Управление финансовыми инвестициями

  • Вид работы:
    Курсовая работа (т)
  • Предмет:
    Финансы, деньги, кредит
  • Язык:
    Русский
    ,
    Формат файла:
    MS Word
    744,07 Кб
  • Опубликовано:
    2012-05-09
Вы можете узнать стоимость помощи в написании студенческой работы.
Помощь в написании работы, которую точно примут!

Управление финансовыми инвестициями














курсовая работа

тема: «Управление финансовыми инвестициями»

План:

Введение

. Общая характеристика финансовых инвестиций

.1 Понятие и виды финансовых инвестиций

.2 Особенности управления финансовыми инвестициями

.3 Модели оценки стоимости финансовых инструментов инвестирования

.4 Риск и доходы портфельных инвестиций

. Организационно-экономическая характеристика предприятия ООО «Бабаевский хлебокомбинат»

.1 Организационно - экономическая характеристика предприятия

.2 Анализ финансового состояния предприятия

. Совершенствование управлением финансовыми инвестициями

.1 Анализ и оценка инвестиционного портфеля

.2 Совершенствование управлением финансовыми инвестициями

Заключение

Список использованной литературы

Введение

Инвестиционная деятельность в той или иной степени присуща любому предприятию. Она представляет собой один из наиболее важных аспектов функционирования любой коммерческой организации. Причинами, обуславливающими необходимость инвестиций, грамотного вложения финансового капитала являются обновление имеющейся материально-технической базы, наращивание объемов производства, освоение новых видов деятельности, чем и обусловлена актуальность выбранной темы.

Актуальность темы. Один из определяющих факторов успешного развития организации в современных условиях хозяйствования - способность ее специалистов создавать и поддерживать индивидуальные конкурентные преимущества перед прочими участниками рынка. Это положение является аксиомой бизнеса. Важной составляющей устойчивого финансового и производственного положения организации, осуществляющей свой бизнес в конкурентном окружении, становится инвестиционная деятельность, то есть одним из условий развития предприятия в соответствии с избранной экономической и финансовой стратегией является его высокая инвестиционная активность. Экономический рост и инвестиционная активность являются взаимообусловленными процессами, поэтому предприятие должно уделять постоянное внимание вопросам управления инвестициями.

Инвестирование представляет собой один из наиболее важных аспектов деятельности любой динамично развивающейся коммерческой организации, руководство которой отдает приоритет рентабельности с позиции долгосрочной, а не краткосрочной перспективы.

Цель работы - раскрыть сущность процесса управления инвестиционным процессом на предприятии. В сооотвествии с озвученной целью, необходимо решить следующие задачи:

-       раскрыть сущность инвестиций как экономической категории;

-       поскольку практически любая задача, стоящая перед организацией, осуществляется через реализацию инвестиционных проектов, рассмотреть их сущность, классификацию и основные методы расчета их эффективности;

-       раскрыть содержание основных этапов политики управления инвестиционным процессом;

-       рассмотреть основные показатели деятельности ООО «Хлебокомбинат Бабаевский» и определить его инвестиционный потенциал;

-       проанализировать инвестиционный проект предприятия;

-       разработать рекомендации, способствующие повышению эффективности инвестиционной деятельности ООО «Хлебокомбинат Бабаевский».

1. Общая характеристика финансовых инвестиций

.1 Понятие и виды финансовых инвестиций

финансовый инвестиция портфель доход

Понятие инвестиция произошло от латинского investire - облачать. В эпоху феодализма инвеститурой назывался ввод вассала во владение феодом. Этим же словом обозначалось назначение епископов, получавших при этом в управление церковные земли с их населением и право суда над ними. Введение в должность сопровождалось соответствующей церемонией облачения и наделения полномочиями. Инвеститура давала возможность инвеститору (или, говоря современным языком, инвестору) не только приобщать к себе новые территории для получения доступа к их ресурсам, но и участвовать в управлении этими территориями через облеченных полномочиями ставленников с целью насаждения своей идеологии. Последняя, с одной стороны, оправдывала интенсивную эксплуатацию населения территорий и позволяла увеличивать получаемый с этих территорий доход, а с другой стороны, выступала в качестве развивающего фактора.

Классификация инвестиций

Инвестиции - сравнительно новая категория для российской экономики. В рамках централизованной плановой системы использовалось понятие "валовые капитальные вложения", под которыми понимались все затраты на воспроизводство основных фондов, включая затраты на их полное восстановление. Они и рассматривались как понятие, тождественное инвестициям.

С принятием в 1991 г. Закона Российской Федерации "Об инвестиционной деятельности в РСФСР" под инвестициями стали понимать денежные средства, целевые банковские вклады, паи, акции и другие ценные бумаги, технологии, машины, оборудование, лицензии, в том числе и на товарные знаки, кредиты, любое другое имущество или имущественные права, интеллектуальные ценности, вкладываемые в объекты предпринимательской и другие виды деятельности в целях получения прибыли (дохода) и достижения положительного социального эффекта. А под инвестиционной деятельностью, в соответствии с законом, стали понимать любую форму вложения капитала.

Классифицирование инвестиций относительно объекта приложения, характера использования и фактора времени.

Относительно объекта приложения: инвестиции в имущество (материальные инвестиции). Под материальными инвестициями понимают инвестиции, которые прямо участвуют в производственном процессе (например, инвестиции в оборудование, здания, запасы материалов).

Финансовые инвестиции - вложения в финансовое имущество, приобретение прав на участие в делах других фирм и деловых прав (например, приобретение акций, других ценных бумаг).

Нематериальные инвестиции - инвестиции в нематериальные ценности (например, инвестиции в подготовку кадров, исследования и разработки, рекламу и др.).

Представляется, что все инвестиции относительно объекта приложения (а именно этот критерий наиболее интересен) можно разделить на два вида: портфельные и реальные, где:

Портфельные - вложения в ценные бумаги с целью последующей игры на изменение курса и (или) получение дивиденда, а также участия в управлении хозяйствующим субъектом.

Формирование портфеля происходит путем приобретения ценных бумаг и других активов. Портфель - совокупность собранных воедино различных инвестиционных ценностей, служащих инструментом для достижения конкретной инвестиционной цели вкладчика. В портфель могут входить ценные бумаги одного типа (акции) или различные инвестиционные ценности (акции, облигации, сберегательные и депозитные сертификаты, залоговые свидетельства, страховые полисы и др.).

Прямые (реальные) инвестиции - инвестиции - вложения частной фирмы или государства в производство какой либо продукции.

Реальные инвестиции состоят из двух различных компонентов. Первый из них - это инвестиции в основной капитал, то есть приобретение вновь произведённых капитальных благ, таких как производственное оборудование, компьютеры и здания производственного назначения. Второй компонент - инвестиции в товарно-материальные запасы (оборотный капитал), которые представляют собой накопление запасов сырья, подлежащего использованию в производственном процессе, или нереализованных готовых товаров. Коммерческие товарно-материальные запасы считаются составной частью общей величины запасов капитала в экономической системе; они столь же необходимы, как и капитал в форме оборудования, зданий производственного назначения.

Также реальные инвестиции можно разделить на внутренние и внешние:

внутренние - это вложение средств хозяйствующего субъекта в собственные факторы производства за счет собственных источников финансирования;

внешние - это вложение средств инвестиционных институтов в факторы производства, нуждающегося в инвестициях хозяйствующего субъекта.

К реальным инвестициям имеет смысл отнести также понятия валовые и чистые инвестиции. Собственно чистые инвестиции это валовые инвестиции за вычетом издержек на возмещение основного капитала.

То есть, Чистые И. = Валовые И. - Возмещение

По характеру использования:

первичные инвестиции, или нетто-инвестиции, осуществляемые при основании или при покупке предприятия;

инвестиции на расширение (экстенсивные инвестиции), направляемые на расширение производственного потенциала;

реинвестиции, т. е. использование свободных доходов, полученных в результате реализации инвестиционного проекта, путем направления их на приобретение или заготовление новых средств производства с целью поддержания состава основных фондов предприятия;

инвестиции на замену, в результате которых имеющееся оборудование заменяется новым;

инвестиции на рационализацию, направляемые на модернизацию технологического оборудования или технологических процессов;

инвестиции на изменение программы выпуска продукции;

инвестиции на диверсификацию, связанные с изменением номенклатуры изделий, созданием новых видов продукции и организацией новых рынков сбыта;

инвестиции на обеспечение выживания предприятия в перспективе, направляемые на НИОКР, подготовку кадров, рекламу, охрану окружающей среды;

брутто-инвестиции, состоящие из нетто-инвестиций и реинвестиций.

рисковые инвестиции, или венчурный капитал - инвестиции в форме выпуска новых акций, производимые в новых сферах деятельности, связанных с большим риском. (3)

Венчурный капитал инвестируется в несвязанные между собой проекты в расчете на быструю окупаемость вложенных средств. Такие капиталовложения, как правило, осуществляются путем приобретения части акций предприятия-клиента или предоставления ему ссуд, в том числе с правом конверсии последних в акции. Рисковое вложение капитала обусловлено необходимостью финансирования мелких инновационных фирм в областях новых технологий. Рисковый капитал сочетает в себе различные формы приложения капитала: ссудного, акционерного, предпринимательского. Он выступает посредником в учредительстве стартовых наукоемких фирм.

По фактору времени:

краткосрочные инвестиции - это активы, которыми предприятие владеет с целью извлечения прибыли через распределение дохода, как, например, процентный доход или дивиденды по инвестициям. Краткосрочные инвестиции также называют временными инвестициями; они могут состоять из ценных бумаг или других инвестиций, предполагаемый срок погашения которых составляет менее одного года.

долгосрочные инвестиции - как правило, состоят из ценных бумаг других компаний, приобретенных с целью обеспечения постоянного источника дохода для инвестора на период более одного года. В раздел долгосрочных инвестиций в балансе не включаются ценные бумаги, приобретаемые для краткосрочных операций, в связи с тем, что установленный срок погашения их составляет период менее одного. Ревальные долгосрочные инвестиции - это финансовые вложения в сам бизнес, т.е. в основные средства, здания, сооружения, оборудование, земля и т.д.

аннуитет - инвестиции, приносящие вкладчику определенный доход через регулярные промежутки времени. В основном, это вложения средств в пенсионные и страховые фонды. Страховые компании и пенсионные фонды выпускают долговые обязательства, которые их владельцы хотят использовать на покрытие непредвиденных расходов в будущем.(5)

.2 Особенности управления финансовыми инвестициями

Управление финансовыми инвестициями предприятия представляет собой систему принципов и методов обеспечения выбора наиболее эффективных финансовых инструментов вложения капитала и своевременного его реинвестирования.

Управление финансовыми инвестициями подчинено общей инвестиционной политике предприятия и направлено на достижение его инвестиционных целей.

Процесс управления финансовыми инвестициями предприятия осуществляется по следующим основным этапам:

) Анализ состояния финансового инвестирования в предшествующем периоде. Основной целью проведения такого анализа является изучение тенденций динамики масштабов, форм и эффективности финансового инвестирования на предприятии в ретроспективе.

На первой стадии анализа изучается общий объем инвестирования капитала в финансовые активы, определяются темпы изменения этого объема и удельного веса финансового инвестирования в общем объеме инвестиций предприятия в предплановом периоде.

На второй стадии анализа исследуются основные формы финансового инвестирования, их соотношение, направленность на решение стратегических задач развития предприятия.

На третьей стадии анализа изучается состав конкретных финансовых инструментов инвестирования, их динамика и удельный вес в общем объеме финансового инвестирования.

На четвертой стадии анализа оценивается уровень доходности отдельных финансовых инструментов и финансовых инвестиций в целом. Он определяется как отношение суммы доходов, полученных в разных формах по отдельным финансовым инструментам (с ее корректировкой на индекс инфляции), к сумме инвестированных в них средств. Уровень доходности финансовых инвестиций предприятия сопоставляется со средним уровнем доходности на финансовом рынке и уровнем рентабельности собственного капитала.

На пятой стадии анализа оценивается уровень риска отдельных финансовых инструментов инвестирования и их портфеля в целом. Такая оценка осуществляется путем расчета коэффициента вариации полученного инвестиционного дохода за ряд предшествующих отчетных периодов. Рассчитанный уровень риска сопоставляется с уровнем доходности инвестиционного портфеля и отдельных финансовых инструментов инвестирования (соответствие этих показателей рыночной шкале "доходность-риск").

На шестой стадии анализа оценивается уровень ликвидности отдельных финансовых инструментов инвестирования и их портфеля в целом. Оценка этого показателя производится на основе расчета коэффициента ликвидности инвестиций на дату проведения анализа (в последнем отчетном периоде). Рассчитанный уровень ликвидности сопоставляется с уровнем доходности инвестиционного портфеля и отдельных финансовых инструментов инвестирования.(6)

Проведенный анализ позволяет оценить объем и эффективность портфеля финансовых инвестиций предприятия в предшествующем периоде.

) Определение объема финансового инвестирования в предстоящем периоде.

Этот объем на предприятиях, которые не являются институциональными инвесторами, обычно небольшой и определяется размером свободных финансовых средств, заранее накапливаемых для осуществления предстоящих реальных инвестиций или других расходов будущего периода. Заемные средства к финансовому инвестированию предприятия обычно не привлекаются (за исключением отдельных периодов, когда уровень доходности ценных бумаг существенно превосходит уровень ставки процента за кредит).

Определенный объем финансового инвестирования дифференцируется в разрезе долго- и краткосрочных периодов его осуществления. Объем долгосрочного финансового инвестирования определяется в процессе решения задач эффективного использования инвестиционных ресурсов для реализации реальных инвестиционных проектов, страховых и иных целевых фондов предприятия, формируемых на долгосрочной основе. Обьем краткосрочного финансового инвестирования определяется в процессе решения задач эффективного использования временно свободного остатка денежных активов (в составе оборотного капитала предприятия), образуемого в связи с неравномерностью формирования положительного и отрицательного денежных потоков.

) Выбор форм финансового инвестирования. В рамках планируемого объема финансовых средств, выделяемых на эти цели, определяются конкретные формы этого инвестирования, рассмотренные выше. Выбор этих форм зависит от характера задач, решаемых предприятием в процессе своей хозяйственной деятельности.

Решение стратегических задач развития операционной деятельности связано с выбором таких форм финансового инвестирования, как вложение капитала в уставные фонды совместных предприятий и приобретение контрольного пакета акций отдельных компаний, представляющих стратегический интерес для целей диверсификации этой деятельности.

Решение задач прироста капитала в долгосрочной периоде связано, как правило, с его вложениями в долгосрочные фондовые и денежные инструменты, прогнозируемая доходность которых с учетом уровня риска удовлетворяет инвестора.

Решение задач получения текущего дохода и противоинфляционной защиты временно свободных денежных активов связано, как правило, с выбором краткосрочных денежных или долговых фондовых инструментов инвестирования, реальный уровень доходности которых не ниже сложившейся нормы прибыли на инвестируемый капитал (соответствующей шкале "доходность-риск").

) Оценка инвестиционных качеств отдельных финансовых инструментов.

Методы такой оценки дифференцируются в зависимости от видов этих инструментов; основным показателем оценки выступает уровень их доходности, риска и ликвидности. В процессе оценки подробно исследуются факторы, определяющие инвестиционные качества различных видов финансовых инструментов инвестирования - акций, облигаций, депозитных вкладов в коммерческих банках и т.п. В системе такого анализа получают отражение оценка инвестиционной привлекательности отраслей экономики и регионов страны, в которой осуществляет свою хозяйственную деятельность тот или иной эмитент ценных бумаг. Важную роль в процессе оценки играет также характер обращения тех или иных финансовых инструментов инвестирования на организованном и неорганизованном инвестиционном рынке.

) Формирование портфеля финансовых инвестиций. Это формирование осуществляется с учетом оценки инвестиционных качеств отдельных финансовых инструментов. В процессе их отбора в формируемый портфель учитываются следующие основные факторы: тип портфеля финансовых инвестиций, формируемый в соответствии с его приоритетной целью; необходимость диверсификации финансовых инструментов портфеля; необходимость обеспечения высокой ликвидности портфеля и другие. Особая роль в формировании портфеля финансовых инвестиций отводится обеспечению соответствия целей его формирования стратегическим целям инвестиционной деятельности в целом.

Сформированный с учетом изложенных факторов портфель финансовых инвестиций должен быть оценен по соотношению уровня доходности, риска и ликвидности с тем, чтобы убедиться в том, что по своим параметрам он соответствует тому типу портфеля, который определен целями его формирования. При необходимости усиления целенаправленности портфеля в него вносятся необходимые коррективы.

) Обеспечение эффективного оперативного управления портфелей финансовых инвестиций. При существенных изменениях конъюнктуры финансового рынка инвестиционные качества отдельных финансовых инструментов снижаются. В процессе оперативного управления портфелем финансовых инвестиций обеспечивается своевременная его реструктуризация с целью поддержания целевых параметров его первоначального формирования.(9)

Таким образом, в процессе осуществления управления финансовыми инвестициями определяются основные параметры инвестиционной деятельности предприятия в этой сфере и ее важнейшие критерии.

.3 Модели оценки стоимости финансовых инструментов инвестирования

Эффективность отдельных финансовых инструментов инвестирования, как и реальных инвестиций, определяется на основе сопоставления объема инвестиционных затрат, с одной стороны, и сумм возвратного денежного потока по ним, с другой. Вместе с тем, формирование этих показателей в условиях финансового инвестирования имеет существенные отличительные особенности.

Прежде всего, в сумме возвратного денежного потока при финансовом инвестировании отсутствует показатель амортизационных отчислений, так как финансовые инструменты, в отличие от реальных инвестиций, не содержат в своем составе амортизируемых активов. Поэтому основу текущего возвратного денежного потока по финансовым инструментам инвестирования составляют суммы периодически выплачиваемых по ним процентов (на вклады в уставные фонды; на депозитные вклады в банках; по облигациям и другим долговым ценным бумагам) и дивидендов (по акциям и другим долевым ценным бумагам).

Кроме того, коль скоро финансовые активы предприятия (каковыми являются финансовые инструменты инвестирования) не амортизируются, они продаются (погашаются) в конце срока их использования предприятием (или в конце обусловленного фиксированного срока их обращения) по той цене, которая сложилась на них на момент продажи на финансовом рынке (или по заранее обусловленной фиксированной их сумме). Следовательно, в состав возвратного денежного потока по финансовым инструментам инвестирования входит стоимость их реализации по окончании срока их использования (фиксированной стоимости по долговым финансовым активам и текущей курсовой стоимости по долевым финансовым активам).

Определенные отличия складываются и в формировании нормы прибыли на инвестированный капитал. Если по реальным инвестициям этот показатель опосредствуется уровнем предстоящей операционной прибыли, которая складывается в условиях объективно существующих отраслевых ограничений, то по финансовым инвестициям инвестор сам выбирает ожидаемую норму прибыли с учетом уровня риска вложений в различные финансовые инструменты. Осторожный (или консервативный) инвестор предпочтет выбор финансовых инструментов с невысоким уровнем риска (а соответственно и с невысокой нормой инвестиционной прибыли), в то время как рисковый (или агрессивный) инвестор предпочтет выбор для инвестирования финансовых инструментов с высокой нормой инвестиционной прибыли (невзирая на высокий уровень риска по ним).

Коль скоро ожидаемая норма инвестиционной прибыли задается самим инвестором, то этот показатель формирует и сумму инвестиционных затрат в тот или иной инструмент финансового инвестирования, которая должна обеспечить ему ожидаемую сумму прибыли. Эта расчетная сумма инвестиционных затрат представляет собой реальную стоимость финансового инструмента инвестирования, которая складывается в условиях ожидаемой нормы прибыли по нему с учетом соответствующего уровня риска.

Если фактическая сумма инвестиционных затрат по финансовому инструменту будет превышать его реальную стоимость, то эффективность финансового инвестирования снизится (т.е. инвестор не получит ожидаемую сумму инвестиционной прибыли). И наоборот, если фактическая сумма инвестиционных затрат будет ниже реальной стоимости финансового инструмента, то эффективность финансового инвестирования возрастет (т.е. инвестор получит инвестиционную прибыль в сумме, большей чем ожидаемая).

С учетом изложенного оценка эффективности того или иного финансового инструмента инвестирования сводится к оценке реальной его стоимости, обеспечивающей получение ожидаемой нормы инвестиционной прибыли по нему. Принципиальная модель оценки стоимости финансового инструмента инвестирования имеет следующий вид:

СДфи=∑

где Сфи - реальная стоимость финансового инструмента инвестирования;

ВДП - ожидаемый возвратный денежный поток за период использования финансового инструмента;

НП - ожидаемая норма прибыли по финансовому инструменту, выраженная десятичной дробью (формируемая инвестором самостоятельно с учетом уровня риска);

п - число периодов формирования возвратных потоков (по всем их формам).

Особенности формирования возвратного денежного потока по отдельным видам финансовых инструментов определяют разнообразие вариаций используемых моделей оценки их реальной стоимости.

Рассмотрим содержание этих моделей применительно к долговым и долевым финансовым инструментам инвестирования на примере облигаций и акций.

Модели оценки стоимости облигаций построены на следующих исходных показателях: а) номинал облигации: б) сумма процента, выплачиваемая по облигации; в) ожидаемая норма валовой инвестиционной прибыли (норма доходности) по облигации: г) количество периодов до срока погашения облигации.

Базисная модель оценки стоимости облигации [Basis Bond Valuation Model] или облигации с периодической выплатой процентов имеет следующий вид:


где СОб - реальная стоимость облигации с периодической выплатой процентов;

П0 - сумма процента, выплачиваемая в каждом периоде (представляющая собой произведение ее номинала на объявленную ставку процента);

Модели оценки стоимости акций построены по следующим исходным показателям: а) вид акции - привилегированная или простая; б) сумма дивидендов, предполагаемая к получению в конкретном периоде; в) ожидаемая курсовая стоимость акции в конце периода ее реализации (при использовании акции в течении заранее определенного периода); г) ожидаемая норма валовой инвестиционной прибыли (норма доходности) по акциям; д) число периодов использования акции.

Модель оценки стоимости привилегированной акции основана на том, что эти акции дают право их собственникам на получение регулярных дивидендных выплат в фиксированном размере. Она имеет следующий вид:

САп=

где САп - реальная стоимость привилегированной акции;

Дп - сумма дивидендов, предусмотренная к выплате по привилегированной акции в предстоящем периоде;

НП - ожидаемая норма валовой инвестиционной прибыли (доходности) по привилегированной акции, выраженная десятичной дробью.

Экономическое содержание данной модели состоит в том, что текущая реальная стоимость привилегированной акции представляет собой частное от деления суммы предусмотренных по ней дивидендов на ожидаемую инвестором норму валовой инвестиционной прибыли.(10)

.4 Риск и доходность портфельных инвестиций

Инвестиционный портфель - это совокупность ценных бумаг, управляемая как единое целое.

Современное финансовое инвестирование непосредственно связано с формированием "инвестиционного портфеля". Оно базируется на том, что большинство инвесторов избирают для осуществления финансового инвестирования более чем один финансовый инструмент, т.е. формируют определенную их совокупность. Целенаправленный подбор таких инструментов представляет собой процесс формирования инвестиционного портфеля.

Инвестиционный портфель представляет собой целенаправленно сформированную совокупность финансовых инструментов, предназначенных для осуществления финансового инвестирования в соответствии с разработанной инвестиционной политикой. Так как на подавляющем большинстве предприятий, ведущих финансовое инвестирование, основным его объектом являются ценные бумаги, для таких предприятий понятие "инвестиционный портфель" отождествляется с понятием "фондовый портфель" (или "портфель ценных бумаг").

Главной целью формирования инвестиционного портфеля является обеспечение реализации основных направлений политики финансового инвестирования предприятия путем подбора наиболее доходных и безопасных финансовых инструментов. С учетом сформулированной главной цели строится система конкретных локальных целей формирования инвестиционного портфеля, основными из которых являются:

обеспечение высокого уровня формирования инвестиционного дохода в текущем периоде;

обеспечение высоких темпов прироста инвестируемого капитала в предстоящей долгосрочной перспективе;

обеспечение минимизации уровня инвестиционных рисков, связанных с финансовым инвестированием;

обеспечение необходимой ликвидности инвестиционного портфеля.

обеспечение максимального эффекта "налогового щита" в процессе финансового инвестирования.

Перечисленные конкретные цели формирования инвестиционного портфеля в значительной степени являются альтернативными. Так, обеспечение высоких темпов прироста инвестируемого капитала в долгосрочной перспективе в определенной степени достигается за счет существенного снижения уровня формирования инвестиционного дохода в текущем периоде (и наоборот). Темпы прироста инвестируемого капитала и уровень формирования текущего инвестиционного дохода находятся в прямой связи с уровнем инвестиционных рисков. Обеспечение необходимой ликвидности портфеля может препятствовать включению в него как высокодоходных, так и низкорисковых финансовых инструментов инвестирования.

Альтернативность целей формирования инвестиционного портфеля определяет различия политики финансового инвестирования предприятия, которая в свою очередь предопределяет конкретный тип формируемого инвестиционного портфеля.

Рассмотрим современные подходы к типизации инвестиционных портфелей предприятия, обеспечивающих реализацию конкретных форм его политики финансового инвестирования. Такая типизация проводится по следующим основным признакам:

По целям формирования инвестиционного дохода различают два основных типа инвестиционного портфеля - портфель дохода и портфель роста.

Портфель дохода представляет собой инвестиционный портфель, сформированный по критерию максимизации уровня инвестиционной прибыли в текущем периоде вне зависимости от темпов прироста инвестируемого капитала в долгосрочной перспективе. Иными словами, этот портфель ориентирован на высокую текущую отдачу инвестиционных затрат, невзирая на то, что в будущем периоде эти затраты могли бы обеспечить получение более высокой нормы инвестиционной прибыли на вложенный капитал.

Портфель роста представляет собой инвестиционный портфель, сформированный по критерию максимизации темпов прироста инвестируемого капитала в предстоящей долгосрочной перспективе вне зависимости от уровня формирования инвестиционной прибыли в текущем периоде. Иными словами, этот портфель ориентирован на обеспечение высоких темпов роста рыночной стоимости предприятия (за счет прироста капитала в процессе финансового инвестирования), так как норма прибыли при долгосрочном финансовом инвестировании всегда выше, чем при краткосрочном, формирование такого инвестиционного портфеля могут позволить себе лишь достаточно устойчивые в финансовом отношении предприятия.

По уровню принимаемых рисков различают три основных типа инвестиционного портфеля - агрессивный (спекулятивный) портфель; умеренный (компромиссный) портфель и консервативный портфель. Такая типизация портфелей основана на дифференциации уровня инвестиционного риска (а соответственно и уровня инвестиционной прибыли), на который согласен идти конкретный инвестор в процессе финансового инвестирования.

Агрессивный (спекулятивный) портфель представляет собой инвестиционный портфель, сформированный по критерию максимизации текущего дохода или прироста инвестированного капитала вне зависимости от сопутствующего ему уровня инвестиционного риска. Он позволяет получить максимальную норму инвестиционной прибыли на вложенный капитал, однако этому сопутствует наивысший уровень инвестиционного риска, при котором инвестированный капитал может быть потерян полностью или в значительной доле.

Умеренный (компромиссный) портфель представляет собой сформированную совокупность финансовых инструментов инвестирования, по которому общий уровень портфельного риска приближен к среднерыночному. Естественно, что по такому инвестиционному портфелю и норма инвестиционной прибыли на вложенный капитал будет также приближена к среднерыночной.

Консервативный портфель представляет собой инвестиционный портфель, сформированный по критерию минимизации уровня инвестиционного риска. Такой портфель, формируемый наиболее осторожными инвесторами, практически исключает использование финансовых инструментов, уровень инвестиционного риска по которым превышает среднерыночный. Консервативный инвестиционный портфель обеспечивает наиболее высокий уровень безопасности финансового инвестирования.

В теории портфельного инвестирования исходят из того, что значения доходности отдельной ценной бумаги портфеля являются случайными величинами, распределенными по нормальному (Гауссовскому) закону.

Чтобы определить распределение вероятностей случайной величины r необходимо знать, какие фактические значения ri принимает данная величина, и какова вероятность Рi каждого подобного результата. При этом инвестора интересует доходность инвестиций в конце инвестиционного, холдингового периода, то есть будущие значения ri, которые в начальный момент инвестирования неизвестны. Значит, инвестор должен оперировать ожидаемым, будущим распределением случайной величины r. Существуют два подхода к построению распределения вероятностей - субъективный и объективный, или исторический. При использовании субъективного подхода инвестор прежде всего должен определить возможные сценарии развития экономической ситуации в течение холдингового периода, оценить вероятность каждого результата и ожидаемую при этом доходность ценной бумаги.

Субъективный подход имеет важное преимущество, поскольку позволяет оценивать сразу будущие значение доходности. Однако, он не находит широкого применения, поскольку для обычного инвестора очень трудно сделать оценку вероятностей экономических сценариев и ожидаемую при этом доходность.

Чаще используется объективный, или исторический подход. В его основе лежит предположение о том, что распределение вероятностей будущих (ожидаемых) величин практически совпадает с распределением вероятностей уже наблюдавшихся фактических, исторических величин. Значит, чтобы получить представление о распределении случайной величины r в будущем достаточно построить распределение этих величин за какой-то промежуток времени в прошлом.

Как показывают исследования западных экономистов, для рынка акций наиболее приемлемым является промежуток 7-10 шагов расчета. В отличие от субъективного подхода, который предполагает разную вероятность различных значений доходности, при объективном подходе каждый результат имеет одинаковую вероятность, поскольку при N наблюдениях случайной величины вероятность конкретного результата составляет величину 1/N. Например, если исследуется доходность акции за предшествующие 10 лет, то вероятность каждой годовой доходности ri составляет 1/10.

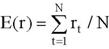
Наиболее часто в теории инвестиционного портфеля используется среднее арифметическое значение случайных величин. Напомним, что если rt (t = 1,2,…,N) представляют собой значения доходности в конце t - го холдингового периода, а Pt - вероятности данных значений доходности, то:

где E(r) - среднее арифметическое значение доходности;

N - количество лет, в течение которых велись наблюдения.

В случае объективного подхода Pt = 1/N, поэтому формула примет вид:


Наиболее часто риск ценной бумаги измеряют с помощью дисперсии σ2 и стандартного отклонения σ.


Доходность портфеля. Под ожидаемой доходностью портфеля понимается средневзвешенное значение ожидаемых значений доходности ценных бумаг, входящих в портфель. При этом "вес" каждой ценной бумаги определяется относительным количеством денег, направленных инвестором на покупку этой ценной бумаги. Ожидаемая доходность инвестиционного портфеля равна:


где E(ri)- ожидаемая норма отдачи портфеля;

Wi - доля в общих инвестиционных расходах, идущая на приобретение i-ой ценной бумаги ("вес" i-ой ценной бумаги в портфеле);

E(ri) - ожидаемая доходность i-ой ценной бумаги;

n - число ценных бумаг в портфеле.

Измерение риска портфеля. При определении риска портфеля следует учитывать, что дисперсию портфеля нельзя найти как средневзвешенную величин дисперсий входящих в портфель ценных бумаг. Это объясняется тем, что дисперсия портфеля зависит не только от дисперсий входящих в портфель ценных бумаг, но также и от взаимосвязи доходностей ценных бумаг портфеля друг с другом. Иными словами, риск портфеля объясняется не только индивидуальным риском каждой отдельно взятой ценной бумаги портфеля, но и тем, что существует риск воздействия изменений наблюдаемых ежегодных величин доходности одной акции на изменения доходности других акций, включаемых в инвестиционный портфель.

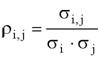
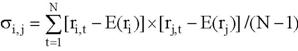
Меру взаимозависимости двух случайных величин измеряют с помощью ковариации и коэффициента корреляции. Положительная ковариация означает, что в движении доходности двух ценных бумаг имеется тенденция изменяться в одних и тех же направлениях: если доходность одной акции возрастает (уменьшается), то и доходность другой акции также возрастет (уменьшится). Если же просматривается обратная тенденция, то есть увеличению (уменьшению) доходности акций одной компании соответствует снижение (увеличение) доходности акций другой компании, то считается, что между доходностями акций этих двух компаний существует отрицательная ковариация. Когда рассматриваются величины доходности ценных бумаг за прошедшие периоды, то ковариация подсчитывается по формуле:


где σi,j - ковариация между величинами доходности ценной бумаги i и ценной бумаги j; r i,t и r j ,t - доходность ценных бумаг i и j в момент времени t; E(r i), E(r j) - ожидаемая (среднеарифметическая) доходность ценных бумаг i и j; N - общее количество лет наблюдения.

Часто при определении степени взаимосвязи двух случайных величин используют относительную величину - коэффициент корреляции ρ i,j


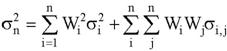
Итак, риск инвестиционного портфеля надо определять с помощью дисперсии. Пусть в исследуемый портфель входят n ценных бумаг; тогда дисперсию портфеля необходимо вычислять по формуле:


Если вспомнить, что коэффициент корреляции ρi,j = σi,j / σi σj , то эту формулу можно представить в виде:


Ключ к решению проблемы выбора оптимального портфеля лежит в теореме о существовании эффективного набора портфелей, так называемой границы эффективности. Суть теоремы сводится к выводу о том, что любой инвестор должен выбрать из всего бесконечного набора портфелей такой портфель, который:

обеспечивает максимальную ожидаемую доходность при каждом уровне риска.

обеспечивает минимальный риск для каждой величины ожидаемой доходности.

Набор портфелей, которые минимизируют уровень риска при каждой величине ожидаемой доходности, образуют так называемую границу эффективности. Эффективный портфель - это портфель, который обеспечивает минимальный риск при заданной величине E(r) и максимальную отдачу при заданном уровне риска. За ее разработку Г. Марковиц получил Нобелевскую премию.

Та часть риска портфеля, которая может быть устранена путем диверсификации, называется дивесрифицируемым, или несистематическим риском. Доля же риска, которая не устранятся диверсификацией, носит название недиверсифицируемого, или систематического риска.(2)

2. Организационно-экономическая характеристика предприятия ООО «Хлебокомбинат Бабаевский»

.1 Организационная характеристика предприятия

ООО «Хлебокомбинат Бабаевский» был построен и введен в эксплуатацию в 1985 году. Предприятие является юридическим лицом с момента его государственной регистрации. Данное предприятие по своей организационно-правовой форме является обществом с ограниченной ответственностью. Также предприятие является коммерческой организацией, основной целью деятельности которого является извлечение прибыли. Как юридическое лицо, предприятие самостоятельно осуществляет оперативный, бухгалтерский и статистический учет и отчетность в установленном действующим законодательством Российской Федерации порядке.

Производственная деятельность ООО «Хлебокомбинат Бабаевский» основывается на выпуске хлеба, хлебобулочных и кондитерских изделий. Производственная мощность предприятия составляет 5 тонн продукции в сутки.

На предприятии имеется кондитерский цех, который вырабатывает более 40 наименований кондитерских изделий. В настоящее время предприятие производит хлеб из ржаной и из смеси ржаной и пшеничной муки, пшеничной муки всех сортов, булочные и бараночные изделия. Освоены и пользуются спросом такие виды продукции, как: хлеб «Дарницкий», «Богородский», ржаной хлеб «Особый».

Основными целями деятельности предприятия являются:

­    производство и реализация хлебобулочных изделий через торгующие организации сел и города;

­    обеспечение и повышение социальных гарантий членов трудового коллектива;

­    получение прибыли и рост доходов.

В настоящее время на предприятии осваивается выпуск нового ассортимента, в частности: печенья калорийного, тортов вафельных под названием «Бабаевский» и «Полярный», киселя сухого. Вся выпускаемая продукция пользуется большим спросом у покупателей. Большие трудности Хлебокомбинат испытывает из-за несвоевременной оплаты за продукцию. В результате чего нет возможности закупить сырье, новое оборудование. ООО «Хлебокомбинат Бабаевский» отпускает свою продукцию под реализацию и по договору мены.

Управление делами на предприятии распределены между директором, главным бухгалтером и начальником производства. Перед каждым работником ставятся конкретные задачи, за выполнение которых они несут ответственность. Политика оплаты труда работников строится на зависимости размера заработка от объемов производства.

Организация имеет иерархическую структуру управления, которая представлена на рисунке 1.

Рисунок 1 - Организационная структура управления предприятия

Основной производственной деятельностью предприятия ООО «Хлебокомбинат Бабаевский» является производство хлебобулочных изделий с последующей их продажей населению. Показатели развития предприятия представлены в таблице 1.

Таблица 1. - Основные показатели развития предприятия

Показатели

Годы

2010 г. в % к 2008 г.


2008

2009

2010


Произведено продукции в текущих ценах, руб.

1130236

1580422

1688385

149

Среднегодовая (среднесписочная) численность работающих, чел.

20

22

23

115

Среднегодовая стоимость основных производственных фондов промышленного назначения, руб.

970198

778119

564324

58

Произведено продукции в расчете: - на одного работника, руб.

56512

71837

73408

130

- на 100 руб. стоимости фондов, руб.

117

203

299

256


Как видно из таблицы 1. за период с 2010 по 2008 гг. ООО «Хлебокомбинат Бабаевский» увеличило выпуск продукции на 49%. Также за тот же период увеличилась численность работающих на 3 человека и уменьшилась стоимость основных производственных фондов на 405874 руб. Влияние данных факторов сказалось на увеличении произведенной продукции в расчете на одного работника и на 100 руб. стоимости фондов. Это связано с тем, что предприятие провело ликвидацию морально устаревшего оборудования и заменило его новыми образцами с более высокими показателями выхода продукции.

Оценка экономической эффективности товарной продукции ООО «Хлебокомбинат Бабаевский» представлена в таблице 2.

Таблица 2. - Экономическая эффективность товарной продукции

Показатели

Годы

2010 г. в % к 2008 г.


2008

2009

2010


Товарная продукция, руб.

1130236

1580422

1688385

149

Себестоимость товарной продукции, руб.

705654

1171164

1281182

182

Прибыль (+), убыток (-), руб.

424582

409258

407203

96

Уровень рентабельности (+), убыточности (-), %

162

135

132

-

Затраты на рубль товарной продукции, руб.

0,62

0,74

0,76

123


Анализ данных в таблице 2. показывает, что за период с 2010 по 2008гг. ООО «Хлебокомбинат Бабаевский» увеличил объем товарной продукции на 49%. Вместе с тем на 82% увеличилась себестоимость товарной продукции, которая связана с увеличением затрат. За анализируемый период отмечается работа предприятия с прибылью показатели которой имеют тенденцию к снижению. Уменьшение прибыли повлияло на уменьшение показателя уровня рентабельности.

.3 Анализ финансового состояния ООО «Хлебокомбинат Бабаевский»

Источником анализа финансового положения организации являются бухгалтерский баланс, отчет о прибылях и убытках и приложения к ним.

Имущество предприятия представлено в таблице 3.

Таблица 3. - Структура имущества ООО «Хлебокомбинат Бабаевский»

Показатели

Наличие на конец года, руб.

Структура, %

Темпы роста, %


2008

2009

2010

2008

2009

2010

2009 к 2008

2010 к 2009

Всего имущества

726937

432022

505616

100

100

100

59,43

117,04

Внеоборотные активы

581005

258895

285401

79,93

59,93

56,45

44,56

110,24

Оборотные средства

145932

173126

220215

20,07

40,07

43,55

118,64

127,2


Согласно данным, представленным в таблице 3 в структуре имущества предприятия преобладают внеоборотные активы, удельный вес которых за анализируемый период снизился на 23,48%, и повысился удельный вес оборотных средств - на 23,48 %. За период с 2008 г. по 2010 г. произошло снижение стоимости имущества предприятия на 221321 руб., связанное в основном с проведенной ликвидацией физически и морально устаревших основных средств в 2002 году.

Структура источников средств предприятия ООО «Хлебокомбинат Бабаевский» представлена в таблице 4.

Таблица 4. - Структура источников средств предприятия ООО «Хлебокомбинат Бабаевский»

Показатели

Наличие на конец года, руб.

Структура, %

Темпы роста, %


2008

2009

2010

2008

2009

2010

2009 к 2008

2010 к 2009

Всего имущества

726937

432022

505616

100

100

100

59,43

117,04

Источники собственных средств

189584

363082

384858

26,08

84,04

76,12

191,52

106

Заемные средства, в т. ч.

537353

68940

120758

73,92

15,96

23,88

12,83

175,17

- кредиторская задолженность

537353

68940

120758

73,92

15,96

23,88

12,83

175,17


Согласно данным, представленным в таблице 4 видно, что за период с 2008 г. по 2010 г. произошло увеличение собственных средств предприятия и уменьшения заемных. В настоящее время наибольший удельный вес в структуре источников средств ООО «Хлебокомбинат Бабаевский» занимают собственные источники - 76,12%. На предприятии имеются также заемные средства, которые представляют собой кредиторскую задолженность - 23,88%. Более половины объема кредиторской задолженности составляют обязательства перед поставщиками за товары, работы и услуги. Таким образом предприятию необходимо обратить особое внимание на данный фактор.

Расчет показателей платежеспособности приведен в таблице 5

Таблица 5. - Расчет показателей платежеспособности

2000 г.

2001 г.

2002 г.

Изменение в 2002 г. к 2000 г. (+,-)

Исходная информация

1. Денежные средства, руб.

15323

30774

14110

-1212

2. Дебиторская задолженность, руб.

35710

15503

21861

-13849

3. Запасы и затраты (без расходов будущих периодов), руб.

76890

89348

126183

49293

4. Краткосрочные обязательства, руб.

50264

537352

68939

18675

Показатели платежеспособности

5. Коэффициент абсолютной ликвидности ((1 стр+2стр)/4стр)

1,02

0,09

0,52

-0,5

6. Промежуточный коэффициент покрытия ((1стр+2стр+3стр)/4стр)

2,55

0,25

2,35

-0,2

7. Общий коэффициент покрытия ((1стр+2стр+3стр-4стр)/4стр)

1,55

-0,75

1,35

-0,2

8. Удельный вес запасов и затрат в сумме краткосрочных обязательств, (3стр/4стр)*100%

152,97

16,63

183,04

+30,07

Согласно данным, представленным в таблице 5. за период с 2008 по 2010 гг. произошло снижение показателей платежеспособности предприятия, связанное с увеличением удельного веса запасов и затрат в сумме краткосрочных обязательств на 30,07%. В связи с этим коэффициент абсолютной ликвидности уменьшился в 2 раза, а промежуточный коэффициент покрытия и общий коэффициент покрытия на 0,2.

Предприятие ООО «Хлебокомбинат Бабаевский» считается платежеспособным, т.к. коэффициент абсолютной ликвидности, равен 0,52 (при норме 0,2 - 0,5), а общий коэффициент покрытия, равен 1,35 (при норме >=2).

Расчет и анализ основных показателей финансовой устойчивости предприятия ООО «Хлебокомбинат Бабаевский» представлен в таблице 6.

Таблица 6. - Расчет показателей финансовой устойчивости

Показатели

2008 г.

2009 г.

2010 г.

Изменение в 2010 г. к 2008 г. (+,-)

Исходная информация

1. Собственные средства, руб.

678637

189584

363088

-315549

2. Сумма задолженности, руб.

50264

537352

68934

18670

3. Дебиторская задолженность, руб.

35710

15503

21861

-13849

4. Долгосрочные заемные средства, руб.

-

-

-

-

5. Стоимость имущества, руб.

728901

726937

432022

-296880

Показатели финансовой устойчивости

6. Коэффициент независимости, (стр.1/стр.5)

0,93

0,26

0,84

-0,09

7. Удельный вес заемных средств, (стр.2/стр.5*100), %

6,9

73,9

15,9

+9,0

8. Соотношение заемных и собственных средств, (стр.2/стр.5)*100, %

0,07

2,83

0,19

+0,12

9. Удельный вес дебиторской задолженности, (стр.3/стр.5)*100, %

4,9

2,1

5,1

+0,2

10. Коэффициент финансовой устойчивости, ((стр.1+стр.4)/стр.5)

0,93

0,26

0,84

-0,09


Согласно представленным данным в таблице 6 за 2008 - 2010 гг. увеличился удельный вес дебиторской задолженности на 0,2%. Это говорит о том, что уменьшился возврат долгов предприятию за реализованную продукцию. Также на предприятии заметно преобладание заемных средств по отношению к собственным средствам предприятия.

Основные показатели рентабельности предприятия ООО «Хлебокомбинат Бабаевский» приведены в таблице 7.

Таблица 7. - Оценка рентабельности работы предприятия

Показатели

2008 г.

2009 г.

2010 г.

Изменение в 2010 г. к 2008 г. (+,-)

Исходная информация

1. Балансовая прибыль, руб.

5845

7425

14262

8417

2. Платежи в бюджет, руб.

5012

5716

12987

7975

3. Чистая прибыль, (стр.1-стр.2), руб.

833

1709

1275

442

4. Выручка от реализации, руб.

1911511

2529031

2734299

822788

5. Собственные средства, руб.

678637

189584

363088

-315549

6. Долгосрочные заемные средства, руб.

-

-

-

-

7. Основные средства, руб.

595189

581005

258552

-336637

8. Запасы и затраты, руб.

76890

89348

126183

49293

9. Стоимость имущества, руб.

728901

726937

432022

-296880

Показатели рентабельности

10. Коэффициент рентабельности всего капитала, (стр.1/стр.9)*100, %

0,8

1,0

3,3

2,5

11. Коэффициент рентабельности собственных средств, (стр.1/стр.5)*100, %

0,86

3,92

3,93

3,1

12. Коэффициент рентабельности производственных фондов, (стр.1/(стр.7+стр.8))*100, %

0,87

1,11

3,71

2,8

13. Коэффициент рентабельности продаж, (стр.1/стр.4)*100, %

0,31

0,29

0,52

0,2

14. Коэффициент перманентного капитала, (стр.1/(стр.5+стр.6))*100, %

0,86

3,92

3,93

3,1


Представленные в таблице 7 данные показывают, что за период с 2008 г. по 2010 г. на предприятии ООО «Хлебокомбинат Бабаевский» увеличилась чистая прибыль на 442 руб., а выручка от реализации - на 822788 руб., что в свою очередь повлияло на увеличение показателей рентабельности ООО «Хлебокомбинат Бабаевский». Увеличение показателей рентабельности предприятия говорит о том, что производимая продукция на предприятии ООО «Хлебокомбинат Бабаевский» пользуется спросом у населения.

Показатели деловой активности предприятия ООО «Хлебокомбинат Бабаевский» приведены в таблице 8.

Таблица 8. - Оценка деловой активности предприятия

Показатели

2008 г.

2009 г.

2010 г.

Изменение в 2010 г. к 2008 г. (+,-)

Исходная информация

1. Выручка от реализации, руб.

1911511

2529031

2734299

822788

2. Себестоимость реализованной продукции, руб.

705654

1171164

1281182

575528

3. Запасы и затраты, руб.

76890

89348

126183

49293

4. Стоимость имущества, руб.

728901

726937

432022

-296880

5. Собственные средства, руб.

678637

189584

363088

-315549

Показатели деловой активности

6. Общий коэффициент оборачиваемости, (стр.1/стр.4), раз

2,62

3,48

6,33

3,71

7. Оборачиваемость запасов в оборотах, (стр.2/стр.3), раз

9,18

13,11

10,15

0,98

8. Оборачиваемость собственных средств, (стр.1/стр.5), раз

2,82

13,34

7,53

4,71

9. Оборачиваемость запасов (в днях), (360/стр.7)

39,23

27,46

35,46

-3,77


Согласно представленным данным в таблице 8. предприятие за 2008 - 2010 гг. увеличило выручку от реализации продукции на 822788 руб. несмотря на то, что себестоимость продукции увеличилась на 575528 руб., а стоимость имущества и собственных средств предприятия снизилась на 296880 руб. и 315549 руб. соответственно. Изменения данных показателей в анализируемом периоде сказались на изменении показателей деловой активности предприятия. Так общий коэффициент оборачиваемости увеличился на 3,71 раза. Оборачиваемость запасов в оборотах увеличилась на 0,98 раз, что в свою очередь снизило оборачиваемость запасов в днях 3,77 дня). Исходя из этих данных можно судить о снижении деловой активности.

3. Совершенствование управлением финансовыми инвестициями

.1 Анализ и оценка инвестиционного портфеля

Учредитель ООО «Хлебокомбинат Бабаевский» решает заняться инвестиционной деятельностью в сфере фондового рынка. Изучив ситуацию на рынке ценных бумаг он решает приобрести портфель обыкновенных акций пяти Российских компаний, наиболее известных в стране. Для этого он выделяет 75120 руб. из бюджета организации на его приобретение.

В таблице 9 представлено содержание инвестиционного портфеля, цена акций, количество и доходность акций.

Таблица 9. Содержание инвестиционного портфеля

№ пп

Наименование организации

Цена в руб.

Количество, шт.

Инвестиции, руб.

Дивиденды, руб. на акцию

1

Сбербанк

35

375

13125

0,52

2

Лукоил

45

333

14985

1,1

3

МТС

120

208

24960

1,5

4

Ростелеком

150

147

22050

1,5


При расчетах доходности инвестирования акций в настоящее время на рынке инвестиций используются два вида анализа:

)        Фундаментальный анализ - это анализ всех факторов, влияющих на стоимость компании и ее ценных бумаг с целью определения истинной стоимости этих бумаг.

Таким образом, объектом исследования в фундаментальном анализе является цена акции отдельной компании. Предполагается, что истинная или внутренняя стоимость акции зависит от стоимости самого акционерного общества и может быть количественно оценена как стоимость будущих денежных поступлений по данной ценной бумаге. Получается, что основная проблема заключается в том, чтобы спрогнозировать эти будущие поступления, анализируя ситуацию на рынке, инвестиционную и дивидендную политику компании, ее инвестиционные возможности, то есть изучив все факторы, так или иначе влияющих на цену акции.

Родоначальником фундаментального анализа можно считать Бенжамина Грэхэма, который в своей книге «Принципы и техника анализа ценных бумаг» (Security analysis. Principles and technique.) впервые провел параллель между внутренней стоимостью акции и ее рыночной ценой. Можно выделить следующие положения, лежащие в основе фундаментального анализа:

На развитом рынке цена акции очень чувствительна к фундаментальным факторам, связанным с предприятием. Эти факторы определяют главный тренд движения цены акции.

Текущие колебания цен - это некоторый естественный фон, который можно не принимать в расчет с точки зрения общего положения дел.

Рыночные котировки цены акции являются пассивным отражением истинной ценности акции, лежащей в их основе, и это отражение так или иначе соотносится со стоящими за данной акцией активами.

Каждая акция имеет свою внутреннюю стоимость. Рыночная цена всегда стремится к внутренней стоимости. Если рыночная цена акции превышает ее внутреннюю стоимость, то акция переоценена рынком, если же внутренняя стоимость выше рыночной цены акции, то акция недооценена.

Фундаментальный анализ проводится на трех уровнях:

Макроэкономический анализ. Результатом его является определение состояния экономики страны в целом, формируется первоначальное представление о целесообразности инвестиций в различные финансовые активы.

Отраслевой анализ. Результатом отраслевого анализа является определение отраслей, имеющих наибольшую инвестиционную привлекательность.

Анализ компании. В результате этого вида анализа инвестор должен выбрать наиболее перспективные компании выбранной отрасли.

)        Технический анализ - это анализ графиков цен на финансовые инструменты (ценные бумаги, валюту и т.д.). Технический анализ, в отличие от фундаментального, не исследует ничего, кроме цены. Предполагается, что рынок обладает памятью и что на будущее движение курса товаров, в частности, курсов ценных бумаг, большое влияние оказывают закономерности его прошлого поведения.

Технический анализ не предполагает рассмотрение сущности экономических явлений, то есть технический анализ - это анализ на уровне формы проявления, а не на уровне сущности.

В ходе технического анализа изучаются графики поведения курсов финансовых инструментов, или «чарты» (charts analysis), которые служат основой прогноза цен, поэтому технических аналитиков называют «чартистами» (chartists).

Как видим, и фундаментальный, и технический анализ - это сложные виды анализа, и обеспечить профессиональное и качественное их проведение способны далеко не все инвесторы.

Используя эти виды анализа, мы и решили вкладывать средства в финансовые инвестиции данных компаний.

На основании данных таблицы 9 производится анализ доходности от инвестиций в портфель акций. Предполагаемый срок инвестиционного проекта 3 года, в течение которого инвестор планирует получать прибыль.

Таблица 10. Предполагаемый доход от инвестиций

№ пп

Наименование организации

1 год

2 год

3 год

1

Сбербанк

7200

7500

8300

2

Лукоил

10500

12000

15000

3

МТС

9200

9800

11000

4

Ростелеком

9500

10800

13700


Итого по всему портфелю

36400

40100

48000


На основании расчетных данных таблицы 10 производится оценка эффективности инвестиционного портфеля двумя методами:

)        Метод чистого дисконтированного дохода.

Рассчитаем общую величину дисконтированного дохода (PV) для всего портфеля, при r = 5% (- коэффициент доходности.)=36400/1,05=34666,66=40100/1,052=36371,88=48000/1,053= 41464,21

Тогда величина чистого дисконтированного дохода будет:=(34666,66+36371,88+41464,21)-75120= 37382,75

Теперь рассчитаем величину дисконтированного дохода и чистого приведенного эффекта для каждого вида эмитента:

Сбербанк: PV=7200/1,05 = 6857,14

PV=7500/1,052=6802,72

PV=8300/1,053= 7169,85

NPV=(6857,14+6802,72+7169,85)-13125= 7704,71

Лукойл: PV=10500/1,05=10000

PV=12000/1,052= 10884,35

PV=15000/1,053=12957,56

NPV=(10000+10884,35+12957,56)-14985= 18856,91

МТС: PV=9200/1,05=8761,91

PV=9800/1,052= 8888,89

PV=11000/1,053= 9502,21

NPV=(8761,91+8888,89+9502,21)-24960=2193,01

Ростелеком: PV=9500/1,05=9047,62

PV=10800/1,052= 9795,92

PV=13700/1,053= 11834,58

NPV=(9047,62+9795,92+11834,58)-22050= 8628,12

)        Метод расчета индекса рентабельности портфеля

Рассчитаем индекс рентабельности для всего портфеля:= 112502,75 /75120= 1,50

Тогда для каждого вида эмитента:

Лукойл: PI= 33841,91 /14985=2,26

МТС: PI= 27153,01 /24960= 1,088

Ростелеком: PI= 30678,12 /22050= 1,39

В результате оценки можно сделать вывод, что в целом инвестиционный портфель является доходным, т.к. показатель NPV>0 и PI>1. Также показатель PI показывает, что каждый вложенный рубль будет приносить 1руб.50коп.

Оценка каждого вида акций позволяет сделать вывод, что наиболее доходными и надежными являются акции «Лукойл» и «Сбербанк», т.к. NPV>0 и PI>1. При покупке акций «Лукойл» доходность на рубль будет составлять 2руб.26коп., при покупке акций «Сбербанк» доходность рубля будет 1,59 руб.

Акции «МТС» и «Ростелеком» также являются доходными.

.2 Совершенствование управлением финансовыми инвестициями

Для более качественного анализа и оценки данного инвестиционного проекта, а также для сокращения времени и сил можно воспользоваться автоматизацией процесса при помощи компьютера.

Подготовка подробного количественного анализа является основной принятия решений для всех участников проекта и выработки их общей стратегии при условии достижения каждым из их собственного интереса благодаря вариантному подбору исходных и конечных параметров.

Наиболее полный учет динамики реализации проекта при подготовке и анализе проекта возможен с использованием специализированных компьютерных систем экономического и финансового моделирования, приспособленных для решения подобных задач.

Особое значение это имеет для учета фактора инфляции и приведения равновременных затрат, а также для анализа чувствительности проекта к изменениям внешней среды. Правильный выбор и эффективное использование компьютерных программных продуктов позволяют значительно улучшить качество самих проектов. Кроме того, применение авторитетных, лицензированных систем укрепляет авторитет инициаторов проекта и повышает финансово-экономическую привлекательность последнего.

Управление инвестиционной деятельностью.

Как повысить эффективность инвестиционных проектов?

В настоящее время существует весьма широкий спектр специализированных программных продуктов. В России наиболее часто применяют пакеты прикладных программ: COMFAR, PROPSPIN, «Альт-Инвест» и «Project expert», .

В результате интеграции управления проектами в общий контур финансового менеджмента - компании получают рабочий инструмент повышения эффективности своих инвестиций.

Внедрение управления инвестициями с помощью программных продуктов позволяет достичь таких эффектов, как:

Формирование отчетности по планируемым и осуществляемым инвестиционным проектам для внешних инвесторов и зарубежных партнеров в сжатые сроки с высокой точностью и с минимальными трудозатратами;

Компания получает международную репутацию инноватора и серьезного партнера;

Экономия расходования ресурсов на проектах - за счет их системного контроля;

Улучшение отношений с поставщиками и подрядчиками - благодаря своевременным и точным оплатам через проектноориентированный платежный календарь;

Достижение показателей окупаемости и эффективности проектов - благодаря точному бизнес-планированию, текущему анализу и контролю осуществления инвестиций;

Увеличение общей прибыльности реализации проектов.

Какие недостатки у традиционно раздельного управления финансами и проектами?

В современной практике управления бизнесом существуют две важные, но при этом абсолютно разрозненные дисциплины: управление финансами и управление проектами. Конечно, у них можно выявить некоторые пересечения, например: область «Управление стоимостью проекта» в УП или аналитика «Проекты» управленческого учета в УФ. Но реально же подавляющее большинство руководителей и специалистов предприятий не используют возможности интеграции данных дисциплин.

В результате этого руководство многих компаний сталкивается с рядом серьезных проблем, среди которых:

никоим образом не согласованные методики управления финансами компании и проджект-менеджмента;

использование разных программных продуктов для бизнес-планирования, управления работами, сроками и ресурсами проекта и финансового управления - возникает потеря данных и их аналитичности, увеличение сроков обработки информации;

специалисты финансовых служб не понимают язык сотрудников, занятых в проектах, и наоборот;

высшее руководство компании не может добиться от менеджеров проектов реальной ответственности за показатели окупаемости и эффективности проектов.

Перечисленные выше проблемы можно избежать или минимизировать, если интегрировать обе области управления: проекты и финансы, и компания «ИНТАЛЕВ» предлагает свое решение по данной интеграции.

Программный подход заключается в следующем:

)        Сотрудники компании обучаются совместной работе в блоках «Управление проектами» и «Управление финансами» на базе комплексной методологии и общей программной платформы;

)        Разрабатывается единая методология, включающая в себя:

бизнес-планирование;

инвестиционный анализ и обоснование окупаемости инвестиционных проектов;

управление содержанием, сроками и качеством проектов (по стандартам PMBOK);

интеграция управления ресурсами проектов и их стоимостью в общий контур бюджетирования и учета на предприятии;

отчетность по текущему прогрессу проектов и их окончательным результатам;

оценка достижения заданных показателей окупаемости и эффективности проектов: как качественных, так и финансовых (NPV, RI, IRR и т.д.).

Рис. 2. Цикл управления инвестиционной деятельностью

)        Внедряется комплексное программное решение « Корпоративный менеджмент» (функции: бизнес-планирование, инвестиционный анализ, текущее бюджетирование и учет, платежный календарь по проекту) + Microsoft Project (функции: календарное планирование и назначение ресурсов, контроль исполнения проекта, информация для платежей по проекту). Основные преимущества такой связки - возможность гибкой и оперативной передачи информации о:

плановой и фактической стоимости ресурсов проекта в данные финансовой системы, превращающей их в капитальные затраты или текущие расходы;

датах необходимых платежей, связанных со сроками работ;

обратный поток данных: о фактически совершенных платежах, документально принятых работах, списанных материалах и т.д.

Рис. 3. Программный комплекс: Корпоративный менеджмент и MS Project

Анализ рисков выполняется в пакете по 11 стадиям проекта:

. исследования и разработки

. приобретения и аренда земли

. строительство, аренда или приобретение зданий и сооружений

. приобретение и монтаж технологического и офисного оборудования

. разработка и изготовление технологической оснастки и инструмента

. производство

. рынок

. продукт

. система распределения

. реклама

. сервис

К каждой оценке предполагаются комментарии, позволяющие сопоставлять мнения различных экспертов.

Система может использоваться как на стадии разработки проекта, так и при его реализации и организации последующей эксплуатации.

Преимущество этого продукта в том, что можно взять пробную версию и проанализировать подойдет она предприятию или нужно что-то другое.

После проведенного анализа инвестиционного портфеля предприятия можно порекомендовать продолжать держать акции в том же составе. Также можно воспользоваться свойствами портфеля отзываемости и пополняемости.

По истечении определенного времени первоначально сформированный портфель уже не может рассматриваться менеджером в качестве оптимального и наилучшего для инвестора в связи с изменением его инвестиционных предпочтений, прогнозных оценок или отношения к риску и доходности. В этом случае менеджер должен пересмотреть портфель. Во-первых, он должен определить, каким будет новый оптимальный портфель; во-вторых, выявить те виды бумаг в существующем портфеле, которые необходимо продать, и те, которые следует купить взамен; в-третьих, переструктурировать имеющийся портфель.

Основным способом реструктуризации портфеля является продажа части его активов и покупка взамен их других, либо вложения в безрисковый актив. Этот способ дорогостоящий, так как связан с определенными дополнительными расходами для инвестора (например, комиссионные брокерам и портфельным менеджерам, потери от изменения цен на бумаги, разница между ценой покупки и продажи ценных бумаг, налоги, вызванные реализацией полученной прибыли и т.д.). Для того чтобы пересмотр портфеля был эффективным выгоды от ревизии должны превышать издержки, обеспечивать увеличение ожидаемой доходности, а также уменьшение риска портфеля.

Также можно добавить в портфель акции других компаний, которые будут более доходными, проведя при этом анализ эффективности этих инвестиций.

Конечно, можно было бы, подождать когда акции начнут приносить прибыль, но в сложившейся экономической ситуации на фондовых рынках это рискованно, т.к. ситуация не стабильна. Но, не смотря на это инвестиции в акции являются более прибыльными, чем если бы вы положили эти деньги в банк под проценты.

Заключение

Важнейший элемент хозяйственной жизни и предмет экономической теории - инвестиции.

Инвестиции - это динамический процесс смены форм капитала, последовательного преобразования первоначальных ресурсов и ценностей в инвестиционные затраты и превращение вложенных средств в прирост капитальной стоимости в форме дохода или социального эффекта. Инвестиции - это вложения как в денежный, так и в реальный капитал. Они осуществляются в виде денежных средств, кредитов, ценных бумаг, а также вложений в движимое и недвижимое имущество, интеллектуальную собственность, имущественные права и другие ценности.

Инвестиции бывают двух основных видов - это реальные и финансовые. Именно реальные инвестиции, то есть инвестиции в основную производственную деятельность организации, способствуют наращиванию ее производственного, экономического и финансового потенциала.

В период резких изменений в экономике, технологии, экологии и политике выживание и успех в мире бизнеса в большей степени, чем когда-либо, зависят от правильности принимаемых инвестиционных решений. Инвестиционное решение - одна из наиболее важных деловых инициатив, которая должна осуществляться предпринимателями или менеджерами, поскольку инвестиции связывают финансовые ресурсы на относительно большой период времени. Инвестиционное решение воплощается в инвестиционный проект. В работе рассмотрены основные методы оценки эффективности инвестиционных проектов, а также влияние неопределенности внешней экономической среды на их реализацию.

Политика управления реальными инвестициями представляет собой часть общей инвестиционной политики предприятия, обеспечивающая подготовку, оценку и реализацию наиболее эффективных реальных инвестиционных проектов.

В данной работе мы рассмотрели финансовые инвестиции, изучили особенности управления финансовыми инвестициями. Эффективная реализация и успех конкретного инвестиционного проекта в значительной степени зависят от выбора оптимальной схемы его финансирования, поэтому важна активная роль банков и других финансирующих проект организаций. Оценка эффективности инвестиций представляет собой наиболее ответственный этап в процессе принятия инвестиционных решений.

Наиболее распространенным является инвестирование в портфели ценных бумаг. Это объясняется следующим:

во-первых, многие реальные средства имеют финансовые эквиваленты в виде акций, опционов, фьючерсов;

во-вторых, ценные бумаги обычно более ликвидны, чем реальные средства;

в-третьих, инвестирование в реальные активы требует значительных финансовых средств, а ценные бумаги относительно дешевы;

в-четвертых, информация о доходности ценных бумаг публикуется в периодической печати, что позволяет инвестору соотносить риск инвестиций в ценные бумаги и их отдачу.

В связи с этим, ценные бумаги являются весьма привлекательными как для частных, так и для институциональных инвесторов.

Список литературы

1.       Финансовый менеджмент. Учебный курс_Бланк И.А_2004 2-е изд.

.        Балабанов Р. Основы финансового менеджмента. М.: Финансы и статистика, 2010 г.

.        Бочаров В.В. Финансово-кредитные методы регулирования рынка инвестиций. М.:Финансы и статистика, 2009 г.

.        Е.С.Стоянова. Финансовый менеджмент, М.: изд. "Перспектива",1998г.

.        Ковалев В. В. Методы оценки инвестиционных проектов. - М.: Финансы и статистика, 1998.

.        Алексанов Д. С., Кошелев В. М. Экономическая оценка инвестиций. М.: Колос-Пресс, 2002.

.        Виленский П.Л., Лифшиц В.Н., Смоляк С.А. Оценка эффективности инвестиционных проектов: Теория и практика. - М.: Дело, 2006.

.        Липсиц И.В., Косов В.В. Инвестиционный проект: методы подготовки и анализа. - М.,1999.

.        Маренков Н. Л. Инвестиции. Ростов н/Д: Фенкис, 2003.

.        Старик Д.Э. Расчеты эффективности инвестиционных проектов. - М.: «Финстатинформ», 2001.

.        Бланк И.А. Основы финансового менеджмента. Т.1, 2. - К.: Ника-Центр, 1999.- 592 с. - (Серия "Библиотека финансового менеджера", Выпуск 3).

12.     <http://www.intalev.ru/index.php?id=25123&fr=ga>

.        http://kromber.com/portfel-finansovyh-investitsiy.html

Похожие работы на - Управление финансовыми инвестициями

 

Не нашли материал для своей работы?
Поможем написать уникальную работу
Без плагиата!
Без нейросетей!