Управление инвестициями

  • Вид работы:
    Контрольная работа
  • Предмет:
    Финансы, деньги, кредит
  • Язык:
    Русский
    ,
    Формат файла:
    MS Word
    184,84 Кб
  • Опубликовано:
    2015-03-29
Вы можете узнать стоимость помощи в написании студенческой работы.
Помощь в написании работы, которую точно примут!

Управление инвестициями

Содержание

Введение

. Точка Фишера и ее значение в выборе инвестиционных проектов

. Характеристика чистых инвестиционных стратегий

. Расчетное задание

Заключение

Библиографический список

Введение


В современном мире с каждым днем становится все труднее добиться финансовой стабильности. Зависимость от одного источника дохода делает человека более подверженным воздействию негативных изменений в экономике. Однако даже наличие нескольких источников доходов не решают проблему сохранения уже имеющегося капитала. Зачастую воздействие инфляции не дает возможности не только увеличить свой капитал, но и сохранить его в полном объеме.

Ответом на существующие вызовы может стать осуществление финансовых инвестиций.

Современные информационные технологии сделали возможным осуществление финансовых инвестиций не только для крупных компаний, но и для частных инвесторов. Их можно осуществлять как напрямую, так и через посредников: банки и инвестиционные фонды. Особенность финансовых инвестиций заключается в том, что они не требуют значительных средств и подходят как для крупных, так и мелких инвесторов.

Инструментами финансового инвестирования могут быть банковские депозиты, недвижимость, инвестиционные сертификаты, акции, облигации, деривативы.

Осуществление инвестиций дает возможность не только дополнительного заработка, но и позволяет снизить риски вложений за счет диверсификации - приобретения различных активов. Примером может служить размещение средств на банковский депозит и покупка ценных бумаг.

Неоспоримым преимуществом финансового инвестирования является и тот факт, что их осуществление не требует значительных временных затрат. Это делает их привлекательными практически для всех потенциальных инвесторов.

Целью контрольной работы является рассмотрение финансовых инвестиций.

Исходя из цели контрольной работы, можно выделить ряд задач. Перечислим их:

1. Точка Фишера и ее значение в выборе инвестиционных проектов;

2. Характеристика чистых инвестиционных стратегий;

3. Расчетное задание.

1. Точка Фишера и ее значение в выборе инвестиционных проектов


Инвестиции (от лат. invest - вкладывать) - способ помещения капитала для обеспечения и сохранения, либо увеличения стоимости капитала и получения достаточной величины дохода.

В соответствии с российским законодательством (закон «Об инвестиционной деятельности в Российской Федерации») инвестициями являются денежные средства, целевые банковские вклады, паи, акции и другие ценные бумаги, технологии, машины, оборудование, лицензии, в том числе и на товарные знаки, кредиты, любое другое имущество или имущественные права, интеллектуальные ценности, вкладываемые в объекты предпринимательской и других видов деятельности в целях получения прибыли (дохода) и достижения положительного социального эффекта.

Таким образом, инвестиции выражают все виды имущественных и интеллектуальных ценностей, которые вкладываются в объекты инвестиционной сферы с целью получения экономического (прибыль) и социального эффектов.

Финансовые инвестиции - активы, которыми субъекты владеют в целях получения:

дохода в виде процентов, дивидендов и роялти;

прироста инвестируемого капитала;

прочих выгод.

Кроме того, к финансовым инвестициям относятся инвестиции в недвижимость, которая находится в эксплуатации.

Финансовые инвестиции классифицируются на:

краткосрочные - срок владения до года;

долгосрочные - срок владения свыше года.

Основными критериями оценки инвестиционных проектов являются доходность, рентабельность и окупаемость.

В российской практике для оценки эффективности инвестиционных проектов наиболее часто используется метод расчета чистой текущей стоимости, который позволяет определить чистый доход от проекта, который представляет собой разницу между суммой дисконтированных потоков денежных средств, генерируемых проектом, и общей суммой инвестиций (NPV).

Чистая текущая стоимость = приведенная стоимость денежных потоков от проекта - общая сумма инвестиций.

Кроме того, бывают такие ситуации, когда существуют два конкурирующих проекта A и B, у которых: NPVA > NPVB > 0, а r < IRRA < IRRB. Необходимо в любом случае определить, какой проект принять исходя из максимизации конечного состояния инвестора (из максимизации увеличения ценности фирмы). Ответ на этот вопрос можно получить, рассчитав значение точки Фишера.

Графически точка Фишера - это точка пересечения NPV проектов. Она означает, что при данной процентной ставке, NPV проектов одинаковы. (рис. 1).

Рис. 1. Графическое определение точки Фишера

Из графика (см. рис. 1) видно, что показатели проектов противоречивы только левее точки Фишера. В случае если ставка дисконтирования меньше ставки процента, при которой NPV проектов одинаковые, принимаем решение о выгодности проекта А, а если ставка дисконта больше - лучше проект В.

Правильный выбор можно сделать и не графически, путём составления приростного потока этих двух проектов (разность между денежными потоками определенных периодов одного проекта и денежными потоками соответствующих периодов другого проекта). Затем нужно вычислить IRR найденного приростного потока и, в случае если она больше ставки дисконтирования, предпочтительнее проект с более низкой IRR.

Причинами противоречия показателей эффективности проектов могут быть:

1. Различные масштабы проектов.

2. Неравномерность притока денежных средств. Эта причина объясняется тем, что ставка влияет на денежные потоки, и особенно на потоки последних лет. Например, в первые годы в одном проекте большие денежные потоки в первые годы его осуществления, а в другом - большие потоки в последние годы. Отсюда следует, что ценность потока будет зависеть от того, на каких условиях можно реинвестировать приростные поступления первых лет (чем они больше и чем ставка реинвестирования больше, тем выше будет ценность проекта).

Использование метода NPV для определения эффективности инвестиций предполагает, что поступающие денежные средства реинвестируются по более низкой ставке, равной для фирмы цене заемного капитала.

Использование метода IRR для определения эффективности инвестиций означает, что у фирмы есть какие-то другие возможности реинвестирования, где доходность равна IRR. А так как IRR должна быть больше или равна r, то предпочтительным критерием отбора является NPV, т.к. риск недополучения дохода у этого показателя меньше. Другими словами, NPV занижает рентабельность проекта, если на практике удается реинвестировать полученные денежные потоки по ставке больше, чем цена заемного каптала. А IRR завышает рентабельность проекта, если ставка реинвестирования меньше IRR. Поэтому для «перестраховки» предпочтительнее метод NPV.

2. Характеристика чистых инвестиционных стратегий

 

Инвестиционной стратегией является система долгосрочных целей инвестиционной деятельности предприятия, которая определяется общими задачами его развития и инвестиционной идеологией, а также выбор наиболее эффективных путей их достижения.

В зависимости от показателя, выбираемого за основу классификации, инвестиционные стратегии можно разделить на виды.

По частоте применения инвестиционные стратегии делятся на:

нулевые, когда все деньги используются на текущие нужды, а сбережения и инвестиции не осуществляются, следовательно, нет и финансовой базы для реализации стратегии;

вырожденные - маловероятные, практически не встречающиеся в реальной жизни (например, высокорисковые долгосрочные вложения);

реальные, чаще всего наблюдаемые на практике.

С точки зрения риска инвестиционные стратегии делятся на малорисковые (консервативные - практически безрисковые) и рисковые. Отметим, что отсутствие риска зачастую характеризует не инвестиционную, а именно сберегательную стратегию.

В зависимости от инструментов, используемых в рамках инвестиционной стратегии, различают:

консервативную стратегию, когда в качестве инструментов используются вклады в кредитных организациях;

инвестиции в недвижимость;

инвестиции на фондовом рынке;

инвестиции в бизнес;

комбинированные стратегии, когда используется сочетание не скольких инструментов;

прочие.

Можно выделить и еще два вида инвестиционных стратегий. Это целенаправленное откладывание части средств до покрытия основных (текущих) расходов (то есть сначала осуществляются инвестиции, а после текущие расходы; таким образом, инвестиции выступают приоритетным расходом). Другая стратегия состоит в том, что инвестиции делаются по остаточному принципу: сначала покрываются текущие расходы, а остаток средств идет на инвестирование или сбережения.

Возможны и другие критерии классификации инвестиционных стратегий, в том числе в зависимости от выбираемых институтов, от времени осуществления, и некоторые другие.

Одним из основных признаков, которая характеризует инвестиционную деятельность предприятия, считается цель этой деятельности, то есть отражение мотива инвестиционной активности. Классификация инвестиционных стратегий предприятий по данному критерию предполагает выделение так называемых «чистых» (если мотив единственный) и «смешанных» инвестиционных стратегий (если указано более одного мотива).

«Чистые» инвестиционные стратегии предприятия выбирают только в связи с повышенным влиянием единственного фактора. Консервативная стратегия связана с повышенным недостатком оборотных денежных средств, экстенсивная определяется в большей степени дефицитом квалифицированного персонала, интенсивная обусловлена повышенным уровнем конкуренции с импортной продукцией, прогрессивная - недостатком спроса.

3. Расчетное задание


Рассчитайте и проанализируйте проекты, если коэффициент дисконтирования r=20%.

Таблица 1

Денежные потоки проекта

Проект


Периоды


IC

Р1

Р2

Р3

Р5

А

390

-

-

-

-

1100

Б

250

60

60

60

60

60

В

270

100

100

100

100

100


Определить: NPV, PI, PP, ARR, выбрать наиболее эффективный проект

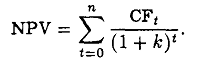
Решениеможет быть определен следующим образом:


где CF - денежный поток проекта;

k - ставка дисконтирования.А= -390/(1+0,2)0 + 1100/(1+0,2)5 = -390 +442,1 = 52,1в = -250/(1+0,2)0 + 60/(1+0,2)1 + 60/(1+0,2)2 + 60/(1+0,2)3 + 60/(1+0,2)4 + 60/(1+0,2)5 = -250+ 50 + 41,7 + 34,7 + 28,9 + 24,1 = -70,56с = -270/(1+0,2)0 + 100/(1+0,2)1 + 100/(1+0,2)2 + 100/(1+0,2)3 + 100/(1+0,2)4 + 100/(1+0,2)5 = -270+ 83,3 + 69,4 + 57,9 + 48,2 + 40,2 = 29,1

По критерию NPV первый проект наиболее выгодный.

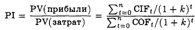
Следующий критерий, используемый при оценке проектов, - индекс рентабельности (Profitability Index, PI), или доход на единицу затрат.


Здесь CIFt - ожидаемый приток денежных средств, или доход; COFt - ожидаемый отток денежных средств, или затраты. PI для проекта S при цене капитала 20 %:А = 442,1/390= 1,13В = 179,4/250= 0,72С = 299,1/270= 1,11

Проект может быть принят, если его PI больше 1, а чем выше PI, тем привлекательнее проект. Следовательно, по данному критерию также первый проект более привлекателен для инвестора.

Таблица 2

Расчетные данные

Проект

 

Периоды

 

IC

Р1

Р2

Р3

Р4

Р5

А

390

0

0

0

0

1100

Б

250

60

60

60

60

60

В

270

100

100

100

100

100

Дисконтированный денежный поток А

-390,00

0,00

0,00

0,00

442,07

Нарастающим итогом

-390,00

-390,00

-390,00

-390,00

-390,00

52,07

Дисконтированный денежный поток В

-250,00

50,00

41,67

34,72

28,94

24,11

Нарастающим итогом

-200,00

91,67

76,39

63,66

53,05

-46,45

Дисконтированный денежный поток С

-270,00

83,33

69,44

57,87

48,23

40,19

Нарастающим итогом

-270,00

-186,67

-117,22

-59,35

-11,13

29,06

Срок окупаемости (Payback Period, PP), определяемый как ожидаемое число лет, в течение которых будут возмещены изначально сделанные инвестиции, был первым формализованным критерием, который использовался для оценки инвестиционных проектов. Наиболее простой способ определения срока окупаемости - это расчет кумулятивного денежного потока и нахождение того момента, когда он будет равен нулю. Срок окупаемости проекта А будет равен 4 годам и 4 мес. (390/(1100/12)= 4), срок окупаемости проекта В равен 4 годам и 1 мес. (10/(60/12)= 2), срок окупаемости проекта С равен 2 годам и 8 мес. (70/(100/12) = 8).

По данному критерию третий проект наиболее выгоден.

Некоторые фирмы используют модификацию этого критерия - дисконтированный срок окупаемости, который определяется по такому же алгоритму, но на основе денежного потока, дисконтированного по цене капитала этого проекта.

Срок окупаемости проекта А будет равен 4 годам и 11 мес. (390/(36,8/12)= 4), проект В не окупается вовсе, срок окупаемости проекта С равен 4 годам и 83мес. (11,13/(40,18/12) = 3).

По данному критерию третий проект наиболее выгоден.

Учетная доходность (Accounting Rate of Return, ARR), основывающаяся в большей степени на показателе чистой прибыли, а не денежного потока, - это второй хорошо и давно известный способ оценки. Наиболее распространенный алгоритм расчета таков: ARR равна отношению среднегодовой ожидаемой чистой прибыли к среднегодовому объему инвестиций. Так, если предположить, что вложения в проекты будут полностью амортизированы по прямолинейному методу в течение срока их эксплуатации, то годовые амортизационные расходы составят:

по проекту А 390/5 =78

по проекту В 250/5 =50

по проекту С 270/5 =54

Эта сумма должна вычитаться из денежных поступлений по годам с тем, чтобы получить чистую годовую прибыль. Таким образом, среднегодовая чистая прибыль по проекту:


по проекту А 1100/5 - 390/5 =148

по проекту В 300/5 - 250/5 =-38

по проекту С 500/5 - 270/5 =-34

Среднегодовая инвестиция равна полусумме исходной инвестиции и остаточной стоимости:

по проекту А (390 + 0) / 2 = 195

по проекту В (250 + 0) / 2 = 125

по проекту С (270 + 0) / 2 = 135

Отсюда ARR проекта А равна 142/195 = 0,73 или 73%.

Остальные проекты по данному критерию будут иметь отрицательное значение.

Следовательно, инвестор предпочтет проект А, так как по его приведенная стоимость значительно выше, а дисконтированный период окупаемости немногим больше проекта С. Проект В может быть признан абсолютно не целесообразным.

Заключение


На сегодняшний день экономика России развивается довольно динамично. Перспективы экономического развития страны во многом зависят от состояния рынка инвестиций, как в нашей стране, так и за рубежом. Инвестирование позволяет обеспечить решение целого ряда социально-экономических задач и реформирования социальной структуры общества.

Инвестиции в широком смысле - долгосрочные вложения средств в различные производственные структуры, с целью привлечения прибыли или других конечных результатов (охрана окружающей среды, увеличение качества жизни населения и т. д.).

С экономической точки зрения финансовые инвестиции - вложения средств в различные финансовые инструменты (активы), среди которых наиболее значимую долю занимают вложения средств в ценные бумаги.

Понимание механизма финансовых инвестиций необходимо не только специалистам, но и каждому человеку.

Библиографический список

инвестиционный рентабельность окупаемость прибыль

1 Абрамов С. И. Управление инвестициями в основной капитал /С. И. Абрамов. М: Экзамен, 2012. - 562 с.

Вакрин П. И. Инвестиции: Учебник. / П. И. Вакрин - Издательско-торговая корпорация «Дашков и Ко», 2012. - 348 с.

Крушвиц Л. Финансирование и инвестиции. Неоклассические основы теории финансов. / Л. Крушвиц - СПб.: Питер, 2011. - 249 с.

4 Малыхин В.И. Финансовая математика. / В.И. Малыхин- М.: Юнити, 2011. - 317 с.

5 Четыркин Е. М. Финансовый анализ инвестиций. / Е. М. Четыркин М.: Дело, 2011. - 219 с.

Финансовый менеджмент / Под ред. А.М. Ковалевой. - М,: ИНФРА-М, 2012. - 412 с.

Похожие работы на - Управление инвестициями

 

Не нашли материал для своей работы?
Поможем написать уникальную работу
Без плагиата!
Без нейросетей!