Лекарственные растения и лекарственное растительное сырье, обладающие ранозаживляющей активностью

  • Вид работы:
    Курсовая работа (т)
  • Предмет:
    Медицина, физкультура, здравоохранение
  • Язык:
    Русский
    ,
    Формат файла:
    MS Word
    918,53 Кб
  • Опубликовано:
    2014-09-13
Вы можете узнать стоимость помощи в написании студенческой работы.
Помощь в написании работы, которую точно примут!

Лекарственные растения и лекарственное растительное сырье, обладающие ранозаживляющей активностью

МИНИСТЕРСТВО ЗДРАВООХРАНЕНИЯ РОССИИ

ГБОУ ВПО ВОЛГОГРАДСКИЙ ГОСУДАРСТВЕННЫЙ МЕДИЦИНСКИЙ УНИВЕРСИТЕТ

Кафедра ботаники и фармакогнозии









КУРСОВАЯ РАБОТА

«Лекарственные растения и лекарственное растительное сырье, обладающие ранозаживляющей активностью»

Выполнил:

студент 3 курса 305 группы

фармацевтического факультета

Сурнина Елена Владиславовна

Проверил:

ассистент кафедры

Летнева Ольга Викторовна


Волгоград 2013 г.

ОГЛАВЛЕНИЕ

ВВЕДЕНИЕ

. КАРОТИНЫ И КАРОТИНОИДЫ - ПРОВИТАМИНЫ ВИТАМРННОВ ГРУППЫ А

.1 Структура и синтез каротиноидов.

.2 Биологическая роль каротиноидов.

.3 Источники каротиноидов.

2. ПЛОДЫ ОБЛЕПИХИ СВЕЖИЕ - FRUCTUS HIPPOPHAES RHAMNOIDIS RECENTIS

2.1 Ботаническая характеристика производящего растения     

.2 Заготовка и хранение лекарственного растительного сырья

.3 Химический состав

.4 Применение в народной и научной медицине

. ЦВЕТКИ НОГОТКОВ - FLORES CALENDULAE НОГОТКИ ЛЕКАРСТВЕННЫЕ - CALENDULAE OFFICINALIS

3.1 Ботаническая характеристика производящего растения     

.2 Заготовка и хранение лекарственного растительного сырья

.3 Химический состав

.4 Применение в народной и научной медицине

ЗАКЛЮЧЕНИЕ

СПИСОК ИСПОЛЬЗОВАННОЙ ЛИТЕРАТУРЫ

ПРИЛОЖЕНИЕ

ВВЕДЕНИЕ

В нашей жизни не редко приходиться сталкиваться с таким явлением, как раны. Получить порезы, ожоги или другие виды повреждения кожи весьма легко, а чтобы они зажили нужно время. Помимо повреждающего фактора, ранам могут так же сопутствовать воспалительные процессы. Вот почему очень важно уделять ранам своевременное и необходимое лечение.

Среди многочисленных заболеваний, вызванными поражением ткани, стоит уделить внимание инфекциям. Микроорганизмы с легкостью попадают в раны, вызывая различные виды нагноения. Вот почему помимо ранозаживляющего, препараты должны обладать бактерицидными и обеззараживающими свойствами.

Цель данной работы - изучить лекарственые растения и лекарственное растительное сырье (ЛРС), применяемых в медицине в качестве ранозаживляющих средств.

Для достижения поставленной цели потребовалось решить следующие задачи:

·        привести русское и латинское наименование растительного сырья, производящего растения, название семейства;

·        дать краткую ботаническую характеристику растения;

·        привести данные о заготовке и сушке сырья;

·        указать химический состав растительного сырья;

·        привести фармакологическое действие ЛРС, его применение и возможные лекарственные средства;

·        изложить методику стандартизации ЛРС (качественный и количественный анализ).

Очень многие препараты, которые используются в качестве ранозаживляющего средства, создаются на основе растительного сырья.

По сей день лекарственные растительные препараты занимают значительное место среди наиболее предпочтительных антибактериальных и ранозаживляющих средств для лечения поврежденных поверхностей тканей, что подчеркивает актуальность выбранной темы.

Примерами растений, обладающих ранозаживляющей активностью, являются облепиха крушиновидная и календула лекарственная. Особый интерес в химическом составе этих растений представляют каротины и каротиноиды, которые являются провитаминами витаминов группы А (ретинола). Научно доказано, что витамин А участвует во многих процессах регуляции синтеза белка, способствует появлению и росту новых клеток, а также нормализует функции иммунной системы, что помогает организму противостоять инфекции. Что еще не менее важно, в их составе присутствуют вещества, обладающие бактерицидным действием.

В последние десятилетия, в связи с изменением интенсивности жизни, структуры питания человека, индустриализацией животноводства, необходимостью существования, в ряде случаев в среде, загрязненной химическими и радиоактивными веществами, возросла потребность в каротиноидах, в качестве ранозаживляющих, антиоксидантных, антиканцерогеных и радиопротекторных веществ.

Во многих странах ведется поиск альтернативных источников каротиноидов среди дрожжей, бактерий, грибов, разработка технологий промышленного их культивирования, а также изучение влияния каротиноидов различного происхождения на метаболические процессы в организме. Чтобы лучше понять роль таких растений в медицины, рассмотрим их поближе.

1. КАРОТИНЫ И КАРОТИНОИДЫ - ПРОВИТАМИНЫ ВИТАМРННОВ ГРУППЫ А

Витамины группы А в растениях не синтезируются, однако наблюдаются их провитамины, являющиеся растительными пигментами каротина. Каротины являются производными ликопина, наиболее распространенного в растениях каротиноида. Интенсивное изучение природных тетратерпенов - каротиноидов, открытых еще в 1837 году Берцелиусом, началось во второй половине ХХ века [5].

1.1 Структура и синтез каротиноидов

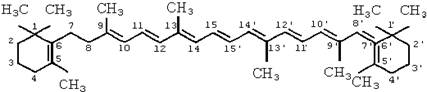
Особенностью структуры каротиноидов является наличие С40 скелета с большим числом сопряженных двойных связей, от количества которых зависит их окраска - от бесцветной (фитоин и фитофлюин) до желто-оранжевой, красной или фиолетовой. В структуре многих каротиноидов на одном или обоих концах С40 скелета имеются циклические остатки.


При циклизации у обоих концов образуются b-каротин, a-каротин, e-каротин. Изменения в структуре циклических остатков при неизменном С40 скелете приводят к образованию разнообразных каротинов.


В отличие от «чистых» углеводородов-каротинов (С40Н56) в структуре ксантофиллов (С40Н56О2) присутствуют гидрокси-, метокси-, эпокси-, карбокси-, кето- и оксогруппы, соединенные с исходной молекулой каротина.

Молекулы каротиноидов легко изомеризуются, переходя из транс- в цисформу, но наиболее устойчивой является полностью транс-конфигурация. Цисизомеризация изменяет не только физико-химические свойства, но и биологическую активность каротиноидов.

Синтез каротиноидов происходит в хлоропластах высших растений, в Путем протонной атаки двойной связи в С1, в анаэробных условиях, из ликопина синтезируются циклические каротиноиды. Один раз образовавшись, кольца практически не подвергаются взаимопревращению. Десатурация и циклизация, приводящие к образованию a- и b-каротинов, происходят с участием ферментов, локализованных во фракции интегральных мембран хлоропластов. Деградация каротиноидов в клетках растений происходит под действием света или с участием ферментов липооксидаз [9].

1.2 Биологическая роль каротиноидов

В клетках растений каротиноиды локализованы в пластидах в виде глобул, кристаллов, белково-каротиноидных комплексов, входящих в структуру мембран. Способность каротиноидов выполнять роль светофильтров связана с наличием в их структуре хромофорной группы с 9-11 сопряженными двойными связями. Уменьшение количества связей (менее 7) приводит к потере пигментами способности переводить электроны из возбужденного в основное состояние. В нефотосинтезирующих тканях и органах растений каротиноиды выполняют не связанные с фотосинтезом функции: стабилизируют клеточные мембраны, образуя нестойкие пероксиды, предотвращают цепные реакции окисления, регулируют транспортную и биосинтетическую функции мембран, участвуют в процессах фототропизма, фототаксиса, размножения как у растений, так и у микроорганизмов. Интенсивное освещение, низкая или высокая температура и стимулируют образование каротиноидов в клетках, что, по-видимому, является одним из способов адаптации растений к стрессу.

Животные могут лишь пассивно накапливать каротиноиды в тканях и не способны синтезировать их de novo. До настоящего времени наиболее изучена провитаминная функция некоторых каротиноидов, способных трансформироваться в витамин А в кишечнике и печени животных. Из всех известных каротиноидов только 10% проявляют провитаминную активность, которая убывает в ряду: b-каротин - 100%, криптоксантин - 57%, a-каротин - 53%, g-каротин - 27%, торулин - 9%, торулародин - 3%[3].

Центральное место в метаболизме каротина в печени и кишечнике занимает ретиналь, который восстанавливается до ретинола. Ретиналь может всасываться и в неизменном виде, превращаясь в ретинол под действием названного фермента в других органах и тканях. В кишечнике и печени активна ретинилдегидрогеназа, катализирующая образование из ретинола ретиналя, но реакция сдвинута в сторону ретинола.

Из клеток слизистой оболочки тонкого кишечника выделена ретинальоксидаза, окисляющая ретиналь в ретиноевую кислоту. Основная масса ретиноевой кислоты, в отличие от ретинола и ретиналя, всасывается не через лимфатические пути, а через воротную вену и выводится с желчью в виде глюкуронидов.

Система биотрансформации b-каротина отсутствует в первые дни после рождения и появляется у животных в месячном возрасте. Эффективность превращения провитамина в витамин А у разных видов колеблется в пределах 4:1, 10:1 и зависит от количественного и качественного составов белков и липидов в рационе, наличия антиоксидантов, продуктов окисления карбоновых кислот, нитратов, нитритов, физиологического состояния организма [9].

Антиоксиданты (витамин С, α-токоферол) повышают биодоступность каротина, предотвращая окислительную деструкцию его изопреноидной цепи. В присутствии витамина Е может происходить свободнорадикальное окисление каротина, спровоцированное фенольными радикалами, образующимися при окислении α-токоферола. Существуют противоречивые данные о способности каротина всасываться в присутствии витамина А. По мнению ряда авторов, витамин А ингибирует превращение и всасывание каротина в кишечнике, что свидетельствует о более эффективном функционировании систем освобождения и переноса витамина А в сравнении с системой биотрансформации. В исследованиях последних лет установлено частичное совпадение метаболических путей витамина А, b-каротина и этанола. Длительное использование витамина А и каротина на фоне потребления алкоголя снижает конверсию провитамина в ретиналь и усиливает гепатотоксический эффект последнего.

Каротиноиды могут всасываться в кишечнике без биотрансформации. Включаясь в состав липопротеинов, они транспортируются в жировую ткань, печень, надпочечники, яичники и другие органы, выполняя там совершенно самостоятельные функции. Являясь специфическими адаптогенами, они обеспечивают защиту и повышение общей резистентности организма при действии разнообразных стрессоров. В настоящее время установлены профилактическое и защитное действия b-каротина в отношении заболеваний, сопровождающихся окислительным стрессом (катаракта, хронические инфекции, воспаления, рак, сердечно-сосудистая патология и др.)

Антиоксидантные свойства многих каротиноидов, и прежде всего b-каротина, обусловливают их радиопротекторное, антимутагенное, иммуномодулирующее, антиинфекционное действия.

Антиоксидантная активность b-каротина связана с его способностью блокировать образование синглетного кислорода - О'2, поглощая энергию возбужденного электрона без каких-либо химических превращений, возвращая О'2 в основное (триплетное) состояние без повреждения окружающих биологических систем. Кроме b-каротина, способностью «гасить» синглетный кислород обладают также ликопин, астаксантин, a-, g-каротин, зеаксантин, резерватол и другие каротиноиды. Являясь компонентами неферментативной антиоксидантной системы, они защищают клеточные структуры от воздействия активных форм кислорода, не только «гася» синглетный кислород, но также нейтрализуя перекисные радикалы и обрывая цепные реакции свободнорадикального окисления ненасыщенных карбоновых кислот, препятствуя перекисному окислению липидных компонентов клеточных мембран. Некоторые исследователи считают, что антиоксидантные свойства b-каротина превосходят таковые токоферола, триптофана, глутатиона, витамина А, т.к. он замедляет разрушение антиоксидантов свободными радикалами. Совместное использование b-каротина, α-токоферола, витамина С оказывает более сильное антиоксидантное действие, чем каждое вещество в отдельности[12].

Радиопротекторные свойства каротиноидов обусловлены их способностью препятствовать повреждению тканей путем стабилизации клеточных мембран, структуры ДНК и энергетического статуса клеток, нарушающихся при воздействии γ-излучения. Защитное действие каротиноидов, поверхностно связанных с мембранными структурами, состоит в возможности миграции кванта энергии по системе сопряженных двойных связей или присоединении радикалов, образующихся в результате облучения. Значительный интерес в этом аспекте представляет b-каротин, который используется для профилактики отдаленных последствий радиации. Установлены защитный и терапевтический эффекты b-каротина при остром воздействии ионизирующего излучения и его способность влиять на липидный состав ядер тимуса и печени крыс при длительном введении в рацион. Использование b-каротина позволяет скорректировать изменения обмена липидов и поведенческие реакции, нарушающиеся под воздействием малых доз ионизирующего излучения.

В последние годы в развитых странах увеличилось потребление продуктов и витаминных добавок, богатых каротиноидами, с целью уменьшения риска радиационного и спонтанного канцерогенеза. Известно, что в отличие от ретинола, b-каротин обладает крайне низкой токсичностью. Однако в исследованиях на животных и группах добровольцев было установлено, что в относительно низких концентрациях, сравнимых с потреблением пищи, богатой каротиноидами, b-каротин и ликопин предотвращают окислительное повреждение ДНК и клеточных мембран, но чрезмерное потребление каротинсодержащих продуктов может привести к развитию каротинемической псевдожелтухи, а антиоксидантный эффект трансформироваться в прооксидантный.

Вероятно, одной из функций каротиноидов в клетках животных является адаптация организма к гипоксии. При низком парциальном давлении кислорода наблюдаются повышение концентрации каротиноидов в клетках и снижение их в составе b-липопротеиновых комплексов плазмы крови, возможно, за счет перемещения из крови в клетки тканей. Предполагают, что каротиноиды, миоглобин и окислительные ферменты (флавопротеины, гемопротеины) образуют специфическую систему окисления. В этой системе каротиноиды и миоглобин функционируют как внутриклеточное депо кислорода, а окислительные ферменты образуют систему терминального окисления, в которой конечным акцептором электронов является либо оксигенированный каротиноид, либо кислород из внутренних депо. За счет этой системы осуществляется энергообеспечение клетки в условиях дефицита кислорода в тканях. Часть ненасыщенных двойных связей в структуре каротиноидов используется для создания внутриклеточного депо кислорода (или запасов органического акцептора электронов). В условиях гипоксии, происходит изъятие ранее депонированного кислорода. Очевидно, накопление каротиноидов в клетках с возрастом, а также у молодых животных в условиях гипоксии, может быть результатом адаптации клеток к уменьшению скорости поступления кислорода. Возможно, именно с этим связано значительное накопление каротиноидов в тканях у больных при сахарном диабете, атеросклерозе, ишемической болезни сердца. В то же время наблюдается снижение концентрации α- и β-каротиноидов, ликопина в плазме крови (в составе ЛПНП) при атеросклерозе, возможно, за счет их избирательного окисления активными соединениями азота [12].

Данные об антисклеротическом действии каротиноидов немногочисленны и противоречивы. Известно, что ретиноиды способны снижать уровень холестерола и других липидов в сыворотке крови человека и животных, но этот механизм до конца не выяснен. Установлен гипохолестеринемический эффект препаратов каротина, но при этом наблюдается накопление холестерола в стенке аорты и печени животных, что может быть связано с повышением количества модифицированных ЛПНП. Отмечены случаи увеличения частоты сердечных приступов у больных с сердечно-сосудистой патологией на фоне диеты, богатой каротиноидами. Снижение уровня каротиноидов в крови отмечено при хронических гемолитических анемиях, гемохроматозе, сахарном диабете, ВИЧ-инфекциях, при которых усилены продукция прооксидантов и некробиотические процессы[12].

1.3 Источники каротиноидов

Традиционными источниками каротиноидов для человека и животных являются вегетативные органы, плоды, семена растений и продукты животного происхождения. Однако они не могут в полной мере обеспечить потребностей медицины, пищевой промышленности, сельского хозяйства в каротине. В последние годы найдены перспективные продуценты каротина среди водорослей, грибов, дрожжей, бактерий и разработаны технологии их промышленного культивирования. Самым легко доступным и более практичным источником остаются растения. Каротины и каротиноиды обнаружены в листьях многих растений, а также в корне моркови, плодах шиповника и др. Однако для получения достаточного количества ранозаживляющего вещества, которое необходимо в медицине, требуется огромное количество растений. Целые поля ЛРС скашиваются для получения препаратов на основе каротиноидов. Как известно, даже культивируемое сырье, имеет свои ограничения. А столь востребованный продукт должен быть постоянно доступным. Поэтому научно-исследовательские лаборатории занялись поисками альтернативного источника каротиноидов [8,9].

В настоящее время предложены для практического использования высокопродуктивные штаммы каротинсинтезирующих дрожжей Rhodosporidium diobova-tum, установлено влияние различных факторов на процессы каротиногенеза. Другим перспективным продуцентом каротиноидов могут быть микроводоросли рода Danuliella, способные накапливать в клетках от 57 до 69% лютеина, 20% b-каротина, 11-24% ксантофиллов виолоксантинового цикла. Водоросль Danuliella salina, пигменты которой, по некоторым данным, на 90% состоят из b-каротина, используется как его источник, а также для обогащения рационов животных каротином. Spirulina platensis, культивируемая на специальных минеральных средах, содержит до 1700 мг/кг каротиноидов.

Во многих странах налажено производство синтетического b-каротина, который используется в медицине, ветеринарии а также в фармацевтической промышленности.

В настоящее время разработаны рекомендации по использованию различных каротинсодержащих препаратов с профилактической целью, а также в качестве биологически активных добавок, влияющих на А-витаминный статус организма[3].

2. ПЛОДЫ ОБЛЕПИХИ СВЕЖИЕ - FRUCTUS HIPPOPHAES RHAMNOIDIS RECENTIS

ОБЛЕПИХОВОЕ МАСЛО - OLEUM HIPPOPHAES

ПРОИЗВОДЯЩЕЕ РАСТЕНИЕ:

ОБЛЕПИХА КРУШИНОВИДНАЯ - HIPPOPHAE RHAMNOIDES Семейство: Лоховые - Elaeagnaceae

2.1 Ботаническая характеристика производящего растения

Облепиха крушиновидная - крупный колючий кустарник или небольшое дерево семейства лоховых высотой до 6 м (Приложение 1). Корни многочисленные, поверхностные, дают много отпрысков. Ветви угловатые, оканчивающиеся колючкой. Молодые побеги густо покрыты серебристыми чешуйками, взрослые - ржаво-бурыми. Листья очередные, простые, короткочерешковые, цельнокрайние, сверху темно-зеленые, снизу серебристые. Облепиха - растение двудомное. Половые признаки проявляются только с момента зацветания. Цветет облепиха в апреле - мае до или во время распускания листьев. Цветки мелкие, желтоватые. Женские расположены на коротких цветоножках по 2-5 шт. в пазухах веток, и колючек, мужские собраны в короткие колосья. Плод облепихи - оранжевая или красная мясистая костянка шарообразной формы диаметром около 1 см. Созревает в конце августа - октябре [6,10].

Ареал обитания: обычные естественные местообитания облепихи - песчаные дюны у моря, берега рек и ручьев, склоны. В последнее время облепиху все больше выращивают в садах и парках. Благодаря своей корневой системе облепиха является хорошим закрепителем песков и оползней, ее часто сажают на склонах вдоль улиц и шоссейных дорог. В диком состоянии распространена на всей территории Европы, на Кавказе, в Западной и Средней Азии, Монголии, Китае, заходит в тропические районы Пакистана и Индии. На территории России встречается в европейской части, на Северном Кавказе, в Западной и Восточной Сибири, на Алтае. Разводится в садах и парках как декоративное растение [4,7,8].

Растение получило широкое распространение на территории России. В роду облепиха именно облепиха крушиновидная разводится ради плодов. Облепиха - светолюбивое и морозоустойчивое растение, способно переносить морозы до 45 градусов и ниже. Облепиха предпочитает рыхлые почвы, с богатым содержанием органических веществ и фосфора. На влажных участках растение гибнет. Морозоустойчивость облепихи позволяет выращивать её в северных районах. После того, как были установлены целебные свойства плодов и масла облепихи, её стали культивировать как ценное витаминное растение, и начали выращивать на приусадебных участках и на промышленных плантациях [8,11].

каротиноид ноготок облепиха медицина

2.2 Заготовка и хранение лекарственного растительного сырья

Лекарственным сырьем являются плоды облепихи (Приложение 2). Сбор плодов начинают в период их созревания, когда они приобретают свойственную им окраску, упруги и при срывании не раздавливаются. Не следует затягивать сбор плодов, так как перезрелые плоды становятся мягкими, раздавливаются в руках, превращаясь в липкую массу. Сбор можно проводить только в сухую погоду. Из-за растопыренных ветвей и острых колючек сбор зрелых плодов облепихи - очень трудоемкое дело. Испытанным считается следующий метод: большие ветки обвязывают шнуром, пригибают в радиусе куста, на землю под них кладут ткань и ножницами срезают на нее зрелые плоды[1,4].

Свежие плоды хранят в прохладном, защищенном от света месте не более 3 дней. При хранении в замороженном виде в холодном месте срок годности до 6 месяцев. После этого плоды поступают на переработку. Отрывать плоды облепихи пальцами не рекомендуется: их легко раздавить, при этом теряется ценный сок. Плоды перерабатывают на сок, пюре или варенье [7,8 ,11].

Масло получают из зрелых плодов облепихи, тщательно отжимая сок (Приложение 2). Массу (жом) высушивают, равномерно и часто перемешивая, не допуская ее заплесневения. Можно сушить жом в сушилке или духовке при температуре не выше 50°C. Высушенный жом размалывают в кофемолке или ступке и заливают любым растительным маслом в соотношении 1:15 (по весу). Настаивают, периодически перемешивая, 3 недели при комнатной температуре. Через 3 недели жидкую часть сливают. Полученное облепиховое масло готово к употреблению.

Хранят в сухом прохладном, защищённом от света месте. Срок годности облепихового масла - 1,5 года [4,10,11].

2.3 Химический состав

Плоды облепихи крушиновидной относят к поливитаминным. Они содержат провитамины А (до 10,9 мг%) и витамины (B1, B2, B3, B6, C, E, К и др.). Плоды содержат 3-6 % сахаров (глюкоза и фруктоза), органические кислоты (до 2,5 %) - яблочная, винная и др., дубильные вещества, желтый красящий пигмент кверцетин, флавоноиды. В плодах облепихи крушиновидной так же накапливается жирное масло, которое состоит из триацилглицеринов с насыщенными и ненасыщенными жирными кислотами, среди последних преобладают мононенасыщенные (пальмитоолеиновая, олеиновая) кислоты; Масло из мякоти плодов облепихи имеет ярко-оранжевую окраску, из семян - желтоватую. Масло из семян и мякоти несколько различается по составу. Масло из мякоти плодов облепихи содержит до 0,350 % каротина и каротиноидов, тиамин и рибофлавин, в довольно большом количестве (0,165 %) токоферол и значительное количество витамина F, регулирующего обмен веществ кожи.

В листьях и коре найдены алкалоид гиппофаин (до 0,4 %), аскорбиновая кислота и до 10 различных дубильных веществ, в коре - до 3 % жирного масла иного состава, чем в плодах и семенах [1, 10, 11].

Стандартизация: качество сырья регламентирует ГФ XI.

Числовые показатели для плодов свежих: сумма каротиноидов, определяемая спектрофотометрическим методом, в пересчете на бета-каротин не менее 10мг%. Влаги не более 87%, золы общей не более 1%. Недозрелых плодов не более 1%; поврежденных вредителями плодов не более 2%. Примеси веток и других частей растения не более 1%. Минеральной примеси допускается не более 0,5%. Мятых плодов не более 35% (при условии сохранения сока из этих плодов).

Количественное определение жирного масла в растительном сырье проводят в аппарате Сокслета. Метод основан на способности жирных масел растворяться в органических растворителях. Расчет содержания проводят по количеству извлеченного масла или по обезжиренному остатку. Методики определения приведены в и в специальных руководствах. Проводят спектрофотометрический метод определения суммы танинов в песечете на казуаринин в листьях облепихи [2, 6, 10].

2.4 Применение в народной и научной медицине

Плоды облепихи и облепиховое масло уменьшают боли и прекращают воспалительные процессы, ускоряют грануляцию и эпителизацию тканей, способствуют быстрому заживлением ран и обладают бактерицидным и поливитаминным действием. Масло из облепихи крушиновидной положительно влияет также на липидный обмен печени, реакцию перекисного окисления липидов в мембранах, благодаря токоферолам защищает биологические мембраны от повреждающего действия химических агентов. Самое распространенное лечебное средство - облепиховое масло. Из плодов облепихи выжимают сок, мякоть высушивают, измельчают и заливают растительным маслом. Оно обладает питательным, противовоспалительным, регенерирующим и биостимулирующим действием, входит в препараты «Олазоль», «Гипозоль» и «Облекол» [3,8,10,11].

3. ЦВЕТКИ НОГОТКОВ - FLORES CALENDULAE

НОГОТКИ ЛЕКАРСТВЕННЫЕ - CALENDULA OFFICINALIS

Семейство: Астровые - Asteraceae


3.1 Ботаническая характеристика производящего растения

Ноготки лекарственные (Приложение 3), календула - однолетнее травянистое растение с густым, но коротким опушением и сильным своеобразным запахом, 30-70 см высоты. Листья очередные, цельные, с выдающейся срединной жилкой, продолговато-лопатчатые, большей частью цельнокрайние или с редкими зубчиками по краю, нижние сужены в черешок, верхние с сердцевидным основанием, сидячие. Цветочные корзинки крупные, ярко-оранжевые или золотисто-желтые, одиночные, на верхушках стебля и боковых веточек; обертка зеленая, чашевидная, из одного ряда почти одинаковых заостренных листочков; цветоложе плоское, краевые цветки язычковые, оранжевые, расположенные в 2-3 ряда, срединные - трубчатые, желтые. Плоды - семянки, в одной и той же корзинке разные: наружные более или менее прямые, с длинным 2-3-зубчатым носиком, следующие за ними - сильно кольцевидно-согнутые, с широким краем, без носика; внутренние самые мелкие, без носика и крылатого края. Наружная поверхность семянок с бугорками или острыми шипиками. Цветет с июня до осени [4,7,10].

3.2 Заготовка и хранение лекарственного растительного сырья

Обрывают корзинки с остатком цветоноса длиной до 3 см. (Приложение 4) Свежее сырье очищают от стеблевых и органических примесей. Производится в день сбора в тени или в сушилках при температуре до 45°C. Сырье раскладывают тонким слоем. При пересушивании оно измельчается. Окончание сушки определяется по распадаемости цветоложа. По ГОСТу сырье состоит из целых корзинок до 5 см в диаметре с цветоножками длиной до 3 см или без них. Цвет желтовато-оранжевый. Запах слабоароматный. Вкус солоновато-горький. Снижает качество сырья примесь цветоножек, стеблей, распавшихся корзинок, бурых частей, органических и минеральных веществ. Подлинность сырья определяется по морфологическим признакам.

Хранят в сухих помещениях, на стеллажах, упакованным в фанерные ящики, выложенные бумагой. Срок годности до 2 лет. Гарантийный срок - 1 год [4,8,11].

3.3 Химический состав

Цветочные корзинки содержат горькое вещество календен, слизистые вещества (до 4%), смолы (около 3,44%), яблочную (6,84%), пентадециловую кислоты и следы салициловой кислоты, различные каротиноиды (около 3%) - каротин, ликопин, виолаксантин, рубиксантин, цитраксантин, флавохром, флавоксантин, хризантемаксантин, незначительное количество алкалоидов, эфирное масло (около 0,02%) и фитонциды. Своеобразный запах цветкам придает эфирное масло. Лечебное действие ноготков во многом зависит от оранжевого пигмента каротина (провитамина А). Сорта ноготков с оранжевыми цветочными корзинками содержат вдвое больше каротина, чем светло-желтые[1,10,11].

В результате изучения химического состава цветков календулы лекарственной, культивируемой в Самарской области, выделены и идентифицированы 7 индивидуальных соединений, среди которых доминирующее флавоноидное вещество (нарциссин) выделено впервые в РФ из данного растения и идентифицировано с использованием УФ-спектроскопии, масс-спектрометрии и различных химических превращений (кислотный и ферментативный гидролиз) [4,7,10].

Стандартизация: качество сырья регламентирует ГФ XI.

Числовые показатели: экстрактивных веществ, извлекаемых 70% спиртом, не менее 35%. Влажность не более 14%, золы общей не более 11%. Остатков цветоносов, в том числе отдельных от корзинок при анализе, не более 6%. Корзинок с полностью осыпавшимся язычками и трубчатыми цветками (цветоложе с обвертками) не более 20%. Побуревших корзинок не более 3% других частей растения (кусочков стеблей и листьев) не более 3%. Органической примеси не более 0,5%. Минеральной примеси не более 0,5%.

Показана целесообразность проведения стандартизации сырья и препаратов календулы лекарственной по каротиноидам (ведущая группа БАС) и флавоноидам. Разработаны подходы к стандартизации, заключающиеся в обнаружении диагностического доминирующего флавоноида - нарциссина с использованием ТСХ-анализа, ГСО рутина и УФ-спектроскопии.

Научно обоснована целесообразность оптимизации состава и технологии получения лекарственных средств «Календулы экстракт жидкий» и «Календулы настойка», обладающих более высокой противомикробной активностью[2,6,10,11].

3.4 Применение в народной и научной медицине

Противовоспалительное, бактерицидное, ранозаживляющее, потогонное, мочегонное, вяжущее и успокаивающее. Применяется также в качестве симптоматического средства при неоперабельных формах рака: под действием препаратов календулы у больных уменьшается интоксикация, исчезают диспептические явления, улучшаются аппетит и сон. Установлено, что календула успокаивает центральную нервную систему, понижает рефлекторную возбудимость и артериальное давление, регулирует сердечную деятельность.

Фармакологическая активность препаратов календулы обусловлена каротиноидами и флавоноидами. При местном применении препараты календулы оказывают противовоспалительное, антимикробное действие на экспериментальных моделях микробного и асептического воспаления.

Настойку календулы применяют при воспалительных заболеваниях верхних дыхательных путей, ангинах. (Приложение 4) Календула используется в виде полосканий 2% раствором через каждые 1,5-2 часа. Такие же полоскания назначают при пародонтозе. Применяют настойку при порезах, гнойных ранах, ожогах.

Настои календулы применяют внутрь при язвенной болезни, эрозивных гастритах, колитах, энтероколитах, используют как желчегонное средство. При проктитах и парапроктитах применяют в виде лечебных клизм.

Настойку календулы (Tinctura Calendulae) готовят из краевых цветков календулы или из цветочных корзинок на 70% спирте. Соотношение растительного сырья к извлекателю 1:10. Настойку назначают внутрь по 20-30 капель на прием 2-3 раза в день. Для полоскания горла разводят 1 чайную ложку настойки в стакане воды.

Из сухих цветков календулы готовят водный настой (1:10). Принимают по 1 столовой ложке настоя 4-5 раз в день.

Мазь "Календула" (Unguentum "Calendulae") состоит из 20 г настойки календулы и 90 г эмульсии консистентной (вода/вазелин). Мазь желтоватого цвета. Выпускается в стеклянных банках по 40 г. Хранят в прохладном месте. Применяют при ожогах, порезах, трещинах губ, сосков, при ушибах, экземе и т. д.

Калефлон - очищенный экстракт из цветков календулы. Выпускают в таблетках по 0,1 г, светло-коричневого (до темно-коричневого) цвета со слабым специфическим запахом. Принимают внутрь после еды по 0,1-0,2 г 3 раза в день. Курс лечения 3-6 недель. Назначают в качестве противовоспалительного и стимулирующего репаративные процессы при язвенной болезни желудка и двенадцатиперстной кишки, при хронических гастритах и энтеритах. Препарат можно назначать вместе с антацидными и спазмолитическими средствами [3,8,10,11].

ЗАКЛЮЧЕНИЕ

В ходе проведенного изучения лекарственных растений и лекарственного растительного сырья по литературным источникам, применяемых как ранозаживляющее средство, были решены следующие поставленные задачи:

·        приведено русское и латинское наименование растительного сырья, производящего растения, название семейства;

·        дана краткая ботаническая характеристика растения;

·        приведены данные о заготовке и сушке сырья;

·        указан химический состав растительного сырья;

·        приведено фармакологическое действие ЛРС, его медицинское применение и возможные лекарственные средства;

·        изложены показатели качества ЛРС.

Во время работы было также рассмотрено значение каротиноидов для человека, как компонент ранозаживляющих препаратов.

Таким образом, по проделанной работе можно сделать следующий вывод - в лечении ран, ожогах и других повреждениях кожи применяется ЛРС с группой биологически активных веществ: каротиноидов. Каротиноиды содержатся в облепихи крушиновидной и календуле лекарственной и других лекарственных растениях, что и обуславливает возможность их применения в качестве лекарственных средств ранозаживляющего действия.

Список используемой литературы

1.      Государственная фармакопея СССР. - 11-е изд. - М.: Медицина: Вып.1 Характеристика ЛРС, 1990.

.        Государственная фармакопея СССР: Вып.2 Общие методы анализа. Лекарственное растительное сырьё / СССР. - 11-е изд. - М.: Медицина, 1990.

.        Использование лекарственных растений в фитотерапии. - М.: Издательство «МДВ», 2008. - 376 с. - ил.

.        Лекарственные растения. - Спб.: ООО «СЗКЭО», 2011. - 320 с.: ил. Под редакции А. Шаронов.

.        Продуцент β-каротин природного происходження - Стенько А.С., Мартиновський В.П., Кунщикова // (Суми, 2-4 жовтня 2002 р.): Тез.доп. - Суми, 2002. - С.19-21.

.        Руководство к практическим занятиям по фармакогнозии. М.А. Кузнецова. М.: 2001. - 193 с.

.        Справочник лекарственных растений под редакцией врача, фитотерапевта П.А. Кьосева. - М.: Эксмо, 2011.-944с.

.        Сравнительная биохимия каротиноидов - Гудвин Т.. - М.: Иностранная литература, 1954.-393с.

.        Фармакогнозия: Учебник. - Муравьев Д.А., Самылина И.А., Яковлев Г.П. - М.: «Медицина», 2002.

.        Энциклопедия лекарственных растений. - Вильнюс, UАВ «Bestiary», 2012. - 224 с.: ил. Под редакцией С.Ю. Афонькин.

12.    Goodwin T.W. Chemistry and Biochemistry of plant pigments/Ed.T.W.Goodwin.-N.-Y.:Acad.Press, 1976. -V.1. - Р . 230-241.

ПРИЛОЖЕНИЯ

Приложение 1

Облепиха крушиновидная (Hippophae rhamnoides)

Приложение 2

Сырье и масло облепихи крушиновидной

Приложение 3

Календула лекарственная (Calendula officinalis)

Приложение 4

Сырье и настойка календулы лекарственной

Похожие работы на - Лекарственные растения и лекарственное растительное сырье, обладающие ранозаживляющей активностью

 

Не нашли материал для своей работы?
Поможем написать уникальную работу
Без плагиата!
Без нейросетей!