Теоретические и практические основы оценки инвестиционных проектов
Федеральное агентство
железнодорожного транспорта
Федеральное государственное бюджетное
образовательное учреждение высшего профессионального образования
«петербургский государственный
университет путей сообщения ИМПЕРАТОРА АЛЕКСАНДРА I»
Кафедра «Менеджмент и маркетинг»
Курсовая работа
«Теоретические и практические основы
оценки инвестиционных проектов»
Выполнил студент Р.Н. Солецкий
Группа ЛБ-113
Проверил к.э.н., доцент А.И. Сорокин
Санкт-Петербург
Содержание
Введение
Теоретические основы оценки долгосрочных инвестиций
.1 Оценка проекта по периоду окупаемости и по периоду
дисконтированной окупаемости
.2 Оценка проекта по внутренней ставке доходности
.3 Оценка проекта по чистой приведенной стоимости
.4 Оценка проекта по методу модифицированной приведенной
стоимости
.5 Оценка проекта по коэффициенту прибыльности
Практическая часть. Оценка инвестиционных проектов
.1 Задание 1
.2 Срок окупаемости
.3 Срок дисконтированной окупаемости
.4 Чистая приведенная стоимость (NPV)
.5 Внутренняя доходность (IRR)
.6 Модифицированная внутренняя доходность (MIRR)
.7 Индекс рентабельности
Заключение
Библиографический список
Введение
Инвестиции - это долгосрочные вложения капитала в объекты
предпринимательской и других видов деятельности с целью получения дохода
(прибыли).
Причинами, обуславливающими необходимость инвестиций, являются обновление
имеющихся материально-технической базы, наращивание объемов производства,
освоение новых видов деятельности.
Вкладывая капитал в какой-либо проект, инвестор ожидает получить высокую
прибыль. А для того чтобы достичь этой цели и принять оптимальное решение,
необходимо предварительно тщательно проанализировать ситуацию и провести
экономическую оценку инвестиций, чтобы выбрать наилучший объект для
инвестирования.
Оценка инвестиций - достаточно сложный инструмент, поскольку
инвестиционные расходы не всегда делаются однократно, результаты инвестиционной
деятельности не сразу становятся очевидными, а продолжительность всех операций
снижают качество контроля и степень точности прогнозирования результатов.
Грамотная оценка инвестиций позволит предотвратить потери и выбрать такие
пути для капиталовложения, которые обеспечат максимальную прибыль на самых
выгодных для инвестора условиях. Это, пожалуй, наиболее ответственная задача специалистов
в инвестиционной сфере, поскольку от того, насколько качественно она будет
осуществлена, зависит конечный результат инвестирования.
В связи с вышеизложенным в первой части работы будут рассмотрены
теоретические основы оценки инвестиционных проектов, а во второй - они будут
рассмотрены на конкретном примере в соответствии с выданным заданием.
1
Теоретические основы оценки долгосрочных инвестиций
.1 Оценка
проекта по периоду окупаемости и по периоду дисконтированной окупаемости
Период окупаемости (РР) определяется как ожидаемое число лет, необходимое
для полного возмещения инвестиционных затрат.
Основным преимуществом этого показателя является простота в применении,
поскольку его расчет не требует специальных знаний и навыков. Также он подходит
для грубой первоначальной оценки инвестиционных проектов, позволяя отсеять
изначально не окупаемые. Период окупаемости проекта можно рассчитать,
воспользовавшись следующей формулой.
где p - номер периода, в котором наблюдался последний отрицательный
кумулятивный денежный поток;- величина последнего отрицательного кумулятивного
денежного потока, подставляется по модулю;+1 - величина кумулятивного денежного
потока на конец следующего периода.
Несмотря на простоту расчета, такой показатель как период окупаемости
имеет ряд существенных и ограничений в использовании:
1.
При расчете периода окупаемости не учитывается концепция стоимости денег во
времени <#"819998.files/image002.gif">
где, n - число периодов; CFt - приток денежных средств в период
t; r - барьерная ставка (коэффициент дисконтирования); I0 - величина исходных
инвестиций в нулевой период.
Коэффициент
дисконтирования или барьерная ставка это показатель, используемый для
приведения величины денежного потока в n-периоде оценки эффективности
инвестиционного проекта, другими словами ставка дисконтирования
<#"819998.files/image003.gif">
где, Е - норма дисконта, которая может быть как единой для всех шагов
расчета, так и переменной; (n-1) - промежуток между оцениваемым периодом и
моментом приведения (в годах).
Основным экономическим нормативом, используемым при дисконтировании,
является норма дисконта, выражаемая в долях единицы или в процентах в год. В
отдельных случаях значение нормы дисконта может выбираться различным для разных
шагов расчета (переменная норма дисконта). Норма дисконта показывает
эффективность участия в инвестиционном проекте.
Срок окупаемости увеличивается по сравнению с расчетом его без
дисконтирования. Расчет срока окупаемости осуществляется аналогичным способом,
но при этом за те периоды, в течение которых приток денежных поступлений,
покрывающий использованные инвестиции, суммируется еще не дисконтированный
доход:
Очевидно, что в случае дисконтирования срок окупаемости увеличивается, т.
е. всегда DPP > PP.
При использовании критериев РР и DPP в оценке инвестиционных проектов
решения могут приниматься исходя из следующих условий:
. Проект принимается, если окупаемость имеет место;
. Проект принимается только в том случае, если срок окупаемости не
превышает установленного для конкретной компании предельного срока.
1.2 Оценка
проекта по внутренней ставке доходности
Для сравнения альтернативных инвестиционных проектов в теории и на
практике широко используются дисконтированные критерии оценки эффективности,
как например, внутренняя ставка дохода (internal rate of return) IRR.
Внутренняя ставка дохода демонстрирует доходность проекта.
Внутренняя ставка дохода проекта (ВСДП) - это ставка дисконтирования,
приравнивающая сумму приведенных доходов от проекта к величине инвестиций
(затрат). ВСДП обеспечивает нулевое значение чистой текущей стоимости доходов.=
r, при котором NPV = f(r) = 0,
Ее значение находят из следующего уравнения:
(IRR) - чистая текущая стоимость, рассчитанная по ставке IRR,t - приток денежных средств в период
t;t - сумма инвестиций (затраты) в t-ом
периоде;- суммарное число периодов (интервалов, шагов) t = 0, 1, 2, ..., n.
Критерием приемлемости, который обычно используется для метода IRR,
является сравнение внутренней доходности инвестиций с заданным пороговым
значением (ставка отсечения), или минимальной ставкой доходности, которая
требуется для одобрения инвестиции оного проекта (hurdle rate). Предполагается,
что эта минимальная ставка доходности нам задана извне. Если IRR превышает
минимальную ставку доходности, проект принимается, в противном случае -
отвергается.
.3 Оценка проекта по чистой приведенной стоимости (NPV)
Показатель NPV представляет собой разницу между всеми денежными притоками
и оттоками, приведёнными к текущему моменту времени (моменту оценки
инвестиционного проекта). Он показывает величину денежных средств, которую инвестор
ожидает получить от проекта, после того, как денежные притоки окупят его
первоначальные инвестиционные затраты и периодические денежные оттоки,
связанные с осуществлением проекта.
Чистая приведенная стоимость NPV получается при дисконтировании финансовых
потоков и определяет стоимость будущей прибыли проекта в настоящий момент
времени для случая совершенного рынка капитала.
где N - продолжительность проекта, выраженная в числе шагов расчетного
периода, например в годах или месяцах, Di, Zi - доходы и затраты проекта на i шаге расчетного периода, r -
ставка дисконта.
При положительном значении NPV считается, что данное вложение капитала
является эффективным.
С помощью NPV можно
оценивать сравнительную эффективность альтернативных вложений (при одинаковых
начальных вложениях более выгоден проект с наибольшим NPV).
Если чистая приведенная стоимость рассматриваемого инвестиционного
проекта оказывается не меньше нуля, то проект принимается, в противном случае -
отвергается. Еще одним способом выражения критерия приемлемости является вывод
о том, что проект будет принят, если приведенная стоимость денежных поступлений
превышает приведенную стоимость расходов.
.4 Оценка проекта по методу модифицированной приведенной стоимости
Модифицированная внутренняя норма доходности MIRR (Modified Internal Rate
of Return) - это ставка в коэффициенте дисконтирования, уравновешивающая
притоки и оттоки средств по проекту. Метод дает более правильную оценку ставки
реинвестирования и снимает проблему множественности ставки рентабельности.
Этот показатель рассчитывается по формуле:
t - приток денежных средств в периоде t = 1, 2, ...n;t -
отток денежных средств в периоде t = 0, 1, 2, ... n;- барьерная ставка (ставка
дисконтирования), доли единицы;- уровень реинвестиций, доли единицы (процентная
ставка, основанная на возможных доходах от реинвестиции полученных
положительных денежных потоков или норма рентабельности реинвестиций);- число
периодов.
Формула MIRR имеет смысл,
если терминальная стоимость притоков превышает сумму дисконтированных оттоков денежных
средств (приток денег больше их оттока).
Критерий MIRR всегда имеет
единственное значение и может применяться вместо показателя IRR для оценки
проектов. Проект приемлем для инициатора, если MIRR больше барьерной ставки
(цены источника финансирования).
.5 Оценка проекта по
коэффициенту прибыльности
Рентабельность -
относительный показатель экономической эффективности. Рентабельность комплексно
отражает не только степень эффективности применения материальных, трудовых и
финансовых ресурсов, но и использование природных богатств.
Коэффициент прибыльности
(profitability index - PI) - отношение приведенной стоимости будущих чистых
денежных потоков проекта к первоначальным инвестициям по этому проекту.
Коэффициент прибыльности
(profitability index - PI), или коэффициент «прибыль - затраты», некоего
проекта представляет собой отношение приведенной стоимости будущих чистых
денежных потоков проекта к первоначальным инвестициям по нему. Показатель
прибыльности можно представить в следующем виде:
где NCFi -
чистый денежный поток для i-го периода;- начальные инвестиции;- ставка
дисконтирования (стоимость капитала, привлеченного для инвестиционного
проекта);
При значениях PI > 1
считается, что данное вложение капитала является эффективным.
2 Практическая часть. Оценка
инвестиционных проектов
.1 Задание 1
Необходимо оценить два
проекта, затраты на которые, и последующие потоки денежных средств представлены
в таблице 1.
Таблица 1
|
Ожидаемые чистые потоки
|
|
Период (годы)
|
Проект 1
|
Проект 2
|
|
0
|
-600
|
-500
|
|
1
|
-300
|
170
|
|
2
|
400
|
170
|
|
3
|
400
|
170
|
|
4
|
700
|
170
|
|
5 6
|
100 -100
|
170 0
|
инвестиция окупаемость
доходность
Для каждого необходимо определить:
) Срок окупаемости;
) Срок дисконтированной окупаемости;
) Чистую приведенную стоимость (NPV) обоих проектов при стоимости
капитала 7% и 13%;
) Внутреннюю доходность (IRR);
) Модифицированную внутреннюю доходность (MIRR) при стоимости
капитала 7% и 13%;
) Построить профили NPV и определить точку перегиба, если таковая
имеется.
) Индекс рентабельности
На основе анализа полученных результатов, определить: какой проект может
быть принят к реализации при условии 1) взаимоисключающих проектов и 2)
зависимых проектов.
.2 Срок окупаемости
Расчет периода окупаемости проекта 1 и проекта 2 приведен в таблицах 2 и
3:
Таблица 2
|
П1
|
0
|
1
|
2
|
3
|
4
|
5
|
6
|
|
Чистый поток
|
-600
|
-300
|
400
|
400
|
700
|
100
|
-100
|
|
Кумулятивный чистый
денежный поток
|
-600
|
-900
|
-500
|
-100
|
600
|
700
|
600
|
Срок окупаемости для первого проекта составит PP1 = 3,14.
Таблица 3
|
П2
|
0
|
1
|
2
|
3
|
4
|
5
|
6
|
|
Чистый поток
|
-500
|
170
|
170
|
170
|
170
|
170
|
0
|
|
Кумулятивный чистый
денежный поток
|
-500
|
-330
|
-160
|
10
|
180
|
350
|
350
|
Срок окупаемости для второго проекта составит PP2 = 2,94.
Выводы по проектам:
При независимых проектах можно выбрать оба проекта, поскольку сроки их
окупаемости меньше приятого срока (6 лет), при условии наличия денежных средств
на два проекта.
При взаимоисключающих проектах следует выбрать второй проект, так как он
окупится быстрее первого проекта на 0,2 лет.
2.3 Срок дисконтированной окупаемости (DPP)
Расчет срока дисконтированной окупаемости двух проектов произведен в
таблицах:
Таблица 4
|
П1 (7%)
|
0
|
1
|
2
|
3
|
4
|
5
|
6
|
|
Чистый денежный поток
|
-600
|
-300
|
400
|
400
|
700
|
100
|
-100
|
|
Дисконтированный денежный
поток NCF
|
-600
|
-280,37
|
349,37
|
326,53
|
534,35
|
71,33
|
-66,67
|
|
Кумулятивный денежный поток
DNCF
|
-600
|
-880,37
|
-531
|
-204,47
|
329,88
|
401,21
|
334,54
|
Срок дисконтированной окупаемости для первого проекта при стоимости
капитала 7% составит DPP1 =
3,38.
Расчеты:
Таблица 5
|
П1 (13%)
|
0
|
1
|
2
|
3
|
4
|
5
|
6
|
|
Чистый денежный поток
|
-600
|
-300
|
400
|
400
|
700
|
100
|
-100
|
|
Дисконтированный денежный
поток NCF
|
-600
|
-256,49
|
313,26
|
277,2
|
429,45
|
54,35
|
-48,08
|
|
Кумулятивный денежный поток
DNCF
|
-600
|
-865,49
|
-552,23
|
-278,03
|
154,42
|
208,77
|
160,69
|
Срок дисконтированной окупаемости для первого проекта при стоимости
капитала 13% составит DPP1 =
3,64.
Расчеты:
Таблица 6
|
П2 (7%)
|
0
|
1
|
2
|
3
|
4
|
5
|
6
|
|
Чистый денежный поток
|
-500
|
170
|
170
|
170
|
170
|
170
|
0
|
|
Дисконтированный денежный
поток NCF
|
-500
|
158,88
|
148,48
|
138,77
|
129,77
|
121,25
|
0
|
|
Кумулятивный денежный поток
DNCF
|
-500
|
-341,12
|
-192,64
|
-53,87
|
75,9
|
197,15
|
197,15
|
Срок дисконтированной окупаемости для второго проекта при стоимости
капитала 7% составит DPP2 =
3,42.
Расчеты:
Таблица 7
|
П2 (13%)
|
0
|
1
|
2
|
3
|
4
|
5
|
6
|
|
Чистый денежный поток
|
-500
|
170
|
170
|
170
|
170
|
170
|
0
|
|
Дисконтированный денежный
поток NCF
|
-500
|
-150,44
|
133,13
|
117,81
|
104,29
|
92,39
|
0
|
|
Кумулятивный денежный поток
DNCF
|
-500
|
-349,56
|
-216,43
|
-98,62
|
5,67
|
98,06
|
98,06
|
Срок дисконтированной окупаемости для второго проекта при стоимости
капитала 13% составит DPP2 =
3,95.
Расчеты:
Выводы по проектам:
При независимых проектах можно выбрать проект 1 и проект 2, поскольку
сроки их дисконтированной окупаемости при ставке 7% меньше принятого срока (6
лет).
При взаимоисключающих проектах следует выбрать проект 1 (3,38 года), так
как дисконтированный срок окупаемости его меньше, чем у проекта 2 (3,42 года).
При независимых проектах можно выбрать проект 1 и проект 2, потому что
сроки их дисконтированной окупаемости при ставке 13% меньше принятого срока (6
лет).
При взаимоисключающих проектах следует выбрать проект 1 (3,64 года),
поскольку дисконтированный срок окупаемости его меньше, чем у проекта 2 (3,95
года).
.3 Чистая приведенная стоимость (NPV)
Находим чистую приведенную стоимость проекта 1 при ставке 7%, результаты
приведены в таблице 8:
Таблица 8
|
П1 (7%)
|
1
|
2
|
3
|
4
|
5
|
6
|
|
-600
|
-300
|
400
|
400
|
700
|
100
|
-100
|
|
-280,37
|
|
|
|
|
|
|
|
349,37
|
|
|
|
|
|
|
|
326,53
|
|
|
|
|
|
|
|
534,35
|
|
|
|
|
|
|
|
71,33
|
|
|
|
|
|
|
|
-66,67
|
|
|
|
|
|
|
|
Итого 934,54
|
|
|
|
|
|
|
Чистая приведенная стоимость для первого проекта при стоимости капитала
7% составит NPV = -600 + 934,54 = 334,54 (руб.)
Находим чистую приведенную стоимость проекта 1 при ставке 13%, результаты
приведены в таблице 9:
Таблица 9
|
П1 (13%)
|
0
|
1
|
2
|
3
|
4
|
5
|
6
|
|
-600
|
-300
|
400
|
400
|
700
|
100
|
-100
|
|
-265,49
|
|
|
|
|
|
|
|
313,26
|
|
|
|
|
|
|
|
277,2
|
|
|
|
|
|
|
|
429,45
|
|
|
|
|
|
|
|
54,35
|
|
|
|
|
|
|
|
-48,08
|
|
|
|
|
|
|
|
Итого 760,69
|
|
|
|
|
|
|
Чистая приведенная стоимость для первого проекта при стоимости капитала
13% составит NPV = -600 + 760,69 = 160,69 (руб.)
Находим чистую приведенную стоимость проекта 2 при ставке 7%, результаты
приведены в таблице 10:
Таблица 10
|
П2 (7%)
|
0
|
1
|
2
|
3
|
4
|
5
|
6
|
|
-500
|
170
|
170
|
170
|
170
|
170
|
0
|
|
158,88
|
|
|
|
|
|
|
|
148,48
|
|
|
|
|
|
|
|
138,77
|
|
|
|
|
|
|
|
129,77
|
|
|
|
|
|
|
|
121,25
|
|
|
|
|
|
|
|
0
|
|
|
|
|
|
|
|
Итого 697,15
|
|
|
|
|
|
|
Чистая приведенная стоимость для второго проекта при стоимости капитала
7% составит NPV = -500 + 697,15 = 197,15 (руб.)
Находим чистую приведенную стоимость проекта 2 при ставке 13%, результаты
приведены в таблице 11:
Таблица 11
|
П2 (13%)
|
0
|
1
|
2
|
3
|
4
|
5
|
6
|
|
-500
|
170
|
170
|
170
|
170
|
170
|
0
|
|
150,44
|
|
|
|
|
|
|
|
133,13
|
|
|
|
|
|
|
|
117,81
|
|
|
|
|
|
|
|
104,29
|
|
|
|
|
|
|
|
92,39
|
|
|
|
|
|
|
|
0
|
|
|
|
|
|
|
|
Итого 598,06
|
|
|
|
|
|
|
Чистая приведенная стоимость для второго проекта при стоимости капитала
13% составит NPV = -500 + 598,06 = 98,06 (руб.)
Выводы по проектам:
При независимых проектах следует выбрать проект 1 и проект 2, так как при
ставке 7% чистая приведенная прибыль является положительной для обоих проектов.
При взаимоисключающих проектах следует выбрать проект 1, поскольку чистая
приведенная прибыль при ставке 7% (334,57) у него больше, чем у проекта 2
(197,15).
При независимых проектах следует выбрать проект 1 и проект 2, так как при
ставке 13% чистая приведенная прибыль является положительной для обоих
проектов.
При взаимоисключающих проектах следует выбрать проект 1, поскольку чистая
приведенная прибыль при ставке 13% у проекта 1 (160,69) больше, чем у проекта 2
(98,06).
.5 Внутренняя доходность (IRR)
Методика расчета внутренней ставки доходности без финансового
калькулятора достаточно трудоемка, в ее основе лежит метод интерполяции.
Поэтому для ее вычисления применим финансовую функцию MS Excel - «ВСД».
С помощью программы MS Excel вычислен IRR для первого проекта, равный IRR = 20,181%; для второго проекта, равный IRR = 20,762 %.
Произведем проверку для первого проекта:

+ 
+ 
+ 
+ 
+
= -
249,62556 + 277 + 230,415 + 335,57 + 40+(-33,33) = 600,029
600
+ 600,029 ≈ 0 => условие ICO = CF соблюдается
(первоначальные инвестиции равны приведенной стоимости будущих денежных
потоков).
Произведем
проверку для второго проекта:

+ 
+ 
+ 
+ 
+
= 140,775
+ 116,574 + 96,536 + 79,94 + 66,2+0 = 500,025
500
+ 500,025 ≈ 0 => условие ICO = CF соблюдается.
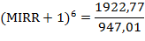
.6
Модифицированная внутренняя доходность (MIRR)
Проведем
расчет MIRR для проекта 1 при ставке 7%, результаты в таблице 12:
Таблица
12
|
0
|
1
|
2
|
3
|
4
|
5
|
6
|
|
-600
|
-300
|
400
|
400
|
700
|
100
|
-100
|
|
-280,37
|
|
|
|
|
|
107
|
|
|
|
|
|
|
801,43
|
|
|
|
|
|
|
490,02
|
|
|
|
|
|
|
524,32
|
|
|
|
|
|
|
|
|
-66,64
|
|
|
|
|
|
|
|
Итого -947,01
|
|
|
|
|
|
Итого 1922,77
|
Расчеты:
Проведем расчет MIRR
для проекта 2 при ставке 7%, результаты в таблице 13:
Таблица 13
|
0
|
1
|
2
|
3
|
4
|
5
|
6
|
|
-500
|
170
|
170
|
170
|
170
|
170
|
0
|
|
|
|
|
|
|
|
|
|
|
|
|
|
181,9
|
|
|
|
|
|
|
194,633
|
|
|
|
|
|
|
208,257
|
|
|
|
|
|
|
222,835
|
|
|
|
|
|
|
238,434
|
|
Итого -500
|
|
|
|
|
|
Итого 1046,059
|
Расчеты:
Проведем расчет MIRR
для проекта 1 при ставке 13%, результаты в таблице 14:
Таблица 14
|
0
|
1
|
2
|
3
|
4
|
5
|
6
|
|
-600
|
-300
|
400
|
400
|
700
|
100
|
-100
|
|
-265,49
|
|
|
|
|
|
113
|
|
|
|
|
|
|
893,83
|
|
|
|
|
|
|
577,16
|
|
|
|
|
|
|
652,19
|
|
|
|
|
|
|
|
|
-48,08
|
|
|
|
|
|
|
|
Итого -913,57
|
|
|
|
|
|
Итого 2236,18
|
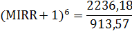
Расчеты:
Проведем расчет MIRR
для проекта 2 при ставке 13%, результаты в таблице 15:
Таблица 15
|
0
|
1
|
2
|
3
|
4
|
5
|
6
|
|
-500
|
170
|
170
|
170
|
170
|
170
|
0
|
|
|
|
|
|
|
|
|
|
|
|
|
|
192,1
|
|
|
|
|
|
|
217,073
|
|
|
|
|
|
|
245,292
|
|
|
|
|
|
|
277,18
|
|
|
|
|
|
|
313,214
|
|
Итого -500
|
|
|
|
|
|
Итого 1244,859
|
Расчеты:
При независимых проектах следует выбрать проект 1 и проект 2, так как
модифицированная внутренняя обоих проектов больше заданной стоимости капитала
(7%).
При взаимоисключающих проектах следует выбрать проект 2, поскольку
модифицированная внутренняя доходность (13,09%) у этого проекта больше, чем у
проекта 1 (12,53%).
При независимых проектах следует выбрать как проект 1, так и проект 2,
поскольку модифицированная внутренняя доходность обоих проектов больше заданной
ставки (13%).
При взаимоисключающих проектах следует выбрать проект 2, так как
модифицированная внутренняя доходность (16,42%) проекта 2 больше, чем у проекта
1 (16,09%).
.7 Индекс рентабельности
Определим индекс рентабельности для проекта 1 при ставке 7%
PI1(7% )=
Определим
индекс рентабельности для проекта 2 при ставке 7%
PI2(7% )=
Определим
индекс рентабельности для проекта 1 при ставке 13%
PI1(13% )=
Определим
индекс рентабельности для проекта 2 при ставке 13%
PI2(13% )=
Выводы:
При
независимых проектах следует выбрать проект 1 и проект 2 ,т.к. индекс
рентабельности обоих проектов при ставке 7% больше 1, а значит, данное вложение
капитала является эффективным.
При
взаимоисключающих проектах следует выбрать проект 1, т.к. индекс рентабельности
(1,557) при ставке 7% больше, чем у проекта 2 (1,3943).
При
независимых проектах следует выбрать проект 1 и проект 2 ,т.к. индекс
рентабельности обоих проектов при ставке 13% больше 1, а значит, данное
вложение капитала также является эффективным.
При
взаимоисключающих проектах следует выбрать проект 1, т.к. индекс рентабельности
(1,28) при ставке 13% больше, чем у проекта 2 (1,19%).
Заключение
Рассмотренные в данной курсовой работе показатели оценки инвестиционных
проектов необходимо правильно анализировать и на их основании принимать решение
о проведении инвестирования.
После того, как выполнены все необходимые расчеты, можно подвести итоги:
При независимых проектах мы можем выбрать как проект 1, так и проект 2,
поскольку по всем вышеприведенным показателям они удовлетворяют условиям
принятия проектов к реализации.
При взаимоисключающих проектах мы можем сделать выводы по основным
показателям оценки:
) По сроку окупаемости - следует выбрать Проект 2 со сроком
окупаемости 2,94, так как он окупится быстрее Проекта 1, со сроком окупаемости
3,14.
) По сроку дисконтированной окупаемости (ставка 7%) - следует
выбрать Проект 1, со сроком дисконтированной окупаемости 3,38 года, так как он
меньше, чем у Проекта 2 со сроком дисконтированной окупаемости 3,42 года.
По сроку дисконтированной окупаемости (ставка 13%) - следует выбрать
Проект 1 со сроком дисконтированной окупаемости 3,64 года, так как он меньше,
чем у Проекта 2 со сроком дисконтированной окупаемости 3,95 года.
) По величине чистой приведенной стоимости (ставка 7%) - следует
выбрать Проект 1, так как чистая приведенная прибыль больше, чем у Проекта 2
(334,54>197,15).
По величине чистой приведенной стоимости (ставка 13%) - следует выбрать
Проект 1, так как чистая приведенная прибыль больше, чем у Проекта 2
(160,69>98,06).
) По модифицированной доходности (ставка 7%) - следует выбрать
Проект 2 (13,09%), так как модифицированная внутренняя доходность больше, чем у
Проекта 1 (12,53%).
По модифицированной доходности (ставка 13%) - следует выбрать Проект 2
(16,42%), так как модифицированная внутренняя доходность больше, чем у Проекта
1 (16,09%).
) По индексу рентабельности (ставка 7%) - следует выбрать Проект
1, так как индекс рентабельности у этого проекта больше, чем у Проекта 2
(1,557>1,3943)
По индексу рентабельности (ставка 13%) - следует выбрать Проект 1, так
как индекс рентабельности у этого проекта также больше, чем у Проекта 2
(1,28>1,19)
Из выводов видно, что при взаимоисключающих проектах к реализации следует
принять Проект 1.
В курсовой работе представлен график (профиль NPV), который отображает криволинейную зависимость между
чистой приведенной стоимостью поступлений от реализации некоторого проекта и
используемой ставкой дисконтирования.
Библиографический список
. Ван Хорн Дж. К., Вахович Дж. М. Основы финансового менеджмента:
учебник / 2-е изд. - М.: «И.Д. Вильямс», 2008. - 1232 с.
. Ковалев В.В. Основы теории финансового менеджмента: учебник
/ [Электронный ресурс] / М.:ТК Велби, « Проспект», 2007. - 536 с.
3. Электронный ресурс:
<http://ru.wikipedia.org/>
4. Ефимов В. В. Требования к оформлению курсовых и дипломных
проектов: учебно-метод. пособие / В. В. Ефимов. - СПб. : Петербургский гос.
ун-т путей сообщения, 2012. - 46 с.