с выраженным кофейным
ароматом. Обжаривание кофе проводят тремя способами: тепловым (контактным или
конвективным), электрическим (в поле токов высокой или сверх высокой частоты),
радиационным (инфракрасными лучами). Наиболее широко применяется тепловое
обжаривание.
·Охлаждение зерен в охладительных чанах или колонках до температуры
40-50°С.
Для молотого кофе размол обжаренного кофе на вальцевых станках или
мельничных станках с последующим просеиванием.
Присущие кофе цвет, вкус и аромат, кофейные зерна приобретают при
обжаривании в результате пирогенетических превращений веществ, главным образом
углеводов, дубильных и азотистых веществ. Обжаривание кофе сопровождается
значительным (на 30-40%) увеличением объема зерен. Масса при этом уменьшается
(дает угар) на 13-21%, что обусловлено испарением воды и расщеплением
органических соединений с образованием легколетучих веществ.
В процессе обжаривания общее количество содержащихся в кофе растворимых
веществ заметно снижается, в основном за счет сахаров, карамелизующихся при
высокой температуре и вступающих в соединение с аминокислотами при образовании
меланоидинов, которые совместно с карамелем обуславливают коричневую окраску
жареного кофе. Снижается содержание нерастворимых полисахаридов - клетчатки и
пентозанов. Пентозаны расходуются на образование фурфурола и фурфуролового
спирта, которые участвуют наряду с другими летучими соединениями в создании
аромата готового кофе. Образование декстринов происходит в результате гидролиза
полисахаридов. Суммарное количество азотистых веществ изменяется незначительно,
но при этом некоторая часть белка разлагается до аммиака, аминов пиррола, а
аминокислоты используются в реакции меланоидинообразования. Жиры частично расходуются
на образование свободных жирных кислот и акролеина. [28, c.115-116]
При высокой температуре обжаривания происходит незначительная сублимация
кофеина, однако, его процентное содержание в обжаренных зернах может быть
несколько выше, чем в сырых из-за снижения влажности и увеличения доли сухих
веществ.
Хлоргеновая кислота, как свободная, так и входящая в состав
фенольно-дубильнной кислоты распадается на хинную и кофейную кислоты. Кроме
того, из хлоргеновой кислоты образуются фенолы (гвалкол, н-винилгвалкол,
н-винилкатехол), неохлоргеновая и изохлоргеновая кислоты. Большую роль в
образовании аромата жареного кофе играет пиридин, который образуется из
алкалоида тригонеллина. Тригонеллин, кроме того, при обжаривании кофе частично
переходит в никотиновую кислоту (витамин РР), повышая тем самым биологическую
ценность зерен и напитка из них.
Содержащиеся в сыром кофе витамины в процессе обжаривания зерен
сравнительно устойчиво сохраняются и переходят в напиток.
Для формирования вкуса кофе из всех компонентов его состава наибольшее
значение имеют дубильные вещества, кислоты и продукты карамелизации.
Все компоненты химического состава кофе, содержащиеся в исходном сырье и
вновь образующиеся при термической обработке, реагируя между собой, дают
сложный комплекс соединений, обуславливающих неповторимый аромат жареного кофе.
В составе ароматических веществ идентифицировано более 400 соединений, из
которых наиболее важны: уксусная кислота, фурфуроловый спирт, анетол, пиридин,
летучие кислоты, пиразиновые основания, ацетон, фенолы фурфурол, метил
фурфурол, ацетальдегид, метилмеркаптан, метиловый спирт, ацетилфуран.
Общее содержание ароматических веществ в жареном кофе колеблется от 0,055
до 1,5% и зависит от вида сырья, режимов обжарки и охлаждения, способа упаковки
и условий хранения. Жареный кофе быстро теряет аромат.[5, c. 217-218]
4.1.4 Дефекты жареного кофе
Дефекты жареного кофе чаще всего обусловлены низким качеством сырого
кофе, нарушением технологии производства или режимов обжаривания. Наиболее
часто встречающимися дефектами являются:
·кислый запах и вкус кофе, возникают из-за самосогревания сырых зерен кофе
или обжаривания заплесневелых;
·обугленные зерна кофе (напиток приобретает запах обугленного дерева и
неприятный привкус) образуются вследствие присутствия в сыром кофе
зерен-чернушек (зерно долго лежало на земле, плохая сушка), зерен ломаных
(ушки, раковины) и механически поврежденных (давленных) при переработке,
поврежденных вредителями (короедом и др.), или при нарушении режима обжарки;
·неравномерно обжаренные зерна получаются при недостаточной сушке сырых
зерен, наличии сырых зерен в роговой и пергаментной оболочке;
·недожаренные зерна появляются из-за обжаривания зерен в оболочках,
оставшихся при плохой очистке;
·запах и вкус прогорклого жира формируются при длительном хранении кофе и
протекании в нем окислительных процессов.
.2 Экспертиза качества кофе натурального в зернах
Экспертиза качества кофе включает проверку состояния упаковки и
маркировки потребительской упаковки, анализ органолептических,
физико-химических показателей и показателей безопасности. [4, c.352]
Требования к составу и содержанию информации для потребителей установлены
в следующих нормативных и технических документах:
. Техническом регламенте Таможенного союза 022/2011 от 9 декабря 2011
г. № 881 "Пищевая продукция в части ее маркировки";
2. Постановлении Правительства РФ от 19 января 1998 г. №55
"Правила продажи отдельных видов товаров";
. ГОСТе Р 5208-2003 "Кофе натуральный жареный. Общие
технические условия";
. Других документах, учитывающих специфику маркирования отдельных
видов пищевой продукции.
Согласно информации, представленной выше, маркировка большинства видов
продовольственных товаров должна включать следующую информацию:
наименование продукта и его сорт (при наличии);
наименование и местонахождение изготовителя (юридический адрес, включая
страну и при несовпадении с юридическим адресом адрес производства) и
организации в Российской Федерации, уполномоченной изготовителем на принятие
претензий от потребителей на ее территории (при наличии);
масса нетто, или объем, или количество продукта;
товарный знак изготовителя (при наличии);
способ приготовления;
состав продукта;
пищевую ценность, включающую калорийность или энергетическую ценность,
содержание белков, жиров, углеводов, витаминов, макро- и микроэлементов, в
случае, если их значение в 100г пищевого продукта составляет не менее 5% от
рекомендуемого суточного потребления;
условия хранения (указание температуры хранения, определенной влажности
окружающего воздуха и светового режима и других условий);
срок годности (хранения, реализации);
дату изготовления и упаковывания;
обозначение документа, в соответствии с которым изготовлен и может быть
идентифицирован продукт без года утверждения;
информацию о подтверждении соответствия пищевых продуктов (знак обращения
на рынке и/или наименование технического регламента, знака соответствия);
степень обжаривания кофе;
информацию о вакуумной упаковке (при наличии)
Качество зеленого кофе оценивается с помощью ГОСТ Р 51449-99 "Кофе
зеленый (сырой). Подготовка образцов для определения органолептических
показателей", гармонизированного ISO 6668-91 "Зерна кофе сырые. Приготовление образцов для
органолептического анализа". А также с помощью ГОСТ Р 51450-99 "Кофе
зеленый (сырой). Виды дефектов", соответствующему международному стандарту
ISO 10470-93 "Кофе зеленый.
Контрольная (эталонная) таблица дефектов".
Оценка качества кофе натурального жареного производится в соответствии с
ГОСТом Р 52088-2003 " Кофе натуральный жареный. Общие технические
условия".
.2.1 Органолептические показатели натурального кофе в зернах
Для определения органолептических показателей качества кофе в зернах его
предварительно размалывают до крупности помола соответствующей молотому кофе.
[4, c.355-356]
Внешний вид определяют визуально при ярком свете, предварительно отобрав
среднюю пробу продукта, помещенного на лист белой бумаги ровным слоем.
Вкус и аромат определяют органолептически. Аромат определяют в сухом
продукте и экстракте; вкус - только в экстракте.
Для приготовления напитка навеску кофе в количестве соответствующем
соотношению 7,0 г кофе на 100 см 3 воды помещают в фарфоровую или стеклянную
чашку. Воду доводят до кипения и заливают 100 см 3 горячей воды в чашку с
молотым кофе. Сразу определяют аромат напитка. Затем дают напитку отстоятся в
течение 5 минут для оседания большинства крупных частиц. Напиток охлаждают до
температуры не более 550С, после чего определяют вкус напитка.[10, c. 143-145]
Экспертиза качества кофе начинается с определения его размера. Для
каждого ботанического вида кофе принята своя система оценки плодов по размеру,
которая варьируется в зависимости от страны производителя. Но в одном они
сходятся - наиболее ценными считаются крупные бобы.
Одной из важнейших характеристик кофейных зерен является цвет. Он должен
быть зеленым и иметь оттенок от синеватого до серого. При нарушении технологии
сушки цвет изменяется до коричневого; могут также появиться пятна. Наличие
белесости свидетельствует об истечении срока хранения, который обычно
составляет около 2, реже- 5 лет. Помимо этого может возникать затхлый запах
гнили, который делает кофейные бобы совершенно непригодными к переработке,
поскольку его невозможно устранить даже при обжарке.
На этапе дегустации напитка количество учитываемых показателей
существенно увеличивается. Самым сложным и важным из является, безусловно, вкус
кофе, который напрямую зависит от содержания кофеина и влияет на остальные
параметры оценки.
После заваривания напитка идет определение не менее важной его
характеристики - аромата, поскольку ощущение аромата начинается задолго до
того, как пробуется непосредственно кофе. Различные виды и сорта кофе обладают
различной степенью выраженности аромата. Так, свежемолотый и свежеобжаренный
кофе значительно отличается по интенсивности от кофе, который хранится уже
долгое время.
Можно сказать, что вкус и аромат кофе - одни из важнейших органолептических
показателей, определяющих его качество. В соответствии с сенсорными
характеристиками эти 2 показателя можно объединить словом "букет".
К специфическим показателям качества при экспертизе кофе можно отнести
кислотность, полноту, баланс и сложность вкуса.
Кислотность - эта характеристика присуща кофе высокого качества, который,
как правило, не подвергается сильной обжарке. По наличию кислотности (или
кислинке) во вкусе определяют место произрастания кофе, степень и качество
обжарки, качество сорта.
Полнота вкуса - также очень специфический показатель качества, который
определяется нестандартно. Так, чтобы определить, обладает ли кофе достаточной
полнотой вкуса, в него нужно добавить молоко. Если кофе качественный, правильно
обжарен, то в получаемом напитке вкус кофе будет преобладать над ощущением
молока, а если нет, значит - кофе плохого качества.
Баланс - это термин, который означает, насколько гармоничны все оттенки,
имеющиеся в послевкусии данного напитка.
Показатель сложность применяется для высококачественных сортов кофе,
содержащих большое количество возможных оттенков во вкусе, образующихся в
результате сложного состава зерна и трудно различаемых.[10, c. 157-159]
По органолептическим показателям натуральный жареный кофе должен
соответствовать требованиям, указанным в таблице 4.1.
Таблица 4.1 Требования к качеству кофе по органолептическим показателям
|
Наименование показателя
|
Характеристика натурального
жареного кофе сорта
|
|
премиум
|
высшего
|
первого
|
второго
|
|
Внешний вид и цвет - кофе в
зернах
|
Равномерно обжаренные
зерна, в основном со светлой бороздой посередине
|
Преимущественно равномерно
обжаренные зерна. Допускается наличие отличающихся по цвету зерен
|
Недостаточно равномерно
обжаренный зерна
|
-
|
|
с включением оболочки
кофейных зерен: светлообжаренные - светло-коричневого цвета, с сухой
поверхностью; среднеобжаренные - от коричневого до темно-коричневого цвета, с
матовой или блестящей поверхностью; темнообжаренные - темно-коричневого цвета
или переходящего в черно-коричневый, с маслянистой поверхностью или со
следами маслянистости; высшей степени обжаривания - черного цвета,
поверхностью на грани обугливания, с блестящей маслянистой. Допускается
наличие ломаных зерен и обломков зерна (в этот показатель не входят полые
зерна - зерна без внутренней части), %, не более:
|
-
|
|
1,5
|
5,0
|
8,0
|
|
|
- молотый кофе
|
Порошок от светло- до
темно-коричневого или переходящего в черно-коричневый цвет (в зависимости от
степени обжаривания) с включением оболочки кофейных зерен
|
|
Однородный по интенсивности
|
Допускается неоднородность
цвета по интенсивности
|
|
Аромат и вкус
|
Аромат ярко выраженный.
Вкус приятный, насыщенный
|
Аромат выраженный. Вкус
приятный
|
Аромат от слабо выраженного
до выраженного. Вкус слегка жестковатый
|
Аромат слабо выраженный.
Вкус от горьковато- до горько-вяжущего, достаточно жесткий
|
|
С различными оттенками
(кисловатый, горьковатый, от горьковато- до горько-вяжущего и др.) Не
допускаются посторонние запахи и привкусы
|
|
4.2.2 Физико-химические показатели и показатели безопасности
По физико-химическим показателям натуральный жареный кофе должен
соответствовать нормам, указанным в таблице 4.2.
Таблица 4.2 Требования к качеству кофе по физико-химическим показателям
|
№ п/п
|
Наименование показателя
|
Норма для кофе
|
|
1
|
Массовая доля влаги,%, не
более
|
5,5
|
|
2
|
Массовая доля кофеина (в
пересчете на сухое вещество), %, не менее
|
0,7
|
|
3
|
Массовая доля кофеина (в
пересчете на сухое вещество) для декофеинизированного кофе, %, не более
|
0,3
|
|
4
|
Массовая доля общей золы (в
пересчете на сухое вещество), %, не более
|
6,0
|
|
5
|
Массовая доля золы, не
растворимой в соляной кислоте (в пересчете на сухое вещество), %, не более
|
0,2
|
|
6
|
Массовая доля экстрактивных
веществ, %
|
20,0-35,0
|
|
7
|
Степень помола (для
молотого кофе) - массовая доля продукта, проходящего через сито с отверстиями
диаметром 1,0 мм, %, не менее
|
80,0
|
|
8
|
Массовая доля металлических
примесей (частицы не более 0,3 мм в наибольшем линейном измерении), %, не
более
|
5Ч10-4
|
|
9
|
Посторонние примеси и
вредители
|
Не допускаются
|
Нормирование массовой доли влаги в кофе натуральном связано с его сильной
гигроскопичностью, поэтому устанавливают ее величину в начале и конце хранения.
Массовая доля золы, в том числе не растворимой в соляной кислоте,
обусловлена содержанием в кофе минеральных элементов. Для натурального жареного
кофе содержание золы одинаково для всех сортов. [28, 196-197]
Экстрактивные вещества кофе представляют собой сумму всех водорастворимых
веществ - азотистых, углеродов, кислот, жира, минеральных веществ. Массовая
доля экстрактивных веществ в натуральном кофе также не зависит от его товарного
сорта.
У кофе натурального определяют массовую долю металлических примесей, ее
допустимые значения одинаковы для любого сорта.
В натуральном кофе не допускаются посторонние примеси - камешки, песок и
т. д.
Согласно СанПин 2.3.2.1078-01 "Гигиенические требования безопасности
и пищевой ценности пищевых продуктов" в кофе установлены следующие
допустимые уровни (мг/кг), не более:
·токсические элементы: свинец - 1,0; мышьяк - 1,0; кадмий - 0,05;
ртуть-0,02;
·микотоксины:
·афлатоксин Е- 0,005;
·радионуклиды:
·цезий-137 - 300 Бк/кг; стронций-90 - 100 Бк/кг;
·микробиологические показатели плесени - не более 5 * 102 КОЕ/г.
.2.3 Фальсификация и идентификация кофе
При фальсификации кофе заменяют более дешевыми продуктами. Чтобы
различить фальсификацию кофе по ассортиментной принадлежности, необходимо знать
ассортимент кофе и его заменители.
Обобщение разных способов фальсификации дает следующую картину: сырой
кофе и жареный в зернах подделывается путем изготовления искусственных зерен из
глины, крахмала и даже пластмассы. Их подкрашивают различными красителями
(анилиновыми, индиго, медным купоросом и др.). Искусственные зерна добавляют к
натуральным или полностью их заменяют. [13, c.2]
Ряд фальсификации связан с подменой одного вида высококачественных зерен
другими - низкокачественными, причем этот вид фальсификации можно обнаружить,
только в зернах и трудно в молотом виде. Другой вид фальсификации обусловлен
также ухудшением качества за счет нарушения технологического режима обжарки.
Пережаренный кофе не должен выпускаться для реализации потребителю, и подлежит
утилизации, Он не имеет свойственного натуральному кофе аромата, а цвет его
чрезмерно черный, без оттенков коричневого. Из всего количества кофе,
закупаемого для России, только 20% сырых зерен перерабатывают (обжаривают,
размалывают, фасуют) в нашей стране, остальное количество страны -
производители поставляют в виде "кофе жареного".
Еще больше способов подделки наблюдается в молотом кофе, когда
натуральный продукт целиком или частично заменяется размолотыми зернами ржи,
риса, гороха, фасоли, поджаренной морковью и орехами каштанов, желудей и даже
махоркой. Указанные способы фальсификации достаточно легко обнаружить. [13, c.3-4]
Гораздо труднее обнаружить примесь или полную замену натурального кофе
цикорием или кофейной гущей, выпущенной после однократного заваривания кофе и
поджаренной. В этом случае необходимы лабораторные исследования на содержание
кофеина или микроскопия тканей.
Что касается кофе растворимого, то здесь фальсификация - не редкость.
Подделанную продукцию в основном ввозят из других стран. Согласно наблюдениям
специалистов, фальсифицированный кофе прежде всего выдает его упаковка. Она
обычно из картона, легкой жести или полиэтилена с наклеенной бумажной
этикеткой. Популярный у фальсификаторов прием - небольшое изменение в уже
известном названии в расчете на рассеянность покупателя. На этикетках
подделанной продукции минимум информации: ни названия фирмы, ни ее адреса, чаще
- только название страны.
Установление принадлежности кофе к определенному ботаническому виду
(Арабика или Робуста) играет важную роль при проведении не только
ассортиментной, но и квалиметрической идентификации, поскольку этот признак
лежит в основе деления кофе на товарные сорта. Для установления ботанического
вида кофе в зернах в большинстве случаев бывает достаточно исследования внешних
анатомо-морфологичсских признаков.
Ботанические виды кофе Арабика и Робуста различаются прежде всего по
форме и размеру кофейных зерен. Зерна зеленого кофе ботанического вида Арабика
имеют продолговатую форму, длина зерна - 6-15 мм. Зерна зеленого кофе
ботанического вида Робуста имеют округлую форму (форму полушарий), длина зерна
(поперечный диаметр) - 4-9 мм. При обжаривании объем зерна увеличивается на
25-50 %, пропорционально увеличиваются и линейные размеры.
Дополнительным критерием идентификации кофе в зернах является содержание
кофеина, по которому различные ботанические виды кофе принципиально
различаются. Массовая доля кофеина (в пересчете на сухое вещество) в зернах кофе
ботанического вида Арабика колеблется от 0,8 до 1,4 %, а в зернах кофе
ботанического вида Робуста - от 1,7 до 4,0 %. [4, c.360]
Существуют также отличия между двумя ботаническими видами по вкусовым
свойствам кофейного напитка. Напиток, приготовленный из зерен Арабики, имеет во
вкусе выраженную кислотность, гармоничность сочетания которой с остальными
вкусовыми компонентами зависит от торгового сорта кофе. Напиток, приготовленный
из зерен Робусты, отличается ярко выраженной горечью, которая придает вкусу жесткость.
Кроме того, он имеет более высокую экстрактивность (в среднем 24-29 %) по
сравнению с напитком из зерен Арабики (в среднем 20-23 %). Часто кофе вида
Робуста используют в эспрессо-смесях, так как его присутствие обеспечивает
формирование более плотной и устойчивой пенки на поверхности напитка.
Идентификация торгового наименования (сорта) кофе предполагает знание
особенностей его присвоения. Наименование сорту кофе дается:
• по стране происхождения (например, Колумбийский кофе - Columbian
coffee);
• по порту, из которого осуществляется поставка (например, Бразильский
кофе Арабика Сантос - Brazilian Arabica Santos);
• по разновидностям кофейного дерева (например, Арабика Бурбон, Типика -
Arabica Bourbon, Typica);
• по названию хозяйства, поместья, владения или сельскохозяйственного
кооператива (например, Коста-Рика Ла Ми-нита Тарразу - страна Коста-Рика,
владение Ла Минита, кофепроизводящий регион Тарразу);
• по названию местности, горы, долины или близлежащего города
(Танзанийский Килиманджаро - Tanzanian Kilimanjaro, Ямайский Блу Маунтин -
Jamaica Blue Mountain, Колумбийский Армения - Columbian Armenia (город);
• в качестве коммерческого названия (Бразильский Марагожип (марагожип -
"слоновье" зерно, зерно очень крупных размеров) - Brazilian
Maragogype, Гватемальский Марагожип - Maragogype Guatemala, Мексиканский
Марагожип - Maragogype Mexican),
• в соответствии с национальной системой классификации качества
страны-производителя (Кения Эй Эй (среднее по размеру зерно) - Kenya АА;
Гватемала SHB (Strictly High Bean) - кофе, полученный на высоте свыше 1400
метров, высококачественные зерна; Гватемала НВ (High Bean) - кофе, выращиваемый
на высоте 1200-1400 метров, зерна более низкого качества);
• как комбинация нескольких из вышеперечисленных способов. [4, 362-363]
Заключение
Товароснабжение в розничной торговле является важным процессом
предприятий, поставляющих товар в торговую сеть. Благодаря рационально
организованному товароснабжению на розничных торговых предприятиях
обеспечивается полнота и устойчивость ассортимента товаров, необходимый уровень
товарных запасов, удовлетворение спроса населения, а также высокие
финансово-экономические показатели работы торговых предприятий.
В соответствии с целью и задачами дипломной работы можно сделать
следующие выводы:
Важным условием, определяющим рациональную организацию товароснабжения,
является оптимальный выбор формы снабжения товаров из пунктов производства в
районы потребления - транзитной или скаладской. При значительных объемах
потребления продукции наиболее эффективной является транзитная форма снабжения,
при которой поставка соответствующих видов продукции потребителям
осуществляется непосредственно от предприятий-изготовителей, минуя склады. При
незначительных объемах потребления предпочтительна складская форма снабжения. В
этом случае обеспечивается наилучшее маневрирование материальными ресурсами и
оптимальное размещение материальных запасов. [23, c.64]
Большое значение имеют маршруты доставки товара. Разработка оптимальных
маршрутов централизованной доставки способствует эффективному использованию
транспортных средств, ускорению доставки товаров в магазины и снижению
издержек, связанных с перевозками.
Транспорт играет немаловажную роль в процессе товароснабжения. От работы
транспорта зависит своевременное и ритмичное товароснабжение предприятий
торговли, что, в свою очередь, способствует бесперебойной торговле и
равномерному выполнению планов товарооборота.
Для того чтобы товар был в надлежащем состоянии после транспортировки,
должна быть хорошая тара. Тара играет важную роль не только в самом процессе
перевозки, но и при складировании грузов и их хранении.
Товарные запасы помогают обеспечивать непрерывность
процессов производства, обращения и потребления в обществе. Для поддержания
оптимального уровня величины товарных запасов необходимо следовать четко
налаженной системе управления запасами. В компании ООО "Адидас"
используется приложение динамическое управление буфером - это гибкий механизм
управления Буфером Запасов, позволяющий регулировать целевой уровень запаса на
всех уровнях в соответствии с объемом и скоростью спроса.
В процессе анализа товароснабжении ООО
"Адидас" на основании выявленных недостатков были предложены
следующие рекомендации для повышения эффективности товароснабжения:
· открыть новые региональные склады временного хранения в крупных городах
отдаленных регионов, например в Ростове-на Дону и в Новосибирске;
· своевременно идентифицировать и выводить из общего оборота
дефицитные товарные единицы (перемещение их в дисконт-центры) с целью максимально
возможного пополнения продаж ключевых магазинов;
· разработать мотивационную программу для персонала
подразделения, отвечающего за магазины категории "А" (конкурс, оценка
ключевых показателей доступности товара на двухнедельной основе).
Четвертая глава дипломной работы посвящена изучению товароведной
характеристики и экспертизы качества натурального кофе в зернах. Анализ
литературных источников показал, что кофе выращивают более 50 стран мира. В
каждой из них природные условия, климат и почва совершенно разные, поэтому
одинаковый сорт кофе в различных местах выращивания сильно отличается по своему
химическому составу, а значит, и по внешнему виду, вкусу, аромату и по другим
свойствам. Бесспорным мировым лидером по выращиванию и экспорту кофе является
Бразилия, которая производит около трети всего кофе в мире.
В настоящее время насчитывается около 30 видов кофейных деревьев, однако
в хозяйственном отношении важны всего лишь кофе аравийский, или арабика, кофе
конголезский, или робуста, и кофе либерийский, или либерика. Кофе арабика
безусловно мировой лидер среди других видов кофе. Ботанической разновидностью
арабики являются такие сорта, как Мокко, Сантос, Сьюпремо, Пуэрто-Рико и
другие, которые заслужили мировую силу и пользуются большой популярностью во
всем мире.
Список литературы
1. Афонин А.М, Афонина В.Е, Петрова А.М. Транспортная
логистика: организация перевозки грузов: учебное пособие. - М:ФОРУМ: ИНФРА - М,
2014.- 368 с.
2. Баратов А. Производство кофе: Статья, 2013
. Гаджинский А.М. Логистика - М.:
Издательско-книготорговый центр "Маркетинг", 2003. - 408 с.
. Гамидуллаев С.Н., Иванова Е.Н. Товароведение и
экспертиза продовольственных товаров: Учебное пособие. - СПб.: Альфа, 2000.-
432 с.
. Герасимова В.А., Белокурова Е.С., Вытовтов А.А. Товароведение
и экспертиза вкусовых товаров. СПб.: Питер, 2005.- 416 с.
. Дашков Л.П., Памбухчиянц В.К. Организация,
технология и проектирование торговых предприятий: Учебник для студентов высших
учебных заведений. 4-е изд., перераб. и доп. М.: Информационно-внедренческий
центр "Маркетинг", 2001. 400 с. Короткова Т.Л. Коммерческая
деятельность. М.: Финансы и статистика, 2007. 415с
. Дыбская В.В. Логистика складирования: Учебник -
М.:ИНФРА-М, 2014.- 539 с.
. Егоров В.Ф. Организация торговли: учеб. для вузов. -
Спб: Питер, 2004. - 352с.:
. Кондрашова Е.А., Коник Н.В., Пешкова Т.А.
Товароведение продовольственных товаров: Учебное пособие.- М.: Альфа-М: НФРА-М,
2007.- 416с.
. Куликова Н.Р. Товароведение и экспертиза чая и кофе:
Учебное пособие.- М.: Издательско-торговая корпорация "Дашков и Ко",
2010.- 168 с.
. Модели и методы теории логистики. Учебное пособие
под ред. В.С. Лукинского. 2-е издание. СПб, 2008
. Молоткова Н.В., Соседов Г.А. Организация, технология
и проектирование коммерческих предприятий: Учебное пособие. - М.: ИНФРА-М, 2004
. Наумова В.В. Информационная фальсификация кофе:
Статья, 2012
. Общий курс транспортной логистики: учебное пособие /
Л.С. Фёдоров, В.А. Персианов, И.Б. Мухаметдинов; под общ. ред. Л.С. Фёдорова. -
2-е изд., стер. - М.: КНОРУС, 2013. - 312 с.
. Организация и технология торговли: учебник / под
ред. С.Н. Виноградова - Мн.: Выш. шк., 2005. - 420 с.
. Организация и управление торговым предприятием:
учеб. для вузов / под ред. Л.А. Брагина, Т.П. Данько. - М.: ИНФРА-М, 2009. -
303 с
. Осипова Г.И. Экономика и организация производства
М.:МГУП, 2003.-322с.
. Печуров Н.Н. Все о кофе. М.: АСТ, 2005. 88 с.
. Памбухчиянц О.В. Технология розничной торговли:
Учебник /
. Издательство: Дашков и Ко, 2012. 287 с.
. Реминный С. Интересно о кофе. М.: LItres, 2012. 150
с.
. Розничные торговые сети: стратегии, экономика и
управление: учебное пособие /кол. авторов; под ред. А.А. Есютина и Е.В.
Карповой. 2-е изд., стер. М.: КНОРУС, 2010. 416 с.
. Сидоров Д.В. Розничные сети. Секреты эффективности и
типичные ошибки при работе с ними. М, 2007
. Степанов В.И. Материально-техническое снабжение:
учеб. пособие.- М. Издательский центр "Академия", 2009. 190 с.
. Тарасова В.В. Товарооборот предприятия торговли:
анализ и планирование: учеб. пособие. - Екатеринбург: Изд-во Урал. гос. экон.
ун-та, 2003. - 100с.
. Товароведение и экспертиза продовольственных
товаров: Учебник / Под ред. проф. Л.Г. Елисеевой. - М.: МЦФЭР, 2006. - 800 с.
. Торговое дело: экономика и организация: Учебник /
Под общ. ред. проф. Л.А. Брагина и проф. Т.П. Данько. - М.: ИНФРА-М, 1997. -
256 с.
. Туревский И.С. Автомобильные перевозки:
учеб.пособие. М.: ИД "ФОРУМ": ИНФРА - М, 2008 г.
. Яшин Я.И., Лёвин Д.А., Яшин А.Я., Миронов С.А.,
Осина О.С. Кофе: подробно и со вкусом. Химический состав и его влияние на
здоровье человека. М.: Издательство "ТрансЛит", 2011, 232 с.
. Технический регламент Таможенного союза 022/2011 от
9 декабря 2011 г. № 881 "Пищевая продукция в части ее маркировки"
. СанПин 2.3.2.1078-01 "Гигиенические требования
безопасности и пищевой ценности пищевых продуктов", 2002
. ГОСТ Р 51303-99 Торговля. Термины и определения.
Утвержден Постановлением Госстандарта России от 11 августа 1999 г. N 242-ст
. ГОСТ Р 52088-2003 Кофе натуральный жареный. Общие
технические условия
. ГОСТ Р 52088-2003. Кофе натуральный жареный. - М.:
Изд-во стандартов, 2004.-15 с.
35. www.gks.ru - Федеральная служба государственной статистики
. www.znaytovar.ru - Сайт о товароведении и экспертизе
товаров
. www.trast-ld.ru - Сайт о товароведении
38. www.vacancy.adidas.ru - Сайт о компании ООО "Адидас"
. Данные финансовой отчетности ООО "Адидас"
(баланс предприятия, отчет о прибылях и убытках) за 2011-2013 гг.
Приложение 1
Таблица - Бухгалтерский баланс ООО "Адидас" за 2011-2013 гг.
|
Наименование показателя
|
Код
|
2011
|
2012
|
2013
|
|
АКТИВ
|
|
|
|
|
|
I. ВНЕОБОРОТНЫЕ АКТИВЫ
|
|
|
|
|
|
Нематериальные активы
|
1110
|
|
|
|
|
Результаты исследований и
разработок
|
1120
|
|
|
|
|
Основные средства
|
1130
|
1,713,836
|
1,780,455
|
2,421,004
|
|
Финансовые вложения
|
1150
|
|
|
|
|
Отложенные налоговые активы
|
1160
|
192,307
|
160,595
|
69,085
|
|
Итого по разделу I
|
1100
|
1,906,143
|
1,941,050
|
2,490,089
|
|
II. ОБОРОТНЫЕ АКТИВЫ
|
|
|
|
|
|
Запасы
|
1210
|
5,324,265
|
6,742,731
|
10,774,489
|
|
в том числе:
|
12101
|
59,518
|
9,1705
|
70,430
|
|
сырье, материалы и другие
аналогичные ценности
|
|
|
|
|
|
готовая продукция и товары
для перепродажи
|
12102
|
5,152,665
|
6,565,554
|
10,533,828
|
|
Налог на добавленную
стоимость по приобретенным ценностям
|
1220
|
129,949
|
76,888
|
84,118
|
|
Дебиторская задолженность
|
1230
|
1,723,626
|
1,445,364
|
2,294,160
|
|
в том числе покупатели и
заказчики
|
12301
|
787,591
|
357,955
|
514,105
|
|
авансы выданные
|
12302
|
696,207
|
912,083
|
1,511,931
|
|
Финансовые вложения (за
исключением денежных эквивалентов)
|
1240
|
4,599,664
|
9,290,691
|
9,461,347
|
|
Денежные средства и
денежные эквиваленты
|
1250
|
215,464
|
299,408
|
426,939
|
|
Прочие оборотные активы
|
1260
|
35,298
|
34,059
|
32,464
|
|
Итого по разделу II
|
1200
|
12,028,266
|
17,889,141
|
23,073,518
|
|
БАЛАНС
|
1600
|
13,934,409
|
19,830,191
|
25,563,607
|
|
ПАССИВ
|
|
|
|
|
|
|
III. КАПИТАЛ И РЕЗЕРВЫ
|
|
|
|
|
|
|
Уставный капитал
|
1310
|
61,700
|
61,700
|
61,700
|
|
|
Собственные акции,
выкупленные у акционеров
|
1320
|
|
|
|
|
|
Переоценка внеоборотных
активов
|
1340
|
|
|
|
|
|
Добавочный капитал (без
переоценки)
|
1350
|
|
|
|
|
|
Резервный капитал
|
1360
|
|
|
|
|
|
Нераспределенная прибыль
(непокрытый убыток)
|
1370
|
11,314,493
|
15,836,457
|
21,144,711
|
|
|
Итого по разделу III
|
1300
|
11,376,193
|
15,898,157
|
21,206,411
|
|
|
IV. ДОЛГОСРОЧНЫЕ
ОБЯЗАТЕЛЬСТВА
|
|
|
|
|
|
|
Заемные средства
|
1410
|
|
|
|
|
|
Отложенные налоговые
обязательства
|
1420
|
42,616
|
64,839
|
121,694
|
|
|
Оценочные обязательства
|
1430
|
|
|
|
|
|
Прочие обязательства
|
1450
|
|
|
|
|
|
Итого по разделу IV
|
1400
|
42,616
|
64,839
|
121,694
|
|
|
V. КРАТКОСРОЧНЫЕ
ОБЯЗАТЕЛЬСТВА
|
|
|
|
|
|
|
Заемные средства
|
1510
|
33,499
|
1,168
|
1,130
|
|
|
Кредиторская задолженность
|
1520
|
2,018,159
|
3,459,342
|
4,189,064
|
|
|
в том числе:
|
15201
|
1156445
|
2568220
|
3,735,575
|
|
|
поставщики и подрядчики
|
|
|
|
|
|
|
задолженность по налогам и
сборам
|
587631
|
615131
|
171,341
|
|
|
Доходы будущих периодов
|
1530
|
|
|
|
|
|
Оценочные обязательства
|
1540
|
463,942
|
406,685
|
45,307
|
|
|
Прочие обязательства
|
1550
|
|
|
|
|
|
Итого по разделу V
|
1500
|
2,515,600
|
3,867,195
|
4,235,502
|
|