Оценка и управление рисками инвестиционных проектов

  • Вид работы:
    Дипломная (ВКР)
  • Предмет:
    Эктеория
  • Язык:
    Русский
    ,
    Формат файла:
    MS Word
    88,31 Кб
  • Опубликовано:
    2015-10-04
Вы можете узнать стоимость помощи в написании студенческой работы.
Помощь в написании работы, которую точно примут!

Оценка и управление рисками инвестиционных проектов

Федеральное государственное образовательное бюджетное учреждение высшего профессионального образования

«ФИНАНСОВЫЙ УНИВЕРСИТЕТ ПРИ ПРАВИТЕЛЬСТВЕ РОССИЙСКОЙ ФЕДЕРАЦИИ»

Кафедра «Инвестиционный менеджмент»







ДИПЛОМНАЯ РАБОТА

на тему: «Оценка и управление рисками инвестиционных проектов»


Выполнила:

Горяева Ксения Александровна





Москва 2012

Содержание

Введение

Глава 1. Теоретические аспекты оценки и управления рисками инвестиционных проектов

.1      Понятие рисков инвестиционных проектов

.2      Методы оценки рисков инвестиционных проектов

.3      Управление рисками инвестиционных проектов

Глава 2.Оценка инвестиционного проекта компании «Техснаб»

.1 Экономическая характеристика компании «Техснаб»

.2 Сущность и оценка инвестиционного проекта компании Техснаб»

Глава 3. Анализ рисков инвестиционного проекта компании «Техснаб»

.1 Оценка рисков инвестиционного проекта компании «Техснаб»

.2 Методы управления рисками инвестиционного проекта, применяемые в компании «Техснаб»

.3 Рекомендации по совершенствованию системы управления рисками в компании «Техснаб»

Заключение

Список литературы

Введение

Инвестиционные процессы играют ведущую роль в экономическом развитии страны, что непосредственно связано с реализацией различных инвестиционных проектов. Одна из важнейших составляющих инвестиционного проектирования - учёт факторов риска и неопределенности в процессе подготовки инвестиционных предложений, в ходе анализа эффективности инвестиционных проектов, а также в процессе реализации проектов. При анализе инвестиционных проектов часто возникает момент неопределённости, так как почти всегда приходится сталкиваться с тем, что все потоки денежных средств, которые подлежат оценке, будут относиться к будущим периодам. Соответственно, они будут носить прогнозный, вероятностный характер, за счёт чего будущие результаты очень сложно определить. Данная неопределенность может быть обусловлена многими экономическими и неэкономическими факторами. К основным из них можно отнести глобальные и региональные кризисы, различные колебания конъюнктуры, инфляции, валютных курсов, а также и различные природные и климатические факторы. Все эти факторы в основном никак не зависят от желания и усилий инвестора и плохо поддаются точной оценке.

Таким образом, данная неопределённость приводит к возникновению инвестиционных рисков, связанных с тем, что средства, вложенные в тот или иной инвестиционный проект, не окупятся, а прогнозируемые результаты не будут достигнуты.

Поэтому для того, чтобы принять решение об инвестировании средств в какой-либо проект, прежде всего, целесообразно выявить риски, сопутствовавших реализации данного инвестиционного проекта, и оценить их величину во избежание значительных финансовых потерь и сравнить их с допустимым приемлемым значением для инвестора. Если величина риска окажется недопустимой для инвестора, то возможно ему придётся отказаться от инвестирования в проект.

Но при реализации инвестиционного проекта важна не только идентификация и оценка его рисков, но также планирование мероприятий по управлению данными проектными рисками, что и представляет собой риск-менеджмент инвестиционного проекта. Итак, риском можно управлять, прогнозируя наступление рискового события и вовремя принимая меры к снижению степени риска.

Таким образом, актуальность данной работы обусловлена тем, что без проведения эффективного риск-менеджмента инвестиционного проекта невозможно проводить успешную его реализацию, а соответственно и обладать уверенностью в правильности принимаемого решения об инвестировании именно в тот или иной объект предпринимательской деятельности.

Цель данной выпускной квалификационной (дипломной) работы - комплексный анализ теоретических и практических основ оценки и управления рисками инвестиционных проектов.

Для достижения указанной цели в работе были поставлены следующие задачи:

·        Раскрытие сущности рисков инвестиционных проектов и методов их оценки

·        Выявление различных методов управления рисками инвестиционных проектов

·        Анализ деятельности компании и инвестиционного проекта, инициатором которой она является

·        Оценка эффективности инвестиционного проекта

·        Изучение практических методов оценки и управления рисками в ходе реализации инвестиционного проекта

·        Разработка рекомендаций по совершенствованию системы управления в компании

Объектом исследования выступает компания «Техснаб», которая реализует инвестиционный проект по созданию завода «Энергострой».

Предметом выпускной квалификационной (выпускной) работы является система управления и оценки рисков инвестиционного проекта.

Теоретической и методологической базой исследования послужили законодательные нормативные акты, монографии, посвященные системе управления проектными рисками, статьи в периодических изданиях, посвященные организации риск-менеджмента. В качестве базового законодательного акта был использован Федеральный закон № ФЗ-39 «Об инвестиционной деятельности, осуществляемой в форме капитальных вложений». Среди монографий были использованы издания Грачёвой М.В. «Риск-менеджмент инвестиционного проекта», Шапкина А.С. «Экономические и финансовые риски», Клейнера Г.Б., Тамбовцева В.Л.,. «Предприятие в нестабильной экономической среде: риски, стратегии, безопасность», Москвина В.А. «Управление рисками при реализации инвестиционных проектов. Рекомендации для предприятий и коммерческих банков», Гончаренко Л.П. «Риск-менеджмент» и другие.

Выпускная квалификационная работа (дипломная работа) состоит из введения, 3 глав, заключения, списка литературы и приложений.

.       
Теоретические аспекты оценки и управления рисками инвестиционных проектов

.1 Понятие рисков инвестиционных проектов

Понятие «риск» является очень многогранным, и поэтому существует большое количество его трактовок. Рассмотрим ряд определений, даваемых разными авторами:

1)      Риск - потенциальная, численно измеримая возможность потери. Понятием риска характеризуется неопределенность, связанная с возможностью возникновения в ходе реализации проекта неблагоприятных ситуаций и последствий.

2)      Риск - вероятность возникновения убытков или недополучения доходов по сравнению с прогнозируемым вариантом.

)        Риск - это неопределенность наших финансовых результатов в будущем. Дж. П. Морган определяет риск как степень неопределенности получения будущих чистых доходов.

)        Риск - это стоимостное выражение вероятностного события, ведущего к потерям.

)        Риск - шанс неблагоприятного исхода, опасность, угроза потерь и повреждений.

)        Риск - вероятность потери ценностей (финансовых, материальных товарных ресурсов) в результате деятельности, если обстановка и условия проведения деятельности будут меняться в направлении, отличном от предусмотренного планами и расчетами.

)        Риск - вероятность (угроза) потери предприятием части своих ресурсов, недополучения доходов или появления дополнительных расходов в результате осуществления определённой производственной или финансовой деятельности.

Ситуации риска сопутствуют три условия:

·        наличие неопределенности;

·        необходимость выбора альтернативы (вт. Ч. Отказ отвыбора);

·        возможность оценить вероятность осуществления выбираемых альтернатив.

Но ситуация риска отличается от ситуации неопределенности. Так, например, ситуация неопределённости проявляется в том, что вероятность наступления каких-либо событий не устанавливается. Ну а ситуация риска как раз является той разновидностью неопределённости, при которой вероятность наступления данных событий может быть определена, то есть может быть проведена её оценка.

Таким образом, кроме возникновения ситуации риска и его осознания, для субъекта необходимо принять решение, которое может быть сделано только на основе оценки, анализа риска как качественного, так и количественного. Соответственно, чем более эффективные методы оценки риска применит субъект, тем более правильным и успешным окажется его решение.

Итак, под термином риск можно понимать деятельность, связанную с преодолением неопределённости в ситуации неизбежного выбора, в процессе которой имеется возможность количественно и качественно оценить вероятность достижения предполагаемого результата, неудачи и отклонения от цели.

Фактор риска имеет существенное значение в инвестиционной деятельности. Ведь инвестирование всегда связано с иммобилизацией финансовых ресурсов предприятия и обычно осуществляется в условиях неопределенности, степень которой может значительно варьироваться. Поэтому именно в инвестиционной сфере важным является оценка, анализ и управлением риском.

Применительно к инвестиционному проекту понятие «риск» определяется как возможность недостижения каждым из участников проекта запланированного результата.

Воздействие факторов неопределённости в процессе реализации инвестиционного проекта приводит:

·        к невыполнению некоторых из предусмотренных проектом действий

·        изменению запланированных сроков выполнения проектных действий

·        отклонению от прогнозируемых проектных результатов

То есть неопределенность, связанная с возможностью возникновения в ходе реализации проекта неблагоприятных ситуаций и последствий, характеризуется понятием риска инвестиционного проекта.

Перед осуществлением инвестиционного проекта обычно определяются 2 основополагающих фактора - риск и доходность - и сравниваются. Каждый инвестор сам определяет для себя приемлемое соотношение данных факторов. Поэтому бывает и так, что самый высокодоходный вариант вложения капитала может оказаться и самым рискованным. А это значит, что для предпринимателя избежание риска зачастую может означать отказ от дополнительной возможной прибыли, которую можно получить в результате осуществления рискового события.

Существует широкая разновидность рисков инвестиционных проектов.

Инвестиционные риски по формам проявления подразделяются на:

·        риски реального инвестирования. Вообще под реальными инвестициями принять понимать вложения в создание новых, реконструкцию и техническое перевооружение действующих предприятий. Поэтому риски реального инвестирования связаны с:

ü  неудачным выбором месторасположения строящегося объекта

ü  перебоями в поставке материалов и оборудования

ü  выбором недобросовестного или неквалифицированного подрядчика

ü  ростом цен на инвестиционные товары

· риски финансового инвестирования. Финансовые инвестиции характеризуют вложения капитала в различные финансовые инструменты инвестирования, главным образом в ценные бумаги, а также в активы других предприятий. Таким образом, риски финансового инвестирования связаны с:

ü   неправильным выбором финансового инструмента для инвестирования

ü  непредвиденными изменениями условий инвестирования

ü  финансовыми затруднениями или банкротством отдельных эмитентов

По источникам возникновения проектных рисков можно выделить системные и несистемные риски.

Системным риском принято считать такой риск, который охватывает весь рынок в целом, а не принадлежит к какому-то одному или нескольким субъектам хозяйствования. То есть систематический риск связан с изменчивостью рыночной конъюнктуры и определяется внешними обстоятельствами и, соответственно, одинаков для однотипных субъектов.

В случае с системными рисками метод диверсификации не действует, и избежать опасности понести убытки в ходе осуществления капиталовложений крайне сложно.

Систематические риски подразделяются на:

·        риски непредсказуемых мер регулирования в сферах законодательства, ценообразования, нормативов, рыночных конъюнктур

·        риски природных катастроф и бедствий

·        риски преступлений

·        риски политических изменений

Вторым видом инвестиционного риска можно назвать несистемный риск, или как его ещё принято называть, специфический риск. Несистемный риск - это риск, воздействию которого могут подвергнуться только отдельные субъекты хозяйствования, а не весь рынок. Данный риск зависит именно от состояния конкретного субъекта хозяйствования и определяется его конкретной спецификой.

По сферам проявления инвестиционные риски подразделяются на:

·        экономические риски - риски, связанные с такими факторами неопределённости, как состояние экономики, проводимая государством экономическая бюджетная, финансовая, инвестиционная и налоговая политика, рыночная и инвестиционная конъюнктура, цикличность развития экономики и фазы экономического цикла, возможное невыполнение государством своих обязательств (различного рода дефолты, прекращения договоров и другие финансовые потрясения). Таким образом, экономический риск - риск потери конкурентной позиции предприятия вследствие непредвиденных изменений в экономическом окружении фирмы, например роста цен на энергоносители, процентных ставок за кредиты под финансирование оборотных средств, повышения таможенных тарифов и других аналогичных факторов.

·        технико-технологические риски - риски, связанные с такими факторами неопределенности, как надёжность оборудования, сложностью производственных процессов и технологий, уровень автоматизации, темпы модернизации оборудования и технологий.

·        политические риски - риски понесения убытков или снижения прибыли, связанные с неожиданными изменениями политической ситуации.

·        социальные риски - риски, связанные с такими факторами неопределённости, как социальная напряженность, забастовки, выполнение социальных программ.

·        экологические риски - риски, связанные со следующими факторами неопределенности, которые оказывают влияние на состояние окружающей среды, а также и на деятельность инвестируемых объектов: загрязнение окружающей среды, радиационная обстановка, экологические катастрофы и экологические программы.

·        законодательно-правовые риски - риски, связанные с изменением действующего законодательства, противоречивостью, неполнотой законодательно-правовой базы, отсутствием независимости судопроизводства и арбитража, лоббированием интересов отдельных групп лиц при принятии законодательных актов, неадекватностью существующей в государстве системы налогообложения.

.2 Методы оценки рисков инвестиционных проектов

При реализации любого инвестиционного проекта необходимо проводить комплексный анализ или оценку рисков, чтобы дать потенциальным партнёрам необходимые данные для принятия решений о целесообразности участия в проекте и выработки антирисковых мероприятий для защиты от возможных финансовых потерь.

Все методы, применяемые для анализа рисков проекта, можно условно разделить на качественные и количественные.

Главная задача качественного анализа инвестиционных рисков состоит в выявлении и идентификации возможных видов рисков рассматриваемого инвестиционного проекта, а также в определении и описании источников и факторов, которые влияют на данный вид риска. Кроме того, качественный анализ предполагает описание возможного ущерба, его стоимостной оценки и мер по снижению или предотвращению риска.

Качественный анализ служит основой для проведения количественного анализа, так как прежде чем перейти к точной оценке величины риска, нужно выяснить с какими рисками придётся столкнуться инвестору и какие факторы на них влияют, какие возможные последствия их реализации. Соответственно, без качественного анализа невозможно проводить количественный анализ.

Качественный анализ проектных рисков проводится на стадии разработки бизнес-плана, а обязательная экспертиза инвестиционного проекта позволяет подготовить полную информацию для анализа его рисков.

К основным факторам риска для инвестиционных проектов можно отнести:

·        ошибки в проектно-сметной документации

·        недостаточную квалификацию специалистов

·        форс-мажорные обстоятельства

·        нарушение сроков поставок, условий контрактов

·        низкое качество исходных материалов

Также в ходе качественного анализа определяются граничные значения (минимум и максимум) возможного изменения всех факторов или переменных проекта, проверяемых на риски.

Среди качественных методов оценки инвестиционного риска наиболее часто используются следующие:

·        анализ уместности затрат

·        метод аналогий

·        метод экспертных оценок

Рассмотрим первый качественный метод оценки инвестиционного проекта - анализ уместности затрат. Исходя из данного метода, перерасход средств может быть связан, прежде всего, с такими факторами:

·        изначальная недооценка стоимости проекта в целом или его отдельных фаз и составляющих

·        изменение границ проектирования, обусловленное непредвиденными обстоятельствами

·        отличие производительности машин и механизмов от предусмотренной проектом производительности

·        увеличение стоимости проекта по сравнению с первоначальной вследствие инфляции или изменения налогового законодательства

В ходе качественного анализа все эти факторы детализируются, а также составляется контрольный перечень возможного повышения затрат по статьям для каждого варианта проекта или его элементов.

При использовании данного метода финансирование проекта разбивается на этапы или стадии, что позволяет поэтапно следить за уровнем риска, и в нужный момент, если риск превышает допустимую величину, приостановить финансирование, или же найти способы снижения затрат по реализации данного проекта.

Следующим качественным методом оценки инвестиционных рисков является метод аналогий. Сущность данного метода состоит в анализе всех имеющихся данных, касающихся осуществления фирмой аналогичных проектов в прошлом для расчёта вероятностей возникновения потерь, а также изучения всей доступной информации по проектам-аналогам. На основании различных публикаций или практического опыта других предприятий финансовые менеджеры оценивают вероятность наступления определённых событий, получения конкретного финансового результата, степень финансового риска.

Недостатком данного метода оценки инвестиционных рисков является то, что сложно подобрать правильный аналог, максимально схожий с предлагаемым инвестиционным проектом. Также к недостаткам можно отнести и сложность оценить точность, с которой уровень риска аналогичного проекта можно принять за риск рассматриваемого.

Таким образом, можно сделать вывод о том, что метод уместности затрат и метод аналогий не предназначены для точной оценки риска инвестиционного проекта. Они более пригодны для описания возможных рисковых ситуаций.

Ещё одним качественным методом оценки инвестиционных рисков является метод экспертных оценок. Данный метод подразумевает использование опыта экспертов в управлении инвестиционными проектами, то есть отобранная группа экспертов оценивает проект по степени рисков. Если между мнениями экспертов будут обнаружены большие расхождения, они обсуждаются всеми экспертами для выработки более согласованной позиции. В целях получения более объективной оценки специалисты, проводящие экспертизу, должны обладать полным спектром информации об оцениваемом проекте.

Методы экспертной оценки включают комплекс логических и математико-статистических методов и процедур, связанных с деятельностью эксперта по переработке необходимой для анализа и принятия решений информации.

Основными методами экспертных оценок можно считать:

·        Вопросники

·        SWOT-анализ. Метод даёт оценку сильных и слабых сторон, благоприятных возможностей и грозящих опасностей, связанной с конкретной областью деятельности.

·        Метод Дельфи - инструмент, позволяющий учесть независимое мнение всех участников группы экспертов по обсуждаемому вопросу путем последовательного объединения идей, выводов и предложений и прийти к согласию. Этот метод основан на многократных анонимных групповых интервью.

Основная проблема, которая возникает при использовании метода экспертных оценок, связана с субъективностью и неточностью получаемых результатов. Это может быть связано с такими факторами, как:

·        некачественный подбор экспертов

·        возможность группового обсуждения,

·        доминирование какого-либо мнения (мнения «авторитетного лидера»)

Рассмотрим количественные методы оценки инвестиционных рисков. Основная задача количественного подхода заключается в численном измерении влияния факторов риска на поведение критериев эффективности инвестиционного проекта.

Для осуществления количественного анализа главным условием является проведение полноценного качественного анализа рисков данного инвестиционного проекта.

Основными методами, которые используются при проведении количественного анализа инвестиционных рисков, являются:

·        Статистический метод. Данный метод получил наибольшее распространение в количественном анализе инвестиционных рисков. Статистический метод заключается в изучении статистики потерь и прибылей, имевших место на данном или аналогичном предприятии, с целью определения вероятности события, установления величины риска.

При оценке инвестиционных рисков рассчитываются средние ожидаемые значения каких-либо показателей, оказывающих существенное влияние на реализацию инвестиционного проекта. Например, одним из таких показателей может являться предполагаемая прибыль от реализации данного проекта. Для того, чтобы было возможно рассчитать данные средние ожидаемые значения, чаще всего используют статистические показатели:

ü   Рассчитывается среднее ожидаемое значение с помощью средней арифметической взвешенной:


где x - среднее ожидаемое значение

хi - ожидаемое значение для каждого случаяi - число случаев наблюдения (частота)

Но расчёт среднего ожидаемого значения не позволяет с полной точностью принять решение об инвестировании в данный проект. Для этого можно воспользоваться такими показателями, как дисперсия и стандартное отклонение. Данные показатели позволяют определить колеблемость возможного результата.

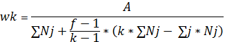
Также можно рассчитать коэффициент вариации, который предназначен для анализа затрат и результатов реализации какого-либо инвестиционного проекта. Он рассчитывается по формуле:


Если инвестор сталкивается с такой ситуацией, что степень ожидаемого дохода в обоих инвестиционных проектах является одинаковой, то целесообразным будет выбрать тот проект, у которого стандартное отклонение будет меньше.

А если же возникает такая ситуация, при которой ожидаемые доходы будут разными, то при выборе правильного решения по поводу инвестирования средств нужно будет ориентироваться не на среднее квадратичное отклонение, а уже на коэффициент вариации, который оценивает размер риска на величину доходности. Предпочтение отдается тем инвестиционным проектам, по которым значение коэффициента является более низким, что свидетельствует о лучшем соотношении дохода и риска.

К главному преимуществу статистического метода можно отнести то, что данный метод позволяет оценить не только риск инвестиционного проекта, а весь риск предприятия в целом.

К недостатку же данного метода можно отнести то, что статистический метод предполагает использование большого количества информации за длительный период для проведения анализа, что осложняет его применение.

·    Анализ чувствительности. При использовании данного метода риск рассматривается как степень чувствительности результирующих показателей реализации проекта к изменению условий функционирования (изменение налоговых платежей, ценовые изменения, изменения средних переменных издержек и т. П.). В качестве результирующих показателей реализации проекта могут выступать: показатели эффективности (NPV, IRR, PI, срок окупаемости), ежегодные показатели проекта (чистая прибыль, накопленная прибыль).

Техника проведения анализа чувствительности состоит в изменении выбранных параметров в определенных пределах, при условии, что остальные параметры остаются неизменными. Чем больше диапазон вариации параметров, при котором NPV или норма прибыли остается положительной величиной, тем устойчивее проект.

Таким образом, этот вид анализа позволяет определить наиболее критические переменные, которые в наибольшей степени могут повлиять на осуществимость и эффективность инвестиционного проекта.

При использовании данного метода сначала рассчитывается значение результирующего показателя такого, как, например, NPV. Затем рассчитывается то насколько изменится, отклонится результирующий показатель при изменении одного из условий функционировании, учитывая при этом, что все остальные условия остаются неизменными.

Для анализа чувствительности часто применяют расчёт показателя эластичности, который является достаточно информативным. Данный показатель представляет собой отношение процентного изменения результирующего показателя к изменению значения параметра на один процент:


где x1 - базовое значение варьируемого параметра,- измененное значение варьируемого параметра

Чем выше значение эластичности по какому-то фактору, тем более рисковым является инвестиционный проект, так как данный проект является более чувствительным к изменению данного фактора.

После всех расчётов происходит построение «матрицы чувствительности», которая позволяет объединить все факторы риска и ранжировать их по степени важности, а соответственно это позволяет выделить наиболее и наименее рискованные факторы для проекта.

Главным недостатком анализа чувствительности является то, что влияние фактора на результирующий показатель происходит изолированно, а ведь в реальной жизни все факторы являются взаимосвязанными, и соответственно изучение влияния одного фактора без рассмотрения остальных будет не очень точным и возможным.

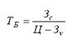
·    Метод проверки устойчивости. Степень устойчивости проекта по отношению к возможным изменениям условий его реализации характеризуются показателями предельного уровня. Основным показателем этой группы является точка безубыточности - такой уровень производства и реализации продукции, при котором чистая текущая стоимость проекта (NPV) равна нулю, т.е. проект не приносит ни прибыли, ни убытка. Чем ниже будет этот уровень, тем более вероятно, что данный проект будет жизнеспособен в условиях снижения спроса, и тем ниже будет риск инвестора.

Для подтверждения устойчивости проекта необходимо, чтобы значение точки безубыточности было меньше значений номинальных объемов производства и продаж. Чем дальше от них значение точки безубыточности, тем устойчивее проект. Проект обычно признается устойчивым, если значение точки безубыточности не превышает 75% от номинального объема производства. Близость значения точки безубыточности к 100 %, как правило, свидетельствует о недостаточной устойчивости проекта к колебаниям спроса на продукцию.

Точка безубыточности рассчитывается по формуле:


где Зc - постоянные затраты, уровень которых напрямую не связан с объемом производства продукции

Зv - переменные затраты, величина которых изменяется с изменением объема производства продукции

Ц - цена единицы продукции.

Недостатком данного метода анализа инвестиционных рисков является то, что даже удовлетворительные значения точки безубыточности на каждом шаге не гарантируют эффективность проекта, т.к.. при определении точки безубыточности в величине издержек обычно не включаются выплаты на компенсацию инвестиционных затрат, процентов по кредитам и т.д. Кроме того, данный метод не дает возможности провести комплексный анализ риска по всем взаимосвязанным параметрам, т.к. каждый показатель предельного уровня характеризует степень устойчивости в зависимости лишь от конкретного параметра проекта.

·           Метод сценариев. Под данным методом подразумевается разработка различных сценариев реализации инвестиционного проекта, их подробного описания в разных неблагоприятных ситуациях, условиях. По каждому сценарию исследуется, как будет протекать процесс реализации проекта, каковы будут при этом доходы, потери и показатели эффективности у отдельных участников, государства и населения.

Проект считается устойчивым и эффективным, если во всех рассмотренных ситуациях:

ü  NPV будет > 0

ü  обеспечивается необходимый резерв финансовой реализуемости проекта

Этот метод как раз позволяет учесть все изменяющиеся факторы, влияющие на реализацию инвестиционного проекта, во взаимосвязи, то есть провести комплексный анализ. Но данный метод позволяет рассматривать только несколько возможных исходов по проекту, хотя в действительности число возможных исходов не ограничено. Также, если определить вероятность того или иного сценария не возможно, то приходится основываться на принятии решения об инвестировании только на предположениях, суждениях или на личном опыте, поэтому возникает проблема достоверности вероятностных оценок.

·    Метод дерева решений. Дерево решений - графическое изображение последовательности решений и состояний среды с указанием соответствующих вероятностей и выигрышей для любых комбинаций альтернатив и состояний среды. Данный метод может быть использован, когда решения, которые нужно принять в настоящий момент, находятся в зависимости от предыдущих решений, и соответственно, накладывают отпечаток на принятие будущих решений.

Таким образом, данный метод предполагает пошаговое разветвление процесса реализации проекта с оценкой рисков, затрат, ущерба и выгод.

При оценке инвестиционного проекта с помощью дерева решений этот процесс принято разделять на 5 этапов:

v  формулирование задачи, то есть определение возможностей сбора информации, составление перечня событий, которые с определенной вероятностью могут произойти, установление временного порядка расположения событий и тех действий, которые можно предпринять

ü  построение дерева решений

ü  оценка вероятностей возникновения какого-либо события

ü  становление выигрышей или проигрышей

ü  решение задачи

Ограничением практического использования данного метода является исходная предпосылка, что проект должен иметь разумное число вариантов развития, чтобы не нагромождать анализ инвестиционного проекта.

·    Метод Монте-Карло. Данный метод является комбинацией анализа чувствительности и анализа сценариев на базе теории вероятностей. Он подразумевает использование современных информационных технологий из-за сложности и большого количества расчётов. Таким образом, компьютер генерирует сотни возможных комбинаций параметров, факторов проекта с учетом их вероятностного распределения. Каждая комбинация дает свое значение NPV, и в совокупности аналитик получает вероятностное распределение возможных результатов проекта.

Имитационное моделирование, которое используется при оценке методом Монте-Карло, строится по следующей схеме:

ü  формулируются параметры, факторы, влияющие на денежные потоки проекта

ü  строится вероятностное распределение по каждому параметру, фактору

ü  компьютер случайным образом выбирает значение каждого фактора риска, основываясь на его вероятностном распределении;

ü  эти значения факторов риска комбинируются с параметрами, по которым не ожидается изменение (например, налоговая ставка или норма амортизации), и рассчитывается значение чистого денежного потока для каждого года. По чистым денежным потокам рассчитывается значение чистого дисконтированного дохода (NPV);

ü  описанные выше действия повторяются много раз (обычно около 500 имитаций), что позволяет построить вероятностное распределение NPV;

ü  результаты имитации дополняются вероятностным и статистическим анализом.

Метод Монте-Карло является очень действенным средством анализа инвестиционных рисков, позволяя учитывать максимально возможное число факторов внешней среды.

Основные преимущества построения имитационных моделей - прозрачность всех расчетов, простота восприятия и оценки результатов анализа проекта всеми участниками процесса планирования. В качестве одного из серьезных недостатков этого метода выступают существенные затраты на расчеты, связанные с большим объемом выходной информации. Также недостатком можно считать то, что при разработке реальных моделей может возникнуть необходимость привлечения специалистов или научных консультантов со стороны. Данный метод влечёт за собой то, что исследование модели возможно только при наличии вычислительной техники и специальных пакетов прикладных программ.

.3 Управление рисками инвестиционных проектов

Реализация любого проекта всегда происходит под воздействием внешней и внутренней среды. Поэтому важны не только выявление и анализ возможных рисков конкретного проекта, как на стадии его разработки, так и на последующих стадиях его жизненного цикла, но также планирование и реализация процедур управления рисками, что в целом представляет собой риск-менеджмент инвестиционного проекта.

Независимо от причин возникновения риска естественным является желание каждого субъекта уменьшить возможные потери, связанные с реализацией конкретного инвестиционного проекта. Это осуществляется путём управления рисками.

В широком смысле управление риском - искусство и наука об обеспечении успешного функционирования любой производственно-хозяйственной единицы в условиях риска.

В узком смысле управление риском представляет собой процесс разработки и внедрения программы уменьшения любых случайно возникающих убытков фирмы.

Итак, управление риском называется разработка и реализация мероприятий, направленных как на противодействие негативному влиянию факторов риска, так и на использование их позитивного влияния на конечный результат.

Очень важным критерием и условием эффективного управления рисками служит предоставление исчерпывающей и необходимой информации о рисках, присущих конкретному инвестиционному проекту, и их последствиях. Приобретение надежной и достаточной в конкретных условиях информации помогает принять правильное решение по действиям в условиях рынка.

Риск-менеджменту как виду деятельности свойственны следующие характеристики:

·        Системный характер управления риском, предполагающий целостность, комплексность, способность системы к интеграции новых элементов

·        Сложность структуры системы управления риском, включающую многофункциональность, универсальность, многоуровневость

·        Высокая результативность системы управления риском, означающая гибкость, адаптивность, адекватность и эффективность

Главным методологическим принципом управления рисками является обеспечение сопоставимости оценки полезности и меры риска за счет измерения обоих этих показателей в общих единицах измерения.

Начальным этапом процесса управления риском является анализ риска, имеющий целью получение необходимой информации о структуре, свойствах объекта и имеющихся рисках, присущих инвестиционному проекту. Анализ рисков подразделяется на два взаимно дополняющих друг друга вида:

·   качественный, главная задача которого состоит в определении факторов риска и обстоятельств, приводящих к рисковым ситуациям

·        количественный, позволяющий вычислить размеры отдельных рисков и риска проекта в целом.

Качественный анализ предполагает идентификацию всех возможных рисков, выявление источников и причин риска, выявление выгод и возможных негативных последствий, которые могут наступить при реализации содержащего риск решения.

Количественный анализ предполагает численную оценку рисков, определение их степени и выбор оптимального решения. Количественная оценка вероятности наступления отдельных рисков и то, во что они могут обойтись, позволяет выделить наиболее вероятные по возникновению и весомые по величине потерь риски, которые будут являться объектом дальнейшего анализа для принятия решения о целесообразности реализации инвестиционного проекта.

Так как каждый вид риска допускает несколько традиционных способов его уменьшения, то возникает проблема оценки сравнительной эффективности воздействия на риск для выбора наилучшего из них с целью минимизировать возможный ущерб в будущем.

Критерии выбора могут быть различными, включая финансово-экономические критерии (обеспечение эффективности). Однако при принятии решения о том, какие методы следует использовать, нельзя все сводить к экономической отдаче. Важно учитывать и другие критерии, например, технические (отражающие технологические возможности снижения риска) или социальные (сведение риска к уровню, приемлемому для общества).

Этап принятия решений подразумевает возможность сформировать общую стратегию управления всем комплексом рисков, когда определяются требуемые ресурсы, происходит распределение задач среди менеджеров, осуществляется анализ рынка соответствующих услуг, обеспечивается информационное обеспечение, разрабатываются критерии эффективности выполнения определённых мероприятий.

Снижение уровня риска означает уменьшение либо размеров возможного ущерба, либо вероятности наступления неблагоприятных событий. Чаще всего оно достигается при помощи предупредительных организационно-технических мероприятий, например усиления безопасности зданий и сооружений, установки систем контроля и оповещения, противопожарных устройств, обучения персонала поведению в экстремальных ситуациях и т.д.

Исключение (упразднение) риска означает отказ от данного вида деятельности или такую существенную (радикальную) трансформацию деятельности, после которой данный риск устраняется.

Снижение интенсивности факторов риска (или снижение вероятности возникновения риска) - это организация деятельности таким образом, чтобы участники проекта могли максимально влиять на факторы риска, предотвращать и контролировать риск через снижение вероятности наступления неблагоприятного события; контролирование риска включает комплекс мер, направленных на ограничение потерь, если неблагоприятное событие всё-таки наступило.

Сохранение риска на существующем уровне не всегда означает отказ от любых действий, направленных на компенсацию ущерба, хотя такая возможность предусмотрена (см. «Без финансирования»). Предприятие может создать специальные резервные фонды (самострахования или риска), из которых будет компенсировать убытки при наступлении неблагоприятных ситуаций. Такой метод управления риском называется самострахованием - резервированием средств самих участников деятельности на покрытие ущербов в случае наступления определенных событий.

К мерам, осуществляемым при сохранении риска, могут быть также отнесены получение кредитов и займов для компенсации убытков и восстановления производства, получение государственных дотаций и др. Меры по передаче (диверсификации, поглощению) риска означают передачу ответственности за него третьим лицам при сохранении существующего уровня риска. К ним относятся:

·   страхование - передача риска страховой компании за определенную плату;

·   финансовые гарантии;

• поручительства и другие договоры (торговые контракты и т.д.).

Любая, даже достаточно простая деятельность сопряжена не с одним, а со многими рисками, поэтому в отношении одних рисков может применяться метод поглощения, в отношении других - страхование, третьих - предотвращение и/или контролирование. В рамках метода страхования, например, может использоваться совместное (взаимное) страхование, перестрахование, самострахование и традиционное страхование с участием профессиональных страховых компаний.

Можно выделить основные инструменты управления рисками:

·    Инструменты упразднения проектных рисков. К ним относятся меры по качественному и количественному анализу проектных рисков

·        Инструменты предотвращения и контроля проектных рисков включают в себя такие меры по профилактике неблагоприятных событий:

ü Создание систем мониторинга

ü  Обучение персонала

ü  Закупка и установка специального оборудования

ü  Контроль технологических процессов

ü  Сервисное обслуживание технологического оборудования компанией-производителем

ü  Передача объекта инвестиционной деятельности профессиональной компании-оператору

ü  Проверка оборудования на заводе-поставщике

ü  Создание систем контроля за качеством материалов. Сырья и полуфабрикатов

ü  Наём заказчиком проекта инженера-консультанта для надзора за ведением работ

·        Инструменты метода поглощения рисков можно разделить на подгруппы:

ü  Создание резервных фондов как отдельными участниками проектной деятельности, так и общих резервных фондов в рамках проекта (самострахование и взаимное страхование)

ü  Расширение круга участников проектной деятельности для снижения «рисковой нагрузки» в расчёте на одного участника

ü  Гарантии, предоставляемые одними участниками проекта другим участникам

ü  Другие способы распределения и перераспределения рисков между участниками проектной деятельности (прежде всего залог)

Такие инструменты, как гарантия, поручительство, залог, обычно выполняют не только компенсирующую функцию (возмещение ущерба бенефициару в результате реализации того или иного проектного риска), но и стимулирующую должника к выполнению своих обязательств по проекту.

Многие инструменты распределения и перераспределения рисков между участниками проектной деятельности в той или иной мере выполняют одновременно функции превентивно-профилактические. Эти инструменты (поручительство, гарантия, залог, удержание имущества должника, задаток) таковы, что невыполнение участником проекта своих обязательств создает ущерб не только для остальных, но и для него самого. Наиболее ярко превентивно-профилактическая функция выражена в таком инструменте, как неустойка (лишь в некоторых случаях уплата штрафов и пеней может компенсировать (частично) ущербы от реализации риска, если по каким-либо причинам не срабатывают основные компенсирующие механизмы).

В тех случаях, когда основным методом управления риском по тем или иным причинам оказывается поглощение риска и оцененный риск в расчете на одного участника проектной деятельности оказывается непомерным, можно использовать расширение круга участников.

Рассмотрим основные методы управления проектными рисками: диверсификацию, страхование и резервирование средств.

Методы диверсификации подразделяются на:

·        распределение ответственности между участниками проекта необходимо для того чтобы четко разграничить сферы деятельности и ответственность каждого участника, а так же условия перехода работ и ответственности от одного участника к другому и юридически это закрепить в договорах. Не должно быть этапов, операций или работ с размытой или неоднозначной ответственностью;

·        диверсификация видов деятельности и зон хозяйствования это увеличение числа применяемых технологий, расширение ассортимента выпускаемой продукции или оказываемых услуг, ориентация на различные социальные группы потребителей, на предприятия различных регионов;

·        диверсификация сбыта и поставок, т.е. работа одновременно на нескольких рынках, когда убытки на одном рынке могут быть компенсированы успехами на других рынках, распределение поставок между многими потребителями, стремясь к равномерному распределению долей каждого контрагента. Так же мы можем диверсифицировать закупку сырья и материалов, что предполагает взаимодействие со многими поставщиками, позволяя ослабить зависимость предприятия от его "окружения". При нарушении поставок по разным причинам предприятие безболезненно сможет переключиться на работу с другим поставщиком аналогичного продукта;

·        диверсификация инвестиций это предпочтение реализации нескольких относительно небольших по вложениям проектов, чем реализация одного крупного инвестиционного проекта, требующего задействовать все ресурсы и резервы предприятия, не оставляя возможностей для маневра.

·        распределение риска во времени (по этапам работы), т.е. необходимо распределять и фиксировать риск во времени при реализации проекта. Это улучшает наблюдаемость и контролируемость этапов проекта и позволяет при необходимости сравнительно легко их корректировать.

Следующим методом управления рисками является страхование. В общем случае страхование - это соглашение, согласно которому страховщик зa определенное обусловленное вознаграждение (страховую премию) принимает на себя обязательство возместить убытки или их часть страхователю, произошедшие вследствие предусмотренных в страховом договоре опасностей и случайностей, которым подвергается страхователь или застрахованное им имущество.

Большинству крупных проектов свойственна задержка в их реализации, что может привести для заказчика к увеличению стоимости работ, превышающему первоначальную стоимость проекта.

Выход из такой ситуации заключается в том, что к участию в проекте необходимо привлекать страховые компании.

Менеджер, ответственный за управление риском, выбирает для этого методы, способные сильнее других повлиять на общий потенциал реализации проекта. Он должен решить, выгодно ли прибегнуть к традиционному общему страхованию или необходимо использовать какую-либо иную форму страхования, чтобы наиболее надежно обеспечить покрытие возможных убытков и в наименьшей степени ущемить финансовые интересы компании. В конечном итоге наилучшим решением может оказаться сочетание нескольких методов.

Сущность страхования выражается в том, что инвестор готов отказаться от части доходов, чтобы избежать риска, т.е. он готов заплатить за снижение степени риска до нуля.

Страхователь получает следующие выгоды от страхования: возмещение убытков в случае неожиданных потерь; уменьшение неопределенности; высвобождение денежных средств для более эффективного использования; использование специалистов службы управления риском, обеспечиваемой страховщиком.

Таким образом, страхование риска есть, по существу, передача определённых рисков страховой компании. Могут быть применены два основных способа страхования: имущественное и от несчастных случаев.

Также очень важным методом управления риска является резервирование средств или самострахование. Резервирование средств, как способ снижения отрицательных последствий наступления рисковых событий состоит в том, что предприниматель создает обособленные фонды возмещения убытков при непредвиденных ситуациях за счет части собственных оборотных средств. Резервирование средств на покрытие убытков часто называют самострахованием.

Одной из важнейших характеристик метода резервирования средств, определяющих его место в системе мер, направленных на снижение риска является требуемый в каждом конкретном случае объем запасов. Поэтому в процессе оценки эффективности, выбора и обосновании вариантов снижения риска посредством резервирования средств необходимо определить оптимальный размер запасов.

Подобные задачи оптимизации запасов являются, как правило, достаточно сложными. Их решению посвящено большое количество исследований и разработок, составивших специальный раздел экономико-математических методов под общим названием теория управления запасами.

Такие расчеты осуществляются, как правило, при запланированном риске, когда известна вероятность появления и величина возможных потерь, и эти потери решено возмещать из текущего дохода.

Вместе с тем, возможно наступление и незапланированных рисков, потери от которых приходится возмещать любыми имеющимися средствами. Для таких случаев также желательно образовать страховой резервный фонд.

В любом случае источником возмещения потерь от наступления риска служит прибыль. При создании таких фондов это накопленная прибыль, в случае отсутствия таких фондов и наступления рисковых событий - недополученная прибыль.

Резервирование средств предусматривает установление соотношения между потенциальными рисками, влияющими на стоимость проекта, и размером расходов, необходимых для преодоления сбоев в выполнении проекта.

При определении суммы резерва на покрытие непредвиденных расходов необходимо учитывать точность первоначальной оценки стоимости проекта и его элементов в зависимости от этапа проекта, на котором проводилась эта оценка. Если оценка не учитывает в полной мере реальное влияние на проект потенциального риска, то неизбежен значительный перерасход средств. Тщательно разработанная оценка непредвиденных расходов сводит до минимума перерасход средств. Определение структуры резерва на покрытие непредвиденных расходов может производиться на базе одного из двух подходов. При первом подходе резерв делится на две части: общий и специальный. Общий резерв должен покрывать изменения в смете, добавки к общей сумме контракта и другие аналогичные элементы. Специальный резерв включает в себя надбавки на покрытие роста цен, увеличение расходов по отдельным позициям, а также на оплату исков по контрактам.

Второй подход к созданию структуры резерва предполагает определение непредвиденных расходов по видам затрат. Это позволяет определить степень риска, связанного с каждой категорией затрат, которые затем можно распространить на отдельные этапы проекта.

Резерв на непредвиденные расходы определяется только по тем видам затрат, которые вошли в первоначальную смету. Резерв не должен использоваться для компенсации затрат, понесенных вследствие неудовлетворительной работы.

С точки зрения эффективности менеджмента самострахование обладает определенными преимуществами. Они связаны с увеличением гибкости управления риском, сохранением контроля над денежными средствами и большим контролем за качеством дополнительного сервиса.

К недостаткам самострахования следует отнести дополнительные организационные затраты, недооценку уровня возможного риска, воздействия инфляции на фонд риска.

Одной из специфических форм страхования имущественных интересов является хеджирование - система мер, позволяющих исключить или ограничить риск финансовых операций в результате неблагоприятных изменений курса валют, цен на товары, процентных ставок и т.п. в будущем. Суть хеджирования сводится к ограничению прибылей и убытков, обусловленных изменением на рынках цен товаров, валют и т.д., за счет производных ценных бумаг (торговых опционов, фьючерсных и форвардных контрактов) и других финансовых инструментов.

Всякий раз, когда две стороны соглашаются в будущем обменяться какими-либо видами товаров по заранее оговоренным ценам, речь идет о форвардном контракте.

Форвардный контракт - это соглашение между двумя сторонами о будущей поставке предмета контракта, которое заключается вне биржи. Все условия сделки оговариваются контрагентами в момент заключения договора. Исполнение контракта происходит в соответствии сданными условиями в назначенные сроки.

Форвардный контракт заключается, как правило, для осуществления реальной продажи или покупки соответствующего актива, в том числе в целях страхования поставщика или покупателя от возможного неблагоприятного изменения цены. Форвардный контракт также может заключаться с целью игры на разнице курсовой стоимости активов.

В момент заключения форвардного контракта стороны согласовывают удобные для них условия. Поэтому форвардный контракт не является контрактом стандартным. Согласовывается цена, по которой сделка будет исполнена. Данная цена называется ценой поставки. Она остается неизменной в течение всего времени действия форвардного контракта. Если через некоторое время заключается новый форвардный контракт, то в нем фиксируется новая цена поставки, которая может отличаться от цены поставки первого контракта, поскольку изменились ожидания инвесторов относительно будущей конъюнктуры рынка для актива, лежащего в основе контракта.

Существует ещё один вид контрактов - фьючерсный. Фьючерсный контракт - это, по существу, тот же самый форвардный контракт, торговля которым производится на некоторых биржах и его условия определенным образом стандартизованы. Биржа, на которой заключаются фьючерсные контракты, берет на себя роль посредника между покупателем и продавцом, и таким образом получается, что каждый из них заключает отдельный контракт с биржей. Стандартизация означает, что условия фьючерсных контрактов (т.е. количество и качество поставленного товара и т.д.) одинаковы для всех контрактов. В то же время стандартный характер условий контракта может оказаться неудобным для контрагентов. Например, им требуется поставка некоторого товара в ином количестве, в ином месте и в другое время, чем это предусмотрено фьючерсным контрактом на данный товар. Кроме того, на бирже может вообще отсутствовать фьючерсный контракт на актив, в котором заинтересованы контрагенты. В связи с этим заключение фьючерсных сделок, как правило, имеет своей целью не реальную поставку актива, а хеджирование позиций контрагентов или игру на разнице цен.

Существенным преимуществом фьючерсного контракта является то, что его исполнение гарантируется расчетной палатой биржи. Таким образом, заключая контракт, инвесторам нет необходимости выяснять финансовое положение своего партнера.

Ещё одним финансовым инструментом хеджирования являются свопы. Своп состоит в том, что две стороны обмениваются друг с другом своими последовательными платежами с определенными интервалами и в рамках установленного периода времени. Выплаты по свопу базируются на оговоренной сторонами сумме контракта.

В современных условиях свопы часто организуются финансовыми посредниками. Обычно посредник заключает соглашение с одной компанией и после этого ищет другую компанию для заключения свопа. Свопы заключаются на внебиржевом рынке, поэтому гарантию их исполнения для участвующих компаний обеспечивает финансовый посредник. Поэтому в свопах риски будут возникать главным образом для посредника.

В основном свопы используются для хеджирования рисков. Например, если компания ожидает повышения процентных ставок, она может застраховаться путем обмена обязательств с плавающей ставкой на обязательства с твердой ставкой.

Опционы - еще одна повсеместно распространенная форма страхового договора. Хеджирование с помощью опционов предусматривает право (но не обязанность) страхователя за определенную плату (опционную премию) купить заранее оговоренное количество валюты по фиксированному курсу в согласованный срок.

2. Оценка инвестиционного проекта компании «Техснаб»

.1 Экономическая характеристика компании «Техснаб»

Инициатор рассматриваемого далее проекта по строительству завода энерго-строительных конструкций - ОАО "Снабтех" - крупная торговая компания, осуществляющая свою деятельность на рынке промышленного оборудования и комплектующих. Компания активно реализует планы в области снабжения предприятий электроэнергетической отрасли России, инициировала старт проекта создания высокотехнологического производственного предприятия по изготовлению энерго-строительных конструкций (опор линий электропередач и стоек контактной сети для электрификации железных дорог). Имея продолжительный опыт на рынке поставок энерго-строительных конструкций, обладая обширной сбытовой сетью и имея репутацию безупречного поставщика, компания в настоящее время испытывает острый недостаток данных изделий, необходимый для обеспечений потребностей своих постоянных клиентов. Причиной дефицита этой продукции является недостаток производственных мощностей основных производителей - ведущих заводов энерго-строительных конструкций России, в результате которого поставщики компании "Снабтех" не располагают техническими возможностями удовлетворить заявленные объемы на продукцию. В условиях стабильно растущего спроса, компания "Снабтех", вследствие ограниченных возможностей поставщиков, не имеет возможности без собственного производства реализовать имеющийся потенциал и нарастить объемы бизнеса.

Мощные ресурсы инициатора проекта, в частности, обширная сбытовая сеть и наработанные каналы сбыта крупнейшим потребителям продукции проекта - ОАО "ФСК", "МРСК", ОАО "РЖД" и успешный опыт работы по строгим тендерам, позволяют обеспечить гарантированный сбыт всей продукции проекта и полностью загрузить производственные мощности проектируемого завода. В рамках данного проекта инициатор выступает в роли основного акционера, гарантирующего основной вклад инвестиций.

Стремительный рост выручки компании происходил в 2008-2009 годах, после чего в 2010 году произошел небольшой спад. Но, тем не менее, уровень выручки в 2010 году намного больше превышает этот же уровень в 2007 году, что говорит о положительной тенденции в развитии компании.

Также оборот запасов существенно снизился в 2010 году в связи с тем, что в этот период значительно увеличились запасы (см. Баланс компании «Снабтех»), что может свидетельствовать о стремлении минимизировать возможный риск непоставок или резкого изменения цен. Такая тенденция также могла быть вызвана нестабильной финансовой ситуацией в стране.

Оборот дебиторской задолженности, наоборот, говорит о положительных тенденциях, так как в 2010 году он снизился с 80 до 38 дней, что говорит о более быстрой оплате покупателей своей задолженности перед компанией «Снабтех» и, таким образом, более быстром возврате денежных средств на расчётный счет компании. Также положительная тенденция свойственна и обороту кредиторской задолженности, так как он снизился в 2010 году по сравнению с 2008 годом с 250 дней до 52.

Положительной динамикой также отличается и коэффициент покрытия, учитывая тот факт, что он увеличивается с каждым годом, а соответственно это служит показателем об увеличении платёжеспособности компании «Снабтех», что также можно выявить в увеличении коэффициента платёжеспособности с 2,16% в 2008 году до 11,24% в 2010 году.

.2 Сущность и оценка инвестиционного проекта компании «Снабтех»

Компания «Снабтех» является инициатором инвестиционного проекта по созданию завода энерго-строительных конструкций «Энергострой». Основная цель проекта состоит в создании производственного предприятия по выпуску энерго-строительных конструкций - оцинкованных металлических опор линий электропередач и стоек контактной сети для электрификации железных дорог, проектной мощностью 38 400 тонн изделий в год. Проектируемое предприятие основано на передовых технологиях обработки металла, характеризуется высокой производительностью, экономичностью, компактностью, а выпускаемая продукция отвечает самым строгим стандартам качества.

Основной продукцией проекта, проектируемого завода, являются металлические оцинкованные опоры воздушных линий электропередач и стойки железнодорожной контактной сети.

Продукция проекта не подвержена давлению со стороны товаров-субститутов - деревянных и железобетонных опор, поскольку имеет несомненные преимущества, в частности:

·        металлические опоры более надежны - в аварийном режиме металлические опоры выдерживают нагрузки в 2 раза больше железобетонных;

·        более долговечны - срок службы металлических опор достигает 70 лет;

·        экономичны - капитальные затраты на сооружение 1 км. Линии электропередач на 15 - 20% ниже в случае установки железобетонных;

·        обладают лучшей транспортабельностью.

Завод, спроектированный на основании передовых технологических решений, с использованием последних достижений зарубежного машиностроения, обладает несомненным преимуществом: низкой энергоемкостью, экономичным потреблением расходных материалов, высокой автоматизацией производства и точностью обработки металла.

Общая стоимость проекта составляет 1 446 065 тыс. руб. и сформирована двумя составляющими:

·        Капитальными вложениями - 1 261 307 тыс. руб.

·        Вложениями на формирование стартового оборотного капитала - 184 758 тыс. руб.

Исходя из масштабности и объема необходимых инвестиций, для реализации проекта утверждена комплексная структура финансирования (см. таблица 5), включающая заемное финансирование по типу проектного, с долей участия в проекте не более 39% (568 837 тыс. руб.), собственные средства акционеров проекта с долей участия 54 % (780 746 тыс. руб.) и внутренние источники проекта (реинвестирование чистой прибыли) с долей участия 7% (96482 тыс. руб.).

Основными потребителями продукции проектируемого завода являются энергетики: Федеральная сетевая компания, Межрегиональные сетевые и ОАО «РЖД».

Ситуация на местном уровне характерна тем, что нет ни одного специализированного предприятия по производству оцинкованных опор для нужд энергетиков и железнодорожников. Более того, в результате относительной нехватки данного вида продукции, на рынке металлических опор сегодня сохраняется благоприятная ценовая конъюнктура. Благодаря чему средняя рентабельность в сегменте производства металлических опор ЛЭП, в зависимости от наименования продукции, достигает 20 - 40%. Самую высокую рентабельность имеют производители многогранных опор - до 50 - 60%. Рынок многогранных опор только начал формироваться, так как продукция эта новая как для потребителей, так и для производителей. Заводов, готовых выполнять поставки оцинкованных многогранных опор в России всего три.

Важной предпосылкой для реализации проекта является тот факт, что инициатор проекта имеет успешный многолетний опыт в сегменте реализации энергетических стальных конструкций, благодаря чему, имеет налаженные контакты с потребителями продукции как на местном, так и на федеральном уровне. Необходимо так же отметить наличие у инициатора проекта административных ресурсов. Опыт, контакты и ресурсы инициатора проекта позволяют, в частности, подтвердить договорами и протоколами о намерении 100% сбыт продукции проекта и 100% сырьевое обеспечение проекта на выгодных условиях.

Местоположение производственной площадки в самом центре страны, на границах Европы и Азии, позволяет с минимальным транспортным плечом доставлять продукцию в любую точку России, как в западном, так и восточном направлениях.

Также важно отметить наличие необходимой для производства сырьевой базы, в том числе близость заводов изготовителей металлопроката и цинка, возможность заключения долгосрочных контрактов на поставку сырья для завода.

Общее производство металлических опор, на протяжении последних пяти лет имеет тенденцию к устойчивому росту на 15-20% в год, что обусловлено активной модернизацией электросетевой инфраструктуры России.

Общий срок реализации проекта составляет 76 месяца, из них первые 29 месяцев занимает инвестиционная фаза проекта (см. рис.9), в которой выделены два последовательных этапа:

· этап создания производства уголковых опор и стоек контактной цепи,

· этап создания производства многогранных опор.

Проект создания завода имеет исключительно высокие показатели финансовой состоятельности и экономической эффективности. К примеру, показатели финансовой устойчивости проекта являются весьма позитивными. Из анализа этой группы коэффициентов видно, что с самого начала функционирования предприятие будет иметь высокую надежность и способно стабильно выполнять свои долгосрочные обязательства. Основные показатели экономической эффективности свидетельствуют об инвестиционной привлекательности рассматриваемого проекта. Проект характеризуется непродолжительным сроком окупаемости, высокой нормой прибыли и чистой приведенной стоимостью. Более подробно данные показатели будут рассмотрены далее.

Проведём анализ экономической эффективности проекта и производства отдельных видов продукции на основании системы показателей, основные из которых:

·        Рентабельность. Уровень рентабельности представляет собой итоговый показатель экономической эффективности производства. Уровень рентабельности (УР) рассчитывается как процентное отношение прибыли к затратам: Рентабельность = Прибыль/Совокупные затраты х 100% Анализ рентабельности производится по маржинальной прибыли (выручка за минусом переменных расходов) и прибыли до налогообложения.

·        Прибыльность продаж. Другим важным для экономического анализа показателя является прибыльность продаж. Данный показатель позволяет определить, сколько прибыли приходится на единицу выручки. Показатель прибыльности продаж рассчитывается как процентное отношение валовой прибыли к валовой выручке. ПП - ВП/Валовая выручка х 100%.

При средней цене многогранных опор (средняя за весь период реализации проекта) - 118 тыс. руб. (без НДС), рентабельность по удельной прибыли составит 94%, а прибыльность продаж - 48%.

Несколько ниже показатели эффективности у стоек контактной цепи: рентабельность по удельной прибыли - 56% (при средней стоимости продукции 111 тыс. руб. без НДС), удельная прибыльность продаж - 36%. Отличия в показателях экономической эффективности многогранных опор и стоек контактной сети вызваны, помимо прочего, разными сроками запуска в производство этих продуктов. Так, стойки контактной цепи запускаются в производство на год раньше многогранных опор.

Приблизительно равными показателями эффективности характеризуется производство решетчатых опор и услуг цинкования: рентабельность по удельной прибыли решетчатых опор составляет 38%, прибыльность продаж - 27%, при средней цене решетчатых опор - 80 тыс. руб. без НДС. Соответственно, рентабельность по удельной прибыли услуг цинкования - 40%, прибыльность продаж - 29%, при средней цене услуг цинкования - 17 тыс. руб. без НДС.

Несмотря на сравнительно низкий уровень коэффициентов экономической эффективности, производство уголковых опор и услуг цинкования целесообразно в больших объемах (доля уголковых опор в структуре товарного портфеля достигает 56%), поскольку спрос на эту продукцию самый стабильный, технология их производства оточена за многие годы, а производственный процесс их изготовления максимально автоматизирован.

Также одной из важных составляющих оценки прибыльности деятельности является анализ безубыточности, позволяющий определить устойчивость проекта к возможным колебаниям объемов выпуска и продаж производимой продукции. При анализе безубыточности рассчитывается точка безубыточности, то есть минимальный объем реализации, при котором прибыль компании равна нулю. Также анализируется запас прочности организации, который характеризует зону безопасной работы для компании и рассчитывается как разница между выручкой от реализации в отчетном году и выручкой от реализации в точке безубыточности. Анализ безубыточности выполнен как по проекту в целом по совокупным показателям, так и для каждого вида продукции в отдельности.

При общем анализе безубыточности для всех групп товаров, цена продукции рассчитывалась как средняя величина (отношение выручки от продажи к суммарному объему производства).

Объем производства по всем интервалам планирования (год) превышает точку безубыточности, что можно проследить и по показателю «Абсолютное отклонение», которое показывает отклонение от точки безубыточности в денежном выражении (прибыль/ убыток) или по «Запасу прочности», который показывает, на сколько процентов может быть снижен (увеличен) объем производства для достижения точки безубыточности.

Запас прочности проекта, с момента запуска производства (с 2011 года), уверенно растет и достигает весьма впечатляющих показателей в последний год реализации проекта (2015) - 379%. Столь внушительный рост связан как с экономическими особенностями самого проекта, так и стремительным ростом объемов производства. Для проекта характерна высокая доля переменных расходов, за счет чего достигается низкое положение точки безубыточности.

Так, значение минимальной цены в таблице показывает то значение цены, при котором при фактическом объеме производства прибыль будет равна нулю. Уровень фактических цен проекта имеет внушительный запас прочности по отношению к минимальной цене, к примеру, в 2011 году фактические цены превышают минимальный уровень только на 18%, а к 2015 году запас прочности по минимальной цене увеличивается до 63%.

Также необходимо произвести анализ отчета о прибылях и убытках, который отражает размеры получаемой прибыли (убытков) завода за установленное время реализации проекта (76 месяцев).

Исходя из рис. 16 со второго месяца функционирования производства проект показывает чистую прибыль, которая стабильно нарастает и уже через шесть месяцев покрывает накопленный за инвестиционный период убыток (92 млн.) Операционная деятельность проекта характеризуется цикличностью спроса, которая отражается на величине выручки и чистой прибыли, вызывая их колебания. Вместе с тем приведенный отчет о прибылях и убытках характеризует данный проект, как устойчиво прибыльный - чистая прибыль на протяжении всего периода, с момента запуска проекта, положительна, и находится на приемлемом для инвесторов уровне.

Далее рассмотрим «Отчет о движении денежных средств» (см. Приложение), который отражает формирование и использование денежных средств в процессе реализации проекта в динамике по интервалам планирования. Оценка обеспеченности финансовыми ресурсами проекта выполнена с учетом потребности проекта, как в приобретении основных фондов, так и формировании оборотных средств на каждом из интервалов планирования. Положительное сальдо баланса поступлений и платежей в течение срока жизни проекта свидетельствует о его финансовой устойчивости.

Поскольку «Отчет о движении денежных средств» в текущем бизнес-плане построен прямым методом для целей отражения способности предприятия генерировать денежные потоки для погашения займа, то денежные поступления и денежные выплаты отражаются в разрезе:

·      притока денежных средств;

·        оттока денежных средств.

«Приток денежных средств» в приведенном отчёте имеет положительный знак «+» и формируется за счет трех основных притоков: привлеченных средств, собственных средств и выручки, генерируемой проектом. Динамика поступлений и прямых производственных расходов имеет цикличный характер, который обусловлен сезонностью спроса на продукцию. При этом, на всем протяжении постинвестиционного периода средств от выручки достаточно для оплаты всех затрат, учтенных в Оттоке денежных средств.

«Отток денежных средств» отражается с отрицательным знаком «-» и формируется за счет эксплуатационных, коммерческих расходов, изменения чистого оборотного капитала, налоговых выплат, а также общей суммы выплат по кредитам и затрат на приобретение основных средств. Как и выручка, прямые производственные расходы имеют циклический характер, обусловленный сезонным изменением объема производства.

Теперь проведём анализ балансовой ведомости инвестиционного проекта. Баланс отражает основные хозяйственные показатели состояния предприятия на конец расчетных периодов времени (представлен по интервалам планирования). Из анализа структуры баланса видно, что в течение горизонта расчетов проекта наблюдается относительно равномерный рост валюты баланса. Сезонность спроса на готовую продукцию, а вместе с ней и циклические изменения объема производства и продаж, не снижают валюты баланса, а только приводят к замедлению темпов ее роста. В целом, структура баланса завода характеризует проект как благоприятный для реализации и весьма надежный.

Для проведения комплексного анализа эффективности данного проекта также необходимо провести расчет показателей финансовой состоятельности на основании данных баланса инициатора проекта на прогнозный период по интервалам планирования.

Финансовые показатели, наиболее часто применяемые в финансовом анализе, разделяются на пять групп, отражающих различные стороны финансового состояния предприятия:

·           Коэффициенты ликвидности;

·        Показатели структуры капитала (коэффициенты финансовой устойчивости);

·        Коэффициенты рентабельности;

·        Коэффициенты деловой активности;

·        Инвестиционные критерии.

Показатели ликвидности характеризуют способность компании удовлетворять претензии держателей краткосрочных долговых обязательств.

Показатели структуры капитала отражают соотношение собственных и заемных средств в источниках финансирования компании, то есть характеризуют степень финансовой независимости компании от кредиторов. Это является важной характеристикой устойчивости предприятия.

Коэффициенты рентабельности оказывают, насколько прибыльна деятельность компании.

Коэффициенты деловой активности позволяют проанализировать, насколько эффективно предприятие использует свои средства.

Инвестиционные критерии. Один из наиболее важных показателей, влияющих на рыночную стоимость компании.

Согласно Приложению показатели ликвидности имеют положительные тенденции, что в целом свидетельствует об увеличении способности исследуемого предприятия выполнять свои краткосрочные обязательства, а также о его финансовой устойчивости и наличии резервов для расширения деятельности. Так, например, коэффициент текущей ликвидности на всем протяжении реализации проекта имеет значение, во много раз превышающую пороговую величину - 1,0. Чистый оборотный капитал стабильно выходит в положительную область спустя 12 месяцев с момента запуска производства и в последующем стабильно нарастает, достигая к окончанию расчетного периода 3 492 506 тыс. руб.

Показатели финансовой устойчивости проекта также являются весьма позитивными. Из анализа этой группы коэффициентов видно, что с самого начала функционирования предприятие будет иметь высокую надежность и способно стабильно выполнять свои долгосрочные обязательства. Так, например, коэффициент финансовой независимости (отношение суммарных обязательств к собственному капиталу - чем выше значение коэффициента, тем больше величина кредиторской задолженности компании, тем выше риск неплатежеспособности, высокое значение коэффициента указывает на потенциальную опасность возникновения у предприятия дефицита денежных средств), с первого месяца реализации проекта находится ниже 28%, а к моменту погашения кредита (к последнему месяцу) его величина опускается до 3%.

Коэффициенты рентабельности характеризуют проект как экономически эффективный и высоко прибыльный. Так средний уровень рентабельности по чистой прибыли составляет 30%, при этом в процессе реализации его величина изменяется незначительно и находится в диапазоне от 25 до 31% (за исключением первых 12 месяцев с момента запуска производства)

Не менее значимыми являются и инвестиционные критерии эффективности проекта. Суть всех методов оценки базируется на следующей простой схеме: Исходные инвестиции при реализации какого-либо проекта генерируют денежный поток CF1, CF2,..., CFn. Инвестиции признаются эффективными, если этот поток достаточен для:

·      Возврата исходной суммы капитальных вложений;

·        Обеспечения требуемой отдачи на вложенный капитал;

Наиболее распространены следующие показатели эффективности капитальных вложений:

·      Дисконтированный срок окупаемости (DPB);

·        Чистая приведенная стоимость инвестиционного проекта (NPV);

·        Внутренняя норма прибыльности (доходности, рентабельности) (IRR);

·        Метод дисконтированного периода окупаемости (DPB).

Дисконтированный период окупаемости проекта. Для того чтобы проект мог быть принят, необходимо, чтобы срок окупаемости был меньше длительности проекта. Дисконтированный период окупаемости рассчитывается аналогично простому периоду окупаемости, однако при суммировании чистого денежного потока производится его дисконтирование. Существенным недостатком метода дисконтированного периода окупаемости является то, что он учитывает только начальные денежные потоки, а именно те потоки, которые укладываются в период окупаемости. Все последующие денежные потоки не принимаются во внимание в расчетной схеме. Так, если бы в рамках проекта в расчет принимались значения потоков последующих лет, то результат расчета дисконтированного периода окупаемости не изменился бы, хотя совершенно очевидно, что проект станет в этом случае гораздо более привлекательным. Дисконтированный срок окупаемости рассматриваемого инвестиционного проекта меньше срока жизни проекта, следовательно, с финансовой точки зрения проект является приемлемым

Внутренняя норма прибыльности (IRR). По определению, внутренняя норма прибыльности (доходности) (IRR) - это такое значение показателя дисконта, при котором приведенная стоимость инвестиции равна современному значению потоков денежных средств за счет инвестиций, или значение показателя дисконта, при котором обеспечивается нулевое значение чистой приведенной стоимости инвестиционных вложений.

Экономический смысл внутренней нормы прибыльности состоит в том, что это такая норма доходности инвестиций, при которой предприятию одинаково эффективно инвестировать свой капитал под IRR процентов в какие-либо финансовые инструменты или произвести реальные инвестиции, которые генерируют денежный поток, каждый элемент которого, в свою очередь, инвестируется по IRR процентов. IRR является «барьерным показателем», так как если стоимость капитала выше значения IRR, то «мощности» проекта недостаточно, чтобы обеспечить необходимый возврат и отдачу денег, и, следовательно, проект следует отклонить.

Согласно таблице Показатель внутренней нормы рентабельности IRR характеризует проект как инвестиционно-привлекательный, поскольку его значение - 45%, более чем в три раза превышает средние ставки рублевых депозитов в коммерческих банках и уровень ставки дисконтирования, принятой в проекте.

При определенных недостатках анализа каждого из приведенных интегральных показателей эффективности, анализ в комплексе с использованием других методов анализа позволяет сформировать адекватную оценку эффективности и инвестиционной привлекательности проекта.

3. Анализ рисков инвестиционного проекта компании «Техснаб»

.1 Оценка рисков инвестиционного проекта компании «Техснаб»

Под проектными рисками понимается, как правило, предполагаемое ухудшение итоговых показателей эффективности проекта, возникающее под влиянием неопределенности. В количественном выражении риск обычно определяется как изменение численных показателей проекта: чистой приведенной стоимости (NPV), внутренней нормы доходности (IRR) и срока окупаемости (РВ). На данный момент единой классификации проектных рисков инвестиционных проектов не существует. Однако можно выделить следующие основные риски, присущие практически всем проектам: маркетинговый риск, риск несоблюдения графика проекта, риск превышения бюджета проекта, а также общеэкономические риски. Задачами анализа рисков является получение достоверных критериев эффективности инвестиционного проекта и повышение обоснованности инвестиционного решения.

Для оценки риска проекта использовалась методика, разработанная Косовым В.В., известная как методика постадийной оценки риска, т.к. она, является одной из наиболее адаптированных методик к современным экономическим условиям. В данной методике под риском понимается опасность того, что цели, поставленные в проекте, могут быть не достигнуты полностью или частично. Так как рассматриваемый проект достаточно сложен в том отношении, что охватывает несколько достаточно четко выраженных стадий, то и оценку риска целесообразно проводить по ним, т.е. по подготовительной стадии и стадии функционирования.

Постадийная оценка рисков основана на том, что риски определяются для каждой стадии проекта отдельно, а затем находится суммарный риск по всему проекту. В настоящем проекте выделяются следующие стадии:

·           подготовительная стадия;

·        инвестиционная стадия;

·        стадия функционирования.

Согласно принятой методики, риски проекта, по характеру воздействия, делятся на простые и составные. При этом составные риски являются объединением простых рисков, определенных полным перечнем непересекающихся событий, каждое из которых, в свою очередь, исследуется отдельно. Методика оценки риска состоит из трех этапов:

1. Составление исчерпывающего перечня рисков. Полный перечень рисков простых рисков в разрезе сложных приведен в таблице 8.1.

2. Определение удельного веса каждого простого риска во всей их совокупности:

·        Сумма всех рисков по всем приоритетам равна единице и относится к исчерпывающему перечню рисков: ∑wj*Nj = 1, где wj - вес риска приоритета j, Nj - простые риски, входящие в группу приоритетов;

·        Поскольку составить исчерпывающий перечень рисков очень сложно, всегда есть возможность пополнения составленного перечня событий, одновременно повышая вероятность успешной реализации проекта. То есть ∑ wj Nj = А < 1;

· Определим соотношение f как wl / wk, то есть отношение веса простого риска первого приоритета к весу простого риска последнего приоритета, что отражает способность экспертов ранжировать риски по важности. Теперь стоит задача определить промежуточные веса 2…к-1, в случае если число приоритетов больше двух. Данная задача решается при предположении о том, что веса "крайних" рисков являются первым и последним членами прогрессии. Если взять арифметическую прогрессию как модель процесса, то значения весов можно найти по следующей формуле:


Оценка вероятностей срыва для событий, определяющих реализацию проекта. Оценка вероятности наступления риска инвестиций осуществляется методом экспертных оценок. Для оценки вероятности рисков использовались мнения трех экспертов:

1.    Директора компании - оператора проекта - ЗАО «Завод Энергострой»

2.      Руководитель департамента продаж компании - инициатора проекта - ОАО «Техснаб»;

.        Эксперта консалтинговой компании.

Разработчиками проекта был составлен перечень первичных рисков по группам сложных рисков. Каждому эксперту, работающему отдельно, предоставлялся перечень первичных рисков, и им предлагалось оценить вероятность их наступления, руководствуясь следующей системой оценок:

1 - риск рассматривается как несущественный;

2 - риск, скорее всего, не реализуется;

3 - о наступлении события ничего определенного сказать нельзя;

4 - риск, скорее всего, проявится;

5 - риск наверняка реализуется.

Оценки экспертов подвергались анализу на их непротиворечивость согласно двум правилам.

Правило 1: max | Ai - Bi| ≤ 2; i = 1,..., n (где Ai и Bi - оценки двух экспертов в отношении i-го риска)- означает, что максимальная разница между оценками экспертов по любому фактору должна быть меньше 2. Сравнения проводятся по модулю (знак "плюс" или "минус" не учитывается). Это правило направлено на устранение недопустимых различий в оценке вероятности наступления отдельного риска.

Правило 2: Е | Ai - Bi | / n ≤ 1 - направлено на согласование оценок экспертов в среднем. Оно используется после выполнения правила 1. Для расчетов расхождения оценки суммируются по модулю, и полученный результат делится на число простых рисков инвестиционного проекта. Оценки экспертов можно признать не противоречащими друг Другу, если полученная величина не превышает 1. Всего было сделано 3 попарных сравнения мнений для 1-го и 2-го, 1-го и 3-го, 2-го и 3-го экспертов. Анализ показал приемлемую согласованность мнений экспертов и возможность использования их в расчетах. Полученные оценки сведены в среднюю оценку, которая используется в дальнейших расчетах.

После определения вероятностей по простым рискам была проведена интегральная оценка риска. В соответствии с применяемой методикой интегральная оценка риска осуществлялась в два последовательных этапа: сначала определялась оценка риска для каждой из стадий, предварительно рассчитав риски для под стадий (композиций), стадии функционирования - финансово-экономической, технологической, социальной и экологической; после этого можно работать с объединенными рисками и дать оценку риска всего проекта на основе оценок риска отдельных стадий.

Для получения оценки сложных рисков использовалась процедура взвешивания, для которой необходимо определить веса, с которыми каждый простой риск входит в сложный риск "проекта. При этом использовалась единая система весов для каждой композиции простых рисков, веса удовлетворяли естественному условию неотрицательности, а их сумма была равна единице. Процедура взвешивания (определение веса, с которыми каждый простой риск входит в сложный) проводилась согласно следующим правилам:

·    все простые риски могут быть проранжированы по степени важности (расставлены по приоритетам). Риски первого приоритета имеют больший вес, чем риски второго, и т.д.;

·    все риски с одним и тем же приоритетом имеют равные веса.

Для определения весов приоритетов (wi) в соответствии с описанной выше методикой необходимо выявить распределение простых приоритетов по группам составляющих рисков.

Далее мы можем определить вес каждого приоритета (wi) по предложенной в описании методики формуле. Однако для этого нам необходимо принять ряд предпосылок. Во-первых, дать экспертную оценку возможности реализации проекта (А < 1). Вероятность составляет менее единицы, в данном случае - 95%, постольку, поскольку представляется весьма сложным составить исчерпывающий перечень рисков, и неохваченные 5% - это как раз некоторые непредвиденные события.

Во-вторых, необходимо определить отношение первого приоритета к последнему. В данном случае по экспертному мнению это соотношение составит «10», то есть предполагается, что первый приоритет в 10 раз более значим, чем последний приоритет. Веса оставшихся приоритетов (в данном случае остается лишь один приоритет - второй) определяются на основе предпосылки, что расстояния между соседними точками (весами) остаются одними и теми же, то есть отличаются на одну и ту же величину. Наконец, третья предпосылка, а точнее - ограничение - состоит в том, что разница между мнениями двух экспертов не может превышать «2». Это позволяет отсекать «крайние» и, по всей вероятности, необоснованные мнения экспертов

На основе данных предпосылок и информации, представленной в Таблице 16, возможно определить веса каждого приоритета по формуле, предложенной в описании методики:

1.     Вес первого приоритета (wl) = 0,036;

2.      Вес второго приоритета (w2) = 0,007;

.        Вес третьего приоритета (w3) = 0,004.

Поставив вес каждого приоритета в Таблицу 15 и умножив их на среднюю экспертную оценку каждого риска (Ni), можно получить вероятность каждого риска (Pi). Данная информация сведена для удобства в таблицу, представленную ниже.

Из приведенных данных видно, во-первых, что риск всего проекта составляет 1,052, что является достаточно низким показателем. Характеризуя полученное значение совокупного риска проекта в соответствии со шкалой оценки простых рисков (от нуля до «4»), можно утверждать, что совокупный проектный риск, имеет низкую вероятность реализации. Во-вторых, приняв значение совокупного риска проекта за 100%, можно оценить вес для каждой группы рисков.

Анализируя составные риски можно выделить основную группу, имеющих наибольший вес - более 78% в общей структуре рисков приходится на три составных риска. Самый существенный - технологические риски, предусматривающий риск поставщиков основного сырья и поставка некачественного сырья. Другим существенным риском является маркетинговые риски - 26%. Данная группа рисков в процессе реализации проекта, требует особого внимания, а так же выработки мероприятий по их минимизации. Остальные группы риска имеют несущественную долю.

Наибольшим риском характеризуется стадия функционирования (78%), риск подготовительной стадии составляет - 15%. Минимальный риском характеризуется инвестиционная стадия - 6%.

На стадии функционирования, в свою очередь, наибольшие веса имеют технические риски (30%), маркетинговые (25%) и финансовые (12%). Риск прочих групп не превышает 6%.

Для снижения негативных воздействий факторов риска, разработчиками проекта определены мероприятия и механизмы, направленные на минимизацию, как самих рисков, так и снижения последствий их воздействия.

В ходе оценки проектных рисков также был произведён однопараметрический анализ чувствительности - расчет зависимости одного или нескольких выходных параметров от одного входного параметра. При расчете анализа чувствительности настоящего проекта были использованы параметры наиболее подверженные воздействию рисков проекта:

·           уровень цен на готовую продукцию;

·           объем продаж;

·        стоимость материалов и комплектующих;

·        изменение общих издержек;

·        изменение капитальных затрат.

Проект весьма чувствителен к изменению уровня цен на готовую продукцию (уровень наклона кривой), при этом чувствительность проекта по цене самая высокая среди анализируемых факторов. Несмотря на это проект имеет высокий запас прочности к негативному изменению цен (снижению), так NPV проекта выходит в отрицательную область при снижении цен на 18%, что с учетом рыночной конъектуры маловероятно. Расчет проекта не учитывает одновременное снижение цен на сырье, от конъюнктуры которого, собственно, и зависит ценообразование продукции (при снижении цен готовой продукции более чем на 15 -20%, без сопоставимой динамики цен на металлопрокат, рентабельность большинства производителей выходит в отрицательную область, что неизменно приведет к снижению предложения и, соответственно, восстановлению ценовой стабильности). Помимо этого проектом учтен весьма консервативный прогноз удорожания стоимости готовой продукции (ниже темпов роста металлопроката), что в частности позволяет максимально учесть возможные риски.

Вариант 2. Изменение объема продаж

Проект имеет умеренную чувствительность к изменению объема продаж, а так же имеет хороший запас прочности - NPV проекта выходит в ноль при снижении объема продаж на 40%, что с учетом стабильно высокого спроса со стороны потребителей продукции маловероятно. Помимо этого, график производства определен с учетом самых консервативных прогнозов, предполагая средний уровень загрузки мощностей на 86%. Таким образом, проект имеет положительный запас мощностей и способен обеспечить большую производительность. Так, при увеличении среднего уровня загрузки мощностей на 14% (до 100%), NPV проекта вырастает на 38% с 794 137 до 1 099 361 тыс. руб.

Умеренная чувствительность проекта к изменению объема продаж, помимо прочего, обусловлена невысоким операционным рычагом (существенное преобладание переменных издержек над постоянными), за счет которого проект характеризуется низким положением точки безубыточности, и может без ощутимого ущерба экономическим показателям снижать объемы производства.

Вариант 3. Стоимость материалов и комплектующих

Проект имеет высокую чувствительность к изменению стоимости материалов и комплектующих, поскольку в структуре себестоимости продукции, доля прямых материальных расходов превышает 60%. Несмотря на высокий уровень чувствительности, проект имеет впечатляющий запас прочности, позволяющий выдержать повышение стоимости на основные материалы и комплектующие почти на 35%. Так же как и анализ чувствительности к стоимости продукции, данный расчет не учитывает вероятный рост цен на готовую продукцию соразмерно с ценами на металлопрокат. Как было представлено в разделе "ценообразование", рыночные риски на металлопрокат в полной степени перекладываются на покупателей, путем установления контрактами гибких цен. С другой стороны, проект учитывает удорожание материалов и комплектующих темпами, превышающими рост стоимости готовой продукции, что учитывает вероятные риски.

Вариант 4. Изменение общих издержек

Проект имеет низкую чувствительность к изменению общих издержек. Поскольку доля общих издержек не превышает 22% себестоимости продукции. Так, при увеличении общих издержек на 60% NPV проекта снижается на 20%.

Вариант 5. Изменение капитальных расходов

Проект имеет низкую чувствительность к изменению величины капитальных расходов, а так же имеет солидный запас прочности. Так при росте величины капитальных расходов на 60%, NPV проекта снижается на 68%. В отрицательную область NPV выходит в случае удвоения стоимости капитальных расходов.

Вариант 6. Изменение заработной платы и процентов но кредитам

Проект совершенно не чувствителен к изменению расходов на оплату труда персонала и процентов по кредитам. Дело в том, что данные статьи затрат занимают незначительную долю в структуре себестоимости проекта - не более 3%.

.2      Методы управления рисками инвестиционного проекта, применяемые в компании «Техснаб»

При реализации данного инвестиционного проекта по строительству завода «Энергострой» необходимо производить риск-менеджмент, что подразумевает под собой систему управления рисками с целью их минимизации. Существует целый набор разнообразных методов, позволяющих снизить степень риска и величину ущерба. Рассмотрим основные методы управления рисками, которые применяются в ходе реализации данного инвестиционного проекта:

·        Фиксация цен контрактами или применение форвардного контракта:

ü  Риски роста стоимости основного производственного оборудования планируется минимизировать за счёт фиксации цен контрактами на поставку оборудования. Так согласно инвестиционному плану проекта, контракты на поставку основной части производственного оборудования планируется заключить в период со второго по пятый месяц с момента запуска проекта. Учитывая тот факт, что в структуре капитальных вложений проекта, преобладает доля капитальных расходов именно на закупку оборудования, предлагаемое мероприятие способно обеспечить высокий уровень защиты по группе рисков в целом.

ü  Риск роста стоимости строительных материалов, а именно металлопроката, будет минимизировано за счёт того, что все контракты на поставку всего металлопроката для строительства производственных объектов планируется заключить в твердых ценах, в первых месяцах с момента запуска проекта. Поэтому вероятность изменения рыночных цен на строительные материалы за столь короткий срок, и с учётом сложившейся экономической ситуации, минимальна.

ü  Риски непредвиденных затрат и изменения заданных сроков планируется минимизировать договорами, в частности, договорами на поставку оборудования, в котором будет зафиксирована как цена, так и сроки поставки, за нарушение которых на поставщика распространяются штрафные санкции.

·        Хеджирование рисков путём покупки валютных фьючерсов. Валютные риски имеют высокий ранг и относительно высокую вероятность возникновения. Дело в том, что основная часть производственного оборудовании зарубежного производства и закупается у поставщиков из-за рубежа. Поэтому большая часть контрактов на поставку производственного оборудования номинированы в валюте - евро и долларах. А вся продукция проекта ориентирована на внутренний рынок сбыта, доход от которой номинирован в национальной валюте. Более того, весь инвестиционный капитал так же номинирован в национальной валюте - рублях (кредитные ресурсы и акционерный капитал). Таким образом, валютная позиция проекта разбалансирована.

 Но при условии рисков падения курса рубля, инициатор проекта имеет весьма эффективный инструмент минимизации валютных рисков - фьючерс. Фьючерс - это контракт на поставку базового актива, в нашем случае это валюта, обязательное исполнение которого происходит через 3-12 месяца после его регистрации (эмиссии) на бирже. Фьючерсы на валюты торгуются на ММВБ, и СПгВБ. На момент покупки фьючерсного контракта, покупателю достаточно располагать незначительной суммой, приблизительно - 5% от суммы контракта. Эти средства необходимы для взноса гарантийного залога - остальные средства учитываются в качестве вариационной маржи (так называемая покупка с финансовым плечом). Таким образом, при условии признания валютных рисков существенными, инициатор проекта планирует приобрести на всю величину капитальных расходов, номинированных в иностранной валюте, необходимого количества фьючерсных контрактов. При этом дожидаться исполнения валютных контрактов нет никакой необходимости. К моменту совершению расчетов за поставку производственного оборудования достаточно «зафиксировать по рынку» фьючерсные контракты (и тем самым обналичить курсовую разницу), а саму валюту приобрести традиционным способом. В результате таких несложных манипуляций можно на 100% застраховаться от валютных рисков.

·        Резервирование средств:

ü  Риски роста стоимости капитальных расходов минимизируются путём создания резерва на финансирование непредвиденных расходов в размере 2% от общей стоимости проекта. Стоит учесть низкую чувствительность, а также солидный запас прочности проекта к росту капитальных расходов.

ü  Риск недостатка оборотных средств минимизируется с помощью создания резерва собственных денежных средств, который создаёт дополнительный запас прочности. А также риск недостатка оборотных средств минимизируется при помощи финансовой модели проекта, которая учитывает максимум всех возможных затрат и, соответственно, позволяет получить представление о потребности инициатора проекта в оборотных средствах.

·        Обеспечение благоприятных условий для реализации инвестиционного проекта:

ü  Риск срыва поставки, поставки некачественного оборудования, либо с существенными дефектами минимизируется закупкой оборудования только ведущих мировых и отечественных производителей, обладающих безупречной репутацией с проверенными временем технологиями. Непосредственная поставка импортного оборудования осуществляется исключительно при участии официальных дилеров и представителей производителей. На все оборудование распространяются гарантии производителей сроком от 12 месяцев.

ü  Инициатор проекта имеет многолетний опыт работы на рынке изготовления металлических конструкций, включая строительные. Благодаря чему, инициатор проекта имеет многолетние партнёрские отношения со многими производителями металлических строительных конструкций, и не понаслышке знаком с реальным уровнем их компетенции. Именно поэтому богатый опыт работы в этой области позволит минимизировать риск ошибок в привлечении подрядчиков и производителей металлических конструкций.

ü  Низкое качество строительства, наличие строительного брака, как правило, может быть вызвано, низкой квалификацией подрядных организацией, нарушением технологии строительства, низким уровнем авторского надзора, невысоким качеством строительных материалов. В итого низкое качество строительства может повлечь убытки в виде расходов на ликвидацию брака. Вероятность риска, связанного с наличием строительного брака, выполнением технологии строительства, снижается, за счёт привлечения исключительно компетентных подрядных организаций и создания прозрачных и ясных условий сотрудничества. Для этого к реализации проекта планируется привлекать подрядчиков на тендерной основе, целью которого является комплексная оценка компаний. При оценке подрядных компаний. Вопросу ценообразования планируется отвести второстепенную роль, основное же внимание планируется сосредоточить на деловой репутации, технических возможностях, успешного опыта реализации сложных проектов. Условиями заключаемых договоров подряда планируется ясно определить критерии и методов оценки качества выполненных строительных работ. Планируется проводить авторский контроль, привлекать внешних консультантов и экспертов к процессу оценки качества произведенных строительных работ и организовывать экспертизы качества.

ü  Такие риски как неправильный выбор рынков сбыта продукции, неверное определение стратегий операций на рынке, неотлаженность, непродуманность или отсутствие сбытовой сети на предполагаемых рынках сбыта будут иметь ограниченный потенциал воздействия на проект, так как основным заказчиком продукции проекта являются госкорпорации - ОАО «ФСК», МРСК и ОАО «РЖД». Затраты на приобретение данного вида продукции уже заложены в бюджетах этих организаций. Более того, инициатор проекта - ОАО «Техснаб» имеет налаженные каналы сбыта в адрес указанных компаний, а также репутацию безупречного поставщика. Также инвестиционные программы, в силу особенностей энергетической отрасли, не могут быть уменьшены более чем на 50% от намеченных планов. При этом, ОАО «ФСК» и ОАО «РЖД» одни из самых финансово-стабильных компаний, которые к тому же находятся в государственной собственности, и в сложной ситуации могут рассчитывать на поддержку основного акционера. Поэтому, финансовые ресурсы, под реализацию. Пусть усеченных, но, тем не менее, весьма масштабных инвестиционных программ, основные потребители проекта всегда смогут отыскать. Тем самым, рынок сбыта проекта, имеет мощный антикризисный механизм, что выгодно его отличает, допустим, от тяжелого машиностроения или металлургии, рынки сбыта которых на такую поддержку рассчитывать не могут.

ü  В качестве основных мероприятий минимизации рыночных рисков, инициатор проекта может рассчитывать на механизмы ценовой конкуренции. Дело в том, что в экономически нестабильной обстановке, при организации тендеров, основные потребители будут обращать повышенное внимание на предлагаемый уровень цен. И с большей долей вероятности, в тендерах на поставку, победу одержит поставщик, который сможет предложить продукцию по минимальным ценам. Но для того, что бы обеспечить стабильное ценовое преимущество, производителю необходимо минимизировать себестоимость продукции. А минимизация себестоимости продукции, без ущерба его качества, возможно только благодаря технологическому лидерству. Именно за счет технологического лидерства, проектируемый завод «Энергострой» будет иметь и ценовое преимущество. Более того, финансовая модель проекта, в которой уровень цен продукции принят на 5-10% ниже среднерыночного уровня, позволяет выдержать 25% снижение цен, при фиксированной стоимости сырья и других затрат.

ü  Ошибки технологического проекта завода «Энергострой», в частности разработка неэффективной технологической схемы, чреваты потерей качества готовой продукции, снижением производительности. Ростом себестоимости. Поэтому недостатки технологии, ошибки в проектировании минимизируются привлечением к разработке технологического проекта опытных специалистов ведущих инженерных бюро России. Помимо привлечения консультантов данная группа рисков минимизирована путём привлечения в состав управляющей команды проекта профессионалов из отрасли строительства энерго-строительных конструкций.

ü  Риск поставщиков основного сырья и нарушение поставщиками условий заключенных договоров минимизируется за счёт того, что в качестве основных поставщиков проекта определены крупнейшие металлургические предприятия

3.3 Рекомендации по совершенствованию системы управления рисками в компании «Техснаб»

Влияние рисков сказывается на всех сторонах работы завода «Энергострой», ухудшая его финансовое положение, производственные, сбытовые возможности, способность отвечать по своим обязательствам и другие аспекты. Из всего вышеперечисленного видна актуальность и необходимость наличия на предприятии эффективной системы управления риском и мониторинга среды. Поэтому при реализации инвестиционного проекта по созданию завода важно и необходимо дополнить действующую систему управления рисками другими, ранее не использованными методами воздействия на риск и, соответственно, его минимизации.

Прежде всего, целесообразным было бы провести диверсификацию сбытов и поставок с целью распределения риска между большим количеством поставщиков сырья и оборудования для проектируемого завода «Энергострой» и покупателей его продукции, что позволит уменьшить зависимость от одного предприятия. Также немаловажным и необходимым является и диверсификация видов деятельности и зон хозяйствования, так как это позволить увеличить ассортимент выпускаемой продукции, количество применимых технологий, а также распределить продукцию между различными покупателями и организациями разных регионов страны, что приведёт к несомненному снижению риска для инвестиционного проекта.

Следующей рекомендуемой мерой по минимизации рисков является страхование, которое может включать в себя страхование имущества (активов) проектной компании, страхование строительных рисков, грузов в пути, страхование рисков неплатежа со стороны заказчика, страхование профессиональной ответственности (в связи с производственной деятельностью), страхование гражданской ответственности. Также можно застраховать риски срыва сроков поставки материалов, оборудования, товаров дли проектируемого завода, чтобы избежать финансовых потерь.

Также необходимо создавать резервные фонды, средства из которых необходимы для демонтажа (консервации) объекта, ликвидации экологических последствий производственной деятельности, погашения задолженности участников проектной деятельности перед третьими лицами или финансирования различных непредвиденных расходов. Резервирование средств предусматривает установление соотношения между потенциальными рисками, изменяющими стоимость проекта, и размером расходов, связанных с преодолением нарушений в ходе его реализации.

К рекомендуемым процедурам риск-менеджмента можно также отнести создание в рамках проекта службы управления риска, которой будут переданы все полномочия по организации мер по минимизации риска данного инвестиционного проекта. В рамках предотвращения и контроля рисков возможна разработка планов и программ превентивных мероприятий, а также ситуационного плана. Также должна быть сформирована управленческая команда, представители которой будут компетентны в области реализации инвестиционных проектов и будут иметь управленческий опыт в отрасли металлообработки.

Эффективной мерой, способствующей управлению рисками, является и контроль за качеством строительно-подрядных работ, закупаемых машин и оборудования, закупаемого сырья, материалов и полуфабрикатов, а также приобретение оборудования для ликвидации последствий техногенных аварий и катастроф.

Риск неисполнения покупателями своих обязательств по уплате может быть минимизирован условиями оплаты, согласны которым продукция будет приниматься в производство только после 30-50% предварительной оплаты.

Немаловажное значение приобретают и такие меры, как гарантия завершения проекта, гарантия погашения долга по выданному кредиту (для кредиторов), гарантия надлежащего исполнения контракта на проведение строительно-монтажных работ и поставку оборудования (для заказчика проекта), гарантия по авансовому платежу. Наряду с гарантиями, применяют также безотзывные подтвержденные документарные аккредитивы при расчётах за поставку товара.

К финансовым мерам по управления проектными рисками, которые можно применить для данного инвестиционного проекта, можно отнести такие операции по хеджированию коммерческих рисков, как валютные и процентные свопы и опционы.

Целесообразно было бы также провести детальную проработку условий контрактов на капитальное строительство и прочих договоров: включение перечня форс-мажорных обстоятельств, учет возможности пересмотра условий поставки или продажи товаров вследствие изменения внешних факторов, система штрафных санкций.

Также важно принять во внимание и кадровые меры управления проектными рисками, которые включают в себя обучение и повышение квалификации персонала, осуществляющего эксплуатацию объекта инвестиционной деятельности (вопросы техники безопасности труда, управления технологическими процессами, обеспечения экологической безопасности производства и т.д.). Риск может быть минимизирован и кадровой политикой проекта, нацеленной на оплату труда персонала по заработным ставкам ведущих металлургических компаний, уровень которых будет в полтора раза превышать средний зарплатный уровень по области, в которой реализуется данный инвестиционный проект, что, таким образом, позволит обеспечить производство квалифицированной рабочей силой.

Таким образом, наиболее эффективное управление рисками инвестиционного проекта по созданию завода «Энергострой» может быть достигнуто за счёт сочетания различных методов управления: страхованием, хеджированием, диверсификацией, самострахованием, а также другими организационными мерами по воздействию на риск.

Заключение

экономический инвестиционный управление финансовый

Каждому субъекту хозяйствования, принимая решение о реализации какого-либо инвестиционного проекта, необходимо проводить комплексный анализ всех возможных рисков, чтобы снизить вероятность возникновения негативных последствий и потерь. Прежде всего, нужно провести качественный анализ рисков, то есть исследовать возможные проектные риски, сопутствующие реализации данного инвестиционного проекта, изучить причины и факторы, влияющие на уровень каждого вида риска, а также определить все вероятные последствия от реализации распознанных рисков.

К основным методам качественного анализа рисков инвестиционного проекта относятся:

·        Анализ уместности затрат

·        Метод аналогий

·        Метод экспертных оценок

Процедура качественного анализа приводит к количественному анализу - стоимостной оценке рисков инвестиционного проекта, а также к численному измерению влияния факторов риска на поведение критериев эффективности инвестиционного проекта. Среди методов количественного анализа можно выделить:

·        Статистический метод

·        Анализ чувствительности

·        Метод проверки устойчивости

·        Метод сценариев

·        Метод дерева решений

·        Метод Монте-Карло

Проанализировав все модели оценки инвестиционного риска, можно сделать вывод, что не существует универсального метода, позволяющего провести полный анализ и дать оценку риска инвестиционного проекта, так как каждый из рассмотренных методов обладает своими достоинствами и недостатками.

После проведения качественного и количественного анализа важно разработать меры по управлению рисками инвестиционного проекта, тем самым минимизировать все возможные негативные последствия от их реализации. Таким образом, процедура риск-менеджмента, направленная на сокращение возможных потерь, связанных с реализацией конкретных проектных рисков, должна привести к выбору определённого набора методов управления рисками, среди которых основными можно назвать:

·        Страхование

·        Диверсификация

·        Самострахование или резервирование средств

·        Хеджирование

В ходе написания выпускной квалификационной (дипломной) работы для определения инвестиционной привлекательности и реализации процедуры риск-менеджмента был произведен комплексный анализ эффективности инвестиционного проекта по созданию завода «Энергострой», в ходе которого было выявлено, что коэффициенты рентабельности характеризуют проект как высокоприбыльный и эффективный, а коэффициенты ликвидности и финансовой устойчивости также имеют положительные тенденции.

Также был произведен анализ безубыточности проекта, в результате которого инвестиционный проект был признан устойчивым к возможным изменениям условий его реализации, так как выручка значительно превышает точку безубыточности, что говорит о низком уровне риска, присущем данному инвестиционному проекту.

Для определения инвестиционной привлекательности проекта также были рассчитаны показатели эффективности капитальных вложений, которые свидетельствуют о том, что проект характеризуется непродолжительным сроком окупаемости, высокой нормой прибыли и чистой приведенной стоимостью.

При оценке рисков инвестиционного проекта по созданию завода «Энергострой» были использованы такие методы, как метод экспертных оценок и анализ чувствительности. В результате проведённой оценки было выявлено, что совокупный проектный риск имеет низкую вероятность реализации, а также было установлено, что самыми существенными рисками был признаны технологические риски, предусматривающие риск поставщиков основного сырья и поставку некачественного сырья, а также маркетинговые и финансовые риски. В процессе проведения однопараметрического анализа чувствительности было обнаружено, что чистая приведенная стоимость инвестиционного проекта (NPV) в большей степени чувствительна к изменению уровня цен на готовую продукцию, а в меньшей степени к изменению расходов на оплату труда персонала и процентов по кредитам.

Для того чтобы в полной мере провести процедуру риск-менеджмента, было также необходимо разработать комплекс мер по управлению всеми обнаруженными рисками данного инвестиционного проекта. Были использованы такие методы управления, как хеджирование рисков путём покупки фьючерсных контрактов, резервирование средств, фиксация цен контрактами на поставку оборудования и строительных материалов, а также различные организационные меры по снижению рисков данного инвестиционного проекта.

Для повышения эффективности системы управления рисками инвестиционного проекта по созданию завода «Энергострой» можно дополнить её уже существующие методы управления риска такими основными мерами, как:

·        диверсификация сбыта и поставок, диверсификация видов деятельности и зон хозяйствования

·        страхование имущества проектной компании, строительных рисков, грузов, рисков срыва поставок материалов и оборудования, страхование профессиональной и гражданской ответственности

·        создание в рамках проекта службы управления риска, которой будут переданы все полномочия по организации мер по минимизации риска данного инвестиционного проекта

·        гарантия завершения проекта, гарантия погашения долга по выданному кредиту, гарантия надлежащего исполнения контракта на проведение строительно-монтажных работ и поставку оборудования

Таким образом, для того, чтобы максимально защититься от возникновения рисков и всех возможных последствий и потерь от их реализации в процессе осуществления инвестиционного проекта, важно эффективно сочетать различные методы оценки и управления проектными рисками.

Список литературы

1.      Федеральный закон «Об инвестиционной деятельности в Российской Федерации, осуществляемой в форме капитальных вложений» от 25.02.1999 №39-ФЗ (в ред. от 12.12.2011)

.        Методические рекомендации по оценке эффективности инвестиционных проектов. М.: Экономика, 2000.

.        Грачёва М.В., Секерина А.Б. Риск-менеджмент инвестиционного проекта - М.: Юнити-Дана, 2009. - 544 c.

.        Шапкин А.С., Шапкин В.А. Экономические и финансовые риски. М.: Издательско-торговая корпорация «Дашков и Ко», 2008 - 544 с.

.        Волков И.М., Грачёва М.В. Проектный анализ. Продвинутый курс. М.:ИНФРА-М, 2004 - 495 с.

.        Грабовый П.Г., Петрова С.Н. Риски в современном бизнесе. М.: Аланс, 1994 - 200 с.

.        Подшиваленко Г.П., Лахметкина Н.И, Макарова М.В. Инвестиции: учебное пособие. М.: Кнорус, 2006 - 200 с.

.        Шеремет В.В. Управление инвестициями. М.: Высшая школа, 1998 - 416 с.

.        Москвин В.А. «Управление рисками при реализации инвестиционных проектов. Рекомендации для предприятий и коммерческих банков» М.: Финансы и статистика, 2004 - 352 с.

.        Клейнер Г.Б., Тамбовцев В.Л., Качалов Р.М. Предприятие в нестабильной экономической среде: риски, стратегии, безопасность. М.: Экономика, 1997 - 288 с.

.        Гончаренко Л.П., Филин С.А. Риск-менеджмент. М.: Кнорус, 2006 - 215 с.

.        Колтынюк Б.А. Инвестиции. Спб.: Изд-во Михайлова В.А., 2003 - 170с.

.        Грачёва М.В. Риск-анализ инвестиционного проекта. М.: Юнити-Дана, 2001 - 351 с.

.        Поляк Г.Б. Финансовый менеджмент. М.: Юнити-Дана, 1999 - 527с.

.        Лапуста М. Г., Шаршукова Л.Г. Риски в предпринимательской деятельности. М.: ИНФРА-М, 2001 - 224 с.

.        Райсберг Б.А. Предпринимательство и риск. М. - 2000 - 168 с.

.        Цветкова Е.В., Арлюкова И.О. Риски в экономической деятельности. СПб.: ИВЭСЭП, Знание, 2002 - 64 с.

.        Устенко О.Л. Теория экономического риска. Киев..: МАУП, 2000 - 164 с.

.        Косов В.В. Бизнес-план: обоснование решений. М.: ГУ ВШЭ, 2000 - 272 с.

.        Копытин К.В. Анализ рисков в инвестиционных проектах. М.: ТЕИС, 2003 - 235 с.

21.       Удалов Н.П. «Оценка рисков инвестиционных проектов с параметрами, заданными качественными характеристиками». Сборник научных трудов. М.: ВГНА, 2006 - 357 с.

22.    Качалов Р.М. Управление хозяйственным риском. М.: Наука, 2002 - 192 с.

.        Лапченко Д.А. Оценка и управление экономическим риском: теория и практика. Минск: Амалфея, 2007 - 148 с.

.        Островская Э. Риск инвестиционных проектов. М.: Экономика, 2004 - 269 с.

.        Чернова Г.В., Кудрявцев А.А. Управление рисками. М.: Проспект, 2003 - 160 с.

.        Хохлов Н.В. Управление риском. М.: ЮНИТИ, 1990 - 239 с.

.        Виленский П.Л., Лившиц В.Н., Смоляк С.А. Оценка эффективности инвестиционных проектов. М.: Дело, 2002 - 888 с.

.        Грачёва М.В. Анализ проектных рисков. М.: Финстатинформ, 1999 - 216 с.

.        Смоляк С.А. Оценка эффективности инвестиционных проектов в условиях риска и неопределённости. М.: Наука, 2002 - 182 с.

.        Мазура И.И., Шапиро В.Д. Управление инвестиционно-строительными проектами: международный подход. М.: Авваллон, 2004 - 592 с.

.        Шапкин А.С., Шапкин В.А. Теория риска и моделирование рисковых ситуаций. М.: Дашков и Ко, 2006 - 879 с.

.        Шеремет В.В. Управление инвестициями. М.: Высшая школа, 1998 - 416 с.

.        Човушан Э.О., Сидоров М.А. Управление риском и устойчивое развитие. М.: РЭА, 1999 - 526 с.

.        Чернова Г.В. Практика управления рисками на уровне предприятия - Спб.: Питер, 2000 - 172 с.

.        Сироткин С.А., Н.Р. Кельчевская. «Экономическая оценка инвестиционных проектов: учебник для студентов вузов, обучающихся по специальности «Экономика и управление на предприятиях (по отраслям)» - 2-е изд., перераб. и доп. - М.: ЮНИТИ-ДАНА, 2009 - 311 с.

36.    Рогов М.А. Риск-менеджмент.- М.: Финансы и статистика, 2001 - 118 с.

37.    Уткин Э. А. Риск-менеджмент. - М.: ЭКМОС, 2001. - 287 с

38.    Абчук В.А. Предпринимательство и риск: учебное пособие. СПб.: ИПК РП, 2007 - 125 с.

Похожие работы на - Оценка и управление рисками инвестиционных проектов

 

Не нашли материал для своей работы?
Поможем написать уникальную работу
Без плагиата!
Без нейросетей!