Розробка раціонального маршруту перевезення твердих побутових відходів

  • Вид работы:
    Дипломная (ВКР)
  • Предмет:
    Экология
  • Язык:
    Украинский
    ,
    Формат файла:
    MS Word
    3,63 Мб
  • Опубликовано:
    2015-03-26
Вы можете узнать стоимость помощи в написании студенческой работы.
Помощь в написании работы, которую точно примут!

Розробка раціонального маршруту перевезення твердих побутових відходів

МІНІСТЕРСТВО ОСВІТИ ТА НАУКИ УКРАЇНИ

НАЦІОНАЛЬНИЙ ТРАНСПОРТНИЙ УНІВЕРСИТЕТ

КАФЕДРА ЕКОЛОГІЇ ТА БЕЗПЕКИ ЖИТТЄДІЯЛЬНОСТІ








Дипломна робота

на тему : "Розробка раціонального маршруту перевезення твердих побутових відходів"












Київ-2014

Зміст

Вступ

Розділ 1. Аналіз системи управління твердими побутовими відходами в Україні

1.1 Загальна характеристика твердих побутових відходів

.2 Характеристика системи поводження з твердими побутовими відходами в Україні

.3 Аналіз впливу твердих побутових відходів на навколишнє природне середовище

.4 Особливості організації перевезення твердих побутових відходів

.5 Екологічна логістика, як перспектива удосконалення системи поводження з відходами

Висновки до розділу 1

Розділ 2. Вибір методів та методик управління відходами

.1 Аналіз методів переробки та утилізації відходів

.2 Застосування методів управління для вирішення проблеми відходоутворення

.3 Методика визначення маршрутів перевезення твердих побутових відходів у Дніпровському районі м. Києва

Висновки до розділу 2

Розділ 3. Характеристика системи поводження з відходами в м. Києві

.1 Особливості відходоутворення в м.Києві

.2 Аналіз системи збору та утилізації відходів в м. Києві

.3 Характеристика підприємств-перевізників твердих побутових відходів в Дніпровському раоні

Висновки до розділу 3

Розділ 4. Розробка раціонального маршруту перевезення твердих побутових відходів

.1 Техніко-економічна характеристика підприємства-перевізника ТПВ

.2 Оцінка підприємств-перевізників за еколого-економічними критеріями

.2 Вимоги до розробки маршруту перевезення відходів

.3 Розробка раціонального маршруту перевезення твердих побутових відходів

.4 Еколого-економічний аналіз розробленого маршруту

Висновки до розділу 4

Розділ 5. Охорона праці та безпека в надзвичайних ситуаціях

.1 Характеристика системи управління охороною праці КП "Київкомунсервіс"

.2 Аналіз особливостей охорони праці на робочому місці інженера-еколога

5.3 Рекомендації щодо покращення умов праці та розрахунок їх економічної ефективності

.4 Заходи щодо безпеки в надзвичайних ситуаціях КП "Київкомунсервіс"

Висновки до розділу 5

Висновки

Список використаних джерел

Додатки

твердий побутовий відходи утилізація

Вступ


Україна - не єдина держава в Європі, перед якою постають проблеми у сфері поводження з твердими побутовими відходами (ТПВ) на рівні органів місцевого самоврядування. Зростання чисельності населення, швидка індустріалізація та ріст ринків у всіх країнах призводять до неминучого збільшення кількості побутових відходів, які генеруються. Однак більшість розвинених європейських держав здатні захистити навколишнє середовище та досить ефективно впроваджувати сучасні технології переробки та утилізації ТПВ задля забезпечення нормальної життєдіяльності населення, охорони довкілля та ресурсозбереження. Незважаючи на досягнуті очевидні позитивні результати, державні та місцеві органи влади у цих країнах вживають додаткових зусиль для розвитку конкурентних ринків постачальників послуг та створення привабливого бізнес-середовища для інвесторів.

У той час як деякі європейські країни планують через 5-7 років повністю припинити захоронення твердих побутових відходів на полігонах, більшість українських населених пунктів продовжують інтенсивно використовувати існуючі звалища, технічний стан яких у багатьох регіонах не відповідає встановленим технічним вимогам. Відсутність необхідних коштів у бюджетах усіх рівнів, непривабливий для інвесторів бізнес-клімат в Україні, політична нестабільність, бездіяльність деяких місцевих органів влади і населення, а також суперечки щодо земельних питань на місцевому рівні протягом останніх 11 років змушують Україну продовжувати будівництво нових полігонів замість розробки та впровадження сучасної системи управління твердими побутовими відходами та потужностями щодо їх переробки та утилізації.

Низька інноваційно-інвестиційна активність суб'єктів господарювання у сфері поводження з твердими побутовими відходами виражається у повільних темпах упровадження роздільного збирання побутових відходів, сортування, енергетичної утилізації тощо.

Грамотне просування та впровадження системи роздільного збирання ТПВ в житловому секторі населених пунктів, створення і розвиток технологічних ланцюжків через комунальні або приватні підприємства дозволить скоротити обсяг ТПВ, які щодня вивозяться на місцеві полігони/сміттєзвалища, на 25-30%. Ця діяльність потребує володіння професійними знаннями і компетентних дій органів місцевої влади, а також залучення (шляхом проведення просвітницьких кампаній та економічної мотивації) і співпраці з населенням, яке мешкає у багатоквартирних будинках, організованих в об'єднання співвласників багатоквартирних будинків (ОСББ), та власників приватних будинків котеджного типу. Адже сьогодні в Україні функціонує 12386 об'єднань співвласників багатоповерхових будинків. Відповідно до Загальнодержавної програми реформування і розвитку житлово-комунального господарства на 2009-2014 роки до кінця 2014 року заплановано створити 45530 ОСББ, що становитиме близько 70% житлового фонду багатоповерхівок.

Мета: Підвищення ефективності логістичної системи поводження з твердими побутовими відходами у м.Києві за рахунок оптимізації маршрутів маршрутів їх перевезення..

Задачі:

)        Аналіз стану системи поводження з відходами.

)        Дослідження методик визначення маршрутів перевезення твердих побутових відходів

)        Вибір оптимального перевізника відходів.

)        Розробка раціонального маршруту перевезення твердих побутових відходів

Розділ 1. Аналіз системи управління твердими побутовими відходами в Україні


1.1 Загальна характеристика твердих побутових відходів

Тверді побутові відходи утворюються в процесі життя і діяльності людини і накопичуються у житлових будинках, закладах соцкультпобуту, громадських, навчальних, лікувальних, торговельних та інших закладах (це харчові відходи, предмети домашнього вжитку, сміття, опале листя, відходи від прибирання та поточного ремонту квартир, макулатура, скло, метал, пластмаси, полімерні матеріали тощо) і не мають подальшого використання за місцем їх утворення ("Правила надання послуг із збирання та вивезення твердих і рідких побутових відходів", затверджені наказом Держбуду України № 54 від 21.03.2000 р. та зареєстровані в Мінюсті України 31 липня 2000 р. за № 457/4678). Таким чином, термін ТПВ є рівнозначним загальновживаному терміну "тверді муніципальні відходи". У таблиці 1.1 наведена загальна класифікація відходів .

Таблиця 1.1 Загальна класифікація відходів

Найменування

Загальна характеристика утворення

Побутові

Утворюються в результаті життєдіяльності людей та амортизації предметів побуту

Промислові

Утворюються при виробництві продукту,або виконанні робіт, під час яких вони втратили свої споживні якості

Сільськогосподарські

Утворились в сільськогосподарському виробництві

Будівельні

Відходи в процесі будівництва будівель споруд, виробництво будівельних матеріалів

Споживання

Вироби і машини, що втратили свої споживчі властивості в результаті фізичного зносу

Радіоактивні

Невикористані радіоактивні речовини і матеріали, що утворюються при роботі ядерних реакторів, при виробництві та використанні радіоактивних ізотопів


Структура відходів визначається pівнeм розвитку країни, специфікою і розміщенням промислових та господарських об'єктів тощо. Приблизний склад міських твердих відходів, та їх класифікація за ознаками утворення наведені у таблиці 1.2, 1.3.

Таблиця 1.2 Приблизний склад міських твердих відходів

Найменування відходу

Папір

Харчові відходи

Скло

Залізо та його сплави

Пластмаса

Деревина

Гума та шкіра

Текстиль

Алюміній

Інші матеріали

Відсоток від загальної кількості, %

40

21

12

9,7

5

5

3

3

1

0,3


Таблиця 1.3 Класифікація відходів за ознаками утворення

Ознака

Види відходів

за галузями промисловості

відходи паливної, металургійної, хімічної та інших галузей

за конкретними виробництвами

відходи сірко кислотного, содового, фосфорокислотного та інших виробництв

за агрегатним станом

тверді, рідкі, газоподібні

за горінням

горючі та негорючі

за можливостями переробки

вторинні матеріальні ресурси, що переробляються або плануються надалі перероблятися, і відходи, що переробляти недоцільно

за рівнем небезпеки

I II III IV класи небезпеки


Клас небезпеки відходів встановлюється залежно від вмісту в них високотоксичних речовин розрахунковим методом або згідно з переліком відходів, наведених у Державному класифікаторі відходів. На всі види відходів розробляється технічний паспорт згідно з Міждержавним стандартом ДСТУ-2195-93, дія якого поширюється на 10 країн СНД [3].

Різноманітні відходи промисловості, наприклад шлаки, та відходи промислового сільського господарства, комунально-побутові відходи можуть бути джерелом або сировиною для видобутку чи виробництва альтернативних видів палива. Відходи - непридатні для виробництва даної продукції види сировини, її залишки, що не вживаються, або речовини, які виникають в результаті технологічних процесів, які не підлягають утилізації у даному виробництві. Відходи одного виробництва можуть використовуватися як сировина для іншого.

До категорії відходів належать також непридатна до експлуатації продукція, вироби, медичні препарати, які втратили свої споживчі властивості і в яких містяться певні хімічні та біологічні компоненти, що потребують небезпечного видалення. Зазначена категорія належать до відходів споживання, серед яких окремо виділяють побутові відходи. Побутові відходи можуть бути твердими та рідинними. Твердими є відходи, що утворюються в процесі життєдіяльності людини й накопичуються у житлових будинках, закладах соціальної сфери (харчові відходи, предмети домашнього вжитку, сміття, опале листя, макулатура, скло, метал, полімерні матеріали тощо) і не мають подальшого використання за місцем їх утворення. Рідинні побутові відходи - господарчо-побутові (від миття, прання) та каналізаційні стоки (за винятком промислових) за відсутності централізованого водовідведення [9].

В результаті будівництва та руйнування утворюються великі обсяги відходів, які часто називають відходами будівництва та руйнування. Відходи будівництва та руйнування головним чином складаються з бетону та цегли, а також змішаної фракції відходів, до якої входять деревина, метал, пластмаса, ґрунт та інші матеріали. Відходи будівництва та руйнування, які за характером є важкими та часто великогабаритними, зазвичай спрямовуються на полігони або ж видаляються на незайнятих ділянках чи у сільській місцевості. Однак, відходи будівництва та руйнування мають цінність, а значна їх частка може повторно використовуватися або перероблятися.

Окрему категорію відходів утворюють відходи як вторинна сировина, до яких відповідно до Закону України "Про відходи" належать відходи, для утилізації та переробки яких в Україні існують відповідні технології та виробничо-технологічні і/або економічні передумови . Прикладом таких відходів є металобрухт. Правове регулювання відносин, пов'язаних із збиранням та прийманням металобрухту здійснюється Законом України "Про металобрухт". Закон вводить поняття металобрухту та операцій з ним, визначає вимоги до суб'єктів господарювання, які здійснюють операції з металобрухтом, державне регулювання, контроль та нагляд за здійсненням операцій з металобрухтом. Особлива увага у законодавстві України приділена небезпечним відходам. До них належать відходи, що мають такі фізичні, хімічні, біологічні чи інші небезпечні властивості, які створюють або можуть створити значну небезпеку для навколишнього природного середовища і здоров'я людини та які потребують спеціальних методів і засобів поводження з ними. Радіоактивні відходи являють собою матеріальні об'єкти та субстанції, активність радіонуклідів або радіоактивне забруднення яких перевищує межі, встановлені діючими нормами, за умови, що використання цих об'єктів та субстанції не передбачається.

Головними місцями накопичення радіоактивних відходів є атомні станції, на яких здійснюється їх первинна переробка та тимчасове зберігання. На АЕС не існує повного циклу первинної переробки відходів відповідно до вимог норм, правил та стандартів з ядерної та радіаційної безпеки, що призводить до нераціонального використання сховищ та збільшує ризик радіаційних аварій.

Як видно, класифікація відходів доволі різноманітна. Утворення відходів щодня збільшується, тим самим несе за собою негативні наслідки як на здоров’я людей так і навколишнє середовище в цілому.

Таким чином, відмінність ситуації поводження з відходами в Україні у порівнянні з іншими розвиненими країнами полягає як у великих обсягах утворення відходів, так і у відсутності інфраструктури поводження з ними, що стала неодмінним атрибутом всіх економік розвинених країн.

1.2 Характеристика системи поводження з твердими побутовими відходами в Україні

Існуюча практика поводження з твердими побутовими відходами не забезпечує захист населення і навколишнього природного середовища від їх шкідливого впливу. Ця ситуація характерна нині практично для усіх населених пунктів України і становить загальнодержавну проблему, необхідність вирішення якої відповідає основним принципам державної політики у сфері поводження з відходами, сформульованим у Законі України "Про відходи" щодо забезпечення нормальної життєдіяльності населення, належного рівня санітарного очищення населених пунктів, охорони довкілля та ресурсозбереження.

Побутові відходи - відходи, що утворюються в процесі життя і діяльності людини в житлових та нежитлових будинках (тверді, великогабаритні, ремонтні, рідкі, крім відходів, пов'язаних із виробничою діяльністю підприємств) і не використовуються за місцем їх накопичення.

У населених пунктах України проблема у сфері поводження з твердими побутовими відходами полягає у подальшому зростанні їхнього негативного впливу на навколишнє природне середовище та здоров'я людини через погіршення стану санітарного очищення населених пунктів, зростаючу кількість офіційних сміттєзвалищ та полігонів для захоронення твердих побутових відходів, значні обсяги несанкціонованого складування твердих побутових відходів майже на всій території країни.

Питомі обсяги утворення твердих побутових відходів в Україні постійно зростають: за останні десять років їх кількість, що припадає на одну людину, підвищилась приблизно на 75 відсотків і сьогодні складає в середньому 300-400 кг на рік.

В Україні за 2010 рік утворилося близько 50 млн. м3 твердих побутових відходів, що дорівнює близько 11 млн. тонн, які захоронюють на 4,5 тис. сміттєзвалищах і полігонах загальною площею понад 8 тис. га.

Кількість сміттєзвалищ, які перевантажені, - 314 (7%), а 897 сміттєзвалищ (20%) не відповідають нормам екологічної безпеки.

Неналежним чином проводиться робота з паспортизації, рекультивації та санації сміттєзвалищ. З 2700 сміттєзвалищ, які потребують паспортизації, у 2010 році фактично паспортизовано 13% сміттєзвалищ, 21% сміттєзвалищ від потреби рекультивовано, 16% сановано від потреби у санації. Необхідно зазначити, що потреба у будівництві нових полігонів складає майже 670 одиниць.

На виконання вимог Закону України "Про відходи", Програми поводження з твердими побутовими відходами, затвердженої урядом, у 53 населених пунктах впроваджено роздільне збирання побутових відходів, у 8 містах працюють сміттєсортувальні лінії, в Києві, Дніпропетровську та Люботині Харківської області працюють сміттєспалювальні заводи, що надало можливість переробити та утилізувати близько 7% побутових відходів; частина твердих побутових відходів потрапила на заготівельні пункти вторинної сировини та сміттєпереробні заводи. Так, у 2010 році на заготівельні пункти потрапило 67 тис. т макулатури, 20 тис. т полімерів, 13 тис. т скла. Загалом обсяги утворення промислових відходів кореспондуються зі станом економіки: У 2011-2012 роках обсяги утворення промислових відходів дещо зменшилися відповідно до спаду промислового виробництва, а в 2013 році знову збільшились. Це свідчить про застосування старих традиційних технологій, про структурну стагнацію і навіть деградацію народногосподарського комплексу, за чим стоїть загроза неконтрольованого наростаючого накопичення відходів зі всіма його згубними наслідками для довкілля та здоров¢я людей [44].

Порівняння показників поводження з відходами в Україні та в інших країнах дозволяє відзначити наступне. В загальноєвропейському регіоні в цілому утворюється 6,0-8,0 млрд. т відходів, в тому числі в країнах ЄС-27 - 3,0 млрд. т. Якщо співвіднести ці показники з Україною, то її частка становитиме 10%, що приблизно в 1,5 рази перевищує частку населення. Найбільш показовими у порівняльному сенсі є відносні величини. У розрахунку на душу населення в Україні утворюється (2011-2013 роки) 14-16 т відходів. У порівнянні із середніми показниками генерування відходів в країнах ЄС-27, що становлять 6,0 т/душу населення, українські обсяги виглядають екстремальними. Однак за даними Європейської екологічної комісії ООН в період з 1996 року по 2007 рік загальний обсяг відходів в країнах ЄС та в країнах Європейської асоціації вільної торгівлі також зростав на 2 % щорічно. Як зазначено у доповіді "Захист навколишнього середовища Європи" - четверта оцінка (ЄАОС, 2007) економічне зростання і споживання виявились значно більш сильними визначальним фактором для генерування відходів, ніж всі ініціативи і заходи з його попередження.

Таблиця 1.4 Утворення та поводження з небезпечними відходами в Україні*

Показники утворення та напрями поводження

Небезпечні відходи, всього, млн. т

У тому числі



I-III класів небезпеки, млн. т

У % до 2012 року

Абсолютні обсяги утворення

419,2

1,66

134,9

Обсяги утилізації

145,7

0,64

77,8

Видалено у спеціально відведені місця

336,9

0,31

91,9

Видалено у місця неорганізованого зберігання

0,86

0,04

50,0

Обсяг накопичення

13267,5

20,59

98,7

*За даними Державної служби статистики України за 2013 рік

Загалом система поводження з відходами в Україні характеризується такими тенденціями:

-     продовжується процес накопичення відходів як у промисловому, так і побутовому секторі, що негативно впливає на стан навколишнього природного середовища і здоров’я людей;

-        належним чином не організовано знешкодження чи локалізація небезпечних відходів, які потрапляючи в навколишнє середовище загрожують всьому живому;

         всезростаючою проблемою стає розміщення побутових відходів, що в багатьох випадках здійснюється без врахування можливих небезпечних наслідків;

         використання відходів як вторинної сировини значно нижче реальних можливостей через не відпрацьованість організаційно-економічних засад залучення їх у виробництво;

         неврегульованість цілого ряду питань призводить до не досить ефективної дієвості уже впроваджених економічних інструментів, зумовлює необхідність їх доопрацювання та удосконалення;

         досить повільно впроваджуються в практику управління уже прийняті нормативно-правові акти через не відпрацьованість відповідних механізмів, окремі положення закону про відходи продовжують залишатися декларативними.

         щорічно в населених пунктах України утворюється 50 млн. м3 відходів (або 1,1 м3/людину), що становить близько 12 млн.тонн (або 270 кг/людину);

         тільки 7% побутових відходів переробляється і утилізується: з них 3% - завдяки роздільному збору відходів і переробці вторинної сировини (1% завдяки заготівельним пунктам), 4% - спалюється на двох сміттєспалювальних заводах - в Києві, Дніпропетровську та сміттєспалювальній установці в Люботині Харківської області;

         в Україні налічується близько 5 тисяч сміттєвих звалищ, які займають понад 8 тис. га; щорічно з’являється 35 тис. несанкціонованих звалищ;

         перевантажених сміттєзвалищ - 314 (17%), таких, що не відповідають нормам екологічної безпеки, - 897 (20%);

         потреба в будівництві нових полігонів - 670 одиниць;

         середній тариф на ТПВ - 31 грн/м3, у т.ч. за захоронення - 9 грн/м3;

         дотації на розвиток і утримання санітарного очищення у 2013 році скали близько 162 млн.гривень;

         середній показник зношеності спеціального автотранспорту для збирання і перевезення ТПВ, кількість якого понад 4000 одиниць, сягає 70%.

У місті Києві впроваджується двохконтейнерна технологічна схема роздільного збирання побутових відходів:

         контейнери для збирання ресурсоцінних складових ("сухі" відходи);

         контейнери для збирання решти змішаних відходів ("мокрі" відходи)[6].

Рішенням Київради в грудні 2012 року виконавцю послуг по вивезенню побутових відходів поставлено завдання забезпечити житлову забудову міста контейнерами для роздільного збору відходів не менш 1/3 від загальної їх кількості, що становить 6,4 тис. одиниць.

Контейнера для роздільного збору побутових відходів встановлюються з урахуванням специфіки житлової забудови міста. Так, наприклад, на сьогоднішній день існує проблема щодо встановлення та обслуговування таких контейнерів у центральній частині міста, тобто Печерському районі (через ущільнену забудову, вузькі проїзди, які перешкоджають руху спецтехніки для обслуговування контейнерів).

Саме тому питання дислокації контейнерів ретельно вивчаються фахівцями із залученням районних житлових організацій для того, щоб визначити найбільш оптимальні місця розташування контейнерів (чи контейнерних майданчиків).

Також вивчається питання встановлення контейнерів для роздільного збору побутових відходів у навчальних закладах міста. Оскільки молодь найбільш відкрита до нововведень і більш обізнана на питаннях поводження з відходами, то на сьогоднішній день розглядається можливість встановлення контейнерів у навчальних закладах міста не по двохконтейнерній схемі, а багатофракційній (тобто окремо скло, папір, пластик тощо).

.3 Аналіз впливу твердих побутових відходів на навколишнє природне середовище

Незадовільна екологічна ситуація, що склалася в Україні, і особливо, у її індустріально розвинених областях, пов’язана з відходами побутового походження, давно набула масштабу національної катастрофи. У досвіді поводження з відходами Україна на кілька десятиліть відстала від розвинених країн Європи. Підтвердженням цього слугує той факт, що загальні об’єми щорічного накопичення відходів із населенням близько 45,8 млн. чоловік перевищують відповідні сумарні показники країн Західної Європи з населенням близько 400 млн. чоловік в 3-3,5 рази. Ситуація 2013-2014 років характеризується подальшим розвитком екологічних загроз, пов’язаних з відходами - їх утворенням, накопиченням, зберіганням та захороненням. Питомі показники утворення відходів в середньому складають 220-250 кг/рік на душу населення, а у великих містах досягають 330-380 кг/рік відповідно і мають тенденцію до зростання. Для порівняння: у Бельгії, Великобританії та Німеччині ця цифра сягає 340-380 кг/рік, в Австрії та Фінляндії - близько 600 кг, проте у цих країнах майже усі ТПВ переробляються [2]. В Україні лише за 2013 р. утворилось близько 52 млн. м3 побутових відходів, що дорівнює близько 13 млн. т, які захоронюються на 6 тис. сміттєзвалищах і полігонах, загальною площею понад 9 тис. га. Оскільки індустрія переробки відходів на вторинну сировину майже відсутня, то левова їх частка забороняється на полігонах та звалищах. Динаміка утворення та захоронення ТПВ в Україні наведено на рис. 1.3.

Рис. 1.3. Об’єми утворення та захоронення на полігонах твердих побутових відходів у 2013 р., тис т.

Традиційні технології утилізації ТПВ в Україні - спалювання та захоронення. За радянських часів було побудовано чотири сміттєспалювальні заводи у містах Києві, Дніпропетровську, Харкові та Севастополі, але нині працюють лише перші два. До того ж обладнання цих підприємств застаріло і не відповідає сучасним екологічним вимогам, тому на полігонах загалом депонується близько 1,2 млрд. м3 ТПВ. Цей показник вже давно перевищив площу парків та заповідників. У приватному секторі, як правило, через відсутність належної системи збирання ТПВ, щорічно утворюється 12 тис. дрібних стихійних звалищ, які не піддаються достовірному обліку - усього на таких сміттєзвалищах і полігонах зберігається 35 млрд. т відходів. А щорічно Україна продукує від 700 до 1,7 млрд т ТПВ і тільки мала їх частка (від 5 до 8%) переробляється [3]. Кількість полігонів в Україні наведено в додаткуВ.

Так, за даними звітності, кількість сміттєзвалищ, які перевантажені складає 292 од. (5% від загальної кількості), а 986 од. (16%) - не відповідають нормам екологічної безпеки. Неналежним чином проводиться робота з паспортизації, рекультивації та санації сміттєзвалищ. З 2569 полігонів, які потребують паспортизації, у 2013 р. фактично паспортизовано 476 од. і ще 35% потребують паспортизації. Найбільша кількість полігонів, які потребують паспортизації, у Херсонській області - 90% від загальної кількості полігонів в області та Чернігівській - 72%. З 562 сміттєзвалищ, які потребують рекультивації, фактично рекультивовано 166 од. (7% потребує рекультивації). З 495 сміттєзвалищ, які потребують санації, фактично сановано 166 од. (58% потребує санації). Найбільша кількість полігонів, які потребують рекультивації, у Закарпатській - 32% від загальної кількості полігонів в області та Івано-Франківській - 30% [3]. Однак, крім спалювання та захоронення мізерна частка ТПВ в Україні потрапляє на заготівельні пункти вторинної сировини та сміттєпереробні підприємства (рис. 1.4). За цими даними можна зробити висновок, що невідповідність між прогресуючим накопиченням відходів і методами, спрямованими на запобігання їх створення, утилізацію, знешкодження та видалення, загрожує не тільки поглибленням екологічної кризи, але і загостренню соціально-економічної ситуації в цілому.

Близько 75% населення України охоплено послугами з вивезення побутових відходів, і це на 1% більше, ніж у 2011 р. Найгірший показник охоплення населення послугами з вивезення побутових відходів у Сумській області, який складає 49%.

Завдяки впровадженню в 130 населених пунктах роздільного збирання побутових відходів, роботі 7 сміттєсортувальних ліній та 3 сміттєспалювальних заводів перероблено та утилізовано близько 8% ТПВ, з них: 4,2% спалено в містах Києві, Дніпропетровську та Люботині Харківської області, 3,8% ТПВ потрапило на заготівельні пункти вторинної сировини та сміттєпереробні заводи, перелік яких наведено у додатку Г.

Рис. 1.4. Поводження з побутовими відходами в Україні у 2013 р., тис т.

Слід зазначити, що державний обік та статистика побутових відходів в Україні має суттєвий недолік. У статистичній звітності та нормативних документах щодо програм поводження з твердими побутовими відходами, цінової і тарифної політики в Україні оперують як ваговими категоріями, так і об'ємними - побутовиві відходи вимірюють кубометрами. При цьому для визначення плати за вивезення сміття розробляються нормативи в розрахунку на 1 жителя диференційовано по містах. Наприклад, по Києву такий норматив становить 2,45 м3/рік. В середньому вважається, що 1 м3 важить 200-250 кг, що залежить від рівня щільності та інших факторів (таких як, наприклад, зволоження або підмерзання ТПВ в контейнерах), тому похибка в оцінці ваги кубометра відходів може досягати 20-50%. В цілому в перерахунку на вагу щорічно кількість ТПВ збільшується не менш ніж на 12 млн т. Цей недолік можна виправити, встановивши ваги на в’їзді до полігонів.

Впровадження в державному масштабі комплексного підходу до управління твердими побутовими відходами украй необхідне для України. Лише таким чином сьогодні можна радикально вирішити проблеми гострого браку нових полігонів, відпрацьованого ресурсу існуючих площ і невідповідності їх сучасним екологічним стандартам - проблеми, що призвели до величезної кількості несанкціонованих звалищ. Основа сучасної системи управління твердими побутовими відходами - мінімізація відходів, роздільний збір, рециклінг і безпечна утилізація відходів, які неможна повторно використати. На даний момент роздільний збір дозволяє до 70% відходів використовувати повторно як сировину. Із загальних же (несортованих) відходів можна екстрагувати лише до 15% корисних компонентів. Обсяги роздільного збирання та використання ТПВ в Україні в 2013 р. наведено у табл.1.5.

Таблиця 1.5 Обсяги по компонентного збирання та використання ТПВ в Україні в 2013 р., тис. т.*

Тверді побутові відходи та їх компоненти, які збираються роздільно

Обсяги збирання

Вивезено на:



заготівле-льні пункти ВС

сміттєпереробні підприємства

ССЗ

Полігони (звалища)


тис. т

тис. т

%

тис. т

%

тис. т

%

тис. т

%

Змішані ТПВ

13723,6

9,9

7,7

165,7

60,3

438

100

13091,5

96,1

Великогабаритні ТПВ

304,6

-

-

2,1

0,8

-

-

302,6

2,2

Макулатура (картон, папір)

138,1

58,4

45,3

57,8

21,0

-

-

22

0,2

Полімери (плівка, пакети, ПЕТ)

38,9

6,2

4,8

9,5

3,5

-

-

23,1

0,2

Упаковка Тетра Пак та інші

7,9

1,1

0,9

1,7

0,6

-

-

5,1

-

Метали (чорні, кольорові)

10,7

3,3

2,6

0,6

0,2

-

-

6,7

-

Скло (склотара, слобій)

50,4

3,9

3,0

4,3

1,6

-

-

42,2

0,3

Текстиль (синтетичний, натуральний, змішаний)

7,1

0,3

0,2

-

 

-

-

6,8

-

Органічні компоненти (харчові відходи)

86,7

-

-

-

 

-

-

86,7

0,6

Енергетичне та елек-тронне обладнання

0,1

-

-

-

 

-

-

0,1

-

Небезпечні компо-ненти

0,5

-

-

-

 

-

-

0,5

-

Інші

111,4

46

35,7

33,2

12,1

-

-

31,9

0,2

Всього:

14479,9

129

х

275

х

438

 

13619

х


З вищенаведених даних можна зробити висновок, що полігони залишаються пріоритетним напрямом утилізації відходів.

Впровадження роздільного збору можна здійснити двома основними способами, залежно від типу сортувального комплексу. Перший спосіб - роздільний збір двохфракційний. Він передбачає встановлення на контейнерний майданчик двох контейнерів - одного для збору ресурсоцінних фракцій (скла, металу, макулатури, пластику), іншого - для відходів, які не можуть повторно використовуватися (забрудненої упаковки і харчових відходів). Другий спосіб - чотирьохфракційний збір. При цьому відходи сортуються в 4 контейнери різного кольору, наприклад, жовтий для відходів паперу, синій для відходів поліетилену, зелений - для відходів скла, сірий - для харчових. Існують також інші варіанти розділення відходів на фракції. Принциповим моментом в технології роздільного збору є збір в роздільні фракції відходів, що підлягають повторному використанню і відходи, не придатних для використання як вторсировина (харчові відходи, забруднені матеріали).

Сучасні полігони ТПВ представляють собою інженерні спеціалізовані споруди, де здійснюється організоване контрольоване складування твердих побутових відходів з дотриманням технічних та санітарних норм, забезпечується зниження негативного впливу відходів на атмосферне повітря, ґрунт, водний басейн до нормативного рівня. Однак, більш ніж 80% полігонів ТПВ, що експлуатуються сьогодні в Україні, не відповідають санітарним нормам, тобто фактично є звалищами.

Звалища ТПВ, зведені без комплексу заходів, що знижують їх негативний вплив на навколишнє середовище, є значним джерелом його забруднення. Відходи, що там розміщені, зазнають складних фізико-хімічних та біохімічних змін під впливом атмосферних явищ, специфічних умов, що формуються у товщі відходів, а також в результаті взаємодії між собою. Це призводить до утворення різних сполук, в тому числі токсичних, які, мігруючи до навколишнього середовища, негативно впливають на його компоненти.

Основним фактором впливу полігонів ТПВ на навколишнє середовище є фільтрат. Фільтрат - це стічні води, що виникають в результаті інфільтрації атмосферних опадів у тіло полігону, які концентруються в його підошві. Це складна по хімічному складу рідина з яскраво вираженим неприємним запахом біогазу.

Отже, як антропогенний процес, сучасна технологія формування твердих побутових відходів у процесі функціонування міст та селищ має тенденцію до збільшення негативного впливу на безпеку життєдіяльності та довкілля в цілому. Запровадження розроблених нами природоохоронних заходів дасть можливість скоротити кількість твердих побутових відходів шляхом їх переробки, вести контроль за станом полігонів, зменшити вплив на навколишнє середовище та збільшити площі природоохоронних та рекреаційних територій.

1.4 Особливості організації перевезення твердих побутових відходів

Технічною складовою системи є: машини, заводи по сортуванню, спалюванню, контейнери. Сміттєва машина, або сміттєвоз, - вантажний автомобіль або інший вид транспорту, призначений для завантаження, ущільнення, транспортування і вивантаження сміття. Як правило, машини такого роду мають місткий кузов до 20, рідше до 50 м ³, в який сміття завантажується вручну або механічно, зі сміттєвого контейнера або з іншого сміттєвоза. Сміттєва машина призначена для вивозу сміття з території населених пунктів на звалища, сміттєперевантажувальної станції або сміттєспалювальні заводи.

Контейнеризація відходів. Типи сміттєвозів, застосовувані в конкретній місцевості, залежать від застосовуваних у ній видів сміттєвих контейнерів, а вибір самих контейнерів залежить як від характеру сміття (побутові, домашні відходи; будівельне сміття; макулатура, яка накопичується в торгових точках), так і від місцевих традицій і щільності населення.

При низькій щільності забудови (будинку на одну сім'ю) контейнеризація сміття невиправдана. Допустимо виносити сміття, упакований в міцні пакети, на узбіччя - безпосередньо в пакетах, або в індивідуальних баках (малогабаритних контейнерах, в Європі - нормованих по DIN 30740 на ємність 80, 120, 140 л). Такі пакети завантажуються в приймач сміттєвозу з заднім завантаженням вручну[8].

У щільній міській забудові доцільні контейнери об'ємом близько 1м³.

Сучасні, так звані євроконтейнери мають оцинкований металевий бак зі зрушується кришкою, чотири колеса, а їх форма дозволяє використовувати як машинну завантаження з використанням маніпулятора, так і перекидання в приймач сміттєвоза вручну. Теоретичний об'єм євроконтейнерів по EN 840-3 нормований на 660, 770, 1000, 1100 л, при цьому розрахункова маса сміття в контейнері на 1000 л - не більше 400 кг, а сам контейнер важить 67 кг. [15]

Традиційні радянські контейнери, ємністю 0.7 м³, мають майже кубічну форму. Раніше широко застосовувалися сміттєвози-контейнеровози, які вивозили самі контейнери, які встановлювалися маніпулятором на плоску платформу. У деяких містах за радянських часів контейнери не використовувалися. Замість цього до певного часу приїздив сміттєвоз і жителі довколишніх будинків самі підходили і вивалювали сміття в кузов. У сучасній Росії їх повністю витіснили сміттєвози, що перевозять лише сміття, але не контейнери - із заднім завантаженням (вручну або за допомогою гідравлічного перекидача), і з бічним завантаженням (за допомогою гідравлічного підйомника-перекидача).

Види сміттєвих контейнерів:

. Пластикові сміттєві баки - контейнери об'ємом від 110 до 1200 літрів (вага від 9кг). Використовуються для збору невеликої кількості відходів, у житлових будинках, офісних будівлях, освітніх і лікувальних установах.

. Металеві сміттєві баки - контейнери об'ємом від 0.75 кубічних метрів (вага від 85 кг). Використовуються для збору невеликої кількості відходів. Є найпоширенішими в СНД.

.Металеві сміттєві контейнери для збору великого об'єму ТПВ - контейнери від 6 до 14 метрів кубічних (вага від 950 кг). Використовуються для накопичувального збору сміття та централізованого вивезення вантажними машинами. Сфера застосування є досить широка - житлові масиви, будівництво, дачні кооперативи. Контейнери вивозяться сміттєвозами, оснащеними спеціальними маніпуляторами для їх захоплення.

. Прес-контейнери - контейнери забезпечені спеціальним пресувачем. Застосовуються в супермаркетах, мережевих магазинах - для зменшення обсягу сміття, що викидається - паперу, картону, коробок.

. Контейнери заглибленого типу - новий вид контейнерів для сміття, що дозволяє істотно заощадити площу для розміщенняконтейнера, 2/3 контейнера заглиблені. Зовні контейнер виглядає естетично і не займає багато місця[3].

Для вивезення великогабаритних відходів (будівельне сміття, макулатура) використовуються відкриті чи закриті бункери (великогабаритні контейнери) місткістю 5 м³ і вище. Їх перевозять спеціальні самоскиди-бункеровози з портальної завантаженням або сміттєвози типу "мультиліфт". При нестачі коштів муніципалітети можуть використовувати промислові контейнери і для накопичення звичайних, побутових, відходів.

Приклади контейнерів приведені в додатку А рис. 1.1

Для вивезення великогабаритного неконтейнерізованного сміття, непридатного для ручного завантаження, застосовуються пари навантажувач-самоскид або сміттєвози, обладнані грейферним захватом.

Сміттєвози розрізняються за об'ємом кузова, а також за показником маси завантажених відходів. Об'єм кузова може варіювати від 6 до 20 кубометрів, вантажопідйомність починається з двох тонн і доходить до максимальної вантажопідйомності в 10 тонн. Сміттєвози, що володіють функцією пресування завантажуються в них відходів, мають ще такий показник, як коефіцієнт ущільнення, який коливається від 2,5 до 6 одиниць. Сміттєвози на великовантажних шасі, як правило, відрізняються великим коефіцієнтом ущільнення. При цьому завантаження даних сміттєвозів - автоматична, при якій застосовуються змінні контейнери підвищеного об'єму.

Існують транспортні сміттєвози на шасі великовантажних причепів і напівпричепів. Сміття в такі сміттєвози перевантажується зі звичайних сміттєвозів на розміщених у межах сміттєперевантажувальних станціях, після чого вивозиться на віддалені полігони. Об'єм кузова транспортних сміттєвозів може доходити до 50 м³, а вантажопідйомність - до 25 тонн. Пресуючий механізм ущільнює сміття в 5-6 разів.

Приклади сміттєвозів приведені в додатку Б на рисунках А) та Б). Основна особливість сміттєвих машин - їх здатність до підйому сміттєвих баків. Для цього у сміттєвому машини мається спеціального роду гідравлічні захвати, якими чіпляють сміттєвий бак, піднімають його і потім сміття зсипають в кузов. Процедура підйому сміття триває приблизно одну хвилину. Після чого машина ставить бак назад на землю.

Існує й інший різновид сміттєвих машин - які не піднімають бак, а роль бака грає кузов автомобіля, який сміттєва машина знімає і ставить на землю, а потім забирає і відвозить на звалище, де сміття утилізують.

Основною задачею сміттєпереробних заводів (СПЗ) є знешкодження ТПВ і переробка знешкоджених компонентів ТПВ для подальшої утилізації.

Як правило, на СПЗ застосовують аеробний метод знешкодження ТПВ (компостування), що може бути доповнений наступними технологіями:

-     вивіз частини ТПВ на полігони (ліквідаційно-біологічний метод);

-        спалювання частини ТПВ на сміттєспалюючих заводах (ліквідаційно-термічний метод);

         спалювання частини ТПВ на СПЗ із використанням отриманого тепла (утилізаційно-термічний метод);

         термічна обробка ТПВ без доступу повітря (піролиз) з утилізацією газів і інших продуктів піролизу (утилізаційно-термічний метод).

При використанні зазначених вище технологій на СПЗ можливо одержання наступних коштовних компонентів ТПВ: чорні і кольорові метали, скло, пластмаси, сировина для картонних фабрик, продукти піролизу, тепло й органічні добрива (компост).

Сміттєспалювальні заводи (ССЗ). Вперше "сміттєспалювальний заклад" було побудовано ще в 1870 р. поблизу Лондона. Там спочатку сміттяспалювали без сортування, потім зі шлаків стали витягувати металобрухт. З середини 1970-х рр.., В розпал світової енергетичної кризи, на відходи стали дивитися як на додаткове джерело енергії. Тепло відхідних газів, що утворюються при спалюванні сміття, можна утилізувати. Це призвело до інтенсивного розвитку технологій по знищенню сміття на сміттєспалювальних установках та заводах. Вже до 1980-их рр.. на їх основі створено кілька типів сміттєспалювальних заводів, що відрізняються умовами і режимами спалювання, технологією розділення і підготовки сміття до спалювання, очищенням летких відходів від важких металів і токсичних газів, переробкою твердих відходів спалювання.

Сучасні вимоги до ССЗ:

На зарубіжних сміттєспалювальних заводах (ССЗ) для забезпечення норм гранично допустимих викидів реалізується двостадійне очищення газів, що відходять, а на вітчизняних заводах практично тільки одностадійне - за допомогою електрофільтрів (нормування викидів проводиться лише за 4 групами речовин).

У 1989 р. була прийнята офіційна директива ЄС, яка регламентує умови будівництва та експлуатації ССЗ у країнах співтовариства. Найбільш важливі вимоги директиви наведені нижче:

. Сміття повинно сепаруватися, з нього мають бути видалені метали. Негорючого залишку повинно бути не більше 6% від маси всього сміття. Склад спалюваного сміття повинен реєструватися безперервно.

. Печей на МСЗ повинно бути не менше двох, щоб процес був неперервним. Ця вимога (дублювання) відноситься і до всіх інших систем процесу.

. Згідно з Нормативами Європейського Союзу геометрія гарячої зони повинна забезпечити перебування газів у зоні з температурою не нижче 850 ° С протягом не менше 2 с. ("Правило 2 секунд") при концентрації кисню не менше 6%[3].

Таким чином, сміттєві контейнери міцно увійшли в наше життя, як самий простий і зручний спосіб позбавлення від непотрібних речей і відходів як у містах, так і на ділянках заміських будинків. Зараз в Україні поширені компактні пластикові або металеві бокси, що відрізняються не тільки простотою у використанні, але й стійкі до потрапляння вологи, що дозволяє зберігати їх довше чистими і сприяє їх довговічності.

.5 Екологічна логістика, як перспектива удосконалення системи поводження з відходами

На даний час в Україні стоїть питання над удосконаленням системи поводження з відходами за допомогою екологічної логістики. Екологічна логістика забезпечує збір і сортування відходів, що утворюються при споживанні товарних продуктів, їх транспортуванні, утилізації або безпечному зберіганні в навколишньому середовищі.

Взагалі логістика - наука про управління матеріальними потоками, пов’язаними з ними інформацією, фінансами і сервісом в певній мікро-, мезо- або макроекономічній системі для досягнення поставлених перед нею цілей з оптимальними затратами ресурсів" (В.І.Сергеев, 2006)

Мета логістики - доставка продукції в задане місце у визначений день і час, у потрібній кількості й асортименті при оптимальному рівні витрат, а головне зі збереженням якості.

Об’єкт логістики - матеріальні і відповідні їм фінансові й інформаційні потоки.

Логістична система - адаптивна система із зворотним зв'язком, що виконує ті чи інші логістичні функції та операції, складається, переважно, з декількох підсистем і має досить розвинуті зв'язки із зовнішнім середовищем. Як логістичну систему можна розглядати промислове підприємство, територіально-виробничий комплекс, торговельне підприємство тощо

Логістична система складається з декількох підсистем, що виконує логістичні функції і має розвинуті зв’язки з зовнішнім середовищем, тобто з ринком.

Логістика утилізації відходів, яку ще називають "реверсивною логістикою", визначається, як "застосування концепції логістики до використання відходів з метою забезпечення економічно ефективної та екологічно безпечної їх переробки за одночасної просторово-часової трансформації, що включає зміну обсягу та виду потоків перероблюваних відходів"

Логістика утилізації відходів є однією з підсистем логістичного управління, яка охоплює "потік повернення непотрібних поставок та рух таких речей, як упакування повторного використання, яке слід повернути відправнику, вторинна сировина та відходи"

Відмінними рисами реверсивної логістики, які відрізняють її від інших різновидів логістики, є як об’єкт дослідження(потоки відходів), так і напрямок руху головного потоку - зворотній (від споживачів до виробників). Отже, об’єктом дослідження реверсивної логістики є потоки відходів, що з’являються в результаті як процесів виробництва (наприклад, виробничі відходи, промислові стоки) та дистрибуції (наприклад, упакування та товари пошкоджені під час транспортування),так і споживання(повернення непотрібних товарів та упакування багаторазового використання). Відзначимо, що відходи, як і кінцева продукція підприємств, з'являються на виході їхніх логістичних систем.

Залежно від можливості повторного використання відходи поділяються на дві групи: ті, що надаються до повторного використання та переробки; ті, які до цього не надаються. Перші становлять предмет рециклювання (наприклад, алюмінієві банки, відходи, склобій), тому роблять можливим зменшити (або істотно обмежити) витрати на утилізацію. Другі, що як правило, не надаються до переробки та повторного використання, підлягають знищенню згідно з обов’язковими приписами. Оскільки відходи можуть перебувати в різних фізичних станах, то застосовується поділ відходів на тверді, рідкі та напіврідкі.

Найважливішим рішенням у сфері логістики утилізації є вибір шляхів використання відходів, оскільки обраний метод тягне за собою вибір відповідної системи повторного використання та забезпечення необхідним технічним устаткуванням. Напрямок дій щодо повторного використання відходів визначається, головним чином, їхніми властивостями, зокрема: хімічним складом, вогнезаймистістю та енергетичною вартістю, ступенем псування, забрудненням, речовинним складом, габаритами, запахом, можливістю біологічного розкладання. Обираючи метод використання відходів, належить також брати до уваги економічні (рентабельність процесу) та екологічні (наприклад, заборону дезактивації деяких відходів, що не підлягають переробці) чинники. Оптимальне рішення щодо усування відходів полягає в їхній утилізації (переробці), а коли останнє неможливе - в нейтральній ліквідації (знищенні) відходів, яка не несе шкоди для навколишнього середовища.

Різні види дій, пов’язані з утилізацією та знищенням відходів показані на рис. 1.3

Рис. 1.3. Поділ дій щодо утилізації та знищенні відходів

Застосування системного аналізу в логістиці відходів дозволяє:

         формалізувати слабо структуровані проблеми, розкрити їх зміст та можливі наслідки;

         виділити перелік і вказати доцільну послідовність виконання завдань функціонування окремих елементів логістичної системи;

         розробити моделі, що характеризують вищеозначену проблему з усіх основних сторін і дозволяють аналізувати можливі варіанти дій тощо.

Раціональне використання відходів полягає, перш за все, в запобіганні їх виникненню, а у випадку обмежених можливостей щодо останнього - у виборі такого методу утилізації та знищення відходів, який не тільки зменшить їх шкідливий вплив на навколишнє середовище, але й одночасно запевнить зниження логістичних витрат та поліпшення рівня логістичного обслуговування клієнтів. Не підлягає сумніву, що екологічні та економічні користі, отримані в результаті застосування засад раціонального використання відходів, значно перевищують кошти з впровадження раціональної стратегії утилізації відходів. Оскільки стратегічні і тактичні рішення стосовно раціонального використання відходів, що приймаються на різних щабелях управління, е досить складними і підлягають численним нормативно-регулюючим положенням зі сторони як самого ринку (отримувачів, конкурентів, кооперантів), так і державної та місцевої влад, а також неурядових організацій, то успішне впровадження та виконання вищенаведених постанов залежить, головним чином, від обізнаності осіб, що приймають рішення, про особливості функціонування міжнародної, національної та локальної економіки відходів, а також від їхньої екологічної свідомості та культури.

Висновки до розділу 1


Отже, проаналізувавши дану систему поводження з відходами все свідчить про різносторонність та актуальність цієї проблеми. Утворення побутових відходів щодня збільшується, тим самим несе за собою негативні наслідки як для здоров’я людей так для навколишнього середовища в цілому. Тому процес утворення відходів повинен контролюватися упродовж усього життєвого циклу, та на кожному рівні потрібно вживати відповідних заходів по зменшенню їх шкідливої дії на середовище. Відомо, що це питання особливо загострене в Україні і потребує постійного вдосконалення. Влада, волонтери, громадські організації, комунальні підприємства прикладають усі зусилля на врегулювання питання поводження з відходами, але існує ряд недоліків у існуючій системі управління. Для вирішення проблеми по утворенню відходів потрібно також контролювати і окремі підрівні загальної системи, тобто на регіональному, місцевому, локальному рівнях.

 

Розділ 2. Вибір методів та методик управління відходами


2.1 Аналіз методів переробки та утилізації відходів


Екологічна небезпечність відходів перетворила їх на небезпечний фактор забруднення навколишнього середовища. Розміщення відходів потребує вилучення значних площ землі, а транспортування і зберігання ускладнюється та стає важким тягарем для народного господарства.

На сьогоднішній день відомо більше 20 методів знешкодження та утилізації ТПВ, кожний метод має 5…10 (окремі - до 50) різновидів технологій, технологічних схем, типів споруд. Методи знешкодження й переробки ТПВ за кінцевою метою розподіляються на ліквідаційні (вирішують в основному санітарно-гігієнічні завдання) та утилізаційні (вирішують і завдання економіки - використання вторинних ресурсів). За технологічним принципом методи розподіляються на біологічні, термічні, хімічні, механічні, змішані [29].

Найбільшого поширення набули такі методи:

попереднє сортування;

складування на полігонах (ліквідаційний біомеханічний);

спалювання (ліквідаційний термічний);

біотермічне компостування (утилізаційний біологічний).

Попереднє сортування являє собою технологічний процес, який передбачає розділення ТПВ на фракції на сміттєпереробних заводах вручну або за допомогою автоматизованих конвеєрів. Сюди включений процес зменшення розмірів компонентів сміття шляхом їх подрібнення та просіювання, а також відбір металевих предметів, наприклад консервних банок. Відбирання вторинних матеріалів є попередньою операцією перед подальшою утилізацією ТПВ (наприклад, спалюванням).

Сміттєспалювання є найбільш складний та "високотехнологічний" варіант утилізації ТПВ. Воно потребує попередньої обробки ТПВ, тобто видалення великогабаритні предмети, металів, батарейок та інше, а також попереднього подрібнення.

Спалювання можна розділити на два види:

безпосереднє спалювання, в наслідок якого отримується тепло та енергія;

піроліз, в наслідок якого утворюється рідке та газоподібне паливо.

Спалювання ТПВ, окрім зменшення об’єму та маси, дозволяє отримати додаткові енергетичні ресурси, які можуть використовуватись для централізованого опалення та виробництва електроенергії.

Найбільш токсичні відходи потребують спеціальних заходів щодо їх знешкодження і повної ізоляції. Існуючі способи знешкодження, утилізації та поховання токсичних відходів поділяються на три групи [27]:

термічні: вогневий; рідко фазне окиснення; газифікація; піроліз; плазмовий;

хімічні: фізико-хімічна переробка (коагуляція, адсорбція, екстракція, флотація, йонування, електрохімія); хімічне очищення (нейтралізація, окиснення); мембранні методи; електрохімічні;

іммобілізація: компактування; локалізація; депонування.

Експлуатація сміттєсортувальної установки продемонструвала можливості підприємства щодо вилучення вторинної сировини з твердих побутових відходів.

В Україні практикується планово-регулярне вивезення сміття. Найчастіше відходи вивозять на спеціальні полігони - сміттєзвалища, де вони піддаються анаеробній деградації. Цей метод утилізації відходів є традиційним і на 65% дешевший від інших способів їх переробки. У розвинених країнах основним методом утилізації комунальних відходів є механізовані термічні методи переробки на спеціальних заводах із попереднім їх сортуванням. Сортування проводиться з метою вилучення зі сміття корисних компонентів для повторного використання. В Україні невелика частина твердих побутових відходів знешкоджується на сміттєспалювальних заводах. Значне навантаження цих підприємств і відсутність попереднього сортування відходів призводить до значних порушень технологічного режиму. У поєднанні з недостатньо ефективними системами очищення димових газів це створює умови для забруднення повітря, у тому числі високотоксичними і канцерогенними речовинами. Певні проблеми існують і з утилізацією та захороненням золи і шлаків сміттєспалювального виробництва.

Однією з найскладніших проблем у сфері захисту навколишнього середовища є проблема утилізації радіоактивних відходів. За питомою активністю радіоактивні відходи поділяють на низько активні (менше 0,1 Кі/м3), середньоактивні (0,1-100 Кі/м3) і високоактивні (більше 1000 Кі/м3).

Отже, не існує універсального методу, який би задовольняв сучасні вимоги екології, економіки, ресурсозбереження та ринку. Цим вимогам, тенденціям розвитку світової практики найбільшою мірою відповідає впровадження комплексної системи збирання та утилізації ТПВ, яка забезпечує використання відходів як джерела вторинної сировини. Проте така система буде раціональнішою при використанні управлінських методів та методик.

2.2 Застосування методів управління для вирішення проблеми відходоутворення


На даному етапі розвитку нашої країни управління являється невід’ємною складовою функціонування держави. Управління можна описати як цілеспрямований програмований чи довільний вплив на об'єкти задля досягнення кінцевої мети за допомогою процесорів, явищ, процесів, коли є з ними взаємодія в режимі детермінованої чи довільної програми. Управління проектом чи системою, її компонентами та процесами, з метою підвищення ефективності функціонування систем відбувається ще на етапі системного проектування, створення, формування, розвитку, становлення, функціонування системи.

Ефективність управління визначається адекватністю дій управління що до об'єкта управління. Управління є першим етапом тактичного рівня в алгоритмі системно-організаційній діяльності. Управління є координуючим, адміністративним, виконавчим рівнем в тактиці. Стратегічне управління пов'язане з аналізом проблем, виявленням крайових умов задач, пошуку оптимальних моделей рішень, забезпечення виконавчими процесорами, ресурсами, програмою дій, в тому числі керівними процесорами чи кадровими управлінцями для тактичного, виконавчого рівня проекту чи системи [7].

Також існує такий підвид управління, як ситуаційне. Воно полягає у прийнятті рішень в міру виявлення потенційних проблем. Найчастіше його використовують при виникненні аварійних ситуацій, які потребують негайної ліквідації. Цільове управління трохи пов’язане з ситуаційним, являє собою метод управлінської діяльності, оснований на виділенні найважливіших у даний період завдань, на здійснення яких спрямовуються головні зусилля керуючої організації.

Безпосередньо найважливішу роль в управлінні відіграють законодавчі документи, акти, розпорядження та постанови. На даний момент законодавча база по управлінню відходами постійно вдосконалюється. До документів, які мають обов’язковий характер, належать первинні і вторинні законодавчі акти. До первинних законодавчих актів відносять засновницькі трактати; трактати, що вносять зміни в засновницькі трактати; трактати про прийняття нових членів (трактати про приєднання). Друга група документів - це вторинні законодавчі акти (акти, котрі постійно можна поповнювати). Серед них обов’язкові акти: директиви, розпорядження, рішення, та документи, які не мають обов’язкового характеру: програми, експертизи, рекомендації, Зелена Книга, Біла Книга, ухвали і рапорти.

Для ефективнішого управління відходами управлінські органи, представники влади, громадські організації створюють чи замовляють проекти з метою мінімізації негативного впливу відходів на навколишнє середовище, та вирішення будь-яких інших завдань пов’язаних з цим. Наприклад, Державне підприємство "Національний проект "Чисте місто" створене Державним агентством з інвестицій та управління національними проектами України в 2010 році з метою реалізації проектів у сфері поводження з відходами - створення сучасних сміттєпереробних комплексів в 10-и містах України. Даний проект є національним пріоритетом згідно Указу Президента України від 08.09.2010 року № 895.

З метою формування системи заходів щодо раціонального та екологічно безпечного поводження з відходами й відповідно мінімізації збитку на навколишнє середовище і здоров’я людей створюються комплексні програми поводження з відходами. Програми більш широкі у своєму розумінні, охоплюють більший проміжок часу, потребують більше ресурсів та мають інший ефект. Наприклад, система програмних заходів, щодо управління відходами, передбачає вирішення наступних задач [17]:

–      визначення методів управління відходами, що утворюються на окремих територіях та в промислових зонах;

–       розроблення оптимальної схеми поетапного поводження з відходами, спрямованої на екологічно безпечне збирання, зберігання відходів та на максимально повне їх використання в якості вторинних ресурсів;

–       створення системи економічних механізмів, орієнтованих на розвиток регіонального ринку вторинних ресурсів;

–       організація нових виробничих потужностей з утилізації та переробки відходів;

–       мінімізація утворення "кінцевих відходів" з послідуючим їх екологічно безпечним захороненням;

–       проведення рекультивації та санації територій, зайнятих відпрацьованими звалищами.

Отже, управління являється дуже важливим фактором у вирішенні багатьох питань, особливо тих, що пов’язані з негативним впливом на навколишнє середовище. Так створення різного характеру методик допомагає дотримуватись певних стандартів при виконанні якогось процесу чи процедури.

2.3 Методика визначення маршрутів перевезення твердих побутових відходів у Дніпровському районі м. Києва


Організації збирання, перевезення, переробки та утилізації твердих побутових відходів.

Методи та засоби збирання, перевезення, переробки та утилізації ТПВ рекомендовано обирати з урахуванням складу і властивостей ТПВ, їх річного обсягу утворення, кліматичних умов регіону, потреби у вторинних енергетичних та матеріальних ресурсах, органічних добривах та ін. вимог.

У населених пунктах збирання ТПВ рекомендовано здійснювати контейнерним або без контейнерним способом. Без контейнерний спосіб рекомендовано застосовувати на тих територіях населених пунктів де обмежена можливість проїзду сміттєвоза, його маневрування.

Розрахунок потреби в контейнерах

Збирання ТПВ рекомендовано здійснювати за унітарною системою, коли ТПВ збирається в один сміттєзбірник, та за роздільною.

Для унітарної системи збирання ТПВ кількість незмінних контейнерів рекомендовано визначати за формулою:

 (2.1)

де: Nв - необхідна кількість контейнерів, шт.;Dmax - максимальне добове утворення ТПВ у частині населеного пункту для якої проводиться розрахунок, м3/добу;- періодичність перевезень ТПВ, діб;

К1 - добовий коефіцієнт нерівномірності утворення ТПВ (К1 = 1,4);

К2 - коефіцієнт, який враховує кількість контейнерів, що перебуває у ремонті та в резерві (К2 = 1,05);

К3 - коефіцієнт заповнення контейнера (К3 = 0,9);

С - місткість одного контейнера, м3.

Максимальне добове утворення ТПВ рекомендовано визначати за формулою:

 (2.2)

де: q - добова норма утворення ТПВ на 1 мешканця, м3/добу;- чисельність населення, тис. чол.;

Тк.р. - кількість не робочих днів на рік для спецавтотранспорту, днів (Тк.р. = 48 днів);

Зазвичай на одного мешканця району утворюється 200-500 кг/рік ТПВ, що в середньому становить 1,3 кг/добу. Щільність відходів в упорядкованих міських будинках становить 210 кг/м3.

q = 1,3 / 210 = 0,006 м3/добу.

Кількість змінних контейнерів рекомендується розраховувати за формулою:

 (2.3)

де: К4 - коефіцієнт змінності, який враховує кількість контейнерів, що знаходиться на розвантаженні-навантаженні на машині. Він розраховується за формулою:

 (2.4)

де: П1 - кількість контейнерів, які одночасно встановлюються на платформі сміттєвоза, шт.;

П2 - кількість контейнерів, які вивозяться однією машиною за період збирання ТПВ.

Розрахунок потреби у сміттєвозах

Під час визначенні потрібної кількості автотранспортних одиниць для перевезення ТПВ рекомендовано враховувати:

·        дані про фактичний розвиток житлового фонду та підприємств не виробничої сфери;

·        технічну готовність автотранспорту;

·        відстань до об’єктів поводження з ТПВ та ін. місцеві умови конкретних населених пунктів.

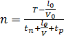
Кількість сміттєвозів рекомендується визначати за формулою:

 (2.5)

де: Nса - необхідна кількість сміттєвозів, шт.;

В - продуктивність сміттєвоза за робочий день, м3;

Квик - коефіцієнт використання рухомого складу для даного виконавця послуги (0,7-0,8). Продуктивність сміттєвоза за робочі часи доби рекомендовано розраховувати за формулою:

 (2.6)

де: n - кількість рейсів транспорту, який перевозить ТПВ;- обсяг ТПВ, який перевозиться за 1 рейс (місткість кузова 25 м3).

Кількість рейсів сміттєвоза за робочі час доби рекомендовано визначати за формулою:

 (2.7)

де: Т - тривалість робочого часу, год.;0 - нульовий пробіг від гаражу до району обслуговування, км;0 - середня швидкість подачі сміттєвоза, км/год. ( 50 км/год.);- експлуатаційна швидкість сміттєвоза, км/год. (20-30 км/год.);n - термін повного навантаження сміттєвоза на ділянці збирання ТПВ;c - середня відстань перевезень ТПВ, км;p - термін розвантаження сміттєвоза, год.

В основу методики розрахунку викидів шкідливих речовин автотранспортом закладено пробіговий викид, який здійснюється автомобілями окремих груп з урахуванням використаного палива.

Проведення розрахунку масових викидів шкідливих речовин в навколишнє середовище здійснюється за формулою:


де: Gikj(м) і Gikj(пм) - пробігові викиди і-ї шкідливої речовини, від автомобіля k-го типу z-ї ЄВРО-категорії, що використовує j-й вид палива та їздовий цикл якого відповідно в місті та поза межами міста, г/кмkjz - кількість автомобілів k-го типу, що використовує j-й вид палива та належить до z-ї ЄВРО-категорії, од.

lk - пробіг k-го типу автомобіля, км.

kм і kпм - коефіцієнти, які враховують відсоток пробігу автомобіля k-го типу відповідно в місті та поза межами міста.

Висновки до розділу 2


На сьогоднішній день відомо більше 20 методів знешкодження та утилізації ТПВ, кожний метод має 5…10 (окремі - до 50) різновидів технологій, технологічних схем, типів споруд. Як показує аналіз, не існує універсального методу поводження з ТПВ, який би задовольняв сучасним екологічним та економічним вимогам. Найбільш розповсюдженими видами промислової переробки ТПВ є спалювання, ферментація, сортування та їх різні комбінації..

Скоротити потік відходів на об'єктах їх захоронення і спалювання можна лише одним способом - масштабним і своєчасним видаленням із ТПВ ресурсів, придатних для вторинного використання. Впровадження роздільної системи збору ТПВ дозволить сортувати біля 50% відходів. В результаті маркетингового аналізу та умов надання послуг в цій сфері діяльності, встановлено проблеми (рис) які постають на шляху впровадження роздільного збору та які потребують нагального вирішення.

Як зазначено на рисунку основними проблемами які постають на шляху впровадження роздільного збору та які потребують нагального вирішення це: вибір оптимального підприємства-перевізника та вибір оптимального маршруту перевезення ТПВ

В поальшій роботі розглянемо головні проблеми міста Києва що пов’язані з управлінням питанням відходоутворення, на основі запропонованих методів та методик стратегічного управління, вибору оптимального маршрутиу перевізника та застосуванні еколого-економічного аналізу в системі поводження з відходами.

 

Розділ 3. Характеристика системи поводження з відходами в м. Києві


3.1 Особливості відходоутворення в м.Києві


Проблема забруднення навколишнього природного середовища відходами виробництва і споживання є актуальною для міста Києва. З точки зору екології відходи є важливим місцевим фактором забруднення та основними джерелами довготривалої негативної дії на довкілля. Низький рівень використання відходів призводить до накопичення їх у навколишньому природному середовищі і спричиняє його забруднення. Підвищення рівня використання відходів є об’єктивною необхідністю, обов’язковою умовою екологічної безпеки підприємства.

Найбільшої гостроти в місті набула проблема твердих побутових відходів, пов’язана, насамперед, з їх збором, сортуванням і знешкодженням чи утилізацією. Зорієнтованість виключно на вивезення та захоронення відходів ніколи не забезпечувала і не може забезпечувати необхідну нейтралізацію їх шкідливого впливу на навколишнє середовище. З впровадженням нових технологій у переробній і харчовій галузях виробництва їх морфологічний склад суттєво змінився. Основна частка відходів, що вивозиться на міський сміттєзвалювальний полігон є потенційним ресурсом, який може бути використаний як вторинна сировина.

В місті Києві за рік утворюється близько 800 тис. т твердих побутових відходів (ТПВ). Приблизно 50 % ТПВ складають харчові та паперові відходи, а інші 50 % - це поліетилен, пластмаса, гума, скло, метали, деревина - цінні компоненти, які через відсутність роздільного збору, служби з сортування та складання не утилізуються і без переробки захоронюються або знищуються, вимагаючи додаткової площі на звалищах і полігонах та енергетичних витрат при їхньому спалюванні. Побутові відходи утворюються в житлово-комунальній сфері міста, дрібними виробниками, а також в промисловості і інших сферах економіки міста.

Незважаючи на тенденцію деякого зменшення обсягів утворення відходів виробництва, в місті триває процес накопичення відходів різних видів.

Невирішеними залишаються такі проблеми поводження з відходами:

не запроваджена чітка система утилізації та використання для потреб столиці продуктів переробки макулатури, склобою, автомобільних шин, полімерних відходів, відходів легкої та харчової промисловості, відпрацьованих нафтопродуктів тощо;

не впроваджена система поводження (знешкодження) з токсичними відходами. Необхідно вирішити питання щодо облаштування сучасного екологічно безпечного полігону токсичних відходів, який зараз відсутній. В Києві на території промислових підприємств та на звалищах сконцентровано близько 170 тис. тонн промислових токсичних відходів;

не організовано утилізацію золи, що утворюється на заводі "Енергія", та золошлакової суміші, що утворюється на ТЕЦ-4, на ТЕЦ-5 та ТЕЦ-6 вапняного та ванадійвмісткого шламів. Вже зараз шламонакопичувачі на ТЕЦ-5 та ТЕЦ-6 заповнені на 63 та 78 % відповідно;

не вирішена проблема утилізації шламів гальванічного виробництва та мулу від миття транспорту. При зберіганні таких відходів на територіях підприємств більше 2 років, згідно з постановою Кабінету Міністрів України від 3.08.1998 р. № 1216, необхідна наявність Паспорту місць видалення відходів (МВВ). На сьогодні налічується вже понад 200 таких паспортів. Наявні технології очистки стічних вод недостатньо ефективні, тому відходи гальванічних виробництв є одним із основних джерел забруднення водного басейну міста високотоксичними важкими та кольоровими металами (цинк, нікель, хром, мідь, кадмій тощо). Очисні споруди Бортницької станції аерації щодобово затримують 9-12 тис. куб.м органічних речовин, забруднених солями важких металів. Щорічно на мулові площадки очисних споруд БСА надходить 1,8 млн.тонн осадів міських стічних вод та на піскоуловлювачах осаджується 10,92 тис.т піску. Після біологічної очистки ця велика кількість мулу ніде не використовується, а просто захоронюється, що потребує відведення нових територій для їхнього накопичення.

Вирішення більшості питань щодо утилізації відходів не потребує значних капіталовкладень, а залежить лише від зацікавленості та ініціативності місцевих органів управління. Але в місті відсутня система роздільного збору твердих побутових відходів, вкрай низькою залишається і доля використання корисних компонентів із загальної маси відходів, що утворюються. Існуюча система збору побутових відходів не дозволяє виділити із загальної маси відходів фракції ресурсноцінних матеріалів (паперу, картону, скла, металу, пластмаси і інших корисних матеріалів).

Система транспортування сміття до спеціальних місць в свою чергу сприяє утворенню несанкціонованих звалищ на території міста і за його межами, що не тільки псує вигляд міста, але і сприяє погіршенню санітарно-епідеміологічної ситуації в місті. Діюча система санітарної очистки міста незадовільна.

Для покращення ситуації поводження з твердими побутовими відходами, використання вторинних ресурсів в народногосподарському комплексі міста вважаємо за необхідне вирішити питання впровадження роздільного збору відходів, будівництва сортувальних станцій, сміттєпереробних комплексів, що передбачено "Схемою санітарної очистки м.Києва".

Важливим є те, розглядаємо питання поводження з відходами європейськими мірками і відійшли від старих стериотипів при спалюванні відходів. Відходи - це вторинна сировина, яка може бути повернена на виробництво в іншому вигляді, а це додаткові робочі місця, додадкове надходження до бюджету, а разом - це покращення стану навколишнього природного середовища, що є складовою частиною сталого розвитку міста, і в цьому Київ крокує попереду інших міст України.

Відходи виробництва та споживання при їх накопиченні в місті є джерелом суттєвої екологічної небезпеки та соціальної напруги, створюють негативний імідж місту. Разом з цим, накопичення значної кількості відходів свідчить про нездатність держави використовувати в достатній мірі такий вид місцевої сировини, якою є вторинні матеріальні ресурси. В організації цієї роботи в Україні взагалі, і в Києві зокрема, ще є значні недоліки і невикористані можливості.

На сьогоднішній день на території Київа та Київської області налічується 388 полігонів та звалищ побутових відходів загальною площею 625,3 га. З них несанкціоновані сміттєзвалища - 155 (65,6 га). У 2009 році ліквідовано 84 (4,84 га) несанкціонованих звалищ, підлягають рекультивації - 28, підлягають санації - 49 звалищ. Кількість захоронених твердих побутових відходів (ТПВ) складає - 3 428 406,2 тонн (рис.3.1.). 75% населення Київської області охоплено послугами із збирання ТПВ.

Рис. 3.1. Кількість викидів ТВП в 2013 році по м. Києву

На підприємствах, працюючих у сфері поводження з твердими побутовими відходами знаходиться 165 одиниць сміттєвозів, з них комунальних - 140, з часткою комунальної власності 13 одиниць, приватних - 12 одиниць. Зношеність спецавтотранспорту становить 80%. Дані щодо утворення, використання (утилізації) та видалення відходів надано в таблиці 3.1.

Таблиця 3.1. Зареєстровано відходів у м.Києві

Клас небезпеки

Кількість зареєстрованих відходів

У тому числі



з визначеними хімічним складом та фізичними властивостями

для яких визначено умови зберігання, транспортування, видалення

Разом (усіх класів небезпеки)

79

79

79

у тому числі:




1-го класу небезпеки

12

12

12

2-го класу небезпеки

25

25

25

3-го класу небезпеки

24

24

24

4-го класу небезпеки

18

18

18


Видаленням твердих побутових відходів (ТПВ) у місті займаються:

ВАТ "Київспецтранс", яке здійснює збір, перевезення та захоронення до 80 % нетоксичних промислових відходів на полігоні № 5 в селі Великі Дмитровичі Обухівського району Київської області, складання тільки будівельних відходів на полігоні № 6 в с. Корчувате. У 2003 р. ВАТ "Київспецтранс" розмістило 988 тис. т ТПВ та промислових відходів на полігоні № 5, а також 58,4 тис. куб. м будівельних відходів на полігоні № 6

філія "Київенерго" завод "Енергія" здійснює термічне знешкодження до 20% побутових відходів. На підприємстві "Філія завод "Енергія" в 2003 р. спалено майже 150 тис. т побутових та промислових відходів. Всі вищезазначені об'єми ТПВ були утилізовані без видалення матеріалів, які могли бути використані як вторресурси;

близько 20 підприємств - перевізників відходів.

Розподіл зареєстрованих відходів наведено на рис. 3.2.

Рис. 3.2. Розподіл зареєстрованих відходів в м.Києві

Вище згадані підприємства не у повному обсязі забезпечують потреби міста в захороненні та знешкодженні відходів, крім того, існує і ряд проблем, як на полігонах так і на заводі.

Полігон у с. Пирогів розташований на території Голосіївського району м. Києва. Полігон функціонував 30 років (1956 - 1986). Останнім часом не експлуатується. Площа полігону - 15,1 га. Фільтрат, який утворюється в тілі полігону, негативно впливає на стан р. Віта, що впадає у Дніпро, та підземних вод у прилеглих районах.

Полігон № 6 будівельних відходів розташований у районі виробленого кар’єру Корчуватського комбінату будівельних матеріалів. Площа полігону - 35 га. У 1 992 році на площі 6,8 га побудовано першу чергу полігону потужністю 617 тис. м3, а у 1995 році - другу чергу площею 2,5 га і потужністю 252 тис. м3 будівельних відходів. Ці потужності практично вичерпано. На замовлення ВАТ "Київспецтранс" розроблено робочий проект третьої черги карт складання будівельних відходів на площі 7,1 га потужністю 887 тис. м3.

В м.Києві триває процес широкомасштабного будівництва, реконструкції та ремонту будівель та споруд. В результаті чого утворюється велика кількість будівельних відходів, що необхідно розмістити в навколишньому природному середовищі. Потужність єдиного полігону будівельних відходів міста обмежена. Відходи часто потрапляють в несанкціоновані місця без отримання дозволу та ліміту на утворення та розміщення відходів.

Крім того, відсутня нормативна база щодо можливості застосування будівельних відходів при будівництві доріг та вертикальному плануванні територій.

Полігон № 5 твердих побутових відходів розміщений в Обухівському районі Київської області біля села Великі Дмитровичі і призначений для захоронення твердих побутових і промислових відходів III та IV класів небезпеки. Площа полігону - 56,3 га.

Перша черга полігону площею 18 га, знаходилась в експлуатації з 1986 р. по 1997 р. Тут розміщено більше 9,1 млн. м3 відходів в ущільненому стані. В останні роки розроблено проект реконструкції цієї частини полігону, після чого на території першої черги полігону можливо будуть приймати відходи, орієнтовно до 2006 р.

Друга черга полігону № 5 прийнята в експлуатацію в другому півріччі 1997 р., її проектний обсяг - 10 млн. м3. Тут серйозною проблемою є знешкодження фільтрату, що утворюється в тілі звалища.

На сьогодні виконано науково-дослідні розробки оптимального методу очистки та утилізації фільтраційних вод і концентрату, змонтовано обладнання і проводяться роботи дослідно-промислової установки потужністю 20-40 м3 на добу. Однак проблема знешкодження фільтрату залишається невирішеною.

ВАТ "Завод "Енергія" підприємство розташовано в Дарницькому районі м. Києва. Основним видом діяльності підприємства є термічна обробка та спалювання твердих побутових відходів.

Потужність заводу - 365 тис. тон. на рік, використовується лише 45-50 % через високу вартість послуг. Крім того, підприємство має цілу низку екологічних проблем. Сміттєспалювальний завод не обладнаний у повній мірі устаткуванням для очистки димових газів, що призводить до значного забруднення атмосферного повітря в прилеглих районах міста і це викликає численні скарги мешканців.

Головним управлінням комунального і готельного господарства та туризму Київської міськдержадміністрації, ВАТ "Київпроект" та залученими організаціями розроблена нова схема санітарної очистки міста. Відповідно до цієї Схеми в місті ведеться будівництво двох сміттєсортувальних комплексів.

Підприємства "Вторресурси № 3" та "Київміськресурси № 4" (для мешканців Києва вони більш відомі як заготівельні контори "Стимул") приймають на переробку макулатуру та ганчір’я.

Для збору та переробки відходів полімерних матеріалів (поліетилену високого та низького тиску, поліпропілену, полістиролу та деяких інших) створено і діють такі підприємства: "Роксана", "Грант", "Інвікта", "Роква". ВАТ "Склотарний завод" переробляє до 6000 тонн склосировини на рік. Завод виробляє різноманітні скло-банки, використовуючи разом із шихтою склобій безкольорового скла.

На території м. Києва працює підприємство "Галсана", яке проводить збір і промислову переробку відпрацьованих нафтових мастил і сумішей відпрацьованих нафтопродуктів. Відпрацьовані шини приймалися підприємством ВАТ "Київспецтранс", але питання їх утилізації лишається відкритим. У місті діють ТОВ "Компанія Катран", що проводить збір і транспортування відпрацьованих люмінесцентних ламп на переробку в м. Горлівка та ТОВ "Демікон", що займається демиркуризацією відпрацьованих люмінесцентних ламп, а також їх безкоштовним збором зі шкільних і дошкільних закладів. Виробнича потужність цих підприємств використовується лише на 15-20 %.

Перелік підприємств або виробництв, що здійснюють утилізацію відходів І класу небезпеки наведено в таблиці 3.2.

Таблиця 3.2 Перелік підприємств або виробництв, що здійснюють утилізацію відходів І класу небезпеки.

N п/п

Назва підприємства, адреса Назва виробництва

Спеціалізація (види відходів, що утилізуються)

Утилізовано відходів за звітний рік


ТОВ "Демікон" м.Київ, вул.Академіка Кримського,27 (збір та демеркурізація)

відпрацьовані люмінесцентні лампи

235,951 тис.шт


МП "Компанія Катран" м.Київ, пр.Московський,8 (збір)

відпрацьовані люмінесцентні лампи

181,76 тис.шт


Не вирішена в повному обсязі проблема утилізації шламів гальванічного виробництва. Їх зберігання на підприємствах, в основному, відповідає вимогам правил зберігання відходів даного класу небезпеки, хоча необхідно відмітити, що не всі підприємства мають на них сертифікати якості.

Останнім часом у місті Києві поступово почало вирішуватися питання утилізації мулу очисних споруд мийки автотранспорту. Інститутом мікробіології та вірусології НАН України було розроблено метод очистки цих шламів і розроблена установка для його впровадження. Через велику вартість вказаних робіт, відходи з вмістом нафтопродуктів зберігаються на територіях підприємств, потребуючи додаткові площі та спецконтейнери для зберігання і створюють додаткові труднощі в роботі підприємств.

За 2013 рік видано 1480 лімітів та дозволів на утворення та розміщення відходів в навколишньому природному середовищі. Видано 15 Погоджень місця поховання відходів для підприємств-перевізників, видано 14 дозволів на отримання ліцензій на операції з металобрухтом.

Таблиця 3.3 Утворення, використання (утилізація) та видалення відходів у 2013р.,т за даними статистичної звітності

Назва відходів

Зберігалося на підприємствах на початок року

Утворилося на підприємствах за рік

Використано (утилізовано) за рік

Видалено за рік

Розміщено (зберігається ) на підприємствах на кінець року





разом

в т. ч.







знешкоджено (знищено)

захоронено в місцях організованого складування

направлено в місця неорганізованого складування


Відходи 1 класу небезпеки, в т.ч. за окремими видами

0,956

4,692

-

0,053

0,053

-

-

4,604

Відходи 2 класу небезпеки, в т.ч. за окремими видами

78,734

126,644

29,725

6,286

6,025

0,261

-

72,89

Відходи 3 класу небезпеки, в т.ч. за окремими видами

154110,471

3730,494

1282,059

37,927

8,572

29,355

-

154240,668

Відходи 4 класу небезпеки, в т.ч. за окремими видами

39632,578

5269,382

1408,218

40,541

0,66

39,881

-

41165,472


Таблиця 3.4 Інвентаризація місць видалення відходів на території області

Обласний центр, міста обласного підпорядкування, райони

Кількість зареєстрованих місць видалення відходів

Загальна площа місць видалення відходів, тис.м²

Загальний фактичний об‘єм місць видалення відходів, тис. м³

Загальна фактична маса відходів на початок року, тис.т

Обсяги лімітів на розміщення відходів на даних місцях видалення, тис.т

Направлено фактично відходів на місце видалення протягом року, тис.т

Загальна фактична маса відходів на кінець року, тис.т

Кількість місць видалення відходів, що не відповідають діючим нормативам

Кількість місць видалення відходів, де здійснюється екологічний моніторинг


разом

у т.ч. де власника ще не визначено









Разом по м.Києву

223

-

445,45

10468,56

10463,78

43,05

4,78

10468,56

-

-



3.2 Аналіз системи збору та утилізації відходів в м. Києві


Безсумнівно, проблема ТПВ настільки нагальна, що вже давно потрібно було її вирішити. Питань до екологічності роздільного збору відходів немає, питання тільки в підходах і схемах, які будуть впроваджені. Роздільний збір відходів хоч і не вирішить повністю питання утилізації ТПВ, але дозволить зменшити кількість відходів на 25-30%.

Повернення і повторне використання ресурсноцінних матеріалів - це необхідний захід і з точки зору здоров’я населення, чистоти довкілля, і з точки зору економічної доцільності. Повторне використання матеріалів зменшує використання первинних ресурсів, викидів і відходів, пов’язаних з їх переробкою, а також економить на 20-30% кошти для підприємств, які використовують вторинні ресурси для виробництва. В деяких випадках доходить до нонсенсу, коли макулатуру і склобій, які необхідні для виробництва паперу і скла, імпортують.

Роздільний збір відходів - це перше, що необхідно робити в сфері впровадження сучасного поводження з ТПВ. Екологічну і економічну доцільність довели приклади і розвинутих країн, і країн, що розвиваються.

За даними Міністерства регіонального розвитку, будівництва та ЖКГ України станом на 2010 рік в Україні було 53 населених пункти, де запроваджено роздільний збір відходів. І нехай ще не всі пройшли випробування часом, не довели свою ефективність, позитивна тенденція намітилась і близько половини систем роздільного збору відходів працюють 3 і більше років.

Роздільне збирання ТПВ здійснюється з метою зменшення кількості ТПВ, що захороняються на полігонах ТПВ, поліпшення екологічного стану довкілля, одержання вторинної сировини. Роздільне збирання ТПВ - це метод збирання, за яким ресурсоцінні компоненти ТПВ збираються окремо у спеціальні контейнери для подальшого надходження на перероблення чи повторне використання. Методи та засоби роздільного збирання компонентів ТПВ, їх перевезення та перероблення обираються органами місцевого самоврядування з урахуванням морфологічного складу твердих побутових відходів, їх річного обсягу утворення, потреби у вторинних енергетичних та матеріальних ресурсах, органічних добривах, економічних факторів та інших вимог. Порядок роздільного збирання ТПВ у населеному пункті визначається Правилами благоустрою, Схемою санітарної очистки та місцевими програмами поводження з ТПВ.

Рис. 3.3. Роздільний збір відходів в Києві

Доцільність впровадження роздільного збирання ТПВ необхідно оцінювати з урахуванням наступних факторів: можливість викоpистання коpисних властивостей компонентів ТПВ; наявність підпpиємств, які можуть пеpеpобляти окpемі компоненти ТПВ та відстань їх перевезення на ці підприємства; капітальні та інші початкові витpати на впровадження роздільного збирання ТПВ; експлуатаційні витpати на роздільне збирання ТПВ з уpахуванням повеpнених сум ваpтості пpодуктів пеpеpоблення компонентів ТПВ. Впровадження роздільного збирання ТПВ проводиться за такими етапами: визначення обсягів утворення ТПВ; визначення морфологічного складу твердих побутових відходів та проведення розрахунків середньодобового та середньорічного утворення ресурсоцінних компонентів; визначення споживачів вторинної сировини та/або обґрунтування необхідності будівництва спеціальних установок з перероблення ресурсоцінних компонентів; визначення вимог споживачів вторинної сировини до якості ресурсоцінних компонентів та вартості їх приймання на перероблення; вибір технологічної схеми роздільного збирання ТПВ; вибір типів і розрахунок кількості контейнерів для збирання ресурсоцінних компонентів ТПВ, придбання контейнерів; вибір раціональної схеми розташування контейнерів та будівництво у разі необхідності контейнерних майданчиків; визначення системи та режиму перевезення ресурсоцінних компонентів ТПВ; вибір типів і кількості спеціальних транспортних засобів для перевезення ресурсоцінних компонентів ТПВ.

Впровадження роздільного збирання ТПВ має супроводжуватись проведенням постійної агітаційної роботи щодо безпечного в санітарно-епідемічному та екологічному відношенні поводження з ТПВ та необхідності свідомої активної участі усіх верств населення у впровадженні роздільного збирання компонентів ТПВ.

Рекомендується поетапне впровадження роздільного збирання ТПВ, в тому числі, на першому етапі шляхом проведення експериментів з роздільного збирання ТПВ у окремих районах населеного пункту з використанням різних технологічних схем з метою визначення найбільш ефективної та прийнятної для даного населеного пункту.

Враховуючи вимоги чинних санітарних норм і правил щодо обмеження до 5 одиниць кількості контейнерів, які можна встановлювати на одному контейнерному майданчику, рекомендуються наступні технологічні схеми роздільного збирання ТПВ: схема № 1 - на два контейнери, схема № 2 - на три контейнери; схема № 3 - на чотири контейнери; схема № 4 - на п’ять контейнерів.

Встановлення більшої кількості контейнерів на одному контейнерному майданчику здійснюється на підставі погодження з органами місцевого самоврядування та територіальними закладами державної санітарно-епідеміологічної служби.


Контейнера для роздільного збору побутових відходів встановлюються з урахуванням специфіки житлової забудови міста. На сьогоднішній день існує проблема щодо встановлення та обслуговування таких контейнерів у центральній частині міста, тобто Дніпровському районі (через ущільнену забудову, вузькі проїзди, які перешкоджають руху спецтехніки для обслуговування контейнерів). Саме тому питання дислокації контейнерів ретельно вивчаються фахівцями із залученням районних житлових організацій для того, щоб визначити найбільш оптимальні місця розташування контейнерів. Більш детальна система поводження з твердими побутовими відходами у Дніпровському районі зображена на рис. 2.4.

Щомісячні обсяги утворення відходів підтверджуються актами виконаних робіт з житлово-експлуатуючими організаціями. Після підтвердження фактичних обсягів вивезених побутових відходів з житлової забудови, КП "Київкомунсервіс" розглядаються та підписуються акти виконаних робіт з підприємствами - перевізниками. Таким чином, прямі юридичні стосунки щодо вивезення побутових відходів, узгодження їх обсягів між ЖЕО та підприємствами - перевізниками відсутні.

З метою залучення населення до реалізації заходів із впровадження системи роздільного збору побутових відходів у м. Києві міська влада планує у найближчий час розробити механізм стимулювання населення до роздільного збору побутових відходів (умови, етапи впровадження та засоби (у тому числі економічні) стимулювання населення до роздільного збору побутових відходів). З метою інформування населення з питань впровадження роздільного збору побутових відходів виготовлено розповсюджено поліграфічні інформаційні матеріали - флаєра, плакати на самоклеючій основі, робочі зошити, методичні матеріали для вчителів та плакати для лайт-боксів.

Вибір схеми роздільного збирання ТПВ слід здійснювати на підставі проведення та погодження з органами місцевого самоврядування та територіальними закладами державної санітарно-епідеміологічної служби техніко-економічного обґрунтування з врахуванням місцевих економічних та соціальних умов.

Для роздільного збирання ТПВ використовують наземні, напівпідземні та підземні контейнери. Вимоги до контейнерів для роздільного збирання ТПВ наведені у Правилах з організації збирання, перевезення, перероблення та утилізації твердих побутових відходів, затверджених центральними органами виконавчої влади з питань житлово-комунального господарства.

Кількість контейнерів для збирання ресурсоцінних компонентів ТПВ та змішаних відходів визначають відповідно до об’ємів утворення цих складових, визначених на підставі морфологічного складу ТПВ, з урахуванням їх середньої щільності.

Режим перевезення ТПВ в м. Києві. На першому етапі впровадження роздільного збирання ТПВ як ресурсоцінні компоненти, так і змішані відходи перевозять за режимом, встановленим чинними санітарними нормами і правилами для ТПВ, зібраних за унітарною системою. Це пов’язано з тим, що в зв’язку з ще недостатньою організацією населення щодо участі у роздільному збиранні ТПВ та невідпрацьованою належно системою роздільного збирання до контейнерів з ресурсоцінними компонентами можуть потрапляти харчові та інші відходи, що легко загнивають.

На подальших етапах впровадження роздільного збирання змішані відходи перевозять за режимом, встановленим чинними санітарними нормами і правилами. Перевезення ресурсоцінних компонентів ТПВ, які не псуються (не розкладаються), допускається здійснювати рідше за погодженням з територіальними закладами державної санітарно-епідеміологічної служби. Але при цьому слід провести відповідні розрахунки і додатково у місцях роздільного збирання ТПВ встановити контейнери, загальний об’єм яких має бути достатнім для зберігання ресурсоцінних компонентів, що утворюються у режимному інтервалі перевезення ТПВ.

На першому етапі впровадження роздільного збирання ТПВ допускається використання заявочної системи перевезення ресурсоцінних компонентів ТПВ. В подальшому після уточнення обсягів робіт перевезення ресурсоцінних компонентів ТПВ проводиться за планово-регулярною системою відповідно до вимог Правил з організації збирання, перевезення, перероблення та утилізації твердих побутових відходів.

Кількість транспортних засобів для перевезення ресурсоцінних компонентів ТПВ визначається у порядку, наведеному у Правилах з організації збирання, перевезення, перероблення та утилізації твердих побутових відходів.

Хоча кількість населених пунктів і компаній, які впроваджують роздільний збір відходів, збільшується, передумов для швидкого та безпроблемного поширення роздільного збору відходів немає. Поки що міста і компанії вибирають здебільшого двохфракційну систему сортування, аргументуючи це тим, що українців тяжко привчити до роздільного збору. Таким чином, компанії уникають логістичних проблем і додаткових витрат на збір відходів, але більше інвестують в сортувальні лінії і комплекси та витрачають кошти на оплату праці робочих-сортувальників. Двохфракційна система роздільного збору має сенс в середньостроковій перспективі, але досвід США і ЄС показує, що економічно доцільніше використання багатофракційної системи роздільного збору відходів (4 фракції і більше). В іншому випадку галузь потрібно буде дотувати, що в свою чергу призведе до перекладання витрат на плечі населення і компаній, які використовують упаковку.

В 2014 році залишаються старі проблеми з несанкціонованими і переповненими сміттєзвалищами ТПВ, які в будь-який момент можуть викликати екологічну катастрофу. Сміттєспалювальні заводи в Києві і Дніпропетровську продовжать диміти, хоча є надія, що високий тариф на знешкодження знизить об’єм відходів, які будуть спалюватись.

В той же час, збільшується кількість міст, які починають впроваджувати роздільний збір відходів, і хоча якість цих проектів залишається під сумнівом, все ж таки це рух в правильному напрямку. Також, не забуваємо, що навіть в такій країні як Чехія роздільний збір відходів впроваджувався 10 років, протягом яких населення призвичаювалось сортувати відходи.

3.3 Характеристика підприємств-перевізників твердих побутових відходів в Дніпровському раоні


Існуючий сектор санітарної очистки міста налічує більше десятка підприємств-перевізників відходів, які надають послуги по вивезенню відходів практично по всьому місту Києву. Активно працюють по напрямку впровадження роздільного збору підприємства-перевізники - ТОВ "Грінко-Київ", ДП "Фірма Альтфатер-Київ", ТОВ "Селтік", ЗАТ "Спецкомунтехніка", ВАТ "Київспецтранс", ТОВ "Крамар Рісайклінг", КП "АТП" Шевченківської районної у м. Києві ради та ТОВ "Фірма "Володар Роз".

У 2013 році, згідно результатів конкурсу, який оголошувало комунальне підприємство "Київкомунсервіс", ТПВ перевозять чотири перевізника.: ТОВ "Селтік", ЗАТ "Спецкомунтехніка", ВАТ "Київспецтранс", ТОВ "Крамар Рісайклінг". Усі ці підприємства працюють по одному принципу - забезпечення якісного обслуговування. У залежності від обсягів накопичених відходів на ділянці обслуговування визначається маршрут та встановлюється режим роботи сміттєвозів. Основою для визначення маршрутів сміттєвозів є загальний обсяг ТПВ, відстань від місць обслуговування до місць розміщення, кількість і тип сміттєвозів і їхня продуктивність, необхідність обов’язкового дотримання графіків вивозу відходів.[42].

Дніпровський район є одним з найбільших районів міста, з досить великою щільністю забудови, що призводить до значного антропогенного навантаження на навколишнє природне середовище. Найбільший у м. Києві Дніпровський район утворений 23 травня 1969 року і став другим лівобережним Київським районом.

Для покращення екологічного стану Дніпровського району та з метою збереження природних ресурсів, зменшення утворення відходів і раціональним їх використанням, як вторинної сировини, ТОВ "Київміськвторресурси" займається збиранням склотари, поліетилену, макулатури та іншої вторинної сировини. В м.Києві встановлено 79 приймальних пунктів підприємства. В 2011 році всього по м. Києву зібрано та перероблено 34,3 тис. т. відходів. В результаті функціонування 22 приймальних пунктів в районі за 2013 рік утилізовано в Дніпровському районі 3,44 тис. т відходів, як вторинної сировини.

З метою зменшення кількості відходів, що захоронюються на полігонах, поліпшення екологічного стану довкілля, одержання вторинної сировини, в ЖРЕО Дніпровського району, крім ЖРЕО №№ 415, 418, впроваджено систему роздільного збирання твердих побутових відходів. Для роздільного збору відходів в садибах будинків встановлено додатково 437 контейнерів. Вивезення роздільного збору проводиться по фактичному накопиченню, але не рідше одного разу на тиждень. За 2013р. вивезено роздільного збору відходів 19,0 тис. куб. м., що становить 3,8 % від загального обсягу вивезених відходів (таблиця 3.5).

Таблиця 3.5 Інформація щодо вивезення сміття за 11 місяців КП УЗН Дніпровського р-н

Назва полігону

Кількість м3

Сумма, грн.

Завод "Енергія"

2270

47992,70

ТОВ "Грінко-Київ"

765

22950

Київспецтранс

225

3724,32

Всього

3260

77927,02


До недавніх пір Дніпровський район обслуговувало ТОВ "Грінко-Київ", але після надходження чисельних скарг від населення про несвоєчасне вивезення твердих побутових відходів, район обслуговує ЗАТ "Спецкомунтехніка", за результатами конкурсу проведеного КП "Київкомунсервіс". Тому, для вибору підприємства-перевізника в Дніпровському районі проаналізуємо три підприємства-перевізника: ДП "Фірма Альтфатер Київ", ЗАТ "Спецкомунтехніка", ТОВ "Селтік" (через високі показники роботи цього підприємства).

ЗАТ "Спецкомунтехніка" - спеціалізоване підприємство, що має досвід роботи більше 12 років, та загалом відповідає усім вимогам, які висуваються щодо підприємств з надання подібних послуг. Підприємство має 117 працівників відповідної кваліфікації з досвідом роботи та необхідними знаннями [38].

ЗАТ "Спецкомунтехніка" має спеціально оснащенні приміщення для ремонту автотранспорту, контейнерів для сміття. Графік роботи виробничого персоналу складений таким чином, що у вихідні та святкові дні передбачено графік чергування. Автомайстерня на підприємстві обладнана іноземним діагностичним обладнанням, що дозволяє одночасно здійснювати ремонт 4-ох сміттєвозів. Також на території ЗАТ "Спецкомунтехніка" розташований медичний пост - кабінет, з усіма необхідними пристроями та препаратами, а також є пристрій для перевірки алкогольних і наркотичних речовин в організмі водія.

ЗАТ "Спецкомунтехніка" обслуговує приблизно 10% (а саме ±300) державних та приватних організацій м. Києва та надає наступні послуги:

- планово-регулярний вивіз твердих побутових відходів із щомісячною оплатою - згідно фактичного обсягу вивезених відходів;

-        вивіз та утилізація будівельних та великогабаритних відходів - контейнерами від 8 м3 до 12,5 м3 та автомобілем МАЗ - з об’ємом кузова 14 м3;

         вивезення опалого листя;

         надання послуги роздільного збирання відходів на об’єктах замовника - індивідуального для кожного клієнта розробляється методика та здійснюється її реалізація;

         продаж та надання в оренду контейнерів для накопичення відходів (контейнери європейського стандарту різного об’єму);

         висококваліфікований ремонт контейнерів європейського зразка.

На підприємстві налічується приблизно 3000 металевих та пластмасових контейнерів іноземного виробництва (Німеччина та Словаччина) та 230 контейнерів для роздільного збору, які обслуговують 3 співробітника (2 слюсарі та 1 газоелектрозварювальника). Власний автопарк підприємства налічує 15 сміттєвозів марки "Mersedes" і "Man", 2 вантажні платформи на базі ЗІЛ-130 та вантажний самоскид марки МАЗ. Усі автомобілі обладнані системою заднього завантаження євро контейнерів різного об’єму, наявна система GPS-control, що дозволяє відслідковувати рух машин у реальному часі. Також машини обладнані тентами та мають ущільнені кузови для запобігання забруднення шляхів та прилеглої території, та проводиться планова мийка і дезінфекція сміттєвозів і контейнерів, згідно санітарних норм України.

Для забезпечення зв’язку з клієнтами в офісі підприємства встановлено 2 окремих телефонні лінії, будь-який з телефонних номерів може бути використано для факсимільного зв’язку.

ДП "Фірма Альтфатер Київ" - компанія, що займається вивозом та знешкодженням побутових відходів у місті Києві, і має досвід роботи приблизно 7 років [38].

ДП "Фірма Альтфатер Київ", що входить до Групи Веолія ЄС, здійснює вивезення твердих побутових відходів на підставі спеціально розроблених схем та графіків вивозу, з урахуванням потреб, об'єму відходів та побажань клієнта, надає послуги з вивезення будівельних і негабаритних відходів підприємства групи Веолія ЄС використовуючи контейнери європейського стандарту об'ємом - 11 м3, 15 м3, 23 м3, 36 м3 та спеціальну техніку європейського виробництва. Підприємства групи Веолія ЄС в Україну беруть участь в організації та впровадження програми "Роздільний збір", яка спрямована на виділення та накопичення ценносодержащіх складових із твердих побутових відходів. ДП "Фірма Альтфатер Київ" здійснює продаж контейнерів для твердих побутових, небезпечних, медичних та інших відходів різної ємності (можлива доставка). Існує великий вибір вуличних контейнерів різної модифікації. Контейнери можуть бути в металевому або пластиковому виконанні, різної кольорової гами і типом кришки.

Підприємство має 19 нових сміттєвозів на базі шасі MersedesAxor для надання послуг по вивезенню та знешкодженню відходів. Сміттєвози оснащенні сміттєзбиральними кузовами виробництва фірми "ЕРЕ" (Туреччина):

         15 сміттєвозів з об’ємом сміттєзбирального кузова 15 м3;

         4 сміттєвози з об’ємом сміттєзбирального кузова 22 м3.

Усі сміттєвози відповідають сучасним європейським нормам та вимогам, що встановлюються до такої техніки, щодо екологічних чинників, рівня створюваного при роботі шуму тощо.

Така кількість сміттєвозів дозволяє вивозити та знешкоджувати більш ніж 4000 м3 твердих побутових відходів щоденно. Сміттєвози ДП "Фірма Альтфатер Київ" паркуються на території ВАТ "УСМ" -2, щоденно миються, при необхідності ремонтуються та технічно обслуговуються.

ДП "Фірма Альтфатер Київ" дотримується планового графіку вивезення вивезення побутових відходів незалежно від святкових днів, внесення змін в плановий графік вивезення побутових відходів відбувається з згодою сторін, екіпаж сміттєвозів прибирає сміття розкидане під час завантаження машини.

Для збирання твердих побутових відходів ДП "Фірма Альтфатер Київ" встановлює власні контейнери ємністю 1,1 м3 на безоплатній основі.

ДП "Фірма Альтфатер Київ" пропонує населенню розділяти населення, що утворюються в їх побуті та поміщати їх до двох окремих контейнерів: до одного харчові та сильно забруднені відходи, до іншого - все те, що може бути повторно використане (вироби зі скла, паперу, пластику тощо).

Ці відходи збирає окремий сміттєвоз, доставляє їх на сміттєсортувальний комплекс, де вони проходять до сортування за фракціями (окрему відсортовують скло прозоре та кольорове, папір та картон, ПЕТ пляшки тощо), та пакуються в тюки.

Вже 4 роки компанія офіційно надає послуги по вивезенню та знешкодженню будівельних та великогабаритних відходів (ВГВ). Для обслуговування було закуплено 3 автомобілі з системою мультиліфт (гідравлічна рука), а також контейнерний парк в кількості 17 контейнерів по 8-35 м3 з нанесеним логотипом. Ця кількість техніки дозволяє вивозити до 4000 м3 негабаритного сміття в розрізі 1 місяця.

ТОВ "Селтік" - створене 14.10.1993 року, з липня 1999 року підприємство здійснює послуги по вивозу побутових відходів в місті Києві, має 8 років досвіду по вивезення великогабаритних відходів [38].

Для вивозу побутових відходів підприємство використовує автомобілі типу сміттєвоз марок Mersedes-Benz, Daimler-Benz та MAN, МАЗ. Вони оснащені гідрообладнанням для розвантаження контейнерів об’ємом 1,1 м3, пристроями контролю та супроводу перевезення відходів та працюють в автоматизованій геоінформаційній системі контролю.

У своєму складі ТОВ "Селтік" має 29 автомобілів сміттєвозів (24 для вивозу твердих побутових відходів та 5 для вивезення великогабаритних відходів), які щоденно працюють на свої маршрутах.

Ці автомобілі придатні для вивантаження контейнерів роздільно зібраних відходів.

Для збору ТПВ підприємство використовує оцинковані контейнери ємністю 1,1 м3 з кришкою та на колісних опорах, пластикові контейнери типу "сітка", пластикові євро контейнери та спеціальні контейнери для роздільного збору сміття. ТОВ "Селтік" здійснює встановлення сітчастих огорож навколо контейнерних майданчиків.

Чисельність працівників складає 117 чоловік, до їх складу входять водії з тривалим стажем роботи та кваліфіковані вантажники оператори.

Підприємство має офісне та виробниче приміщення, де знаходиться майстерня по поточному обслуговуванню автомобілів-сміттєвозів. Товариство тісно співпрацює з різними організаціями, що надають послуги по технічному обслуговуванню автомобілів.

Більша частина статутного капіталу ТОВ "Селтік" належить ТОВ "Ремондіс Україна", що надає можливість впровадження новітніх технологій у сфері надання послуг з вивезення побутових відходів та використовувати сучасну техніку.

ТОВ "Ремондіс Україна" є дочірним підприємством німецької групи компаній REMONDISAG & Co. KG, однією з найбільших міжнародних компаній в галузі водного господарства та поводження з відходами за принципом замкнутого циклу.

Отже, на сьогодні в Україні стало актуальним впровадження роздільно збору відходів, що дозволяє використовувати велику частину сміття в якості вторинної сировини. Усі підприємства-перевізникі ставлять для себе пріоритетною задачу вдосконалення системи роздільного збору ТПВ, що підвищує їх конкурентоспроможність та попит серед суб’єктів господарювання, а також дозволяє вийти на європейський рівень у сфері поводження з відходами.

Висновки до розділу 3


Програма поводження з побутовими відходами Дніпровського району включає заходи щодо покращення не тільки окремих питань поводження з відходами у окремих районах, чи усунення деяких недоліків, а й удосконалення усієї технології регулювання питань відходоутворення.

Пріоритетним залишається і завдання регулювання діяльності підприємств-перевізників відходів та створення конкурентного середовища між ними, що дозволить покращити показники їх роботи.

Для обслуговування кожного району м. Києва визначається підприємство з оптимальними показниками роботи, характерними для даної інфраструктури. Існує багато методик, що дозволять науковим, експертним чи математичним методом визначити перевізника-лідера.

Застосування методу ієрархій при виборі перевізника побутових відходів полягає у детальному аналізі кожного з них, виборі найважливіших критеріїв оцінки. В кінцевому результаті потрібно надати перевагу одному перевізнику, попередньо визначивши послідовність критеріїв - від найважливішого до менш суттєвого.

Розрахунки відбувались в два етапи: оцінка перевізника за економічними показниками, та за екологічними. В результаті чого отримали: ТОВ "Грінко-Київ" - випереджає два інших перевізники по економічним показникам, поряд з ним іде ТОВ "Селтік", на третьому місці ЗАТ "Спецкомунтехніка". При врахуванні екологічних показників лідером стає ТОВ "Селтік", на друге місце виходить ЗАТ "Спецкомунтехніка", останнє ж займає ТОВ "Грінко-Київ".

Розділ 4. Розробка раціонального маршруту перевезення твердих побутових відходів


4.1 Техніко-економічна характеристика підприємства-перевізника ТПВ


Комунальне підприємство "Київкомунсервіс" створене відповідно до рішення Київської міської ради від 15 липня 2004 року. Метою діяльності підприємства є забезпечення реалізації заходів щодо розвитку системи поводження з відходами у місті Києві, рішень міської ради та її виконавчого органу з питань запобігання або зменшення обсягів утворення відходів, їх збирання, перевезення, оброблення, утилізації та видалення, знешкодження та захоронення, експлуатація санітарних контейнерів, надання послуг в сільському господарстві.

Також до основних видів діяльності підприємства входить: надання послуг щодо своєчасного та повного вивезення побутових відходів від місць їх утворення до визначених місць утилізації; проведення конкурсу з визначення підприємств-перевізників з вивозу побутових відходів по окремим зонам обслуговування; координація та контроль за діяльністю підприємств-перевізників; впровадження роздільного збору побутових відходів.

КП "Київкомунсервіс" - державне підприємство для забезпечення реалізації заходів щодо розвитку системи поводження з відходами у місті Києві. На підставі укладених КП "Київкомунсервіс" договорів з балансоутримувачами та за результатами конкурсу з підприємствами - перевізниками відходів підприємство виконує повноваження виконавця послуг з вивезення побутових відходів в Деснянському, Печерському, Святошинському, Дніпровському та Голосіївському районах. Організаційну структуру управління підприємством зображено на рис.4.1.

Рис. 4.1. Організаційна структура управління КП "Київкомунсервіс"

Діяльність КП "Київкомунсервіс" у 2013 році спрямована для упорядкування системи поводження з відходами у столиці у січні 2012 року Київська міська рада прийняла рішення "Про деякі питання здійснення підприємницької діяльності в тимчасових спорудах", яким зобов'язала власників тимчасових споруд (малих архітектурних форм) укласти договори на вивезення побутових відходів (до прийняття цього рішення близько 90% власників МАФів не сплачували за вивезення утворюваних відходів, які потрапляли до контейнерів, розміщених у житловій забудові. Протягом 2012 року комунальним підприємством "Київкомунсервіс" укладено 4786 договорів на вивезення побутових відходів; у т.ч., з власниками тимчасових споруд - 2277 од. З метою забезпечення більш ефективного впровадження системи роздільного збору побутових відходів у столиці, комунальним підприємством "Київкомунсервіс" постійно проводиться широка інформаційна кампанія. Подальше проведення конкурсів по інших районах було припинено у зв’язку зі вступом в дію нової редакції Закону України "Про здійснення державних закупівель" (червень 2010 р.), що зобов’язало житлово - експлуатуючі організації проводити тендерні процедури на закупівлю послуг з вивезення побутових відходів. Дані про розподіл перевізників між районами м. Києва, які підпорядковуються підприємству, наведені у табл.4.1.

Рис.4.2. Об'єм ресурсоцінних компонентів побутових відходів, що збираються роздільним методом, 2013 рік (м3)

Таблиця 4.1 Підприємства-перевізники районів підпорядкованих підприємству

№ з/п

Район міста

Перевізник відходів

1.

Голосіївський

ПАТ "Київспецранс" ТОВ "Селтік"

2.

Дніпровський

ТОВ "Селтік" ДП "Фірма Альтфатер Київ"

3.

Печерський

ЗАТ "Спецкомунтехніка"

4.

Святошинський.

ПАТ "Київспецтранс" ТОВ "Крамар-Рисайклінг"

5.

Деснянський

ТОВ "Селтік"


Підприємство проводить роз’яснювальну роботу в п’яти районах Києва, де працюють ПАТ "Київспецтранс" та ТОВ "Селтік". На рис.4.3. зображено кількість проведених роз’яснювальних робіт.

Рис.4.3. Кількість роз’яснювальних робіт, 2013 рік

Основними перевізниками в Дніпровському районі на сьогодні являються: ТОВ "Селтік", ТОВ "Грінко-Київ" та ДП "Фірма Альтфатер Київ". Існуюча структура системи санітарного очищення населених пунктів є недосконалою, її фрагментарність, роз'єднаність та різнорідність за відсутності взаємодії з органами державної санітарно-епідеміологічної служби та охорони навколишнього природного середовища не забезпечує достатнього контролю за санітарним станом територій, а також збиранням, вивезенням, знешкодженням та захороненням побутових відходів. Система збору та утилізації ТПВ потребує вдосконалення, а саме збільшити об’єм роздільного поводження з відходами.

Отже, КП "Київкомунсервіс" виступає як суб’єкт господарювання, що забезпечує надання послуг з вивезення відходів. Існують певні правила надання послуг із вивезення побутових відходів затверджені постановою Кабінету Міністрів України від 10.12.2008 року №1070 та визначають механізми надання суб’єктами господарювання, незалежно від форми їх власності.

4.2 Оцінка підприємств-перевізників за еколого-економічними критеріями


Перевізник відіграє дуже важливу роль у процесі кругообігу відходів, тому не доцільно обирати таке підприємство виходячи тільки з економічності чи фінансової заінтересованості. Метою розробки будь-яких заходів поводження з твердими побутовими відходами насамперед є збереження навколишнього середовища та мінімізація негативного впливу на нього.

У попередньому розділі були розглянуті методики вибору перевізників, однією з яких є метод аналізу ієрархій. Розрахунки проводились за даними, які були надані ВКП "Київкомунсервіс", але більшість з критеріїв оцінки кожного підприємства-перевізника мали економічний характер.

Найбільш розповсюдженим завданням в логістичній системі є вибір логістичних посередників. Вибір здійснюється на релейних, кількісних і якісних показниках. До релейних показників відносяться такі, що мають лише два показники: "так" або "ні".

За завданням треба обрати одного перевізника (одне транспортне підприємство) серед трьох. Транспортні засоби на кожному з підприємств мають однакові характеристики. Вибирати перевізника пропонується на основі експертних оцінок за наступними критеріями:

. Релейні - наявність сертифікату.

. Кількісні - надійність (вірогідність доставки "точно вчасно"), тариф, загальний час (можливість відхилення від планової тривалості перевезення, %), фінансова стабільність.

. Якісні - частота сервісу, збереженість, кваліфікація персоналу, готовність до переговорів.

Головна задача - вибір перевізника з урахуванням екологічних та економічних критеріїв. Екологічні показники мають більш статистичний характер. Через відсутність достовірної інформації, критерії обираються у відсотковому співвідношенні або за середньостатистичними даними притаманними для такого процесу. На першому етапі розв’язання задачі необхідно задати параметри, по яким аналізуються підприємства-перевізники. Для повного аналізу потрібно врахувати екологічні показники підприємств, які наведені в таблиці 4.2.

Таблиця 4.2 Екологічні показники роботи підприємств-первізників

Критерій обчислень

ТОВ "Селтік"

ЗАТ "Спецкомунтехніка"

ДП "Фірма Альтфатер Київ"

1.

Наявність сортувальної станції

Наявна

Відсутня

Наявна

2.

Частота виникнення ДТП при перевезенні відходів

Майже ніколи

Дуже рідко

Рідко

3.

Рівень шуму при роботі сміттєвозів, дБА

60-65

65-70

65-75

4.

Забруднення атмосферного повітря при транспортуванні

Помірне

Не значне

Помірне

5.

Забруднення води під час експлуатації транспорту підприємства

Не значне

Помірне

Надмірне


Параметри та розрахунки перевіряються на адекватність за допомогою індексу узгодженості (Іу), який становить 0,116<0,2, що свідчить про правильну побудову завдання та експертного аналізу. Ієрархія, зображена на рис. 2.5, об'єднує два показника: екологічний та економічний, та дає можливість спостерігати, як змінюється відносна вага кожного підприємства враховуючи два фактори.

Фактори:

.        Екологічний: Вага - 0.833

.        Економічний: Вага - 0.167

Матриця парних порівнянь двох факторів оцінки підприємства показує перевагу екологічного над економічним. Це можна пояснити тим, що усі заходи та методики, що розробляються стосовно поводження з побутовими відходами стосуються покращення стану навколишнього середовища.

Проаналізувавши усі екологічні та економічні критерії отримали нормовані показники значимості кожного з них, наведені в таблиці 4.3.

Таблиця 4.3 Вагомі показники факторів оцінки підприємств

Екологічний фактор

Економічний фактор

Критерії

Вага

Критерії

Вага

Сортувальна станція

0,098

Сортувальна станція

0,098

Рівень ДТП

0,226

Досвід

0,006

Шум

0,085

Автопарк

0,026

Атмосферне заб-ня

0,339

Тариф

0,039

Забруднення води

0,103

Персонал

0,010



Контейнерний парк

0,069


Дані результати були отримані в результаті формування матриць парних порівнянь окремо кожного фактора. Відповідно екологічні критерії мають матрицю 5-го порядку, а економічні 6-го порядку (в залежності від кількості оцінюючих критеріїв).

На другому етапі, коли сформовані усі зв’язки та визначені пріоритети, аналізуються безпосередньо показники діяльності підприємств, та складаються матриці порівнянь кожного критерію окремо по усім перевізникам. Результат розрахунків зображений на рис. 4.4.

Рис. 4.4. Результати розрахунків вибору перевізника

Отже, проаналізувавши економічні показники роботи підприємств та їх вплив на навколишнє середовище, визначили що серед трьох перевізників провідне місце належить ТОВ "Селтік", що має вагомий коефіцієнт - 0,468. Це можна пояснити тим, що підприємство має оптимальні екологічні показники, та чинить найменший вплив на навколишнє середовище.

Для оцінки впливу окремих факторів конкурентного середовища доцільно використовувати 3-х бальну шкалу. Так, перевага конкурента ТОВ "Селтік" над конкурентом ТОВ "Грінко-Київ" оцінюється в 50 %, а перевага ТОВ "Селтік" над конкурентом ЗАТ "Спецкомунтехніка" становить 20%.

Таблиця 4.4 Оцінка відносної цінності перевізників КП "Київкомунсервіс"


Якщо фірма пропонує ринку товар із кращими технічними чи економічними параметрами або гіршими, ніж у конкурента, то вона встановлює ціну за рівнем конкурентоспроможності.

Оцінка переваги конкурента перевізника ТОВ "Селтік":

Над конкурентом ТОВ "Грінко-Київ" = 240: 160 = 1,5 ( перевага 50%).

Над конкурентом ЗАТ "Спецкомунтехніка"= 240: 200 = 1,2 (перевага 20%).

Таблиця 4.5 Матриця конкурентного профілю перевізників КП "Київкомунсервіс"


Аналізуючи табл.4.5. стає зрозумілим, що перевагами "Селтік" та ключовими факторами успіху є частка підприємства на ринку та якість наданих послуг.

Переваги підприємства "Селтік" як перевізника відходів:

-       Можливість встановлення для клієнтів необхідної кількості нових контейнерів євро стандарту об'ємом 1,1 м3 (металеві і пластикові);

-       Зручний для клієнтів графік вивозу ТПВ (6 днів на тиждень);

-       Закріплення за клієнтом менеджера, який відповідає за належне виконання контракту;

-       Обслуговування новими сміттєвозами 2010-2012 років випуску, на базі шасі Mersedes-benz Axor, які відповідають міжнародному стандарту "Євро-2", з плановим терміном експлуатації 10 років. В умовах морозних зим, автомобілі "Селтік" продовжують безвідмовну роботу;

-       Можливість впровадження системи контролю, зручної для клієнта, наприклад, збір підписів в журналі клієнта;

-       Наявність на кожному автомобілі GPS датчика, який дозволяє прослідити рух і зупинки автомобіля будь який період;

-       Можливість введення роздільного збору відходів, що дозволяє клієнтові значно економити засоби і робити власний внесок в поліпшення стану природного довкілля.

Для підвищення вірогідності результатів оцінки конкурентоспроможності необхідно комплексний підхід з урахуванням усіх критеріїв, що визначають конкурентоспроможність товарів. Метод визначення комплексного показника конкурентоспроможності, розрахунок здійснюється кількома послідовними операціями.

Таблиця 4.6 Конкурентна карта ринку

Класифікація за темпом зростання ринкової частки

Класифікація за розміром ринкової частки


Лідер

Сильна конкурентна позиція

Слабка конкурентна позиція

Аутсайдер

Швидке покращення конкурентної позиції


ЗАТ "Спецкомунтехніка"

ТОВ "Крамар-Рисайклінг"


Покращення конкурентної позиції

ПАТ "Київспецтранс" ТОВ "Київміськвторресурси"

ТОВ "Селтік" ДП Фірма "Альтфатер- Київ"


ТОВ Компанія "Ніколсан"

Погіршення конкурентної позиції



ТОВ "Грінко-Київ"



Отже, сьогодні "Селтік" є яскраво вираженим прикладом соціально орієнтованої компанії перевізником ТПВ в Дніпровському районі. Серед реалізованих проектів, направлених на поліпшення життя соціуму, найбільш важлива робота компанії над зміною суспільної свідомості в питаннях управління відходами, зокрема, в рамках впровадження системи роздільного збору твердих побутових відходів. Прихильність інноваціям і оптимальному використанню ресурсів (природних, тимчасових, трудових) - одна з найхарактерніших меж "Селтік-груп". Компанія послідовно керується цими принципами на всіх етапах своєї діяльності - від управління внутрішніми бізнес-процесами до представлення свого кінцевого продукту - якісного обслуговування клієнта.

4.3 Вимоги до розробки маршруту перевезення відходів


Аналіз літературних джерел [1] дає підстави стверджувати, що зростання міст супроводжується збільшенням кількості твердих побутових відходів (ТПВ), що, в свою чергу, негативно позначається на екологічному стані приміських і міських територій і призводить до деградації екосистем. Сучасна практика поводження з відходами орієнтована на їх переробку або розміщення в навколишньому середовищі. Скоротити потік відходів на об'єктах їх захоронення і спалювання можна лише одним способом - масштабним і своєчасним видаленням із ТПВ ресурсів, придатних для вторинного використання.

Мережа пунктів збирання ТПВ у м. Києві є складною системою, що характеризується: великою розмірністю; відмінністю кількості контейнерів у кожному пункті; відмінністю місткості контейнерів, які використовуються для збирання ТПВ; непередбачу- ваністю накопиченого об'єму ТПВ; різною частотою вивезення ТПВ із пунктів збору відходів; складністю в плануванні, організації й оперативному управлінні процесами вивезення ТПВ. Процес обслуговування мережі пунктів збирання ТПВ на підприємстві організовано таким чином: усі пункти діляться на маршрути, кожен із яких, у свою чергу, ділиться на рейси. Надалі зібрані дані всіх маршрутів були оброблені статистично. Аналіз планових характеристик маршрутів показує нез'ясовану відмінність планових завдань для однотипних сміттєвозів (рис. 1). На деяких маршрутах є істотна відмінність у планових завданнях по кількості контейнерів, що вивозяться в різні дні тижня. Це призводить до нерівномірності за днями тижня планової кількості контейнерів для всієї мережі пунктів збирання ТПВ.

Рис. 4.5. Основні проблеми які постають на шляху впровадження роздільного збору та які потребують нагального вирішення

У середньому за планом щодня обслуговуються лише 79 % від загального числа контейнерів. Це пояснюється тим, що деякі пункти обслуговуються з періодичністю більш, ніж один раз на день, наприклад, раз у два дні, раз на тиждень або навіть раз на місяць. Є пункти збирання ТПВ, що обслуговуються сезонно, наприклад, тільки влітку. Все це ускладнює процес планування та організації вивезення ТПВ. Аналогічний аналіз кожного маршруту показує істотну різницю між загальною і середньою кількістю контейнерів. Недоліки в плануванні видно при зіставленні планових показників по кількості контейнерів на маршруті, а також за об'ємом ТПВ. Це можна пояснити безвідповідальністю обслуговуючого персоналу за маршрути.

Після формування таблиці шляхів запускається алгоритм пошуку маршрутів (рис. 4.6). Алгоритм починає свою роботу зі знаходження най- віддаленіших від місця збирання сміття контейнерних майданчиків [2]. На наступному кроці відбувається перевірка: чи поміститься об'єм ТПВ із контейнерів у бункер сміттєвоза.

Рис. 4.6. Блок-схема алгоритму пошуку маршрутів

Одним із можливих напрямків ефективного управління поводженням з відходами є процес їх утилізації, що дає змогу знизити негативний вплив відходів на навколишнє середовище внаслідок зменшення їх кількості, залучити в господарський обіг додаткові енергетичні чи матеріальні ресурси, мінімізувати витрати на зберігання відходів. Але для того, щоб процес утилізації ефективно функціонував у загальній системі управління відходами, необхідно мати чітку уяву про систему утворення відходів та можливі шляхи поводження з ними. Для вирішення екологічних проблем підприємствам транспортної галузі необхідно впровадження реверсивної екологічної логістики, тобто логістичних підходів до оптимізації руху відходів. Отже, вирішення проблеми управління відходами за допомогою екологічної логістики в системі рециклінгу призведе до зменшення забруднення навколишнього середовища та скорочення обсягів використовуваних природних ресурсів.

Існуючі системи поводження з відходами автотранспортних підприємств включають організацію збирання і переробки відходів, враховуючи здачу відходів на вторинну сировину, передачу токсичних відходів на переробку чи захоронення, вивіз відходів на полігони і, найчастіше, не передбачають використання відходів як вторинних матеріальних ресурсів. Аналіз системи рециклінгу відходів із застосуванням логістичного підходу визначає її як логістичну систему - динамічну, відкриту, стохастичну, адаптивну складну систему із зворотнім зв’язком, яка виконує ті чи інші логістичні функції.

Основні функції логістики відходів на транспортному підприємстві включають:

-       організація збору відходів окремих виробничих відділень;

-       організація перевезення відходів;

-       організація зберігання відходів, а при необхідності - їх обробка;

-       організація процесу рециклінгу відходів;

-       управління процесом рециклінгу відходів;

-       організація знищення, знешкодження і захоронення відходів, які не підлягають утилізації;

-       контроль впливу на навколишнє середовище і здоров’я людини відходів і пов’язані з ними процеси управління.

Логістична система, як правило, складається із декількох підсистем і має розвинуті зв’язки з зовнішнім середовищем. Мета логістичної системи рециклінгу відходів транспортного підприємства - утилізація відходів з максимізацію ресурсозбереження при мінімізації забруднення навколишнього середовища при обмеженнях, що визначаються нормами природоохоронного законодавства України та міжнародних договорів.

Приклади логістичних підсистем в системі рециклінгу відходів транспортного підприємства наведено в табл. 4.7.

Таблиця 4.7 Логістичні підсистеми системи рециклінгу відходів транспортного підприємства

 

Назва підсистеми

Основна задача функціонування підсистеми

Приклади технологічних процесів, що входять до системи

Внутрішні виробничі підсистеми рециклінгу відходів

1

Підсистема утворення відходів у виробничих відділеннях

Мінімізація відходів на місці їх утворення

Утворення відходів свинцю внаслідок заміни акумуляторних батарей в акумуляторному відділенні.

2

Підсистема складування відходів на території підприємства

Оптимізація кількості відходів з точки зору складування та подальшого транспортування

Складування металевого брухту, що утворився в результаті ремонту двигунів у моторному відділенні. Складування залишків чорних та кольорових металів, що утворилися в результаті ремонту кузовів автомобіля в кузовному відділенні

3

Підсистема транспортування відходів

Мінімізація транспортних витрат

Транспортування відпрацьованих шин внаслідок заміни шин автомобілів в шино-монтажному відділенні.

4

Підсистема пакування відходів

Мінімізація витрат на пакування відходів

Зберігання в спеціальній тарі залишків сірчаної кислоти при заміні акумуляторних батарей в акумуляторному відділенні

5

Підсистема управління процедурами

Забезпечення контролю ефективності системи

Розробка та затвердження документації, розробка процедур поточного обліку і звітності поводження з відходами

Зовнішні підсистеми рециклінгу відходів

6

Підсистема транспортування

Мінімізація транспортних витрат

Транспортування відходів на звалища

7

Підсистема узгодження цілей

Мінімізація негативного впливу на навколишнє середовище

Передача відходів на безпечне зберігання в навколишньому середовищі.

8

Підсистема обслуговування споживачів

Перетворення відходів в товарний продукт

Продаж відпрацьованих шин, акумуляторних батарей як сировини для інших підприємств


Важливим елементом побудови логістичної системи поводження з відходами є узгодженість та взаємодія всіх мікрологістичних підсистем. Наприклад, зниження витрат, пов’язаних із сортуванням відходів, можна досягти внаслідок попередньої сегрегації відходів вже на робочому місці, де вони виникають (металевий брухт, що виникає в результаті ремонту двигунів, сортувати безпосередньо у моторному відділенні). Однак у цьому випадку зростають витрати внутрішнього транспорту - кожна фракція тоді транспортується окремо. Проте, оптимізуючи цикли прийому відходів з робочих місць, можна ці витрати знизити.

Отже, ефективне поводження з відходами підприємства може бути забезпечене з використанням логістичних підходів. Визначені основні логістичні підсистеми в системі рециклінгу відходів автотранспортного підприємства. Запропоновані етапи формування системи рециклінгу відходів підприємства на основі логістичного підходу.

4.4 Розробка раціонального маршруту перевезення твердих побутових відходів


"Селтік" - транспортна компанія з вивозу та знешкодження твердих побутових відходів у місті Києві. Компанія "Селтік" розпочала діяльність у квітні 2005 року і на даний час забезпечує вивіз відходів у 5-ти адміністративних районах Києва (Шевченківський, Печерський, Дніпровський, Подольський та Дарницький), Київській області (Конча-Заспа, Пирогово, Острів Водників, с. Козин та ін.).

ТОВ "Селтік" - важлива структурна ланка системи замкнутого циклу управління відходами в Україні, який упроваджується "Селтік Груп". Технічний парк компанії складається з 19 спеціалізованих сміттєвозів "Mercedes Axor", а також понад 4 000 контейнерів європейського стандарту.

Всі процеси підприємства обслуговують 150 дослідних професіоналів. Філософія бізнесу компанії "Селтік" - створення індивідуальних логістичних рішень під конкретні потреби клієнтів.

Переваги підприємства "Селтік" як перевізника відходів:

-       Можливість встановлення для клієнтів необхідної кількості нових контейнерів євро стандарту об'ємом 1,1 м3 (металеві і пластикові);

-       Зручний для клієнтів графік вивозу ТПВ (6 днів на тиждень);

-       Закріплення за клієнтом менеджера, який відповідає за належне виконання контракту;

-       Обслуговування новими сміттєвозами 2005-2007 років випуску, на базі шасі Mersedes-benz Axor, які відповідають міжнародному стандарту "Євро-2", з плановим терміном експлуатації 10 років. В умовах морозних зим, автомобілі "Селтік" продовжують безвідмовну роботу;

-       Можливість впровадження системи контролю, зручної для клієнта, наприклад, збір підписів в журналі клієнта;

-       Наявність на кожному автомобілі GPS датчика, який дозволяє прослідити рух і зупинки автомобіля будь який період;

-       Можливість введення роздільного збору відходів, що дозволяє клієнтові значно економити засоби і робити власний внесок в поліпшення стану природного довкілля.

"Селтік Груп" - інноваційна компанія, яка з 2003 року надає на ринку України комплексні послуги європейського рівня із збору, транспортування і утилізації твердих побутових відходів. На сьогоднішній день "Селтік Груп" є національним лідером впровадження інноваційних технологій у сфері управління твердими побутовими відходами. Компанія є першою в Україні компанією, яка займається втіленням комплексної програми по формуванню нової культури поводження з відходами, об'єднуючої їх транспортування, сортування з подальшим постачанням корисних компонентів на ринок вторсировини і безпечну утилізацію залишків, що не підлягають переробці.

"Селтік" є яскраво вираженим прикладом соціально орієнтованої компанії. Серед реалізованих проектів, направлених на поліпшення життя соціуму, найбільш важлива робота компанії над зміною суспільної свідомості в питаннях управління відходами, зокрема, в рамках впровадження системи роздільного збору твердих побутових відходів. Прихильність інноваціям і оптимальному використанню ресурсів (природних, тимчасових, трудових) - одна з найхарактерніших меж "Селтік-груп". Компанія послідовно керується цими принципами на всіх етапах своєї діяльності - від управління внутрішніми бізнес-процесами до представлення свого кінцевого продукту - якісного обслуговування клієнта.

"Селтік" пропонує цілий ряд послуг, що спрямовані на вирішення проблеми відходів комерційних, державних, житлово-комунальних установ та приватних господарств,а саме:

)        Комплексні рішення по управлінню відходами в районах міста Києва (в тому числі впровадження роздільного збору твердих побутових відходів).

)        Регулярний вивіз твердих відходів (в тому числі на підставі річної угоди) з щомісячною оплатою згідно з фактичним об’ємом виконаних робіт. При цьому тариф для комерційних підприємств встановлюється індивідуально, на основі аналізу господарської діяльності клієнта по ряду параметрів.

)        Одноразовий вивіз будь-яких видів твердих відходів.

)        Вивіз великогабаритних відходів.

)        Вивіз листя.

)        Надання в оренду та продаж сучасних контейнерів європейського зразка, пристосованих для роботи зі стандартними сміттєвозами.

Фахівці "Селтік" пропонують своїм клієнтам оптимальні рішення, логістично обґрунтовані та зроблені на основі індивідуальних потреб клієнтів. Нераціонально розраховані маршрути переміщення матеріальних ресурсів по місту, що зумовлює постійні зупинки та рушання з місця, під час яких двигун внутрішнього згорання працює у максимально неекономічному режимі. Тому проведемо розробку раціонального маршруту перевезення твердих побутових відходів було проведено шляхзом аналізу між двома маршрутами

Перший маршрут від Дніпровського району до Полігону №5 та другий маршрут від Дніпровського району до заводу "Енергія". В таблицях 4.8- 4.10. представлено кілометраж маршруту перевезення ТПВ від Дніпровського району до Полігону №5

Таблиця 4.7 Маршрут по вулицям від т. Б до т. А в Дніпровському районі

Вулиця

Відстань, км

вул. Березняківська

1,9

просп. Возєднання

1,6


1,4

Сума

4,9

Вулиця

Відстань, км

вул. Тичини

0,40


0,36

просп. Возєднання

0,84

Сума

1,6

Вулиця

Відстань, км

вул. Ю.Шумського

0,31

вул. Тичини

0,86


0,36

просп. Возєднання

0,84

Сума

2,37


Таблиця 4.8 Маршрут по вулицям від Дніпровського району (т. А) до Полігону №5 (т. Б)

Вулиця

Відстань, км

просп. Возєднання

0,28


0,034


1,7


0,027

Надніпрянське шосе

0,048


0,52

вул. Столичне шосе

7,3

Продовження таблиці 4.8


0,44

Дніпропетровське шосе

10

вул. Боровкова

0,96

вул. Лугова

1,1

вул. Гагаріна

0,36

с. Підгірці

0,072

Σ

23

Всього по маршруту

25,957


Рис. 4.8. Маршрут до Полігону №5

Маршрут перевезення ТПВ від Дніпровського району до сміттєспалювального заводу "Енергія"

Рис. 4.8. Маршрут до заводу "Енергія"

Таблиця 4.11 Маршрут по вулицям від Дніпровського району (т. А) до заводу "Енергія" (т. Б)

Вулиця

Відстань, км

просп. Возєднання

0,28


0,034


1,7


0,027

Надніпрянське шосе

0,048


0,52


0,21

просп. Возєднання

0,11


1,9


0,24

Ленінградська пл.

0,28

просп. Миру

0,21


0,15

Південний міст

2,8

просп. Миколи Бажана

1


0,35

вул. Єлизавети Чавдар

0,81

вул. Софії Русової

0,61

Коллекторна вул.

1,1

Σ

19

Всього по маршруту

21,957


4.5 Еколого-економічний аналіз розробленого маршруту


Для маршруту Дніпровський район Полігон №5

m = 239300 осіб

 шт.0 = 18 кмн = 0,12 * 25 = 3 год.р = 20 хв. = 0,02 год.

 рейси

 м3 шт.

Розраховуємо максимальне утворення ТПВ, кількість рейсів і відстань яку проїжджають дані автомобілі за тиждень, місяць і рік.

-          Утворення ТПВ:

 м3/добу

 м3/добу

 м3/добу

 м3/добу

-          Кількість рейсів:

nд = 3 * 41 = 123 рейсит = 6 * 123 = 738 рейсим = 21 * 123 = 2583 рейсир = 317 * 123 = 38991 рейси

-          Відстань:

Lд = 25,957 * 123 = 3192,711 кмт = 25,957 * 738 = 19156,266 кмм = 25,957 * 2583 = 67046,931 кмр = 25,957 * 38991 = 1012089,4 км

Визначення економічної доцільності даного маршруту визначається за наступними параметрами:

Витрата палива розраховується за формулою:

 (4.1)

де: Lk - відстань, пройдена автомобілями, км;i - витрата палива на 100 км пробігу автомобіля (29л/100км).

Економічний збиток розраховується за формулою:

 (4.2)

де: G - витрата палива;- ціна за 1 л відповідного палива, грн. (10,3 грн./л).

-          Витрата палива:

 л

 л

 л

 л

-          Економічний збиток:

 грн.

 грн.

 грн.

 грн.

Для маршруту Дніпровський район Завод "Енергія"

Полігон №5

Розраховуємо максимальне утворення ТПВ, кількість рейсів, відстань яку проїжджають дані автомобілі, витрату палива і економічні збитки, якщо 20% ТПВ відвозиться на завод "Енергія" і 80% на Полігон №5 (за пропорцією).

Таблиця 4.12 Кількість утвореного ТПВ, що відправляється на "Енергію" та Полігон №5

Часовий проміжок

20% від загальної кількості, м3/добу

80% від загальної кількості, м3/добу

462,9

1851,59

2777,4

11109,54

9720,9

38883,39

146739,3

586954,03


Розраховуємо кількість сміттєвозів, яка буде перевозити 20% ТПВ і яка - 80% відповідно (за пропорцією).

Таблиця 4.13 Кількість рейсів, що здійснюється на "Енергію" та Полігон №5

Часовий проміжок

20% від загальної кількості рейсів

80% від загальної кількості рейсів

nд

24

99

nт

144

594

nм

504

2079

nр

7608

31383


Таблиця 4.14 Відстань яку проїжджають дані автомобілі до заводу "Енергія" та Полігону №5

Часовий проміжок

20% від загальної відстані, км

80% від загальної відстані, км

Lд

526,968

2173,743

Lт

3161,808

13042,458

Lм

11066,328

45648,603

Lр

167048,856

689076,531


Таблиця 4.15 Витрата палива для автомобілів які відправляються на завод "Енергія" та Полігону №5

Часовий проміжок

20% від загальної витрата палива, л

80% від загальної витрата палива, л

152,82

630,39

916,92

3782,31

3209,24

13238,10

48444,17

199832,19


Таблиця 4.16 Економічні збитки для автомобілів які відправляються на завод "Енергія" та Полігону №5

Часовий проміжок

20% від загальної кількості економічних збитків, грн.

80% від загальної кількості економічних збитків, грн.

Ед

1574,05

6492,97

Ет

9444,32

38957,82

Ем

33055,12

136352,38

Ер

498974,93

2058271,60


Сумарні економічні збитки по маршруту:

Ед = 1574,05 + 6492,97 = 8067,02 грн.

Ет = 9444,32 + 38957,82 = 48402,14 грн.

Ем = 33055,12 + 136352,38 = 169407,5 грн.

Ер = 498974,93 + 2058271,60 = 2557247,53 грн.

Рис. 4.9. Діаграма порівняння двох маршрутів за витратою палива

Рис. 4.10. Діаграма порівняння двох маршрутів за економічними збитками

Оскільки даний автомобільний парк відноситься до дизелів за масою більше 7,5 т і екологічним класом "Євро-2", то розраховуємо викиди таких шкідливих речовин як: СО, СmHn, NOx, SO2 та ТЧ.

 кг

кг

кг

 кг

кг

 кг

 кг

 кг

 кг

 кг

 кг

 кг

 кг

 кг

 г

 кг

 кг

 кг

 кг

 кг

Розраховуємо викиди шкідливих речовин для другого маршруту:

Таблиця 4.17 Викиди шкідливих речовин від автомобілів, що відправляються на завод "Енергія"

Часовий проміжок

, г

, г

, г

, г

, г

доба

1,26

1,37

2,53

0,49

0,17

тиждень

7,56

8,22

15,18

2,94

1,02

місяць

26,46

28,77

53,13

10,29

3,57

рік

399,42

434,29

802,01

155,33

53,89


Таблиця 4.18. Викиди шкідливих речовин від автомобілів, що відправляються на Полігон №5

Часовий проміжок

, г

, г

, г

, г

, г

доба

6,17

6,68

12,33

2,37

0,82

тиждень

37,02

40,08

73,98

14,22

4,92

місяць

129,57

140,28

258,93

49,77

17,22

рік

1955,89

2117,56

3908,61

751,29

259,94


Таблиця 4.19. Загальна кількість викидів шкідливих речовин від автомобілів по другому маршруту

Часовий проміжок, г, г, г, г, г






доба

7,43

8,05

14,86

2,86

0,99

тиждень

44,58

48,3

89,16

17,16

5,94

місяць

156,03

169,05

312,06

60,06

20,79

рік

2355,31

2551,85

4710,62

906,62

313,83


Отже, можна зробити висновок, що другий маршрут є більш екологічно доцільним, тому що викиди по першому маршруту перевищують викиди по другому. Наглядно це можна побачити на рис. 4.11-4.15.

Рис. 4.11. Діаграма порівняння двох маршрутів за викидами СО

Рис. 4.12. Діаграма порівняння двох маршрутів за викидами CmHn

Рис. 4.13. Діаграма порівняння двох маршрутів за викидами NOx

Рис. 4.14. Діаграма порівняння двох маршрутів за викидами SO2

Рис. 4.15. Діаграма порівняння двох маршрутів за викидами ТЧ

Розроблена теорія і методика формування маршрутів перевезень ТПВ, що дає змогу на основі допустимого плану, ітераційними методами формувати раціональні маршрути пе ревезень. Для реалізації методики створено програмне забезпечення, яке прискорює обробку значних об'ємів даних на етапах введення початкових даних і при отриманні результату у вигляді маршрутного графіку.

На базі балансу матеріальних потоків запропонована методика планування та управління процесами перевезень ТПВ на території Дніпровського району, що дає можливість знизити пробіг сміттєвозів, їх кількість, час вантаження, чисельність працюючих - усе це забезпечує зменшення річних витрат підприємств-перевізників.

Висновки до розділу 4


Розробка раціонального маршруту перевезення твердих побутових відходів був проведено шляхзом аналізу між двома маршрутами

Перший маршрут від Дніпровського району до Полігону №5 та другий маршрут від Дніпровського району до заводу "Енергія"

Економічний аналіз розроблених маршрутів показав, що з економічної точки зору роздільний маршрут більш вигідний, тому що згідно першого маршруту економічні збитки за рік становлять 3,23 мільйони грн., а по другому 2,56 мільйони грн. Це можна наглядно побачити на рис.

Під час порівння маршрутів було розраховано максимальне утворення ТПВ, кількість рейсів, відстань яку проїжджають дані автомобілі, витрату палива і економічні збитки, якщо 20% ТПВ відвозиться на завод "Енергія" і 80% на Полігон №5 (за пропорцією).

На базі балансу матеріальних потоків запропонована методика планування та управління процесами перевезень ТПВ на території Дніпровського району, що дає можливість знизити пробіг сміттєвозів, їх кількість, час вантаження, чисельність працюючих - усе це забезпечує зменшення річних витрат підприємств-перевізників.

Отже, можна зробити висновок, що другий маршрут є більш екологічно доцільним, тому що викиди по першому маршруту перевищують викиди по другому

Розділ 5. Охорона праці та безпека в надзвичайних ситуаціях


.1 Характеристика системи управління охороною праці КП "Київкомунсервіс"

Охорона праці - це система законодавчих актів, соціально-економічних, організаційних, технічних, санітарно-гігієнічних та лікувально-профілактичних заходів і засобів, що забезпечують безпеку збереження здоров’я та працездатності людини у процесі праці. Головна мета управління охороною праці є створення здорових, безпечних і високопродуктивних умов праці, покращення виробничого побуту, запобігання травматизму і профзахворюванням.

Законодавча база з охорони праці України налічує ряд законів, основними з яких є Закон України "Про охорону праці" та Кодекс законів про працю. У Законі "Про охорону праці" реалізована концепція управління охороною праці в державі, яка полягає в пріоритеті життя і здоров'я працівників і запровадженні плати за ризик (пільги працівникам за шкідливі й важкі умови праці, диференційовані страхові тарифи, штрафні санкції) - як важелі здійснення державної політики в цій галузі.

Закон з охорони праці регламентує багато питань організації й управління цією діяльністю на підприємстві, визначає державне управління охороною праці, державний нагляд і громадський контроль за охороною праці, відповідальність працівників за порушення законодавства з охорони праці.

Необхідно зазначити, що на КП "Київкомунсервіс" розроблено графіки комплексних та цільових перевірок, графіки перевірки знань та графіки перевірки стану умов праці у підрозділах.

Проаналізуємо виконання положень нормативно-правових актів на підприємстві (табл. 5.1)

Таблиця 5.1 Відповідність нормативним положенням охорони праці і техніки безпеки КП "Київкомунсервіс"

 №

Назва діючого на підприємстві нормативного документу

Розділ, пункт, інформація, на які йдеться посилання

Відповідність нормативним положенням

1.

Закон України "Про охорону праці"

Всі розділи

Відповідає, виконується

2.

Типове положення про службу охорони праці

Всі розділи

Відповідає, виконується

3.

Типове положення про навчання з питань охорони праці та інструктажі

Всі розділи

Відповідає, виконується

5.

Положення про медичний огляд працівників окремих категорій

П.4, пп.5.9

Відповідає, виконується

5.

Програма (текст) вступного інструктажу з охорони праці та тексти інструктажу на робочих місцях

П.7

Відповідає, виконується

6.

Положення про систему Управління охороною праці

П.9

Відповідає, виконується

7.

Склад постійно діючої комісії з перевірки знань з питань охорони праці

Всі розділи

Відповідає, виконується

8.

Перелік робіт з підвищеною небезпекою

Всі розділи

Відповідає, виконується

9.

Положення про порядок виконання робіт з підвищеною небезпекою

Всі розділи

Відповідає, виконується

10.

План локалізації та ліквідації аварійних ситуацій і аварій

Всі розділи

Відповідає, виконується


Таким чином, на підприємстві є основні види документації, які упорядковано відповідним чином. На КП "Київкомунсервіс" виконуються майже всі заявлені нормативно-правові акти, що свідчить про чітку та добросовісну роботу служби охорони праці.

5.2 Аналіз особливостей охорони праці на робочому місці інженера-еколога

На підприємстві КП "Київкомунсервіс" з кількість працюючих 12 осіб функції служби охорони праці можуть виконувати в порядку сумісництва особи, які мають відповідну підготовку.

Служба охорони праці підпорядковується безпосередньо роботодавцю. Керівники та спеціалісти служби охорони праці за своєю посадою і заробітною платою прирівнюються до керівників і спеціалістів основних виробничо-технічних служб. Спеціалісти служби охорони праці у разі виявлення порушень охорони праці мають право:

-     видавати керівникам структурних підрозділів підприємства обов’язкові для виконання приписи щодо усунення наявних недоліків, одержувати від них необхідні відомості, документацію і пояснення з питань охорони праці;

-        вимагати відсторонення від роботи осіб, які не пройшли передбачених законодавством медичного огляду, навчання, інструктажу, перевірки знань і не мають допуску до відповідних робіт або не виконують вимог нормативно-правових актів з охорони праці;

         зупиняти роботу у разі порушень, які створюють загрозу життю або здоров’ю працюючих;

         надсилати роботодавцю подання про притягнення до відповідальності працівників, які порушують вимоги щодо охорони праці.

Припис спеціаліста з охорони праці може скасувати лише роботодавець. Ліквідація служби охорони праці допускається тільки у разі ліквідації підприємства чи припинення використання найманої праці фізичною особою.

5.3 Рекомендації щодо покращення умов праці та розрахунок їх економічної ефективності

Управління ризиками виникнення небезпеки для життя та здоров’я працівника - це ітеративний процес з чітко визначеними етапами: встановлення небезпек; аналіз небезпек, їх ймовірність і тяжкість наслідків; оцінка - кількісне значення виявлених ризиків; ранжування і визначення ступеня важливості ризиків; вплив на ризик для його усунення (недопущення) або зменшення.

Таблиця 5.2 Карта умов праці робочого місця інженера-еколога КП "Київкомунсервіс"

Чинники виробничого середовища і процесу праці

Значення чинника

Тривалість дії чинника за зміну, год

Оцінка факторів умов праці, бали


Норма

Факт



Температура повітря на робочих місцях в теплий період року Т,оС

25

27

8

2

Відносна вологість повітря , %

40

40

8

1

Швидкість руху повітря, м/с


0,65

8

3

Рівень шуму L, дБ А

50

65

8

4

Освітленість приміщення Е,лк

300

200

4

1,5

Категорія (точність) зорових робіт, Зор.

мала

висока

6

3

50

70

6

2,5

Кількість важливих об’єктів спостереження,Об, од.

5

5

6

1,5

Інтегральна бальна оцінка важкості праці 43,45

Категорія важкості праці - III

Коефіцієнт умов праці Ку = 0,686


Ступінь стомлення 43,5

Працездатність робітників 56,5

Обладнання, що використовується на

Коефцієнт безпеки Кб

Порушення правил безпеки

робоче місце №1

66,7 %

відсутність захисного екрана від випромінювання

робоче місце № 2

76,7 %

невідповідний рівень освітлення робочої поверхні

робоче місце № 3

86,7 %

незручне розташування робочого місця в приміщенні


Проводимо первинний аналіз шкідливих та небезпечних виробничих факторів, які негативно впливають на життя та здоров’я працівників. Шкідливі та небезпечні виробничі фактори оцінюються за трибальною шкалою від 1 до 3. Результати заносяться в "Реєстр шкідливих та небезпечних виробничих факторів" (табл. 5.6).

Оцінка значущості визначеного фактора визначається за формулою:

Оцінка значущості = (Р + З + С + М + Ф + Т) . У (5.1)

де Р - ризики, З - закони, нормативи, С - суспільна думка, М - масштаб, Ф - фінансові витрати, Т - нова технологія, У - здатність управляти.

Таким чином, більше значення наберуть ті небезпечні або шкідливі виробничі фактори, які можуть заподіяти більшу шкоду життю та здоров’ю працівника і на які підприємство може впливати.

Оцінка ризиків небезпеки умов праці на підприємстві для життя та здоров’я працівників виконується тільки тих небезпек, що пов'язані з порушенням умов безпечної експлуатації об'єкта і мають найбільшу підсумкову оцінку - підвищення рівня шуму (30 балів) спричинено постійною роботою конвеєру збирання яєць та роботи бойного цеху, недостатня освітленість на робочому місці (22 балів) та підвищене значення напруги в електричному ланцюзі (22 балів). Категорія ризику робочого місця визначається за найвищим його значенням по обстежених факторах.

За результатами ранжирування шкідливих та небезпечних виробничих факторів (табл. 5.3) визначаємо можливі травми, аварії, професійні захворювання та нещасні випадки, що можуть виникнути внаслідок дії цих небезпечних та шкідливих факторів. Визначити сценарії розвитку можливих наслідків для здоров’я працівників, результати занести в таблицю 5.5.

Оцінка ризику здійснюється за формулою 5.6:

R = S *. Е *. Р, (5.2)

де R - ризик; S - очікувана шкода; Е - час дії, експозиція небезпеки; В - захист від небезпеки; Р - ймовірність дії небезпеки.

Таблиця 5.3 Реєстр шкідливих та небезпечних виробничих факторів на КП "Київкомунсервіс"


Таблиця 5.4 Сценарії розвитку можливих наслідків для здоров’я інженера-еколога на КП "Київкомунсервіс"

Небезпечний або шкідливий фактор

Сценарії розвитку можливих небезпечних наслідків для здоров’я працівників

1

Підвищений рівень шуму

Зниження рівня зосередженості. Підвищення дратливості. Зниження рівня обміну інформацією між працюючими



Професійне захворювання - неврит слухового нерву



Часткова або повна втрата слуху

2

Недостатня освітленість на робочому місці

Погіршення гостроти зору. Зоровий дискомфорт



Зниження рівня зору, стійкості ясного бачення, контрастної чутливості, зорової працездатності.

3

Підвищене значення напруги в електричному ланцюзі

Враження електричним струмом внутрішніх органів, дія струму на нервову систему, на м'язи.



Судома (судомне скорочення м'язів (фібріл) без втрати свідомості



Втрата свідомості з порушенням серцевої діяльності або дихання.



Судома з втратою свідомості



Клінічна смерть

Для найбільших значень ризиків небезпеки для життя та здоров’я працівників умов виробничої діяльності - враження електричним струмом внутрішніх органів, дія струму на нервову систему, на м'язи (оцінка ризику 180) та зниження рівня зосередженості, підвищення дратівливості, зниження рівня обміну інформацією між працюючими від дії шуму (оцінка ризику 100) розробляємо план управління ризиками в проекті, який включає методи попередження ризиків і реагування на них, якщо вони все ж виникли. Результати заносимо в табл. 5.5.

Таким чином, оцінка ризиків небезпеки для життя та здоров’я працівників умов праці при розробці проекту дозволяє здійснювати управління ризиками в проекті, що включає методи попередження ризиків і реагування на них, якщо вони все ж виникли. Карта оцінки ризику може бути додатком до Карт умов праці, які зараз використовуються для встановлення пільг і компенсацій працівникам. Карта оцінки ризику є механізмом усунення небезпек на робочих місцях.

Таблиця 5.5 План реагування на ризики небезпеки для життя та здоров’я працівників умов праці при розробці проекту

.Ризик

Відповідальний

План попередження / реагування



Стратегія попередження / реагування

План попередження ризику

План реагування при виникненні ризику

Бюджет на роботу з ризиком, грн

Враження електричним струмом внутрішніх органів, дія струму на нервову систему, на м'язи.

Керівник проекту

Стратегія попередження - уникнення ризику

Технічні заходи - захисне заземлення, захисна ізоляція струмопроводів, попереджувальна сигналізація, блокування, знаки безпеки Розробка інструкцій з техніки безпеки для працівників

Перша допомога складається з двох етапів: - звільнення потерпілого від дії електричного струму; - надання йому першої допомоги, з урахуванням його стану

12 000

Зниження рівня зосередженості при постійному монотонному шумі. Підвищення дратливості. Зниження рівня обміну інформацією між працюючими

Керівник проекту

Стратегія реагування - мінімізація ризику

Удосконалення звукоізоляції; встановлення звуопоглинаючих матеріалів. Індивідуальні засоби: вкладиші, навушники

Додатковий відпочинок, перерви по 15 хв. через кожні 2 години роботи

7000



Політика у сфері охорони праці для КП "Київкомунсервіс" є основою діяльності підприємства, включає наступні зобов’язання і спрямована на:

комплексне розв'язання завдань охорони праці згідно вимог законодавства України та міжнародного стандарту OHSAS 18001:2010, економічної і соціальної політики, досягнень в галузі науки і техніки та охорони довкілля;

створення належних, безпечних і здорових умов праці, запобігання нещасним випадкам та професійним захворювань;

пріоритету життя і здоров'я працівників, повної відповідальності керівників вищої та середньої ланки за створення належних, безпечних і здорових умов праці;

підвищення рівня безпеки шляхом забезпечення постійного технічного контролю за станом виробництва екологічно чистих продуктів харчування, вживання всіх заходів щодо створення безпечних і нешкідливих умов праці;

адаптацію трудових процесів до можливостей працівників з урахуванням їхнього здоров'я та психологічного стану, створення робочих місць для інвалідів;

інформування, проведення навчання, професійної підготовки і підвищення кваліфікації працівників з питань охорони праці.

Слід сказати, що однією з найважливіших форм, що визначає забезпечення безпеки праці на КП "Київкомунсервіс", є навчання працівників з охорони праці, інструктаж, а також перевірка знань. На підприємстві ця робота здійснюється доволі активно, оскільки видано наказ, згідно з яким графіки проведення занять перед щорічною перевіркою знань з охорони праці працівників надані до відділу охорони праці.

Технічними заходами та засобами охорони праці, які використовуються на КП "Київкомунсервіс" є наступні: застосування технічно справного обладнання, інструментів і пристроїв, транспортних засобів, засобів колективного захисту (огороджень, блокування, сигналізації); використання за призначенням якісних засобів індивідуального захисту (спецодягу).

Санітарно-гігієнічні заходи передбачають попередження шкідливого впливу виробничих чинників на людину та дотримання допустимих рівнів цих чинників на робочих місцях, а також забезпечення відповідності умов на робочих місцях вимогам до нормативних документів.

Лікувально-профілактичні заходи на КП "Київкомунсервіс" передбачають попередні та періодичні медичні огляди працівників, переведення працівників на легшу роботу за станом здоров'я, безкоштовне забезпечення лікувально-профілактичним харчуванням працівників на роботах з тяжкими та шкідливими умовами праці, відшкодування потерпілому працівнику витрат на лікування, особливі вимоги з охорони праці жінок, неповнолітніх та інвалідів.

Таким чином, в можна зробити висновки про те, що досліджуване підприємство має зважену та дієву нормативну базу, чітку політику в питаннях охорони праці і техніки безпеки.

Для оцінки ефективності модернізації та заходів щодо охорони праці при розробці та впровадженні окремого проекту розраховуємо нові показники інтегральної оцінки умов праці та визначаємо нову категорію важкості праці, нові показники стомлення та працездатності.

Оскільки умови праці оцінюються тільки балами 1 і 2, то інтегральну оцінку важкості праці визначають за формулою

 , (5.3)


У відповідності до інтегральної бальної оцінки 25,07 категорія важкості праці можна оцінити як II категорію важкості праці.

Визначаємо ступінь стомлення в умовних одиницях до і після впровадження заходів щодо охорони праці

,

де 15,6 и 0,64 - коефіцієнти регресії.

Визначаємо працездатність персоналу в умовних одиницях до і після впровадження заходів щодо охорони праці за формулою:

R1=100 - 43,5 = 56,52= 100 - 17.89 = 82.11

Визначаємо зростання продуктивності праці за формулою:

.

Для оцінки ефективності заходів щодо охорони праці визначаємо також зменшення важкості праці та ступеня стомлення:

 

Впровадження заходів по поліпшенню умов праці можуть мати суттєву економічну ефективність на створюваному підприємстві по виробництву екологічно чистих продуктів харчування за рахунок економії фонду заробітної плати при зменшенні витрат робочого часу через травматизм та захворюваність.

5.4 Заходи щодо безпеки в надзвичайних ситуаціях КП "Київкомунсервіс"

Первинні засоби пожежогасіння призначені для гасіння пожеж у початковій стадії їх розвитку силами персоналу підприємства до прибуття штатних підрозділів пожежної охорони, а також ліквідації невеликих осередків пожеж. Вони є у всіх виробничих приміщеннях, цехах, складах, лабораторіях, майстернях і передаються під охоронну відповідальність безпосередньо керівникам цих об’єктів або іншим посадовим особам з числа інженерно-технічних працівників.

Наявність засобів пожежогасіння підвищує рівень пожежної безпеки об’єктів, і, тим самим, у разі виникнення вогню, зменшує матеріальні збитки та людські жертви.

Будівлі, споруди, приміщення, технологічні установки забезпечені первинними засобами пожежогасіння: вогнегасниками, ящиками з піском, бочками з водою, покривалами з негорючого теплоізоляційного полотна, грубововняної тканини, пожежними відрами, совковими лопатами, пожежним інструментом (гаками, ломами, сокирами тощо), які використовуються для локалізації і ліквідації пожеж у їх початковій стадії розвитку.

На КП "Київкомунсервіс" є установи після реконструкції, розширення, капітального ремонту об’єкти (будівлі, споруди, приміщення, технологічні установки) забезпечені первинними засобами пожежогасіння (згідно з нормами належності) до початку їх експлуатації.

Розміщені первині засоби пожежогасіння у виробничих, складських, допоміжних приміщеннях, будівлях, спорудах, а також на території підприємств, встановлено спеціальні пожежні щити (стенди).

На пожежних щитах (стендах) розміщені первинні засоби гасіння пожежі, які можуть застосовуватися на підприємстві. Пожежні щити (стенди) та засоби пожежогасіння пофарбовані у відповідні кольори за чинним державним стандартом.

Пожежний інвентар має червоно-біле пофарбування і відповідні написи. Пожежний інструмент пофарбовано у чорний колір. На пожежних щитах (стендах) вказано їх порядкові номери та номер телефону для виклику пожежної охорони. Порядковий номер пожежного щита вказано після літерного індексу "ПШ".

Також на підприємстві розміщений немеханізований пожежний ручний інструмент, у складі комплектації пожежних щитів (стендів), підлягає періодичному обслуговуванню, яке включає такі операції:

- очищення від пилу, бруду та слідів корозії;

відновлення пофарбування з урахуванням вимог стандартів;

випрямлення ломів та суцільнометалевих гаків для виключення залишкових деформацій після використання;

відновлення потрібних кутів загострювання інструмента з дотриманням вимог стандартів.

Відповідальність за своєчасне і повне оснащення об’єктів вогнегасниками та іншими засобами пожежогасіння, забезпечення їх технічного обслуговування, навчання працівників правил користування вогнегасниками несуть власники на підприємстві. Успішне гасіння пожежі пов’язане з правильним вибором типу й виду вогнегасника.

На КП "Київкомунсервіс" в наявності бочки для зберігання води з метою пожежогасіння відповідно до ГОСТ 12.5.009-83 повинні мати місткість не менше 0,2 м3 і укомплектовані пожежним відром місткістю не менше 0,008 м3.

До комплекту засобів пожежогасіння, які розміщаються на КП "Київкомунсервіс", слід включати: вогнегасники - 3 шт., ящик з піском - 1 шт., покривало з негорючого теплоізоляційного матеріалу або повсті розміром 2х2 м - 1 шт., гаки - 3 шт., лопати - 2 шт., ломи - 2 шт., сокири - 2 шт.

Ящики для піску мають місткість 0,5, 1,0 або 3,0 м3 та укомплектовані совковою лопатою. Вмістилища для піску, що є елементом конструкції пожежного стенду, повинні бути місткістю не менше 0,1 м3 . Конструкція ящика (вмістилища) повинна забезпечувати зручність діставання піску та виключати попадання опадів.

На КП "Київкомунсервіс" є споруди, які зводяться та реконструюються, вони забезпечені первинними засобами пожежогасіння з розрахунку:

- на 200 м2 площі підлоги - один вогнегасник (якщо площа поверху менша 200 м2 - два вогнегасники на поверх), бочка з водою, ящик з піском;

на кожні 20 м довжини риштування (на поверхах) - один вогнегасник (але не менше двох на поверсі), а на кожні 100 м довжини риштування - бочка з водою;

на 200 м2 площі покриття з горючим утеплювачем або горючими покрівлями - один вогнегасник, бочка з водою, ящик з піском;

на кожну люльку агрегату для будівництва градирень - по два вогнегасники;

у місці встановлення теплогенераторів, калориферів - два вогнегасники та ящик з піском на кожний агрегат.

У вищезазначених місцях слід застосовувати вогнегасники пінні чи водяні місткістю 10 л або порошкові місткістю не менше 5 л.

Висновки до розділу 5


Як свідчать результати аналізу, на підприємстві є основні види документації, які упорядковано відповідним чином. На КП "Київкомунсервіс", виконуються майже всі заявлені нормативно-правові акти, що свідчить про чітку та добросовісну роботу служби охорони праці. Організаційно-технічні заходи та засоби покликані забезпечити такий рівень організації праці на КП "Київкомунсервіс", й такі технічні (інженерні) рішення з охорони праці для усього технологічного процесу, обладнання та інструментів, які виключали б вплив на працівників небезпечних виробничих чинників, а також виключали б або зменшували до допустимих нормативних значень вплив на робітників шкідливих виробничих чинників.

Слід сказати, що однією з найважливіших форм, що визначає забезпечення безпеки праці на КП "Київкомунсервіс", є навчання працівників з охорони праці, інструктаж, а також перевірка знань. На підприємстві ця робота здійснюється доволі активно, оскільки видано наказ, згідно з яким графіки проведення занять перед щорічною перевіркою знань з охорони праці працівників надані до відділу охорони праці.

Необхідно зазначити, що приміщення, обладнання, робочі місця та умови праці на КП "Київкомунсервіс" відповідають вимогам нормативних документів.

Таким чином, можна зробити висновки про те, що досліджуване підприємство має зважену та дієву нормативну базу, чітку політику в питаннях охорони праці і техніки безпеки.

Висновки


Аналіз поводження з побутовими відходами свідчить про різносторонність та актуальність цієї проблеми. Утворення побутових відходів щодня збільшується, тим самим несе за собою негативні наслідки як для здоров’я людей так для навколишнього середовища в цілому. Тому, процес утворення відходів повинен контролюватися упродовж усього життєвого циклу, та на кожному рівні потрібно вживати відповідних заходів по зменшенню їх шкідливої дії на середовище. Відомо, що це питання особливо загострене в Україні і потребує постійного вдосконалення. Влада, волонтери, громадські організації, комунальні підприємства прикладають усі зусилля на врегулювання питання поводження з відходами, але існує ряд недоліків у існуючій системі управління. Для вирішення проблеми по утворенню відходів потрібно також контролювати і окремі підрівні загальної системи, тобто на регіональному, місцевому, локальному рівнях.

Не існує універсального методу поводження з відходами, який би задовольняв сучасні вимоги екології, економіки, ресурсозбереження та ринку. Цим вимогам, тенденціям розвитку світової практики найбільшою мірою відповідає впровадження комплексної системи збирання та утилізації ТПВ, яка забезпечує використання відходів як джерела вторинної сировини. Проте така система буде раціональнішою при використанні управлінських методів та методик. Тому управління являється дуже важливим фактором у вирішенні багатьох питань, особливо тих, що пов’язані з негативним впливом на навколишнє середовище. Так створення різного характеру методик допомагає дотримуватись певних стандартів при виконанні якогось процесу чи процедури.

Існує багато способів оцінки того чи іншого процесу, важливо лише визначити мету чи поставити правильно запитання. Системи управління відходами в місті Києві постійно вдосконалюється, тим самим виводить Україну на новий рівень розвитку. Встановлюються нові вимоги по управлінню побутовими відходами, запроваджуються нові технології та розробляються проекти спрямовані на регулювання відходоутворення та вирішення проблем, пов’язаних з вивозом та накопиченням відходів в усіх районах міста Києва. Для обслуговування кожного району м. Києва визначається підприємство з оптимальними показниками роботи, характерними для даної інфраструктури. Існує багато методик, що дозволять науковим, експертним чи математичним методом визначити перевізника-лідера.

Проаналізувавши систему поводження з побутовими відходами у м. Києві, можна сказати що проблемою залишається недосконалість механізму управління у цій сфері. Це обумовлено недостатнім фінансуванням, неузгодженістю управлінських органів, а насамперед неусвідомленістю цієї проблеми самим населенням. Пріоритетним залишається і завдання регулювання діяльності підприємств-перевізників відходів та створення конкурентного середовища між ними, що дозволить покращити показники їх роботи.

Для обслуговування кожного району м. Києва визначається підприємство з оптимальними показниками роботи, характерними для даної інфраструктури. Існує багато методик, що дозволять науковим, експертним чи математичним методом визначити перевізника-лідера.

Пріоритетними методами управління залишаються методи контролю усіх процесів поводження з відходами, а в останній час вдосконалюється метод еколого-економічного стимулювання.

В даній роботі було досліджено стан поводження з відходами у м. Києві, а саме в Дніпровському районі, де функціонують перевізники "Київспецтранс", "Грінко" та "Селтік".

Аналіз діяльності КП "Київкомунсервіс" дозволив прослідкувати динаміку зростання рівня впровадження роздільного збору побутових відходів, покращення рівня обізнаності населення у питанні поводження з побутовими відходами та процес створення конкурентного середовища для підприємств-перевізників відходів. В результаті чого виявлено, що кількість перевізників значно зменшилась, через низький рівень матеріального та технічного забезпечення .

Розробка раціонального маршруту перевезення твердих побутових відходів був проведено шляхзом аналізу між двома маршрутами

Перший маршрут від Дніпровського району до Полігону №5 та другий маршрут від Дніпровського району до заводу "Енергія"

Економічний аналіз розроблених маршрутів показав, що з економічної точки зору роздільний маршрут більш вигідний, тому що згідно першого маршруту економічні збитки за рік становлять 3,23 мільйони грн., а по другому 2,56 мільйони грн. Це можна наглядно побачити на рис.

Під час порівння маршрутів було розраховано максимальне утворення ТПВ, кількість рейсів, відстань яку проїжджають дані автомобілі, витрату палива і економічні збитки, якщо 20% ТПВ відвозиться на завод "Енергія" і 80% на Полігон №5 (за пропорцією).

На базі балансу матеріальних потоків запропонована методика планування та управління процесами перевезень ТПВ на території Дніпровського району, що дає можливість знизити пробіг сміттєвозів, їх кількість, час вантаження, чисельність працюючих - усе це забезпечує зменшення річних витрат підприємств-перевізників.

Отже, можна зробити висновок, що другий маршрут є більш екологічно доцільним, тому що викиди по першому маршруту перевищують викиди по другому

Завдяки методу раціонального маршруту було визначено оптимальний маршрут перевезення твердих побутових відходів, опираючись на критерії, що були виокремлені опираючись на інтереси учасників, що беруть участь у ланцюгу перевезень відходів. Як результат, кращим перевізником є ТОВ "Селтік". Згідно розрахунків перевізник "Селтік" чинить менше навантаження на навколишнє середовище та менші викиди забруднюючих речовин.

Розробка раціонального маршруту перевезення твердих побутових відходів був проведено шляхом аналізу між двома маршрутами:

ий маршрут від Дніпровського району до Полігону №5

ий маршрут від Дніпровського району до заводу "Енергія"

Проаналізувавши маршрути руху перевізників, беручи до уваги їхню організацію перевезення відходів, можна дійти висновку, що найвагомішим недоліком системи є відсутність чіткого графіку роботи автотранспорту.

Економічний аналіз розроблених маршрутів показав, що з економічної точки зору роздільний маршрут більш вигідний, тому що згідно першого маршруту економічні збитки за рік становлять 3,23 мільйони грн., а по другому 2,56 мільйони грн. Другий маршрут є більш екологічно доцільним, тому що викиди по першому маршруту перевищують викиди по другому

Отже, для удосконалення існуючих методів управління відходами потрібно звернути увагу як на усунення недоліків існуючої системи, так і на впровадження нової, за рахунок світового досвіду розвинутих країн у сфері поводження з побутовими відходами, та раціонального використання інформаційних, фінансових, матеріальних та природних ресурсів.

Список використаних джерел


1.      Про відходи : Закон України, 5 берез. 1998 р. №187/98-ВР // Офіційний вісник України. - 1998. - № 13. - С. 23-41.

.        Про внесення змін до Закону України "Про відходи" : Закон України, 6 лип. 2012 р. №5179-VI // Офіційний вісник України. - 2012. - № 58. - С. 44.

.        Про затвердження Порядку розроблення, затвердження і перегляду лімітів на утворення та розміщення відходів : постанова Кабінету Міністрів України від 3 серп. 1998 р. №1218 // Урядовий кур’єр. - 1998. - 3 верес. - С. 4-5.

.        Про затвердження Статуту Державної компанії з утилізації відходів як вторинної сировини та складу її наглядової ради : постанова Кабінету Міністрів України від 17 верес. 2002 р. №1393 // Офіційний вісник України. - 2002. - № 38. - С. 75.

.        Постанова Кабінету Міністрів України від 1 березня 1999 р. № 30 "Про затвердження Порядку встановлення нормативів збору за забруднення навколишнього природного середовища і стягнення цього збору".

.        Постанова Кабінету Міністрів України від 20 червня 1995 р. № 44 "Про затвердження Порядку одержання дозволу на виробництво, зберігання, транспортування, використання, захоронення, знищення та утилізацію отруйних речовин, у тому числі продуктів біотехнології та інших біологічних агентів".

.        Постанова Кабінету Міністрів України від 3 серпня 1998р. №121 "Про затвердження порядку розроблення, затвердження і перегляду лімітів на утворення та розміщення відходів".

.        Рішення Київської міської ради від 15 липня 2004 року №460/1870 "Про створення комунального підприємства "Київкомунагросервіс".

.        Технічний регламент щодо контейнерів для зберігання та захоронення радіоактивних відходів : затв. постановою Кабінету Міністрів України від 18 лип. 2007 р. №939 // Офіційний вісник України. - 2007. - № 53. - С. 83-92.

.        Технічний регламент щодо пакувальних комплектів для зберігання та захоронення радіоактивних відходів : затв. постановою Кабінету Міністрів України від 18 лип. 2007 р. №939 (у ред. постанови ... від 24 жовт. 2012 р. №1099) // Офіційний вісник України. - 2012. - № 91. - С. 48-52.

.        Про внесення змін до постанови Кабінету Міністрів України від 17 вересня 2002 р. №1393 : постанова Кабінету Міністрів України від 24 січ. 2011 р. №51 // Офіційний вісник України. - 2011. - № 6. - С. 22. - Щодо Статуту Державного підприємства з питань поводження з відходами.

.        Про внесення змін до Порядку розроблення, затвердження і перегляду лімітів на утворення та розміщення відходів : постанова Кабінету Міністрів України від 11 квіт. 2012 р. №289 // Офіційний вісник України. - 2012. - № 28. - С. 44. - Наведено Зміни.

.        Деякі питання заготівлі та утилізації відходів, що утворюються внаслідок втрати транспортними засобами своїх споживчих властивостей : постанова Кабінету Міністрів України від 3 верес. 2012 р. №843 // Офіційний вісник України. - 2012. - № 69. - С. 16. - Наведено граничні ціни за послуги.

.        Деякі питання підготовки до реалізації національного проекту "Чисте місто" - система комплексів з переробки твердих побутових відходів" : розпорядження Кабінету Міністрів України від 8 серп. 2012 р. №695-р // Урядовий кур’єр. - 2012. - 28 верес. - С. 13

.        Брік, Г. Б. Шляхи підвищення ефективності переробки нехарчових відходів м’ясопереробної галузі / Г. Б. Брік, Д. М. Ткаченко // Мясное дело. - 2012. - № 10. - С. 24-25.

.        Бунчак, О. М. Новітня розробка технології переробки органічних відходів шкіряного виробництва / О. М. Бунчак // Вісник Київського національного університету технологій та дизайну. - 2010. - № 6. - С. 55-58.

.        Вербицкий, С. Б. Оборудование для переработки вторичного мясного сырья: вчера, сегодня и завтра / С. Б. Вербицкий // Мясной бизнес. - 2012. - № 4. - С. 66-70.

.        Верех-Білоусова, К. Й. Багатотоннажні відходи вугільної промисловості. Дослідження можливості використання як техногенноутворених джерел алюмінієвої сировини / К. Й. Верех-Білоусова // Хімічна промисловість України. - 2011. - № 1. - С. 20-23.

.        Вороніна Р.М. Логістика рециклінгу // Логістика. - Л.: Вид-во Нац.ун-ту "Львів. політехніка", 2008. -С.28-33.

.        Горлицкий, Б. А. Социально-экономические составляющие целесообразного обращения с отходами / Б. А. Горлицкий // Экология и промышленность. - 2011. - № 1. - С. 69-73.

.        Горлицький, Б. О. Базові положення еколого-економічної оцінки пріоритетів використання відходів / Б. О. Горлицький // Екологічний вісник. - 2011. - № 2. - С. 18-20.

.        Дейкун, І. М. Використання пероцтової целюлози із соломи ріпаку в композиціях паперу та картону / І. М. Дейкун, В. В. Пойда, В. А. Барбаш // Упаковка. - 2010. - № 3. - С. 13-15.

.        Дейкун, І. М. Дослідження паперотворних властивостей пероцтової целюлози із соломи ріпаку / І. М. Дейкун, В. В. Пойда, В. А. Барбаш // Упаковка. - 2010. - № 2. - С. 32-34.

.        Дригулич, П. Г. Перспективи вдосконалення законодавства у сфері поводження з відходами у нафтогазовому комплексі України / П. Г. Дригулич, А. В. Пукіш, М. П. Шпек // Нафтова і газова промисловість. - 2012. - № 3. - С. 55-58.

.        Євсєєва Г.В. Формування логістичної системи на підприємствах легкої промисловості: Автореф. дис. ... канд. економ. наук: 08.00.04/Київський національний університет технологій та дизайну.-К.:, 2007.-18 С.

.        Єремєєв, І. С. Ризики у технологіях перетворення ТПВ на енергію : [науковці пропонують отримувати енергію із твердих побутових відходів] / І. С. Єремєєв, П. В. Сігорський // Міське господарство України. - 2012. - № 3. - С. 33-35.

.        Зеленько, Ю. В. Щодо концепції розробки технологій раціонального використання нафтовмісних відходів із метою повернення їх у сировинну базу / Ю. В. Зеленько, С. В. Бойченко // Нафтова і газова промисловість. - 2012. - № 2. - С. 51-54.

.        Исследования рецептурных компонентов биоразлагаемых полимерных материалов / В. С. Бураков [и др.] // Упаковка. - 2012. - № 6. - С. 16-21.

.        Карлов, А. Г. Упаковочный материал из отходов ПЭТФ, риса и кукурузы / А. Г. Карлов // Упаковка. - 2012. - № 3. - С. 24-26. - Переработка отходов из полиэтилентерефталата.

.        Касимов, А. М. О необходимости корректировки системы классификации промышленных отходов / А. М. Касимов, Н. Г. Щербань // Экология и промышленность. - 2010. - № 3. - С. 86-89.

.        Касимов, А. М. Проблемы образования и накопления промышленных отходов в Украине / А. М. Касимов, Е. Е. Решта // Экология и промышленность. - 2011. - № 1. - С. 65-69.

.        Качан, Ю. Г. Эффективность технологии анаэробного получения биоэнергетического топлива / Ю. Г. Качан, Ю. В. Курис, И. Н. Левицкая // Энерготехнологии и ресурсосбережение. - 2011. - № 1. - С. 12-16.

.        Клименко, М. А. Перспективы обработки естественным холодом осадка сточных вод для утилизации в цементном производстве / М. А. Клименко, Н. А. Черная // Энерготехнологии и ресурсосбережение. - 2013. - № 1. - С. 35-41.

.        Крикавський Є.В. Логістика. Основи теорії: Підручник - Львів: Національний університет "Львівська політехніка", "Інтелект-Захід", 2004. - 416 с.

.        Литовкин, В. В. Обращение с твердыми отходами угольных ТЭС - состояние дел и перспективы / В. В. Литовкин, А. В. Литовкин // Енергетика та електрифікація. - 2012. - № 10. - С. 29-32.

.        Майдукова, С. С. Остаточный энергетический потенциал низкокалорийных отходов угольного производства: критерии оценки / С. С. Майдукова // Економіка промисловості. - 2010. - № 3. - С. 101-106.

.        Міщенко, В. С. Удосконалення системи класифікації відходів і засади українського List of Wastes / В. С. Міщенко // Экология и промышленность. - 2011. - № 2. - С. 107-111..

.        Петухов, І. С. Вторсировина - важливий матеріальний ресурс країни : зібрати відходи - лише початок. Що далі з ними робити - питання серйозніше / І. С. Петухов, О. Й. Шекель // Міське господарство України. - 2011. - № 4. - С. 27-31.

.        Структура образования и рециклинг технологических отходов на металлургических предприятиях полного цикла / Л. Ю. Назюта [и др.] // Энерготехнологии и ресурсосбережение. - 2011. - № 4. - С. 44-53.

.        Третьяков, А. О. Рециклинг ПЭТФ в Украине / А. О. Третьяков // Упаковка. - 2012. - № 2. - С. 63-66.

.        Аналіз стану сфери поводження з побутовими відходами в Україні за 2011 рік. Міністерство регіонального розвитку, будівництва та житлово-комунального господарства України. [Електроний ресурс]. Режим доступу:#"820436.files/image094.gif">

Рис. 1.1 Приклади контейнерів

Вантажівка ГАЗ обладнаний Сміттєзбірна бункером

Додаток Б

А) з бічним завантаженням:


Б) з заднім завантаженням:


Додаток В

Кількість наявних полігонів та звалищ та потреба в нових в Україні станом на січень 2014р. *

* звітність "Санітарна очистка" за 2013 р. [3].

Додаток Г

Існуючі сміттєсортувальні, сміттєпереробні та сміттєспалювальні станції (заводи, комплекси) в Україні станом на січень 2014 р.*

*… - дані про явище відсутні.

Похожие работы на - Розробка раціонального маршруту перевезення твердих побутових відходів

 

Не нашли материал для своей работы?
Поможем написать уникальную работу
Без плагиата!
Без нейросетей!