Формування комплексу маркетингу підприємства

  • Вид работы:
    Курсовая работа (т)
  • Предмет:
    Маркетинг
  • Язык:
    Украинский
    ,
    Формат файла:
    MS Word
    219,81 Кб
  • Опубликовано:
    2015-01-19
Вы можете узнать стоимость помощи в написании студенческой работы.
Помощь в написании работы, которую точно примут!

Формування комплексу маркетингу підприємства

Міністерство освіти і науки України

Національний університет "Львівська політехніка"

Кафедра маркетингу та логістики










Курсовий проект

Формування комплексу маркетингу підприємства


Виконав:

ст.гр. ФК-23

Федущак Василь

Керував:

Карпій О.П.



Львів 2015

Зміст

Вступ

Розділ 1. Аналіз ринку

Розділ 2. Дослідження смаків та уподобань споживачів. Сегментування ринку

Розділ 3. Розроблення концепції товару та визначення його характеристик

Розділ 4. Визначення оптимальної ціни на товар на підставі проведення пробного маркетингу

.1 Визначення взаємозв’язку між ціною і попитом

.2 Визначення оптимальної ціни, при якій фірма отримає максимальний прибуток

Розділ 5. Формування оптимальних каналів розподілу товару

Розділ 6. Планування кампанії по просуванню товару

Висновки

Список використаної літератури

Вступ

Маркетинг сьогодні - це широке поняття, багатопланове явище. Маркетинг розглядається як ринкова філософія бізнесу, самостійний вид підприємницької діяльності, одна з систем управління підприємством, одна з найдинамічніших сфер економічної діяльності, вид професійної діяльності, комплекс конкретних функцій, що визначає стратегію і тактику функціонування підприємства в умовах конкуренції, наука про ринок та ринкову діяльність. Маркетинг базується на постійному та систематичному аналізі потреб ринку, який дозволяє підприємству розробити ефективні товарні та цінові стратегії, спрямовані на конкретні сегменти споживачів, що, в свою чергу, надає підприємству певних конкурентних переваг. Будь-яке маркетингове рішення має враховувати сукупність постійно мінливих факторів і тому потребує, крім застосування певних теоретичних знань, також індивідуального неординарного, індивідуального підходу до господарчих ситуацій.

Основним завданням маркетингу є правильне визначення потреб покупців. Несприятлива економічна ситуація, яка склалася в Україні на сьогоднішній день, багато в чому пояснюється тим, що багато підприємців до цих пір не усвідомили необхідність маркетингу. За допомогою маркетингу здійснюється пошук нових ринків, нових споживачів, нових видів продукції, нових сфер застосування продукції, здатних забезпечити підприємству найбільший рівень прибутку. Маркетинг виступає як інструмент регулювання виробництва і збуту, орієнтуючи виробничу діяльність підприємства, його структурну політику на ринковий попит.

Розділ 1. Аналіз ринку

У даному розділі я хочу описати свій продукт виробництва та продажу з яким я буду працювати в продовж курсового проекту. Нижче буде проаналізований попит на мною вибрані товари а саме солоні ласощі які виробляються на підприємстві "Солонина". Солоні ласощі такі як картопляні чіпси, використовуються для харчового споживання людей різного віку, вони йдуть як доповнююча страва чи вживаються як окремий продукт. Солоні продукти задовольняють смакові потреби споживача, також говорячи про корисність продукту необхідно пам’ятати про, що ці продукти не являються однаково корисні для всіх його споживачів адже вони містять багато харчових добавок, які можуть зашкодити дітям до 12 років, людям із шлунковими захворюваннями та іншим.

Щоб краще обґрунтувати види потреб на дані продукти я застосую матрицю класифікацій індивідуальних потреб.

Таблиця 1.1

Матриця класифікацій індивідуальних потреб

Класифікаційна ознака

Складова ознака

Пояснення

1. За ієрархією потреб

Первинні потреби а саме фізіологічні.

Незважаючи на те що солоні ласощі не є основним продуктом в раціоні людей їх можна віднести до первинних фізіологічних потреб адже вони несуть в собі певну харчову цінність.

2. Фактори які впливають на формування потреб

Соціально-групові та здоров’я людини.

Тому що вживання солоних продуктів залежить від того в якій соціальній групі ти знаходишся якщо це наприклад це група любителів пива то як правило споживання в ній чіпсів є більша ніж у групи здорової їжі.

3. За часовими параметрами

Поточна.

Вживання продукції не є одноразовим, виникнення потреби може відбутися в любий момент, також ціна даної продукції дозволяє придбати продукт зразу ж при виникнені потреби.

4. За принципом задоволення

Задовольняється кількома товарами.

 Потребу можна задовольнити негайно і за допомогою одного певних товарів.

5. За чіткістю характеристики товару або послуги

Кількісні а саме чіткі.

При виникнені потреби можна зразу ж задовольнити її певними товарами.

6. За ступенем принципового задоволення

Повністю задоволена.

Потреба повністю задовольняється при вживанні достатньої кількості продукції.

7. За масовістю розповсюдження

Географічне всезагальне.

Продукція поширена по всьому світі це показує її світовий попит.

8. За еластичністю

Високо еластична.

Потреба виникає спонтанно і так само може пропасти при цьому не задовольнивши цю проблему.

9. За природою винекнення

Побічно індукована.

Потреба є не основною а для задоволення певних смакових рецепторів.

10. За суспільною думкою

Соціально-нейтральні

Незважаючи на обережність певної соціальної групи щодо не корисності солоних товарів, вони проходять всі стандарти якості і чи їх споживати залежить від самого споживача.

11. За глибиною проникнення в суспільну свідомість

Частково свідома

Споживач подекуди не усвідомлює потребу конкретно в даній продукції а хочеться конкретних характеристик товару наприклад чогось соленого чи гострого.

12. За ступенем поточної необхідності

Слабої інтенсивності

Продукти не є дуже необхідним і використовується від можливостей споживача.

13. За причиною виникнення

Імпульсивні та рекламні

На потребу впливає реклама збоку виробників, продукція купується імпульсивно в наслідок раптового виникнення бажання продукції.

14. За часовими параметрами споживання

Ті що задоволено періодично

Потреба може виникнути в любий час.

15. За свободою задоволення

Вільні

Продукцію можна придбати в любий час без особливих дозволів.

16. За шириною проникнення в різні сфери життя

Полісферні

Тому що продукція поширюється майже у всі сфери життя.

17. За специфікою задоволення

Індивідуальні

У людей різних соціальних груп потреба в споживанні солоних продуктів може бути не однакова.

18. За характером бар’єрів задоволення потреб

Пов’язані із здоров"ям

Не всім споживачам даної продукції можна корисно її споживати .


Характеристика макросередовища та мікросередовища

Як і всі підприємства ПП "Солонина" знаходиться в залежності від макросередовища і підлаштовує свою діяльність залежно від змін в цьому середовищі.

Таблиця 1.2

Характеристика макросередовища

Фактори макросередовища

Вплив на діяльність

Демографічна ситуація

Важливу роль відіграє у макросередовищі демографічна ситуація на ринках збуту адже місткість ринку прямо залежить від кількості потенційних покупців продукції середній вік споживачів картопляних чіпсів являється від 12 до 49 років в Україні кількість осіб які входять у цей проміжок дорівнює 27,4 млн осіб відповідно на 2013р. це більша половина українського населення і слугує непоганою базою для формування ринку збуту товару. Звісно реальна кількість споживачів буде менша, тому що в цій цифрі не враховуються особисті уподобання у смаках і можливості придбання продукції.

Економічні

Економічні показники мають великий вплив на підприємство, адже від стану державної економіки залежить добробут населення при нестабільній економіці споживачі будуть більше купляти продукти першої необхідності. На даний час в Україні не є потужно розвинута соціальна сфера тому багато потенційних споживачів відмовляється від нашої продукції через брак коштів, а українська економіка висить на волоску від краху це негативні тенденції для мого підприємства.

Природне середовище

В Україні присутні великі поля які можна закупити під виробництво солоних ласощів також можна закуповувати картоплю і борошно у інших фермерських господарств, також клімат та землі країни сприяють високим урожаям, тому з ресурсами для виробництва в Україні не має.

Науково технічне середовище

На базі підприємства знаходяться станки нового покоління для обробки та підсмажування картоплі, правда постійний рух прогресу сприяв відкриттю новіших станків проте моє підприємство активно слідкує за такими зрушеннями у науково-технічній сфері і при необхідності готове придбати найновіші технології.

Політичне середовище

Основний вплив на підприємство відбувається через Господарський кодекс, права споживачів та оподаткування. У перелічених законах є багато "підводних каменів" які шкодять бізнесу: застаріле законодавство, велике оподаткування, надмірна кількість перевірочних інстанцій які приводять до розвитку корупції. В даний час Україна є із нестабільною політичною системою та невизначеним  зовнішньоекономічним курсом, що негативно впливає на підприємство.

Культура

В Україні культура негативних явищ не показує, навіть навпаки. Із великої кількістю фанатів спорту більшість купують чіпси і сухарики для того щоб куштувати їх під час перегляду спортивної трансляції, також такий продукт як картопля тісно засів у споживчому кошику жителів країни тому картопляні чіпси є доволі прийнятними в суспільстві.


Мікросередовище це середовище на яке підприємство може безпосередньо впливати і вибирати для себе кращі варіанти. Мікросередовище є важливим чинником для підприємства адже це процеси які зв’язані з прямою діяльністю підприємства.

Таблиця 1.3

Мікроекономічне середовище

Фактори середовища

Вплив на діяльність підприємства

Потенційні споживачі

Потенційними споживачами є особи які шукають смачної легкої закуски . Основним споживачем являється молодь тому більшу увагу приділяється їхнім потребам. Підприємство зорієнтоване на споживача та старається зробити все щоб принадити нових клієнтів: влаштовує безкоштовні дегустації, розігрує акційні призи, створює яскраві та зручні упаковки.

Постачальники

Основних постачальників для підприємства надає Українська асоціація виробників картоплі і борошна (УАВКБ) оскільки картопля і борошно є основною сировиною для виробництва, також здійснюється постачання приправ та спецій для чіпсів із Транснаціонального виробничо-комерційного об’єднання "Сколівські безкиди". Підприємство також в майбутньому хоче розвивати власне вирощування картоплі і зерна.

Маркетингові посередники

Допомагають фірмі у просуванні та реалізації товару. Маркетинговими посередниками являються усі оптові та роздрібні точки продажу харчової продукції: магазини, супермаркети, торгові склади. Постачання продукції здійснюється за допомогою власної транспортної системи підприємства.

Конкуренти

Основними конкурентами на ринку України являються такі фірми як: Lays- це світова фірма яка уже функціонує на ринках до 70 років і має великі асортименти продукції; Люкс - велика розповсюджена в Україні компанія, яка є дочірною фірмою світового бренду Mondelez International; Флінт - фірма яка увійшла на ринок України у 2007 році но незважаючи на це зайняла вигідні позиції на ринку; Хрустім - теж фірма із світовим ім’ям та сильною конкурентноздатністю на ринку; Золотий Чіпс та інші фірми які не займають великий відсоток українського ринку солоної продукції. Загалом конкурентне середовище є доволі сильне і потребує від моєї фірми значних зусиль для просування товару.

Контактні аудиторії

Основними контактними аудиторіями є магазини збуту товару. Також контактні аудиторії засобів масової інформації які допомагають просувати продукцію на території України.



Розділ 2. Дослідження смаків та уподобань споживачів. Сегментування ринку

Для дослідження смаків та уподобань споживачів слід провести опитування певних груп людей. Найбільш доцільно буде використати метод анкетування для збору потрібної нам інформації.

Загалом анкета складається з наступних розділів:

)        Вступ (вказується мета дослідження, організація, що проводитиме дослідження. Він містить заклик до опитуваного надати допомогу в реалізації поставленої мети).

)        Змістовна частина (запитання анкети).

)        Кваліфікаційна частина (містить інформацію про респондента, його основні соціально-демографічні характеристики).

Для отримання інформації про споживачів ми проводимо опитування серед населення. Потрібно опитати 20 осіб, відповіді яких, допоможуть нам оцінити смаки та уподобання споживачів. Щоб визначити які смаки чіпсів доцільно виробляти, яку ціну встановити на товар, якого смаку чіпсів слід більше виробляти формулюємо перелік пошукових запитань:

·        якому типу чіпсів надається перевага;

·        сума грошей, яку готові заплатити споживачі;

·        найважливіший критерій при покупці чіпсів;

·        упаковка, якому надається перевага.

Анкета

Шановний споживач!

ПП "Солонина" пропонує Вам взяти участь в анкетному опитуванні з метою виявлення ваших вподобань щодо картопляних чіпсів, які у подальшому будуть враховані при виробництві.

Щиро просимо Вас дати відповіді на подані запитання.

.Чи любите Ви їсти картопляні чіпси?

o  Так

o  Ні

. На скільки часто Ви вживаєте картопляні чіпси в тиждень?

o  1 раз

o  2 рази

o  3 і більше

o  Не вживаю в загалі

o  Важко сказати

. Яким смакам чіпсів ви надаєте перевагу?

o  Паприка

o  Сметана і зелень

o  Сир

o  Гриби

o  Солені

Ваша відповідь________________       

. Яку найчастіше пачку чіпсів ви купляєте?

o  Маленьку

o  Середню

o  Велику

5. Якої фірми чіпси ви найбільше купуєте?

o  Lays

o  Люкс

o  Мачо

o  Pringels

o  Золотий Чіпс

Ваша відповідь________________

. Яку перевагу названої марки ви можете сказати?

____________________________________________

. Чи дозволяєте Ви вживати чіпси своїм дітям?

o  Так

o  Ні

o  Інколи

o  У мене немає дітей

8. Ви вживаєте чіпси як?

o  Самостійну закуску

o  Снек до пива

o  Інгредієнт до основної страви

9. Скільки ви готові заплатити за пачку чіпсів середнього розміру?

o  Менше 5 грн

o  Менше 10 грн

o  Менше 15 грн

o  Менше 20 грн

10. Оцініть за п’ятибальною шкалою важливість критерію при покупці чіпсів (1- зовсім неважливий, 5 - найбільш важливий) навпроти критеріїв поставте відповідний бал:

Критерій

Бал

Популярність бренда


Смак чіпсів


Форма чіпсів


Яскравість і зручність упаковки


Ціни на чіпси інших виробників



. Чи має для вас значення країна виробник чіпсів?

o  Так

o  Ні

12. Чи берети ви участь у акційних пропозиціях на пачці чіпсів?

o  Так, завжди

o  Інколи

o  Дивлячись чи вагомі призи

o  Ніколи

13. Чи вважаєте ви чіпси шкідливим продуктом?

o  Так

o  Ні

14. Який ваш вік?

o  14-17 років

o  18-30 років

o  31-40 років

o  41 і вище

15. Ваш щомісячний дохід?

o  До 3000 грн.

o  3000-6000 грн.

o  6000-9000 грн.

o  Більше 9000 грн.

. Ваша стать?

o  Чоловіча

o  Жіноча

Щиро дякуємо Вам за співпрацю!

Одержавши результати опитування проводимо аналіз відповідей для того, щоб краще розібратись у вподобаннях споживачів.

Відповідь на 1 запитання:

Рисунок 2.1 Чи любите ви їсти картопляні чіпси

% опитуваних а саме 18 з 20 осіб сказали так (Рис. 2.1) це значить що підприємство має кому продавати продукцію на даному ринку і обсяг товаровміскості високий.

Відповідь на 2 запитання:

Рисунок 2.2 На скільки часто Ви вживаєте картопляні чіпси в тиждень

На графіку можна замітити, що половину споживачів споживають картопляні чіпси тільки 1 раз в тиждень і 20% два рази в тиждень це наші орієнтовно основні споживачі на яких слід зосередити свою увагу.

З цього можна зробити висновки як часто слід поповнювати ринки збуту.

Відповідь на 3 запитання:

Рисунок 2.3 Яким смакам чіпсів ви надаєте перевагу

Із гістограми видно що най популярнішими смаками являється паприка, сметана і зелень та сир.

Також 5% опитуваних написали, що люблять чіпси зі смаком курки. Це нам поможе сформувати асортимент товару вилучити з виробництва не популярні смаки і залучити нові.

Відповідь на 4 завдання:

Рисунок 2.4 Яку найчастіше пачку чіпсів ви берете

На рисунку 2.4 ми бачимо, що більша половина (60%) споживачів вживаю чіпси у маленьких пачках і дуже мала кількість у великих. Це дослідження показує що доречніше буде випускати більше чіпсів в малих упаковках і менше у великих.

Відповідь на 5 запитання:

Рисунок 2.5 Якої фірми чіпси ви найбільше купуєте

З рисунку 2.5 можна побачити, що основними конкурентами на ринку являються Lays та Люкс також вагому частку мають і Pringels решту фірм на ринку мають незначний вплив.

Відповідь на 6 запитання:

У шостому запитанні люди висловлювалися про переваги представлених торгових марок серед яких були в основному приємний смак і всесвітня відомість бренду в таких випадках як у Lays і Pringels , також цінові характеристики бо деякі чіпси є дешевшими такі наприклад як Золотий чіпс і є дорогі чіпси такі як Pringels.

Відповідь на 7 запитання:

Рисунок 2.6 Чи дозволяєте вживати чіпси своїм дітям

Багатьма нашими споживачами являються діти які не можуть придбати самостійно собі чіпси через брак коштів і змушені просити їх у батьків. Дослідження показало, що категорично проти ніхто не із батьків не висловлюється, також видно, що більшість споживачів чіпсів це люди які ще не створили власної сім’ї.

Відповідь на 8 запитання:

Рисунок 2.7 Вживання чіпсів

З гістограми видно, що чіпси в основному вживають як снеки до пива чи просто як закуска це нам показує що можна збільшувати виробництво підприємця якщо знаєш що в найближчому майбутньому відбудеться футбольний матч чи бокс. Також не варто і забувати про ті 20% що використовують чіпси як інгредієнти до страв в основному салатів тобто на період свят можна теж збільшувати випуск продукції.

Відповідь на 9 запитання:

Рисунок 2.8 Скільки готові заплатити за пачку чіпсів середнього розміру

За допомогою цього запитання ми можемо зорієнтуватися скільки споживач готовий платити за нашу продукцію. Із гістограми видно що най оптимальніша ціні буде складати менше 10 грн.

Відповідь на 10 запитання:

Рисунок 2.9. Оцініть за п’ятибальною шкалою важливість критерію при покупці

Із отриманих балів я виводив середнє арифметичне по кожній категорії ми получили результат на яких критеріях слід зосередитись для того щоб привернути до себе потенційних споживачів критерії йдуть за таким порядком: смак чіпсів, ціна на чіпси,популярність бренду та упаковка, форма чіпсів.

Відповідь на 11 запитання:

Рисунок 2.10. Чи має значення країна виробник чіпсів

Із рисунку можна побачити що споживачу не важлива країна імпортер виробляє продукцію чи вітчизняна для більшості (90%). Це не дає переваг ніякій із країн в збуті своєї продукції на території України.

Відповідь на 12 запитання:

Рисунок 2.11 Чи беруть участь у акційних пропозиціях на пачці чіпсів

Дивлячись на рисунок 2.11 можна дійти висновку, що проведення інтересних акцій можуть стимулювати попит на нашу продукцію.

Відповідь на 13 запитання:

Рисунок 2.12 Чи вважають чіпси шкідливим продуктом

Проаналізувавши дані можна побачити. що майже всі споживачі вважають чіпси шкідливими для здоров’я. Отже необхідно скерувати виробництво на зменшення шкідливих речовин у продукті і спрямувати свою рекламну компанію на безпечність для здоров'я чіпсів.

Відповідь на 14 запитання:

Рисунок 2.13 Вік опитуваних

Гістограма показує , що в опитуванні приймали участь в основному люди віку з 18 до 30 років і результати опитування в основному показують тільки потреби цього вікового інтервалу.

Відповідь на 15 запитання:

Рисунок 2.14 Щомісячне опитування

Згідно з даних більшість опитуваних заробляють до 3000 це показує їхню купівельну спроможність.

Відповідь на 16 запитання:

Розділ 2.15 Стать опитуваних

Це запитання показує співвідношення чоловіків і жінок у опитуванні. Їх приблизно рівна кількість тому інтереси двох статей були враховані у даному опитуванні.

Отже, підводячи підсумки по всій анкеті можна зробити висновок, що підприємство найшло потрібну інформацію для подальшого функціонування підприємства враховуючи всі інтереси споживачів.

Сегментування ринку - це розподіл споживачів на групи на основі різниці в потребах, характеристиках чи поведінці і розроблення для кожної з груп окремого комплексу маркетингу.

Сегмент ринку складається із споживачів, що однаково реагують на один і той самий набір спонукальних стимулів маркетингу.

Підприємство проводить сегментування за наступними параметрами:

v  за віковою категорією наше підприємство буде орієнтуватися на задоволення потреб споживачів віком від 14 до 40 років (табл. 2.1)

Таблиця 2.1

Сегментування за демографічним принципом (вік)

6-13

14-18

18-30

31-40

41-50

50 і більше








v  за результатами опитування найбільше споживачів готові заплатити 10 грн. за середню пачку чіпсів, які є цільовими споживачами, оскільки орієнтована вартість пачки чіпсів 8.85-10.60 грн. (рис. 2.18);

Таблиця 2.2

Сегментування за споживчими мотивами (ціна)

5 і менше

10 і менше

15 і менше

20 і менше






v  наші цільові споживачі - ті, для яких дизайн та якість на першому місці незважаючи на остальні показники решту показників.

Таблиця 2.3

Сегментування за споживчими мотивами (якість)

Форма чіпсів

Відомий бренд

Якість

Дизайн упакокви






Ми провели сегментування і виділили цільовий сегмент, який складають споживачі віком від 14 до 40 років із доходом до 3000 тис. грн., які готові заплатити за пачку чіпсів до 10 грн., для яких найважливішим критерієм при покупці чіпсів є їхня якість, тому охоплення ринку буде за стратегією диференційованого маркетингу (Рис. 2.16).

Рисунок 2.16 Схема диференційованого маркетингу

Розділ 3. Розроблення концепції товару та визначення його характеристик

Розглядаючи товар як комплексне поняття сприймається на трьох рівнях:

.        Товар за задумом. Розглянемо картопляні чіпси як комплексний засіб для задоволення потреб суспільства та його переваги:

v  Картопляні чіпси - це ефективний спосіб перекусити якщо ти на роботі або на відпочинку, вони не призводять до важкості в животі і мають велику кількість вуглеводів, що дозволяють вам довше залишитися ситими;

v  Чіпси є чудовим доповнювачем до пива та інших страв додаючи стравам хрусткості і смаку;

v  Із чіпсами можна подивитись свій улюблений фільм похрумкуючи смачненькі снеки із соусом;

v  Компактні розміри пачки із чіпсами дозволяють взяти їх із собою в любу пригоду.

.        Товар у реальному виконанні - Чіпси це харчовий продукт який складається із нарізаної обсмаженої картоплі та різних смакових наповнень, які упаковуються в герметичну упаковку і продаються як окрема страва у відділах оптової та роздрібної торгівлі.

Після опитування ПП "Солонина" вирішила створити чіпси із новим смаком "Курки гриль" і додати їх до свого асортименту загалом він складається із таких смаків:

·        Паприка

·        Сметана і зелень

·        Сир

·        Гриби

·        Солені

·        Курка гриль

Склад продукту "Солонина" Паприка:

Картопля, олія рослинна, натурально-ідентичний ароматизатор паприка: сіль, паприка суха мелена, цукор, екстракт червоного стручкового перцю, порошок цибулі, підсилювач смаку та аромату (E621), мальтодекстрин,модифікований крохмаль (E1450), натуральний барвник куркумін, добавки для попередження злежування та грудкування E551), суха молочна сироватка.

Харчова та енергетична цінність

Вага продукту

100 г

Білки

4.8 г

Жири

31 г

Вуглеводи

53.3 г

Калорійність

512 ккал


Склад продукту "Солонина" Сметана і зелень

Харчові добавки "E":

E330, E341, E621, E262.

Склад:

Картопля, олія, ідентичний натуральному ароматизатор [натуральні та ідентичні натуральним смакоароматичні речовини (містять екстракт ячмінного солоду), лактоза (з молока), цукор, підсилювач смаку та запаху (глутамат натрію), регулятор кислотності (лимонна кислота,диацетат натрію, фосфат кальцію), молочний білок], сіль кухонна.


Харчова та енергетична цінність

Вага продукту

100 г

Білки

5 г

Жири

30 г

Вуглеводи

53 г

Калорійність

510 ккал


Склад продукту "Солонина" Сир:

Картопля, олія пальмова, натурально-ідентичний ароматизатор "сир": сіль йодована, сироватка суха молочна, декстроза, підсилювач смаку і аромату (Е621), масло, цибуля суха мелена, сирний порошок (0,12%), добавка для попередження злежування та грудкування (Е551), натуральні та натурально-ідентичні ароматичні речовини, мальтодекстрин, стабілізатор (Е471), цукроза, крохмаль модифікований з тапіоки, натуральні барвники (екстракт паприки, екстракт аннато), регулятор кислотності (кислота лимонна).

Вага продукту

100 г

Білки

5.9 г

Жири

33.5 г

Вуглеводи

50 г

Калорійність

520 ккал


Склад продукту "Солонина" Гриби

Картопля, олія пальмова, натурально-ідентичний ароматизатор грибів: сухарики пшеничні, сіль, підсилювачі смаку та аромату (Е621, Е627, Е631), цукор, натуральні та натурально-ідентичні ароматичні речовини (вміщують молочні продукти), мальтодекстрин, добавка для попередження злежування та грудкування Е551, регулятор кислотності (натрію ацетат), гуміарабік, пшеничний крохмаль, екстракт грибів (0,01%), желюючий агент (пектин).

Харчова та енергетична цінність

Вага продукту100 г


Білки

4.9 г

Жири

31.2 г

Вуглеводи

53.3 г

Калорійність

523 ккал


Склад продукту "Солонина" Солені

Картопля, олія, сіль кухонна, підсилювачі смаку та запаху (глутамат натрію, гуанілат натрію, інозинат натрію), сахароза, пшеничне борошно, натуральні та ідентичні натуральним смакоароматичні речовини, спеції, лактоза (з молока), сухе знежирене молоко, соєвий білок, регулятори кислотності (лактат кальцію, лимонна кислота, яблучна кислота), натуральні барвники (екстракт паприки, цукровий колер).

Харчові добавки "E":

E621, E627, E631, E327,E330, E296, E160c, E150

Харчова та енергетична цінність

Вага продукту100 г


Білки

6 г

Жири

32 г

Вуглеводи

51 г

Калорійність

520 ккал


Склад продукту "Солонина" Курка гриль

Картопля, олія пальмова, натурально-ідентичний ароматизатор "курка-гриль": сіль йодована, суха молочна сироватка, сухарі пшеничні, натуральні та натурально-ідентичні ароматичні речовини, порошок цибулі, екстракт стручкового перцю, порошок курки (0,1 %), підсилювач смаку та аромату (Е621, Е 631, Е 627), мальтодекстрин, олія з насіння селери, сіль, добавка для попередження злежування та грудкування (Е 551), етиловий спирт, натуральний барвник куркумін, соєвий лецетин.

Харчова та енергетична цінність

Вага продукту100 г


Білки

6.5 г

Жири

30 г

Вуглеводи

53 г

Калорійність

510 ккал


Термін та умови зберігання:

Зберігати за температури від 0°С до 20°С і відносній вологості повітря не більше 75%. Термін придатності - 9 місяців.

Товарний знак ПП "Солонина"

ринок товар споживач маркетинг



Розділ 4. Визначення оптимальної ціни на товар на підставі проведення пробного маркетингу

Щоб визначити чи будуть споживачі купувати даний товар в реальних умовах та випробувати різні методи збуту, проведемо пробний маркетинг, який передбачає обмежену реалізацію товару в обраному регіоні.

В курсовому проекті використовується методика ціноутворення, що орієнтована на попит, з урахуванням впливу інших методичних підходів, оскільки вони взаємопов’язані. Обраний метод базується на класичній економічній моделі, яка розглядає ціноутворення як механізм що відповідає за ефективне розміщення і використання ресурсів, Центральним в економічній моделі є закон попиту, відповідно до якого між попитом і ціною існує обернена залежність. Тобто - підвищення ціни призводить до зниження попиту. Використання обраної методики передбачає, що попит може бути визначений з достатнім ступенем достовірності.

.1 Визначення взаємозв’язку між ціною і попитом

Для оцінки взаємозв’язку між ціною і попитом на наші чіпси (рівнем його збуту) ПП "Солонина" протягом декількох місяців проводила пробний маркетинг цього товару при різних значеннях ціни.

Таблиця 4.1

Результати пробного маркетингу

Ціна, грн.

Обсяг збуту, од.

2,42

13000

2,29

59000

2,16

178000

2,03

188000

1,9

344000

1,77

317000

1,64

509000

Продовження таблиці 4.1

1,51

446000

1,38

674000

1,25

574000

1,12

839000


Результати пробного маркетингу зображено у формі кореляційного поля (рис. 4.1), де величина попиту (N) відкладається на осі Y, а ціна (Ц) - на осі X.

Рис. 4.1. Результати пробного маркетингу

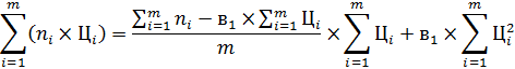
Наступний крок - це складання рівняння регресії, що встановлює взаємозв'язок між досліджуваними параметрами: ціною та обсягом попиту, що у даному випадку дорівнює рівню фактичного збуту. Оскільки зв'язок між ними близький до лінійного, то рівняння регресії буде мати вигляд:


де N - теоретичне значення обсягу збуту при відповідній ціні.

На підставі гіпотези про лінійність зв’язку через кореляційне поле точок нам необхідно провести пряму таким чином, щоб сума квадратів відхилень теоретичних значень від фактичних була мінімальною. В цьому полягає суть методу найменших квадратів. Це означає, що в нашій розрахункові значення максимально наближені до фактичних, що є гарантією достовірності моделі.

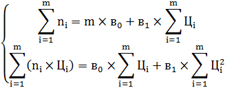
Використовуючи метод найменших квадратів для обчислення в0 та в1 нам слід розв’язати систему нормальних рівнянь:


де m - кількість замірів у проведеному дослідженні.

Щоб розв’язати цю систему, треба помножити перше рівняння на:


та відняти друге рівняння від першого або використати інші методи розв’язування систем рівнянь.

Проміжні дані подано у табл. 4.2.

Таблиця 4.2


1

2

3

4

5

6

7

8

9

1

2,42

13000

31460

5,8564

169000000

-3500

-379954,545

1,4437E+11

2

2,29

59000

135110

5,2441

3481000000

72490,90909

-303963,636

9,2394E+10

3

2,16

178000

384480

4,6656

31684000000

148481,8182

-227972,727

5,1972E+10

4

2,03

188000

381640

4,1209

35344000000

224472,7273

-151981,818

2,3098E+10

5

1,9

344000

653600

3,61

1,18336E+11

300463,6364

-75990,9091

5774618264

6

1,77

317000

561090

3,1329

1,00489E+11

376454,5455

0

0

7

1,64

509000

834760

2,6896

2,59081E+11

452445,4545

75990,90909

5774618264

8

1,51

446000

673460

2,2801

1,98916E+11

528436,3636

151981,8182

2,3098E+10

9

1,38

674000

930120

1,9044

4,54276E+11

604427,2727

227972,7273

5,1972E+10

10

1,25

574000

717500

1,5625

3,29476E+11

680418,1818

303963,6364

9,2394E+10

11

1,12

839000

939680

1,2544

7,03921E+11

756409,0909

379954,5455

1,4437E+11

19,47

4141000

6242900

36,3209

2,23517E+12

4141000

 

6,3521E+11



Проміжні розрахунки

з системи рівнянь виводимо:

584545,455

1411100

Рівняння регресії буде мати такий вигляд:


Після розв’язання системи рівнянь, визначення коефіцієнтів  та  та складання рівняння регресії будують графік залежності N від Ц (рис. 4.2).

Рисунок 4.2 Графік залежності N від Ц

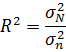
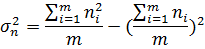
Далі ми визначаємо щільність зв’язку між цими величинами, для чого обчислюють коефіцієнт детермінації.


де  -факторна дисперсія,


 - загальна дисперсія,


Визначимо факторну дисперсію підставивши наступні дані:

6,3521E+11

57746182645

Визначимо загальну дисперсію підставивши наступні дані:

4141000

2,23517E+12

61479520661

 

Коефіцієнт детермінації характеризує тісноту зв’язку між даними величинами. Він має додатне значення і знаходиться в межах [0;1]. Залежно від значень R2 роблять наступні висновки:

·        якщо 0< R2<0,4, то зв’язок між ціною і попитом слабкий;

·        якщо 0,4< R2<0,6, то зв’язок між ціною і попитом відчутний;

·        якщо 0,6< R2<1, то зв’язок між ціною і попитом щільний.

Використовувати рівняння регресії для подальших досліджень можна при умові щільного зв’язку.

0,94

Оскільки , то зв’язок між ціною і попитом щільний.

.2 Визначення оптимальної ціни, при якій фірма отримає максимальний прибуток

Математична модель задачі по визначенню оптимальної ціни, при якій фірма отримає максимальний прибуток має вигляд:


де П - прибуток, який отримає фірма від реалізації продукції за досліджуваний період;- постійні витрати фірми на виробництво і збут продукції за даний період - 19000 грн.- змінні витрати на одиницю продукції - 1,06 грн.

Взаємозв’язок між Ц та N встановлено у п. 4.1 у вигляді регресії.


Максимізувати прибуток фірми можна з використанням похідної


Прирівнюємо  і знаходимо


Із попередньої формули виводимо наступні дані:


Щоб визначити максимальний прибуток потрібно знайти добуток оптимальної ціни та оптимального обсягу збуту:

1,74грн.

395741

* 395741 - (19000 + 1,06 * 395741)=248919од.

В результаті проведених розрахунків отримуємо величину максимального прибутку для значення оптимальної ціни та обсяг збуту, при яких цей прибуток буде отримано.

Знаходимо також собівартість одиниці продукції при даному обсязі збуту:

1,11(грн.)

Важливо також відобразити залежність собівартості від обсягу збуту графічно (рис. 4.3).

Рис. 4.3. Залежність собівартості товару від обсягу збуту

Для прийняття ефективних рішень нашою фірмою, важливе значення має визначення цінової еластичності попиту. Цінова еластичність попиту визначає ступінь чутливості обсягів збуту (попиту) залежно від ступеня зміни у цінах і може бути визначена за формулою:

-2,74839

де  - обсяг збуту, визначений за рівнянням регресії відповідно при цінах .

При зміні ціни на 1% попит зміниться на 2,75%.

Розділ 5. Формування оптимальних каналів розподілу товару

У цьому розділі потрібно сформувати оптимальні канали розподілу продукції, визначити посередників, яких підприємство буде залучати до її реалізації.

Канали розподілу - це сукупність фірм чи окремих осіб, які виконують посередницькі функції щодо фізичного переміщення та збуту товарів і перебирають на себе або сприяють переданню права власності на товари на шляху їх просування від виробника до споживача.

ПП "Солонина" використовуватиме два канали розподілу: одно рівневий та дворівневий канали.

В однорівневому каналі розподілу діє один тип посередника. На споживчих ринках таким посередником виступає як правило роздрібний торговець.

Фірма використовує таку систему у випадку співпраці із великими торговими мережами такими як Сільпо, Арсен, Ашан, Колібріс, Барвінок, Фуршет такі супермаркети зручні для використання однорівневої системи розподілу адже заказ товару відбувається великими партіями, що зменшує затрати на перевезення товару.

У двох рівневому каналі розподілу діють два таких посередника. На споживчому ринку такими посередниками бувають оптові та роздрібні торговці.

Фірма використовує таку систему розподілу для постачання свого продукту до більш дрібніших магазинів збуту, адже велика кількість дрібних магазинів потребують велику кількість фінансів і часу для транспортування, а так підприємство продає свою продукцію через оптових збутовиків.

Ширина каналу розподілу визначає кількість незалежних учасників на кожному рівні каналу. Наше підприємство буде використовувати інтенсивну ширину розподілу яка зумовлена чисельною кількістю оптових і роздрібних торговців.

Наша ціль охопити широкий ринок збуту, отримати високі прибутки через масову реалізацію і зручність місця придбання товару для споживача.

Отже, ми застосуємо два канали розподілу товару (рис. 5.1).

Рисунок 5.1. Схема каналів розподілу

Роздрібні торговці виконуватимуть наступні функції:

·        надання торговельних послуг, тобто продаж товарів споживачам;

·        прийняття на себе ризиків, зокрема відповідальності за товар під час його просування до споживача.

Оптовий торговець виконуватиме такі функції:

·        стимулювання збуту, яке полягає у інформуванні споживачів за допомогою реклами та використання заходів стимулювання збуту;

·        пошук потенційних споживачів, встановлення і підтримання з ними зв’язків;

·        проведення ділових переговорів із споживачами стосовно рівня цін та інших умов, при яких право власності може бути передано іншим особам та організаціям.

Обсяг збуту продукції підприємства є динамічним показником і внаслідок впливу різних факторів (зміна економічної ситуації, дії конкурентів тощо) може падати. Тому нам необхідно провести аналіз беззбитковості і знайти точку критичного збуту, при якому ціна дорівнює собівартості і фірма за рахунок доходів від реалізації може покрити лише свої витрати. Точка критичного збуту ділить обсяг реалізації (у теоретичному розумінні) на два інтервали:

·        інтервал [O;Nкр.], в якому фірма зазнає збитків, оскільки Ц<S;

·        інтервал [Nкр.;Nопт.] (Nкр>Nопт.), в якому фірма отримує прибутки, оскільки Ц>S.

Значення критичного збуту визначається із рівняння:

 од.

Отже, ПП "Солонина" отримуватиме прибуток лише за умови, якщо збут перевищуватиме  одиниць товару.

Розділ 6. Планування кампанії по просуванню товару

В умовах насиченого ринку недостатньо розробити новий якісний товар, встановити на нього оптимальну ціну і вибрати ефективний канал розподілу. Дедалі більшої ваги набуває четверта складова комплексу маркетингу - методи просування товару, під якими розуміється сукупність маркетингових рішень, пов’язаних із комунікацією. Система маркетингових комунікацій фірми спрямована на інформування, переконання, нагадування споживачам про їх товар, підтримку його збуту, а також створення позитивного іміджу фірми.

До системи маркетингових комунікацій належать:

·        реклама;

·        стимулювання збуту;

·        персональний продаж (прямий маркетинг);

·        "паблік рілейшнз".

Всі складові є взаємопов’язані і доповнюють одна одну, тому буде використано усі компоненти комплексу маркетингових комунікацій.

На ринку фірма використовує стратегію "втягування", тобто СМК спрямована на споживачів які внаслідок сформованого попиту будуть впливати на активізацію роздрібних та оптових торгівців.

Королевою СМК являється реклама, яка повинна бути присутня у кожного підприємства. ПП "Солонина" використовує рекламу на телебаченні це дозволяє інформувати про продукт основних споживачів продукції а саме підлітків. Також використовується реклама в Інтернеті на різних молодіжних сайтах. Підприємство також регулярно влаштовує "День відкритих дверей" для журналістів та гостей фірми, що належить до зв’язків з громадкістю. Персональний продаж практично не використовується тому, що це значні затрати для підприємства.

Наступною системою маркетингових комунікацій на якій я б хотів детальніше зупинитись являється стимулювання збуту, а саме розробка системи бонусів. Підприємство пропонує споживачам збирання накопичувальних бонусів які вони зможуть обміняти на призи від виробника. В деяких із куплених пачках із чіпсами в середені може містись значок із надписом "Солонина" (рис.6.1). Значки містяться у пачках у спів відношенні 5:1 відповідно пачки-значок.

Рис. 6.1 Бонусний значок

Виробник розігрує такі призи:

значків - фірмові сонячні окуляри;

значків - фірмовий наручний годинник;

значків - mp3 плеєр;

значків - планшет Lenovo.

Призи можна получити відправивши значки одним листом за адресою виробника продукції.

Така система бонусів допоможе заохотити споживачів до частішої покупки даних чіпсів, окрім задоволення потреби в харчуванні вони також будуть заохочуватись бажанням виграти цінні призи від виробника.

Висновки

У даному курсовому проекті я розробив систему маркетингу для мною придуманого ПП "Солонина".

У першому розділі я провів аналіз ринку оцінив вплив мікро- і макросередовища на підприємство. Загалом мікросередовище може контролюватися підприємством і є сприятливим для ведення бізнесу. Макросередовище підприємство не може контролювати і тому воно вдало пристосовується до зовнішніх умов. Також у розділі проводився аналіз матриці класифікацій індивідуальних потреб.

У другому розділі я проводив сегментування ринку. Спершу створювалась анкета, потім за допомогою неї збираються дані необхідні для орієнтації підприємства на потрібний сектор споживачів після аналізу даних ми знаємо на яких людей ми можемо орієнтуватися і які проблеми ми можемо задовольнити. Наступним кроком я представив продукцію фірми і їхній логотип.

Провівши пробний маркетинг у четвертому розділі я визначив оптимальну ціну, обсяги збуту необхідні для прибуткової діяльності підприємства та максималізації прибутку. Другим кроком у розділі було визначення взаємозв’язку між ціною і попитом, як коливання в цінні впливають на попит.

У п’ятому розділі формуються канали розподілу продукції по ринках збуту фірма використовує двох рівневу систему розподілу куди входять оптові та роздрібні торговці для того щоб захопити як можна більше споживачів. І в завершальному розділі була сформована система маркетингових комунікації яка створена для просування продукту і створення позитивного іміджу для підприємства.

Отже, у курсовому проекті було описано усю маркетингову діяльність підприємства яке працює в сучасній ринковій системі.

Список використаної літератури

1.      Гаркавенко С.С. Маркетинг: Підручник для студ. екон. спец. вищ. навч. закл. - 4-е. вид., доп. - К.: Лібра, 2006. - 717 с.

.        Маркетинг: Підручник / В. Руделіус, О.М. Азарян, О.А. Виноградов та ін: Ред.-упор. О.І. Сидоренко, П.С. Редько - К.: Навчально-методичний центр "Консорціум із удосконалення менеджмент-освіти в Україні" 2005. - 422 с.

.        Методичні вказівки до виконання курсового проекту "Формування комплексу маркетингу підприємства" з курсу "Маркетинг" для студентів всіх форм навчання галузей знань 0305 "Економіка та підприємництво" та 0306 "Менеджмент і адміністрування" / Укл.: Мороз Л.А., Крикавський Є.В., Косар Н.С., Кузьо Н.Є., Леонова С.В., Рикованова І.С., Савченко Ю.Т. - Львів: НУ "Львівська політехніка", 2009. - 26 с.

.        Мороз Л.А., Чухрай Н.І. Маркетинг - видання п’яте, оновлене - Львів 2010, Бухгалтерський центр "Ажур". - 232 с.

Похожие работы на - Формування комплексу маркетингу підприємства

 

Не нашли материал для своей работы?
Поможем написать уникальную работу
Без плагиата!
Без нейросетей!